Índice
CONVENIO COLECTIVO (BOP N.º 167 – 30 de Agosto de 2018)
Convenio o Acuerdo: INDUSTRIAS DERIVADOS DEL CEMENTO.
Expediente: 21/01/0096/2018. Fecha: 08/08/2018.
Asunto: RESOLUCIÓN DE INSCRIPCIÓN Y PUBLICACIÓN.
Código 21100325012018.
RESOLUCIÓN de la Delegación Territorial de Conocimiento y Empleo de la Junta de Andalucía en Huelva, por la que se acuerda el registro, depósito y publicación del CONVENIO COLECTIVO DE INDUSTRIAS DE DERIVADOS DEL CEMENTO DE LA PROVINCIA DE HUELVA.
VISTO el texto del CONVENIO COLECTIVO DE INDUSTRIAS DE DERIVADOS DEL CEMENTO DE LA PROVINCIA DE HUELVA, que fue suscrito con fecha 5 de julio de 2018 por la Asociación de Empresarios de Derivados del Cemento y por las centrales sindicales FICA-UGT Huelva y CCOO de Construcción y Servicios de Huelva, y de conformidad con lo dispuesto en el art. 90, apartados 2 y 3, del texto refundido de la Ley del Estatuto de los Trabajadores, aprobado por el Real Decreto Legislativo 2/2015, de 23 de octubre; en el Real Decreto 713/2010, de 28 de mayo, sobre registro y depósito de convenios y acuerdos colectivos de trabajo; en el Real Decreto 4043/82, de 29 de diciembre, por el que se traspasan funciones y servicios a la Junta de Andalucía; en el Decreto de la Presidenta 5/2018, de 6 de junio, de la Vicepresidencia y sobre reestructuración de Consejerías; en el Decreto 210/2015, de 14 de julio, por el que se regula la estructura orgánica de la Consejería de Empleo, Empresa y Comercio y en el Decreto 342/2012 de 31 de julio por el que se regula la organización territorial provincial de la Administración de la Junta de Andalucía, modificado por Decreto 107/2018, de 19 de junio, esta Delegación Territorial, en uso de sus atribuciones, acuerda:
PRIMERO: Ordenar la inscripción del referido convenio colectivo en el correspondiente Registro de convenios y acuerdos colectivos de trabajo de la Delegación Territorial de Conocimiento y Empleo de la Junta de Andalucía en Huelva (en la aplicación web REGCON), con notificación a la Comisión Negociadora.
SEGUNDO: Disponer su depósito.
TERCERO: Solicitar la publicación del texto del convenio colectivo mencionado en el Boletín Oficial de la Provincia de Huelva, para conocimiento y cumplimiento por las partes afectadas.
EL DELEGADO TERRITORIAL, MANUEL JOSE CEADA LOSA.
CONVENIO COLECTIVO PARA LAS INDUSTRIAS DE DERIVADOS DEL CEMENTO DE LA PROVINCIA DE HUELVA (2017-2020).
CAPÍTULO I. ÁMBITOS DE APLICACIÓN Y VIGENCIA.
ARTÍCULO 1º.- ÁMBITO TERRITORIAL Y FUNCIONAL.
El presente Convenio afectará a la provincia de Huelva y regulará las relaciones laborales entre las empresas y los trabajadores de las industrias dedicadas a la fabricación de artículos derivados del cemento, su manipulación y montaje que a continuación se relaciona:
– Fabricación de hormigones preparados y morteros para su suministro a las obras.
– Fabricación de productos en fibrocemento, tales como placas, tubos, accesorios y demás elementos.
– Fabricación de artículos y elementos en hormigones y morteros en masa, armados, post o pretensados, así como artículos en celulosa-cemento y pómez-cemento, tales como adoquines, baldosas, bloques, bordillos, bovedillas, depósitos, hormigón arquitectónico, losas, moldeados, piedra artificial, postes, tejas, tubos, vigas y otros elementos estructurales, etc.
Las actividades complementarias a las relacionadas, así como la comercialización y distribución de los productos anteriormente referidos.
ARTÍCULO 2º.- ÁMBITO PERSONAL.
Quedan incluidos en el ámbito de aplicación de este Convenio la totalidad de las Empresas y trabajadores cuya actividad quede comprendida dentro del ámbito funcional descrito en el precedente artículo. Se exceptúa de su aplicación a quiénes queden incluidos en los diferentes apartados del punto 3 del art. 1º del Estatuto de los Trabajadores.
ARTÍCULO 3º.- ENTRADA EN VIGOR Y DURACIÓN.
El presente Convenio entrará en vigor a todos los efectos, el día 1 de Enero de 2.017, con independencia de la fecha de publicación en el Boletín Oficial de la Provincia, terminando el 31 de diciembre de 2.020.
ARTÍCULO 4º.- DENUNCIA Y PRÓRROGA.
La denuncia para la rescisión del presente Convenio deberá formularse, por la representación que la proponga, por escrito ante la otra parte con un mínimo de tres meses de antelación a la fecha de su vencimiento, o a la que en su día determine la Ley.
El Convenio quedará prorrogado tácitamente por sucesivos períodos de una anualidad, si por cualquiera de las partes no se formulara denuncia de su rescisión con la antelación prevista.
En caso de no producirse la denuncia, todos sus conceptos económicos se incrementarán en la misma proporción que aumente el I.P.C. de los 12 meses anteriores.
ARTÍCULO 5º.- VINCULACIÓN A LA TOTALIDAD.
Las condiciones que se pactan, cualquiera que sea su naturaleza y contenido, constituyen un conjunto unitario indivisible, aceptándose por las partes que lo suscriben que las obligaciones que recíprocamente contraen tienen una contraprestación equivalente con los derechos que adquieren, considerando todo ello en su conjunto y en cómputo anual, sin que por tanto los pactos que se formalizan puedan ser interpretados o aplicados de forma aislada y con independencia de los demás.
En el supuesto de que la Jurisdicción competente, en uso de sus facultades, anulase o invalidase alguno de los pactos contenidos en el presente Convenio, las partes negociadoras considerarán si es válido por sí sólo el resto del texto aprobado, o bien si es necesaria una nueva y total o parcial renegociación del mismo.
Si se diese tal supuesto, las partes signatarias de este Convenio se comprometen a reunirse dentro de los 30 días siguientes al de la firmeza de la resolución correspondiente, al objeto de resolver el problema planteado.
Si en el plazo de 90 días, a partir de la fecha de la firmeza de la resolución en cuestión, las partes signatarias no alcanzasen un acuerdo, se comprometen a fijar un calendario de reuniones para la negociación del Convenio en su totalidad.
Si se produjera la situación de nulidad y, en tanto dure la misma, las partes se regirán por el convenio inmediatamente anterior.
COMISIÓN MIXTA DE INTERPRETACIÓN.
ARTÍCULO 6 º.- COMISION PARITARIA.
Se creará una comisión paritaria que establecerá por sí misma los procedimientos para solventar las discrepancias que surjan entre las partes y estará compuesta por:
Presidente: persona que se elija de común acuerdo de las partes.
Vocales: Cuatro por cada una de las partes.
Asesores: Serán designados libremente por cada una de las partes.
Las funciones de la Comisión Paritaria serán las siguientes:
– Vigilancia y cumplimiento de las cuestiones que se deriven de la aplicación del Convenio Colectivo.
– Asesoramiento y emisión de informe con las categorías profesionales no reguladas en este Convenio.
– Intervención mediadora en los Convenios Colectivos de empresa.
– La Comisión estará facultada para incorporar al convenio acuerdos que pudieran alcanzarse en el ámbito estatal.
En general todo aquello que se le encomiende en este Convenio.
El ejercicio de las anteriores funciones no obstaculizará en ningún caso la competencia respectiva de la jurisdicción prevista en las disposiciones legales.
Se fija como dirección de la Comisión Paritaria los siguientes domicilios:
U.G.T. C/. Puerto nº 28.
CC.OO. Avda. Martín Alonso Pinzón nº7, 3ª.
F.O.E. Avda. de la Ría, 3.
CAPÍTULO II. CONTRATACIÓN.
En esta materia el presente Convenio Colectivo se remite a la regulación del Convenio Colectivo General del Sector de Derivados del Cemento en su Capítulo IV, artículos del 16 al 24.
CAPÍTULO III. CLASIFICACIÓN PROFESIONAL Y NIVELES.
ARTÍCULO 7º.- COMPROMISO DE DESARROLLO.
En tanto no se produzca la incorporación al Convenio General de los acuerdos sobre Clasifi cación profesional a que las partes firmantes del mismo se comprometieron según lo dispuesto en el artículo 26 del mismo, será de aplicación sobre la materia, lo dispuesto en la Ordenanza de Construcción, Vidrio y Cerámica de 28.VIII.70 en sus Anexos I-VI y II, Sección Primera y Séptima, permaneciendo los niveles siguientes:
I.- Personal Directivo.
II.- Personal Titulado Superior.
III.- Personal Titulado Medio, Jefe Administrativo 1ª, Jefe Sec.Org. 1ª.
IV.- Jefe de Personal, Ayudante de Obra, Encargado General de Fábrica, Encargado General.
V.- Jefe Administrativo de 2ª, Delineante Superior, Encargado General de Obra, Jefe de Sección de Organización Científica del Trabajo de 2ª, Jefe de Compras.
VI.- Oficial Administrativo de 1ª, Delineante de 1ª, Jefe o Encargado de Taller, Encargado de Sección de Laboratorio, Escultor de Piedra y Mármol, Práctico de Topografía de 1ª, Técnico de Organización de 1ª.
VII.- Delineante de 2ª, Técnico de Organización de 2ª, Práctico de Topografía de 2ª, Analista de 1ª, Viajante, Capataz, Especialista de Oficio.
VIII.- Oficial Administrativo de 2ª, Corredor de Plaza, Oficial 1ª de Oficio, Inspector de Control, Señalizador y Servicios, Analista de 2ª.
IX.- Auxiliar Administrativo, Ayudante Topográfico, Auxiliar de Organización, Vendedores, Conserje, Oficial de 2ª de Oficio.
X.- Auxiliar de Laboratorio, Vigilante, Almacenero, Enfermero, Cobrador, guarda Jurado, Ayudantes de Oficio, Especialistas de 1ª.
XI.- Especialistas de 2ª, Peón Especializado.
XII.- Peón Ordinario, Limpiador/a.
XIII.- Botones y Pinches de 16 a 18 años.
CAPÍTULO IV. NORMAS GENERALES SOBRE PRESTACIÓN DE TRABAJO.
ARTÍCULO 8º.- MOVILIDAD FUNCIONAL.
Con la vigencia temporal que se contempla en el Capítulo V del Convenio General, y hasta tanto se acuerden el contenido y desarrollo de dicho Capítulo V, la movilidad funcional de los trabajadores en el ámbito de aplicación del presente convenio se ajustará al siguiente contenido:
La movilidad funcional en el seno de la empresa no tendrá otras limitaciones que las exigidas por las titulaciones académicas o profesionales precisas para ejercer la prestación laboral y por la pertenencia al grupo profesional. Hasta tanto se desarrollen las previsiones del Capítulo V de este Convenio General, la movilidad funcional podrá efectuarse entre categorías profesionales equivalentes.
La movilidad funcional para la realización de funciones no correspondientes a categorías equivalentes sólo será posible si existiesen razones técnicas u organizativas que la justificasen y por el tiempo imprescindible para su atención.
La movilidad funcional se efectuará sin menoscabo de la dignidad del trabajador y sin perjuicio de su formación y promoción profesional.
ARTÍCULO 9º.- TRABAJOS EN CATEGORÍA SUPERIOR.
Por razones organizativas, técnicas y de la producción, y por plazo que no exceda de seis meses en un año u ocho meses durante dos años, el trabajador podrá ser destinado a ocupar puesto de una categoría superior, percibiendo mientras se encuentre en esta situación la remuneración correspondiente a la función que efectivamente desempeña.
Transcurrido dicho período el trabajador podrá, a voluntad propia, continuar realizando estos trabajos o volver al puesto que ocupaba con anterioridad. En el primer supuesto ascenderá automáticamente.
Lo dispuesto en este artículo no será aplicable, salvo en materia de remuneración, a los casos de sustitución por servicio militar o social sustitutorio, incapacidad temporal, permisos y excedencia forzosa, en cualquier caso éste plazo no podrá exceder de 18 meses, salvo la excedencia forzosa, que se estará a su efectiva duración.
Se exceptúan de todo lo anteriormente dispuesto los trabajos de superior categoría que el trabajador realice, de acuerdo con la Empresa, con el fin de prepararse para el ascenso, con un máximo de 6 meses.
ARTÍCULO 10º.- TRABAJOS EN CATEGORÍA INFERIOR.
1.- La empresa, por necesidades perentorias, transitorias o imprevisibles, podrá destinar a un trabajador a realizar tareas correspondientes a una categoría profesional inferior a la suya por el tiempo imprescindible, comunicándolo a los representantes legales de los trabajadores si los hubiere, no pudiendo el interesado negarse a efectuar el trabajo encomendado, siempre que ello no perjudique su formación profesional. En esta situación, el trabajador seguirá percibiendo la remuneración que, por su categoría y función anterior, le corresponda.
2.- A un trabajador no se le podrá imponer la realización de trabajos propios de categoría inferior durante más de tres meses al año. No se considerarán a efectos del cómputo los supuestos de avería o fuerza mayor.
3.- Si el destino de inferior categoría profesional, hubiera sido solicitado por el propio trabajador, se asignará a éste la retribución que le corresponda por la función efectivamente desempeñada, pero no se le podrá exigir que realice trabajos de categoría superior por la que se le retribuye.
ARTÍCULO 11º.- MOVILIDAD GEOGRÁFICA.
La movilidad geográfica, en el ámbito de este Convenio, afecta a los siguientes casos:
a) Desplazamientos.
b) Traslados.
ARTÍCULO 12º.- DESPLAZAMIENTOS.
Se entiende por desplazamiento el destino temporal de un trabajador a un lugar distinto de su centro habitual de trabajo.
Las Empresas podrán desplazar a sus trabajadores hasta el límite máximo de un año.
Las Empresas designarán libremente a los trabajadores que deban desplazarse, cuando el destino no exija pernoctar fuera de casa, o cuando existiendo esta circunstancia no tenga duración superior a tres meses.
En los supuestos en que el desplazamiento exija pernoctar fuera del domicilio y tenga una duración superior a tres meses, las Empresas propondrán el desplazamiento a los trabajadores que estimen idóneos para realizar el trabajo y en el supuesto que por este procedimiento no cubrieran los puestos a proveer, procederá a su designación obligatoria entre los que reúnan las condiciones de idoneidad profesional para ocupar las plazas, observando las siguientes preferencias, para no ser desplazado:
a) Representantes legales de los trabajadores.
b) Disminuidos físico y psíquicos.
c) Reducción de jornada por guarda lega u otros supuestos establecidos por Ley.
Las Empresas que deseen realizar alguno de los desplazamientos que obliguen al trabajador a pernoctar fuera de su domicilio, deberán preavisarlo a los afectados con los siguientes plazos:
El trabajador deberá ser informado del desplazamiento con una antelación suficiente a la fecha de su efectividad, que no podrá ser inferior a 5 días laborables en el caso de desplazamiento de duración superior a tres meses, en los restantes casos los plazos de preaviso (en horas) según la duración del desplazamiento:
En cualquier caso, los preavisos deberán realizarse por escrito en caso de desplazamientos superiores a 15 días.
Los anteriores plazos no serán de aplicación cuando el desplazamiento venga motivado por supuestos de daños, siniestros o cuestiones urgentes, siendo el trabajador informado del desplazamiento con una antelación suficiente a la fecha de su efectividad.
En los desplazamientos superiores a tres meses que no permitan pernoctar en su domicilio, las Empresas y los afectados convendrán libremente las fórmulas para que los trabajadores puedan regresar a sus domicilios periódicamente, que podrán consistir en la subvención de los viajes de ida y regreso en todos o parte de los fines de semana, adecuación a las jornadas de trabajo para facilitar periódicas visitas a su domicilio, concesiones de permisos periódicos, subvención del desplazamiento de sus familiares, etc.
En los supuestos de no llegarse a acuerdo en esta materia, se estará a lo dispuesto en el artículo 40.6 del Estatuto de los Trabajadores, teniendo derecho a un mínimo de 4 días laborables de estancia en su domicilio de origen por cada 3 meses de desplazamiento, sin computar como tales los de viaje, cuyos gastos correrán a cargo del empresario.
Por acuerdo individual, podrá pactarse la acumulación de estos días añadiéndose, incluso, a las vacaciones anuales.
En los supuestos de desplazamiento se generará el derecho, además de a la totalidad de las retribuciones económicas que habitualmente viniera percibiendo, a las dietas y gastos de viaje que proceda.
A los trabajadores que sean desplazados fuera del territorio nacional, se les abonarán todos los gastos, tales como viajes, alojamiento y manutención. Asimismo, se les abonará el 25% del valor de la dieta fijada en el presente convenio colectivo, y el pago se hará en la moneda de curso legal del país en el que se encuentre desplazado; estos trabajadores tendrán derecho asimismo a un viaje a su domicilio de origen por cada tres meses de desplazamiento, cuyos gastos correrán a cargo del empresario.
ARTÍCULO 13º.- CONDICIONES DE LOS DESPLAZAMIENTOS.
Si como consecuencia de un desplazamiento, cuando el trabajador pueda volver a pernoctar a su residencia, empleara más de 45 minutos en cada uno de los desplazamientos de ida y vuelta, empleando los medios ordinarios de transporte, el exceso se le abonará a prorrata del salario convenio, salvo que en la actualidad ya viniera consumiendo más de 45 minutos, en cuyo caso sólo se le abonará la diferencia sobre este tiempo.
El personal desplazado quedará vinculado a la jornada, horario de trabajo y calendario vigente en el centro de trabajo de llegada. No obstante, en el supuesto de que la jornada de trabajo correspondiente al centro de origen, fuese inferior a la del de llegada, se abonará el exceso como horas extraordinarias que no computarán para el límite del número de horas.
Las incidencias no contempladas en los párrafos anteriores que, como consecuencia del desplazamiento puedan producirse en materia de horario, jornada y gastos que resulten perjudiciales para el trabajador, serán asumidas por la empresa.
ARTÍCULO 14º.- TRASLADOS.
Se considerará como tal la adscripción definitiva de un trabajador a un centro de trabajo de la Empresa distinto de aquél en que venía prestando sus servicios, y que requiera cambio de su residencia habitual.
