CONVENIO COLECTIVO (BOP número 148 – miércoles, 2 de agosto de 2023)
CONVENIO COLECTIVO PARA O PERSOAL LABORAL DAS EMPRESAS DO SECTOR DE MARMORES E PEDRAS PARA OS ANOS 2022 A 2024.
Código de Convenio número 36000965011981.
Visto o Acordo da Comisión Negociadora polo que se aproba o texto do convenio colectivo para o persoal laboral das empresas do sector de MARMORES E PEDRAS para os anos 2022 a 2024, con domicilio na provincia de Pontevedra, subscrito en representación da parte económica, pola organización empresarial Asociación Clúster do Granito de Pontevedra e da parte social polas Centrais sindicais mais representativas no sector, UGT e CCOO, e que foi asinado en data 18 de maio do 2023.
Primeiro.- Dito Acordo foi presentado na Xefatura Territorial de Vigo en data 20 de xuño do 2023
Segundo.- Que no mesmo non se aprecia ningunha infracción da legalidade vixente e as súas cláusulas non conteñen estipulacións en prexuízo de terceiros.
FUNDAMENTOS DE DEREITO.
Primeiro.- Que o artigo 90.2 e 3 do Real Decreto Lexislativo 2/2015, do 23 de outubro, do Estatuto dos Traballadores, outorga facultades a Autoridade laboral competente en orde ao rexistro, publicación, depósito e notificación dos Acordos Colectivos pactados no ámbito da súa competencia.
Segundo.- Real Decreto 713/2010, do 28 de maio, sobre Rexistro e Depósito dos convenios e acordos colectivos de traballo.
Terceiro.- Real decreto 2412/82, do 24 de xullo, sobre traspaso de funcións e servizos da Administración do Estado á Comunidade Autónoma de Galicia, en materia de traballo,
Esta xefatura territorial,
A C O R D A:
Primeiro.- Ordenar o seu rexistro e inscrición no Rexistro de Convenios e Acordos Colectivos de Traballo da Comunidade Autónoma de Galicia, creado mediante Orde do 29 de outubro do 2010 (DOG nº 222, do 18.11.2010).
Segundo.- Dispoñer a súa publicación no Boletín Oficial da Provincia, en galego e en castelán.
Terceiro.- Ordenar a notificación desta Resolución á Mesa Negociadora do mesmo.
Vigo, 06/07/2023 A Xefa Territorial.
CONVENIO COLECTIVO PROVINCIAL DEL SECTOR DE MÁRMOLES Y PIEDRAS DE PONTEVEDRA PARA LOS AÑOS 2022-2024
1. DETERMINACIÓN DE LAS PARTES
1.1. Partes signatarias
Son partes signatarias del presente convenio, de una parte las centrales sindicales CCOOyUGT, como representación social, y por otra parte Asociación Clúster del Granito en representación empresarial.
Ambas se reconocen mutuamente legitimación para negociar el presente Convenio.
2. AMBITOS DE APLICACIÓN
2.1. Ámbito territorial
Dada la naturaleza normativa y eficacia general, que le viene dada por lo dispuesto en el artículo 82 y siguientes del Estatuto de los trabajadores y por la representatividad de las organizaciones firmantes, el presente convenio será de aplicación a todas las empresas y trabajadores que presten sus servicios en la provincia de Pontevedra.
2.2. Ámbito funcional
Será de aplicación para todas las empresas que se dediquen a las actividades de piedra y mármol, incluido las fábricas y talleres de sierra y labra, tanto mecánica como manual, de acuerdo con lo estipulado en el anexo I del VI Convenio General de la Construcción.
2.3. Ámbito personal
Comprende la totalidad de los trabajadores que, con independencia de su nacionalidad, presten sus servicios en las empresas incluidas en el ámbito territorial y funcional, sin más excepciones que las personas comprendidas en el ámbito de aplicación del Real Decreto 1382/1985 de primero de agosto, que regula la relación laboral especial de Alta Dirección.
3. VIGENCIA
3.1. Vigencia
El presente Convenio Colectivo tendrá una vigencia de tresaños, entrando en vigor a partir del 1 de enero 2022y finalizando el 31 de diciembre de 2024.
Una vez finalizada la vigencia inicial o de cualquiera de sus prorrogas -que serán anuales-, el texto del convenio continuará rigiendo en su totalidad, tanto en su contenido normativo como obligacional hasta que sea sustituido por otro.
3.2. Procedimiento de denuncia
Para dar cumplimiento a lo previsto en el artículo 86.2 del Estatuto de los Trabajadores, las partes firmantes hacen constar expresamente que este convenio no precisa denuncia previa para iniciar la negociación del convenio que lo sustituya, quedando automáticamente denunciado, a la fecha del cumplimiento del periodo de vigencia establecido en el artículo 3.1.
4. CONDICIONES MÁS BENEFICIOSAS
Todas las mejoras contenidas en este convenio se establecen con carácter de mínimas. Se respetarán las condiciones más beneficiosas que los trabajadores tengan reconocidas a título personal por las empresas a la entrada en vigor del presente convenio, siempre y cuando fuesen más favorables, consideradas en su conjunto y en cómputo anual. Los pactos o situaciones actuales existentes en cualquier empresa, que impliquen condiciones más beneficiosas respecto de las convenidas serán respetadas.
5. VINCULACIÓN A LA TOTALIDAD
a) Las condiciones pactadas en este convenio forman un todo orgánico indivisible y, a efectos de su aplicación práctica, serán considerados globalmente. En el supuesto de que la Administración o la Jurisdicción competente modificase, anulase o invalidase total o parcialmente alguno de sus pactos, las partes se comprometen a renegociar, con la buena fe debida y con el espíritu global de negociación, el pacto o acuerdo anulado o invalidado, dejando el resto del articulado vigente.
b) En el caso de que las partes negociadoras alcancen un acuerdo parcial, estas condiciones pactadas formarán un todo orgánico indivisible y, a efectos de su aplicación práctica, también serán consideradas globalmente.
6. COMISIÓN PARITARIA
6.1. Comisión paritaria
Se creará una Comisión Paritaria compuesta por un máximo de doce miembros que serán designados a partes iguales por cada uno de los intervinientes en la firma del convenio, sindical y empresarial. Una y otra podrán dotarse de asesores.
Los acuerdos de la comisión paritaria se adoptarán, en todo caso, por unanimidad y tendrán la misma eficacia y rango que la norma que fuese interpretada.
La Comisión Paritaria se reunirá cuando fuese requerida por alguna de las partes a través de un orden del día, también podrá reunirse con carácter de extraordinario previa convocatoria de alguna de las partes.
6.2. Funciones y procedimientos de la Comisión Paritaria
La comisión Paritaria tendrá las siguientes funciones:
– Vigilancia y seguimiento del cumplimiento de este convenio.
– Interpretación de la totalidad de los preceptos del mismo.
– A instancia de alguna de las partes mediar y/o intentar conciliar, en su caso, previo acuerdo de las partes y a solicitud de ellas, intervenir en cuantas cuestiones y conflictos de carácter colectivo puedan suscitarse en la aplicación del presente convenio.
– Realizar cuantas interpretaciones sean necesarias ante los cambios legislativos o normativos que afecten al articulado del presente convenio y, en su caso, remitirá su informe a la Comisión Negociadora que deberá constituirse expresamente para tal efecto.
– Cuantas otras funciones deriven expresamente o a las que se haga especial referencia en el articulado del presente convenio.
Las partes firmantes del presente texto, empresarios y trabajadores, pondrán en conocimiento de la comisión paritaria cuantas dudas, discrepancias y conflictos colectivos, de carácter general, pudiesen formularse en relación con la interpretación y aplicación del mismo, todo ello con el fin de que, mediante a su intervención, se resuelva el problema formulado o, si ello no es posible, emita un dictamen o informe, según proceda, al respecto.
Se establece que cuestiones propias de la competencia de la comisión paritaria y que se promuevan ante ella, adoptarán la forma escrita, y su contenido será suficiente para que se pueda examinar y analizar el problema con el necesario conocimiento de causa, debiendo tener como contenido obligatorio:
– Exposición sucinta y concreta del asunto.
– Razones y fundamentos que entienda que asistan al solicitante.
– Propuesta y petición concreta que se formule a la comisión.
Junto al escrito-propuesta se deberán adjuntar todos los documentos que se consideren necesarios para una mayor y mejor comprensión para la resolución del problema.
La comisión podrá recabar, por vía de ampliación, cuanta información o documentación se estime pertinente para una o mayor información del asunto; a este efecto, se concederá al solicitante un plazo que no podrá exceder de cinco días hábiles.
La comisión, una vez recibido el escrito-propuesta y, en su caso, completada la información pertinente, dispondrá de un plazo no superior a quince días naturales para conocer la cuestión formulada o, si eso no fuese posible, emitir el oportuno dictamen o informe, según proceda. Transcurrido dicho plazo sin emitirse la resolución ni dictamen, quedará abierta la vía administrativa o jurisdiccional competente.
Las partes firmantes asumen el contenido del Acuerdo Interprofesional Gallego sobre procedimientos extrajudiciales de solución de conflictos (AGA).
7. CONTRATACIÓN
7.1. Pruebas de capacitación
Las empresas, con anterioridad al ingreso, podrán realizar a los interesados las pruebas de selección, prácticas y psicotécnicos que consideren necesarias para comprobar si su grado de capacitación y su preparación son adecuadas a la clasificación profesional y puesto de trabajo que vayan a desempeñar.
7.2. Reconocimientos Médicos
La empresa estará obligada a realizar reconocimientos médicos a los trabajadores empleados, tanto con carácter previo a su admisión, como con carácter periódico por lo menos una vez al año. El trámite del carácter previo se entenderá cumplido si el reconocimiento se hace dentro del plazo máximo de 10 días laborables tras la incorporación en la empresa.
En ambos casos el reconocimiento médico será adecuado al puesto de trabajo que se trate.
El reconocimiento médico general consistirá, como mínimo, en audiometría, control de vista, análisis de sangre y orina, espirometría, exploración clínica y placa torácica.
Se someterá a un reconocimiento anual específico de silicosis a aquellos trabajadores que estén en contacto directo con el polvo de sílice.
7.3. Periodo de prueba
El periodo de prueba no podrá exceder de
– Seis meses para los técnicos titulados
– Un mes para el resto de los trabajadores.
Durante el periodo de prueba, el trabajador tendrá los derechos y obligaciones correspondientes al puesto de trabajo que desempeñe como si fuera de plantilla, excepto los derivados de la resolución de la relación laboral, que podrá producirse a instancia de cualquiera de las partes.
Transcurrido el periodo de prueba sin que se produzca desistimiento, el contrato producirá plenos efectos, computándose los tiempos de servicio a efectos de antigüedad.
7.4. Contratación
El contrato de trabajo se podrá concertar al amparo de cualquiera de las modalidades de contratación reguladas en el Estatuto de los trabajadores, disposiciones complementarias y las dispuestas en el convenio general del sector.
El contrato de trabajo será suscrito entre la empresa y el trabajador por escrito, con entrega a este de un ejemplar dentro de los quince días siguientes al de su incorporación, de acuerdo con cualquiera de los modelos aprobados por disposición de carácter normativo, que necesariamente deberá ser inscrito en la oficina de empleo.
