CONVENIO COLECTIVO (BOP Núm. 55 – Lunes, 9 de mayo de 2022)
RESOLUCIÓN DE LA OFICINA TERRITORIAL DE TRABAJO DE SEGOVIA POR LA QUE SE ACUERDA LA INSCRIPCIÓN Y PUBLICACIÓN DEL CONVENIO COLECTIVO PARA LAS EMPRESAS DEL SECTOR DE PANADERÍA BOLLERÍA Y PASTELERÍA AÑOS 2021, 2022, 2023, 2024 Y 2025 DE SEGOVIA.
VISTO el texto del convenio de las EMPRESAS DEL SECTOR DE PANADERÍA BOLLERÍA Y PASTELERÍA , Código de Convenio 40000295011981 para los años 2021-2025; suscrito por la Comisión Negociadora: de una parte por la representación de Asociación Provincial de Fabricantes y Expendedores de Pan de Segovia y de otra por la parte social representantes de las Centrales sindicales Comisiones Obreras CCOO Industria y Unión de Trabajadores UGT-FICA CyL., y de conformidad con lo dispuesto en el art. 90.2 del Estatuto de los Trabajadores, Texto Refundido aprobado por Real Decreto Legislativo 2/2015, de 23 de octubre, en el Real Decreto 713/2010, de 28 de mayo, sobre registro y depósito de convenios y acuerdos colectivos de trabajo, en el RD 831/95 de 30 de mayo sobre traspaso de funciones y servicios de la Administración de Estado a la Comunidad de Castilla y León y en la Orden de 12 de septiembre de 1997 de la Consejería de Industria, Comercio y Turismo por la que se crea el Registro de Convenios colectivos de la Comunidad de Castilla y León.
Esta Jefatura de la Oficina Territorial de Trabajo
ACUERDA
PRIMERO. Ordenar su inscripción en el Registro de Convenios, con notificación a la Comisión Negociadora.
SEGUNDO. Proceder a su depósito en el órgano competente.
TERCERO. Disponer su publicación obligatoria y gratuita en el Boletín Oficial de la Provincia.
Segovia, a 22 de abril de 2022.- La Jefa de la Oficina Territorial de Trabajo, Raquel Alonso Pérez.
CONVENIO COLECTIVO PROVINCIAL PARA EMPRESAS Y TRABAJADORES/AS DEL SECTOR DE PANADERÍA BOLLERÍA Y PASTELERÍA AÑOS 2021, 2022, 2023, 2024 Y 2025 DE SEGOVIA.
El presente convenio está suscrito, de una parte, por los representantes Empresariales Asociación Provincial de Fabricantes y Expendedores de Pan de Segovia y de otra por la parte social representantes de las Centrales sindicales Comisiones Obreras CCOO Industria y Unión de Trabajadores UGT-FICA CyL.
Acuerdan que en virtud del cumplimiento y vigilancia del presente convenio la comisión negociadora presente y firmante deberá mediar, conciliar o arbitrar conociendo y tratando de dar solución a cuantas cuestiones y conflictos individuales o colectivos les sean sometidas por las partes y específicamente los establecidos en el artículo 82.3 del Estatuto de los trabajadores y trabajadoras.
Del mismo modo para resolver las discrepancias surgidas en el seno de la comisión y en caso de no alcanzar acuerdo las partes se someterán al Servicio de Relaciones Laborales De Castilla León (SERLA).
ARTICULO 1.º ÁMBITO FUNCIONAL.
El presente convenio afectará a todas las empresas y trabajadores/as del sector de panadería, bollería, pastelería y repostería, artesanal e industrial, así como fabricación de productos afines, comercialización y transformación, que ejercen su actividad dentro del ámbito geográfico de la provincia de Segovia.
ARTICULO 2.º ÁMBITO TEMPORAL.
Cualquiera que sea la fecha de su publicación en el Boletín Oficial correspondiente, el Convenio surtirá efectos a partir del día 1 de julio de 2021 y con carácter retroactivo desde la fecha para los conceptos y subidas salariales hasta el 31 de diciembre de 2021. La vigencia será del año 2021 al 31 de diciembre de 2025.
La denuncia del convenio se producirá a la fecha de su vencimiento, poniéndolo en conocimiento de la otra parte y de la autoridad laboral. Una vez concluida su vigencia, según contenidos tendrá una vigencia de ultra actividad no solo en texto sino también en los anexos, hasta la publicación de un nuevo convenio.
ARTICULO 3.º DE LA CONTRATACIÓN.
Se estará a lo regulado en el Estatuto de los trabajadores, o legislación vigente.
Y ninguna categoría cobrará por debajo del SMI independientemente del tipo de contrato.
ARTICULO 4.º CLASIFICACIÓN PROFESIONAL.
Se deja libertad para que las empresas y trabajadores/as del sector, dentro del ámbito organizativo de cada una de ellas, establezcan un sistema de clasificación profesional de los trabajadores/as por medio de categorías o grupos profesionales, sin perjuicio de la clasificación profesional que se establece en este convenio. Asimismo, las empresas y sus trabajadores/as gozarán de plena libertad para pactar los términos del ejercicio de promoción y formación profesional en el trabajo.
ARTICULO 5.º SALARIO.
Para el año 2021 se aplicará la actualización de las tablas hasta julio y posteriormente desde Septiembre se actualizará las tablas más un 1%.
Para 2022 se añade otro 1,5%.
Para 2023 se añade 2%.
Para 2024 se añade 3%.
Para 2025 se añade 3,5%.