Por razones económicas, técnicas, organizativas o productivas que lo justifiquen, o bien por contrataciones referidas a la actividad empresarial, la Empresa podrá proceder al traslado de sus trabajadores a un centro de trabajo distinto de la misma con carácter definitivo.
En el supuesto de traslado, el trabajador será preavisado con, al menos 30 días de antelación, por escrito.
El traslado deberá ser comunicado a los representantes de los trabajadores al mismo tiempo que al trabajador afectado. El trabajador afectado percibirá una indemnización compensatoria equivalente al 35% de sus percepciones anuales brutas en jornada ordinaria al momento de realizarse el cambio de centro, el 20% de las mismas al comenzar el 2º año, y el 20% al comenzar el tercer año, siempre sobre la base inicial.
En este supuesto se devengarán los gastos de viaje del trabajador y su familia, los gastos de traslado de muebles y enseres y cinco dietas por cada persona que viaja de los que compongan la familia y convivan con el desplazado.
El trabajador trasladado, cuando el traslado sea efectivo, y por cambio de domicilio, tendrá derecho a disfrutar la licencia retribuida prevista en el Anexo V.
Notificada la decisión del traslado, el trabajador tendrá derecho alternativamente a:
a) Optar por el traslado percibiendo las compensaciones por gastos previstas en el presente artículo.
b) Optar por la extinción de su contrato, percibiendo una indemnización de 20 días de salario por año de servicio, prorrateándose por meses los períodos de tiempo inferiores a un año y con un máximo de 12 mensualidades.
c) Si no opta por la opción b), pero se muestra disconforme con la decisión empresarial, y sin perjuicio de la ejecutividad del traslado, podrá impugnar la decisión empresarial ante la jurisdicción competente.
No serán de aplicación los supuestos previstos en el presente artículo en los casos de traslados producidos en los que concurran alguna de las circunstancias siguientes:
a) Los efectuados dentro del mismo término municipal.
b) Los efectuados a menos de quince kilómetros del centro originario, para el que fue inicialmente contratado, o del que posteriormente fuera trasladado con carácter definitivo.
c) Los efectuados a menos de quince kilómetros del lugar de residencia habitual del trabajador.
ARTÍCULO 15º.- DESPLAZAMIENTOS Y TRASLADOS VOLUNTARIOS.
En los desplazamientos y traslados producidos a petición escrita del trabajador, así como en los cambios de residencia que éste voluntariamente realice, no procederán las compensaciones y derechos regulados en este Capítulo.
ARTÍCULO 16º.- SUPUESTOS ESPECIALES.
En materia de movilidad geográfica, no estarán afectados por limitaciones legales ni por lo previsto en este Capítulo, salvo en materia de compensaciones económicas que procederán las que correspondan, los trabajadores que realicen funciones en las que la movilidad geográfica suponga una característica propia de su función, tales como personal de transporte, montaje, comerciales, de mantenimiento o similares.
ARTÍCULO 17º.- OTROS SUPUESTOS DE TRASLADOS.
1º.- En los supuestos de traslado del centro de trabajo o de una unidad productiva autónoma de la empresa, se estará a lo que empresa y representantes de los trabajadores acuerden.
2º.- En otros supuestos de traslados colectivos se estará a lo que empresa y representantes de los trabajadores acuerden, sirviendo como referencia lo previsto para traslados individuales en este capítulo.
CAPÍTULO V. JORNADA DE TRABAJO.
ARTÍCULO 18º.- JORNADA.
A. La duración de la jornada anual de trabajo durante el periodo de vigencia del presente Convenio Colectivo será de 1.736 horas anuales.
B. Las horas de trabajo que como jornada laboral quedan fijadas en el apartado A) de este artículo, tendrán, en todo caso, la consideración de trabajo efectivo.
C. En el presente Convenio podrán pactarse interrupciones o descansos en el desarrollo de la jornada diaria de tal modo que en ningún supuesto afectarán a la consideración y tratamiento de trabajo efectivo que el presente Convenio Colectivo atribuye a la jornada de trabajo.
D. La distribución semanal de la jornada contemplada en la letra A) de este artículo, así como el descanso semanal, se fija mediante la elaboración del pertinente calendario laboral.
E. En todo caso, sea cual sea la distribución de la jornada fijada en el presente Convenio Colectivo, al trasladar su aplicación práctica al centro de trabajo, deberán respetarse, los períodos mínimos de descanso diario y semanal.
F. El tiempo de trabajo efectivo se computará de modo que, tanto al comienzo como al final de la jornada diaria, el trabajador se encuentre en el puesto de trabajo encomendado.
G. En cada centro de trabajo, la Empresa expondrá en lugar visible el calendario laboral pactado a nivel de Convenio provincial, o en su caso, de la propia Empresa o centro de trabajo.
El calendario laboral, para el año 2018, será el que se establece en el ANEXO VI.
JORNADA INTENSIVA.- Los trabajadores afectados por este convenio disfrutarán de una jornada continuada de 7 horas del 1 al 31 de agosto.
ARTÍCULO 19º.- DISTRIBUCIÓN DE LA JORNADA.
1.- A. Las Empresas podrán distribuir la jornada establecida en el artículo anterior a lo largo del año, mediante criterios de fijación uniforme o irregular. Afectando la uniformidad o irregularidad bien a toda la plantilla o de forma diversa por sesiones o departamentos, por períodos estacionales del año o en función de las previsiones de las distintas cargas de trabajo y desplazamientos de la demanda, o cualquier otra modalidad.
B. La distribución de la jornada realizada en los términos precedentes deberá de fijarse y publicarse antes del 28 de febrero de cada ejercicio. Una vez publicado dicho calendario, cualquier modificación al mismo que pretenda implantarse deberá ajustarse al procedimiento establecido en el apartado siguiente o bien habrá de ser acordada con los representantes legales de los trabajadores.
C. Las empresas antes del 28 de febrero de cada año podrán hacer una distribución irregular de la jornada, que podrá ser modificada por una sola vez antes del 15 de junio siempre que hubiera notificado el primer calendario a la Comisión Mixta de Interpretación del presente Convenio y se notifique a su vez esta segunda distribución de la jornada anual.
La ausencia de esta primera o segunda notificación será causa de nulidad de la decisión empresarial.
2.- Cuando se practique por la Empresa una distribución irregular de la jornada, se limitará ésta a los topes mínimos y máximos de distribución siguientes: en cómputo diario no podrá excederse de un mínimo y máximo de 7 a 9 horas; en cómputo semanal dichos límites no podrán excederse de 35 a 45 horas.
Los límites mínimos y máximos fijados en el párrafo anterior, con carácter general, podrán ser modificados a nivel de Empresa y previo acuerdo de las partes, hasta las siguientes referencias: en cómputo diario de 6 a 10 horas o en cómputo semanal de 30 a 50 horas.
3.- La distribución irregular de la jornada no afectará a la retribución y cotizaciones del trabajador.
4.- Si como consecuencia de la irregular distribución de la jornada, al vencimiento de su contrato el trabajador hubiera realizado un exceso de horas, en relación a las que corresponderían a una distribución regular, el exceso le será abonado en su liquidación según el valor resultante de la fórmula prevista en el Anexo III del presente Convenio Colectivo.
5.- Las Empresas podrán, asimismo, establecer la distribución de la jornada en los procesos productivos continuados durante las 24 horas del día, mediante el sistema de trabajos a turnos, sin más limitaciones que la comunicación a la Autoridad laboral. Cuando la decisión empresarial implique modificación sustancial de condiciones de trabajo se estará a lo dispuesto en el Art. 41 del E.T.
6.- Dada la singularidad en materia de ordenación de jornada, en el sector de empresas dedicadas a la fabricación y suministro de hormigón, y, con independencia de la aplicación de lo previsto en los apartados 1, 2, 3, 4 y 5 de este artículo, las Empresas y representantes de los trabajadores podrán acordar la distribución irregular de la jornada mediante la imputación a exceso de jornada o redistribución de la acordada, por períodos mensuales.
ARTÍCULO 20º.- PROLONGACIÓN DE LA JORNADA.
El trabajo de los operarios con funciones de mantenimiento para la reparación de instalaciones y maquinaria por causas de averías, necesario para la reanudación o continuación del proceso productivo, podrá prolongarse o adelantarse por el tiempo estrictamente preciso.
La limpieza de útiles o máquinas asignadas a título individual será responsabilidad del trabajador.
En supuestos excepcionales el tiempo empleado para tal menester que exceda de la jornada ordinaria, se abonará al precio de horas extraordinarias y no tendrán la consideración de tales a efectos de su cómputo. A los trabajadores en los que de forma habitual, y excepcionalmente a quiénes le sustituyan, concurra la circunstancia de que su intervención es necesaria, con carácter previo al inicio inmediato o al cierre del proceso productivo, podrá adelantársele o prolongársele su jornada por el tiempo estrictamente preciso. El tiempo de trabajo prolongado o adelantado según lo previsto en los párrafos anteriores, no se computará como horas extraordinarias sin perjuicio de su compensación económica al precio de horas extraordinarias o en tiempos equivalentes de descanso.
ARTÍCULO 21º.- TURNOS Y RELEVOS.
En las Empresas que tengan establecidos sistemas de trabajo a turnos, el trabajador está obligado a permanecer en su puesto de trabajo hasta la llegada del relevo. El tiempo que se precise durante la espera que no excederá de dos horas se compensará, en todo caso, al precio de la hora extraordinaria, computándose como tal cuando las horas de trabajo se realicen sobre la duración máxima de su jornada de trabajo, tal y como se establece en el artículo 35 del Estatuto de los Trabajadores.
ARTÍCULO 22º.- HORAS EXTRAORDINARIAS.
Tendrá la consideración de hora extraordinaria, cada hora de trabajo que se realice sobre la duración de la jornada anual establecida en el art. 29, o parte proporcional en el caso de contratos de duración inferior al año natural, puesta en relación con la distribución diaria o semanal que de la misma se haya establecido en el correspondiente calendario, según los criterios que se fijan en el art. 20.
Las partes firmantes se comprometen a reducir el mínimo indispensable la realización de horas extraordinarias.
La prestación de trabajo en horas extraordinarias será voluntaria, salvo en los supuestos en los que tengan su causa en fuerza mayor.
No tendrán la consideración de horas extraordinarias, a efectos de su cómputo como tales, el exceso de las horas trabajadas para prevenir o reparar siniestros y otros daños extraordinarios y de urgente reparación.
Así mismo, tampoco tendrán la consideración de horas extraordinarias, a los efectos de su cómputo, las que hayan sido compensadas mediante descansos disfrutados dentro de los cuatro meses siguientes a su realización.
ARTÍCULO 23º.- HORAS NO TRABAJADAS POR IMPOSIBILIDAD DEL TRABAJO.
En los supuestos de inclemencias del tiempo, fuerza mayor u otras causas imprevisibles, o que siendo previsibles resulten inevitables, la Empresa podrá acordar, previa comunicación a los representantes de los trabajadores, la suspensión del trabajo por el tiempo imprescindible. El tiempo no trabajado por las causas anteriores no supondrá merma en las retribuciones del trabajador.
El 50% de las horas no trabajadas por las causas de interrupción de la actividad, previstas en el párrafo anterior, se recuperarán en la forma que las partes acuerden.
En el supuesto de que la referida interrupción alcance un período de tiempo superior a 24 horas efectivas de trabajo, se estará a lo dispuesto en materia de suspensión del contrato, por causa de fuerza mayor, en el presente Convenio.
ARTÍCULO 24º.- VACACIONES.
Las vacaciones anuales tendrán una duración no inferior a treinta días naturales.
Las Empresas y los representantes de los trabajadores acordarán el plan de turnos de vacaciones y fechas para su disfrute, que deberán ser conocidas por los trabajadores con una antelación mínima de dos meses.
Si en el proceso de negociación referido no se llegara a alcanzar acuerdo, las Empresas elaborarán el plan, turnos de vacaciones y fijación de fechas para su disfrute, atendiendo a los siguientes criterios:
– Podrá excluirse como período de vacaciones aquél que coincida con el de mayor actividad productiva de la Empresa, salvo el supuesto contemplado en el párrafo siguiente.
– Las vacaciones podrán ser divididas, a efectos de su disfrute en dos períodos. Uno de ellos, que, en todo caso no será inferior a 15 días laborables, deberá estar comprendido entre el 15 de Junio y el 15 de Septiembre, ambos inclusive. El resto de los días de vacaciones del segundo de los períodos serán disfrutados en las fechas en que la Empresa determine en función de las necesidades de producción.
El cómputo para el disfrute de las vacaciones se efectuará por años naturales. En el primer año de prestación de servicios en la Empresa y, de no corresponderse con el año natural completo, se tendrá derecho al disfrute de la parte proporcional de vacaciones correspondientes al tiempo realmente trabajado durante dicho año.
Una vez iniciado el disfrute del período de vacaciones, si sobreviene la situación de I.T., la duración de la misma se computará como días de vacaciones, sin perjuicio del derecho del trabajador a percibir la diferencia entre la retribución correspondiente a vacaciones y la prestación de I.T. de ser aquélla de superior cuantía.
Cuando el período de vacaciones fijado en el calendario de vacaciones de la empresa según lo regulado en el presente artículo coincida en el tiempo con una incapacidad temporal derivada del embarazo, el parto o la lactancia natural o con el período de suspensión del contrato de trabajo previsto en los apartados 4, 5 y 7 del artículo 48, del texto Refundido de la Ley del Estatuto de los Trabajadores, se tendrá derecho a disfrutar las vacaciones en fecha distinta a la de la incapacidad temporal o a la del disfrute del permiso que por aplicación de dicho precepto le correspondiera, al finalizar el período de suspensión, aunque haya terminado el año natural a que correspondan
CAPÍTULO VI. ESTRUCTURA SALARIAL.
ARTÍCULO 25º.- ESTRUCTURA ECONÓMICA.
Las remuneraciones económicas de los trabajadores afectados por este Convenio, estarán constituidas por retribuciones de carácter salarial y no salarial.
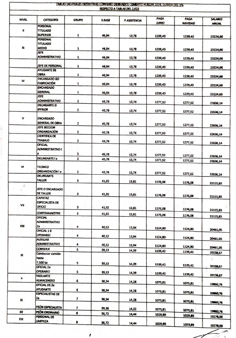
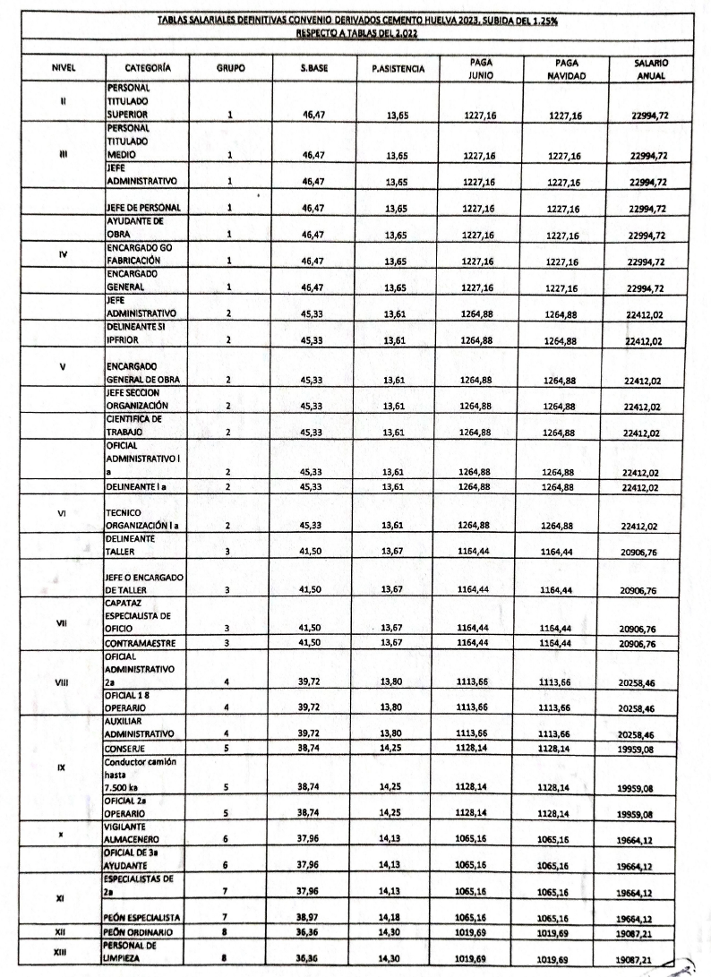
La tabla salarial está recogida en el ANEXO I de este Convenio.
SALARIOS.
Son retribuciones salariales las remuneraciones económicas de los trabajadores en dinero o en especie que reciben por la prestación profesional de los servicios laborales por cuenta ajena.
Conceptos que comprenden las retribuciones salariales:
a) Salario base.
b) Complementos salariales:
– De puesto de trabajo.
– De cantidad o calidad de trabajo.
– Pagas extraordinarias.
– Vacaciones.
– Complementos de Convenio.
– Horas extraordinarias.
– Antigüedad consolidada.
Complementos no salariales.- Son las percepciones económicas que no forman parte del salario por su carácter compensatorio por gastos suplidos o perjuicios ocasionados al trabajador o por su carácter asistencial.
ARTÍCULO 26º.- DISTRIBUCIÓN / COMPOSICIÓN DE LA ESTRUCTURA ECONÓMICA.
Las retribuciones establecidas en este convenio guarda la siguiente proporcionalidad:
– La suma del salario base, gratificaciones extraordinarias y vacaciones no podrá ser inferior, en ningún caso, al 75 % del total anual, de las tablas del presente Convenio, por cada nivel o grupo.
– Los complementos no salariales sumados, cuando así proceda, según lo previsto en el art. 27 no podrán superar, en ningún caso, el 8% del total anual de las tablas del presente Convenio Provincial, para el nivel de peón ordinario en el valor que se corresponde con el nivel o grupo.
– Cuando así procediera el complemento de convenio ocupará el restante porcentaje que resulte de aplicar conjuntamente los porcentajes de los apartados anteriores.
ARTÍCULO 27º.- DEVENGO DE SALARIO.
El salario se devengará por día natural y los complementos salariales por día de trabajo efectivo, según los módulos y cuantías que se establecen en este Convenio, todo ello atendiendo a una actividad normal.
ARTÍCULO 28º.- PAGO DEL SALARIO.
La liquidación y el pago del salario se hará documentalmente e mediante recibos de salarios que se ajustarán a las normas vigentes sobre la materia, en los que figurarán todos los datos de identificación y conceptos devengados por el trabajador debidamente especificados, según el Anexo II del presente Convenio, quedando, por lo tanto, prohibido todo pacto retributivo por salario global.