7.4.1. Otras modalidades de contratación
7.4.1.1. Contrato de duración determinada por circunstancias de la producción.
Las personas trabajadoras que formalicen contratos de duración determinada por circunstancias de la producción, conforme a lo establecido en el artículo 15.1 del E.T. tendrán derecho, una vez finalizado el contrato por expiración del tiempo convenido, a percibir una indemnización de carácter no salarial por cese del 7 por 100 calculada sobre los conceptos salariales de las tablas del convenio aplicable devengados durante la vigencia del contrato, y siempre y en todo caso, respetando la cuantía establecida en el citado artículo 49.1.c) del E.T.
La duración máxima de los contratos de duración determinada por circunstancias de la producción celebrados de acuerdo al indicado artículo 15.1 del E.T. se podrá ampliar hasta un año; en caso de que el contrato se hubiera concertado por una duración inferior a los doce meses, podrá prorrogarse, mediante acuerdo de las partes, por una única vez, sin que la duración total del contrato pueda exceder de dicha duración de doce meses.
7.4.1.2. Contrato de puesta a disposición
Las empresas afectadas por este convenio, cuando contraten los servicios de Empresas de Trabajo Temporal, garantizarán que los trabajadores puestos a su disposición tengan los mismos derechos laborales, retributivos e indemnizatorios del 7% como en las otras modalidades de contratación, que les corresponda a sus trabajadores en aplicación de su correspondiente Convenio Colectivo o Pacto de Empresa. Esta obligación constará expresamente en el contrato de Puesta a Disposición celebrado entre la Empresa de Trabajo Temporal y la Empresa Usuaria Para la contratación con ETT´s se cumplirá, en todo caso con lo establecido en el Anexo correspondiente del VI Convenio General del Sector de la Construcción.
7.4.1.3. Contratos formativos
A. Contrato de formación en alternancia.
El contrato de formación en alternancia tendrá por objeto compatibilizar la actividad laboral retribuida con los correspondientes procesos formativos en el ámbito de la formación profesional, los estudios universitarios o del Catálogo de especialidades formativas del Sistema Nacional de Empleo, tendentes al adecuado desempeño de un oficio o puesto de trabajo cualificado en el sector.
Sus condiciones principales son:
a) Se podrá celebrar con personas que carezcan de la cualificación profesional. No obstante, se podrán realizar contratos vinculados a estudios de formación profesional o universitaria con personas que posean otra titulación siempre que no haya tenido otro contrato formativo previo en una formación del mismo nivel formativo y del mismo sector productivo.
b) Si el contrato se suscribe en el marco de certificados de profesionalidad de nivel 1 y 2, y programas públicos o privados de formación en alternancia de empleo- formación, que formen parte del Catálogo de especialidades formativas del Sistema Nacional de Empleo, el contrato solo podrá ser concertado con personas de hasta treinta años.
c) La actividad desempeñada por la persona trabajadora en la empresa deberá estar directamente relacionada con las actividades formativas que justifican la contratación laboral, coordinándose e integrándose en un programa de formación común, elaborado en el marco de los acuerdos y convenios de cooperación suscritos por las autoridades laborales o educativas de formación profesional o Universidades con empresas y entidades colaboradoras. Además, el tipo de trabajo que debe prestar el trabajador en formación estará directamente relacionado con las tareas propias del nivel ocupacional, oficio o puesto de trabajo objeto de contrato. Entre estas tareas se incluyen las labores de limpieza y mantenimiento de los utensilios y herramientas empleados en la labor conjunta con la diligencia correspondiente a su aptitud y conocimientos profesionales.
d) La persona contratada contará con una persona tutora designada por el centro o entidad de formación y otra designada por la empresa. El tutor de empresa debe contar con la formación o experiencia adecuadas para tales tareas, tendrá como función dar seguimiento al plan formativo individual en la empresa, según lo previsto en el acuerdo de cooperación concertado con el centro o entidad formativa.
e) Los centros de formación profesional, las entidades formativas acreditadas o inscritas y los centros universitarios, en el marco de los acuerdos y convenios de cooperación, elaborarán, con la participación de la empresa, los planes formativos individuales donde se especifique el contenido de la formación, el calendario y las actividades y los requisitos de tutoría para el cumplimiento de sus objetivos.
f) Son parte sustancial de este contrato tanto la formación teórica dispensada por el centro o entidad de formación o la propia empresa, cuando así se establezca, como la correspondiente formación práctica dispensada por la empresa y el centro.
g) La duración del contrato será la prevista en el correspondiente plan o programa formativo, con un mínimo de tres meses y un máximo de dos años, y podrá desarrollarse al amparo de un solo contrato de forma no continuada, a lo largo de diversos periodos anuales coincidentes con los estudios, de estar previsto en el plan o programa formativo. En caso de que el contrato se hubiera concertado por una duración inferior a la máxima legal establecida y no se hubiera obtenido el título, certificado, acreditación o diploma asociado al contrato formativo, podrá prorrogarse mediante acuerdo de las partes, hasta la obtención de dicho título, certificado, acreditación o diploma sin superar nunca la duración máxima de dos años.
h) Solo podrá celebrarse un contrato de formación en alternancia por cada ciclo formativo de formación profesional y titulación universitaria, certificado de profesionalidad o itinerario de especialidades formativas del Catálogo de Especialidades Formativas del Sistema Nacional de Empleo.
No obstante, podrán formalizarse contratos de formación en alternancia con varias empresas en base al mismo ciclo, certificado de profesionalidad o itinerario de especialidades del Catálogo citado, siempre respondan a distintas actividades vinculadas y sin que la duración máxima de todos los contratos pueda exceder el límite de dos años.
i) El tiempo de trabajo efectivo, que habrá de ser compatible con el tiempo dedicado a las actividades formativas en el centro de formación, no podrá ser superior al 65 por ciento, durante el primer año, o al 85 por ciento, durante el segundo, de la jornada máxima prevista en el convenio colectivo de aplicación en la empresa, o, en su defecto, de la jornada máxima legal.
j) No se podrán celebrar contratos formativos en alternancia cuando la actividad o puesto de trabajo correspondiente al contrato haya sido desempeñado con anterioridad por la persona trabajadora en la misma empresa bajo cualquier modalidad por tiempo superiora seis meses.
k) Las personas contratadas con contrato de formación en alternancia no podrán realizar horas complementarias ni horas extraordinarias, salvo en el supuesto previsto en el artículo 35.3 del E.T. Tampoco podrán realizar trabajos nocturnos ni trabajo a turnos. Excepcionalmente, podrán realizarse actividades laborales en los citados periodos cuando las actividades formativas para la adquisición de los aprendizajes previstos en elplan formativo no puedan desarrollarse en otros periodos, debido a la naturaleza de la actividad.
l) No podrá establecerse periodo de prueba en estos contratos.
m) La retribución de los contratados con un contrato de formación en alternancia se ajustará a los siguientes porcentajes, aplicables al salario del nivel retributivo de las tablas del presente convenio de aplicación para el grupo profesional y nivel retributivo correspondiente a las funciones desempeñadas, en proporción al tiempo de trabajo efectivo:
– 60 % el primer año.
– 75 % el segundo año.
Esta retribución no podrá ser en ningún caso inferior al salario mínimo interprofesional en proporción al tiempo de trabajo efectivo.
n) Asimismo, la persona trabajadora contrada para la formación en alternancia tendrá derecho a una cuantía por fin del contrato del 4,5 por 100 calculado sobre los conceptos salariales de las tablas del convenio devengados durante la vigencia del contrato, calculados conforme a los criterios establecidos en la letra m) de este artículo.
B. Contrato formativo para la obtención de la práctica profesional.
El contrato formativo para la obtención de la práctica profesional adecuada al nivel de estudios está destinado a personas con un título universitario, título de grado medio o superior, especialista, máster profesional o certificado del sistema de formación profesional o título equivalente de enseñanzas artísticas o deportivas del sistema educativo. Sus condiciones principales son:
a) Podrá concertarse con quienes estuviesen en posesión de un título universitario o de un título de grado medio o superior, especialista, máster profesional o certificado del sistema de formación profesional, de acuerdo con lo previsto en la Ley Orgánica 5/2002, de 19 de junio, de las Cualificaciones y de la Formación Profesional, así como con quienes posean un título equivalente de enseñanzas artísticas o deportivas del sistema educativo, que habiliten o capaciten para el ejercicio de la actividad laboral.
b) El contrato de trabajo para la obtención de práctica profesional deberá concertarse dentro de los tres años, o de los cinco años si se concierta con una persona con discapacidad, siguientes a la terminación de los correspondientes estudios. No podrá suscribirse con quien ya haya obtenido experiencia profesional o realizado actividad formativa en la misma actividad dentro de la empresa por un tiempo superior a tres meses, sin que se computen a estos efectos los periodos de formación o prácticas que formen parte del currículo exigido para la obtención de la titulación o certificado que habilita esta contratación.
c) La duración de este contrato que no podrá ser inferior a seis meses, tendrá una duración máxima de un año.
d) Ninguna persona podrá ser contratada en la misma o distinta empresa por tiempo superior a los máximos previstos en virtud de la misma titulación o certificado profesional. Tampoco se podrá estar contratado en formación en la misma empresa para el mismo puesto de trabajo por tiempo superior a los máximos previstos, aunque se trate de distinta titulación o distinto certificado. Los títulos de grado, máster y doctorado correspondientes a los estudios universitarios no se considerarán la misma titulación, salvo que al ser contratado por primera vez mediante un contrato para la realización de práctica profesional la persona trabajadora estuviera ya en posesión del título superior de que se trate.
e) Se podrá concertar un periodo de prueba que en ningún caso podrá exceder de las duraciones establecidas en el artículo 7.3 del presente Convenio.
f) El puesto de trabajo deberá permitir la obtención de la práctica profesional adecuada al nivel de estudios o de formación objeto del contrato. La empresa elaborará el plan formativo individual en el que se especifique el contenido de la prácticaprofesional, y asignará tutor o tutora que cuente con la formación o experiencia adecuadas para el seguimiento del plan y el correcto cumplimiento del objeto del contrato.
g) A la finalización del contrato la persona trabajadora tendrá derecho a la certificación del contenido de la práctica realizada.
h) Las personas contratadas con contrato de formación para la obtención de práctica profesional no podrán realizar horas extraordinarias, salvo en el supuesto previsto en el artículo 35.3 del E.T.
i) La retribución por el tiempo de trabajo efectivo será de un 70 por ciento aplicable al salario del nivel retributivo de las tablas del presente convenio para el grupo profesional y nivel retributivo correspondiente a las funciones desempeñadas, en proporción al tiempo de trabajo efectivo. Esta retribución no podrá ser en ningún caso inferior al salario mínimo interprofesional en proporción al tiempo de trabajo efectivo.
j) Se estará a lo que reglamentariamente se desarrolle respecto al alcance de la formación correspondiente al contrato de formación para la obtención de prácticas profesionales, particularmente, en el caso de acciones formativas específicas dirigidas a la digitalización, la innovación o la sostenibilidad, incluyendo la posibilidad de microacreditaciones de los sistemas de formación profesional o universitaria.
C) Disposiciones comunes a los contratos formativos.
