CONVENIO COLECTIVO (DOGV Núm. 10206 / 01.10.2025)
RESOLUCIÓN de 7 de agosto de 2025, de la Dirección General de Trabajo, Cooperativismo y Seguridad Laboral, por la que se disponen el registro y la publicación del texto del Convenio colectivo de manipulado y envasado de cítricos, frutas y hortalizas para la Comunitat Valenciana 2024-2028.
Visto el texto del Convenio colectivo de manipulado y envasado de cítricos, frutas y hortalizas para la Comunitat Valenciana 2024-2028, con código en la aplicación REGCON 80000115011990, suscrito por la comisión negociadora, estando integrada la misma, de una parte, por el Comité de Gestión de Cítricos (CGC) y por la Federació de Cooperatives agro-alimentàries de la Comunitat Valenciana (Cooperatives) y, de otra, por la parte social, compuesta por la Confederación Sindical de Comisiones Obreras del País Valenciano (CCOO PV) y por la Unión General de Trabajadores del País Valenciano (UGT-PV), y de conformidad con lo dispuesto en el artículo 90, apartados 2 y 3, del texto refundido de la Ley del Estatuto de los Trabajadores (aprobado por Real decreto legislativo 2/2015, de 23 de octubre, por el que se aprueba el texto refundido de la Ley del Estatuto de los Trabajadores), en el artículo 2.1.a) del Real decreto 713/2010, de 28 de mayo, sobre registro y depósito de convenios y acuerdos colectivos de trabajo y en los artículos 3 y 4 de la Orden 37/2010, de 24 de septiembre, de la Conselleria de Economía, Hacienda y Empleo, por la que se crea el Registro de la Comunitat Valenciana de convenios y acuerdos colectivos de trabajo, este Servicio de Relaciones Laborales y Gestión de Programas, de acuerdo con el artículo 51.1 del Estatuto de Autonomía de la Comunitat Valenciana, con el artículo 20 del Decreto 38/2025, de 4 de marzo, del Consell, de aprobación del Reglamento orgánico y funcional de la Conselleria de Educación, Cultura, Universidades y Empleo y con el artículo 34 de la Orden 6/2025, de 9 de abril, de la Conselleria de Educación, Cultura, Universidades y Empleo, por la que se desarrolla el Decreto 38/2025, de 4 de marzo, de 2025, del Consell, de aprobación del Reglamento orgánico y funcional de la Conselleria de Educación, Cultura, Universidades y Empleo,
RESUELVE.
Primero.
Ordenar su inscripción en el Registro de la Comunitat Valenciana de convenios y acuerdos colectivos de trabajo, con notificación a la comisión negociadora, y el depósito del texto del convenio.
Segundo.
Disponer su publicación en el Diari Oficial de la Generalitat Valenciana.
València, 7 de agosto de 2025.
Andrés Lluch Figueres.
Director general de Trabajo, Cooperativismo y Seguridad Laboral.
CONVENIO COLECTIVO DE MANIPULADO Y ENVASADO DE CÍTRICOS, FRUTAS Y HORTALIZAS PARA LA COMUNITAT VALENCIANA 2024 AL 2028.
ARTÍCULO 1º.- PARTES NEGOCIADORAS.
El presente Convenio colectivo ha sido negociado por las siguientes partes negociadoras:
– Por la parte empresarial: Comité de Gestión de Cítricos (CGC) y Federaciò de Cooperatives agro-alimentàries de la Comunitat Valenciana (Cooperatives).
– Por la parte social: CCOO Industria PV y FICA-PV Federació d’Industria, Cons-trucció i Agro de UGT-PV.
ARTÍCULO 2º.- ÁMBITO TERRITORIAL.
El presente Convenio será de aplicación a todo el territorio de la Comunitat Valenciana.
ARTÍCULO 3º.- ÁMBITO FUNCIONAL.
El presente convenio colectivo se aplicará a todas las empresas cuya actividad consista en la selección, manipulado y envasado de frutos cítricos para su comercialización en el mercado nacional o para su exportación. En el ámbito funcional del convenio quedarán incluidas también las actividades de selección, manipulado y envasado de frutas y hortalizas realizadas por las empresas cuya actividad principal consista en el manipulado de cítricos. En el caso de que se efectúen las tres actividades de manipulado de cítricos, de frutas y de hortalizas, se entenderá que es mayoritaria la actividad de cítricos cuando lo sea respecto a las otras dos actividades tomadas cada una por separado.