El salario se abonará por períodos vencidos y mensualmente, dentro de los cuatro primeros días hábiles del mes siguiente a su devengo.
Las Empresas quedan facultadas para pagar las retribuciones y anticipos mediante cheque, transferencia u otra modalidad de pago a través de entidades bancarias o financieras, previa comunicación a los representantes legales de los trabajadores.
El pago o firma de recibos que lo acredite, se efectuará dentro de la jornada laboral.
El trabajador, y con su autorización su representante, tendrá derecho a percibir, sin que llegue el día señalado para el pago y por una sola vez al mes, anticipo a cuenta del trabajo ya realizado. El importe del anticipo podrá ser de hasta el 90% de las cantidades devengadas.
En el momento del pago del salario, o en su caso anticipo a cuenta, el trabajador firmará el recibo correspondiente y se le entregará copia del mismo.
ARTÍCULO 29º.- SALARIO BASE.
Se entiende por salario base la parte de retribución del trabajador fijada por unidad de tiempo, sin atender a circunstancias personales, de puesto de trabajo, por cantidad o calidad de trabajo, o de vencimiento periódico superior al mes.
La cuantía del salario base será la que se especifica, para cada uno de los grupos, niveles o categorías en las tablas salariales de este Convenio.
ARTÍCULO 30º.- SALARIO HORA ORDINARIA.
Se entiende por salario hora ordinaria el cociente que se obtiene al dividir el salario anual de cada nivel o grupo correspondiente fijado en este Convenio Provincial, por el número de horas anuales de trabajo efectivo.
ARTÍCULO 31º.- COMPLEMENTOS POR PUESTO DE TRABAJO.
Son aquéllos complementos salariales que debe percibir el trabajador por razón de las características del puesto de trabajo o por la forma de realizar su actividad profesional, que comporte conceptuación distinta del trabajo corriente.
Se consideran complementos de puesto de trabajo, entre otros, los de penosidad, toxicidad, peligrosidad o nocturnidad.
Estos complementos son de naturaleza funcional, y su percepción depende, exclusivamente, del ejercicio de la actividad profesional en el puesto asignado, por lo que, como regla general, no tendrán carácter consolidable.
ARTÍCULO 32º.- COMPLEMENTO POR PENOSIDAD, TOXICIDAD O PELIGROSIDAD.
1º.- A los trabajadores que tengan que realizar labores que resulten excepcionalmente penosas, tóxicas o peligrosas, deberá abonársele un incremento del 20% sobre su salario base. Si éstas funciones se efectúan durante la mitad de la jornada o en menos tiempo, el incremento será el 15%, aplicado al tiempo realmente trabajado.
2º.- Las cantidades iguales o superiores al incremento fijado en este artículo que estén establecidas o se establezcan por las empresas, serán respetadas siempre que hayan sido concedidas por los conceptos de excepcional penosidad, toxicidad o peligrosidad, en cuyo caso no será exigible el abono de los incrementos fijados en este artículo. Tampoco vendrán obligadas a satisfacer los citados incrementos, aquéllas empresas que los tengan incluidos, en igual o superior cuantía, en el salario de calificación del puesto de trabajo.
3º.- Si por cualquier causa desaparecieran las condiciones de excepcional penosidad, toxicidad o peligrosidad, dejarán de abonarse los indicados incrementos no teniendo por tanto carácter consolidable.
ARTÍCULO 33º.- COMPLEMENTO DE NOCTURNIDAD.
Las horas trabajadas durante el período comprendido entre las 22,00 de la noche y las 6,00 de la mañana se retribuirán con el complemento denominado de nocturnidad, cuya cuantía se fija en un incremento del 25% del salario base que corresponda según las tablas salariales.
El complemento de nocturnidad se abonará íntegramente cuando la jornada de trabajo y el período nocturno tengan una coincidencia superior a cuatro horas; si la coincidencia fuera de cuatro horas o inferior a este tiempo la retribución a abonar será proporcional al número de horas trabajadas durante el período nocturno.
Se exceptúan de lo establecido en los párrafos anteriores y, por consiguiente no habrá lugar a compensación económica, en los supuestos siguientes:
– Las contrataciones realizadas para trabajos que por su propia naturaleza se consideran nocturnos tales como: Guardas, Porteros, Serenos o similares que fuesen contratados para desarrollar sus funciones durante la noche; en las retribuciones fijadas en la negociación colectiva de ámbito inferior quedará recogida esta circunstancia.
– El personal que trabaje en dos turnos cuando la coincidencia entre la jornada de trabajo y el período nocturno sea igual o inferior a una hora.
ARTÍCULO 34º.- COMPLEMENTOS POR CALIDAD O CANTIDAD DE TRABAJO, PRIMAS O INCENTIVOS.
Son aquéllos complementos salariales que deba percibir el trabajador por razón de una mejor calidad o mayor cantidad de trabajo, vayan o no unidos a un sistema de retribución por rendimientos.
Dejarán de percibirse cuando se constate su no realización, siendo, por tanto, no consolidables.
En las empresas donde esté implantado o se implante un sistema de incentivos a la producción, estos complementos se liquidarán conjuntamente con el salario establecido por unidad de tiempo.
ARTÍCULO 35º.- GRATIFICACIONES EXTRAORDINARIAS.
Se consideran gratificaciones extraordinarias los complementos de vencimiento periódico superior al mes.
El Convenio Provincial tiene adaptado la estructura de dichos complementos, de acuerdo con los siguientes criterios:
– Se establecen dos gratificaciones extraordinarias con la denominación de Paga de Verano y Paga de Navidad, que serán abonadas, respectivamente, antes del 30 de Junio y 20 de Diciembre, y se devengarán por semestres naturales, y por cada día natural en que se haya devengado el salario base.
Devengo de las pagas:
– Paga de verano: del 1 de Enero al 30 de Junio
– Paga de Navidad: del 1 de Julio al 31 de Diciembre.
La cuantía de dichos complementos será la que se especifique para cada uno de los grupos o niveles en la tabla salarial de este Convenio, incrementada, en el caso que proceda, con la antigüedad que corresponda.
Al personal que ingrese o cese en la Empresa se le hará efectiva la parte proporcional de las gratificaciones extraordinarias conforme a los criterios anteriores, en el momento de realizar la liquidación de sus haberes.
ARTÍCULO 36º.- VACACIONES.
1º.- Con la denominación de vacaciones, se implanta el complemento salarial por el que se retribuye el período de vacaciones anuales a los trabajadores.
2º.- El complemento salarial a percibir por vacaciones comprenderá el promedio de la totalidad de las retribuciones salariales percibidas durante el trimestre natural inmediatamente anterior a la fecha de disfrute de las vacaciones, a excepción de las horas extraordinarias y gratificaciones extraordinarias.
3º.- Los trabajadores que cesen durante el transcurso del año, tendrán derecho a que, en la liquidación que se les practique, al momento de su baja en la Empresa, se integre el importe de la remuneración correspondiente a la parte de vacaciones devengadas y no disfrutadas.
4º.- Por el contrario, y, en los ceses de carácter voluntario, si el trabajador hubiera disfrutado de sus vacaciones, la Empresa podrá deducir de la liquidación que se le practique, la parte correspondiente a los días de exceso disfrutados, en función del tiempo de prestación de actividad laboral efectiva durante el año.
5º.- A efectos del devengo de vacaciones, se considerará como tiempo efectivamente trabajado el correspondiente a la situación de incapacidad temporal, sea cuál fuere su causa. No obstante, dado que el derecho al disfrute de vacaciones caduca con el transcurso del año natural, se perderá el mismo si al vencimiento de éste el trabajador continuase de baja, aunque mantendrá el derecho a percibir la diferencia entre la retribución de vacaciones y la prestación de incapacidad temporal de ser aquélla de superior cuantía. El mismo criterio se aplicará para los supuestos de cese por finalización de contrato.
ARTÍCULO 37º.- COMPLEMENTO DE CONVENIO.
El complemento denominado de Convenio se devengará por cada día efectivamente trabajado, en jornada normal, con el rendimiento normal y correcto, en la cuantía que para cada nivel o grupo figure en las Tablas del presente Convenio.
ARTÍCULO 38º.- HORAS EXTRAORDINARIAS.
1º.- Es el complemento salarial que deberá percibir el trabajador por el exceso de tiempo de trabajo efectivo que realice sobre la duración de la jornada anual establecida o la proporcional que corresponda.
2º.- Las horas extraordinarias realizadas serán compensadas mediante descansos en la equivalencia de: 1 hora extra realizada equivaldría a 1 hora y media de descanso.
3º.- Subsidiariamente, las horas extras realizadas serán compensadas mediante descansos y retribución, a razón de: 1 hora extra realizada equivaldría a 1 hora de descanso y media hora retribuida al valor de la hora ordinaria.
4º.- Excepcionalmente, las horas extras realizadas serán compensadas mediante pago en metálico a razón de: 1 hora extra realizada equivaldría al 130% del valor de la hora ordinaria.
5º.- La opción respecto de la compensación en descansos o en metálico corresponderá al trabajador, con independencia de que si la opción lo es por compensación por descansos, la fecha de su disfrute será fijada por la Empresa durante los cuatro meses siguientes a su realización.
Con carácter general se acumularán los descansos por jornadas completas.
6º.- El número de horas extraordinarias que realice cada trabajador, salvo las realizadas para prevenir o reparar siniestros y otros daños extraordinarios y urgentes, no podrá ser superior a 2 al día, 20 al mes y 80 al año.
ARTÍCULO 39º.- COMPLEMENTO PERSONAL DE ANTIGÜEDAD.
Las partes firmantes del primer Convenio Colectivo General de Derivados del Cemento acordaron la abolición definitiva del complemento personal de antigüedad y establecieron las fórmulas pertinentes para su compensación.
ARTÍCULO 40º.- COMPLEMENTO NO SALARIAL (Antiguo Plus de Distancia).
1º.- Se entenderán como complementos no salariales las indemnizaciones o suplidos por gastos que tengan que ser realizadas por el trabajador como consecuencia de su actividad laboral.
2º.- El complemento no salarial se devengará por día de asistencia al trabajo, y será de igual cuantía para todos los grupos o niveles según los valores que se fijan en este Convenio.
3º.- El complemento no salarial viene a sustituir al anterior plus de distancia aunque se abonará igualmente en función de 0.124 EUROS por Kilómetro.
ARTÍCULO 41º.- DIETAS/MEDIAS DIETAS.
1º.- La dieta es un concepto de devengo extra salarial, de naturaleza indemnizatoria o compensatoria, y de carácter irregular, que tiene como finalidad el resarcimiento o compensación de los gastos de manutención y alojamiento del trabajador ocasionados como consecuencia de la situación de desplazamiento.
2º.- El trabajador percibirá dieta completa cuando, como consecuencia del desplazamiento no pueda pernoctar en su residencia habitual. Se devengará siempre por día natural.
3º.- Se devengará media dieta cuando, como consecuencia del desplazamiento el trabajador afectado tenga necesidad de realizar la comida fuera de su residencia habitual y no le fuera suministrada por la Empresa, y pueda pernoctar en la citada residencia. La media dieta se devengará por día efectivo trabajado.
4º- Las dietas o medias dietas se percibirán siempre con independencia de la retribución del trabajador y en las mismas fechas que ésta; pero en los desplazamientos de más de una semana de duración, aquél podrá solicitar anticipos quincenales a cuenta, y a justificar, sobre las mencionadas dietas.
5º.- No se devengará dieta o media dieta cuando el empresario organice y costee la manutención y alojamiento del trabajador desplazado.
Así mismo, no se devengarán medias dietas cuando, el desplazamiento se realice a distancia inferior a 10 Kms. del centro de trabajo.
Tampoco se devengarán medias dietas cuando, concurriendo varios centros de trabajo en el mismo término municipal, se realice el desplazamiento a cualquiera de ellos.
6º.- El importe de la dieta completa y de la media dieta será de 37,00 EUROS y de 11,60 EUROS respectivamente para el año 2017.
ARTÍCULO 42.- DISPOSICIONES COMUNES.
Las retribuciones que vengan percibiendo cada trabajador afectado por el presente Convenio a su entrada en vigor, no se verán mermadas en ningún caso en su conjunto y cómputo anual como consecuencia de la aplicación del mismo.
ARTÍCULO 43º.- AYUDA DE ESTUDIOS.
Se establece una ayuda de estudios para los hijos de los trabajadores afectados por este convenio consistente en el abono por parte de las empresas, de una cantidad equivalente al precio de los libros oficiales de texto, correspondientes a los cursos de E.S.O y BACHILLER.
Para percibir esta ayuda los trabajadores beneficiarios deberán presentar a su empresa certificado del colegio en el que cursen estudios sus hijos, así como factura de la compra de los libros que deberá ser abonada dentro del mes de octubre.
ARTÍCULO 44º.- ABSORCIÓN Y COMPENSACIÓN.
Las empresas afectadas por el presente convenio podrán compensar y absorber los aumentos o mejoras que en materia de percepciones económicas vinieran abonando siempre que las percepciones económicas realmente abonadas a los trabajadores sean superiores a las fijadas en aquellos en su conjunto y cómputo anual.
La absorción y compensación sólo se podrá efectuar comparando globalmente conceptos de naturaleza salarial o de naturaleza extra salarial y en cómputo anual.
ARTÍCULO 45º.- CONDICIONES Y PROCEDIMIENTO PARA LA NO APLICACIÓN DEL RÉGIMEN SALARIAL ESTABLECIDO EN LOS CONVENIOS DE ÁMBITO INFERIOR AL DEL PRESENTE CONVENIO PROVINCIAL.
Cuando concurran causas económicas, técnicas, organizativas o de producción, por acuerdo entre la empresa y los representantes de los trabajadores legitimados para negociar un Convenio colectivo conforme a lo previsto en el artículo 87.1 del Estatuto de los Trabajadores, se podrá proceder, previo desarrollo de un periodo de consultas en los términos del artículo 41.4 del Estatuto de los Trabajadores, a inaplicar en la empresa las condiciones de trabajo previstas en el convenio colectivo aplicable, que afecten a las siguientes materias:
a) Jornada de trabajo.
b) Horario y la distribución del tiempo de trabajo.
c) Régimen de trabajo a turnos.
d) Sistema de remuneración y cuantía salarial.
e) Sistema de trabajo y rendimiento.
f) Funciones, cuando excedan de los límites que para la movilidad funcional prevé el artículo 39 del Estatuto de los Trabajadores.
g) Mejoras voluntarias de la acción protectora de la Seguridad Social.
Se entiende que concurren causas económicas cuando de los resultados de la empresa se desprenda una situación económica negativa, en casos tales como la existencia de pérdidas actuales o previstas, o la disminución persistente de su nivel de ingresos ordinarios o ventas. En todo caso, se entenderá que la disminución es persistente si durante dos trimestres consecutivos el nivel de ingresos ordinarios o ventas de cada trimestre es inferior al registrado en el mismo trimestre del año anterior.
En los supuestos de ausencia de representación legal de los trabajadores, se entenderá atribuida a los sindicatos más representativos del sector que estuvieran legitimados para formar parte de la Comisión Negociadora del Convenio Colectivo de aplicación a la misma, salvo que los trabajadores atribuyeran su representación a una comisión designada conforme a lo dispuesto en el artículo 41.4 del Estatuto de los Trabajadores.
Cuando el periodo de consultas finalice con acuerdo se presumirá que concurren las causas justificativas aludidas y sólo podrá ser impugnado ante la jurisdicción competente por la existencia de fraude, dolo, coacción o abuso de derecho en su conclusión. El acuerdo deberá ser notificado a la Comisión paritaria del Convenio colectivo.
El acuerdo de inaplicación deberá determinar con exactitud las nuevas condiciones de trabajo aplicables a los trabajadores de dicha empresa, atendiendo a lo establecido en el artículo 82.3 del Estatuto de los Trabajadores.
En caso de desacuerdo durante el periodo de consultas cualquiera de las partes podrá someter la discrepancia a la comisión paritaria del convenio de aplicación, que dispondrá de un plazo máximo de siete días para pronunciarse, a contar desde que la discrepancia le fuera planteada.
Cuando no se hubiera solicitado la intervención de la comisión o ésta no hubiera alcanzado un acuerdo, las partes deberán recurrir a los procedimientos que se hayan establecido en los acuerdos interprofesionales de ámbito estatal o autonómico, asumiendo en este convenio el compromiso previo de someter las discrepancias a un arbitraje vinculante, en cuyo caso el laudo arbitral tendrá la misma eficacia que los acuerdos en periodo de consultas y sólo será recurrible conforme al procedimiento y en base a los motivos establecidos en el artículo 91 del Estatuto de los Trabajadores.
El resultado de los procedimientos que hayan finalizado con la inaplicación de condiciones de trabajo deberá ser comunicado a la autoridad laboral a los solos efectos de depósito.
CAPÍTULO VII. FALTAS Y SANCIONES.
ARTÍCULO 46º.- RÉGIMEN DISCIPLINARIO.
Los trabajadores podrán ser sancionados por la Dirección de las Empresas de acuerdo con la graduación de faltas y sanciones que se establecen en los artículos siguientes.
ARTÍCULO 47º.- GRADUACIÓN DE FALTAS.
Las faltas cometidas por el trabajador se clasificarán, atendiendo a su importancia, trascendencia e intención, en leves, graves o muy graves.
ARTÍCULO 48º.- FALTAS LEVES.
Se considerarán faltas leves las siguientes:
1.- De una a cuatro faltas de puntualidad en el período de 30 días naturales sin causa justificada.
2.- No comunicar con la antelación debida su falta al trabajo por causa justificada, a no ser que pruebe la imposibilidad de hacerlo.
3.- El abandono del trabajo sin causa justificada, aunque sea por breve tiempo, siempre y cuando no afecte al buen funcionamiento de la Empresa ni perturbe el trabajo de los demás trabajadores, en cuyos supuestos se considerará como falta grave o muy grave.
4.- Pequeños descuidos en la conservación del material. 5.- No comunicar a la Empresa los cambios de domicilio.
6.- Faltar al trabajo un día al mes sin causa justificada.
7.- La embriaguez ocasional.
8.- Usar el teléfono u otros elementos para asuntos particulares sin la debida autorización.
9.- Trasladarse de una a otra dependencia de la fábrica, talleres u oficinas, sin que las necesidades del servicio lo justifiquen, salvo que se trate de representantes legales de los trabajadores en actuaciones propias de su cargo.
10.- Indagar o revolver los armarios o efectos personales de los compañeros sin la debida autorización del interesado.