El contrato de formación en alternancia y el contrato formativo para la obtención de la práctica profesional comparten una serie de normas comunes:
a) La acción protectora de la Seguridad Social de las personas que suscriban un contrato formativo comprenderá todas las contingencias protegibles y prestaciones, incluido el desempleo y la cobertura del Fondo de Garantía Salarial.
b) Las situaciones de incapacidad temporal, nacimiento, adopción, guarda con fines de adopción, acogimiento, riesgo durante el embarazo, riesgo durante la lactancia y violencia de género interrumpirán el cómputo de la duración del contrato.
c) El contrato deberá formalizarse por escrito e incluirá obligatoriamente el texto del plan formativo individual, especificando el contenido de las prácticas o la formación y las actividades de tutoría para el cumplimiento de sus objetivos. Igualmente, incorporará el texto de los acuerdos y convenios que se establezcan con centros de formación profesional, las entidades formativas y los centros universitarios.
d) Los límites de edad y en la duración máxima del contrato formativo no serán de aplicación cuando se concierte con personas con discapacidad o con los colectivos en situación de exclusión social previstos en el artículo 2 de la Ley 44/2007, de 13 de diciembre, para la regulación del régimen de las empresas de inserción, en los casos en que sean contratados por parte de empresas de inserción que estén cualificadas y activas en el registro administrativo correspondiente. Reglamentariamente se establecerán dichos límites para adecuarlos a los estudios, al plan o programa formativo y al grado de discapacidad y características de estas personas.
e) Las empresas que estén aplicando algunas de las medidas de flexibilidad interna reguladas en los artículos 47 y 47 bis del E.T. podrán concertar contratos formativos siempre que las personas contratadas bajo esta modalidad no sustituyan funciones o tareas realizadas habitualmente por las personas afectadas por las medidas de suspensión o reducción de jornada.
f) Si al término del contrato la persona continuase en la empresa, no podrá concertarse un nuevo periodo de prueba, computándose la duración del contrato formativo a efectos de antigüedad en la empresa.
g) Los contratos formativos celebrados en fraude de ley o aquellos respecto de los cuales la empresa incumpla sus obligaciones formativas se entenderán concertados como contratos indefinidos de carácter ordinario.
h) Se estará a lo que reglamentariamente se establezca en cuanto a los requisitos que deben cumplirse para la celebración de los contratos formativos, tales como elnúmero de contratos por tamaño de centro de trabajo, las personas en formación por tutor o tutora, o las exigencias en relación con la estabilidad de la plantilla.
i) La empresa pondrá en conocimiento de la representación legal de las personas trabajadoras los acuerdos de cooperación educativa o formativa que contemplen la contratación formativa, incluyendo la información relativa a los planes o programas formativos individuales, así como a los requisitos y las condiciones en las que se desarrollará la actividad de tutorización.
j) Asimismo, en el supuesto de diversos contratos vinculados a un único ciclo, certificado o itinerario en los términos referidos en el apartado A.h), la empresa deberá trasladar a la representación legal de las personas trabajadoras toda la información de la que disponga al respecto de dichas contrataciones.
k) Las empresas que pretendan suscribir contratos formativos, podrán solicitar por escrito al servicio público de empleo competente, información relativa a si las personas a las que pretenden contratar han estado previamente contratadas bajo dicha modalidad y la duración de estas contrataciones. Dicha información deberá ser trasladada a la representación legal de las personas trabajadoras y tendrá valor liberatorio a efectos de no exceder la duración máxima de este contrato.
7.4.1.4. Contrato fijo-discontinuo.
1. En contratas, subcontratas y concesiones administrativas el plazo máximo de inactividad se corresponderá con el período de tiempo en el que no sea precisa la prestación de servicios de la persona trabajadora porque la actividad de la empresa no lo requiera o por no existir necesidad de incrementar la plantilla.
2. El contrato deberá necesariamente formalizarse por escrito y, tal y como se establece en el artículo 16.2 del E.T., deberá reflejar los elementos esenciales de la actividad laboral, entre otros, la duración del período de actividad, la jornada y su distribución horaria, si bien estos últimos podrán figurar con carácter estimado, sin perjuicio de su concreción en el momento del llamamiento.
3. La persona trabajadora deberá ser llamada cada vez que la actividad de la empresa lo requiera, debiéndose efectuar el llamamiento gradualmente en función de las necesidades de la empresa y del volumen de trabajo a desarrollar en cada momento.
El llamamiento se efectuará con una antelación mínima de cinco días, por burofax, correo certificado con acuse de recibo, o por cualquier otro medio que garantice que la notificación se ha realizado con suficientes garantías. Éste deberá indicar la fecha de incorporación y el centro de trabajo, y se enviará al domicilio que la persona trabajadora haya comunicado a la empresa, siendo aquélla la única responsable de informar a la empresa de cualquier cambio en los datos de contacto para el envío de la citada comunicación.
La ausencia de contestación en el plazo indicado, o la no incorporación en la fecha indicada por la empresa en su comunicación, se entenderán como dimisión de la persona trabajadora.
El orden de llamamiento se regirá por los siguientes criterios:
a) Área funcional, grupo profesional y características de este (criterios generales, formación y tareas) según lo contenido en el Anexo X.
b) Años de servicio y experiencia en la empresa.
En el caso de que dos o más personas trabajadoras cumpliesen los anteriores criterios, según el orden en el que se indican, y se produjese igualdad en todos ellos,corresponderá a la empresa determinar a qué persona o personas trabajadoras se les efectúa el llamamiento.
4. En los casos de contratos fijos-discontinuos adscritos a una o varias obras, cuando se produzca la finalización de ésta o éstas, entendida como tal la terminación real, verificable y efectiva de los trabajos a realizar en la misma o mismas, o cuando la realización paulatina de las correspondientes unidades de obra hagan innecesario el número de las personas trabajadoras contratadas para su ejecución, los contratos de trabajo fijo-discontinuos se interrumpirán, pasando las personas trabajadoras a período de inactividad, causando baja en la Seguridad Social.
5. Los contratos fijos-discontinuos no adscritos a una o varias obras se interrumpirán cuando desaparezca la necesidad que motivó su llamamiento, pasando las personas trabajadoras a período de inactividad, causando baja en la Seguridad Social.
6. Si el fin del llamamiento coincidiese con la terminación de la actividad, entendida ésta en los términos del apartado anterior, y no se produjese, sin solución de continuidad, un nuevo llamamiento, la empresa satisfará a la persona trabajadora una cuantía por fin de llamamiento del 5,5 por ciento calculada sobre los conceptos salariales de las tablas del Convenio devengados durante el último período de actividad.
Estando en período de inactividad, y dentro de los siguientes veinticinco meses al inicio de dicho período, podrá extinguirse el contrato por dimisión de la persona trabajadora, teniendo derecho ésta a percibir una cuantía del 1,5 por ciento calculada sobre los conceptos salariales de las tablas del Convenio devengados durante el último período de actividad.
Asimismo, el contrato de trabajo podrá extinguirse de común acuerdo a partir del vigesimoquinto mes, percibiendo la persona trabajadora una cuantía del 1,5 por ciento calculada sobre los conceptos salariales de las tablas del Convenio aplicables devengados durante el último período de actividad.
7. Las cuantías a las que se refiere el apartado anterior no serán compatibles y, por tanto, se procederá a su compensación, con las indemnizaciones que pudieran corresponder por la extinción del contrato de trabajo en los supuestos recogidos en los artículos 40, 41, y del 50 al 55 del E.T.; en el contrato de trabajo podrá incluirse una cláusula en virtud de la cual la persona trabajadora autoriza a la empresa a practicar la compensación de las cuantías a las que se refiere el apartado anterior respecto del importe de la indemnización.
8. Las empresas podrán solicitar a la Fundación Laboral de la Construcción currículas de personas trabajadoras, que formen parte de la bolsa de empleo creada al amparo del Convenio General del Sector de la Construcción, que cumplan con los perfiles que necesiten cubrir.
7.5. Estabilidad en el empleo
Las empresas que cuenten con una plantilla media superior a 50 trabajadores deberán mantener un porcentaje de trabajadores fijos que supere el 65% de dicha plantilla.
7.6. Pluriempleo
Las partes firmantes de este Convenio estiman conveniente como regla general erradicar el pluriempleo. A estos efectos estiman necesario que se apliquen con el máximo rigor las sanciones previstas en la legislación vigente en los casos de trabajadores no dados de alta en la Seguridad Social por estar ya afiliados a otra empresa.
Para coadyuvar el objetivo de controlar el pluriempleo se considerará esencial el cumplimiento exacto del requisito de dar conocer a los representantes legales de los trabajadores y a su solicitud, los boletines de cotización a la Seguridad Social así como los modelos de contrato de trabajo escrito que se utilicen en la empresa y los documentos relativos a la terminación de la relación laboral, conforme dispone el artículo 64 del Estatuto de los Trabajadores.
8. CLASIFICACIÓN PROFESIONAL
Es voluntad de las partes firmantes del presente convenio reorganizar las categorías profesionales existentes en la actualidad con arreglo a lo establecido en el VI Convenio General del Sector de la Construcción.
9. ESTRUCTURA SALARIAL
9.1. Salario Base
Se considera salario base la retribución fijada por unidad de tiempo o de obra y que aparece como tal en la tabla salarial anexa.
9.2. Antigüedad consolidada
Se adjunta tabla (anexo) con las antigüedades ya consolidadas con fecha del 21 de noviembre de 1996.
Los importes de la tabla se mantendrán invariables y por tiempo indefinido como complemento retributivo ad personam, es decir, no sufrirán modificaciones en ningún sentido y por ninguna causa. Dicho complemento retributivo se reflejará en los recibos de salario con la denominación de antigüedad consolidada.
9.3. Gratificaciones extraordinarias
El trabajador tendrá derecho a dos gratificaciones extraordinarias al año, que se abonarán en los meses de junio y diciembre, antes de los días 30 y 20 de cada uno de ellos, respectivamente.
Dichas pagas extraordinarias no se devengarán mientras dure cualquiera de las causas de suspensión de contrato previstas en el artículo 45 del Estatuto de los trabajadores.
La cuantía de las pagas extraordinarias de junio y diciembre será igual a una mensualidad de la tabla de salarios anexa a este convenio, más la antigüedad consolidada, en su caso.
9.4. Premio de puntualidad y asistencia
Se establece un premio de puntualidad y asistencia para todo el personal afectado por el presente convenio.
Dicho premio consistirá en una cantidad mensual y su percepción estará sujeta a las siguientes reglas:
1. Se entenderá por falta de puntualidad, cuando el trabajador no esté en su puesto de trabajo o tajo, en el momento de comenzar la jornada laboral. También se considerará falta de puntualidad su incorporación hasta 30 minutos después de iniciada la mencionada jornada de trabajo.
2. En los supuestos anteriores, el trabajador perderá el 5% del premio puntualidad y asistencia por cada uno de los retrasos.
3. Si la incorporación del trabajador se produce después de los primeros 30 minutos de comenzada la jornada laboral, se considerará como falta de asistencia de media jornada, perdiéndose el 10% del premio cada vez que se produzca dicha falta.
4. En el caso de ausencias justificadas, la cantidad con derecho a percibir se prorrateará atendiendo a los días efectivamente trabajados.
5. La falta de asistencia, por causa no justificada, de una jornada de trabajo, ocasionará la pérdida del 25% del premio.
Las licencias establecidas en el presente convenio provincial, en el General de la Construcción y en el Estatuto de los trabajadores, no serán consideradas como faltas de puntualidad y asistencia.
En la tabla retributiva anexa se contemplan las cuantías a percibir cada ejercicio.