En el momento que el salario mínimo sobrepase los 1.100 euros, las partes representantes se juntarán para valorar las tablas.
Se regularizarán todas las categorías y salarios que estén por debajo del S.M.I.
ARTICULO 6.º PLUS DE TRANSPORTE.
Los trabajadores y trabajadoras a los que afecte el presente convenio no tendrán retribución, ni plus, por transporte; respetando los derechos adquiridos por los trabajadores y trabajadoras que se señalan en el convenio de los años 1999, 2000, 2001 y 2002.
Los trabajadores y trabajadoras a los que afecte el presente convenio, percibirán una dieta/ayuda de 0,19.- euros/Km, computando la distancia desde el domicilio hasta el centro de trabajo, con un máximo de 16 kilómetros por día trabajado.
ARTICULO 7.º PAGAS EXTRAORDINARIAS.
Los trabajadores y trabajadoras afectados por el presente convenio tienen derecho a percibir tres gratificaciones extraordinarias completas en la cuantía que se señala para las distintas categorías profesionales. Las pagas tendrán el siguiente devengo: la de julio, del 1 de enero al 30 de junio; la de diciembre, del 1 de julio al 31 de diciembre; y la de mayo, del 1 de enero al 31 de diciembre del año anterior.
ARTICULO 8.º HORAS EXTRAORDINARIAS.
En el supuesto de necesidad de prestación de horas extraordinarias, previo cumplimiento de la normativa vigente, éstas se abonarán de acuerdo con la siguiente fórmula:
ARTICULO 9.º JORNADA LABORAL.
Se respeta la organización interna de las empresas en cuanto a la fijación de turnos de trabajo.
No obstante, la jornada máxima para todos los trabajadores y trabajadoras será la de 40 horas semanales. Dicha jornada, en cálculo anual, supone un total de 1794 horas efectivas, reducción en 4 horas la jornada del anterior convenio.
Se establece la posibilidad de que la empresa, en beneficio de la productividad y atención del mercado, fije una distribución irregular de la jornada a lo largo del año del 10%. Se respetará lo marcado por el Estatuto de los Trabajadores en caso de que marque una distribución inferior.
Dicha distribución deberá respetar en todo caso los períodos mínimos de descanso diario y semanal previstos en la Ley y el trabajador o trabajadora deberá conocer con un preaviso mínimo de dos días el día y la hora de la prestación de trabajo resultante de aquélla.
La compensación de las diferencias por exceso o por defecto deberá quedar compensadas en el plazo de doce meses desde que se produzcan.
Entre el final de una jornada y el comienzo de la siguiente mediarán, como mínimo doce horas.
El número de horas ordinarias de trabajo efectivo no podrá ser superior a 8 h y por aplicación de flexibilidad no más de una hora más o una menos de la jornada (y no 10 como marcaba el anterior convenio). Respetando en todo caso el descanso entre jornadas.
Los trabajadores y trabajadoras menores de dieciocho años no podrán realizar más de ocho horas diarias de trabajo efectivo, incluyendo, en su caso, el tiempo dedicado a la formación y, si trabajasen para varios empleadores, las horas realizadas con cada uno de ellos.
Se establece un descanso semanal de día y medio (36 horas). En aquellas empresas que así se pacte entre la representación empresarial y la representación de los trabajadores, se podrá para mejor organización del día y medio de descanso semanal, llevar a cabo la implantación de un descanso a la semana de un día, y otro descanso compensatorio, cada semana alterna, de otro día. Todo ello sin perjuicio de que cada empresa, junto con sus trabajadores y trabajadoras, pueda regular este descanso de conformidad con su organización interna.
Se tendrá derecho a la desconexión digital al finalizar la jornada.
Para aquellos trabajadores y trabajadoras que realicen jornada completa y continuada, se establece un periodo de descanso para el almuerzo de 15 minutos retribuidos.
ARTICULO 10.º VACACIONES.
El periodo vacacional anual para los trabajadores y trabajadoras afectados por el convenio será de 30 días naturales, que serán retribuidos con arreglo a salario base y que podrán dividirse en dos periodos de 15 días. Ninguno de estos periodos se podrá fijar en los momentos de mayor actividad de la empresa, periodo que será fijado por el empresario a requerimiento de los trabajadores y trabajadoras.
Las fechas de su disfrute serán fijadas por acuerdo entre la empresa y las personas trabajadoras con dos meses de anticipación y según lo dispuesto en el Estatuto de los Trabajadores. Se establecerá el calendario de vacaciones antes del primer trimestre del año en curso.
En caso de desacuerdo y previa comunicación por escrito de ambas partes en el periodo que les compete los trabajadores y trabajadoras tendrán derecho a fijar un periodo de 15 días para el disfrute de las mismas, quedando facultada la empresa para fijar el otro período de vacaciones.
En ningún caso se podrán iniciar las vacaciones en día no laborable o estando de baja por enfermedad. El personal que cese en el transcurso del año tendrá derecho a la parte proporcional de las vacaciones según el número de días trabajados.
ARTICULO 11.º MOVILIDAD FUNCIONAL Y GEOGRÁFICA.
Siempre que la empresa alegue motivos organizativos o técnicos podrá requerir a cualquier trabajador o trabajadora la realización de funciones de inferior o superior categoría, conforme a lo estipulado en el Estatuto de los Trabajadores. La negativa del trabajador o trabajadora podrá ser sancionada como falta grave o muy grave.