ARTÍCULO 4º.- ÁMBITO PERSONAL.
Este convenio será de aplicación a todo el personal que figura en los grupos profesionales y especialidades que presten sus servicios laborales en las empresas incluidas en sus ámbitos funcional y territorial, cualquiera que sea la modalidad de su contrato de trabajo.
ARTÍCULO 5º.- ÁMBITO TEMPORAL.
1. La vigencia del presente convenio colectivo será de cuatro años hasta el 31 de agosto de 2028.
2. Los efectos del presente convenio colectivo se producirán desde el 1 de septiembre de 2024, exceptuando sus efectos económicos que se iniciarán el 1 de diciembre de 2024 -con independencia de la fecha en la que se publique en el Diari Oficial de la Generalitat Valenciana (DOGV)- y la modificación en materia de jornada (artículo 10 bis) que entrará en vigor el 1 de enero de 2025.
3. La denuncia del convenio podrá efectuarse por cualquiera de las partes firmantes del mismo, pudiendo formularse dentro de los últimos tres meses de su vigencia o de cualquiera de sus prórrogas. La denuncia se realizará por escrito y se presentará ante la autoridad laboral, dándose traslado de la misma a la otra parte.
4. Una vez denunciado el presente convenio colectivo, el mismo mantendrá su vigencia durante un periodo de tres años desde dicha denuncia.
ARTÍCULO 6º.- CONDICIONES ECONÓMICAS.
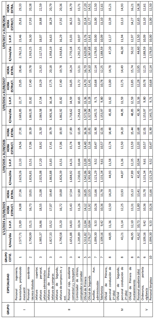
1. Las retribuciones pactadas en este convenio colectivo, correspondientes a las campañas 2024-2025 a 2027- 2028 (desde el 1 de diciembre de 2024 hasta el 31 de agosto de 2028) para los distintos grupos profesionales y especialidades son las que figuran en las tablas de salarios que como anexos 3 y 4 se unen a este texto.
2. Las diferencias salariales que se produzcan desde la entrada en vigor de la subida salarial deberán ser satisfechas, como máximo, en la nómina del mes siguiente a la publicación del presente convenio colectivo en el boletín oficial correspondiente.
3. En las retribuciones del Grupo III, en el salario día se incluyen todos los conceptos salariales a los que el/la trabajador/a tiene derecho, como son salario base, gratificaciones extraordinarias, vacaciones, domingos y festivos, participación en beneficios y demás partes proporcionales.
4. En el importe del salario hora del personal fijo discontinuo del Grupo III, desde enero de 2025, se ha tenido en cuenta el impacto que una posible reducción de jornada a 37,5 horas tendría en el salario del personal con salario anual.
5. Las retribuciones del Grupo III se calculan añadiendo al salario correspondiente al personal base los siguientes diferenciales por Salario Hora Profesional:
– Personal encargado general de almacén 1,20 €.
– Personal encargado de almacén 0,90 €.
– Personal encargado de sección 0,75 €.
– Personal operario de mantenimiento 0,50 €.
– Subgrupo control y calidad 0,40 €.
– Subgrupo personal operario de máquina 0,40 €.
6. El importe de las gratificaciones extraordinarias del mes de julio y de Navidad será de 30 días de salario para el personal fijo de los Grupos I, II, IV y V.
7. Se pacta una cláusula de revisión salarial, en función del IPC, que se trasladará a las tablas salariales del próximo convenio colectivo en la campaña 2028-2029 de la siguiente forma: diferencia entre la suma de los IPC desde 01/01/2024 hasta el 31/12/2027 menos los incrementos aplicados (5,25 %, 2 %, 2 %, 3 %) todo ello con el tope del 3 %.
ARTÍCULO 7º.- PROMOCIÓN Y FORMACIÓN pROFESIONAL.
1. Las empresas promoverán la formación profesional de su personal, concediendo los permisos necesarios, no retribuidos, para concurrir a exámenes, en el caso de que el personal curse estudios para la obtención de un título académico o profesional.
2. La persona trabajadora tendrá derecho a la adaptación de la jornada laboral para posibilitar su asistencia a cursos de formación profesional, y tendrá preferencia a la elección de turno de trabajo y a acceder al trabajo a distancia, si tal es el régimen instaura-do en la empresa, y el puesto o funciones son compatibles con esta forma de realización del trabajo, cuando curse con regularidad estudios para la obtención de un título académico o profesional.