9.5. Incentivos
Las empresas afectadas por este convenio, con exclusión de los talleres de mármoles que no tengan telares ni máquinas cortabloques, abonarán a sus trabajadores de fábrica o taller, un incentivo por cada día de trabajo efectivo de 8 horas o proporcional de las cantidades que figuran en la tabla salarial en el epígrafe de «resto». En los talleres de mármoles que no dispongan de telares o máquinas corta-bloques el incentivo será fijado en la mencionada tabla con la denominación de «marmolerías» por día de trabajo efectivo o proporcional.
Las empresas que tengan establecido o establezcan en el futuro sistemas de medida de la productividad con arreglo a las disposiciones legales y convencionales vigentes, garantizarán que sus trabajadores percibirán como mínimo la cantidad señalada en el párrafo anterior o aquella cuantía existente en cada empresa, con independencia del sistema de productividad a aplicar, en función de los acuerdos alcanzados con los representantes de los trabajadores. En todo caso, el sistema de productividad pactado debe establecer el rendimiento normal exigible a los trabajadores y el sistema de retribución a aplicar según lo referido en el capítulo correspondiente del VI Convenio General del Sector de la Construcción.
9.6. Transporte
En la cuantía fijada en la tabla retributiva anexa, se establece un plus de locomoción o transporte que se percibirá por el trabajador por su desplazamiento para el acceso a su centro de trabajo.
Las sumas percibidas por este concepto no tendrán la consideración de salario a ningún efecto. En todo caso se estará a lo dispuesto por la legislación vigente.
9.7. Trabajos en alturas, penosos, tóxicos y peligrosos
9.7.1. Trabajos en altura
Aquellos trabajadores que ejecuten sus labores a 5 ó más metros de altura sobre el vacío tendrán derecho a que se les abone el correspondiente plus de altura, que se establece en el 20% del salario base de su categoría.
9.7.2. Trabajos tóxicos, peligrosos y penosos
Sin perjuicio de lo regulado en la Disposición Adicional 14.4 Legislación subsidiaria del presente convenio colectivo de Mármoles y Piedras de Pontevedra, las partes firmantes del mismo reconocen la importancia que tiene para el conjunto del sector la progresiva desaparición de las características de toxicidad, peligrosidad y penosidad predicables respecto de algunos puestos de trabajo o equipos o, cuando menos, la reducción al mínimo posible de las condiciones que potencialmente pudieran repercutir negativamente en la salud y seguridad de los trabajadores.
Por medio de esta redacción del artículo 9.7, que sigue la línea marcada en el anterior convenio colectivo, los representantes del Clústery de los sindicatos UGTyhan pretendido dotar al precepto de una triple finalidad:
1. Conseguir un plus de toxicidad, peligrosidad y penosidad para este heterogéneo Sector que sea adecuado y aplicable, tanto desde el punto de vista económico como legal y técnico, en todas las empresas, pequeñas, medianas y grandes, que lo integran.
2. Fomentar la mejora continua de las condiciones de seguridad y salud existentes en los puestos de trabajo de taller.
3. Fomentar, en particular, la adopción de medidas dirigidas a la reducción de la exposición a Ruido y Polvo de Sílice al tratarse de agentes potencialmente generadores de enfermedades profesionales en el sector.
Para la satisfacción de estos propósitos, se fija el presente plus, al cual tendrán derecho todos los trabajadores expuestos a los agentes tóxicos, penosos y/o peligrosos referidos en los Planes de Prevención de las Empresas del sector. Ello supondrá que el ámbito de aplicación de este Plus se extenderá a todos los trabajadores que prestan servicios en el taller de cada empresa o en las obras, en los puestos de trabajo incluidos dentro del Grupo Profesional «Operarios» del Convenio Colectivo de Mármoles y Piedras 2022-2024.
1. Tramos del Plus
Con el objetivo de resolver esta doble finalidad, el actual plus se estructurará en dos tramos con funcionamiento y devengo independiente y en función de cada concreto puesto de trabajo.
Este Plus, por el importe que proceda, se abonará con la nómina del mes en el que se produzcan las circunstancias que dan derecho al mismo.
a) Tramo sin valor límite de referencia (tramo referido a condiciones de penosidad/peligrosidad):
El devengo de este tramo se producirá para aquellos concretos puestos de trabajo en los que el porcentaje de riesgos calificados de «Moderados» en la correspondiente Evaluación de Riesgos sea igual o superior al 35% del total de riesgos de dicho puesto.
En caso de que se supere el porcentaje de riesgos moderados del puesto, se abonará la parte correspondiente al tramo de penosidad/peligrosidad, en la siguiente cuantía durante el periodo de vigencia del convenio:
– 1,50 €/día trabajado
b) Tramo con valor límite de referencia (tramo referido a condiciones de toxicidad/peligrosidad):
El devengo por cada concreto puesto de trabajo se producirá cuando se superen, para cualquiera de los dos agentes indicados a continuación (uno o los dos), los límites fijados:
1) Ruido:
Procederá el abono cuando el nivel de ruido ambiental al que está expuesto el trabajador -una vez descontada la atenuación conseguida con la protección auditiva individual-supere los 80 dB (A).
2) Polvo de Sílice:
a) Procederá su abono cuando el VLA de exposición diaria de referencia supere los siguientes valores:
– Para establecimientos generales: 70% del VLA vigente (en enero delos años 2022, 2023 y 2024, equivalente a 0,035 mg/m3).
– Para beneficio minero: 35% del VLA vigente (en enero delos años 2022, 2023 y 2024, equivalente a 0,035 mg/m3).
b) El VLA de 0,035 mg/m3 se entiende como un límite inferior absoluto aplicable hasta 31 de diciembre de 2024.
En consecuencia, aunque se produjese una modificación legal del VLA de exposición diaria de referencia, el plus nunca se devengará en aquellos puestos cuyas mediciones sitúen el riesgo por exposición a polvo de sílice en un valor igual o inferior a 0,035 mg/m3.
En caso de que se produzcan las condiciones que generan el devengo de este tramo con valor límite de referencia, se deberá abonar éste, en la siguiente cuantía durante los años de vigencia del presente convenio:
– 1,50 €/día trabajado
2. Existencia de riesgo «Alto/Importante»
En caso de que, en cualquiera de los puestos de trabajo del ámbito de aplicación del Plus, se produzca un riesgo que sea calificado como «Alto/Importante» (o expresión equivalente que suponga la superación del carácter moderado o tolerable del riesgo), se devengará el Plus hasta el momento en que se reduzca dicho riesgo, como mínimo, a «moderado». Las condiciones de devengo especificadas en el punto 2 (tramos con y sin valor límite de referencia) sólo volverán a ser determinantes cuando el riesgo «Alto» haya sido reducido.
La cuantía a abonar en este supuesto durante el periodo de vigencia del convenio es:
– 3,0 €/día natural de riesgo «Alto/Importante»
3. Comisión Paritaria de Seguimiento del Plus de Tóxicos, Penosos y Peligrosos
Se acuerda la creación de una Comisión de Seguimiento, integrada por las partes empresarial y sindical firmantes, cuya función principal será la de asegurar la correcta y leal aplicación de las normas que rigen el Plus objeto de este acuerdo.
La entrega de la ficha tipo se realizará, al menos, una vez al año, antes de la reunión ordinaria de la Comisión Paritaria de Seguimiento. Asimismo, si una empresa, en función de la revisión de la evaluación/medición correspondiente, dejase de abonar el plus total o parcialmente en cualquier momento, deberá también remitir la ficha anexa debidamente cumplimentada.
En caso de que se incumpla la obligación de remitir la documentación antedicha, que justifique la no aplicación, la empresa deberá abonar el plus correspondiente a los puestos de trabajo donde no se haya abonado el plus, tanto total como parcialmente, durante el periodo de incumplimiento -por todos los días hábiles correspondientes-sea cual sea la duración del periodo de incumplimiento y con independencia de las condiciones reales de devengo que se prueben con posterioridad por la afectada.
Se celebrará una única reunión ordinaria anual. La fecha de esta reunión ordinaria deberá fijarse en la última reunión de este carácter que se celebre en el año anterior.
Las partes podrán instar la celebración de un máximo total de 3 reuniones extraordinarias al año y un máximo de 3 reuniones extraordinarias requeridas por las empresas o la representación legal de los trabajadores de éstas por incidencias concretas y urgentes que se produzcan fuera de la fecha de la reunión ordinaria.
Teniendo en cuenta que la documentación presentada y analizada en estas reuniones tiene un carácter sensible y confidencial, en caso de difusión por cualquier medio o de utilización de la misma por los intervinientes para uso distinto del seguimiento en la aplicación o no del plus de peligrosidad, toxicidad y penosidad del presente artículo, se estará a lo dispuesto en la normativa de protección de datos y competencia desleal.
Las funciones principales de esta Comisión son las siguientes:
a) Recibir o recabar la documentación acreditativa y probatoria (se adjunta modelo normalizado) a que se refieren los párrafos anteriores (sobre los puestos de trabajo concretos del Grupo Profesional «Operarios» excluidos del Plus), a través de correo ordinario, correo electrónico o fax remitido al Clústerdel Granito.
b) Acordar la solicitud de colaboración del Instituto Galego de Seguridade e Saúde (ISSGA) y/o de la Inspección de Trabajo y Seguridad Social en los casos en que se entienda necesario, y por cualquiera de las dos partes integrantes. La solicitud de colaboración deberá ser sometida a debate en reunión ordinaria o en reunión extraordinaria convocada al efecto por la parte interesada, con carácter previo a la formalización de la misma con el organismo correspondiente.
Se entenderá cumplido este requisito en caso de que, transcurridos 30 días desde el primer intento de convocatoria ordinaria o extraordinaria, la correspondiente reunión no haya podido celebrarse.
c) Cualquier otra función acordada por las partes en aras a la mejora en la aplicación/control del presente Plus.
En ningún caso se entenderá como una atribución de la Comisión de Seguimiento la adopción de decisiones relativas a la obligación de una empresa concreta del sector de abonar uno o los dos tramos del Plus de Tóxicos, Penosos y Peligrosos.
En el Anexo II de este convenio figura la ficha informativa relativa a este plus.
9.8. Trabajos nocturnos
El personal que trabaje entre las veintidós horas y las seis de la mañana, percibirá un plus de trabajo nocturno equivalente al 25% del salario base mensual de su categoría. Se respetarán las condiciones más beneficiosas.
Si el tiempo trabajado en el período nocturno fuese inferior a 4 horas, se abonará el plus sobre el tiempo trabajado efectivamente. Si las horas nocturnas exceden de 4, se abonará el complemento correspondiente a toda la jornada trabajada.
Cuando existan dos turnos, y en cualquiera de ellos se trabaje solamente una hora del período nocturno, no será abonada esta con complemento de nocturnidad.
9.9. Retribución de las horas extraordinarias
Cada hora de trabajo que se realice sobre la duración máxima de la semana ordinaria de trabajo, se abonará con un incremento del 75% sobre el salario que le correspondería a cada hora ordinaria. Las horas extras realizadas en sábado se incrementarán en un 85% y las realizadas en domingos y festivos, se incrementarán en un 100%.
Las empresas, siempre y cuando no se perturbe el normal proceso productivo, podrán compensar la retribución de las horas extraordinarias por tiempo equivalente de descanso.
En el supuesto de que se realizara la compensación prevista en el párrafo anterior, las horas extraordinarias compensadas no se computarán a los efectos de los límites fijados para las mismas en el apartado segundo del artículo 35 del Texto Refundido del Estatuto de los Trabajadores.