Todas las personas trabajadoras a requerimiento de la empresa y con los acuerdos pertinentes entre ambos, se incorporarán al centro de trabajo que la empresa designe dentro del territorio provincial, en los términos establecidos en el Estatuto de los Trabajadores.
ARTICULO 12.º IGUALDAD DE TRATO Y OPORTUNIDADES.
El presente convenio es de aplicación en estricta igualdad a todos los trabajadores y trabajadoras.
Todas las referencias, derechos y obligaciones que aparecen en el mismo y se regulan van dirigidos en absoluta igualdad con independencia del sexo, orientación sexual, raza y cualesquiera rasgos individuales bien físicos o ideológicos. Solo se admiten aplicables las normas y principios jurídicos de discriminación positiva que se ajusten a la ley.
Todas las empresas afectadas por el presente convenio colectivo, sea cual sea su tamaño y todas las personas incluidas en su ámbito de aplicación, están obligados a cumplir el principio de igualdad de trato entre hombres y mujeres y a desarrollar en su centro de trabajo cuantas medidas sean necesarias para favorecer la igualdad de trato y de oportunidades.
ARTICULO 13.º RACIÓN DE PAN.
Todos los trabajadores y trabajadoras del sector de panadería podrán ejercitar el derecho a percibir 250 grs. de pan por unidad familiar del trabajador/a y día, y a partir de esta cantidad se abonará el 50% de precio establecido.
ARTICULO 14.º LICENCIA RETRIBUIDA.
Los trabajadores y trabajadoras podrán faltar al trabajo, sin pérdida de su retribución, por cualquiera de los motivos previstos en el Estatuto de los Trabajadores; aumentándose un día más de los previstos en el artículo 37.3 que se reproducen exclusivamente para los trabajadores cuya jornada laboral comience entre las veintidós horas y las 4 horas de la madrugada, siempre que siendo posible exista preaviso a la empresa. El artículo 37 del Estatuto de los trabajadores recoge:
«3. El trabajador o trabajadora previo aviso y justificación, podrá ausentarse del trabajo, con derecho a remuneración, por alguno de los motivos y por el tiempo siguiente:
a) Quince días naturales en caso de matrimonio o acreditación y formalización de pareja de hecho que legalmente este acreditado.
b) Dos días en caso de accidente o enfermedad grave, operación o cuidados domiciliados debidamente acreditados, hospitalización o intervención quirúrgica sin hospitalización que precise reposo domiciliario, de parientes hasta el segundo grado de consanguinidad o afinidad del trabajador o trabajadora o de su cónyuge; mientras exista el hecho causante podrán ser disfrutados alternamente para favorecer la conciliación familiar. Si se precisa un desplazamiento superior de 100 kilómetros la licencia previa justificación y mientras persista el hecho causante podrá ampliarse hasta un máximo de 4 días.
En caso de nacimiento de hijo o hija, se aplicará la nueva normativa para los permisos de nacimiento y cuidado del menor que aplica la ley de igualdad, conciliación y equiparación de derechos.
Tres días por fallecimiento de un familiar hasta segundo grado de consanguinidad o afinidad del trabajador/a o de su cónyuge. En caso de que precise desplazamiento superior a 100 kilómetros se ampliará dos días más hasta un máximo de 4.
Las licencias por fallecimiento u hospitalización serán aplicadas desde el primer día laboral del trabajador/a desde el hecho causante.
c) Un día por traslado del domicilio habitual Así mismo tendrán derecho:
d) Por el tiempo necesario para acudir al médico o especialista de la Seguridad Social con previo aviso y posterior justificación, con derecho a remuneración y siempre que no exista abuso o mala fe por parte del trabajador/a en un mal uso de la licencia médica.
Por el tiempo indispensable, para el cumplimiento de un deber inexcusable de carácter público y personal, comprendido el ejercicio del sufragio activo. Cuando conste en una norma legal o convencional un período determinado, se estará a lo que ésta disponga en cuanto a duración de la ausencia y a su compensación económica.
Cuando el cumplimiento del deber antes referido suponga la imposibilidad de la prestación del trabajo debido en más del 20 por 100 de las horas laborables en un período de tres meses, podrá la empresa pasar al trabajador o trabajadora afectado o afectada a la situación de excedencia regulada en el apartado 1 del artículo 46 de esta Ley.
En el supuesto de que el trabajador, trabajadora por cumplimiento del deber o desempeño del cargo, perciba una indemnización, se descontará el importe de la misma del salario a que tuviera derecho en la empresa.
e) Para realizar funciones sindicales o de representación del personal en los términos establecidos legal o convencionalmente.
f) Por el tiempo indispensable para la realización de exámenes prenatales y técnicas de preparación al parto que deban realizarse dentro de la jornada de trabajo.
Las parejas de hecho tendrán el mismo reconocimiento de licencias retribuidas.
ARTICULO 15.º OTROS DERECHOS.
Las personas trabajadoras por lactancia de un hijo menor de nueve meses, tendrán derecho a una hora de ausencia del trabajo, que podrán dividir en dos fracciones. La duración del permiso se incrementará proporcionalmente en los casos de parto múltiple.
El trabajador/a, por su voluntad, podrá sustituir este derecho por una reducción de su jornada en media hora con la misma finalidad o acumularlo en jornadas completas en los términos previstos en la negociación colectiva o en el acuerdo a que llegue con el empresario respetando, en su caso, lo establecido en aquélla.
Este permiso será disfrutado por la madre y el padre en caso de que ambos trabajen.