3. Con carácter general, y en el supuesto de que no sea imprescindible recurrir a la contratación de personal nuevo en la empresa, los puestos de trabajo tenderán a cubrirse con personal de la propia empresa procedente de los niveles inferiores de cada grupo profesional.
4. Las promociones a puestos de trabajo de superior nivel profesional dentro de la em-presa, se producirán en el marco de las facultades organizativas del empresario/a, atendiendo a criterios como la formación, la experiencia profesional y la antigüedad del personal, comunicándolo a la representación legal de los trabajadores y exponiéndolo en el tablón de anuncios de la empresa.
5. Con la finalidad de facilitar la promoción profesional, cuando por necesidades de la producción una persona sea propuesta para ocupar una especialidad superior con carácter ininterrumpido o permanente, pasará a formar parte de la lista de llamamiento correspondiente a dicha nueva especialidad, sin perjuicio de lo cual mantendrá su puesto en la lista de llamamiento de la especialidad de la que proceda en el mismo puesto que ocupaba. En consecuencia, en tales casos la persona trabajadora se encontrará en dos listas diferentes, y ello con independencia de que, nominalmente, esta persona mantenga la especialidad de origen. En tales casos, la persona trabajadora percibirá el salario de la especialidad correspondiente a las funciones efectivamente desempeñadas en cada momento. La empresa, a petición escrita de la persona interesada, podrá con-solidar la especialidad superior, en cuyo caso esta persona perderá su puesto en la lista de llamamiento de la especialidad de origen. Igualmente, la consolidación de la especialidad superior se producirá cuando la persona trabajadora efectúe el mismo número de jornadas en dicha especialidad que las que realice el personal de su misma antigüedad en la especialidad de origen.
6. Cuando por causas técnicas, organizativas o productivas se produjese una merma continuada en las jornadas de trabajo o se procediese a la amortización del puesto de trabajo que la persona trabajadora ocupe en la especialidad de destino una vez consolidada, esta persona, sin derecho a indemnización alguna, podrá solicitar recuperar su puesto de trabajo en la especialidad de origen con el salario correspondiente a esta misma especialidad y ocupando el puesto en la lista de llamamiento que le corresponda de conformidad con su antigüedad en la empresa dentro de dicha especialidad.
7. Cuando la empresa desee implantar sistemas de formación, lo comunicará por escrito a la representación legal de las personas trabajadoras, teniendo ésta la facultad de realizar el correspondiente informe con carácter previo a la elaboración del plan de formación, en un plazo de 15 días hábiles. La representación legal de las personas trabajado-ras mantendrá su facultad informativa durante la ejecución del plan de formación.
ARTÍCULO 8º.- DEFINICIÓN DE GRUPOS PROFESIONALES Y ESPECIALIDADES.
Todo el personal estará acogido a lo establecido a este respecto en el Estatuto de los Trabajadores y en su defecto a lo establecido en este convenio.
El personal al que afecte el presente Convenio en función de la labor que hayan de desarrollar y según especialidad profesional serán clasificados en Grupos Profesionales y Especialidades.
I. GRUPO PROFESIONAL DE PERSONAL TÉCNICO Y TITULADO.
A) ESPECIALIDAD PERSONAL TÉCNICO O TITULADO DE GRADO SUPERIOR Y DE GRADO MEDIO:
Es la persona que está en posesión del correspondiente título -de nivel superior o medio, ya sea ingeniería, licenciatura o profesorado mercantil- y que ha sido contratado por la empresa, por razón de dicho título, para efectuar primordialmente funciones propias de su titulación académica o técnica.
B) ESPECIALIDAD PERSONAL AYUDANTE TÉCNICO TITULADO: Es la persona cualificada que presta sus servicios a las órdenes y bajo la dirección del personal técnico o titulado de grado superior o medio.
II. GRUPO PROFESIONAL DE PERSONAL ADMINISTRATIVO.
A) ESPECIALIDAD JEFATURA SUPERIOR, JEFATURA PERSONAL, JEFATURA ADMINISTRACIÓN, JEFATURA CONTABILIDAD: Es la persona que tiene a su cargo, bajo la dependencia directa de la gerencia, la dirección del departamento administrativo, de personal, de contabilidad, u otro departamento.
B) ESPECIALIDAD JEFATURA DE 1ª, JEFATURA DE COMPRAS: Es la persona que tiene a su cargo la gestión de una sección o de las compras de la empresa.