11.- No alcanzar, voluntariamente, el rendimiento normal exigible en una jornada durante un período de treinta días naturales.
ARTÍCULO 49º.- FALTAS GRAVES.
Se considerarán faltas graves las siguientes:
1.- Más de cuatro faltas no justificadas de puntualidad en el período de 30 días naturales.
2.- Faltar dos días al trabajo durante un mes sin justificación.
3.- Intervenir en juegos en horas de trabajo.
4.- La simulación de enfermedad o accidente.
5.- La desobediencia a los superiores en cualquier materia de trabajo, siempre que la orden no implique condición vejatoria para el trabajador o entrañe riesgo para la vida o salud tanto de él como de otros trabajadores.
6.- Simular la presencia de otro trabajador, valiéndose de su firma, ficha o tarjeta de control.
7.- La negligencia o imprudencia en el trabajo que afecte a la buena marcha del mismo.
8.- Realizar trabajos particulares en el centro de trabajo, así como utilizar para usos propios elementos, equipos o herramientas de la Empresa, a no ser que se cuente con la oportuna autorización.
9.- El quebranto o violación del secreto de reserva obligada sino se producen perjuicios a la Empresa.
10.- Proporcionar información falsa a la Dirección o a los superiores, en relación con el servicio o trabajo.
11.- Los errores intencionados que se repitan con frecuencia y que originen perjuicios a la Empresa.
12.- No advertir, con la debida diligencia, a los superiores de cualquier anomalía de importancia que se observe en las instalaciones, máquinas, material o locales.
13.- Encontrarse en los locales de la Empresa sin causa justificada, fuera de los horarios de trabajo, así como introducir en los mismos a personas ajenas a la empresa sin la debida autorización.
14.- Descuidos de importancia en la conservación o en la limpieza de materiales, máquinas o instalaciones que el trabajador tenga a su cargo, cuando se derive peligro para los compañeros de trabajo.
15.- No alcanzar, voluntariamente, el rendimiento normal exigible en dos jornadas durante un período de treinta días naturales.
16.- La reincidencia en los hechos o conductas calificados como faltas leves, salvo las de puntualidad dentro de un trimestre, cuando haya mediado sanción escrita.
ARTÍCULO 50º.- FALTAS MUY GRAVES.
Se considerarán como faltas muy graves las siguientes:
1.- Más de seis faltas de puntualidad no justificadas cometidas en el período de seis meses.
2.- Faltar al trabajo más de dos días al mes sin causa justificada.
3.- El fraude, la deslealtad y abuso de confianza en el desempeño del trabajo; el hurto y el robo, tanto a los demás trabajadores como a la Empresa o a cualquier persona dentro de los locales de la empresa o fuera de la misma durante actos de servicio.
4.- Inutilizar, destrozar o causar desperfectos maliciosamente en materias primas, piezas elaboradas, obras, útiles, herramientas, máquinas, aparatos, instalaciones, edificios, enseres y departamentos de la Empresa.
5.- La embriaguez habitual o toxicomanía si repercute negativamente en el trabajo.
6.- La revelación a terceros de cualquier información de reserva obligada, cuando de ello pueda derivarse un perjuicio sensible para la Empresa.
7.- La concurrencia desleal, según los supuestos previstos en el art. 21.1. del E.T.
8.- Los malos tratos de palabra u obra o faltas graves de respeto y consideración a los superiores, compañeros o subordinados.
9.- Causar accidentes graves a sus compañeros de trabajo por imprudencia o negligencia inexcusable.
10.- El abuso de autoridad por parte de quién la ostente.
11.- La disminución voluntaria y continuada en el rendimiento normal del trabajo.
12.- La emisión maliciosa o por negligencia inexcusable de informes erróneos.
13.- Autolesionarse en el trabajo.
14.- El abandono del trabajo sin justificación cuando ocasione evidente perjuicio para la Empresa o sea causa de accidentes para otros trabajadores.
15.- El incumplimiento de las medidas de seguridad adoptadas en el centro de trabajo cuando implique riesgo de accidente grave.
16.- La imprudencia punible que cause daños graves en las instalaciones de la Empresa (maquinaria, edificios) o en la producción.
17.- La desobediencia a los superiores que pueda motivar quebranto manifiesto de la disciplina, cuando de ella se derive perjuicio notorio para la Empresa o para los demás trabajadores.
18.- El acoso sexual sufrido por el trabajador o trabajadora, entendiendo como las conductas con tendencia libidinosa, no deseadas por el destinatario o destinataria, que generen un entorno laboral hostil e incómodo objetivamente considerado, con menoscabo del derecho de la víctima a cumplir la prestación laboral en un ambiente despejado de ofensas de palabra y obra que atenten a su intimidad personal.
19.- La reincidencia en los mismos hechos o conductas calificadas como faltas graves, salvo las de puntualidad dentro del mismo trimestre, siempre que hayan sido objeto de sanción.
ARTÍCULO 51º.- RÉGIMEN DE SANCIONES.
Corresponde a la Empresa la facultad de imponer sanciones en los términos de lo estipulado en el presente Convenio.
La sanción de faltas graves y muy graves requerirá comunicación escrita motivada al trabajador.
En cualquier caso, la Empresa informará a los representante de los trabajadores de las sanciones impuestas por faltas muy graves.
ARTÍCULO 52º.- SANCIONES.
1º.- Las sanciones que las Empresas pueden aplicar según la gravedad y circunstancias de las faltas cometidas, serán las siguientes:
A) Faltas leves:
a) Amonestación verbal.
b) Amonestación por escrito.
B) Faltas graves:
a) Suspensión de empleo y sueldo de 1 a 15 días.
C) Faltas muy graves:
a) Suspensión de empleo y sueldo de 16 a 90 días.
b) Despido.
2º.- Para la aplicación y graduación de las sanciones que anteceden en el punto 1º, se tendrán en cuenta:
a. El mayor o menor grado de responsabilidad del que comete la falta.
b. La categoría profesional del mismo.
c. La repercusión del hecho en los demás trabajadores y en la Empresa.
3º.- Previamente a la imposición de sanciones por faltas graves o muy graves a los trabajadores que ostenten la condición de representante legal o sindical, les será instruido expediente contradictorio por parte de la Empresa, en el que serán oídos, aparte del interesado, los restantes miembros de la representación a que éste perteneciera, si los hubiere.
La obligación de instruir el expediente contradictorio aludido anteriormente se extiende hasta el año siguiente a la cesación en el cargo representativo.
4º.- En aquéllos supuestos en los que la Empresa pretenda imponer una sanción a los trabajadores afiliados a un Sindicato deberá, con carácter previo a la imposición de tal medida, dar audiencia a los Delegados Sindicales, si los hubiere.
ARTÍCULO 53º.- PRESCRIPCIÓN.
La facultad de la Empresa para sancionar prescribirá para las faltas leves a los diez días, para las faltas graves a los veinte días y para las muy graves a los sesenta días, a partir de la fecha en que aquélla tuvo conocimiento de su comisión, y en cualquier caso a los seis meses de haberse cometido.
ARTÍCULO 54º.- EXPEDIENTE CONTRADICTORIO.
La incoación de expediente contradictorio se ajustará a las siguientes normas:
a) Se iniciará con una orden escrita del representante de la Empresa con las designaciones de instructor y secretario.
Comenzarán las actuaciones tomando declaración al autor de la falta y a los testigos, admitiéndose cuantas pruebas aporten.
Seguidamente serán oídos el Comité de Empresa, Delegados de Personal o el resto de ellos.
Y se incluirá en las diligencias del expediente cuantas pruebas o alegaciones aporten.
a) La tramitación del expediente, si no es preciso aportar pruebas de cualquier clase que sean de lugares distintos a la localidad en que se incoe, se terminará con la máxima diligencia, una vez incorporadas las pruebas al expediente.
c) La resolución recaída se comunicará por escrito, expresando las causas que la motivaron y las fechas en que se produjeron, debiendo firmar, el duplicado el interesado. Caso de que se negase a firmar, se le hará la notificación ante testigos.
Se hará constar también la fecha de recepción de este comunicado, día de inicio de efectos de la sanción, así como su término, de existir éste.
Una copia de esta comunicación se entregará al Comité o Delegados de Personal que participaron en el expediente, dentro de los cinco días hábiles siguientes a la recepción del escrito por el infractor.
CAPÍTULO VIII. SEGURIDAD Y SALUD EN EL TRABAJO.
ARTÍCULO 55º.- COMPROMISO DE DESARROLLO.
Se estará a lo que negocie y desarrolle al respecto la Comisión establecida en el art.70 del Convenio General.
CAPÍTULO IX. PERMISOS, LICENCIAS Y EXCEDENCIAS.
ARTÍCULO 56º.- PERMISOS Y LICENCIAS.
El trabajador, previo aviso y justificación, podrá ausentarse del trabajo por el tiempo y en las condiciones establecidas en el Anexo V, cuadro de permisos y licencias.
El preaviso será siempre obligatorio, salvo supuestos y situaciones excepcionales e imprevisibles que no permitan preavisar de la ausencia, en cuyo caso se acreditarán en su momento suficientemente.
Los efectos de los permisos y licencias se extenderán asimismo a las parejas de hecho siempre que consten inscritas en el registro correspondiente.
ARTÍCULO 57º.- EXCEDENCIA FORZOSA.
La excedencia forzosa, se concederá por designación o elección para un cargo público o sindical que imposibilite la asistencia al trabajo, y dará lugar al derecho a la conservación del puesto de trabajo y al cómputo de la antigüedad durante su vigencia. El reingreso se solicitará dentro del mes siguiente al cese en el cargo público o sindical, perdiéndose este derecho si se hace transcurrido este plazo.
ARTÍCULO 58º.- EXCEDENCIA VOLUNTARIA.
1.- El trabajador con, al menos, una antigüedad en la Empresa de 1 año, tendrá derecho a que se le reconozca la posibilidad de situarse en excedencia voluntaria por un plazo no inferior a 1 año ni superior a 5. En los supuestos en que el trabajador esté sujeto a un contrato de duración temporal, la duración máxima de la excedencia voluntaria, en ningún caso, podrá superar la de la duración del contrato. Este derecho sólo podrá ser ejercitado de nuevo por el mismo trabajador, en su caso, si han transcurrido 4 años desde el final de la anterior excedencia, salvo casos excepcionales, en que de mutuo acuerdo podrá reducirse dicho plazo.
2.- Los trabajadores tendrán derecho a un período de excedencia, computable a efectos de antigüedad, no superior a cinco años, para atender al cuidado de cada hijo, tanto cuando lo sea por naturaleza como por adopción o en los supuestos de guarda con fines de adopción o acogimiento permanente a contar desde la fecha de nacimiento o, en su caso, de la resolución judicial o administrativa. Este mismo derecho de excedencia y en las mismas condiciones y duración podrá ejercerse por el trabajador para el cuidado de familiares hasta segundo grado de consanguinidad o afinidad. Los sucesivos hijos darán derecho a un nuevo período de excedencia que, en su caso, pondrán fin al que se viniera disfrutando. Cuando ambos progenitores trabajen en una misma empresa, el empresario podrá limitar su ejercicio simultáneo por razones justificadas en el funcionamiento de la empresa.
3.- El trabajador excedente, tendrá derecho al reingreso e incorporación automática, siempre que lo solicite con, al menos, un mes de antelación, durante los tres primeros años de excedencia.
Para los restantes años de excedencia conserva tan sólo un derecho preferente al reingreso en las vacantes, de igual o similar categoría a la suya, que hubiera o se produjera en la Empresa, y siempre que lo soliciten con, al menos, un mes de antelación al término de la excedencia.
ARTÍCULO 59º.- EXCEDENCIA ESPECIAL.
Los trabajadores tendrán, asimismo, derecho, por una sola vez, a un período de excedencia no superior, en ningún caso, a un año con derecho a la reserva del puesto de trabajo para los supuestos de atención personal al cónyuge, padres, hijos o hermanos en situación de enfermedad o incapacidad que requiera dicha asistencia. Tal situación deberá quedar, necesariamente, acreditada en el momento de la solicitud de la excedencia. El incumplimiento por parte del trabajador excedente de la condición motivadora supone un incumplimiento contractual por parte del trabajador que será considerado como falta muy grave.
Dadas las características especiales del presente supuesto de excedencia, las partes podrán fijar las condiciones específicas de aplicación de la misma.
DISPOSICIONES COMUNES PARA LAS EXCEDENCIAS:
1.- En las excedencias en que concurra la circunstancia de temporalidad del contrato, la duración del mismo no se verá alterada por la situación de excedencia del trabajador, y en el caso de llegar al término de éste durante el transcurso de la misma, se extinguirá dicho contrato previa su denuncia preavisada en el plazo mínimo de 15 días, salvo pacto en contrario.
El incumplimiento del plazo de preaviso por parte del empresario, supondrá, exclusivamente, la obligación de compensar económicamente al trabajador en el importe de los días de falta de preaviso, al momento de su liquidación.
2.- Durante el período de excedencia, el trabajador, en ningún caso, podrá prestar servicios que supongan una concurrencia desleal en relación a la Empresa. Si así lo hiciera, perdería automáticamente su derecho al reingreso.
3.- Los trabajadores excedentes incluidos en Expediente de Regulación de Empleo, tendrán los mismos derechos y obligaciones que el resto de los trabajadores.
ARTÍCULO 60º.- SUSPENSIÓN DEL CONTRATO DE TRABAJO POR PATERNIDAD.
En los supuestos de nacimiento de hijo, adopción, guarda con fines de adopción o acogimiento, el trabajador tendrá derecho a la suspensión del contrato por paternidad durante cuatro semanas ininterrumpidas, ampliables en los supuestos de parto, adopción, guarda con fines de adopción o acogimiento múltiples en dos días más por cada hijo a partir del segundo. Esta suspensión es independiente del disfrute compartido de los periodos de descanso por parto, adopción, guarda con fines de adopción y acogimiento.
CAPÍTULO X. REPRESENTACIÓN COLECTIVA.
A.- DE LA REPRESENTACIÓN DE LOS TRABAJADORES.
ARTÍCULO 61º.- COMITÉS DE EMPRESA Y DELEGADOS DE PERSONAL.
El Comité de Empresa y Delegados de Personal tendrán derecho a recibir la información, emitir informes y ejercer la labor de vigilancia sobre las materias expresamente previstas por las normas legales vigentes. Asimismo gozarán de las garantías en materias disciplinarias, de no discriminación, ejercicio de libertad de expresión y disposición de créditos horarios previstos en el art. 63.
ARTÍCULO 62º.- ELECCIONES SINDICALES-CANDIDATOS.
Los trabajadores que tengan 18 años cumplidos y una antigüedad mínima de 3 meses en la Empresa, siempre que hayan superado el período de prueba, serán elegibles en las elecciones a representantes de los trabajadores tal como se prevé en la sección segunda, art. 69 y siguientes del Estatuto de los Trabajadores.
ARTÍCULO 63º.- CRÉDITO HORARIO.
Los miembros del Comité de Empresa y Delegados de Personal, dispondrán de un crédito de horas mensuales retribuidas, de acuerdo con la siguiente escala:
– Centros de hasta 100 trabajadores: quince horas.
– Centros de 101 a 250 trabajadores: veinte horas.
– Centros de 251 a quinientos trabajadores: treinta horas.
– Centros de quinientos uno a setecientos cincuenta trabajadores: treinta y cinco horas – Centros de setecientos cincuenta y uno en adelante: cuarenta horas La utilización del crédito de horas mensuales retribuidas contempladas en el párrafo anterior, se preavisará por el trabajador afectado o el sindicato u organismo que proceda, con la antelación suficiente. En todo caso, en la utilización del crédito de horas mensuales retribuidas, para actividades programadas por el Sindicato, el preaviso se procurará realizar con 48 horas de antelación.
El crédito de horas mensuales retribuidas de los miembros del Comité de Empresa o Delegados de Personal, podrá ser acumulable a cualquiera de sus componentes, sin rebasar el máximo total. Dicha acumulación podrá computarse por períodos de hasta 3 meses.
Para que pueda operar la acumulación prevista en el párrafo anterior será requisito indispensable el que se preavise de tal decisión a la empresa con una antelación mínima de 15 días naturales. De no observarse tal plazo la acumulación requerirá acuerdo entre las partes.
No se contabilizarán dentro del crédito de horas anteriormente señalado, el tiempo empleado en reuniones convocadas por la Dirección de la Empresa; ni el de los desplazamientos para asistir a dichas reuniones, así como el tiempo empleado en la negociación de convenios, cuando la Empresa esté afectada por el ámbito de dicho Convenio.
El crédito de horas fijado podrá ser también utilizado para la asistencia de los representantes legales de los trabajadores a cursos de formación u otras actividades sindicales similares determinadas por el sindicato a que pertenezcan, previa la oportuna convocatoria y posterior justificación de asistencia.
Los representantes de los trabajadores y Delegados Sindicales, durante el ejercicio de sus funciones de representación, percibirán las retribuciones establecidas en el Capítulo IX «Permisos, Licencias y Excedencias» de este Convenio (ver cuadro de licencias).
ARTÍCULO 64º.- DERECHO DE REUNIÓN.
Los trabajadores de una Empresa o centro de trabajo tienen derecho a reunirse en asamblea, que podrá ser convocada por los Delegados de Personal, Comité de empresa o de centro de trabajo o por número de trabajadores no inferior al treinta y tres por ciento de la plantilla. La asamblea será presidida, en todo caso, por el Comité de Empresa o por los Delegados de Personal, mancomunadamente, que serán responsables de su normal desarrollo, así como de la presencia en la asamblea de personas no pertenecientes a la Empresa. Sólo podrán tratarse en ella los asuntos que previamente consten incluidos en el orden del día.
La presidencia de la asamblea comunicará a la Dirección de la Empresa la convocatoria y los nombres de las personas no pertenecientes a la empresa que vayan a asistir a la asamblea y acordará con ésta las medidas necesarias para evitar perturbaciones en la actividad laboral normal.
Cuando, por cualquier circunstancia, no pueda reunirse simultáneamente toda la plantilla sin perjuicio o alteraciones en el normal desarrollo de la producción, las diversas reuniones parciales que hayan de celebrarse se considerarán como una sola y fechadas en el día de la primera.
Las asambleas se celebrarán fuera de las horas de trabajo. La celebración de la asamblea se pondrá en conocimiento de la Dirección de la Empresa con una antelación mínima de 48 horas, indicando el orden del día, personas que ocuparán la presidencia y duración previsible.
B.- DE LOS SINDICATOS.