En los casos de nacimientos de hijos/as prematuros/as o que, por cualquier causa, deban permanecer hospitalizados a continuación del parto, la madre o el padre tendrán derecho a ausentarse del trabajo durante una hora. Asimismo, tendrán derecho a reducir su jornada de trabajo hasta un máximo de dos horas, con la disminución proporcional del salario.
Quien por razones de guarda legal tenga a su cuidado directo algún menor de doce años o una persona con discapacidad física, psíquica o sensorial, que no desempeñe una actividad retribuida, tendrá derecho a una reducción de la jornada de trabajo, con la disminución proporcional del salario entre, al menos, un octavo y un máximo de la mitad de la duración de aquélla. Tendrá el mismo derecho quien precise encargarse del cuidado directo de un familiar, hasta el segundo grado de consanguinidad o afinidad, que por razones de edad, accidente o enfermedad no pueda valerse por sí mismo, y que no desempeñe actividad retribuida.
La reducción de jornada contemplada en el presente apartado constituye un derecho individual de las personas trabajadoras, hombres o mujeres. No obstante, si dos o más trabajadores/as de la misma empresa generasen este derecho por el mismo sujeto causante, el empresario podrá limitar su ejercicio simultáneo por razones justificadas de funcionamiento de la empresa.
La concreción horaria y la determinación del período de disfrute del permiso de lactancia y de la reducción de jornada, corresponderá al trabajador/a, dentro de su jornada ordinaria. El trabajador/a deberá preavisar al empresario con quince días de antelación la fecha en que se reincorporará a su jornada ordinaria.
Las discrepancias surgidas entre empresario y trabajador/a sobre la concreción horaria y la determinación de los períodos de disfrute anteriores serán resueltas por la jurisdicción competente a través del procedimiento establecido en el artículo 139 de la Ley de la Jurisdicción Social, Ley 36/2011.
La trabajadora o trabajador víctima de violencia de género tendrá derecho, para hacer efectiva su protección o su derecho a la asistencia social integral, a la reducción de la jornada de trabajo con disminución proporcional del salario o a la reordenación del tiempo de trabajo, a través de la adaptación del horario, de la aplicación del horario flexible o de otras formas de ordenación del tiempo de trabajo que se utilicen en la empresa.
Estos derechos se podrán ejercitar en los términos que para estos supuestos concretos se establezcan en los convenios colectivos o en los acuerdos entre la empresa y los representantes de los trabajadores, o conforme al acuerdo entre la empresa y la persona trabajadora afectada. En su defecto, la concreción de estos derechos corresponderá a la persona trabajadora, siendo de aplicación las reglas establecidas en el apartado anterior, incluidas las relativas a la resolución de discrepancias.
ARTICULO 16.º ROPA DE TRABAJO.
Las empresas harán entrega a sus trabajadores y trabajadoras de dos equipos de ropa de trabajo por año. A los repartidores, chóferes, etc, que efectúan trabajo en el exterior se les dotará de las prendas necesarias.
ARTICULO 17.º DEMORA EN LA PERCEPCIÓN DE SALARIOS.
Cualquier demora en la percepción de salarios o conceptos retributivos, dará derecho a la percepción por parte de los trabajadores y trabajadoras de un recargo global del interés legal del dinero a partir del primer día del segundo mes de retraso.
ARTICULO 18.º RECIBOS DE SALARIOS.
Las empresas deberán entregar a cada trabajador/a el recibo de salarios en modelo oficial donde figuren todos los conceptos salariales o retributivos, así como los descuentos aplicados. Deberá de figurar la antigüedad, categoría profesional y la mensualidad o periodo que corresponda.
ARTICULO 19.º DERECHOS ADQUIRIDOS.
Las mejoras pactadas en el presente convenio se entienden con el carácter de mínimas, por lo que cualquier acuerdo, pacto o convenio particular que pudieran tener concertado las empresas con sus trabajadores o trabajadoras que suponga mejora sobre el presente, será respetado en su integridad.
ARTICULO 20.º ABSORCIÓN Y COMPENSACIÓN.
Las retribuciones establecidas en el presente convenio compensarán y absorberán todas las existentes en el momento de su entrada en vigor, cualquiera que sea la naturaleza y origen de las mismas, computadas en su conjunto anual.
ARTICULO 21.º DÍAS FESTIVOS INTERSEMANALES.
Los días festivos nacionales, locales o autonómicos que no puedan ser disfrutados por razones del servicio, deberán ser compensados en el plazo máximo de tres meses. En el supuesto de imposibilidad de disfrute durante el citado plazo, deberán ser abonados como si de horas extraordinarias se tratara.
ARTICULO 22.º DE LAS FALTAS.
Las faltas cometidas por los trabajadores o trabajadoras al servicio de la empresa se clasificarán atendiendo a su importancia en leves, graves y muy graves.
A) Son faltas leves: Las de puntualidad, las discusiones con los compañeros y compañeras de trabajo, las faltas de aseo o limpieza, el no comunicar con antelación, pudiendo hacerlo, la falta de asistencia al trabajo y cualquier otra de naturaleza análoga.
Se entiende por falta de puntualidad el retraso de más de cinco veces en la entrada al trabajo o si el total de los retrasos totalizan más de 1 hora y 30 minutos al mes.
B) Son faltas graves: Las cometidas contra la disciplina del trabajo o contra el respeto debido a superiores, compañeros/as y subordinados/as; simular la presencia de otro trabajador o trabajadora; ausentarse del trabajo sin licencia dentro de la jornada laboral; fingir enfermedad o pedir permiso alegando causas no existentes; en general, la violaciones graves de la buena fe contractual y las reincidencias en faltas leves dentro del término de tres meses.