C) ESPECIALIDAD JEFATURA DE 2ª, JEFATURA DE COMPRAS INTERIOR O EXTERIOR: Es la persona que, bajo la dependencia de personal superior, gestiona las labores administrativas, burocráticas y/o de compras.
D) ESPECIALIDAD PERSONAL CAJA, PERSONAL AYUDANTE COMERCIAL Y JEFATURA TRANSPORTE:
Es la persona que, bajo la dirección de personal superior, realiza la gestión de la caja, del transporte, o colabora en departamento comercial.
E) ESPECIALIDAD PERSONAL OFICIAL ADMINISTRATIVO DE PRIMERA: Es la persona que dependiendo de la Jefatura de administración realiza labores burocráticas que requieren iniciativa.
F) ESPECIALIDAD PERSONAL OFICIAL ADMINISTRATIVO DE SEGUNDA: Es la persona que dependiendo de la Jefatura de administración o del personal oficial administrativo de 1ª, efectúa trabajos contables o burocráticos que sólo exigen conocimientos generales de la técnica administrativa.
G) ESPECIALIDAD AUXILIAR, AUXILIAR ADMINISTRACIÓN: Es la persona que realiza labores elementales administrativas o de otra índole, con iniciativa y responsabilidad restringidas y subordinadas a las órdenes e instrucciones de personal superior.
H) ESPECIALIDAD PERSONAL TELEFONISTA: Es la persona que atiende una centralita telefónica, y en su caso, realiza labores de recepción e información de las visitas, y en general, aquellas otras funciones, de naturaleza similar a las indicadas, que le sean encomendadas por la empresa.
I) ESPECIALIDAD PERSONAL CONTRATADOR DE CITRÍCOS. Es la persona perita o práctica que al servicio de una empresa determinada realiza las operaciones de contratación y compra de frutas con destino a su posterior manipulación en los almacenes de la empresa, conociendo perfectamente las plantaciones de naranjos, con capacidad para determinar la producción de los huertos en razón de su simple apreciación personal, tanto si el trato se cierra con el agricultor o la agricultora requiriendo ulterior aprobación de la empresa, como si vincula a este sin necesidad de dicha aprobación.
III. GRUPO PROFESIONAL DE PERSONAL DE ALMACÉN.
A) ESPECIALIDAD PERSONAL ENCARGADO GENERAL DE ALMACÉN: Es la persona que se ocupa de la organización y distribución del trabajo en el almacén de manipulado, coordinando y supervisando las diferentes secciones.
B) ESPECIALIDAD PERSONAL ENCARGADO DE ALMACÉN: Es la persona que, bajo la dependencia y supervisión del personal encargado general de almacén, colabora en la organización y distribución del trabajo en el almacén.
C) ESPECIALIDAD PERSONAL ENCARGADO DE SECCIÓN: Es quien tiene a su cargo al personal de una sección, bajo la dependencia del personal encargado de almacén.
D) ESPECIALIDAD PERSONAL CONDUCTOR DE CARRETILLA ELEVADORA MECÁNICA: Es la persona debidamente capacitada y autorizada por la empresa, que tiene encomendada la conducción de la carretilla elevadora mecánica y la conservación de sus elementos accesorios.
E) ESPECIALIDAD PERSONAL CONTROL DE ENTRADAS, CONTROL DE SALIDAS Y CONTROL DE CARGA: Es la persona a cuyo cargo se encuentra el control de la entrada y/o salida y/o carga de frutas en el almacén, su posterior clasificación, controlando la existencia de los stocks de frutas en el almacén, y/o la distribución de los embarques.
F) ESPECIALIDAD PERSONAL CONTROL DE CALIDAD: Es la persona que forma parte del equipo de calidad, que se encarga de verificar, vigilar y documentar, en todo momento el cumplimiento de las especificaciones del producto y del proceso, así como la supervisión y calibración de los equipos de control, en las diferentes etapas del proceso, desde la recepción de la fruta hasta la expedición.
G) ESPECIALIDAD PERSONAL CONTROL DE TRAZABILIDAD: Es la persona responsable de los procedimientos en calidades estandarizadas, controla el producto y la trazabilidad completa del proceso de empaquetado incluyendo la ubicación inicial del producto, rastreo, tratamientos y más, control de temperatura inicial y final del producto, control de peso, terminado del producto, conocimiento de software de calidad, control del certificado de calidad, valoración y confección de informes.
H) ESPECIALIDAD PERSONAL CARGA, DESCARGA: Es la persona que carga y descarga fruta, y materiales, de los camiones o vagones.