La fórmula de cálculo del valor de la hora ordinaria se hará con arreglo a la siguiente operación:
9.10.Turno de fin de semana
Las partes acuerdan que en aquellas empresas sujetas al presente convenio, que realicen jornadas de turnos rotativos que incluyan trabajos en fin de semana, los trabajadores no podrán prestar servicio más de dos fines de semana seguidos A la norma anterior se autoriza la siguiente excepción: se permitirá que, con el máximo de 2 veces durante el año, los trabajadores puedan prestar servicio tres fines de semana consecutivos siendo esta situación de carácter excepcional por motivos de falta de personal con la correspondiente comunicación a los representantes de los trabajadores.
Se compensará económicamente a todos los trabajadores que presten servicios en turnos en fin de semana con un plus llamado «turno fin de semana» cuyo importe será el 15% del salario base mensual de convenio.
9.11. Dietas
La cuantía de las dietas será la siguiente durante la vigencia del convenio:
– Dieta completa: 30,00 €
– Media dieta: 12,00 €.
– Dieta completa con pernocta: 65,00 €
En el caso de que el importe de los gastos de manutención y alojamiento supere la cuantía de la dieta establecida, y con previo conocimiento y autorización de la empresa, ésta abonará la diferencia justificada al trabajador mediante el documento probatorio correspondiente (factura, recibo o documento similar).
9.12. Incrementos salariales
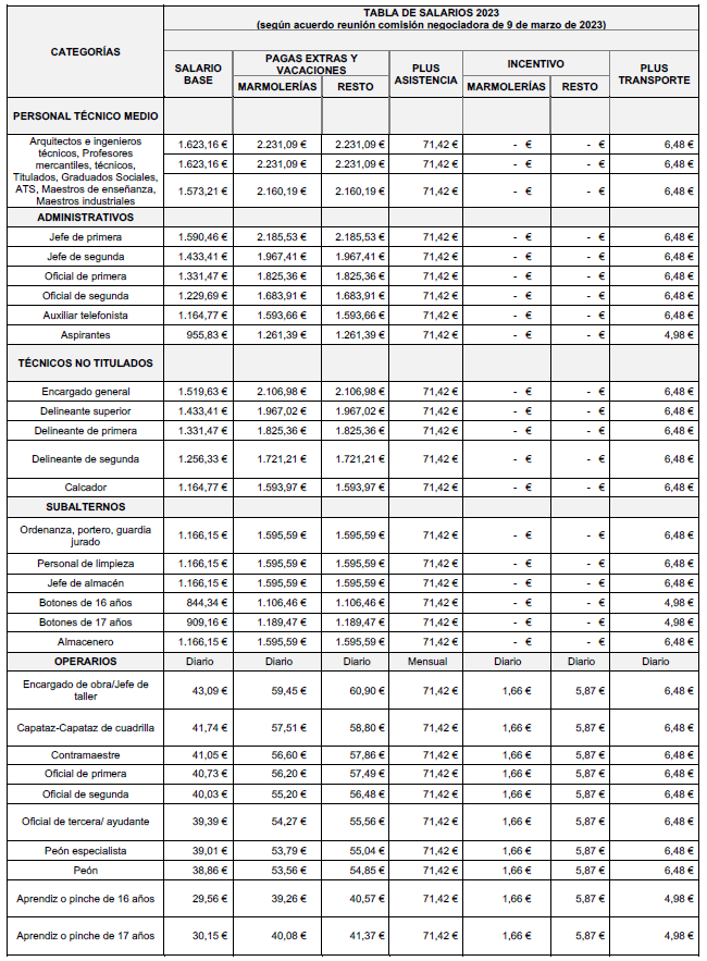
Para los años 2022, 2023y 2024, las partes acuerdan el siguiente incremento económico:
a) Para el año 2022, se incrementarán las tablas del convenio de MM PP correspondientes al año 2021 en un 3%, con efectos desde el día 1 de enero de 2022, debiendo abonarse por tanto los correspondientes atrasos.
b) Para el año 2023, las tablas del 2022 resultantes de la anterior revisión se incrementarán en un 3%, con efectos del día 1 de enero de 2023, debiendo abonarse por tanto los correspondientes atrasos.
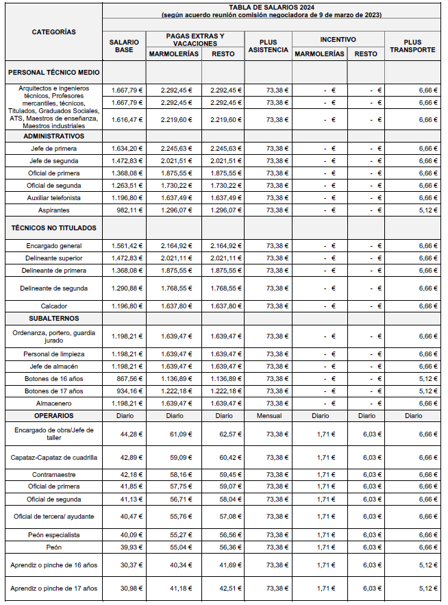
c) Para el año 2024, se incrementarán las tablas vigentes durante el 2023 en un 2,75%, con efectos del día 1 de enero de 2024, debiendo abonarse por tanto los correspondientes atrasos..
Este incremento será aplicable únicamente a los conceptos existentes en las tablas salariales del convenio. Por tanto, no se aplicará a otros conceptos tales como el plus de tóxico, penoso o peligroso, la antigüedad consolidada u otros.
En el Anexo I al presente texto se añade la tabla de salarios de 2022, 2023 y 2024.
9.12.bis Plus de convenio
Se acuerda el establecimiento de un Plus de convenio consistente en una paga en los años 2022 y 2024. Este Plus de convenio consistirá en:
a) Para 2022, un 1,0% sobre las tablas de convenio de 2021.
b) Para 2024, un 0,25% sobre las tablas de convenio de 2023.
Este Plus de convenio se liquidará de la siguiente forma.
– En 2023: se podrá realizar el pago del Plus de convenio de 2022 hasta la nómina de septiembre de 2023 inclusive.
– En 2025: se podrá realizar el pago del Plus de convenio de 2024 hasta la nómina de marzo de 2025 inclusive.
Este Plus de convenio no tiene carácter consolidable, por lo que se abonará únicamente para los años 2022 y 2024.
Este Plus de convenio no es absorbible y sustituye las aportaciones al plan de pensiones regulado por el artículo 52 bis del CGSC durante el periodo de 2022 a 2024, por lo que durante los años anteriormente indicados las empresas sujetas a este convenio no estarán obligadas a realizar aportación alguna al plan de pensiones del art. 52 bis de CGSC.
Para el cálculo de su importe sólo se tendrán en cuenta los conceptos incluidos en la tabla salarial de cada año de vigencia del presente convenio colectivo. En concreto, los conceptos incluidos en las tablas salariales del Convenio son: salario base, pagas extras y vacaciones, plus asistencia, incentivo y plus transporte.
9.13. Revisión salarial
Las partes acuerdan establecer una cláusula de garantía salarial para los años 2022, 2023 y 2024, cuya finalidad es garantizar el poder adquisitivo de los trabajadores.
La condición para que se pueda aplicar esta clausula es que si el valor medio de los incrementos porcentuales interanuales del Índice de Precios al Consumo de los meses de enero de 2022 a diciembre de 2024, publicado por el Instituto Nacional de Estadística, se situara en un nivel superior al 10,0%, y siempre con un máximo de un 13,0%, se incrementarán con efectos de 1 de enero de 2025 las tablas salariales del año 2024, sin efectos retroactivos.No se producirá el devengo de atrasos por este concepto.
Se acuerda expresamente que los posibles incrementos derivados de la aplicación de esta cláusula de garantía salarial, no generarán devengo alguno al plan de pensiones del artículo 52 bisni del apartado 4 del artículo 52del Convenio General del Sector de la Construcción por este concepto durante el periodo de 2022 a 2024..
9.14. Recibos de salarios
El recibo individual de salarios al que se refiere el apartado 1º del artículo 29 del Estatuto de los trabajadores, se ajustará, en principio, al modelo establecido en cada empresa, sin perjuicio de que por acuerdo entre la empresa y los representantes legales de los trabajadores se establezca otro modelo distinto en los términos previstos legalmente.
10. TIEMPO DE TRABAJO
10.1 Jornada
La jornada ordinaria de trabajo será de 40 horas semanales de trabajo efectivo, de lunes a viernes, en jornada partida y 40 horas semanales de trabajo efectivo en jornada continuada.
La jornada ordinaria anual será de 1736 horas. Para adaptar la jornada al cómputo de horas anuales se estará a lo definido en el calendario laboral aprobado anualmente.
En cada centro de trabajo, la empresa expondrá en lugar visible el calendario laboral pactado a nivel Convenio o el pactado en el propio centro de trabajo.
De común acuerdo entre empresarios y la representación de los trabajadores, podrán modificarse los días de compensación.
En la sección de aserraderos de bloques, se realizarán tres turnos rotatorios, de acuerdo con la legalidad vigente.
En las demás secciones, siempre que se esté haciendo jornada partida, podrá cambiarse a turnos de mañana y tarde por períodos de tiempo determinados, previa información a los representantes sindicales y de acuerdo con el personal afectado.
El personal técnico y administrativo, disfrutará de jornada continuada del 1 de junio al 15 de septiembre, garantizándose los servicios mínimos de cada empresa mediante turnos de este personal a jornada partida, previa negociación entre las partes.
10.2 Vacaciones
El personal afectado por el presente convenio, sea cual fuere su modalidad de contratación laboral tiene derecho a un periodo de treinta días naturales -21 días laborales- de vacaciones retribuidas al año, o, en su caso, la parte proporcional al tiempo efectivamente trabajado como empleado en la empresa correspondiente. El disfrute de las vacaciones se deberá iniciar, en cualquier caso, en día laborable. Las vacaciones se disfrutarán por años naturales.
El derecho a vacaciones no es susceptible de compensación económica. No obstante, el personal que cause baja en la empresa en el transcurso del año, tendrá derecho al abono del salario correspondiente a la parte de las vacaciones devengadas y no disfrutadas correspondientes a todo el contrato en vigor, como concepto de liquidación por su baja en la empresa
A efectos del devengo de vacaciones, se considerará como tiempo efectivamente trabajado, el correspondiente a la situación de incapacidad temporal, sea cual fuese su causa.
Cuando el período vacacional fijado para cada trabajador/a coincida, total o parcialmente con la incapacidad temporal, sea cuál sea la causa de la IT, o con un período de suspensión de contrato de los establecidos en los artículos 48.4 y 48 bis del ET, se mantendrá el derecho al disfrute de las vacaciones en fecha distinta a la de la incapacidad temporal o a la del disfrute del permiso que le había correspondido, al finalizar el período de IT o de suspensión del contrato.
Tal derecho también se mantendrá aún finalizado el año temporal al que habían correspondido las referidas vacaciones.
Este derecho se mantiene tanto sí la situación de IT o de suspensión de contrato se produce antes del inicio del periodo vacacional o sobreviene disfrutando del mismo.
El disfrute de las vacaciones, como norma general y salvo pacto en contrario, tendrá carácter ininterrumpido.
La retribución de las vacaciones consistirá en la cantidad fija establecida en la tabla salarial anexa, más la antigüedad consolidada, en su caso.
