CONVENIO COLECTIVO (BOP NÚMERO 215 – LUNES, 14 DE NOVIEMBRE DE 2022)
Resolución de inscrición e publicación do Convenio Colectivo do sector da carpintería e ebanistería da provincia da Coruña ,2020-2025.
Con data 24 de outubro de 2022 tivo entrada no REGCON o convenio colectivo do sector da Carpintería e ebanistería , 2020-2025, código 15000805011982, solicitando a súa inscrición e publicación O 3 de novembro de 2022 faise un requirimento solicitando documentación para continuar co procedemento, que resposta 0 4 de novembro dando cumprimento ao solicitado.
De acordo co disposto no artigo 90 e concordantes do Real Decreto Lexislativo 2/2015, do 23 de outubro, polo que se aproba o texto refundido da Lei do estatuto dos traballadores (BOE núm 255, do 24 de outubro de 2015) e no artigo 2.1 e concordantes do Real Decreto 713/2010, do 28 de maio, sobre rexistro e depósito de convenios e acordos colectivos de traballo, (BOE núm.143, do 12 de xuño de 2010), así como na Orde do 29 de outubro de 2010 pola que se crea o rexistro de convenios e acordos colectivos de traballo na Comunidade Autónoma de Galicia (DOG núm 222, do 18 de novembro) modificada pola Orde do 14 de marzo (DOG núm. 60 de 26 de marzo de 2013).
Considerando que a Xefatura Territorial de Promoción do Emprego e Igualdade da Coruña é competente para resolver a inscrición e publicación deste convenio, ao abeiro do Decreto 58/2022, do 15 de maio, polo que se establece a estrutura orgánica da Xunta de Galicia (DOG núm. 94, de 16 de maio de 2022) e no Decreto 123/2022, do 23 de xuño, polo que se establece a estrutura orgánica da Consellería de Promoción do Emprego e Igualdade (DOG núm. 130, de 08 de xullo de 2022).
De acordo con todo o indicado,
RESOLVO:
1. Inscribir o convenio colectivo do sector da carpintería e ebanistería para a provincia da Coruña 2020-2025, no rexistro de convenios e acordos colectivos de traballo da Comunidade Autónoma de Galicia.
2. Ordenar a remisión do texto deste convenio colectivo ao Boletín Oficial da Provincia da Coruña para a súa publicación.
A Coruña, 7 de novembro de 2022.
A xefa territorial.
P.A. O xefe do Servizo de Coordinación Administrativa e Xestión Económica artigo 62.3 Decreto 123/2022, do 23 de xuño, polo que se establece a estrutura orgánica da Consellería de Promoción do Emprego e Igualdade, Pedro Pablo Lorenzo Diaz.
ARTIGO 1. ÁMBITO TERRITORIAL E FUNCIONAL.
O presente Convenio é de ámbito provincial e de aplicación ás Empresas que, na Provincia da Coruña, se dedican á actividade da segunda transformación da Madeira, Carpintería e Ebanistería.
ARTIGO 2. ÁMBITO PERSOAL.
Regulará as relacións laborais entre as persoas traballadoras e as empresas incluídas no seu ámbito territorial e funcional.
ARTIGO 3. VIXENCIA E DURACIÓN.
Este Convenio negóciase ao abeiro do Convenio Sectorial da Madeira e ten vixencia de seis anos (01/01/20 a 31/12/25), que servirá como norma complementaria no que nel non estea previsto (Resolución da Dirección Xeral de Traballo de 2/11/2012, B.O.E. de 27/11/2012).
Non obstante o anterior, e en evitación do baleiro normativo que noutro caso se produciría, unha vez terminada a súa vixencia inicial, ou a de calquera das súas prórrogas, continuará sendo de aplicación na súa totalidade o contido normativo mentres non se asine outro que o substitúa.
ARTIGO 4. INCREMENTO SALARIAL E CLÁUSULA DE GARANTÍA SALARIAL.
Os incrementos pactados no presente Convenio Colectivo sectorial estatal serán absorbidos polos pactados neste convenio colectivo, ao ser unha materia reservada ao mesmo.
Páctase os seguintes incrementos salariáis:
– Para o ano 2021 o incremento será do 3,1% sobre as táboas do ano 2020 (BOP Núm. 214, do 15/12/2020).
– Para o ano 2022 o incremento será do 3,5% sobre as táboas do ano 2021.
– Para o ano 2023 o incremento será do 3,5% sobre as táboas do ano 2012.
– Para o ano 2024 o incremento será do 3 % sobre as táboas do ano 2023.
– Para o ano 2025 o incremento será do 3,4% sobre as táboas do ano 2024.
Cláusula de revisión salarial.
Ao obxecto de garantir o poder adquisitivo do persoal, en xaneiro do ano 2026, unha vez se coñeza o IPC real do mes de decembro do ano 2025, calcularase a suma dos IPC reais dos anos 2022 a 2025 e os incrementos salariais realmente percibidos nese periodo (isto e un incremento 13,4% para o periodo 2022 a 2025). En caso de que a diferenza fose positiva para a persoa traballadora, actualizarase as taboas salariais con ese diferencial, garantindo así o poder adquisitivo.
Neste suposto abonaranse atrasos dende o 1 de xaneiro do 2025 coa diferencia anterior, co tope do 3%.
Todas as persoas traballadoras que viñeran cobrando o plus consolidado xerado o 1 de xaneiro do 2020, o abeiro do art.4 do convenio colectivo vixente no 2020, como actualizábel, non compensábel e non absorbíbel, garantíndose así que non terán perda de poder adquisitivo.
Inaplicación das condicións de traballo.
Aos efectos de solucionar de xeito efectivo as discrepancias que poidan xurdir para a non aplicación das condicións de traballo ás que se refire o artigo 82.3 do Estatuto das persoas traballadoras, a comisión paritaria coñecerá preceptivamente as mesmas. No entanto, nos supostos en que a comisión paritaria non alcance acordo algún, calquera das partes poderá someter as discrepancias a unha arbitraxe vinculante, seguíndose para ese efecto os procedementos estabelecidos no Acordo Interprofesional Galego sobre Procedementos Extraxudiciais de solución de conflitos de traballo (AGA) ou, no seu caso, nos sistemas non xudiciais de solución de conflitos estabelecidos mediante os correspondentes acordos interprofesionais previstos no artigo 83 do Estatuto das Persoas Traballadoras.
ARTIGO 5. DENUNCIA E PRÓRROGA.
A denuncia do presente convenio é automática ao vencemento do mesmo, neste caso a 31/12/2025. Non obstante a Comisión Negociadora do Convenio poderá constituírse con tres meses de antelación ao vencemento do prazo de vixencia antes sinalado.
ARTIGO 6. GARANTÍA «AD PERSONAM».
Respectarase a todas as persoas traballadoras as situacións laborais actualmente consolidadas no seu conxunto en canto determinen maiores dereitos dos concedidos neste Convenio nas materias obxecto de regulación.
ARTIGO 7. COMISIÓN MIXTA.
A efectos de vixilancia e control de aplicación das normas contidas neste Convenio, constitúese unha Comisión Mixta, integrada por dous representantes de cada unha das partes.
Esta Comisión Mixta será un Órgano de Interpretación, Arbitraxe e Vixilancia da aplicación e cumprimento do presente Convenio, coas seguintes funcións específicas:
– Interpretación auténtica do Convenio.
– Arbitraxe dos asuntos que se lle sometan por acordo de ambas partes.
– Vixilancia do pactado.
– Seguimento da evolución das relacións das partes contratantes.
– Entender cantas cuestións tendan á maior eficacia da práctica do Convenio.
– Desenvolver o regulamento das condición laborais das persoas traballadoras desprazadas o extranseiro (Anexo IX).
– Confeccionar anualmente os días de exceso de xornada dentro do calendario laboral (Art.20).
– Os acordos adoptados serano pola maioría das partes e aqueles que interpreten este Convenio terán a mesma eficacia que a norma interpretada.
– A Comisión Mixta celebrará reunións cantas veces sexa necesario e previo acordo das partes en canto á data, lugar e hora.
– Vogais e suplentes designaranse entre as respectivas representacións negociadoras do Convenio. Poderá utilizar os servizos de asesoría en materias da súa competencia.
– A parte social e económica conveñen en dar coñecemento á Comisión Mixta de cantas dúbidas, discrepancias e conflitos se puidesen producir como consecuencia da interpretación do presente Convenio Colectivo.
A composición da Comisión Mixta estará formada por unha persoa en representación de cada Central Sindical e dúas persoas representantes da Asociación Provincial de Carpintería e Ebanistería.
Dirección: CEC Plaza Luis Seoane nº1,11, 15008 de A Coruña.
CAPÍTULO II.
ARTIGO 8. CONDICIÓNS ECONÓMICAS.
As condicións retributivas das persoas traballadoras afectadas por este Convenio serán as que conteñen as táboas que se unen como anexo e as que se regulan nos seguintes artigos.
ARTIGO 9. RECIBOS SALARIAIS.
As empresas entregarán as persoas traballadoras os recibos de salarios correspondentes, que se axustarán ao modelo aprobado polo Ministerio de Traballo e Seguridade Social, ou calquera outro homologado pola Autoridade Laboral.
As empresas poderán efectuar os pagos por medio de transferencia ou talón bancario, neste último caso o tempo empregado para o seu cobro correrá a cargo da empresa.
ARTIGO 10. PLUS DE TRANSPORTE.
Estabelécese a cantidade de cinco con sesenta e dous céntimos (5,62 €) para o ano 2022, a percibir por este concepto por día efectivo de traballo, con independencia de que as empresas dispoñan ou non de medios de transporte.
En caso de desprazamento, as empresas satisfarán ao persoal o servizo de transporte correspondente sen detrimento da percepción de devandito plus.
ARTIGO 11. COMPLEMENTO DE ANTIGÜIDADE.
Todas as persoas traballadoras que teñan dereito ao plus de antigüidade consolidado seguirano mantendo na súa contía.
ARTIGO 12. PLUS DE ASISTENCIA E PLUS DE QUENDAS.