ARTÍCULO 65º.- DELEGADO SINDICAL.
En aquellas empresas que cuenten con una plantilla superior a 125 trabajadores, la representación del sindicato la ostentará un delegado sindical en los términos previstos en el Art.10 de la ley Orgánica 11/85 de Libertad Sindical. Dicho delegado sindical deberá ser miembros de la representación unitaria.
En aquéllos centros de trabajo con plantilla superior a 250 trabajadores, la representación del sindicato la ostentará un delegado, en los términos previstos en el Art. 10 de la Ley Orgánica 11/85.
El sindicato que alegue poseer derecho a hallarse representado mediante titularidad personal en cualquier empresa, deberá acreditarlo ante la misma en forma fehaciente, reconociendo ésta, acto seguido, al citado delegado su condición de representante del sindicato a todos los efectos.
Los delegados sindicales tendrán las competencias, garantías y funciones reconocidas en las leyes o normas que las desarrollen.
El delegado sindical deberá ser el trabajador que se designará de acuerdo con los estatutos del sindicato o central a quién representa, tendrán reconocidas las siguientes funciones:
– Recaudar cuotas y distribuir información sindical, fuera de las horas de trabajo, y sin perturbar la actividad normal de la empresa.
– Representar y defender los intereses del sindicato a quién representa y de los afiliados al mismo, en el centro de trabajo, y servir de instrumento de comunicación entre el sindicato o central sindical y la Dirección de la Empresa.
– Asistir a las reuniones del Comité de Empresa del centro de trabajo y Comité de Seguridad e Higiene en el trabajo con voz y sin voto.
– Tener acceso a la misma información y documentación que la Empresa ponga a disposición del Comité de Empresa, respetándose las mismas garantías reconocidas por la ley y el presente convenio a los miembros del Comité de Empresa, y estando obligado a guardar sigilo profesional en todas aquéllas materias en las que legalmente proceda.
– Será informado y oído por la Dirección de la Empresa en el tratamiento de aquéllos problemas de carácter colectivo que afecten, en general, a los trabajadores de su centro de trabajo, y particularmente a los afiliados a su sindicato que trabajen en dicho centro.
El delegado sindical ceñirá sus tareas a la realización de las funciones sindicales que le son propias, ajustando, en cualquier caso, su conducta a la normativa legal vigente.
Las secciones sindicales de los sindicatos más representativos tendrán derecho a la utilización de un local adecuado, en el que puedan desarrollar sus actividades, en aquéllos centros de trabajo con más de 250 trabajadores.
– Participación en las negociaciones de los Convenios Colectivos: A los delegados sindicales que participen en las comisiones negociadoras de convenios colectivos, manteniendo su vinculación como trabajadores en activo de alguna empresa, les serán concedidos permisos retribuidos por las mismas a fin de facilitarles su labor como negociadores y durante el transcurso de la antedicha negociación, siempre que la empresa esté afectada directamente por el Convenio Colectivo de que se trate.
– Reunirse, fuera de las horas de trabajo y sin perturbar la actividad normal de la Empresa, con los trabajadores de ésta afiliados a su sindicato.
– Insertar comunicados en los tablones de anuncios, previstos a tal efecto, que pudieran interesar a los afiliados al sindicato y a los trabajadores del centro.
– Los delegados sindicales, siempre que no formen parte del Comité de Empresa, dispondrán de un crédito de horas mensuales retribuidas, en iguales términos y contenido que los contemplados en el artº 73 de este Convenio.
ARTÍCULO 66º.- CUOTA SINDICAL.
En los centros de trabajo, a solicitud formulada por escrito por cada uno de los trabajadores afiliados a las centrales o sindicatos legalmente constituidos, las empresas descontarán, en la nómina mensual, a dichos trabajadores el importe de la cuota sindical correspondiente.
El abono de la cantidad recaudada por la Empresa se hará efectivo, por meses vencidos, al sindicato correspondiente, mediante transferencia a su cuenta bancaria.
Las Empresas efectuarán las antedichas detracciones, salvo indicación en contrario, durante períodos de un año.
El trabajador podrá, en cualquier momento, anular por escrito la autorización concedida.
ARTÍCULO 67º.- EXCEDENCIAS SINDICALES.
El personal con antigüedad de tres meses que ejerza o sea llamado a ejercer un cargo sindical en los órganos de gobierno provinciales, autonómicos o nacionales de una central sindical que haya firmado el Convenio, tendrá derecho a una excedencia forzosa por el tiempo que dure el cargo que la determina.
Para acceder el trabajador a dicha excedencia, deberá acompañar a la comunicación escrita a la Empresa, el certificado de la central sindical correspondiente en el que conste el nombramiento del cargo sindical de gobierno para el que haya sido elegido.
El trabajador excedente forzoso tiene la obligación de comunicar a la Empresa, en un plazo no superior al mes, la desaparición de las circunstancias que motivaron su excedencia; caso de no efectuarla en dicho plazo, perderá el derecho al reingreso.
El reingreso será automático y obligatorio y el trabajador tendrá derecho a ocupar una plaza del mismo grupo o nivel, lugar y puesto de trabajo que ostentaba antes de producirse la excedencia forzosa.
El tiempo de excedencia se computará como de antigüedad al servicio de la Empresa.
CAPÍTULO XI. ORDENACIÓN Y ORGANIZACIÓN DEL TRABAJO.
ARTÍCULO 68º.- DIRECCIÓN Y CONTROL DEL TRABAJO.
La organización y ordenación del trabajo es facultad del empresario, o personas en quién éste delegue, pudiendo implantar los sistemas internos de control que considere oportunos para verificar el cumplimiento por el trabajador de sus obligaciones y deberes laborales, que deberá ejercerse con sujeción a lo establecido en este Convenio y demás normas aplicables.
En consecuencia tiene la facultad de organizarlo de forma que pueda lograr el máximo rendimiento en todos los aspectos: mano de obra, materiales, tiempo, etc., hasta el límite racional y científico que permitan los elementos de que disponga y la necesaria colaboración del personal para dicho objeto, con sujeción a lo establecido en el presente Convenio y demás normas de aplicación.
Son facultades del empresario, entre otras, las siguientes:
a) La calificación del trabajo y de productividad industrial generalmente admitidos.
b) La determinación de los sistemas de organizaciones o medición del trabajo encaminados a obtener y asegurar los máximos rendimientos de los elementos, máquinas o instalaciones, dadas las necesidades generales de la Empresa o las específicas de un determinado departamento, sección o puesto de trabajo.
c) La adjudicación del número de máquinas o de tareas necesarias para la saturación del puesto de trabajo. La regulación de la adaptación de las cargas de trabajo, rendimiento y tarifas a las condiciones que resulten del cambio de métodos operatorios, proceso de fabricación, cambio de materias, máquinas o condiciones técnicas de las mismas.
d) La fijación de índices de desperdicios, normas de calidad y normas técnicas de trabajo.
e) La exigencia de una vigilancia, atención y limpieza de la maquinaria y utillaje encomendadas al trabajador.
f) El cambio de puesto de trabajo y la redistribución del personal de la empresa con arreglo a las conveniencias de la producción y de la organización, con sujeción a los criterios de movilidad dentro de la pertenencia a grupos profesionales.
g) El introducir, durante cualquier período de organización del trabajo, las modificaciones necesarias o convenientes en los métodos, distribución del personal, variaciones técnicas de las máquinas, utillaje, fórmulas, etc.
h) El mantenimiento del normal desarrollo de las relaciones laborales.
i) Establecer o variar las fórmulas para el cálculo de incentivos.
j) Exigir la actividad normal a la totalidad del personal de la Empresa.
Las facultades empresariales descritas serán, en todo caso, ejercitadas sin menoscabo de las competencias atribuidas a los representantes legales de los trabajadores.
En caso de disconformidad de los trabajos, expuesta a través de sus representantes legales, se mantendrán las normas existentes en la Empresa en espera de la resolución de los órganos a quiénes corresponda.
ARTÍCULO 69º.- PRESTACIÓN DEL TRABAJO.
1.- El trabajador está obligado a realizar el trabajo convenido, cumpliendo las órdenes e instrucciones del empresario en el ejercicio regular de sus facultades directivas, y, en su defecto, los usos y costumbres, debiendo ejecutar cuantos trabajos, operaciones o actividades se le ordenen dentro del general cometido de su competencia profesional.
Deberá, asimismo, prestar mayor trabajo o distinto del convenido en los casos de necesidad urgente de prevenir males, remediar accidentes o daños sufridos.
2.- El trabajador deberá dar cuenta inmediata a sus jefes directos de los entorpecimientos que observe en la realización de su trabajo, así como de las faltas o defectos que advierta en los útiles, máquinas, herramientas o instalaciones relacionadas con su cometido, que a su vez deberá mantener en estado de funcionamiento y utilización en los que de él dependa.
3.- Fuera de los centros de trabajo o de su jornada laboral, queda prohibida, salvo expresa autorización del empresario o de quiénes lo representen, la utilización de máquinas, herramientas, aparatos, instalaciones o locales de trabajo.
4.- Para la debida eficacia de la política de prevención de accidentes en el trabajo, los trabajadores vienen obligados a utilizar los medios de protección que les facilite el empresario en cumplimiento de la normativa reguladora correspondiente.
5.- Como manifestación de los deberes generales de colaboración y buena fe que rigen la prestación del trabajo, el trabajador está obligado a mantener los secretos relativos a la explotación y negocios de la empresa.
ARTÍCULO 70º.- TRABAJO «A TIEMPO O JORNADA».
Salvo pacto en contrario, se presume que la prestación de trabajo se concierta en la modalidad denominada «a tiempo o jornada» en la que la retribución se fija atendiendo a la duración del trabajo y al rendimiento normal definido en este Convenio y cuya contrapartida la constituyen las tablas salariales, siempre que el trabajador alcance, en dicho tiempo, el rendimiento normal exigible al mismo.
ARTÍCULO 71º.- TRABAJO A TAREA.
El trabajo a tarea consiste en la realización, por jornada, de una determinada cantidad de trabajo con independencia del tiempo invertido en su realización.
Si el trabajador termina la tarea antes de concluir la jornada diaria, la empresa podrá ofrecerle y éste aceptar o no, entre continuar prestando sus servicios hasta la terminación de la jornada, o que abandone el trabajo, dando por concluida la misma.
En el primer caso, la Empresa deberá abonar el tiempo que medie entre la terminación de la tarea y la conclusión de la jornada diaria, como si se tratase de horas extraordinarias, pero sin que se computen éstas al efecto del límite fijado para las mismas en el artº 35.2 del Estatuto de los Trabajadores y sin que pueda exigirse durante dicho período un rendimiento superior al normal.
ARTÍCULO 72º.- TRABAJO A DESTAJO.
En los trabajos a destajo o por unidad de obra y a efectos de su retribución, sólo se atiende a la cantidad y calidad de la obra o trabajo realizado, pagándose por módulos o unidades determinadas, independientemente del tiempo invertido en su realización, si bien puede estipularse un plazo para su terminación, en cuyo caso deberá terminarse dentro de él.
ARTÍCULO 73º.- TRABAJO A PRIMA O INCENTIVO.
Las Empresas podrán establecer para los trabajos no medidos científicamente sistemas de incentivación o primas a la producción, de modo que a un mayor rendimiento en el trabajo correspondan normalmente unos ingresos superiores a los ordinarios.
Si en cualquiera de los trabajos remunerados con incentivo a destajo, tarea, con prima a la producción o por tarea y unidad de obra a que se refiere este Capítulo, no se produjera el rendimiento exigible por causas imputables a la Empresa, a pesar de poner el trabajador en la ejecución de la obra la técnica, actividad y diligencia necesarias, éste tendrá derecho a percibir el 50% del promedio de las primas obtenidas en el mes anterior durante los primeros 30 días, el 25% durante los 30 días posteriores y el 10% durante los 30 días siguientes, cesando, a partir de éste último período la obligación de la Empresa de remunerar cantidad alguna por este concepto.
Si las causas que motivaron la disminución del rendimiento fueran accidentales y no se extendieran a toda la jornada, se deberá compensar al trabajador el tiempo que dure la disminución.
Cuando los motivos no sean imputables a descuidos o negligencia de la Empresa e independientemente de la voluntad del trabajador, se pagará a los trabajadores afectados a razón del salario base. Entre otros casos pueden considerarse la falta de fluido eléctrico, averías en máquinas, espera de fuerza o de materiales, falta o disminución de pedidos y otros análogos.
Para acreditar el derecho al salario bonificado o al salario base en los supuestos anteriores, es indispensable que el trabajador haya permanecido en el lugar o puesto de trabajo.
ARTÍCULO 74º.- ORGANIZACIÓN CIENTÍFICA DEL TRABAJO.
A los efectos de la organización científica del trabajo en las empresas incluidas en este Convenio que apliquen este sistema, y cuantos sean convenientes para su mejor marcha y funcionamiento, se tendrán en cuenta las siguientes definiciones:
a) Actividad normal: Se entiende por actividad normal, la equivalente a 60 puntos Bedaux, 100 Centesimales o la referencia que fije cualquier otro sistema de medición científica del trabajo, calculado por medio de cronómetros por cualquiera de los sistemas conocidos o bien aplicando la técnica de observaciones instantáneas denominadas «muestreo de trabajo».
b) Actividad óptima: Es la que corresponde a los sistemas de medida con los índices 80 o 140 en los sistemas Bedaux o Centesimal, respectivamente, o su equivalencia en cualquier otro sistema de medición científica del trabajo.
c) endimiento normal: Es la cantidad de trabajo que un operario efectúa en una hora de actividad normal.
d) Rendimiento óptimo: Es la cantidad de trabajo que un operario efectúa en una hora de actividad óptima.
e) Tiempo máquina: Es el que emplea una máquina en producir una unidad de tarea en condiciones técnicas determinadas.
f) Tiempo normal: Es el invertido por un trabajador en una determinada operación en actividad normal, sin incluir tiempos de recuperación.
g) Trabajo libre: Es aquél en el que el operario puede desarrollar la actividad óptima durante todo el tiempo. La producción optima en el trabajo libre corresponde al trabajo óptimo.
h) Trabajo limitado en actividad normal: Es aquél en que el operario no puede desarrollar la actividad óptima durante todo su tiempo. La limitación puede ser debida al trabajo de la máquina, al hecho de trabajar en equipos o las condiciones del método operatorio. A los efectos de remuneración, los tiempos de espera debidos a cualquiera de las anteriores limitaciones serán abonados como si se trabajase a actividad normal.
i) Trabajo limitado en actividad óptima: La actividad óptima se obtendrá teniendo en cuenta que el tiempo de producción mínimo es el «tiempo máquina» realizado en actividad óptima.
En los casos correspondientes se calcularán las interferencias y pausas de máquina o equipo.
Las Empresas que no tuvieran implantado un sistema de racionalización en sus centros de trabajo, en la fecha de publicación del presente Convenio, podrán establecerlo y, en todo caso, podrán determinar el rendimiento normal correspondiente a cada puesto de trabajo, fijando a tal efecto la cantidad y calidad de labor a efectuar, así como las restantes condiciones mínimas exigibles, sin que el no hacerlo signifique o pueda interpretarse como renuncia a tal derecho.
ARTÍCULO 75º.- TRABAJO REMUNERADO CON INCENTIVO. CRITERIOS DE VALORACIÓN.
Para su cálculo y establecimiento se tendrán en cuenta las siguientes circunstancias:
a) Grado de especialización que el trabajo a realizar requiera según la mecanización de la industria.
b) Esfuerzo físico y atención que su ejecución origine.
c) Dureza y cualquier otra circunstancia especial de trabajo que haya de realizar.
d) Medio ambiente en que el trabajo se realice, así como las condiciones climatológicas del lugar en donde tenga que verificarse.
e) La calidad de los materiales empleados.
f) La importancia económica que la labor a realizar tenga para la Empresa y la marcha normal de su producción.
g) Cualquier otra circunstancia de carácter análogo a las enumeradas.
ARTÍCULO 76º.- PROCEDIMIENTO DE IMPLANTACIÓN, SUPRESIÓN Y REVISIÓN DE LOS SISTEMAS DE TRABAJO.
El procedimiento para la implantación de los sistemas de organización del trabajo será el que sigue:
1º.- La empresa notificará por escrito a los representantes de los trabajadores, si los hubiera, con quince días de antelación, el propósito de implantar un sistema o un método técnico de organizar el trabajo, acompañando la información necesaria.
2º.- Transcurrido el plazo anterior, si no se hubiera producido acuerdo, la Empresa deberá someter la decisión a la Comisión Paritaria del presente Convenio. Los representantes de los trabajadores dispondrán de un plazo improrrogable de 5 días, desde la solicitud, para emitir informe razonado ante dicha Comisión Paritaria. Transcurridos 15 días desde la solicitud, la ausencia de resolución tendrá carácter positivo. 3º.- El período de prueba del nuevo sistema tendrá una duración que no podrá ser inferior a dos meses. Durante el citado período se garantizará al trabajador el salario medio que viniese percibiendo.
4º.- Antes de terminar el período de prueba, los representantes de los trabajadores, o éstos si no los hubiera, podrán expresar su desacuerdo, razonado y por escrito ante la Dirección de la Empresa.
5º.- En el plazo de diez días, después de recibir el escrito mencionado, la Empresa decidirá sobre las cuestiones que planteen las reclamaciones mencionadas en el punto anterior.
La Empresa decidirá sobre las cuestiones que planteen las reclamaciones. Contra las decisiones de la Empresa, se podrá recurrir ante la Jurisdicción competente, prolongándose el período de prueba en tanto ésta no se pronuncie.
6º.- Durante el período de prueba, antes de la entrada en vigor del nuevo sistema, se expondrán en los centros de trabajo las características de la nueva organización y las correspondientes tarifas. De igual modo se actuará en los casos de revisión del sistema, métodos o tarifas que impliquen modificaciones de éstas últimas.
ARTÍCULO 77º.- REVISIÓN O MODIFICACIÓN DE LOS SISTEMAS.
La revisión de los métodos o tarifas de incentivos podrá efectuarse por la Empresa o a petición de los representantes de los trabajadores, por alguno de los hechos siguientes:
1º.- Cuando se consiga repetidamente actividades con las percepciones que superen el 100 por 100 de las señaladas para primas y análogas, o en el 40 por 100 de las actividades medidas.
2º.- Cuando las cantidades de trabajo realizadas no se correspondan sistemáticamente con las normales establecidas.
3º.- Por reforma de los métodos y procedimientos industriales, motivada por modernización, mecanización o automatización de los puestos de trabajo.