I) ESPECIALIDAD PERSONAL CAPACEDOR, APILADOR: Es la persona que alimenta de fruta la línea de manipulado, retira las cajas y las apila, aportando los materiales de confección de fruta a las secciones de almacén.
J) ESPECIALIDAD MAQUINISTA: Es la persona que controla, regula y maneja las máquinas y/o ordenadores para la realización de operaciones como empaqueta-do, embolsado, pesaje… Configura y ajusta las máquinas según los requisitos específicos de cada lote de producción, garantizando la calidad y consistencia del empaquetado/envasado.
Resuelve los eventuales problemas que se presenten, pudiendo gestionar personas a su cargo.
K) ESPECIALIDAD PERSONAL OPERARIO DE MANTENIMIENTO: Es la persona trabajadora que posee y aplica los conocimientos básicos teórico-prácticos para realizar labores de mecánica, electromecánica, mantenimiento, conservación, reparación e instalación de maquinarias, con un nivel básico de habilidad y experiencia. En caso de que exista en la empresa, asiste al oficial de primera de mantenimiento en sus tareas de mayor complejidad.
L) ESPECIALIDAD PERSONAL ENCAJADO, TRIA, ETIQUETADO Y EMPAPELADO: Es la persona que desarrolla las funciones consistentes en clasificar, seleccionar y colocar la fruta adecuadamente en los envases de cualquier tipo, empapelando la fruta, cerrando el envase y colocando las correspondientes etiquetas, cuando se requiere.
IV. GRUPO PROFESIONAL DE OFICIOS VARIOS.
A) ESPECIALIDAD PERSONAL CONDUCCIÓN OFICIAL DE PRIMERA: Es la persona que realiza labores de conducción disponiendo del permiso de conducción tipo E; o bien desarrolla oficios varios bajo la dependencia de personal superior, con autonomía y responsabilidad.
B) ESPECIALIDAD PERSONAL CONDUCCIÓN OFICIAL DE SEGUNDA: Es la persona que realiza labores de conducción disponiendo del permiso de conducción tipo C; o bien desarrolla oficios varios bajo la dependencia del personal oficial de primera.
C) ESPECIALIDAD PERSONAL AYUDANTE: Es la persona que colabora con las categorías anteriores en el desarrollo de las funciones correspondientes a oficios varios.
D) ESPECIALIDAD PERSONAL OFICIAL DE PRIMERA DE MANTENIMIENTO: Es la persona profesional con experiencia y habilidades, que realiza de manera autónoma diagnósticos, reparaciones de sistemas, instalaciones complejas y toma decisiones en materia de mecánica, electromecánica, mantenimiento, conservación y reparación de maquinarias.
Puede tener bajo su supervisión a otro personal y tener responsabilidades de liderazgo.
V. GRUPO PROFESIONAL DE PERSONAL DE SERVICIOS GENERALES.
A) ESPECIALIDAD PERSONAL VIGILANCIA: Es la persona que tiene a su cargo la vigilancia de las dependencias de la empresa, controlando el acceso a las mismas.
B) ESPECIALIDAD PERSONAL ORDENANZA, PORTERÍA O VIGILANCIA: Es la persona que vigila las puertas de acceso a las dependencias empresariales, responsabilizándose de su puntual apertura y cierre; recibe avisos, cartas o paquetes; y cuida de que no accedan al centro de trabajo las personas no autorizadas.
C) ESPECIALIDAD PERSONAL DE LIMPIEZA: Es el personal que se ocupa de la limpieza de las dependencias administrativas y de servicios generales y de los aseos de la empresa.
Se remitirán a la Comisión Paritaria aquellos supuestos en que exista duda respecto a la adscripción de la especialidad o grupo profesional.
ARTÍCULO 9º.- VACACIONES.
El personal afectado por este Convenio tendrá derecho a 30 días naturales de vacaciones anuales retribuidas, o a la parte proporcional equivalente, entendiéndose que para el Grupo III el disfrute se producirá dentro del periodo de alta.
Además de los días que como festivos figuran en el Calendario Laboral, en las festividades de Semana Santa para el personal de los Grupos I, II, IV y V serán días de vacaciones el Sábado Santo y el lunes siguiente al Domingo de Resurrección, en cambio se trabajará el martes día completo.
En el certificado de empresa, o en documento acreditativo elaborado al efecto, la empresa deberá informar de los días de vacaciones disfrutados por el personal.