Percibirase por cada día efectivo de traballo, a razón de dous euros con trinta e oito céntimos día (2,38 €) para o ano 2022.
PLUS DE QUENDAS.
As persoas traballadoras que fagan a súa actividade normal e continuada en réxime de quendas, retribuiráselle cun complemento do 20% sobre o seu salario base, mentres dure o citado traballo de quendas.
O Complemento de quendas será abonado únicamente a persoa traballadora que faga traballos a quendas en rotacións de mañá, tarde e noite.
Dito Plus non é consolidable, cobrándose só o mes que se cumpran os requisitos e dito importe é compensable e absorbible coas melloras establecidas na Empresa para as persoas traballadoras que estén nas ditas circunstancias.
ARTIGO 13. DIETAS E DESPRAZAMENTOS.
Nos supostos de que as persoas traballadoras por necesidades do traballo, teña que efectuar comidas ou pernoctar fóra do lugar habitual, terá dereito ás seguintes percepcións durante o ano 2022:
– Pola comida: 11,73€.
– Por dúas comidas: 22,28 €.
– Dieta completa: 32,86€.
A partir do sétimo día de permanencia fose do lugar de traballo, percibirá 0,71céntimos de euro máis diarios. As empresas aboarán os gastos que superen o importe das dietas aquí estabelecidas, previa xustificación da persoa traballadora.
Se a empresa se fixese cargo de todos os gastos, a persoa traballadora percibirá o 10% do importe da dieta.
A empresa aboará antes de cada desprazamento un anticipo a conta de dietas, pola contía do seu importe aproximado, en relación aos días de desprazamento previstos.
Cando por necesidades da empresa a persoa traballadora teña que desprazarse dende o centro de traballo a outros lugares distintos, a empresa proverá o medio de transporte adecuado. No caso de que se utilice un servizo público colectivo, o seu custo será a cargo da empresa.
De pactarse entre empresa e cadro de persoal a utilización de vehículo propio, a empresa deberá dar a autorización pertinente por escrito, aboándolle a cantidade estabelecida en cada momento. A estes efectos estabelécese a cantidade que anualmente se declare como cantidad exenta a efectos do IRPF nos presupostos xerales de cada ano, sendo para o ano 2022 de 0,19€.
O día de volta considerarase como dieta completa. Os gastos de transporte aboaranse con independencia das dietas estabelecidas.
ARTIGO 14. GRATIFICACIÓNS EXTRAORDINARIAS.
Estabelécense dúas gratificacións extraordinarias coa denominación de paga de verán e paga de Nadal e devengaranse por semestres naturais e por cada día natural en que se teña devengado o salario base.
Devengo de pagas:
-Paga de verán: do 1 de xaneiro ao 30 de xuño.
-Paga de Nadal: do 1 de xullo ao 31 de decembro.
As pagas extras aboaranse a razón de trinta días de salario base, antigüidade e vinte e cinco días de plus de asistencia.
As empresas poderán prorratear as pagas extras en doce mensualidades a razón de cinco días por cada mes.
O importe das pagas extraordinarias será proporcional ao tempo efectivamente traballado, computándose a estes efectos os períodos de accidente laboral e enfermidade profesional.
ARTIGO 15. HORAS EXTRAORDINARIAS.
As partes asinantes do presente Convenio, acordan reducir ao mínimo indispensábel a realización de horas extraordinarias, axustándose aos seguintes criterios:
a) Horas extraordinarias habituais: supresión.
b) Horas extraordinarias que veñan esixidas pola necesidade de reparar sinistros e outros danos extraordinarios e urxentes, así como en caso de risco de perda de materia prima: Realización.
c) Horas extraordinarias por: Contratos ou períodos punta de produción, ausencias imprevistas, cambio de quenda ou outras circunstancias, sempre que non sexa posíbel o utilizar distintas modalidades de contratación temporal ou parcial previstas na Lei.
A Dirección da empresa, informará periodicamente ao Comité de Empresa ou delegado ou delegada de persoal sobre o número de horas extraordinarias realizadas, especificando as causas e, no seu caso, a distribución por seccións.
A hora extra pagarase cun recargo do 75% sobre o valor-hora ordinaria. Por acordo entre empresa e a persoa traballadora, previa a realización das mesmas, poderán compensarse as horas extraordinarias cun período equivalente de descanso.
ARTIGO 16. XUBILACIÓN.
Establecese un premio de xubilación, para o persoal que leve, como mínimo dez anos na empresa e se xubile os 65 anos. Consistirá este premio en trinta días de vacacións.
A persoa traballadora que se xubile voluntariamente con anterioridade a cumprir os 65 anos, ,terá dereito á percepción dos seguintes premios:
– Xubilación aos 61 anos: 150 días de vacacións.
-Xubilación aos 62 anos: 125 días de vacacións.
-Xubilación aos 63 anos: 100 días de vacacións.
-Xubilación aos 64 anos: 75 días de vacacións.
Xubilación parcial.
Ao abeiro do art, 215 del TRLGSS , do Art. 12.6 do Estatuto das persoas Traballadoras, e do artigo 28 do III Convenio Estatal da Madeira, recoñéceselles as persoas traballadoras o dereito subxectivo de acceder á xubilación parcial e á redución de xornada cando reúnan os requisitos legalmente estabelecidos. Nestes supostos, e ata que as persoas traballadoras que se xubilan parcialmente cheguen á idade ordinaria de xubilación, a empresa deberá subscribir un contrato de substitución nos términos previstos no art. 12.6 do Estatuto das persoas Traballadoras.
A decisión adoptada pola persoa traballadora de acollerse á situación de xubilación parcial recollida no parágrafo precedente deberá ser notificada á empresa polo menos con tres meses de antelación á data prevista do seu inicio, excepto para o persoal encadrado nos grupos I e II do convenio, en que o prazo será de seis meses.
ARTIGO 17. SEGURO DE INVALIDEZ OU MORTE.
As empresas contratarán un seguro colectivo de invalidez permanente total, absoluta ou gran invalidez ou morte por accidente, durante as 24 horas, para todo o persoal afectado por este Convenio, coas seguintes indemnizacións:
a) Por morte por accidente: 25.000 €.
b) Por invalidez permanente total para a profesión habitual por accidente: 35.000 €.
c) Por invalidez absoluta por accidente: 40.000 €.
d) Por gran invalidez por accidente: 45.000 €.
As empresas que contraten a póliza correspondente cunha Compañía de Seguros, non responderán subsidiariamente das indemnizacións, en ningún caso.
Quedarán excluídos aqueles riscos que ordinariamente as Compañías de Seguros non cubran.
Para cada un dos anos de vixencia do convenio estas cantidades serán incrementadas en igual porcentaxe ao IPC habido no ano anterior.
As indemnizacións previstas neste artigo serán consideradas a conta de calquera outras cantidades que puidesen ser recoñecidas como consecuencia de responsabilidades civís sempre que non deriven de condenas penais esixidas ou impostas á parte empresarial, debendo deducirse destas en todo caso, tendo en conta da natureza civil que teñen as mesmas e que ambas partes lle recoñecen. Tampouco as ditas indemnizacións poderán servir como base para a imposición do recargo de prestacións por falta de medidas de seguridade e saúde no traballo.
ARTIGO 18. VACACIÓNS.
As persoas traballadoras afectadas por este Convenio gozarán dun período anual de vacacións de vintedous días laborais como mínimo.
A retribución das mesmas será o importe fixado na táboa salarial.
Nas empresas que non gocen o período vacacional conxuntamente e, polo tanto, permanezan abertas durante os doce meses, as persoas traballadoras terán dereito a un período de vacacións de 22 días laborábeis, non considerándose laborábeis os sábados, domingos e festivos.
A efectos do goce de vacacións, o cómputo será por ano natural, tendo dereito á parte proporcional das mesmas de non levar na empresa un ano completo, ou á liquidación correspondente por cese na empresa, por calquera causa.
O calendario de vacacións estabelécese entre a empresa e as persoas traballadoras ou a súa representación e, deberá ser exposto, como mínimo o trinta de abril de cada ano, sempre respetando os dous meses de antelación ao comezo das mesmas. Terán dereito preferente as persoas traballadoras con fillas ou fillos en idade escolar.
As vacacións non poderán ser compensadas economicamente, e en ningún caso as percepcións poderán ser inferiores ás estabelecidas no artigo 61 do III Convenio Colectivo Estatal da Madeira.
ARTIGO 19. LICENZAS RETRIBUÍDAS.
A persoa traballadora, previo aviso e xustificación, poderá ausentarse do traballo polo tempo e condicións estabelecidas no anexo: Cadro de licenzas e permisos.
O preaviso será sempre obrigatorio, salvo supostos e situacións excepcionais e imprevisíbeis que non permitan preavisar das ausencias, nese caso acreditarase no seu momento de forma suficiente.
Ademais das licenzas que se contemplan no anexo, concederase polo tempo necesario, no caso de que unha persoa traballadora acompañe ao consulta médica a filla ou fillo de 16 anos con xustificante de entrada e saída da visita, sempre que sexa imprescindíbel por imposibilidade do outro proxenitor.
Establecese un permiso retribuido dun máximo de oito horas o ano, para acompañamento a consulta médica da seguridade social de persoa dependente legalmente a cargo, sempre que coincida o horario de consulta co da persoa traballadora e se acredite o tempo de da visita ( hora de entrada e saída).
Así mesmo, concederase un día de permiso por falecemento de irmás o irmans do pai ou nai da persoa traballadora.
Estabelécese unha licenza de tres días non retribuídos. Para o seu goce a persoa traballadora terá que comunicalo á empresa cunha antelación de dous días laborábeis. Así mesmo estes tres días de licenza non retribuída non poderán ser acumulábeis a vacacións.
O permiso por enfermidade grave, poderase gozar en calquera momento mentres dure o proceso de enfermidade grave, e poderá ser gozado de forma descontinua nos términos que acorden empresa e a persoa traballadora.