C) Son faltas muy graves: El acoso sexual, el fraude, hurto o robo, tanto a la empresa como a los compañeros/as de trabajo; los malos tratos de palabra y obra o falta grave de respeto y consideración a los jefes o a sus familiares y a los compañeros/as o subordinados/as; la violación de secretos de la empresa; la embriaguez; la inobservancia de las medidas de seguridad e higiene en el trabajo; la reincidencia en faltas graves dentro del término de un año; y la retirada del permiso de conducir por sanción (administrativa o judicial) por causa de alcoholemia, drogas o sustancias sicotrópicas o por conducir de forma imprudente.
ARTICULO 23.º DE LAS SANCIONES.
Las sanciones que procederá imponer en cada caso, según las faltas cometidas, serán las siguientes:
A) Por faltas leves: Amonestación escrita o suspensión durante un día de trabajo y sueldo.
B) Por faltas graves: Suspensión de empleo y sueldo de dos a quince días.
C) Por faltas muy graves: Suspensión de empleo y sueldo de quince a sesenta días, o despido.
La retirada administrativa o judicial del permiso de conducir llevará aparejada la suspensión de empleo y sueldo del trabajador/a afectado/a por el mismo periodo que aquel a que se concrete la retirada, siempre que el trabajador/a tenga la categoría de chofer-repartidor/a. No obstante lo anterior cuando esa retirada se produzca como consecuencia de haber ingerido bebidas alcohólicas, drogas u sustancias sicotrópicas, así como por conducir de forma imprudente y/o temeraria, podrá la empresa considerar estos hechos como falta muy grave.
La carencia del carné de manipulador supondrá la suspensión automática del contrato de trabajo hasta su renovación u obtención. Los gastos ocasionados con motivo de la acreditación, actualización y/o formación de los manipuladores de alimentos serán por cuenta de la empresa.
ARTICULO 24.º TABLÓN DE ANUNCIOS.
Las empresas pondrán a disposición de los trabajadores y trabajadoras un lugar adecuado para sus reuniones y el ejercicio de sus derechos sindicales, así como un tablón de anuncios para fijar la propaganda sindical, laboral e informaciones de interés para los mismos.
ARTICULO 25.º REUNIÓN DE LA SECCIÓN SINDICAL CON PRESENCIA DE DIRIGENTES SINDICALES.
Las empresas permitirán reuniones a los/as afiliados/as a una Sección Sindical, fuera de las horas de trabajo. A dichas reuniones podrá acudir, previa acreditación ante la empresa, un responsable de la Central Sindical. Si la reunión tuviere lugar en local de la propia empresa, ésta al dar su consentimiento, fijará el tiempo límite.
ARTICULO 26.º TIEMPO NO RETRIBUIDO.
Cada Sección Sindical dispondrá para el conjunto de los trabajadores y trabajadoras afiliados o afiladas de cinco días naturales al año, no retribuidos, para atender cuestiones propias de su competencia, con solicitud previa a la empresa y siempre dejando a salvo los intereses primarios de la producción.
ARTICULO 27.º TIEMPO RETRIBUIDO PARA EL COMITE DE EMPRESA.
Los delegados/as de personal y miembros del Comité de Empresa, dispondrán en cada centro de trabajo y para el ejercicio de sus funciones de representación, los siguientes tiempos:
Hasta 100 trabajadores/as ……………………………………… 15 horas mensuales.
De 101 a 250 trabajadores/as …………………………………. 20 horas mensuales.
De 251 a 500 trabajadores/as …………………………………. 30 horas mensuales.
De 501 a 750 trabajadores/as …………………………………. 35 horas mensuales.
De 751 trabajadores/as en adelante ………………………… 40 horas mensuales.
ARTICULO 28.º EXCEDENCIAS.
A las personas trabajadoras que soliciten excedencia con ocasión de ocupar un cargo sindical de carácter local, provincial, autonómico o nacional, se les exceptúa del periodo mínimo de permanencia en la empresa. Esta excedencia durará tanto como el tiempo de permanencia en el cargo, respetándose el puesto de trabajo. Las empresas, en estos supuestos, podrán contratar personal sustituto en los términos contenidos en la ley.
ARTICULO 29.º LOCAL DE LOS DELEGADOS Y DELEGADAS DE PERSONAL.
Las empresas facilitarán un local al delegado o delegada de personal o miembro del comité de empresa. Este local será adecuado a sus necesidades y en consonancia con las posibilidades de la empresa. Dicho delegado o delegada podrá hacer uso del mismo tanto fuera como dentro de las horas de trabajo. Cuando lo sea fuera, deberá de contar con autorización de la empresa, quedando fijado el tiempo límite en dos horas. En todo caso, las empresas se reservan el derecho a verificar el uso que se hace del local.
ARTICULO 30.º GARANTÍAS DE LOS DELEGADOS Y DELEGADAS DE PERSONAL.
Las garantías establecidas para los miembros del Comité de Empresa o Delegados/as de Personal, se mantendrán hasta dos años después del cese de los mismos.
ARTICULO 31.º JUBILACIÓN ANTICIPADA.
Los trabajadores y trabajadoras afectados por el presente convenio podrán anticipar su edad de jubilación de acuerdo con la normativa vigente en cada momento.
ARTICULO 32.º RECONOCIMIENTO MÉDICO.