10.3 Permisos y licencias
El trabajador, previo aviso de al menos cuarenta y ocho horas, salvo acreditada urgencia, y justificación posterior, se encuentra facultado para ausentarse del trabajo, manteniendo derecho a la percepción de todos aquellos conceptos retributivos que no se encuentren vinculados de forma expresa a la prestación efectiva de la actividad laboral, por alguno de los motivos y tiempo siguiente:
a) Matrimonio del trabajador/a 15 días naturales.
b) Matrimonio de hijos/as o hermanos, 1 día natural. Cuando por tal motivo el trabajador precise hacer un desplazamiento al efecto fuera de la provincia donde tiene su centro de trabajo, 2 días naturales.
c) Enfermedad grave del cónyuge, accidente o enfermedad grave, hospitalización o intervención quirúrgica sin hospitalización que precise reposo domiciliario, del cónyuge o compañero/a en su caso, padre, madre o hijos/as, 4 días naturales. Cuando por tal motivo el trabajador precise hacer un desplazamiento al efecto fuera de la provincia, 5 días naturales Esta licencia se ampliará en un día laborable más cuando en el transcurso de la misma haya dos o más días no laborables(1).
d) Enfermedad o accidente graves, hospitalización o intervención quirúrgica sin hospitalización que precise reposo domiciliario del resto de parientes hasta segundo grado de consanguinidad o afinidad, dos días naturales. Cuando por tal motivo el trabajador precise hacer un desplazamiento al efecto fuera de la provincia, el plazo será de cuatro días.
e) Nacimiento o adopción de hijo/la, 6 días naturales.
f) Muerte de cónyuge (o compañero/a en su caso) o hijos/as, 6 días naturales.
g) Muerte de padre o madre, 4 días naturales.
h) Muerte de resto de parientes hasta segundo grado de consanguinidad o afinidad, 2 días naturales. En el caso de convivencia, se ampliará la licencia hasta cuatro días.
i) Muerte de tías/los, tías/los políticas/los, 1 día natural.
j) Traslado de domicilio habitual, 3 días naturales. Cuando por tal motivo el trabajador precise hacer un desplazamiento al efecto fuera de la Provincia, 5 días naturales.
k) Asistencia al médico del trabajador/la o para acompañar a hijos/las menores o parientes mayores dependientes con los que exista convivencia, 20 horas anuales.
l) Todo lo anteriormente expuesto en este artículo será de aplicación para las parejas de hecho fehacientemente acreditadas e inscritas en el registro público corresponsal.
(1) En caso de emitirse alta médica antes de los días indicados, la licencia se dará por finalizada en el momento de la misma. Lo mismo ocurrirá sí el descanso hospitalario prescrito fuese inferior a los 4 días.
11. PREVENCIÓN DE RIESGOS Y VIGILANCIA DE LA SALUD
11.1. Vigilancia de la Salud
Las empresas garantizarán a los trabajadores/as a su servicio la vigilancia periódica de su estado de salud en función de los riesgos inherentes a su puesto de trabajo concreto, facilitando a la totalidad del personal integrante en la plantilla, un reconocimiento médico con carácter anual como mínimo, el cual se llevará a cabo en un centro asistencial debidamente homologado al efecto. A tal efecto, se mantendrá la oportuna colaboración con las mutuas de accidentes de trabajo y E.P., u otros medios que se acuerden al fin expresado.
En todo caso, y según los riesgos asociados al puesto trabajo concreto de que se trate y de acuerdo con la evaluación de riesgos laborales de cada empresa, se aplicarán los siguientes protocolos editados por el Ministerio de Sanidad del Gobierno de España:
En relación con el carácter voluntario de los reconocimientos médicos, se estará a lo que se regula en el artículo 22.1 de la Ley de Prevención de Riesgos Laborales. En dicho artículo se dice que «…De este carácter voluntario sólo se exceptuarán, previo informe de los representantes de los trabajadores, los supuestos en los que la realización de los reconocimientos sea imprescindible para evaluar los efectos de las condiciones de trabajo sobre la salud de los trabajadores o para verificar si el estado de salud del trabajador puede constituir un peligro para el mismo, para los demás trabajadores o para otras personas relacionadas con la empresa o cuando así esté establecido en una disposición legal en relación con la protección de riesgos específicos y actividades de especial peligrosidad».
11.2 Riesgos Psicosociales
Se analizará redacción de mutuo acuerdo sobre la base de los siguientes principios:
– Todo trabajador tiene derecho al más pleno respeto de su intimidad, consideración de su dignidad, y a la protección frente a todo tipo de ofensas verbales o físicas de cualquier naturaleza.
– Se considera acoso sexual la situación en la que se produce cualquier comportamiento verbal, no verbal o físico no deseado de índole sexual con el propósito o el efecto de atentar contra la dignidad de una persona, en particular cuando se crea un entorno intimidatorio, hostil, degradante, humillante u ofensivo. El acoso sexual se considera discriminación por razón de sexo, y, por lo tanto, será objeto de las máximas sanciones por parte de la empresa.
Las empresas llevarán a cabo, en colaboración con los representantes de los trabajadores, una política de prevención y erradicación de las conductas constitutivas de cualquier tipo de acoso.
11.3 Ropa de trabajo
Las empresas facilitarán ropas de trabajo al personal según se especifique para cada sección y cuya duración mínima será la que se señala en cada caso:
Por cada prenda no entregada en los plazos señalados, el trabajador podrá reclamar a la empresa, y ésta habrá de abonar las siguientes cantidades:
– Buzo o trajes: 36,40 euros
– Mandiles: 18,53 euros
– Botas: 14,96 euros
– Guantes: 7,32 euros
– Zuecos: 29,50 euros
La entrega de las botas excluirá la de zuecos y viceversa.
Las empresas entregarán gafas de protección graduadas al personal operario cuyo puesto de trabajo lo requiera, y lo solicite previa prescripción facultativa.
En todo caso, en aplicación de lo dispuesto en el RD 665/1997la ropa de trabajo anteriormente mencionada será ropa de protección apropiada en función del puesto desempeñado por cada trabajador/ trabajadora para conminar el riesgo de contaminación por agentes cancerígenos o mutágenos, y más concretamente del polvo de sílice
Así mismo, las empresas dispondrán de lugares separados para guardar de manera separada las ropas de trabajo o de protección y las ropas de vestir.
Las empresas se responsabilizarán del lavado y descontaminación de la ropa de trabajo, quedando rigurosamente prohibido que los trabajadores/las trabajadoras se lleven dicha ropa a su domicilio para tal fin.
12. MEJORAS SOCIALES
12.1. Complemento de prestación de IT
En caso de IT derivada de accidente de trabajo o enfermedad profesional, los trabajadores percibirán el 100% de su base de cotización desde el primer día hasta el alta médica.
En caso de enfermedad común o accidente no laboral con hospitalización o derivada de intervención quirúrgica será desde el primer día hasta el alta del I.N.S.S.
12.2.Indemnizaciones
Se establecen las siguientes indemnizaciones para todos los trabajadores de alta en las empresas y afectados por este convenio:
a) En caso de muerte derivada de enfermedad común o accidente no laboral, el importe de una mensualidad de todos los conceptos de las tablas del convenio aplicable vigentes en cada momento.
b) En caso de muerte, incapacidad permanente total, absoluta o gran invalidez derivadas de accidente de trabajo o enfermedad profesional:
– 47.000 euros para toda la vigencia del convenio
Para los demás casos de incapacidad, la indemnización será proporcional al baremo.
Salvo designación expresa de beneficiarios por el asegurado, la indemnización se hará efectiva al trabajador accidentado, o en caso de fallecimiento, a los beneficiarios del trabajador, según las normas de la Seguridad Social.
A tales efectos las empresas concertarán, dentro del plazo máximo de dos meses desde la publicación de este convenio, las correspondientes pólizas de seguro.
12.3.Jubilación
1. La disposición adicional décima del Real Decreto Legislativo 2/2015, de 23 de octubre, por el que se aprueba el texto refundido de la Ley del Estatuto de los Trabajadores, en su redacción dada por la disposición final primera de la Ley 21/2021, de 28 de diciembre, de garantía del poder adquisitivo de las pensiones y de otras medidas de refuerzo de la sostenibilidad financiera y social del sistema público de pensiones, habilita a los convenios colectivos suscritos a partir del 1 de enero de 2022 a suscribir cláusulas que posibiliten la extinción del contrato de trabajo por el cumplimiento por la persona trabajadora de una determinada edad.
2. De una manera general, posibilita la extinción del contrato de trabajo cuando la persona trabajadora tenga una edad igual o superior a 68 años, siempre que se cumplan los siguientes requisitos:
a) La persona trabajadora afectada por la extinción del contrato de trabajo deberá reunir los requisitos exigidos por la normativa de Seguridad Social para tener derecho al cien por ciento de la pensión ordinaria de jubilación en su modalidad contributiva.
b) La medida deberá vincularse, como objetivo coherente de política de empleo expresado en el convenio colectivo, al relevo generacional a través de la contratación indefinida y a tiempo completo de, al menos, un nuevo trabajador o trabajadora.
Los objetivos coherentes de política de empleo del sector de las empresas incluidas en el ámbito de aplicación del presente convenio colectivo se centran en la estabilidad en el empleo, que se alcanza a través de la ampliación de la duración del contrato por circunstancias de la producción hasta la duración máxima de un año, de la subrogación de personal en las contratas, y de la regulación del contrato de trabajo fijo-discontinuo. Con todas estas medidas, el sector hace una apuesta decidida por el relevo generacional, intentando atraer a personas trabajadoras a un sector de actividad en el que la carencia de mano de obra es una evidencia.
3. Igualmente, la disposición adicional décima a la que se hace referencia en el apartado 1 establece que los convenios colectivos podrán rebajar el límite de los 68 años hasta la edad ordinaria de jubilación fijada por la normativa de la Seguridad Social, cuando la tasa de ocupación de las mujeres trabajadoras por cuenta ajena afiliadas a la Seguridad Social en alguna de las actividades económicas correspondientes al ámbito funcional del convenio sea inferior al 20 por ciento de las personas ocupadas en las mismas, y siempre que se cumplan los siguientes requisitos:
a) La persona afectada por la extinción del contrato de trabajo deberá reunir los requisitos exigidos por la normativa de Seguridad Social para tener derecho al cien por ciento de la pensión ordinaria de jubilación en su modalidad contributiva.
b) En el CNAE al que esté adscrita la persona afectada por la aplicación de esta cláusula concurra una tasa de ocupación de empleadas inferior al 20 por ciento sobre el total de personas trabajadoras a la fecha de efectos de la decisión extintiva. Este CNAE será el que resulte aplicable para la determinación de los tipos de cotización para la cobertura de las contingencias de accidentes de trabajo y enfermedades profesionales.
c) Cada extinción contractual en aplicación de esta previsión deberá llevar aparejada simultáneamente la contratación indefinida y a tiempo completo de, al menos, una mujer en la mencionada actividad.
4. Las partes firmantes del presente convenio establecen que las empresas podrán extinguir el contrato de trabajo de aquellas personas trabajadoras que cumplan con los requisitos que se recogen en los apartados 2 y 3, respectivamente, cuya extinción lleve aparejada la contratación en los términos que se establecen en los mismos para cada uno de ellos.
5. La persona trabajadora afectada por la extinción del contrato de trabajo, a requerimiento de la empresa efectuado con una antelación mínima de dos meses, estará obligada a facilitar a la empresa certificado de vida laboral expedido por el organismo competente, a fin de verificar el cumplimiento o no de los requisitos exigidos para tener derecho al cien por ciento de la pensión ordinaria de jubilación en su modalidad contributiva.