O permiso de lactancia ata os nove meses, poderá ser gozado con ausencia dunha hora, dúas fraccións de media hora, redución de xornada en media hora ou acumulalo en xornadas completas gozándoo de forma ininterrompida trala suspensión do contrato por nacemento/adopción/acollemento. Salvo que ambos proxenitores, adoptantes, en garda legal ou acollemento, exerzan este dereito coa mesma duración e réxime, caso no cal o período de disfrute poderá extenderse ata que o/a lactante cumpra doce meses, con redución proporcional do salario a partir do cumprimento dos nove meses ou o convenio colectivo de aplicación estableza un período superior. A reducción de xornada contemplada neste apartado constitue un dereito individual das persoas traballadoras sen que poda transferirse su exercicio a outro proxenitor, adoptante, guardador o acolledor. No obstante, si dos persoas traballadoras da mesma empresa exercen este dereito polo mesmo suxeito causante, a dirección empresarial poderá limitar o seu exercicio simultáneo por razons xustificadas de funcionamento da empresa, que deberá comunicar por escrito.
Todos os permisos e licenzas son extensíbeis ás parellas de feito que consten rexistradas oficialmente.
CAPÍTULO III.
ARTIGO 20. XORNADA DE TRABALLO.
A duración da xornada anual de traballo efectivo en todos os ámbitos do presente Convenio Colectivo será para cada ano de vixencia do mesmo de 1.752 horas anuais, coas limitacións estabelecidas no artigo 46 do Convenio Estatal da Madeira.
A Comisión Mixta do Convenio elaborará anualmente un Calendario Laboral Xeral, unha vez coñecidas as festividades do ámbito estatal, autonómico e local onde se estabelecerán os días laborábeis e os días festivos de carácter nacional, autonómico e os propios do convenio que con motivo da aplicación da xornada anual se estabelezan.
Non obstante o anterior, as empresas afectadas polo presente convenio poderán elaborar os seus propios calendarios laborais estabelecendo uns días de compensación de exceso de xornada distintos ao calendario estabelecido pola Comisión Mixta, que deberán publicar antes do 1 de xaneiro de cada ano. Os días de compensación de exceso de xornada poderán modificarse por razóns de carácter produtivo ou por acumulación de tarefas, preavisando cunha antelación mínima de 7 días naturais de antelación e sinalando os días de substitución, dentro do mesmo período anual.
Para o ano 2023 o Calendario Laboral Xeral é o que figura no Anexo I.
ARTIGO 21. XORNADA SEMANAL.
A xornada semanal con carácter xeral será de 40 horas. As empresas, previo acordo coa representación das persoas traballadoras, poderán estabelecer xornadas semanais distintas, coas limitacións estabelecidas no artigo 47 do Convenio Estatal da Madeira.
ARTIGO 22. XORNADA INTENSIVA.
Aquelas empresas cuxas persoas traballadoras tivesen adquirido o dereito da xornada intensiva nos meses de verán, respectarana nos seus propios términos. Nas demais poderase negociar a súa implantación.
ARTIGO 23. INCAPACIDADE TEMPORAL.
As empresas completarán a prestación económica por incapacidade temporal (I.T.) ata o 100% do salario da persoa traballadora nos seguintes casos e durante o tempo que se indica en cada un deles:
a) I.T. derivada de accidente laboral, incluído «in itinere» ou enfermidade profesional.
– Desde o primeiro día ata a alta médica.
b) I.T. derivada de enfermidade común ou accidente non laboral:
– Con hospitalización: desde o primeiro día ata un máximo de 120 días.
– Sen hospitalización: desde o 17.º día ata un máximo de 90 días.
En IT de duración inferior a 8 días, é dicir, sen parte de confirmación, a empresa abonará os 4 primeiros días o 60% da Base Reguladora.
2. Terase dereito ás prestacións por hospitalización referidas nos puntos anteriores, nos supostos de que a persoa traballadora permaneza ingresado como mínimo 24 horas.
ARTIGO 24. CAPACIDADE DIMINUÍDA.
Aquelas persoas traballadoras que por causa de enfermidade ou accidente queden imposibilitadas para desempeñar o posto de traballo para o que foron, contratadas, conservarán un dereito preferente para cubrir as vacantes que se produzan na empresa, cando as condicións físicas e intelectuais da persoa traballadora sexan axeitadas ao posto vacante.
ARTIGO 25. IGUALDADE EFECTIVA ENTRE HOMES E MULLERES.
Os dereitos e obrigas estabelecidos na Lexislación Laboral neste Convenio, afectarán por igual a todas as persoas traballadoras das empresas afectadas polo devandito convenio, sexan mulleres ou homes.
As empresas están obrigadas a pagar por iguais traballos os mesmos salarios e complementos sen discriminación por razón de xénero ou de sexo.
Terase en conta, e será de aplicación, todo o previsto na Lei Orgánica 3/2007 de 22 de marzo, para a Igualdade Efectiva entre Home e Mulleres; e Decreto lexislativo 2/2015, do 12 de febreiro, polo que se aproba o texto refundido das disposicións legais da Comunidade Autónoma de Galicia en materia de igualdade.
Real decreto lei 6/2019, do 1 de marzo, de medidas urxentes para a garantía da igualdade de trato e de oportunidades entre mulleres e homes no emprego e a ocupación.
Real decreto 901/2020, do 13 de outubro, polo que se regulan os plans de igualdade Real decreto 902/2020, do 13 de outubro, de igualdade retributiva entre mulleres e homes.
A Comisión MIXTA terá funcións en materia de plans de igualdade, violencia de xénero e acoso sexual e por razón de sexo no traballo nos términos legais. Nos casos de empresas que elaboren un plan de igualdade, será a comisión de igualdade que negocie o devandito plan a que ostente esas funcións en materia de igualdade, etc.
Segundo a normativa mencionada, as empresas afectadas por este convenio, que non poñan en marcha plan de igualdade, deben asegurar medidas que favorezan a igualdade entre todas as persoas traballadoras, coa fin de que non se produzan discriminacións por razón de xénero ou sexo.
ARTIGO 26. PEZAS DE TRABALLO.
As empresas afectadas por este Convenio entregarán dúas pezas de traballo ao ano as persoas traballadoras, unha en xaneiro e outra en xullo, así mesmo deberán de renovar as pezas de traballo, cada vez que sexa necesario polo desgaste normal das mesas durante o traballo habitual da empresa. Entre a roupa de traballo tense que incluír pezas de abrigo cando sexa necesario.
As empresas deben asegurar que as persoas reciban tallaxe adecuado, de todas as prendas de traballo, ás súas circunstancias físicas específicas (incluídos o embarazo e o período de lactación, no caso das traballadoras) cando así o prevea o servicio de prevención de riscos.
As empresas entregarán as persoas traballadoras a avaliación de riscos do seu posto de traballo e entregaráselle os EPIs que este prevexa. Tamén os EPIS deben adaptarse adecuadamente ás circunstancias físicas específicas de cada persoa traballadora cando así o prevea o servicio de prevención de riscos.
ARTIGO 27. SAÚDE LABORAL.
As persoas traballadoras poderá asistir a consulta médica sen que se lle desconten dos seus haberes o tempo empregado, sempre que o xustifique suficientemente.
As empresas garantirán as persoas traballadoras unha revisión médica polo menos unha vez ao ano e na dita revisión incluirase a revisión xinecolóxica e urolóxica.
Incorpórase a Guía de Saúde Laboral elaborada por CONFEMADERA, CC.OO. e UGT.
CAPÍTULO IV. FORMA E MODALIDADES DO CONTRATO.
ARTIGO 28. FORMA DO CONTRATO.
A admisión de persoas traballadoras na empresa a partir da entrada en vigor do presente Convenio, realizarase a través do contrato escrito, cando así o esixa a norma legal.
Así mesmo, formalizaranse por escrito as comunicacións de prolongación ou ampliación dos mesmos e o preaviso da súa finalización, referidos aos contratos temporais, cando a forma legal ou convencional de aplicación así o estabeleza.
O contrato de traballo deberá formalizarse antes de comezar a prestación de servizos. Farase constar no contrato de traballo que deba estabelecerse por escrito, as condicións que se pacten, o grupo profesional ou categoría en que queda encadrada a persoa traballadora e o contido mínimo do contrato, así como os demais requisitos formais legalmente esixidos.
ARTIGO 29. CONDICIÓNS XERAIS DE INGRESO.
O ingreso ao traballo poderá realizarse de conformidade con calquera das modalidades reguladas no Estatuto das persoas traballadoras, disposicións de desenvolvemento e no presente Convenio.
As empresas estarán obrigadas a solicitar dos organismos públicos de emprego as persoas traballadoras que necesiten, cando así o esixa a lexislación vixente, mediante oferta de emprego.
As ofertas de emprego deben redactarse cunha linguaxe inclusiva para a atraer a todas as posibles persoas candidatas sen que o xénero ou o sexo poida resultar un impedimento.
ARTIGO 30. PROBAS DE APTITUDE.
As empresas, previamente ao ingreso, poderán realizar as persoas interesadas as probas de selección, prácticas e psicotécnicas, que consideren necesarias para comprobar se o seu grado de aptitude e a súa preparación son axeitadas á categoría profesional e posto de traballo que vaian desempregar.
ARTIGO 31. CONTRATO FIXO DE PERSOAL.
Entenderase como contrato de traballo fixo de persoal o que se concerte entre a empresa e a persoa traballadora, para a prestación laboral durante tempo indefinido.
CAPÍTULO V. DURACIÓN DO CONTRATO.
ARTIGO 32. PERÍODO DE PROBA.
Poderá concertarse, por escrito, un período de proba, que en ningún caso poderá exceder de:
a) Grupo I e II: seis meses.
b) Grupo III e IV: dous meses.
c) Grupo V: un mes.
d) Grupo VI e VII: quince días.
ARTIGO 33. CONTRATOS DE FORMACIÓN.
O contrato de formación que realicen as empresas comprendidas dentro do ámbito funcional do presente Convenio, terá por obxecto a formación práctica e teórica das persoas traballadoras contratadas, e regularase por o establecido no artigo 11 do Estatuto das persoas traballadoras.