4º.- Cuando en la confección de las tarifas se hubiera incurrido en indudable error de cálculo.
5º.- Cuando cualquier otra circunstancia lo aconseje.
CAPÍTULO XII. Formación Profesional.
En esta materia se estará a lo regulado en el Capítulo XIV del Convenio General del Sector.
CAPÍTULO XIII. SUSPENSIÓN TEMPORAL DE LOS CONTRATOS DE TRABAJO.
ARTÍCULO 79º.- PROCEDIMIENTO.
Las partes firmantes del presente Convenio acuerdan establecer las siguientes normas de procedimiento, cuando las circunstancias así lo determinen:
1.º Las empresas podrán solicitar suspender temporalmente sus contratos de trabajo, cuando concurran alguna de las siguientes circunstancias:
A) Cuando las existencias superen los dos meses de stock de producción en cualquier fecha del año.
B) Excepcionalmente, las Empresas podrán solicitar ésta suspensión siempre que sus existencias superen los 30 días de stock, aun cuando no superen los dos meses de producción si, previamente, las Comisiones Mixtas Paritarias de Interpretación de los Convenios de ámbito inferior lo hubieran comprobado e informado favorablemente en tal sentido, valorando para ello todos los factores causantes de tal situación.
2.º El cese temporal podrá afectar a la totalidad o a parte de la plantilla, y podrá ser aplicable en forma ininterrumpida o discontinua. En el caso de que el cese temporal afecte solamente a una parte de la plantilla de la Empresa, y mientras se mantenga esta situación, el resto de la plantilla no podrá exceder en su trabajo del rendimiento normal, ni efectuar horas extraordinarias.
3.º En caso de autorizarse la suspensión, el personal afectado percibirá su retribución de la siguiente forma: la prestación a percibir por el trabajador, sumadas las aportaciones de la Entidad Gestora y la Empresa, no podrá superar, en ningún caso, la cuantía de la base reguladora de la prestación por desempleo que le corresponda, una vez deducida la parte proporcional de gratificaciones extraordinarias. Las gratificaciones extraordinarias serán percibidas por el trabajador íntegramente en los términos y fechas previstos con carácter general para las mismas.
4.º La tramitación en las actuaciones procedimentales de la suspensión temporal de los contratos de trabajo se ajustará a las previsiones del artículo 47 del Estatuto de los Trabajadores, aunque en sus términos se reducirá siempre a la mitad. En caso de que durante la vigencia del presente convenio, se aplicaran nuevas normas, éstas sustituirán a las aquí contempladas.
En todos los casos, los plazos previstos en la normativa señalada se reducirán a la mitad.
5.º Todas las peticiones que se cursen deberán de hacerse bajo el principio de autonomía de las partes para negociar y con el conocimiento de los representantes legales de los trabajadores.
6.º Caso de no afectar la suspensión a toda la plantilla deberá aplicarse, dentro del mismo grupo del personal, un sistema de rotación entre una suspensión y otra, fuera cual fuese el ejercicio en que se hiciese uso de esta facultad, en función de la configuración de la plantilla 7.º La encargada de coordinar todas las actuaciones sería la Comisión Mixta Paritaria de Interpretación del Convenio, en su ámbito funcional que estudiará cada caso y recomendará la procedencia o no de la citada suspensión. Las partes afectadas podrán vincularse o no a dicha recomendación.
CAPÍTULO XIV. PROCEDIMIENTOS VOLUNTARIOS EXTRAJUDICIALES DE SOLUCIÓN DE CONFLICTOS COLECTIVOS.
ARTÍCULO 80º.- ADHESIÓN AL SERCLA.
Las partes firmantes del presente Convenio Provincial acuerdan suscribir su adhesión al Acuerdo sobre Solución Extrajudicial de Conflictos Colectivos, suscrito por la organizaciones Patronales CEA,UGT, y CC.OO. que dio lugar al SERCLA y se remiten a lo dispuesto en el Reglamento de Funcionamiento y Procedimiento del Sistema Extrajudicial de Resolución de Conflictos Colectivos Laborales de Andalucía.
CAPÍTULO XV. PRESTACIONES COMPLEMENTARIAS A LAS DE LA SEGURIDAD SOCIAL.
ARTÍCULO 81º.- INDEMNIZACIONES.
Los trabajadores afectados por el presente convenio tendrán derecho a percibir indemnizaciones complementarias a las prestaciones de Seguridad Social, en los supuestos y cuantías que se detallan:
En caso de muerte derivada de enfermedad común o accidente no laboral, 1.800 € o el importe de una doceava parte de las retribuciones anuales previstas en el Convenio aplicable en cada momento.
En caso de muerte, Incapacidad Permanente Total, Absoluta o Gran Invalidez, derivadas de accidente de trabajo o enfermedad profesional:
– Año 2017 a 2020: 50.000 Euros.
Este punto entrará en vigor a los 30 días de la publicación en el BOP de Huelva.
En los supuestos de muerte, las indemnizaciones establecidas se abonarán a quién o quiénes el trabajador fallecido hubiese declarado beneficiario, y, en su defecto al cónyuge, hijos, padres, hermanos y demás herederos legales, por ese orden.
En cuanto a la fecha de fijación de efectos del hecho causante, se estará, en todo caso, a la fecha en que se hubiera producido el accidente. En los supuestos de enfermedad profesional se tomará como fecha de efectos, aquélla en que se declare por primera vez la existencia de la misma por el órgano competente.
La fecha de entrada en vigor en la aplicación de las indemnizaciones anteriores será a los 30 días de la publicación del presente Convenio Colectivo.
ARTÍCULO 82º.- COMPLEMENTOS POR INCAPACIDAD TEMPORAL.
1.- COMPLEMENTO POR INCAPACIDAD TEMPORAL DERIVADA DE ACCIDENTE DE TRABAJO O ENFERMEDAD PROFESIONAL.
Como complemento a las prestaciones a cargo de la entidad gestora, los trabajadores que se encuentren en situación de incapacidad temporal derivada de accidente de trabajo o enfermedad profesional, percibirán un complemento hasta alcanzar el 100% de la base de cotización del mes anterior, sin incluir la parte de horas extraordinarias, ni la prorrata de las pagas extraordinarias que se percibirán íntegras en sus fechas de pago a estos efectos.
2.- COMPLEMENTO POR INCAPACIDAD TEMPORAL DERIVADA DE ENFERMEDAD COMÚN O ACCIDENTE NO LABORAL.
A.- Si el índice de absentismo definido en el párrafo b) de este artículo fuera igual o inferior al 3,00% tomando la medida de los 12 meses anteriores al período que se liquida más la del propio mes de liquidación ( media 12 meses +índice del mes) / 2, los trabajadores que se encuentren en situación de Incapacidad Temporal derivada de enfermedad común, o accidente no laboral, percibirán un complemento hasta alcanzar el 100% de la base reguladora en los términos identificados en el párrafo anterior a partir del decimosexto día de la baja y mientras dure tal situación.
En los supuestos de hospitalización, se abonará el 100% desde el primer día, mientras dure la hospitalización.
B.- Se entenderá por absentismo la falta al trabajo por incapacidad temporal derivada de enfermedad común o accidente no laboral será el resultado de la fórmula siguiente:
El índice de absentismo resultante será publicado mes a mes y de forma acumulada en los tablones de anuncio de cada empresa y entregada copia a los Representantes Legales de los Trabajadores para su control. Caso de no existir Representantes Legales, dicho índices serán facilitados a los Sindicatos firmantes de este Convenio.
El incumplimiento de cualquiera de estos requisitos no liberará a las empresas del pago del complemento de incapacidad temporal del artículo anterior aunque su índice sea superior al 3,00%.
ARTÍCULO 83º.- JUBILACIÓN PARCIAL MEDIANTE CONTRATO DE RELEVO.
Las organizaciones firmantes del presente convenio manifiestan su interés en promover el relevo generacional en el sector mediante la aplicación del contrato de relevo.
CAPÍTULO XV. IGUALDAD DE OPORTUNIDADES, PLANES DE IGUALDAD Y PROTOCOLOS.
En esta materia el presente Convenio Colectivo se remite al regulación efectuada por el Convenio General del Sector en su Capítulo XVIII.
ANEXO I.
ANEXO II.
De acuerdo con lo establecido en el artículo 39 del presente Convenio, el modelo de Recibo de Salario válido en el sector de Derivados del Cemento, se ajustará a los campos de estructura contenidos en el modelo anexo a la Orden Ministerial de 27 de Diciembre de 1.994, incluyendo en los mismos la fecha de antigüedad del trabajador en la empresa.
Los conceptos de devengo que tenga derecho a percibir el trabajador, se ajustarán, necesariamente, a los definidos en el Convenio General de Derivados del Cemento y se especificarán y relacionarán en el Recibo de Salarios con la precisión y claridad suficientes para que permitan al trabajador conocer exactamente el contenido de los mismos.
ANEXO III.
A los efectos de lo dispuesto en el artículo 29.4 del presente Convenio, la fórmula para determinar el valor hora con el fin de abonar posibles excesos en supuestos de distribución irregular de la jornada será la siguiente:
Siendo:.
SB Salario base.
AC Antigüedad Consolidada, en su caso.
PI Posibles Pluses Individuales o Complementos Personales.
CC Complemento de Convenio.
CP Complementos de Puesto de Trabajo.
CCC Complementos por Cantidad y/o Calidad de Trabajo.
GE Gratificaciones Extraordinarias.
V Importe de las Vacaciones anuales.
ANEXO IV.- Cuadro de permisos y licencias.
CALENDARIO 2019 (BOP N.º 41 – 1 de Marzo de 2019)
Convenio o Acuerdo: INDUSTRIAS DERIVADOS DEL CEMENTO.
Expediente: 21/01/0013/2019 Fecha: 05/02/2019.
Asunto: RESOLUCIÓN DE INSCRIPCIÓN Y PUBLICACIÓN.
Código 21100325012018.
RESOLUCIÓN de la Delegación Territorial de Conocimiento y Empleo de la Junta de Andalucía en Huelva, por la que se acuerda el registro, depósito y publicación del ACUERDO DEL CALENDARIO LABORAL PARA EL AÑO 2019 DEL CONVENIO COLECTIVO DE INDUSTRIAS DE DERIVADOS DEL CEMENTO DE LA PROVINCIA DE HUELVA.
VISTO el texto del ACUERDO DEL CALENDARIO LABORAL PARA EL AÑO 2019 DEL CONVENIO COLECTIVO DE INDUSTRIAS DE DERIVADOS DEL CEMENTO DE LA PROVINCIA DE HUELVA, que fue suscrito con fecha 18 de enero de 2019 por la Asociación de Empresarios de Derivados del Cemento y por las centrales sindicales FICA-UGT Huelva y CCOO de Construcción y Servicios de Huelva, y de conformidad con lo dispuesto en el art. 90, apartados 2 y 3, del texto refundido de la Ley del Estatuto de los Trabajadores, aprobado por el Reai Decreto Legislativo 2/2015, de 23 de octubre; en el Real Decreto 713/2010, de 28 de mayo, sobre registro y depósito de convenios y acuerdos colectivos de trabajo; en el Real Decreto 4043/82, de 29 de diciembre, por el que se traspasan funciones y servicios a la Junta de Andalucía; en el Decreto del Presidente 2/2019, de 21 de enero, de la Vicepresidencia y sobre reestructuración de Consejerías; en el Decreto 210/2015, de 14 de julio, por el que se regula la estructura orgánica de la Consejería de Empleo, Empresa y Comercio y en el Decreto 342/2012 de 31 de julio por el que se regula la organización territorial provincial de la Administración de la Junta de Andalucía, modificado por Decreto 107/2018, de 19 de junio, esta Delegación Territorial, en uso de sus atribuciones, acuerda:
PRIMERO: Ordenar la inscripción del referido acuerdo en el correspondiente Registro de convenios y acuerdos colectivos de trabajo de la Delegación Territorial de Conocimiento y Empleo de la Junta de Andalucía en Huelva (en la aplicación web REGCON), con notificación a la Comisión Negociadora.
SEGUNDO: Disponer su depósito.
TERCERO: Solicitar la publicación del texto del acuerdo mencionado en el Boletín Oficial de la Provincia de Huelva, para conocimiento y cumplimiento por las partes afectadas.
EL DELEGADO TERRITORIAL, MANUEL JOSE CEADA LOSA.
REVISIÓN SALARIAL (BOP N.º 75 – 22 de Abril de 2019)
Convenio o Acuerdo: INDUSTRIAS DERIVADOS DEL CEMENTO.
Expediente: 21/01/0031/2019 Fecha: 22/03/2019.
Asunto: RESOLUCIÓN DE INSCRIPCIÓN Y PUBLICACIÓN.
Código 21100325012018.
RESOLUCIÓN de la Delegación Territorial de Empleo, Formación, Trabajo Autónomo, Economía, Conocimiento, Empresas y Universidad de la Junta de Andalucía en Huelva, por la que se acuerda el registro, depósito y publicación de las TABLAS SALARIALES PARA EL AÑO 2018 DEL CONVENIO COLECTIVO DE INDUSTRIAS DE DERIVADOS DEL CEMENTO DE LA PROVINCIA DE HUELVA.
VISTO el acuerdo de las TABLAS SALARIALES PARA EL AÑO 2018 DEL CONVENIO COLECTIVO DE INDUSTRIAS DE DERIVADOS DEL CEMENTO DE LA PROVINCIA DE HUELVA, que fue suscrito con fecha 11 de marzo de 2019 por la Asociación de Empresarios de Derivados del Cemento y por las centrales sindicales FICA-UGT Huelva y CCOO de Construcción y Servicios de Huelva, y de conformidad con lo dispuesto en el art. 90, apartados 2 y 3, del texto refundido de la Ley del Estatuto de los Trabajadores, aprobado por el Real Decreto Legislativo 2/2015, de 23 de octubre; en el Real Decreto 713/2010, de 28 de mayo, sobre registro y depósito de convenios y acuerdos colectivos de trabajo; en el Real Decreto 4043/82, de 29 de diciembre, por el que se traspasan funciones y servicios a la Junta de Andalucía; en el Decreto del Presidente 2/2019, de 21 de enero, de la Vicepresidencia y sobre reestructuración de Consejerías, modificado por Decreto del Presiente 6/2019, de 11 de febrero; Decreto 100/2019, de 12 de febrero, por el que se regula la estructura orgánica de la Consejería de Empleo, Formación y Trabajo Autónomo; Decreto 342/2012, de 31 de julio, por el que se regula la organización territorial provincial de la Administración de la Junta de Andalucía, modificado por Decreto 32/2019, de 5 de febrero y disposiciones concordantes, esta Delegación Territorial, en uso de sus atribuciones, acuerda:
PRIMERO: Ordenar la inscripción de la referida tabla salarial en el correspondiente Registro de convenios y acuerdos colectivos de trabajo de la Delegación Territorial de Empleo, Formación, Trabajo Autónomo, Economía, Conocimiento, Empresas y Universidad de la Junta de Andalucía en Huelva (en la aplicación web REGCON), con notificación a la Comisión Negociadora.
SEGUNDO: Disponer su depósito.
TERCERO: Solicitar la publicación de la tabla salarial en el Boletín Oficial de la Provincia de Huelva, para conocimiento y cumplimiento por las partes afectadas.
EL DELEGADO TERRITORIAL, ANTONIO AUGUSTÍN VÁZQUEZ.
CALENDARIO 2020 (BOP N.º 119 – 27 de Julio de 2020)
Convenio o Acuerdo: INDUSTRIAS DERIVADOS DEL CEMENTO.
Expediente: 21/01/0037/2020.
Fecha: 08/07/2020.
Asunto: RESOLUCIÓN DE INSCRIPCIÓN Y PUBLICACIÓN.
Código 21100325012018.
RESOLUCIÓN de la Delegación Territorial de Empleo, Formación, Trabajo Autónomo, Economía, Conocimiento, Empresas y Universidad de la Junta de Andalucía en Huelva, por la que se acuerda el registro, depósito y publicación del ACUERDO DEL CALENDARIO LABORAL PARA EL AÑO 2020 DEL CONVENIO COLECTIVO DE INDUSTRIAS DE DERIVADOS DEL CEMENTO DE LA PROVINCIA DE HUELVA.
VISTO el texto del ACUERDO DEL CALENDARIO LABORAL PARA EL AÑO 2020 DEL CONVENIO COLECTIVO DE INDUSTRIAS DE DERIVADOS DEL CEMENTO DE LA PROVINCIA DE HUELVA, que fue suscrito con fecha 26 de junio de 2020 por la Asociación de Empresarios de Derivados del Cemento y por las centrales sindicales FICA-UGT Huelva y CCOO de Construcción y Servicios de Huelva, y de conformidad con lo dispuesto en el art. 90, apartados 2 y 3, del texto refundido de la Ley del Estatuto de los Trabajadores, aprobado por el Real Decreto Legislativo 2/2015, de 23 de octubre; en el Real Decreto 713/2010, de 28 de mayo, sobre registro y depósito de convenios y acuerdos colectivos de trabajo; en el Real Decreto 4043/82, de 29 de diciembre, por el que se traspasan funciones y servicios a la Junta de Andalucía; en el Decreto del Presidente 2/2019, de 21 de enero, de la Vicepresidencia y sobre reestructuración de Consejerías, modificado por Decreto del Presiente 6/2019, de 11 de febrero; Decreto 100/2019, de 12 de febrero, por el que se regula la estructura orgánica de la Consejería de Empleo, Formación y Trabajo Autónomo; Decreto 342/2012, de 31 de julio, por el que se regula la organización territorial provincial de la Administración de la Junta de Andalucía, modificado por Decreto 32/2019, de 5 de febrero y disposiciones concordantes, esta Delegación Territorial, en uso de sus atribuciones, acuerda:
PRIMERO: Ordenar la inscripción del referido acuerdo en el correspondiente Registro de convenios y acuerdos colectivos de trabajo de la Delegación Territorial de Empleo, Formación, Trabajo Autónomo, Economía, Conocimiento, Empresas y Universidad de la Junta de Andalucía en Huelva (en la aplicación web REGCON), con notificación a la Comisión Negociadora.
SEGUNDO: Disponer su depósito.
TERCERO: Solicitar la publicación del texto del acuerdo mencionado en el Boletín Oficial de la Provincia de Huelva, para conocimiento y cumplimiento por las partes afectadas.
EL DELEGADO TERRITORIAL, ANTONIO AUGUSTIN VAZQUEZ.
REVISIÓN SALARIAL (BOP N.º 137 – 21 de Agosto de 2020)
Convenio o Acuerdo: INDUSTRIAS DERIVADOS DEL CEMENTO.