6. La decisión extintiva de la relación laboral será con carácter previo comunicada por la empresa a los representantes legales de las personas trabajadoras y a la propia persona trabajadora afectada.
7. Se prevé en este Convenio la posibilidad de acudir a la jubilación anticipada y parcial como medidas encaminadas a mejorar la estabilidad y calidad en el empleo en el sector de las empresas afectadas por el presente convenio, medidas que podrán ser adoptadas por las empresas dentro de las figuras que jurídicamente lo permitan.
12.3.1. Jubilación anticipada especial a los 64 años
En materia de jubilación anticipada especial a los 64 años, se estará a lo que promulgue en la legislación vigente en esta materia.
12.3.2. Jubilación parcial
En materia de jubilación parcial, se estará a lo que promulgue en la legislación vigente en esta materia.
12.4. Igualdad de oportunidades y no discriminación
Las partes firmantes del presente Convenio, asumen el compromiso de garantizar que el derecho fundamental de igualdad de trato y oportunidades en el ámbito laboral en este sector sea real y efectivo, además de la eliminación de estereotipos y lenguaje sexista fomentando el igual valor de mujeres y hombres en todos los ámbitos.
A tal efecto, reconocen la importancia de la aplicación y difusión de Ley 3/2007, del 22 de marzo, para la igualdad efectiva de mujeres y hombres, la cual establece que las empresas están obligadas a garantizar la igualdad de trato y oportunidad en el lugar de trabajo, y en este sentido, deberán tomar medidas para evitar cualquier tipo de discriminación en el empleo entre hombres y mujeres, medidas que deben ser negociadas, y acordadas con los representantes legales de los trabajadores, bajo la forma determinada por la legislación laboral. En el caso de empresas de cincuenta o más personas trabajadoras, las medidas de igualdad, de acuerdo con lo establecido en el artículo 45.2 de la Ley Orgánica 3/2007, de 22 de marzo, deberán dirigirse a la elaboración y aplicación de un plan de igualdad, con el alcance y contenido previsto en el Real Decreto 901/2020.
Para esto, se deberán tener en cuenta dentro de cada empresa las materias relacionadas con el acceso al empleo, clasificación profesional, promoción y formación, remuneración, gestión del tiempo de trabajo para favorecer (en tener de igualdad entre mujeres y hombres) la conciliación laboral, personal y familiar y la prevención del acoso sexual y lo acoso basado en el sexo. La finalidad será promover la aplicación efectiva de la igualdad de oportunidades además de prevenir, detectar y erradicar cualquier manifestación de discriminación mediante el desarrollo de acciones concretas en estas materias:
Acceso el empleo
– Introducir en las políticas de selección, medidas de acción positiva que posibiliten una mayor equiparación de los géneros nos distintos grupos.
Promoción
– Fomento de una gestión excelente de los recursos humanos que evite discriminación y poda ofrecer la igualdad de oportunidades reales.
– Favorecer la diversificación profesional y el equilibrio de toda la plantilla entre hombres y mujeres tanto en los grupos profesionales como en las árelas.
Retribuciones
– Definir de forma clara y precisa, todos los conceptos retributivos existentes, describiendo su tipología, las condiciones y los requisitos para su percepción.
– Transparencia de la estructura salarial.
– Ordenación del tiempo de trabajo para favorecer, en tener de igualdad entre mujeres y hombres, la conciliación de la vida laboral, personal y familiar.
– Garantizar el ejercicio de los derechos relacionados con la conciliación (y corresponsabilidad) sin menoscabo de las relaciones laborales. Es decir, las licencias y permisos relativos a la protección de la maternidad, la paternidad, así como aquellos relativos a la atención y cuidado de la familia, no pueden constituir una discriminación.
– Las empresas garantizarán que las personas que se acojan a una jornada distinta de la completa, o estén en situación de excedencia por motivos familiares no pierdan oportunidades de promoción y tendrán garantizada la participación en cursos de formación.
– El permiso de lactancia acumulado en jornadas completas será siempre de días laborables.
Prevención y actuaciones en caso de acoso sexual y del acoso por razón de género.
– En este sentido se atenderá el dispuesto en el artículo 11.2 del texto del presente Convenio Colectivo.
13. CLÁUSULA DE INAPLICACIÓN DE CONDICIONES
Cuando concurran las causas previstas en el artículo 82.3 del Estatuto de los Trabajadores, en los términos y condiciones y respecto de las materias reguladas en el referido artículo, se podrá proceder a la inaplicación en la empresa de las condiciones de trabajo previstas en el presente convenio colectivo.
A efectos de aplicación de la presente cláusula, las partes acuerdan someterse a las siguientes normas de procedimiento: La Dirección de la empresa deberá comunicar por escrito a la representación de los trabajadores y a la Comisión Paritaria del convenio, la voluntad de acogerse a la cláusula de descuelgue.
La Dirección de la Empresa, entregará a los representantes de los trabajadores/as, la documentación acreditativa fehaciente de las causas aducidas, documentación que, como mínimo, comprenderá: 1/ Memoria Explicativa de las causas que motivan la solicitud y una previsión de lo que puede suponer para la empresa ese año su descuelgue, 2/ Balances y Cuenta de Resultados de los dos últimos ejercicios económicos, 3/ la empresa, si lo considera determinante, podrá aportar datos sobre su situación financiera, productiva, comercial o de cotizaciones a la Seguridad Social y al IRPF.
A la vista de la documentación aportada, si en el plazo de 15 días siguientes a su recepción por los representantes de los trabajadores/as, no se alcanzase un acuerdo, se remitirá a la Comisión Paritaria, la indicada documentación.
La Comisión Paritaria, en el plazo de 7 días hábiles deberá resolver sobre la cuestión planteada. Si la Comisión Paritaria no dictara resolución en el plazo indicado, se procederá conforme a lo previsto en el sistema de arbitraje AGA, acuerdo de 28 de noviembre de 2019, asumiendo las partes firmantes del presente Convenio, el sometimiento expreso a dicho sistema, por el simple hecho de la indicada remisión, sin necesidad de ulterior sometimiento o aprobación.
Los acuerdos que se adopten en el seno de la empresa, establecerán, los incrementos acordados para la vigencia del Convenio, así como la forma de su aplicación. Del acuerdo adoptado, se dará cuenta a la Comisión Paritaria, al objeto de su conocimiento.
14. DISPOSICIONES ADICIONALES
14.1. Lenguas del convenio
El presente convenio colectivo será redactado en las dos lenguas oficiales de la Comunidad Autónoma de Galicia y publicado en la misma forma en el BOP.
14.2. Solución extrajudicial de conflictos laborables
Las partes firmantes asumen el contenido del Acuerdo Interprofesional Gallego sobre procedimientos extrajudiciales de solución de conflictos de trabajo (AGA), publicado en el DOG del 12 de febrero de 2020 que desarrollará sus efectos en los ámbitos del presente convenio, con el alcance previsto en el propio AGA.
14.3. Comité técnico de prevención de riesgos laborales
Las partes acuerdan seguir fomentando el comité técnico de prevención de riesgos laborales que se creó en su momento.
14.4. Legislación subsidiaria
En lo no previsto expresamente en este convenio se estará a lo establecido en el Texto Refundido del Estatuto de los Trabajadores, demás normas legales de general aplicación y al VI Convenio General del Sector de la Construcción.
15. DISPOSICIÓN TRANSITORIA PRIMERA
En las disposiciones transitorias primera y tercera del Real Decreto-ley 32/2021, de 28 de diciembre, de medidas urgentes para la reforma laboral, la garantía de la estabilidad en el empleo y la transformación del mercado de trabajo, se establece que los contratos en prácticas y para la formación y el aprendizaje, los de obra y servicio, los eventuales por circunstancias del mercado, acumulación de tareas o exceso de pedidos y los contratos de interinidad, basados en lo previsto en los artículos 11 y 15.1.a), b) y c) del Estatuto de los Trabajadores, y los contratos fijos de obra suscritos en virtud de lo dispuesto en el artículo 24 del VI Convenio Estatal de la Construcción, vigentes con anterioridad al 31 de diciembre de 2021, resultarán aplicables hasta su duración máxima.
Así mismo, la disposición transitoria cuarta del citado Real Decreto-ley dispone el régimen transitorio aplicable a los contratos de duración determinada celebrados entreel 31 de diciembre de 2021 y el 30 de marzo de 2022.
Como consecuencia de ello, de la pervivencia en la actualidad de contratos celebrados en las fechas indicadas, nos remitimos en su regulación a lo establecido en las disposiciones transitorias primera y segunda del CGSC.
ANEXO I. Tablas salariales
ANEXO II. Ficha informativa del Plus de tóxicos, penosos y peligrosos
CALENDARIO 2024 (BOP Núm. 20 – Luns, 29 de xaneiro de 2024)
CONVENIO DE MÁRMORES E PEDRAS DA PROVINCIA DE PONTEVEDRA DO CALENDARIO LABORAL DE 2024.
Convenio o Acordo: MARMOLES E PEDRAS.
Expediente: 36/01/0337/2023.
Data:17/01/2024.
Asunto: RESOLUCIÓN DE INSCRICIÓN E PUBLICACIÓN.
Código de Convenio número 36000965011981.
Visto o Acordo da Comisión Negociadora do convenio colectivo para o persoal laboral das empresas do sector de MARMORES E PEDRAS DA PROVINCIA DE PONTEVEDRA, polo que establece o calendario laboral para o ano 2024, subscrito en representación da parte económica, pola organización empresarial Asociación de Clúster del Granito de Pontevedra e da parte social polas Centrais sindicais CCOO e UGT, e que foi adoptado o devandito acordo en data 13 de decembro do 2023
Primeiro.- Dito Acordo foi presentado na Xefatura Territorial de Vigo en data 21 de decembro do 2023.
Segundo.- Que no mesmo non se aprecia ningunha infracción da legalidade vixente e as súas cláusulas non conteñen estipulacións en prexuízo de terceiros.
FUNDAMENTOS DE DEREITO.
Primeiro.- Que o artigo 90.2 e 3 do Real Decreto Lexislativo 2/2015, do 23 de outubro, do Estatuto dos Traballadores, outorga facultades a Autoridade laboral competente en orde ao rexistro, publicación, depósito e notificación dos Acordos Colectivos pactados no ámbito da súa competencia.
Segundo.- Real Decreto 713/2010, de 28 de maio, sobre Rexistro e Depósito dos convenios e acordos colectivos de traballo.
Terceiro.- Real decreto 2412/82, do 24 de xullo, sobre traspaso de funcións e servizos da Administración do Estado á Comunidade Autónoma de Galicia, en materia de traballo,
Esta xefatura territorial, ACORDA:
Primeiro.- Ordenar o seu rexistro e inscrición no Rexistro de Convenios e Acordos Colectivos de Traballo da Comunidade Autónoma de Galicia, creado mediante Orde do 29 de outubro do 2010 (DOG nº 222, do 18.11.2010).
Segundo.- Dispoñer a súa publicación no Boletín Oficial da Provincia.
Terceiro.- Ordenar a notificación desta Resolución á Mesa Negociadora do mesmo.
O xefe territorial.