A retribución da persoa traballadora contratado para a formación en alternancia fixarase en proporción ao tempo de traballo efectivo, o salario a percibir pola persoa traballadora en formación será o 75, 85 por cento do salario do Grupo VI que figura nas táboas do convenio, durante o 1.º, 2.º ano do contrato, respectivamente.
En ningún caso, a retribución poderá ser inferior ao salario mínimo interprofesional en proporción ao tempo de traballo efectivo.
A acción protectora da Seguridade Social da persoa contratada para a formación en alternancia comprenderá todas as continencias protexíbeis e prestacións, incluído o desemprego. Así mesmo, terase dereito á cobertura do Fondo de Garantía Salarial.
ARTIGO 34. CONTRATO POR CIRCUNSTANCIAS DA PRODUCIÓN.
1.º. A duración máxima ata un ano dos contratos por circunstancias da producción.
2.º. Os contratos de duración inferior a un ano poderán prorrogarse mediante acordo das partes, por unha única vez, sen que a duración do total do contrato poida exceder de devandita duración máxima.
3.º. Á terminación do contrato, si este foi de duración igual ou inferior a catro meses, a empresa virá obrigada a satisfacer a persoa traballadora unha indemnización de quince días de salario por ano de servizo. Si a duración foi superior a catro meses, a empresa virá obrigada a satisfacer a persoa traballadora unha indemnización de vinte días por ano de servizo.
Estas indemnizacións surtirán efectos desde o primeiro día.
4.º. Os contratos que se celebren baixo esta modalidade conterán unha referencia expresa ao presente artigo.
ARTIGO 35. EMPRESAS DE TRABALLO TEMPORAL E MULTISERVIZOS.
As empresas afectadas por este Convenio, cando contraten os servizos de empresas de traballo temporal, garantirán que as persoas traballadoras postas á súa disposición teñan os mesmos dereitos laborais e retributivos que lles corresponden as suas persoas traballadoras en aplicación do presente Convenio. Esta obrigación constará expresamente no contrato de posta a disposición celebrado entre a empresa de traballo temporal e a empresa usuaria que estea vinculada polo presente Convenio.
As empresas afectadas por este convenio, cando contraten os servizos de empresas multiservizos para a realización de servizos comprendidos no ámbito funcional do presente Convenio colectivo e no seo ou centro de traballo da empresa principal, garantirán que as persoas traballadoras afectadas teñan os mesmos dereitos laborais e retributivos que lles correspondan as suas persoas traballadoras en aplicación do presente convenio e no correspondente nivel salarial. Esta obriga constará expresamente no contrato de servizos.
ARTIGO 36. PREAVISOS E CESES.
O cese das persoas traballadoras por terminación do contrato deberá comunicarse por escrito á persoa traballadora con unha antelación mínima de quince días naturais. No entanto, a empresa poderá substituír este preaviso por unha indemnización equivalente á cantidade correspondente aos días de preaviso omitidos, todo iso sen prexuízo da notificación escrita de cese. Cando fora a persoa traballadora a que comunicase a súa decisión de extinguir o contrato antes da finalización do mesmo operará a indemnización resarcitoria de contrario estabelecida en idénticos términos.
Non será de aplicación o disposto anteriormente en canto a prazo de preaviso e indemnizacións para os contratos concertados temporais baixo a modalidade de substitución,circunstancias da producción inferiores ou iguais a seis meses, sen prexuízo da notificación escrita do cese.
Aqueles contratos temporais que superasen o estabelecido no parágrafo anterior, fóra disto os contratados por substitución, deberán preavisarse por escrito coa antelación seguinte:
– Grupos I a V: un mes.
– Grupos VI e VII: quince días naturais.
No entanto, a empresa poderá substituír este preaviso pola indemnización equivalente aos días de preaviso omitidos en similares términos que o expresado no parágrafo primeiro.
Cando fora a persoa traballadora que comunicase a súa decisión de extinguir o contrato antes da finalización do mesmo operará a indemnización resarcitoria de contrario estabelecida en idénticos términos.
Idéntica indemnización resarcitoria procederá cando a persoa traballadora fixa de persoal decidise extinguir o seu contrato notificando por escrito a súa baixa voluntaria na empresa e incumprise os prazos de preaviso indicados no parágrafo cuarto.
ARTIGO 37. CLÁUSULA DE RESOLUCIÓN DE CONFLITOS.
Ante a importancia que pode ter para a resolución pacífica dos conflitos laborais a elaboración do Acordo interprofesional galego sobre procedementos extraxudiciais de solución de conflitos colectivos de traballo (AGA), as partes asinantes deste convenio, durante a vixencia do mesmo, acordan someterse ás disposicións contidas no AGA nos propios términos en que están formuladas.
ANEXO I. CALENDARIO LABORAL 2023.
Os días F.C. que figuran no calendario, se coinciden con período vacacional, non computan aos efectos de F.C.
Así mesmo, cando un festivo local coincida cun festivo de convenio (F.C.), este pasarase ao día laborábel anterior.
ANEXO II. CLÁUSULA DE INAPLICACIÓN.
As porcentaxes de incremento salarial estabelecidos neste convenio non serán de necesaria e obrigada aplicación para aquelas empresas que acrediten obxectiva e fidedignamente situacións de déficit ou perdas mantidas nos dous exercicios contábeis anteriores ao que se pretenda implantar esta medida. Así mesmo, teranse en conta as previsións para o ano seguinte, nas que se contemplarán a evolución do mantemento do nivel de emprego.
Nestes casos trasladarase ás partes a fixación do aumento de salarios.
Para valorar esta situación teranse en conta circunstancias tales como o insuficiente nivel de produción e vendas e atenderanse os datos que resulten da contabilidade das empresas, dos seus balances e das súas contas de resultados.
As empresas nas que, ao seu xuízo, concorran as circunstancias expresadas, comunicarán a representación legal das persoas traballadoras o seu desexo de acollerse ao procedemento regulado nesta cláusula, no prazo dun mes a contar desde a data de publicación deste convenio. Na mesma forma será obrigatoria a súa comunicación á Comisión Mixta do convenio.
No prazo de vinte días naturais a contar desta comunicación, a empresa facilitará a representación legal das persoas traballadoras a documentación á que se fai referencia en parágrafos anteriores e dentro dos seguintes dez días as partes deberán acordar a procedencia ou improcedencia da aplicación desta cláusula.
O resultado desta negociación será comunicado á Comisión Mixta do convenio no prazo de cinco días seguintes a terse producido o acordo ou desacordo, procedéndose na forma seguinte:
a) En caso de acordo a empresa e os representantes dos/as traballadores/as negociarán as porcentaxes de incremento salarial a aplicar.
b) En caso de non haber acordo, a Comisión Mixta do convenio examinará os datos postos á súa disposición, solicitará a documentación complementaria que estime oportuna e os asesoramentos técnicos pertinentes. Oirá ás partes, debendo pronunciarse sobre se na empresa solicitante concorren ou non as circunstancias esixidas no parágrafo primeiro desta cláusula.
Os acordos da Comisión Mixta do convenio tomaranse por unanimidade, e de non existir esta, a mencionada Comisión solicitará informe de auditores-censores xurados de contas, que será vinculante para a Comisión, sendo os gastos que se orixinen por esta intervención, de conta da empresa solicitante.
Este procedemento tramitarase no prazo dun mes a partir de que as partes dean traslado do desacordo á Comisión Mixta do convenio.
Os prazos estabelecidos nesta cláusula serán de caducidade a todos os efectos.
En todo caso, debe entenderse que o estabelecido nos parágrafos anteriores só afectará ao concepto salarial achándose obrigadas as empresas afectadas polo contido do resto do pactado neste Convenio.
Os representantes legais dos/as traballadores/as están obrigados a tratar e manter na maior reserva a información recibida e dos datos a que tivesen acceso como consecuencia do estabelecido nos parágrafos anteriores, observando, por conseguinte, respecto de todo iso, sixilo profesional.
Non poderán fan uso desta cláusula as empresas durante dous anos consecutivos.
Finalizado o período de descolgue as empresas afectadas obríganse a proceder á actualización inmediata dos salarios dos/as traballadores/as, para iso, aplicaranse sobre os salarios iniciais os diferentes incrementos pactados durante o tempo que durou a aplicación desta cláusula.
ANEXO III. DA REPRESENTACIÓN COLECTIVA DAS PERSOAS TRABALLADORAS.
Representación unitaria.
Comités de empresa e delegadas ou delegados de persoal.
O Comité de Empresa e delegadas ou delegados de Persoal terán dereito a recibir a información, emitir informes e exercer o labor de vixilancia sobre as materias expresamente previstas polas normas legais vixentes. Así mesmo, gozarán das garantías en materias disciplinarias, de non discriminación, exercicio de liberdade de expresión e disposición de créditos horarios previstos na lexislación vivente.
Eleccións sindicais- as candidaturas.
As persoas traballadoras que teñan dezaoito anos cumpridos e unha antigüidade mínima de tres meses na empresa, sempre que superen o período de proba, serán elixíbeis nas eleccións a representantes das persoas traballadoras tal como se prevé na sección segunda, artigo 69 e seguintes do Estatuto das persoas Traballadoras.
Crédito horario.
As partes negociadoras recomendan a acumulación das horas das delegadas ou delegados de persoal, membros de Comités de empresa e delegadas ou delegados sindicais nos términos que se consideren convenientes.
Dereito de reunión.
1. As persoas traballadoras dunha empresa ou centro de traballo teñen dereito a reunirse en asemblea, que poderá ser convocada polas delegadas ou delegados de persoal, Comité de Empresa ou centro de traballo ou por número de persoas traballadoras non inferior a 33% do persoal. A asemblea será presidida, en todo caso, polo Comité de Empresa ou polas delegadas ou delegados de persoal, mancomunadamente, que serán responsábeis do seu normal desenvolvemento, así como da presenza na asemblea de persoas non pertencentes á empresa. Só poderán tratarse nela os asuntos que previamente consten incluídos na orde do día.