Expediente: 21/01/0041/2020.
Fecha: 05/08/2020.
Asunto: RESOLUCIÓN DE INSCRIPCIÓN Y PUBLICACIÓN.
Código 21100325012018.
RESOLUCIÓN de la Delegación Territorial de Empleo, Formación, Trabajo Autónomo, Economía, Conocimiento, Empresas y Universidad de la Junta de Andalucía en Huelva, por ia que se acuerda el registro, depósito y publicación de las TABLAS SALARIALES PARA EL AÑO 2019 DEL CONVENIO COLECTIVO DE INDUSTRIAS DE DERIVADOS DEL CEMENTO DE LA PROVINCIA DE HUELVA.
VISTO el acuerdo de las TABLAS SALARIALES PARA EL AÑO 2019 DEL CONVENIO COLECTIVO DE INDUSTRIAS DE DERIVADOS DEL CEMENTO DE LA PROVINCIA DE HUELVA, que fue suscrito con fecha 10 de julio de 2020 por la Asociación de Empresarios de Derivados del Cemento y por las centrales sindicales FICA-UGT Huelva y CCOO de Construcción y Servicios de Huelva, y de conformidad con lo dispuesto en el art. 90, apartados 2 y 3, del texto refundido de la Ley del Estatuto de los Trabajadores, aprobado por el Real Decreto Legislativo 2/2015, de 23 de octubre; en el Real Decreto 713/2010, de 28 de mayo, sobre registro y depósito de convenios y acuerdos colectivos de trabajo; en el Rea! Decreto 4043/82, de 29 de diciembre, por el que se traspasan funciones y servicios a la Junta de Andalucía; en el Decreto del Presidente 2/2019, de 21 de enero, de la Vicepresidencia y sobre reestructuración de Consejerías, modificado por Decreto del Presiente 6/2019, de 11 de febrero; Decreto 100/2019, de 12 de febrero, por el que se regula la estructura orgánica de la Consejería de Empleo, Formación y Trabajo Autónomo; Decreto 342/2012, de 31 de julio, por el que se regula la organización territorial provincial de la Administración de la Junta de Andalucía, modificado por Decreto 32/2019, de 5 de febrero y disposiciones concordantes, esta Delegación Territorial, en uso de sus atribuciones, acuerda:
PRIMERO: Ordenar la inscripción de la referida tabla salarial en el correspondiente Registro de convenios y acuerdos colectivos de trabajo de la Delegación Territorial de Empleo, Formación, Trabajo Autónomo, Economía, Conocimiento, Empresas y Universidad de la Junta de Andalucía en Huelva (en la aplicación web REGCON), con notificación a la Comisión Negociadora.
SEGUNDO: Disponer su depósito.
TERCERO: Solicitar la publicación de la tabla salarial en el Boletín Oficial de la Provincia de Huelva, para conocimiento y cumplimiento por las partes afectadas.
EL DELEGADO TERRITORIAL, ANTONIO AUGUSTÍN VÁZQUEZ.
CALENDARIO 2021 (BOP N.º 68 – 13 de Abril de 2021)
Convenio o Acuerdo: INDUSTRIAS DERIVADOS DEL CEMENTO.
Expediente: 21/01/0045/2021.
Fecha: 24/03/2021.
Asunto: RESOLUCIÓN DE INSCRIPCIÓN Y PUBLICACIÓN.
Código 21100325012018.
RESOLUCIÓN de la Delegación Territorial de Empleo, Formación, Trabajo Autónomo, Transformación Económica, Industria, Conocimiento y Universidades de la Junta de Andalucía en Huelva, por la que se acuerda el registro, depósito y publicación del ACUERDO ESTABLECIENDO EL CALENDARIO LABORAL PARA EL AÑO 2021 DEL CONVENIO COLECTIVO DE INDUSTRIAS DE DERIVADOS DEL CEMENTO DE LA PROVINCIA DE HUELVA.
VISTO el texto del ACUERDO ESTABLECIENDO EL CALENDARIO LABORAL PARA EL AÑO 2021 DEL CONVENIO COLECTIVO DE INDUSTRIAS DE DERIVADOS DEL CEMENTO DE LA PROVINCIA DE HUELVA, que fue suscrito con fecha 5 de marzo de 2021 por la Asociación de Empresarios de Derivados del Cemento y por las centrales sindicales FICA-UGT Huelva y CC.OO. de Construcción y Servicios de Huelva, en su condición de integrantes de la Comisión Negociadora del Convenio de referencia, y de conformidad con lo dispuesto en el art. 86.3, párrafo 2o, del texto refundido de la Ley del Estatuto de los Trabajadores, aprobado por el Real Decreto Legislativo 2/2015, de 23 de octubre; en el Real Decreto 713/2010, de 28 de mayo, sobre registro y depósito de convenios y acuerdos colectivos de trabajo; en el Real Decreto 4043/82, de 29 de diciembre, por el que se traspasan funciones y servicios a la Junta de Andalucía; en el Decreto de! Presidente 3/2020, de 3 de septiembre, de la Vicepresidencia y sobre reestructuración de Consejerías; Decreto 100/2019, de 12 dé febrero, por el que se regula la estructura orgánica de la Consejería de Empleo, Formación y Trabajo Autónomo, modificado por Decreto 115/2020, de 8 de septiembre; Decreto 342/2012, de 31 de julio, por el que se regula la organización territorial provincial de la Administración de la Junta de Andalucía, modificado por la disposición adicional sexta del Decreto 114/2020, de 8 de septiembre y disposiciones concordantes, esta Delegación Territorial, en uso de sus atribuciones, acuerda:
PRIMERO: Ordenar la inscripción del referido acuerdo en el correspondiente Registro de convenios y acuerdos colectivos de trabajo de la Delegación Territorial de Empleo, Formación, Trabajo Autónomo, Transformación Económica, Industria, Conocimiento y Universidades de la Junta de Andalucía en Huelva (en la aplicación web REGCON), con notificación a la Comisión Negociadora.
SEGUNDO: Disponer su depósito.
TERCERO: Solicitar la publicación del texto del acuerdo mencionado en el Boletín Oficial de la Provincia de Huelva, para conocimiento y cumplimiento por las partes afectadas.
EL DELEGADO TERRITORIAL, ANTONIO AUGUSTIN VAZQUEZ.
REVISIÓN SALARIAL (BOP N.º 85 – 5 de Mayo de 2022)
Convenio o Acuerdo: INDUSTRIAS DERIVADOS DEL CEMENTO.
Expediente: 21/01/0045/2022.
Fecha: 19/04/2022.
Asunto: RESOLUCIÓN DE INSCRIPCIÓN Y PUBLICACIÓN.
Código 21100325012018.
RESOLUCIÓN de la Delegación Territorial de Empleo, Formación, Trabajo Autónomo, Transformación Económica, Industria, Conocimiento y Universidades de la Junta de Andalucía en Huelva, por la que se acuerda el registro, depósito y publicación del ACUERDO PARCIAL DEL CONVENIO COLECTIVO PARA LAS INDUSTRIAS DE DERIVADOS DEL CEMENTO DE LA PROVINCIA DE HUELVA RESPECTO DE LAS TABLAS SALARIALES CON VIGENCIA PARA LOS AÑOS 2019, 2020 Y 2021.
VISTO el texto del ACUERDO PARCIAL DEL CONVENIO COLECTIVO PARA LAS INDUSTRIAS DE DERIVADOS DEL CEMENTO DE LA PROVINCIA DE HUELVA RESPECTO DE LAS TABLAS SALARIALES CON VIGENCIA PARA LOS AÑOS 2019, 2020 Y 2021, que fue suscrito con fecha 29 de marzo de 2022 por la Asociación de Empresarios de Derivados del Cemento y por las centrales sindicales FICA-UGT Huelva y CC.OO. de Construcción y Servicios de Huelva, en su condición de integrantes de la Comisión negociadora del Convenio de referencia y de conformidad con lo dispuesto en el art. 86.3, párrafo 2o del texto refundido de la Ley del Estatuto de los Trabajadores, aprobado por el Real Decreto Legislativo 2/2015, de 23 de octubre, modificado por el Real Decreto-ley 32/2021, de 28 de diciembre; en el Real Decreto 713/2010, de 28 de mayo, sobre registro y depósito de convenios colectivos, acuerdos colectivos de trabajo y planes de igualdad; en el Real Decreto 4043/82, de 29 de diciembre, por el que se traspasan funciones y servicios a la Junta de Andalucía; en el Decreto del Presidente 3/2020, de 3 de septiembre, de la Vicepresidencia y sobre reestructuración de Consejerías; Decreto 100/2019, de 12 de febrero, por el que se regula la estructura orgánica de la Consejería de Empleo, Formación y Trabajo Autónomo, modificado por Decreto 115/2020, de 8 de septiembre; Decreto 226/2020, de 29 de diciembre, por el que se regula la organización territorial provincial de la Administración de la Junta de Andalucía, modificado por la disposición adicional sexta del Decreto 114/2020, de 8 de septiembre y disposiciones concordantes, esta Delegación Territorial, en uso de sus atribuciones, acuerda:
PRIMERO: Ordenar la inscripción del referido acuerdo parcial en el correspondiente Registro de convenios y acuerdos colectivos de trabajo de la Delegación Territorial de Empleo, Formación, Trabajo Autónomo, Transformación Económica, Industria, Conocimiento y Universidades de la Junta de Andalucía en Huelva (en la aplicación web REGCON), con notificación a la Comisión Negociadora.
SEGUNDO: Disponer su depósito.
TERCERO: Solicitar la publicación del texto del acuerdo parcial mencionado en el Boletín Oficial de la Provincia de Huelva, para conocimiento y cumplimiento por las partes afectadas.
EL DELEGADO TERRITORIAL, ANTONIO AUGUSTÍN VÁZQUEZ.
ACTA DE FIRMA DE LAS TABLAS SALARIALES DEL CONVENIO COLECTIVO PARA LAS INDUSTRIAS DE DERIVADOS DEL CEMENTO DE LA PROVINCIA DE HUELVA CON VIGENCIA DE LOS ANOS 2019, 2020 Y 2021.
Reunidos en la sede de la F.O.E. las personas relacionadas al final, miembros de la Comisión Negociadora del Convenio de referencia, siendo las 10,30 horas del 29 de marzo de 2022, adoptan los siguientes acuerdos:
Que habiendo llegado las partes a un acuerdo una vez conocido la evolución del consumo de cemento publicada por el INE, y suscritas las Tablas Salariales del Convenio General del Sector de Derivados del Cemento, publicadas por Resolución de 11 de febrero de 2022 (BOE de 23/02/2022), éstas suscriben las Tablas Salariales del Convenio Colectivo para las Industrias de Derivados del Cemento de la Provincia de Huelva con vigencia para los años 2019, 2020 y 2021.
Se adjuntan las Tablas Salariales de los citados años 2019, 2020 y 2021 a la presente Acta.
Que las partes convienen en presentar un original de esta acta a la Delegación Provincial de Empleo a través de la aplicación informática REGCON al objeto de su publicación y registro para lo que se faculta expresamente a Don Gerardo Fernández Gómez.
Y no habiendo más asuntos que tratar, se levanta la sesión siendo las 11:30 horas del día de la fecha.
ASISTENTES.
Por FICA-U.G.T. Huelva: Don Diego Vega Prera.
Por CC.OO. de Construcción y Servicios de Huelva: Don Gerardo Fernández Gómez.
Por la Asociación de Empresarios de Derivados del Cemento: Don Lorenzo Sevillano López y Don Joaquín Vázquez González (Asesor).
CALENDARIO 2022 (BOP N.º 103 – 31 de Mayo de 2022)
Convenio o Acuerdo: INDUSTRIAS DERIVADOS DEL CEMENTO.
Expediente: 21/01/0054/2022.
Fecha: 17/05/2022.
Asunto: RESOLUCIÓN DE INSCRIPCIÓN Y PUBLICACIÓN.
Código 21100325012018.
RESOLUCIÓN de la Delegación Territorial de Empleo, Formación, Trabajo Autónomo, Transformación Económica, Industria, Conocimiento y Universidades de la Junta de Andalucía en Huelva, por la que se acuerda el registro, depósito y publicación del ACUERDO PARCIAL DEL CONVENIO COLECTIVO PARA LAS INDUSTRIAS DE DERIVADOS DEL CEMENTO DE LA PROVINCIA DE HUELVA RESPECTO AL CALENDARIO LABORAL PARA 2022.
VISTO el texto del ACUERDO PARCIAL DEL CONVENIO COLECTIVO PARA LAS INDUSTRIAS DE DERIVADOS DEL CEMENTO DE LA PROVINCIA DE HUELVA RESPECTO AL CALENDARIO LABORAL PARA 2022, que fue suscrito con fecha 6 de abril de 2022 por las representaciones legales de la Asociación de Empresarios de derivados del cemento y de las centrales sindicales FICA-UGT Huelva y CC.OO. HABITAT Huelva, en su condición de integrantes de la Comisión Negociadora del Convenio de referencia, y de conformidad con lo dispuesto en el art. 86.3, párrafo 2º, del texto refundido de la Ley del Estatuto de los Trabajadores, aprobado por el Real Decreto Legislativo 2/2015, de 23 de octubre, en su redacción dada por el Real Decreto-ley 32 /2021, de 28 de diciembre; en el Real Decreto 713/2010, de 28 de mayo, sobre registro y depósito de convenios colectivos, acuerdos colectivos de trabajo y planes de igualdad; en el Real Decreto 4043/82, de 29 de diciembre, por el que se traspasan funciones y servicios a la Junta de Andalucía; en el Decreto del Presidente 3/2020, de 3 de septiembre, de la Vicepresidencia y sobre reestructuración de Consejerías; Decreto 100/2019, de 12 de febrero, por el que se regula la estructura orgánica de la Consejería de Empleo, Formación y Trabajo Autónomo, modificado por Decreto 115/2020, de 8 de septiembre; Decreto 226/2020, de 29 de diciembre, por el que se regula la organización territorial provincial de la Administración de la Junta de Andalucía, modificado por la disposición adicional sexta del Decreto 114/2020, de 8 de septiembre y disposiciones concordantes, esta Delegación Territorial, en uso de sus atribuciones, acuerda:
PRIMERO: Ordenar la inscripción del referido acuerdo en el correspondiente Registro de convenios y acuerdos colectivos de trabajo de la Delegación Territorial de Empleo, Formación, Trabajo Autónomo, Transformación Económica, Industria, Conocimiento y Universidades de la Junta de Andalucía en Huelva (en la aplicación web REGCON), con notificación a la Comisión Negociadora.
SEGUNDO: Disponer su depósito.
TERCERO: Solicitar la publicación del texto del acuerdo mencionado en el Boletín Oficial de la Provincia de Huelva, para conocimiento y cumplimiento por las partes afectadas.
EL DELEGADO TERRITORIAL, ANTONIO AUGUSTIN VAZQUEZ.
ACTA DE FIRMA DEL CALENDARIO LABORAL DEL CONVENIO COLECTIVO PARA LAS INSDUSTRIAS DE DERIVADOS DEL CEMENTO DE LA PROVINCIA DE HUELVA CON VIGENCIA DEL 1/1/2022 AL 31/12/2022.
Reunidos en la sede de la F.O.E. las personas relacionadas al final, miembros de la Comisión Negociadora del Convenio de referencia, siendo las 16,30 horas del día seis de Abril de dos mil veintidós, adoptan los siguientes acuerdos:
Las partes convienen en establecer el calendario del año 2022 para las Industrias de Derivados del Cemento, adecuando el número de horas de trabajo efectivo a las circunstancias del nuevo año, considerando festivos los días que constan en el calendario adjunto que se firma unido al presente acta, teniendo en cuenta, además, que la jornada anual de trabajo será de 1736 horas.
Finalmente convienen en presentar un original de esta acta a la Delegación Provincial de Empleo a través de la aplicación informática REGCON al objeto de su publicación y registro, para lo que se faculta expresamente a Don Gerardo Fernández Gómez.
Y no habiendo mas asuntos a tratar, se levanta la sesión siendo las 17,30 horas del día de la fecha.
ASISTENTES:
POR FICA-UGT HUELVA: Don Diego Vega Prera.
POR CCOO HABITAT HUELVA: Don Gerardo Fernández Gómez.
POR LA ASOCIACIÓN DE EMPRESARIOS DE DERIVADOS DEL CEMENTO: Don Lorenzo Sevillano López y Don Joaquín Vázquez González.
CALENDARIO 2023 (BOP N.º 95 – 22 de Mayo de 2023)
Convenio o Acuerdo: INDUSTRIAS DERIVADOS DEL CEMENTO.
Expediente: 21/01/0061/2023.
Fecha: 08/05/2023.
Asunto: RESOLUCIÓN DE INSCRIPCIÓN Y PUBLICACIÓN.
Destinatario: GERARDO FERNANDEZ GOMEZ.
Código 21100325012018.
RESOLUCIÓN de la Delegación Territorial de y Trabajo Autónomo de la Junta de Empleo, Empresa y Trabajo de Andalucía en Huelva, por la que se acuerda el registro, depósito y publicación del ACUERDO PARCIAL DEL CONVENIO COLECTIVO PARA LAS INDUSTRIAS DE DERIVADOS DEL CEMENTO DE LA PROVINCIA DE HUELVA RESPECTO AL CALENDARIO LABORAL PARA 2023.
VISTO el texto del ACUERDO PARCIAL DEL CONVENIO COLECTIVO PARA LAS INDUSTRIAS DE DERIVADOS DEL CEMENTO DE LA PROVINCIA DE HUELVA RESPECTO AL CALENDARIO LABORAL PARA 2023, que fue suscrito con fecha 14 de marzo de 2023 entre las representaciones legales de la Asociación de Empresarios de Derivados del Cemento y de las centrales sindicales FICA-UGT Huelva y CC. OO de Construcción y Servicios de Huelva, en su condición de integrantes de la Comisión Negociadora del Convenio de referencia, y de conformidad con lo dispuesto en el art. 86.3, párrafo 2º del texto refundido de la Ley del Estatuto de los Trabajadores, aprobado por el Real Decreto Legislativo 2/2015, de 23 de octubre, modificado por el Real Decreto-ley 32/2021, de 28 de diciembre ; en el Real Decreto 713/2010, de 28 de mayo, sobre registro y depósito de convenios colectivos, acuerdos colectivos de trabajo y planes de igualdad; en el Real Decreto 4043/82, de 29 de diciembre, por el que se traspasan funciones y servicios a la Junta de Andalucía; en el Decreto del Presidente 13/2022, de 8 de agosto, por el que se modifica el Decreto del Presidente 10/2022, de 25 de julio, sobre reestructuración de Consejerías; Decreto 155/2022, de 9 de agosto, por el que se regula la estructura orgánica de la Consejería de Empleo, Empresa y Trabajo Autónomo; Decreto 226/2020, de 29 de diciembre, por el que se regula la organización territorial provincial de la Administración de la Junta de Andalucía; Decreto 300/2022, de 30 de agosto, por el que se modifica el Decreto 226/2020, de 29 de diciembre, por el que se regula la organización territorial provincial de la Administración de la Junta de Andalucía y disposiciones concordantes, esta Delegación Territorial, en uso de sus atribuciones, acuerda:
PRIMERO: Ordenar la inscripción del referido acuerdo parcial en el correspondiente Registro de convenios y acuerdos colectivos de trabajo de la Delegación Territorial de Empleo, Empresa y Trabajo Autónomo de la Junta de Andalucía en Huelva (en la aplicación web REGCON), con notificación a la Comisión Negociadora.