En la sede social de la Asociación Clúster del Granito se reúnen las personas arriba citadas en calidad de la representación que ostentan a los efectos de revisar y completar el calendario laboral aplicable al sector de Mármoles y Piedras de la provincia de Pontevedra para el año 2024.
Tras las propuestas de cada parte y el correspondiente debate, las partes acuerdan el siguiente calendario laboral para 2024 que se adapta a la jornada laboral máxima anual de 1736 horas:
– 5 de enero.
– 12 y 13 de febrero.
– 1 de abril.
– 24 de junio.
– 12 y 26 de julio.
– 16 de agosto.
– 23, 24, 30 y 31 de diciembre.
En caso de que algún festivo local coincida con los festivos de convenio, se trasladará al siguiente día laborable a estos efectos.
No obstante, el presente calendario laboral podrá ser modificado por acuerdo entre la empresa y los representantes de los trabajadores.
Esta Comisión Negociadora faculta a D. José Ángel Lorenzo Ramírez, con DNI XXX995XX-S, para que realice los trámites administrativos que resulten necesarios a los efectos de proceder al registro del presente acuerdo ante la Autoridad Laboral para su posterior publicación en el Boletín Oficial de la provincia de Pontevedra (BOPP).
Sin más asuntos que tratar, se da por finalizada la reunión siendo las 13:00 de 13 de diciembre de 2023.
CALENDARIO 2025 (BOP Núm. 40 – Xoves, 27 de febreiro de 2025)
CALENDARIO LABORAL DO ANO 2025 PARA O PERSOAL LABORAL DAS EMPRESAS DO SECTOR DE MARMORES E PEDRAS DA PROVINCIA DE PONTEVEDRA.
Convenio o Acordo: MARMOLES E PEDRAS.
Expediente: 36/01/0035/2025.
Data: 13/02/2025.
Asunto: RESOLUCIÓN DE INSCRICIÓN E PUBLICACIÓN.
Código de Convenio número 36000965011981.
Visto o Acordo da Comisión Negociadora do convenio colectivo para o persoal laboral das empresas do sector de MARMORES E PEDRAS DA PROVINCIA DE PONTEVEDRA, polo que establece o calendario laboral para o ano 2025, subscrito en representación da parte económica, pola organización empresarial Asociación de Clúster del Granito de Pontevedra e da parte social polas Centrais sindicais CCOO, UGT e CIG, e que foi adoptado o devandito acordo en data 17 de xaneiro do 2025
Primeiro.- Dito Acordo foi presentado no Departamento Territorial de Pontevedra con sede en Vigo en data 11 de febreiro do 2025.
Segundo.- Que no mesmo non se aprecia ningunha infracción da legalidade vixente e as súas cláusulas non conteñen estipulacións en prexuízo de terceiros.
FUNDAMENTOS DE DEREITO.
Primeiro.- Que o artigo 90.2 e 3 do Real Decreto Lexislativo 2/2015, do 23 de outubro, do Estatuto dos Traballadores, outorga facultades a Autoridade laboral competente en orde ao rexistro, publicación, depósito e notificación dos Acordos Colectivos pactados no ámbito da súa competencia.
Segundo.- Real Decreto 713/2010, de 28 de maio, sobre Rexistro e Depósito dos convenios e acordos colectivos de traballo.
Terceiro.- Real decreto 2412/82, do 24 de xullo, sobre traspaso de funcións e servizos da Administración do Estado á Comunidade Autónoma de Galicia, en materia de traballo,
Este departamento territorial, ACORDA:
Primeiro.- Ordenar o seu rexistro e inscrición no Rexistro de Convenios e Acordos Colectivos de Traballo da Comunidade Autónoma de Galicia, creado mediante Orde do 29 de outubro do 2010 (DOG nº 222, do 18.11.2010).
Segundo.- Dispoñer a súa publicación no Boletín Oficial da Provincia.
Terceiro.- Ordenar a notificación desta Resolución á Mesa Negociadora do mesmo.
O director territorial
ACTA DE LA COMISIÓN NEGOCIADORA DEL CONVENIO DE MÁRMOLES Y PIEDRAS DE LA PROVINCIA DE PONTEVEDRA CONSTITUIDA PARA DETERMINAR EL CALENDARIO LABORAL DE 2025.
ASISTENTES.
POR LA PARTE EMPRESARIAL:.
NOMBRE DNI FIRMA.
José Ángel Lorenzo Ramírez.
Joseba Couso Iglesias.
Javier Blanco Silva.
Carlos Pérez Rodríguez.
Fernando Costas Gallego.
POR LA UGT:.
NOMBRE DNI FIRMA.
José Carlos Casal Iglesias.
POR CCOO:.
NOMBRE DNI FIRMA.
Francisco Estévez Rodríguez.
POR CIG:.
NOMBRE DNI FIRMA.
Ricardo Arias Alén.
En la sede social de la Asociación Clúster del Granito se reúnen las personas arriba citadas en calidad de la representación que ostentan a los efectos de revisar y completar el calendario laboral aplicable al sector de Mármoles y Piedras de la provincia de Pontevedra para el año 2025.
1. Tras las propuestas de cada parte y el correspondiente debate, las partes acuerdan el siguiente calendario laboral para 2025 que se adapta a la jornada laboral máxima anual de 1736 horas:
– 2 y 3 de enero.
– 3 y 4 de marzo.
– 21 de abril.
– 2 de mayo.
– 24 de julio.
– 14 de agosto.
– 31 de octubre.
– 24, 26 y 31 de diciembre.
En caso de que algún festivo local coincida con los festivos de convenio, se trasladará al siguiente día laborable a estos efectos.
El presente calendario laboral podrá ser modificado por acuerdo entre la empresa y los representantes de los trabajadores. En especial, en lo que corresponde al 2 y al 3 de enero de 2025.
2. Debido a la incertidumbre actual existente con relación a la duración máxima de la jornada laboral semanal, este calendario tiene carácter provisional, perdiendo su vigencia en caso de que se apruebe una reducción de dicha jornada laboral semanal, debiendo establecer un nuevo calendario acorde a la nueva realidad jurídica, en un plazo máximo de un mes desde la aprobación de la reducción de la jornada.
Ambas partes se comprometen a utilizar los instrumentos necesarios para adaptar el calendario al nuevo marco legal, tras la reducción de jornada que se regule, incluyendo la reducción y eliminación, si así fuese necesario, de los pactados «días de convenio» o «días de ajuste de jornada» del calendario anual del presente convenio, siempre respetando las 1736 horas anuales o lo que resulte del nuevo marco legal respecto a la jornada máxima anual.
Esta Comisión Negociadora faculta a D. José Ángel Lorenzo Ramírez, con DNI 36099550-S, para que realice los trámites administrativos que resulten necesarios a los efectos de proceder al registro del presente acuerdo ante la Autoridad Laboral para su posterior publicación en el Boletín Oficial de la provincia de Pontevedra (BOPP).
Sin más asuntos que tratar, se da por finalizada la reunión siendo las 11:30 horas de 17 de enero de 2025.
HOJA DE IDENTIFICACIÓN DE FIRMAS.
POR LA PARTE EMPRESARIAL:
NOMBRE DNI FIRMA.
José Ángel Lorenzo Ramírez.
Joseba Couso Iglesias.
Javier Blanco Silva.
Carlos Pérez Rodríguez.
Fernando Costas Gallego.
POR LA UGT:
NOMBRE DNI FIRMA.
José Carlos Casal Iglesias.
POR CCOO:
NOMBRE DNI FIRMA.
Francisco Estévez Rodríguez.
POR CIG:
NOMBRE DNI FIRMA.
Ricardo Arias Alén.
CALENDARIO 2026 (BOP Núm. 17 – Martes, 27 de xaneiro de 2026)
CALENDARIO LABORAL DO ANO 2026 PARA O PERSOAL LABORAL DAS EMPRESAS DO SECTOR DE MARMORES E PEDRAS DA PROVINCIA DE PONTEVEDRA.
Código de Convenio número 36000965011981.
Visto o Acordo da Comisión Negociadora do convenio colectivo para o persoal laboral das empresas do sector de MARMORES E PEDRAS DA PROVINCIA DE PONTEVEDRA, polo que establece o calendario laboral para o ano 2026, subscrito en representación da parte económica, pola organización empresarial Asociación de Clúster del Granito de Pontevedra e da parte social polas Centrais sindicais CCOO, UGT e CIG, e que foi adoptado o devandito acordo en data 17 de novembro do 2025.
Primeiro.- Dito Acordo foi presentado no Departamento Territorial de Pontevedra con sede en Vigo en data 20 de novembro do 2025.
Segundo.- Que no mesmo non se aprecia ningunha infracción da legalidade vixente e as súas cláusulas non conteñen estipulacións en prexuízo de terceiros.
FUNDAMENTOS DE DEREITO.
Primeiro.- Que o artigo 90.2 e 3 do Real Decreto Lexislativo 2/2015, do 23 de outubro, do Estatuto dos Traballadores, outorga facultades a Autoridade laboral competente en orde ao rexistro, publicación, depósito e notificación dos Acordos Colectivos pactados no ámbito da súa competencia.
Segundo.- Real Decreto 713/2010, de 28 de maio, sobre Rexistro e Depósito dos convenios e acordos colectivos de traballo.
Terceiro.- Real decreto 2412/82, do 24 de xullo, sobre traspaso de funcións e servizos da Administración do Estado á Comunidade Autónoma de Galicia, en materia de traballo,
Este departamento territorial, ACORDA:
Primeiro.- Ordenar o seu rexistro e inscrición no Rexistro de Convenios e Acordos Colectivos de Traballo da Comunidade Autónoma de Galicia, creado mediante Orde do 29 de outubro do 2010 (DOG nº 222, do 18.11.2010).
Segundo.- Dispoñer a súa publicación no Boletín Oficial da Provincia.
Terceiro.- Ordenar a notificación desta Resolución á Mesa Negociadora do mesmo.
O director territorial.
ACTA DE LA COMISIÓN NEGOCIADORA DEL CONVENIO DE MÁRMOLES Y PIEDRAS DE LA PROVINCIA DE PONTEVEDRA CONSTITUIDA PARA DETERMINAR EL CALENDARIO LABORAL DE 2026.
En la sede social de la Asociación Clúster del Granito se reúnen las personas arriba citadas en calidad de la representación que ostentan a los efectos de revisar y completar el calendario laboral aplicable al sector de Mármoles y Piedras de la provincia de Pontevedra para el año 2026.
Tras las propuestas de cada parte y el correspondiente debate, las partes acuerdan el siguiente calendario laboral para 2026 que se adapta a la jornada laboral máxima anual de 1736 horas:
– 2 y 5 de enero.
– 20 de marzo.
– 6 de abril.
– 24 de julio.
– 7, 24, 28, 29, 30 y 31 de diciembre.
En caso de que algún festivo local coincida con los festivos de convenio o día inhábil, se trasladará al siguiente día laborable a estos efectos.
No obstante, el presente calendario laboral podrá ser modificado por acuerdo entre la empresa y los representantes de los trabajadores.
Esta Comisión Negociadora faculta a D. José Ángel Lorenzo Ramírez, con DNI 36099550-S, para que realice los trámites administrativos que resulten necesarios a los efectos de proceder al registro del presente acuerdo ante la Autoridad Laboral para su posterior publicación en el Boletín Oficial de la provincia de Pontevedra (BOPP).
Sin más asuntos que tratar, se da por finalizada la reunión siendo las 18:00 de 17 de noviembre de 2025.