2. A presidencia da asemblea comunicará á Dirección da empresa a convocatoria e os nomes das persoas non pertencentes á empresa que vaian asistir á asemblea e acordadas con esta as medidas necesarias para evitar perturbacións na actividade laboral normal. Cando por calquera circunstancia, non poida reunirse simultaneamente todo o persoal sen prexuízo ou alteracións no normal desenvolvemento da produción, as diversas reunións parciais que teñan que celebrarse consideraranse como unha soa e fechadas no día da primeira.
3. As asembleas celebraranse fóra das horas de traballo. A celebración da asemblea poñerase en coñecemento da Dirección da empresa cunha antelación mínima de corenta e oito horas, indicando a orde do día, persoas que ocuparán a presidencia e duración previsíbel.
Dos sindicatos.
Delegadas ou delegados sindicais.
1. Nas empresas cuxo persoal supere a cifra de 100 persoas traballadoras, e en concepto de mellora do disposto no artigo 10 da Lei Orgánica de Liberdade Sindical, os sindicatos con presenza nos órganos de representación unitaria, poderán nomear unha Delegada ou delegado Sindical, cos dereitos e obrigacións que se deriven de devandito artigo.
Respectaranse, en todo caso, aquelas condicións máis favorábeis estabelecidas con anterioridade á entrada en vigor do presente convenio nos ámbitos inferiores.
A representación do sindicato na empresa ostentaraa unha delegada ou delegado, nos termos previstos na Lei Orgánica 11/1985, de Liberdade Sindical.
O sindicato que alegue posuír dereito a acharse representado mediante titularidade persoal en calquera empresa, deberá acreditalo ante a mesma en forma fidedigna, recoñecendo esta, acto seguido, a citada delegada ou delegado a súa condición de representante do sindicato para todos os efectos.
As delegadas ou delegados sindicais terán as competencias, garantías e funcións recoñecidas nas leis ou normas que as desenvolvan.
2. A delegada ou delegado sindical deberá ser a persoa traballadora que se designará de acordo cos estatutos do sindicato ou central a quen representa, terán recoñecidas as seguintes funcións:
Recadar cotas e distribuír información sindical, fóra das horas de traballo e sen perturbar a actividade normal da empresa.
Representar e defender os intereses do sindicato a quen representa e das persoas afiliadas ao mesmo, no centro de traballo, e servir de instrumento de comunicación entre o sindicato ou central sindical e a Dirección da empresa.
Asistir ás reunións do Comité de Empresa do centro de traballo e Comité de seguridade e hixiene no traballo con voz e sen voto.
Ter acceso á mesma información e documentación que a empresa poña a disposición do Comité de Empresa representándose as mesmas garantías recoñecidas pola Lei e o presente Convenio as persoas membros do Comité de Empresa, e estando obrigadas a gardar sixilo profesional en todas aquelas materias nas que legalmente proceda.
Será informada e oída pola Dirección da empresa no tratamento daqueles problemas de carácter colectivo que afecten, en xeral, as persoas traballadoras do seu centro de traballo, e particularmente ás persosas afiliadas ao seu sindicato que traballen en devandito centro.
A delegada ou delegado sindical cinguirá as súas tarefas á realización das funcións sindicais que lle son propias, axustando, en calquera caso, a súa conduta á normativa legal vixente.
3. As seccións sindicais dos sindicatos máis representativos terán dereito á utilización dun local adecuado, no que poidan desenvolver as súas actividades, naqueles centros de traballo que se estabelezan nos Convenios de ámbito inferior.
Participación nas negociacións dos Convenios Colectivos: Delegadas ou delegados sindicais que participen nas Comisións Negociadoras de Convenios Colectivos, mantendo o seu vencello como persoas traballadoras en activo dalgunha empresa, seranlles concedidos permisos retribuídos polas mesmas a fin de facilitarlles o seu labor como persoas negociadoras e durante o transcurso da devandita negociación, sempre que a empresa estea afectada directamente polo Convenio Colectivo de que se trate.
Reunirse, fóra das horas de traballo e sen perturbar a actividade normal da empresa, cas persoas traballadoras desta afiliadas ao seu sindicato.
Inserir comunicados nos taboleiros de anuncios, previstos para ese efecto, que puidesen interesar as persoas afiliadas ao sindicato e as persoas traballadoras do centro.
As delegadas ou delegados sindicais, sempre que non formen parte do Comité de Empresa, dispoñerán dun crédito de horas mensuais retribuídas, en iguais términos e contido que os contemplados neste Convenio.
Cota sindical.
Nos centros de traballo, a solicitude formulada por escrito ás empresas por cada unha das persoas traballadoras afiliadas aos sindicatos legalmente constituídos, as empresas descontarán na nómina mensual a devanditas persoas traballadoras o importe da cota sindical correspondente.
O abono da cantidade recadada pola empresa farase efectivo, por meses vencidos ao sindicato correspondente, mediante transferencia á súa conta bancaria.
A empresa efectuará as devanditas detraccións, salvo indicación en contrario, durante períodos dun ano.
A persoa traballadora poderá, en calquera momento, anular por escrito a autorización concedida.
Excedencias sindicais.
O persoal con antigüidade de catro meses que exerza ou sexa chamado a exercer un cargo sindical nos órganos de goberno provinciais, autonómicos ou nacionais dunha central sindical que asine o Convenio, terá dereito a unha excedencia forzosa polo tempo que dure o cargo que a determina.
Para acceder a persoa traballadora á dita excedencia, deberá acompañar á comunicación escrita á empresa o certificado da central sindical correspondente no que conste o nomeamento do cargo sindical de goberno para o que sexa elixida.
A persoa traballadora excedente forzosa ten a obriga de comunicar á empresa, nun prazo non superior ao mes, a desaparición das circunstancias que motivaron a súa excedencia, no caso de non efectuala en devandito prazo perderá o dereito ao reingreso.
O reingreso será automático e obrigatorio e a persoa traballadora terá dereito a ocupar unha praza do mesmo grupo ou nivel, lugar e posto de traballo que ostentase antes de producirse a excedencia forzosa.
O tempo de excedencia computarase como de permanencia ao servizo da empresa.
ANEXO IV. RISCO GRAVE E INMINENTE.
No caso de que unha empresa pretendese sancionar a algúnha persoa traballadora pola paralización do traballo en base á apreciación de risco grave e inminente, procederá á apertura de expediente contraditorio no que serán oídas, ademais da interesada, as persoas membros da representación legal das persoas traballadoras e o Comité de Seguridade e Saúde ou a persoa Delegada de Prevención no seu caso.
ANEXO V. AS DELEGADAS OU DELEGADOS DE PREVENCIÓN. FORMACIÓN DA PERSOA DELEGADA DE PREVENCIÓN.
A Empresa garantirá que as persoas delegadas de prevención posúan unha cualificación equiparábel ao Nivel Básico en prevención de riscos laborais, ademais da que corresponda ao seu posto de traballo habitual.
Así mesmo as delegadas ou delegados de prevención disporán de ata 20 horas anuais para formación específica, as cales engadiranse ao crédito horario que lles recoñece a Lei.
Formación en materia preventiva En cumprimento do deber de protección, a empresa deberá garantir que toda persoa traballadora reciba unha formación teórica e práctica suficiente e adecuada en materia preventiva.
Defínense como suficientes e adecuados, no ámbito deste convenio os seguintes programas:
a) Formación básica xeral en prevención: As materias contidas neste módulo serán comúns a todos os niveis e postos de traballo.
As materias que deberá conter este módulo son:
1. Conceptos básicos sobre a organización elemental da prevención.
2. Técnicas preventivas elementais sobre riscos xenéricos e prevención dos mesmos.
3. Plans de urxencia.
4. Dereitos de participación, información, consulta e proposta.
b) Formación específica por oficios, postos de traballo ou función: Ademais da formación indicada no apartado anterior, toda persoa traballadora que posúa ou adquira unha categoría profesional encadrada no Grupo 6 ou superior, deberá adquirir a formación específica requirida para o desempeño do seu posto de traballo.
c) Formación preventiva das persoas traballadoras designadas, persoal encargado da prevención e mandos intermedios:
Para estes colectivos a empresa garantirá que dispoñan de formación equivalente á indicada para o nivel básico no Anexo IV do R.D. 39/1997.
Formación para empresas que asuman elas mesmas a actividade preventiva ou recursos preventivos cuxa presenza se esixa de xeito permanente no centro de traballo: A formación para estes colectivos será a indicada para o nivel básico no Anexo IV do R.D. 39/1997, de 17/01/97.
ANEXO VI. LICENZAS E EXCEDENCIAS.
Excedencia forzosa.
A excedencia forzosa, concederase por designación ou elección para un cargo público ou sindical que imposibilite a asistencia ao traballo, e dará lugar ao dereito á conservación do posto de traballo. O reingreso solicitarase dentro do mes seguinte ao cese no cargo público ou sindical, perdéndose este dereito se se fai transcorrido este prazo.
Excedencia voluntaria.
1º.-A persoa traballadora con, polo menos, unha antigüidade na empresa dun ano terá dereito a que se lle recoñeza a posibilidade de situarse en excedencia voluntaria por un prazo non inferior a catro meses, nin superior a cinco anos. Nos supostos en que a persoa traballadora estea suxeita a un contrato de duración temporal, a duración máxima da excedencia voluntaria en ningún caso poderá superar a da duración do contrato. Este dereito só poderá ser exercitado outra vez pola mesma persoa traballadora, no seu caso, si transcorreron catro anos desde o final da anterior excedencia.
2.º. A persoa traballadora excedente conserva tan só un dereito preferente ao reingreso nas vacantes, de igual ou similar grupo profesional ao seu, que houbese ou se producise na empresa, e sempre que o soliciten con, polo menos, un mes de antelación ao término da excedencia.
Excedencia por coidado de familiares e fillas ou fillos
As persoas traballadoras terán dereito a un período de excedencia de duración non superior a tres anos para atender ao coidado de cada filla ou fillo, tanto cando o sexa por natureza, como por adopción, ou nos supostos de acollemento, tanto permanente como preadoptivo, aínda que estes sexan provisionais, a contar desde a data de nacemento ou, no seu caso, da resolución xudicial ou administrativa.