El empresario/a garantizará a los trabajadores y trabajadoras a su servicio la vigilancia periódica de su estado de salud en función de los riesgos inherentes al trabajo, en los términos previstos en el artículo 22 de la Ley de Prevención de Riesgos Laborales.
La información recogida como consecuencia de esta vigilancia, tal y como se prevé en la Ley, respetará, siempre, el derecho a la intimidad y dignidad de la persona trabajadora y la confidencialidad de toda la información relacionada con su estado de salud.
ARTICULO 33.º DESCUELGUE Y MODIFICACIÓN SUSTANCIAL DE CONDICIONES DE TRABAJO.
Las empresas cuya estabilidad económica pudiera verse dañada como consecuencia de la aplicación del régimen salarial del presente convenio, podrán solicitar su no aplicación con arreglo al siguiente procedimiento:
Solicitarán su no aplicación a la Comisión Paritaria, indicando las causas motivadas adjuntando las cuentas de los dos ejercicios sociales anteriores, el último balance del ejercicio en vigor y un plan de viabilidad.
La Comisión Paritaria determinará en resolución motivada y por votación secreta de la mayoría de sus miembros, en un plazo no superior a 15 días, sobre su aplicación o no, el tiempo que debe durar y el plazo máximo para la reincorporación al convenio, en su caso.
En el caso de que la Comisión paritaria no obtenga la resolución por empate de votos de sus miembros, se someterá la decisión a Laudo Arbitral.
ARTICULO 34.º CATEGORÍAS PROFESIONALES.
Se establece expresamente que el trabajo que se desarrolla en el obrador de la panadería es un trabajo de equipo, por lo que cualquiera de los trabajadores/as podrá ser llamado a desarrollar trabajos de distinta categoría en ayuda de sus compañeros/as, y cuando su trabajo propio se lo permita, a fin de poderse llegar a una mejor racionalización del trabajo, tendente a una deseable reducción de la jornada laboral.
En consecuencia de lo anterior, se establece que los trabajadores y trabajadoras afectados/ as por el presente convenio estarán clasificados en las siguientes categorías: (En el Anexo 2 del Convenio Colectivo de 1995 figura la concordancia de las nuevas categorías con las antiguas del año 1994).
A) Técnicos:
– Jefe/a de Fabricación.
– Jefe/a Administrativo/a.
– Jefe/a de Ventas.
– Jefe/a de Taller Mecánico.
B) Personal Administrativo:
– Oficial Administrativo/a.
– Auxiliar Administrativo/a
– Aprendiz Administrativo/a.
C) Personal de Elaboración:
– Encargado/a.
– Oficial de 1.ª.
– Oficial de 2.ª.
– Ayudante de elaboración.
– Aprendiz/a.
D) Personal Mercantil:
– Encargado/a.
– Vendedor/a.
– Ayudante de vendedor.
– Aprendiz/a.
E) Personal complementario:
– Mecánico/a de 1.ª.
– Mecánico/a de 2.ª
– Chófer-Repartidor/a.
– Peón/a.
– Limpiador/a.
– Aprendiz/a.
ARTICULO 35.º DEFINICIÓN DE LAS CATEGORÍAS.
A) Personal Técnico:
– Jefe/a de fabricación: Es el empleado/a que con mando y responsabilidad cuida de todo el proceso de fabricación, siguiendo las directrices de la dirección de la empresa.
– Jefe Administrativo/a: Es el empleado/a que con la dependencia del Director General de la empresa, es el/la responsable de la gestión administrativa de la empresa.
– Jefe/a de Ventas: Es el empleado/a que cuida y organiza toda la gestión de las ventas de la empresa, siguiendo las directrices de la dirección de la misma.
– Jefe/a de Taller Mecánico: Es el empleado/a que cuida y organiza y se responsabiliza del perfecto estado de todas las instalaciones de la empresa y de la maquinaria, siguiendo las directrices de la dirección de la empresa.
B) Personal Administrativo:
– Oficial Administrativo/a: Es el empleado/a que bajo las órdenes del Director/a General o del Jefe/a Administrativo/a, realiza trabajos de carácter administrativo con iniciativa y responsabilidad.
– Auxiliar Administrativo/a: Es el empleado/a que se dedica a operaciones elementales administrativas bajo las órdenes del Oficial Administrativo/a o Jefe/a Administrativo/a.
– Aprendiz/a Administrativo/a: Es el empleado/a que sujeto a la empresa por un contrato de aprendizaje o de formación realiza las tareas simples de administración, colaborando con el resto del personal administrativo.
C) Personal de Elaboración:
– Encargado/a: Es el empleado/a que poseyendo los conocimientos técnicos de elaboración en todas sus fases, y bajo las órdenes inmediatas del Jefe/a de Fabricación o de la Dirección, controla y coordina el proceso productivo, colaborando en su realización y desempeñando las funciones de jefe/a de todo el personal de elaboración.
– Oficial 1.ª: Es el empleado/a que tiene a su cargo los trabajos de amasado, de elaboración de las distintas piezas y cocción de las mismas, cuidando el buen funcionamiento de la maquinaria, así como su limpieza. Asimismo, verificará la labor de los ayudantes y aprendices.
– Oficial 2.ª: Es el empleado/a cuya función consiste en los mismos cometidos que el Oficial 1.ª, con un grado de especialización menor, colaborando en la limpieza de la maquinaria, enseres y utensilios destinados a la producción.
– Ayudante/a: Es el empleado/a, no especializado que tiene la función de ayudar, indistintamente, al Oficial 1,ª al Oficial 2.ª, colabora en las tareas de almacén y contaduría de piezas elaboradas para su distribución.
