El Full de retribuccions salarials és l’eina que ens permet consultar de manera clara i transparent quins imports corresponen a cada grup professional dins de l’Ajuntament. És la manera de saber amb precisió què et toca cobrar segons el teu lloc de treball, el teu nivell i la teva situació personal.
Què hi trobaràs en aquest document?
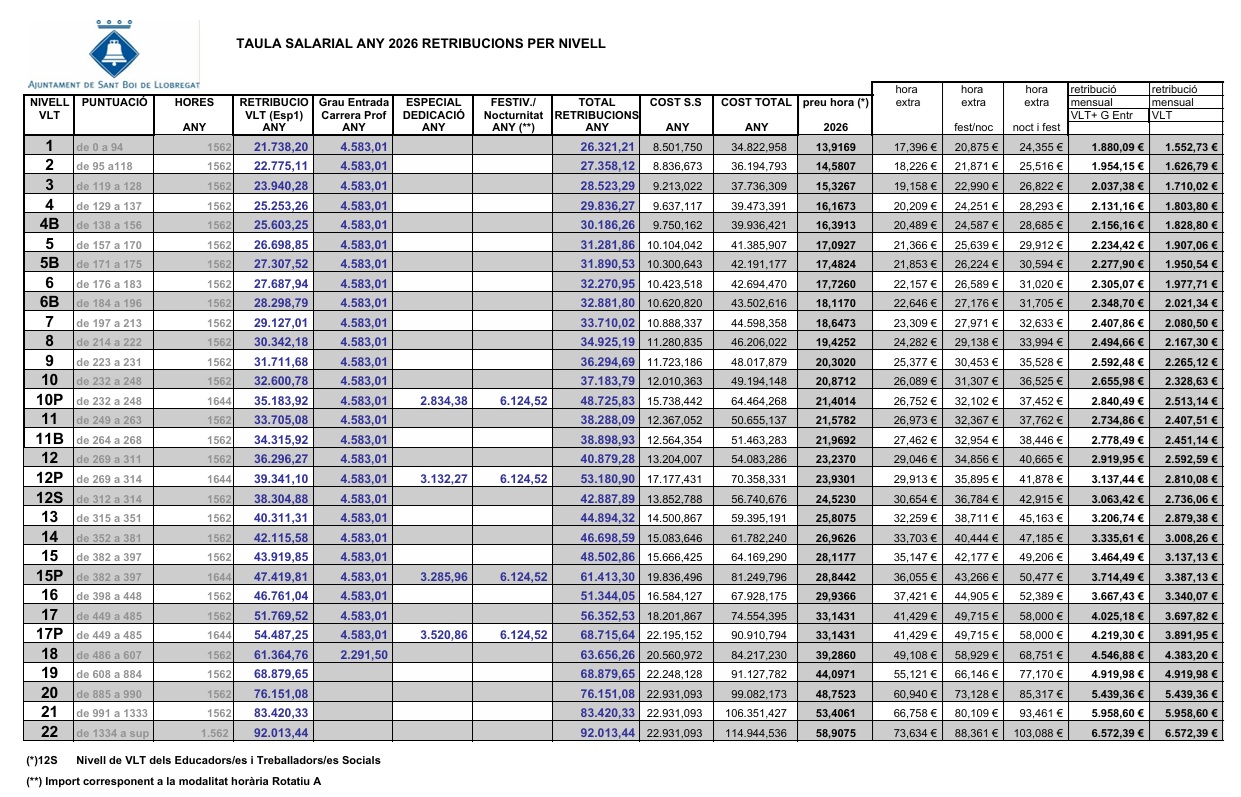
En el document que adjuntem trobaràs el detall de les retribucions vigents per a l’any 2026.
👉 Fes click a la imatge i veuràs tot l’arxiu sencer:

Per què és important consultar-lo?
- Transparència: tots els imports estan a l’abast de la plantilla, sense ambigüitats.
- Drets: saber què et correspon és el primer pas per poder reclamar si hi ha algun error o incongruència.
- Planificació personal: conèixer bé les teves retribucions t’ajuda a organitzar millor la teva situació econòmica i familiar.
Una eina útil per a tothom
Des de CCOO volem que tinguis sempre a mà aquesta informació i que no depenguis de tercers per saber quin és el teu salari. El Full de retribuccions salarials et dona autonomia i claredat, i et permet comprovar en qualsevol moment que el que cobres està d’acord amb el que et correspon legalment.
Consulta el document i comprova el teu cas concret. És el millor recurs per tenir les coses clares i assegurar-te que es reconeix correctament la teva feina.