Tamén terán dereito a un período de excedencia, de duración non superior a dous anos, para atender ao coidado dun familiar ata o segundo grado de consanguinidade ou afinidade, que por razóns de idade, accidente, enfermidade ou discapacidade non poida valerse por si mesma, e non desempeñe actividade retribuída.
A excedencia contemplada no presente artigo, cuxo período de duración poderá gozarse de forma fraccionada, constitúe un dereito individual das persoas traballadoras. No entanto, si dous ou máis persoas traballadoras da mesma empresa xerasen este dereito polo mesmo suxeito causante, a empresa poderá limitar o seu exercicio simultáneo por razóns xustificadas de funcionamento.
Cando un novo suxeito causante dese dereito a un novo período de excedencia, o inicio da mesma dará fin ao que, no seu caso, se viñese gozando.
O período no que a persoa traballadora permaneza en situación de excedencia conforme ao estabelecido neste artigo será computábel aos efectos de antigüidade e a persoa traballadora terá dereito á asistencia a cursos de formación profesional, a cuxa participación lle debe convocar a empresa, especialmente con ocasión da súa reincorporación. Durante o primeiro ano terá dereito á reserva do seu posto de traballo. Transcorrido devandito prazo, a reserva quedará referida a un posto de traballo do mesmo grupo profesional ou categoría equivalente.
No entanto, cando a persoa traballadora forme parte dunha familia que teña recoñecida oficialmente a condición de familia numerosa, a reserva do seu posto de traballo estenderase ata un máximo de 15 meses cando se trate dunha familia numerosa de categoría xeral, e ata un máximo de de 18 meses se se trata de categoría especial.
Disposicións comúns para as excedencias.
1.º. Nas excedencias en que concorra a circunstancia de temporalidade do contrato, a duración do mesmo non se verá alterada pola situación de excedencia da persoa traballadora, e no caso de chegar ao término deste durante o transcurso da mesma, extinguirase devandito contrato previa a súa denuncia preavisada no prazo mínimo de quince días, salvo pacto en contrario.
O incumprimento do prazo de preaviso por parte da empresa, suporá exclusivamente a obriga de compensar economicamente a persoa traballadora no importe dos días de falta de preaviso, ao momento da súa liquidación.
2.º. Durante o período de excedencia, a persoa traballadora, en ningún caso, poderá prestar servizos que supoñan unha concorrencia desleal en relación á empresa. Si así o fixese, perdería automaticamente o seu dereito de reingreso.
ANEXO VII. REDUCIÓN DO ABSENTISMO.
A redución do absentismo no ámbito laboral é un obxectivo compartido polas representacións sindical e empresarial, dado que os seus efectos negativos proxéctanse sobre as condicións de traballo, o clima laboral, a produtividade e a saúde das persoas traballadoras.
Ao obxecto pois de combater este fenómeno que conleva unha perda de produtividade e incide negativamente nos custos laborais, prexudicando con iso a competitividade das empresas e a posibilidade de mellorar os niveis de emprego e rendas das persoas traballadoras, a partir do 1 de xaneiro de 2008, nos supostos nos que o índice de absentismo, a título colectivo e individual (acumulativamente), non supere o 3% e o 4% respectivamente, durante o período de xaneiro a decembro de cada ano de vixencia do presente convenio colectivo, as persoas traballadoras percibirán, no mes de marzo do ano seguinte, e nun único pago, a cantidade bruta de 150 euros.
Nas empresas de menos de 30 persoas traballadoras, os índices de absentismo, colectivo e individual (acumulativamente), non deberán superar o 2% e o 3%, respectivamente, para dar dereito ao cobro da cantidade mencionada anteriormente.
Dito importe non será consolidábel, nin absorbíbel, nin tampouco compensábel.
Para o cómputo do absentismo teranse en consideración, exclusivamente, os períodos de IT por enfermidade común ou accidente non profesional e as ausencias inxustificadas.
O índice de absentismo resultante será notificado periodicamente (polo menos trimestralmente) á representación legal ou sindical da empresa e, na súa falta, á Comisión Paritaria do seu ámbito. O incumprimento deste trámite, non liberará á empresa do compromiso de aboar a cantidade indicada. Nas empresas de menos de 30 persoas traballadoras, de constatarse devandito incumprimento e previo requirimento da representación das persoas traballadoras ou da Comisión Paritaria, o pago producirase igualmente se no prazo de 15 días hábiles, desde a recepción do requirimento, non se produce dita xustificación.
O sistema recollido no presente artigo non será acumulábel con calquera outro existente, a nivel de empresa ou por convenio, desta mesma natureza, respectándose devanditos sistemas, salvo acordo coa representación das persoas traballadoras, para a súa substitución polo presente.
ANEXO VIII. COMITÉ DE SEGURIDADE E SAÚDE.
Nos centros de traballo onde existan 30 ou máis persoas traballadoras constituirase un Comité de Seguridade e Saúde no Traballo formado por polo menos dúas persoas delegadas de prevención, e igual número de representantes da empresa.
As persoas compoñentes do servizo de prevención, así como quen realice habitualmente os seus labores nesta materia, incluíndo o persoal do servizo de prevención, poderán asistir ás reunións deste órgano co obxecto de asesorar tecnicamente ao comité.
ANEXO IX. TRABALLADORES DESPRAZADOS AO EXTRANXEIRO.
Durante a vixencia a Comisión Mixta creara unha Comisión de Traballo Paritaria, con capacidade decisoria, para negociar e buscar melloras para os traballadores desprazados ao extranxeiro.
ANEXO X. TABLAS SALARIALES.
REVISIÓN SALARIAL Y ACUERDOS (BOP NÚMERO 85 – VIERNES, 5 DE MAYO DE 2023)
Resolución de rexistro, inscrición e publicación do acordo da comisión paritaria do convenio colectivo provincial para o sector de carpintería e ebanistería da Coruña (código 15000805011982 / CP_XY52JD75).
O 28 de abril 2023 tivo entrada no rexistro de acordos e convenios colectivos de traballo da Comunidade Autónoma de Galicia (REGCON) o acordo da comisión paritaria do convenio colectivo provincial para o sector de carpintería e ebanistería da Coruña (código 15000805011982 / CP_XY52JD75).
No escrito asinado con data 28/04/2023 pola secretaria do Consello Galego de Relacións Laborais, explicítase que a acta da correspondente reunión da referida comisión paritaria foi asinada con data do 06/02/2023 e que o acordo ao que se refire ten un contido aclaratorio sobre o plus de quendas, o cadro de permisos e licenzas e a táboa salarial para 2023, presentándose diante da autoridade laboral para os efectos de rexistro, depósito e publicación oficial, de ser o caso, para dar cumprimento ao Real Decreto 713/2010, de 28 de maio, sobre rexistro e depósito de convenios e acordos colectivos de traballo.
Desta maneira, conclúese que se pode inscribir este acordo, de conformidade co disposto no Real decreto lexislativo 2/2015, do 23 de outubro, polo que se aproba o texto refundido da Lei do Estatuto dos Traballadores (BOE núm. 255, do 24 de outubro de 2015) e no referido Real Decreto 713/2010, do 28 de maio, sobre rexistro e depósito de convenios e acordos colectivos de traballo, (BOE núm.143, do 12 de xuño de 2012), así como na Orde do 29 de outubro de 2010 pola que se crea o rexistro de convenios e acordos colectivos de traballo na Comunidade Autónoma de Galicia (DOG núm. 222, do 18 de novembro).
Esta xefatura territorial é competente para resolver a inscrición deste acordo, ao abeiro do Decreto 123/2022, do 23 de xuño, polo que se establece a estrutura orgánica da Consellería de Promoción do Emprego e Igualdade (DOG núm. 130, de 8 de xullo de 2022).
De acordo con todo o indicado,
RESOLVO:
1. Rexistrar e inscribir o acordo da comisión paritaria do convenio colectivo provincial para o sector de carpintería e ebanistería da Coruña (código 15000805011982/ CP_XY52JD75) no rexistro de convenios e acordos colectivos de traballo da Comunidade Autónoma de Galicia.
2. Dispoñer a remisión do texto do referido acordo ao Boletín Oficial da Provincia da Coruña para a súa publicación.
A Coruña, 28 de abril de 2023.
A xefa territorial de Promoción do Emprego e Igualdade.
P.A. O xefe do Servizo de Coordinación Administrativa e Xestión Económica.
Artigo 62.3 Decreto 123/2022, do 23 de xuño, polo que se establece a estrutura orgánica da Consellería de Promoción do Emprego e Igualdade.
Pedro Pablo Lorenzo Díaz.
SEGUNDO ACTA DE LA COMISION MIXTA.
En A Coruña, siendo las diecisiete horas del día 6 de febrero de 2023, en la sede de la Confederación de Empresarios de A Coruña, sito en el Plaza Luis Seoane, se reúnen por parte:
POR LA PARTE SOCIAL.
CCOO:
– Alejandra Gesto Montes.
UGT:
– Sergio Lago García.
POR LA PARTE EMPRESARIAL.
ASOCIACIÓN PROVINCIAL DE EMPRESAS DE CARPINTERIA Y EBANISTERIA DE LA PROVINCIA DE A CORUÑA.
– Marta SierraVivero.
– Claudio Santos Castro.
– Beatriz Regos Concha (Asesora).
Realiza las funciones de Secretaria Doña Beatriz Regos Concha.
El Secretario informa que esta reunión fue convocada para dar respuesta a las siguientes dudas:
1º.- Vigencia del actual plus de turnos recogido en el art. 12 del Convenio Colectivo.
Respetando la esencia de la negociación sobre el plus de turnos, traslada por todos los miembros de la parte social, este plus entraría en vigor a todos los efectos desde la publicación del convenio colectivo, al ser un plus de nueva creación.
2º.- Cuadro de permisos y licencias.
En la publicación del actual convenio se omitió el cuadro de permisos y licencias al que alude al art.19 del Convenio Colectivo, el cual se procede a añadir:
3º.- Tablas salariales..
Se acuerda publicar las tablas salariales del año 2023, las cuales se anexan a la presente acta..