– Aprendiz/a: Es el empleado/a que está ligado a la empresa con un contrato de formación o de aprendizaje, en cuya virtud el empresario/a se obliga a enseñarle, por sí o por otros, el oficio.
D) Personal Mercantil:
– Encargado/a: Es el empleado/a que bajo las órdenes inmediatas de la Dirección de la empresa o del Jefe/a de Ventas, está al frente de la sección y dirige la labor del personal de la misma, colaborando en las ventas y acabados, responsabilizándose de la buena marcha de las mismas y dando cuenta a la dirección de las diferentes vicisitudes.
– Vendedor/a: Es el empleado/a que efectúa las ventas y el cobro, así como el acabado de los diferentes productos que la empresa comercializa, en todos los centros de trabajo que tenga la misma, cuidando de la limpieza y pulcritud de los mismos.
– Ayudante de vendedor/a: Es el empleado/a que colabora con el vendedor/a y bajo la responsabilidad de éste, en la venta y atención a la clientela, así como en la manipulación y acabado de los diferentes productos que la empresa comercializa.
– Aprendiz/a: Es el empleado/a que está ligado a la empresa con una contrato de aprendizaje o de formación, realizando tareas simples y colaborando con los demás vendedores/as.
E) Personal Complementario:
– Mecánico/a 1.ª: Es el empleado/a que con mando y responsabilidad controla el buen funcionamiento de la maquinaria en general y sus reparaciones, siguiendo las órdenes del Jefe/a de Taller Mecánico o las directrices de la dirección de la empresa.
– Mecánico/a 2.ª: Es el empleado/a que, bajo las órdenes del Jefe/a del Taller Mecánico, del mecánico 1.ª o de la Dirección de la empresa realiza las reparaciones necesarias verificando las realizadas por otros profesionales.
– Chofer- Repartidor/a: Es el empleado/a que, con el correspondiente permiso de conducir, realiza las tareas de reparto entre los centros de producción y los de venta y colectivos.
– Peón: Es el empleado/a las tareas simples de producción, carga y descarga, almacenamiento y servicios, colaborando con los demás empleados/as.
– Limpiador/a: Es el empleado/a que realiza la limpieza del centro de trabajo y sus dependencias.
ARTICULO 36.º ANTIGÜEDAD.
Los trabajadores y trabajadoras a los que afecte el presente convenio no tendrán retribución ni plus por antigüedad, respetando la antigüedad consolidada conforme ya se estableció en el artículo 36 del Convenio Colectivo del año 1996.
ARTICULO 37.º COMISIÓN PARITARIA.
Además de la competencia propia de asuntos que afecten a la interpretación y aplicación del presente convenio, conocerán por vía de conciliación de todas las reclamaciones y asuntos que le sean sometidos por las partes, bien de forma individual y colectiva. En caso de acuerdo, éste se reflejará en acta y obligará a quien se halla sometido voluntariamente a la conciliación. Tanto si fuera posible el acuerdo, como si no lo fuera, la Comisión paritaria emitirá informe dentro de los quince días siguientes.
La comisión paritaria tendrá su sede en el domicilio de la Asociación Provincial de Fabricantes de Pan, Bollería y Pastelería de Segovia, sito en la C/ Infanta Isabel n.° 13 de Segovia.
La Comisión estará compuesta por, de una parte, dos miembros elegidos por las Centrales Sindicales que tengan representación sindical en el sector y, de otra parte, dos miembros elegidos por la Asociación Provincial de Fabricantes de Pan de Segovia, pudiendo nombrar cada parte un asesor/a con voz pero sin voto.
Una vez recibido el escrito inicial solicitando la intervención de la Comisión, se dará traslado a los miembros de la misma, con señalamiento para la reunión que tendrá lugar en un plazo no superior a 10 días. La Comisión dispondrá de un plazo de 15 días desde la reunión para emitir el correspondiente informe.
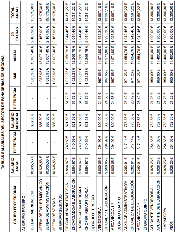
TABLAS.
REVISIÓN SALARIAL (BOP Núm. 100 – Viernes, 19 de agosto de 2022)
RESOLUCIÓN DE LA OFICINA TERRITORIAL DE TRABAJO DE SEGOVIA POR LA QUE SE ACUERDA LA INSCRIPCIÓN Y PUBLICACIÓN DE LAS TABLAS SALARIALES PARA EL AÑO 2022 DEL SECTOR DE PANADERÍAS EN PROVINCIA DE SEGOVIA.
VISTO el acuerdo de fecha 26 de julio de 2022 por el que se aprueban las Tablas Salariales para el año 2022 del sector de PANADERÍAS, Código de Convenio 40000295011981; suscrito por la Comisión Negociadora: de una parte por la representación de la patronal y de otra por las centrales sindicales CCOO Y UGT en representación de los trabajadores, y de conformidad con lo dispuesto en el art. 90.2 del Estatuto de los Trabajadores, Texto Refundido aprobado por Real Decreto Legislativo 2/2015, de 23 de octubre, Real Decreto 713/2010, de 28 de mayo, sobre registro y depósito de convenios y acuerdos colectivos de trabajo, en el RD 831/95 de 30 de mayo sobre traspaso de funciones y servicios de la Administración de Estado a la Comunidad de Castilla y León y en la Orden de 12 de septiembre de 1997 de la Consejería de Industria, Comercio y Turismo por la que se crea el Registro de Convenios colectivos de la Comunidad de Castilla y León.