SEGUNDO: Disponer su depósito.
TERCERO: Solicitar la publicación del texto del acuerdo parcial mencionado en el Boletín Oficial de la Provincia de Huelva, para conocimiento y cumplimiento por las partes afectadas.
Delegado territorial, MANUEL ALBERTO SANTANA MARTINEZ.
ACTA DE FIRMA DEL CALENDARIO LABORAL DEL CONVENIO COLECTIVO PARA LAS INDUSTRIAS DE DERIVADOS DEL CEMENTO DE LA PROVINCIA DE HUELVA CON VIGENCIA DEL 1/1/2023 AL 31/12/2023.
Reunidos en la sede de la F.O.E. las personas relacionadas al final, miembros de la Comisión Negociadora del Convenio de referencia, siendo las 11,30 horas del día catorce de marzo de dos mil veintitrés, adoptan los siguientes acuerdos:
Las partes convienen en establecer el calendario del año 2023 para la Industrias de Derivados del Cemento, adecuando el número de horas de trabajo efectivo a las circunstancias del nuevo año, considerando festivos los días que constan en el calendario adjunto que se firma unido a la presente acta, teniendo en cuenta, además, que la jornada anual de trabajo será de 1736 horas.
El mencionado calendario se hará efectivo a partir de la fecha de firma del mismo.
Finalmente convienen en presentar un original de esta acta a la Delegación Provincial de Empleo a través de la aplicación informática REGCON al objeto de su publicación y registro para lo que se faculta expresamente a Don Gerardo Fernández Gómez.
Y no habiendo más asuntos que tratar, se levanta la sesión siendo las 12:00 horas del día de la fecha.
ASISTENTES.
Por FICA-U.G.T. Huelva: Don Diego Vega Prera.
Por CC.OO. de Construcción y Servicios de Huelva: Don Gerardo Fernández Gómez.
Por la Asociación de Empresarios de Derivados del Cemento: Don Joaquín Vázquez González.
REVISIÓN SALARIAL (BOP 17/07/2023)
Convenio o Acuerdo: INDUSTRIAS DERIVADOS DEL CEMENTO.
Expediente: 21/01/0077/2023.
Fecha: 03/07/2023.
Asunto: RESOLUCIÓN DE INSCRIPCIÓN Y PUBLICACIÓN.
Destinatario: GERARDO FERNANDEZ GOMEZ.
Código 21100325012018.
RESOLUCIÓN de la Delegación Territorial de y Trabajo Autónomo de la Junta de Andalucía en Huelva, por la que se acuerda el registro, depósito y publicación del acuerdo de la Comisión Paritaria del CONVENIO COLECTIVO DE INDUSTRIAS DE DERIVADOS DEL CEMENTO DE LA PROVINCIA DE HUELVA.
VISTO el texto del acuerdo de la Comisión Paritaria del CONVENIO COLECTIVO DE INDUSTRIAS DE DERIVADOS DEL CEMENTO DE LA PROVINCIA DE HUELVA, que fue suscrito con fecha 14 de diciembre de 2022, por la Asociación de Empresarios de Derivados del Cemento y los representantes legales de las Centrales sindicales UGT y CC.OO y de conformidad con lo dispuesto en el art. 90, apartados 2 y 3, del texto refundido de la Ley del Estatuto de los Trabajadores, aprobado por el Real Decreto Legislativo 2/2015, de 23 de octubre; en el Real Decreto 713/2010, de 28 de mayo, sobre registro y depósito de convenios colectivos, acuerdos colectivos de trabajo y planes de igualdad; en el Real Decreto 4043/82, de 29 de diciembre, por el que se traspasan funciones y servicios a la Junta de Andalucía; en el Decreto del Presidente 13/2022, de 8 de agosto, por el que se modifica el Decreto del Presidente 10/2022, de 25 de julio, sobre reestructuración de Consejerías; Decreto 155/2022, de 9 de agosto, por el que se regula la estructura orgánica de la Consejería de Empleo, Empresa y Trabajo Autónomo; Decreto 226/2020, de 29 de diciembre, por el que se regula la organización territorial provincial de la Administración de la Junta de Andalucía; Decreto 300/2022, de 30 de agosto, por el que se modifica el Decreto 226/2020, de 29 de diciembre, por el que se regula la organización territorial provincial de la Administración de la Junta de Andalucía y disposiciones concordantes, esta Delegación Territorial, en uso de sus atribuciones, acuerda:
PRIMERO: Ordenar la inscripción del referido acuerdo de la Comisión Paritaria en el correspondiente Registro de convenios y acuerdos colectivos de trabajo de la Delegación Territorial de Empleo, Empresa y Trabajo Autónomo de la Junta de Andalucía en Huelva (en la aplicación web REGCON), con notificación a la Comisión Negociadora.
SEGUNDO: Disponer su depósito.
TERCERO: Solicitar la publicación del texto del acuerdo mencionado en el Boletín Oficial de la Provincia de Huelva, para conocimiento y cumplimiento por las partes afectadas.
REVISIÓN SALARIAL (BOP Nº 213/23 – 9/11/2023)
Convenio o Acuerdo: INDUSTRIAS DERIVADOS DEL CEMENTO.
Expediente: 21/01/0181/2023.
Fecha: 25/10/2023.
Asunto: RESOLUCIÓN DE INSCRIPCIÓN Y PUBLICACIÓN.
Destinatario: GERARDO FERNANDEZ GOMEZ.
Código 21100325012018.
RESOLUCIÓN de la Delegación Territorial de Empleo, Empresa y Trabajo Autónomo de la Junta de Andalucía en Huelva, por la que se acuerda el registro, depósito y publicación del acuerdo sobre TABLAS SALARIALES PARA EL AÑO 2022 DEL CONVENIO COLECTIVO DE LAS INDUSTRIAS DERIVADAS DEL CEMENTO DE LA PROVINCIA DE HUELVA.
VISTO el texto del acuerdo sobre TABLAS SALARIALES PARA EL AÑO 2022 DEL CONVENIO COLECTIVO DE LAS INDUSTRIAS DERIVADAS DEL CEMENTO DE LA PROVINCIA DE HUELVA, que fue suscrito con fecha 18 de julio de 2023 por la Asociación de Empresarios de Derivados del Cemento y los representantes legales de las Centrales Sindicales FICA-UGT Huelva y CC. OO de Construcción y Servicios de Huelva, en su condición de miembros de la Comisión paritaria mencionado convenio y de conformidad con lo dispuesto en el art. 90, apartados 2 y 3, del texto refundido de la Ley del Estatuto de los Trabajadores, aprobado por el Real Decreto Legislativo 2/2015, de 23 de octubre; en el Real Decreto 713/2010, de 28 de mayo, sobre registro y depósito de convenios colectivos, acuerdos colectivos de trabajo y planes de igualdad; en el Real Decreto 4043/82, de 29 de diciembre, por el que se traspasan funciones y servicios a la Junta de Andalucía; en el Decreto del Presidente 13/2022, de 8 de agosto, por el que se modifica el Decreto del Presidente 10/2022, de 25 de julio, sobre reestructuración de Consejerías; Decreto 155/2022, de 9 de agosto, por el que se regula la estructura orgánica de la Consejería de Empleo, Empresa y Trabajo Autónomo; Decreto 226/2020, de 29 de diciembre, por el que se regula la organización territorial provincial de la Administración de la Junta de Andalucía; Decreto 300/2022, de 30 de agosto, por el que se modifica el Decreto 226/2020, de 29 de diciembre, por el que se regula la organización territorial provincial de la Administración de la Junta de Andalucía y disposiciones concordantes, esta Delegación Territorial, en uso de sus atribuciones, acuerda:
PRIMERO: Ordenar la inscripción del referido acuerdo en el correspondiente Registro de convenios y acuerdos colectivos de trabajo de la Delegación Territorial de Empleo, Empresa y Trabajo Autónomo de la Junta de Andalucía en Huelva (en la aplicación web REGCON), con notificación a la Comisión Negociadora.
SEGUNDO: Disponer su depósito.
TERCERO: Solicitar la publicación del texto del acuerdo mencionado en el Boletín Oficial de la Provincia de Huelva, para conocimiento y cumplimiento por las partes afectadas.
EL DELEGADO TERRIRORIAL.
JUAN CARLOS DUARTE CAÑADO.
CALENDARIO 2024 (BOP número 96 – 17/05/2024)
Convenio o Acuerdo: Industrias Derivados del Cemento.
Expediente: 21/08/0064/2024.
Fecha: 03/05/2024.
Asunto: RESOLUCIÓN DE INSCRIPCIÓN Y PUBLICACIÓN.
Destinatario: GERARDO FERNANDEZ GOMEZ.
Código 21100015082024.
RESOLUCIÓN de la Delegación Territorial de Empleo, Empresa y Trabajo Autónomo, de la Junta de Andalucía en Huelva, por la que se acuerda el registro, depósito y publicación del ACUERDO PARCIAL DEL CONVENIO COLECTIVO PARA LAS INDUSTRIAS DE DERIVADOS DEL CEMENTO DE LA PROVINCIA DE HUELVA RESPECTO AL CALENDARIO LABORAL PARA 2024.
VISTO ACUERDO PARCIAL DEL CONVENIO COLECTIVO PA el texto del RA LAS INDUSTRIAS DE DERIVADOS DEL CEMENTO DE LA PROVINCIA DE HUELVA RESPECTO AL CALENDARIO LABORAL PARA 2024, que fue suscrito con fecha 13 de marzo de 2024 entre las representaciones de la Asociación de Empresarios de Derivados del Cemento y de las Centrales Sindicales FICA-UGT Huelva y CC. OO Habitat Huelva, y de conformidad con lo dispuesto en el art. 86.3, párrafo 2º, del texto refundido de la Ley del Estatuto de los Trabajadores, aprobado por el Real Decreto Legislativo 2/2015, de 23 de octubre, en su redacción dada por el Real Decreto-ley 32/2021, de 28 de diciembre; en el Real Decreto 713/2010, de 28 de mayo, sobre registro y depósito de convenios colectivos, acuerdos colectivos de trabajo y planes de igualdad; en el Real Decreto 4043/82, de 29 de diciembre, por el que se traspasan funciones y servicios a la Junta de Andalucía; en el Decreto del Presidente 10/2022, de 25 de julio, sobre reestructuración de Consejerías; Decreto 155/2022, de 9 de agosto, por el que se regula la estructura orgánica de la Consejería de Empleo, Empresa y Trabajo Autónomo; Decreto 226/2020, de 29 de diciembre, por el que se regula la organización territorial provincial de la Administración de la Junta de Andalucía; Decreto 300/2022, de 30 de agosto, por el que se modifica el Decreto 226/2020, de 29 de diciembre, por el que se regula la organización territorial provincial de la Administración de la Junta de Andalucía y disposiciones concordantes, esta Delegación Territorial, en uso de sus atribuciones, acuerda:
PRIMERO: Ordenar la inscripción del referido acuerdo en el correspondiente Registro de convenios y acuerdos colectivos de trabajo de la Delegación Territorial de Empleo, Empresa y Trabajo Autónomo de la Junta de Andalucía en Huelva (en la aplicación web REGCON), con notificación a la Comisión Negociadora.
SEGUNDO: Disponer su depósito.
TERCERO: Solicitar la publicación del texto del acuerdo mencionado en el Boletín Oficial de la Provincia de Huelva, para conocimiento y cumplimiento por las partes afectadas.
EL DELEGADO TERRITORIAL,
JUAN CARLOS DUARTE CAÑADO
CALENDARIO 2025 (BOP Nº 65/25 – 04/04/2025)
Código 21100325012018.
RESOLUCIÓN de la Delegación Territorial de Empleo, Empresa y Trabajo Autónomo de la Junta de Andalucía en Huelva, por la que se acuerda el registro, depósito y publicación del ACUERDO PARCIAL DEL CONVENIO COLECTIVO PARA LAS INDUSTRIAS DE DERIVADOS DEL CEMENTO DE LA PROVINCIA DE HUELVA RESPECTO AL CALENDARIO LABORAL PARA 2025.
VISTO el texto del ACUERDO PARCIAL DEL CONVENIO COLECTIVO PARA LAS INDUSTRIAS DE DERIVADOS DEL CEMENTO DE LA PROVINCIA DE HUELVA RESPECTO AL CALENDARIO LABORAL PARA 2025, que fue suscrito con fecha 11 de marzo de 2025 entre los representantes de la Asociación de Empresarios de Derivados del Cemento y de las centrales sindicales FICA-UGT Huelva y CC.OO.-HABITAT Huelva, y de conformidad con lo dispuesto en el art. 86.3, párrafo 2º del texto refundido de la Ley del Estatuto de los Trabajadores, aprobado por el Real Decreto Legislativo 2/2015, de 23 de octubre, modificado por el Real Decreto-ley 32/2021, de 28 de diciembre ; en el Real Decreto 713/2010, de 28 de mayo, sobre registro y depósito de convenios colectivos, acuerdos colectivos de trabajo y planes de igualdad; en el Real Decreto 4043/82, de 29 de diciembre, por el que se traspasan funciones y servicios a la Junta de Andalucía; en el Decreto del Presidente 13/2022, de 8 de agosto, por el que se modifica el Decreto del Presidente 10/2022, de 25 de julio, sobre reestructuración de Consejerías; Decreto del Presidente 6/2024, de 29 de julio, sobre reestructuración de Consejerías; Decreto 155/2022, de 9 de agosto, por el que se regula la estructura orgánica de la Consejería de Empleo, Empresa y Trabajo Autónomo; Decreto 226/2020, de 29 de diciembre, por el que se regula la organización territorial provincial de la Administración de la Junta de Andalucía; Decreto 300/2022, de 30 de agosto, por el que se modifica el Decreto 226/2020, de 29 de diciembre, por el que se regula la organización territorial provincial de la Administración de la Junta de Andalucía y disposiciones concordantes, esta Delegación Territorial, en uso de sus atribuciones, acuerda:
PRIMERO: Ordenar la inscripción del referido acuerdo parcial en el correspondiente Registro de convenios y acuerdos colectivos de trabajo de la Delegación Territorial de Empleo, Empresa y Trabajo Autónomo de la Junta de Andalucía en Huelva (en la aplicación web REGCON), con notificación a la Comisión Negociadora.
SEGUNDO: Disponer su depósito.
TERCERO: Solicitar la publicación del texto del acuerdo parcial mencionado en el Boletín Oficial de la Provincia de Huelva, para conocimiento y cumplimiento por las partes afectadas.
REVISIÓN SALARIAL (BOP Nº 65/25 – 04/04/2025)
RESOLUCIÓN de la Delegación Territorial de Empleo, Empresa y Trabajo Autónomo de la Junta de Andalucía en Huelva, por la que se acuerda el registro, depósito y publicación del ACUERDO PARCIALSOBRE LAS TABLAS SALARIALES PARA LOS AÑOS 2023 Y 2024 DEL CONVENIO COLECTIVO PARA LAS INDUSTRIAS DE DERIVADOS DEL CEMENTO DE LA PROVINCIA DE HUELVA.
VISTO el texto del ACUERDO PARCIAL SOBRE LAS TABLAS SALARIALES PARA LOS AÑOS 2023 Y 2024 DEL CONVENIO COLECTIVO PARA LAS INDUSTRIAS DE DERIVADOS DEL CEMENTO DE LA PROVINCIA DE HUELVA, que fue suscrito con fecha 29 de octubre de 2024 entre los representantes de la Asociación de Empresarios de Derivados del Cemento y de las centrales sindicales FICA-UGT Huelva y CC.OO. de Construcción y Servicios de Huelva, y de conformidad con lo dispuesto en el art. 86.3, párrafo 2º del texto refundido de la Ley del Estatuto de los Trabajadores, aprobado por el Real Decreto Legislativo 2/2015, de 23 de octubre, modificado por el Real Decretoley 32/2021, de 28 de diciembre ; en el Real Decreto 713/2010, de 28 de mayo, sobre registro y depósito de convenios colectivos, acuerdos colectivos de trabajo y planes de igualdad; en el Real Decreto 4043/82, de 29 de diciembre, por el que se traspasan funciones y servicios a la Junta de Andalucía; en el Decreto del Presidente 13/2022, de 8 de agosto, por el que se modifica el Decreto del Presidente 10/2022, de 25 de julio, sobre reestructuración de Consejerías; Decreto del Presidente 6/2024, de 29 de julio, sobre reestructuración de Consejerías; Decreto 155/2022, de 9 de agosto, por el que se regula la estructura orgánica de la Consejería de Empleo, Empresa y Trabajo Autónomo; Decreto 226/2020, de 29 de diciembre, por el que se regula la organización territorial provincial de la Administración de la Junta de Andalucía; Decreto 300/2022, de 30 de agosto, por el que se modifica el Decreto 226/2020, de 29 de diciembre, por el que se regula la organización territorial provincial de la Administración de la Junta de Andalucía y disposiciones concordantes, esta Delegación Territorial, en uso de sus atribuciones, acuerda:
PRIMERO: Ordenar la inscripción del referido acuerdo parcial en el correspondiente Registro de convenios y acuerdos colectivos de trabajo de la Delegación Territorial de Empleo, Empresa y Trabajo Autónomo de la Junta de Andalucía en Huelva (en la aplicación web REGCON), con notificación a la Comisión Negociadora.
SEGUNDO: Disponer su depósito.
TERCERO: Solicitar la publicación del texto del acuerdo parcial mencionado en el Boletín Oficial de la Provincia de Huelva, para conocimiento y cumplimiento por las partes afectadas.