Que ambas partes acuerdan delegar al personal del Consello Galego de Relacións Laborais para su depósito y registro.
Y siendo las diecisiete horas y treinta minutos de la fecha anteriormente señalada, se levanta la sesión de la cual yo, como Secretaria, doy fe.
REVISIÓN SALARIAL Y CALENDARIO 2024 (BOP NÚMERO 4 – JUEVES, 4 DE ENERO DE 2024)
Resolución pola que se inscribe e se ordena a publicación da táboa salarial e o calendario laboral para o ano 2024 no marco do convenio colectivo do sector de carpintaría e ebanistaría da provincia da Coruña.
O 18 de decembro de 2023 tivo entrada no rexistro de acordos e convenios colectivos de traballo da Comunidade Autónoma de Galicia (REGCON) a solicitude de inscrición da acta co acordo relativo á táboa salarial e o calendario laboral para o ano 2024 no marco do convenio colectivo do sector de carpintaría e ebanistaría da provincia da Coruña.
No escrito asinado o 15 de decembro do 2023 pola secretaria do Consello Galego de Relacións Laborais, expúñase que o 13 de decembro de 2023 se asinara a táboa salarial e o calendario laboral para o ano 2024 para o referido sector e que se presenta o correspondente acordo diante da autoridade laboral para os efectos de rexistro, depósito e publicación oficial e dar cumprimento ao Real Decreto 713/2010, de 28 de maio, sobre rexistro e depósito de convenios e acordos colectivos de traballo e á Orde do 20 de outubro de 2010 pola que se crea o rexistro de convenios e acordos colectivos de traballo da Comunidade Autónoma de Galicia.
Desta maneira, conclúese que se pode inscribir o referido acordo, ao abeiro do Real decreto lexislativo 2/2015, do 23 de outubro, polo que se aproba o texto refundido da Lei do Estatuto dos Traballadores (BOE núm. 255, do 24 de outubro de 2015) e no referido Real Decreto 713/2010, do 28 de maio, sobre rexistro e depósito de convenios e acordos colectivos de traballo, (BOE núm.143, do 12 de xuño de 2012), así como na Orde do 29 de outubro de 2010 pola que se crea o rexistro de convenios e acordos colectivos de traballo na Comunidade Autónoma de Galicia (DOG núm. 222, do 18 de novembro).
Esta xefatura territorial é competente para resolver a inscrición deste acordo, consonte o Decreto 123/2022, do 23 de xuño, polo que se establece a estrutura orgánica da Consellería de Promoción do Emprego e Igualdade (DOG núm. 130, de 8 de xullo de 2022).
Así, de conformidade con todo o anterior,
RESOLVO:
1. Inscribir no rexistro de convenios e acordos colectivos de traballo da Comunidade Autónoma de Galicia a acta co acordo relativo á táboa salarial e o calendario laboral para o ano 2024 no marco do convenio colectivo do sector de carpintaría e ebanistaría da provincia da Coruña.
2. Ordenar que se tramite a súa publicación no Boletín Oficial da Provincia da Coruña.
A Coruña, 28 de decembro de 2023.
O xefe territorial.
Pedro Pablo Lorenzo Díaz.
TERCERA ACTA DE LA COMISION MIXTA.
En A Coruña, siendo las diecisiete horas del día 13 de diciembre de 2023, en la sede de la Confederación de Empresarios de A Coruña, sito en el Plaza Luis Seoane, se reúnen por parte:
POR LA PARTE SOCIAL.
CCOO:
– Alejandra Gesto Montes.
– Rodrigo Ponte González.
UGT:
– Santiago González Andión.
– Sergio Lago García.
POR LA PARTE EMPRESARIAL.
ASOCIACIÓN PROVINCIAL DE EMPRESAS DE CARPINTERIA Y EBANISTERIA DE LA PROVINCIA DE A CORUÑA.
– Marta SierraVivero.
– Claudio Santos Castro.
– Begoña Cancela Agra.
– Mercedes Pérez Freire.
– Delia Ares Díaz.
– Maria Pillado Mosquera.
– Beatriz Regos Concha (Asesora).
Realiza las funciones de Secretaria Doña Beatriz Regos Concha.
Las partes acuerdan las tablas salariales del año 2024 y el calendario laboral para el año 2024, que se recogen a continuación:
1º.- Tablas salariales.
Se acuerda publicar las tablas salariales del año 2024, las cuales se anexan a la presente acta.
2º.- Calendario Laboral año 2024.
Que ambas partes acuerdan delegar al personal del Consello Galego de Relacións Laborais para su depósito y registro.
Y siendo las diecisiete horas y treinta minutos de la fecha anteriormente señalada, se levanta la sesión de la cual yo, como Secretaria, doy fe.
CALENDARIO 2025 (BOP NÚMERO 209 – MARTES, 29 DE OCTUBRE DE 2024)
Resolución pola que se inscribe e ordénase publicar o acordo da comisión negociadora do convenio colectivo provincial da Coruña para o sector de carpintería e ebanistería, referido ao calendario laboral para o ano 2025.
O 18 de outubro de 2024 tivo entrada no rexistro de acordos e convenios colectivos de traballo da Comunidade Autónoma de Galicia (REGCON) o acordo da comisión negociadora do convenio colectivo provincial da Coruña para o sector de carpintería e ebanistería, referido ao calendario laboral para o ano 2025.
No escrito asinado coa mesma data pola secretaria do Consello Galego de Relacións Laborais, exponse que con data do 17 de outubro de 2024 a comisión negociadora do referido convenio colectivo asinara este calendario laboral, que se presentaba diante da autoridade laboral para os efectos de rexistro, depósito e publicación oficial, se procede, para cumprir co Real Decreto 713/2010, de 28 de maio, sobre rexistro e depósito de convenios e acordos colectivos de traballo e coa Orde do 20 de outubro de 2010 pola que se crea o Rexistro de Convenios e Acordos Colectivos de Traballo da Comunidade Autónoma de Galicia.
Este órgano de dirección periférico é competente para resolver en materia de rexistro de convenios e acordos colectivos de traballo e plans de igualdade no seu ámbito territorial, ao abeiro do Decreto 147/2024, do 20 de maio, polo que se establece a estrutura orgánica da Consellería de Emprego, Comercio e Emigración, polo que, consonte o anterior,
RESOLVO:
1. Inscribir o acordo da comisión negociadora do convenio colectivo provincial da Coruña para o sector de carpintería e ebanistería, referido ao calendario laboral para o ano 2025, no rexistro de convenios e acordos colectivos de traballo da Comunidade Autónoma de Galicia.
2. Ordenar que se remita ao Boletín Oficial da Provincia da Coruña para a súa publicación.
A Coruña, 24 de outubro de 2024.
O director do Departamento Territorial.
Juan José Couce Prego.
CUARTA ACTA DE LA COMISION MIXTA.
En A Coruña, siendo las diecisiete horas del día 17 de octubre de 2024, en la sede de la Confederación de Empresarios de A Coruña, sito en el Plaza Luis Seoane, se reúnen por parte:
POR LA PARTE SOCIAL.
CCOO:
· Alejandra Gesto Montes.
· Jaime Barbeito Rodríguez.
UGT:
· Santiago González Andión.
POR LA PARTE EMPRESARIAL.
ASOCIACIÓN PROVINCIAL DE EMPRESAS DE CARPINTERIA Y EBANISTERIA DE LA PROVINCIA DE A CORUÑA.
· Claudio Santos Castro.
· Delia Ares Díaz.
· Maria Pillado Mosquera.
· Beatriz Regos Concha (Asesora).
Realiza las funciones de Secretaria Doña Beatriz Regos Concha.
Las partes acuerdan que los días de exceso de jornada en el calendario laboral para el año 2025, que son 9, de conformidad con el art. 20 del Convenio serán los siguientes:
· 2, 3 de enero.
· 4 de marzo.
· 2 de mayo.
· 24 de junio.
· 24, 26, 30, 31 de diciembre.
Que ambas partes acuerdan delegar al personal del Consello Galego de Relacións Laborais para su depósito y registro.
Y siendo las diecisiete horas y treinta minutos de la fecha anteriormente señalada, se levanta la sesión de la cual yo, como Secretaria, doy fe.
REVISIÓN SALARIAL (BOP NÚMERO 237 – MARTES, 10 DE DICIEMBRE DE 2024)
Resolución de inscrición e publicación da acta da comisión negociadora do convenio colectivo provincial para o sector de carpintería e ebanistería da Coruña pola que se aproban as táboas salariais para o ano 2025 (código de convenio 15000805011982).
O 28 de novembro de 2024 tivo entrada no rexistro de acordos e convenios colectivos de traballo da Comunidade Autónoma de Galicia (REGCON) a solicitude de inscrición da acta da comisión negociadora do Convenio colectivo provincial para o sector de Carpintería e Ebanistería da Coruña pola que se aproban as táboas salariais para o ano 2025 (código de convenio 15000805011982).
A Dirección do Departamento Territorial de Emprego, Comercio e Emigración da Coruña é competente para resolver en materia de rexistro de convenios e acordos colectivos de traballo, segundo o disposto no Decreto 147/2024, do 20 de maio, polo que se establece a estrutura orgánica da Consellería de Emprego, Comercio e Emigración (DOG núm. 101, do 27 de maio de 2024), de xeito que, despois de que persoal deste órgano directivo territorial revisase a documentación, emitise a correspondente comunicación requirindo a emenda e esta fose adecuadamente respondida,
RESOLVO:
1. Inscribir a acta da comisión negociadora do Convenio colectivo provincial para o sector de Carpintería e Ebanistería da Coruña pola que se aproban as táboas salariais para o ano 2025 no rexistro de convenios e acordos colectivos de traballo da Comunidade Autónoma de Galicia.
2. Ordenar que se remita, para a súa publicación, ao boletín oficial da provincia da Coruña.
A Coruña, 29 de novembro de 2024.
O director territorial.
Juan José Couce Prego.
QUINTA ACTA DE LA COMISION MIXTA.