Esta Jefatura de la Oficina Territorial de Trabajo
ACUERDA
PRIMERO.- Ordenar su inscripción en el Registro de Convenios, con notificación a la Comisión Negociadora.
SEGUNDO.- Proceder a su depósito en el órgano competente.
TERCERO.- Disponer su publicación obligatoria y gratuita en el Boletín Oficial de la Provincia.
Segovia, a 10 de agosto de 2022.- La Jefa de la Oficina Territorial de Trabajo, Raquel Alonso Pérez.
CORRECCIÓN TABLAS (BOP Núm. 106 – Viernes, 2 de septiembre de 2022)
RESOLUCIÓN DE LA OFICINA TERRITORIAL DE TRABAJO DE SEGOVIA POR LA QUE SE ACUERDA LA INSCRIPCIÓN Y PUBLICACIÓN DE LAS TABLAS SALARIALES PARA EL AÑO 2022 DEL SECTOR DE PANADERÍAS EN PROVINCIA DE SEGOVIA.
VISTO el acuerdo de fecha 26 de julio de 2022 por el que se aprueban las Tablas Salariales para el año 2022 del sector de PANADERÍAS, Código de Convenio 40000295011981; suscrito por la Comisión Negociadora: de una parte por la representación de la patronal y de otra por las centrales sindicales CCOO Y UGT en representación de los trabajadores, y de conformidad con lo dispuesto en el art. 90.2 del Estatuto de los Trabajadores, Texto Refundido aprobado por Real Decreto Legislativo 2/2015, de 23 de octubre, Real Decreto 713/2010, de 28 de mayo, sobre registro y depósito de convenios y acuerdos colectivos de trabajo, en el RD 831/95 de 30 de mayo sobre traspaso de funciones y servicios de la Administración de Estado a la Comunidad de Castilla y León y en la Orden de 12 de septiembre de 1997 de la Consejería de Industria, Comercio y Turismo por la que se crea el Registro de Convenios colectivos de la Comunidad de Castilla y León.
Esta Jefatura de la Oficina Territorial de Trabajo
ACUERDA
PRIMERO.- Ordenar su inscripción en el Registro de Convenios, con notificación a la Comisión Negociadora.
SEGUNDO.- Proceder a su depósito en el órgano competente.
TERCERO.- Disponer su publicación obligatoria y gratuita en el Boletín Oficial de la Provincia.
Segovia, a 10 de agosto de 2022.- La Jefa de la Oficina Territorial de Trabajo, Raquel Alonso Pérez.
REVISIÓN SALARIAL (BOP Núm. 96 – Viernes, 11 de agosto de 2023)
RESOLUCIÓN DE LA OFICINA TERRITORIAL DE TRABAJO DE SEGOVIA POR LA QUE SE ACUERDA LA INSCRIPCIÓN Y PUBLICACIÓN DE LAS TABLAS SALARIALES PARA EL AÑO 2023 DEL SECTOR DE PANADERÍAS EN PROVINCIA DE SEGOVIA.
VISTO el acuerdo de fecha 19 de junio de 2023 por el que se aprueban las Tablas Salariales para el periodo 2023 del sector de PANADERÍAS, Código de Convenio 40000295011981; suscrito por la Comisión Negociadora: de una parte por la representación de la patronal y de otra por las centrales sindicales CCOO Y UGT en representación de los trabajadores, y de conformidad con lo dispuesto en el art. 90.2 del Estatuto de los Trabajadores, Texto Refundido aprobado por Real Decreto Legislativo 2/2015, de 23 de octubre, Real Decreto 713/2010, de 28 de mayo, sobre registro y depósito de convenios y acuerdos colectivos de trabajo, en el RD 831/95 de 30 de mayo sobre traspaso de funciones y servicios de la Administración de Estado a la Comunidad de Castilla y León y en la Orden de 12 de septiembre de 1997 de la Consejería de Industria, Comercio y Turismo por la que se crea el Registro de Convenios colectivos de la Comunidad de Castilla y León.
Esta Jefatura de la Oficina Territorial de Trabajo
ACUERDA
PRIMERO.- Ordenar su inscripción en el Registro de Convenios, con notificación a la Comisión Negociadora.
SEGUNDO.- Proceder a su depósito en el órgano competente.
TERCERO.- Disponer su publicación obligatoria y gratuita en el Boletín Oficial de la Provincia.
Segovia, a 3 de agosto de 2023.- La Jefa de la Oficina Territorial de Trabajo, Raquel Alonso Pérez.
TABLA SALARIAL 2023.
Salario 2023 y hasta finalización del convenio deberá existir la diferencia entre categorías o grupos existente a la actualización del S.MI. y de igual manera garantizar que el grupo menor grupo E. no podrá estar por debajo del S.M.I.
De esta manera todos los grupos verán actualizada su retribución salarial de sus doce mensualidades y las dos pagas extras correspondiente al año.
Desde el grupo D, la diferencia 2023 después de la subida 2023 tendrá que ser E+151,45
ENTRE 14 PAGAS
Grupo c salario grupo E +528,88 entre 14 pagas.
Grupo B, salario grupo E + 876,16 -entre 14 pagas.
Grupo a salario grupo E + 1745,53 ENTRE 14 PAGAS.
HASTA FINALIZACIÓN CONVENIO PARA NO COMPENSAR NI ABSORBER LA DIFERENCIA ENTRE GRUPOS O CATEGORÍAS ANTERIORMENTE AL SMI.