En A Coruña, siendo las diecisiete horas del día 25 de noviembre de 2024, en la sede de la Confederación de Empresarios de A Coruña, sito en el Plaza Luis Seoane, se reúnen por parte:
POR LA PARTE SOCIAL CCOO:
• Alejandra Gesto Montes.
• Jaime Barbeito Rodríguez.
UGT:
• Santiago González Andión.
POR LA PARTE EMPRESARIAL.
ASOCIACIÓN PROVINCIAL DE EMPRESAS DE CARPINTERIA Y EBANISTERIA DE LA PROVINCIA DE A CORUÑA.
• Mercedes Pérez Freire.
• Delia Ares Díaz.
• America Fernández Vázquez.
• Tamara Fernández Arostegui.
• Alicia Penas Ferreira.
• Beatriz Regos Concha (Asesora).
Realiza las funciones de Secretaria Doña Beatriz Regos Concha.
Las partes acuerdan las tablas salariales del año 2025, de conformidad con el art.4 del Convenio Colectivo, que se recogen a continuación:
Que se acuerda publicar las tablas salariales del año 2025, acordando delegar en el personal del Consello Galego de Relación laboráis, para que realicen los trámites necesarios para su depósito y registro.
Y siendo las diecisiete horas y treinta minutos de la fecha anteriormente señalada, se levanta la sesión de la cual yo, como Secretaria, doy fe.
CALENDARIO 2026 (BOP NÚMERO 210 – LUNES, 3 DE NOVIEMBRE DE 2025)
Resolución de inscrición e publicación do acordo da comisión negociadora do convenio colectivo provincial da Coruña para o sector de carpintería e ebanistería referido ao calendario laboral para o ano 2026.
O 27 de outubro de 2025 tivo entrada no rexistro de acordos e convenios colectivos de traballo da Comunidade Autónoma de Galicia (REGCON) o acordo da comisión negociadora do convenio colectivo provincial da Coruña para o sector de carpintería e ebanistería (código de convenio 15000805011982) , referido ao calendario laboral para o ano 2026.
No escrito asinado coa mesma data pola secretaria do Consello Galego de Relacións Laborais, exponse que con data do 24 de outubro de 2025 a comisión negociadora do referido convenio colectivo asinara este calendario laboral, que se presentaba diante da autoridade laboral para os efectos de rexistro, depósito e publicación oficial, se procede, para cumprir co Real Decreto 713/2010, de 28 de maio, sobre rexistro e depósito de convenios e acordos colectivos de traballo e coa Orde do 20 de outubro de 2010 pola que se crea o Rexistro de Convenios e Acordos Colectivos de Traballo da Comunidade Autónoma de Galicia.
Este órgano de dirección periférico é competente para resolver en materia de rexistro de convenios e acordos colectivos de traballo e plans de igualdade no seu ámbito territorial, ao abeiro do Decreto 147/2024, do 20 de maio, polo que se establece a estrutura orgánica da Consellería de Emprego, Comercio e Emigración, polo que, consonte o anterior,
RESOLVO:
1. Inscribir o acordo da comisión negociadora do convenio colectivo provincial da Coruña para o sector de carpintería e ebanistería, referido ao calendario laboral para o ano 2026, no rexistro de convenios e acordos colectivos de traballo da Comunidade Autónoma de Galicia.
2. Ordenar que se remita ao Boletín Oficial da Provincia da Coruña para a súa publicación.
A Coruña, 29 de outubro de 2025.
O director territorial.
Juan José Couce Prego.
SEPTIMA ACTA DE LA COMISION MIXTA.
En A Coruña, siendo la una horas del día 24 de octubre de 2025, en la sede de la Confederación de Empresarios de A Coruña, sito en el Plaza Luis Seoane, se reúnen por parte:
POR LA PARTE SOCIAL.
CCOO:
Ricardo O. Santos Reiriz.
UGT:
Santiago González Andión.
POR LA PARTE EMPRESARIAL
ASOCIACIÓN PROVINCIAL DE EMPRESAS DE CARPINTERIA Y EBANISTERIA DE LA PROVINCIA DE A CORUÑA.
Claudio Santos Castro.
Mercedes Pérez Freire.
Delia Ares Díaz.
Paula Paz Rama.
Elena Piñeiro Dacoba.
Tamara Fernández Arostegui.
Beatriz Regos Concha (Asesora).
Realiza las funciones de Secretaria Doña Beatriz Regos Concha.
Las partes acuerdan que los días de exceso de jornada en el calendario laboral para el año 2026, que son 8, de conformidad con el art. 20 del Convenio serán los siguientes:
2, 5 de enero.
16 y 17 febrero.
20 de marzo.
7, 24 y31 de diciembre.
Realiza las funciones de Secretaria Doña Beatriz Regos Concha.
Las partes acuerdan que los días de exceso de jornada en el calendario laboral para el año 2026, que son 8, de conformidad con el art. 20 del Convenio serán los siguientes:
2, 5 de enero.
16 y 17 febrero.
20 de marzo.
7, 24 y31 de diciembre.
Para el supuesto de que coincida el festivo de convenio con el festivo local, se pasará el festivo de convenio al día laboral anterior, salvo acuerdo en la empresa en otro sentido.
En caso de cambio de normativa, respecto de la jornada máxima anual, la Comisión Mixta se reunirá y adaptará el presente calendario.
Que ambas partes acuerdan delegar al personal del Consello Galego de Relacións Laborais para su depósito y registro.
Y siendo la una horas y treinta minutos de la fecha anteriormente señalada, se levanta la sesión de la cual yo, como Secretaria, doy fe.
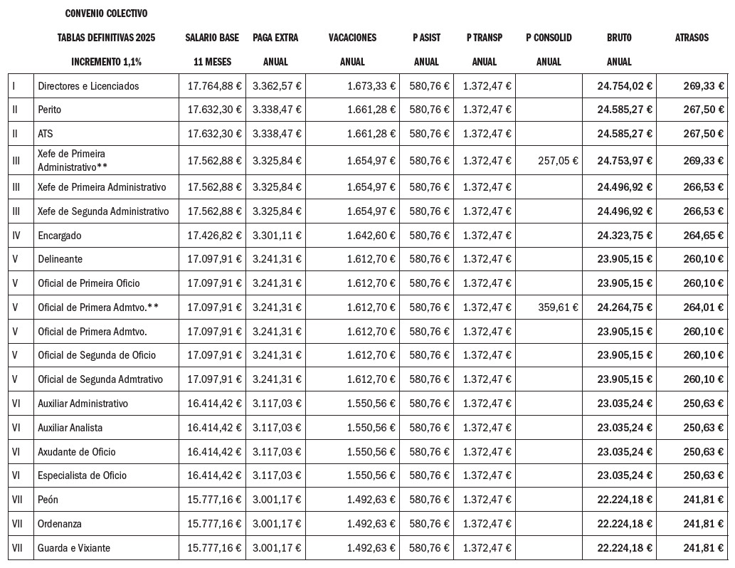
REVISIÓN SALARIAL (BOP NÚMERO 39 – VIERNES, 27 DE FEBRERO DE 2026)
Servizo de Emprego, Relacións laborais, Traballo Autónomo e Economía Social Resolución de inscrición e publicación das táboas salariais definitivas para o ano 2025 do convenio colectivo provincial para o sector de carpintería e ebanistería da Coruña.
O 28 de xaneiro de 2026 tivo entrada no rexistro de acordos e convenios colectivos de traballo da Comunidade Autónoma de Galicia (REGCON) a solicitude de inscrición da acta da comisión negociadora do Convenio colectivo provincial para o sector de Carpintería e Ebanistería da Coruña pola que se aproban as táboas salariais definitivas para o ano 2025 (código de convenio 15000805011982).
O Departamento Territorial de Emprego, Comercio e Emigración da Coruña é competente para resolver en materia de rexistro de convenios e acordos colectivos de traballo, segundo o disposto no Decreto 147/2024, do 20 de maio, polo que se establece a estrutura orgánica da Consellería de Emprego, Comercio e Emigración (DOG núm. 101, do 27 de maio de 2024), de xeito que, despois de que persoal deste órgano directivo territorial revisase a documentación, RESOLVO:
1. Inscribir a acta da comisión negociadora do Convenio colectivo provincial para o sector de Carpintería e Ebanistería da Coruña pola que se aproban as táboas salariais definitivas para o ano 2025 no rexistro de convenios e acordos colectivos de traballo da Comunidade Autónoma de Galicia.
2. Ordenar que se remita, para a súa publicación, ao boletín oficial da provincia da Coruña.
A Coruña, 20 de febreiro de 2026.
O director territorial.
Juan José Couce Prego.
OCTAVA ACTA DE LA COMISION MIXTA.
En A Coruña, siendo las 16 horas del día 27 de enero de 2026, en la sede de la Confederación de Empresarios de A Coruña, sito en el Plaza Luis Seoane, se se reúne la Comisión Paritaria del Convenio Colectivo de Carpintería de la Provincia de A Coruña.
POR LA PARTE SOCIAL.
CCOO:
· Ricardo O. Santos Reiriz.
UGT:
· Santiago González Andión.
POR LA PARTE EMPRESARIAL ASOCIACIÓN PROVINCIAL DE EMPRESAS DE CARPINTERIA Y EBANISTERIA DE LA PROVINCIA DE A CORUÑA.
· Claudio Santos Castro.
· Mercedes Pérez Freire.
· America Fenández Vazquez.
· Paula Paz Rama (telemáticamente).
· Elena Piñeiro Dacoba (telemáticamente).
· Beatriz Regos Concha (Asesora).
Realiza las funciones de Secretaria Doña Beatriz Regos Concha.
Las partes acuerdan las tablas salariales definitivas del año 2025, de conformidad con el art.4 del Convenio Colectivo, que se recogen a continuación:
Que ambas partes acuerdan delegar al personal del Consello Galego de Relacións Laborais para su depósito y registro.
Las dos personas que asisten telemáticamente delegan su firma en el Presidente de la Asociación, Don Claudio Santos.
Y siendo las 17 horas de la fecha anteriormente señalada, se levanta la sesión de la cual yo, como Secretaria, doy fe.