ARTÍCULO 10º.- JORNADA LABORAL.
1. Se establecerá tal y como disponga en cada momento la legislación vigente.
No obstante lo anterior, la duración anual de la jornada ordinaria máxima será de 1.790 horas de trabajo efectivo.
2. Durante la vigencia del presente Convenio, la jornada laboral será de 40 horas semanales, distribuida, con carácter general, de lunes a viernes. La empresa podrá durante la jornada semanal realizar jornadas de máximo 8 horas ordinarias, dentro del horario ordinario de la empresa. Cuando de lunes a viernes no se hayan agotado las 40 horas semanales, las horas que en su caso se trabajen el sábado hasta las 14:30 horas, hasta alcanzar el límite de 40 horas semanales, tendrán la consideración de horas ordinarias.
Cuando se vaya a trabajar los sábados, y no se hayan agotado las 40 horas de jornada ordinaria, tendrán preferencia para ser llamados los trabajadores/as que, sin tener jornada reducida, de lunes a viernes, no hayan alcanzado 35 horas de jornada, respetándose por lo demás, el orden de llamamiento que se tenga establecido.
A estos efectos, la jornada efectivamente trabajada incluirá el tiempo dedicado a permisos retribuidos, horas sindicales, etc.
Las horas que se realicen el sábado, independientemente de su consideración en cada caso, serán voluntarias.
A tal efecto, las empresas podrán solicitar a principio de campaña a cada trabajador/a que manifieste su voluntad de ser llamado para trabajar en sábados y para realizar horas extraordinarias de cualquier tipo. En las empresas, por acuerdo con la representación legal de los/as trabajadores/as se podrá establecer una o varias bolsas para este tipo de horas especiales, en caso de desacuerdo, la empresa determinará el número de bolsas que se implantarán.
La forma de llamamiento dentro de las bolsas será la pactada en cada empresa. En defecto de pacto, se deberá establecer un criterio rotatorio que garantice, dentro de cada especialidad, un reparto equitativo de las horas.
La negativa injustificada de la persona trabajadora a realizar las horas para las que sea llamado habiendo manifestado su voluntad de realizarlas en 3 ocasiones conllevará su exclusión de las bolsas de llamamiento de horas especiales.
Por acuerdo entre empresa y la representación legal de las personas trabajadoras o, en su defecto, entre las empresas y los sindicatos firmantes del presente convenio colectivo, se podrán establecer variaciones a lo dispuesto en el presente artículo respecto a las bolsas de horas. Así, a modo de ejemplo, se podrá establecer que la persona trabajadora pueda ser excluida de la bolsa en la primera ocasión en la que exista una negativa injustificada a realizar las horas, o que la empresa pueda abonar una prima o gratificación a las personas trabajadoras que se apunten a las bolsas.
Este régimen de jornada no será aplicable al personal que tengan establecida, por cualquier motivo, una jornada inferior a la ordinaria, o una jornada reducida.
3. Se considerarán horas extraordinarias estructurales aquellas horas de trabajo que sobrepasen las 40 horas semanales y a partir de la 8ª hora de trabajo efectivo diario de lunes a viernes. A fin de clarificar el concepto de horas extraordinarias estructurales, sin perjuicio de su cotización a efectos de la Seguridad Social como si fueran horas extraordinarias habituales, salvo que cambie la regulación al respecto, se entenderán por tales las necesarias por situaciones imprevistas, periodos puntas de producción, posibles pérdidas de materias primas por acumulación de producto en épocas punta de producción, maduración rápida de la fruta, la demanda del mercado, la climatología, cierres imprevistos de fronteras y otros factores ajenos a la voluntad de la empresa. Las horas que excedan de la jornada ordinaria diaria de 8 horas, así como las que excedan del cómputo de 40 horas ordinarias semanales, realizadas de lunes a viernes, se considerarán extraordinarias estructurales, y se retribuirán según el valor de la columna de las tablas salariales.
En empresas con distribución de lunes a viernes, las horas realizadas el sábado hasta las 14:30 horas, una vez se hayan superado las 40 horas semanales, se retribuirán también con el incremento de las horas estructurales.
4. En aquellas empresas que tuvieran pactada o se pacte de mutuo acuerdo con la representación legal de los trabajadores, o en su defecto, con los sindicatos firmantes del presente convenio, una semana laboral de lunes a sábado, las partes determinarán el descanso semanal. En defecto de tal determinación, el día de descanso entre esas seis jornadas será el miércoles, siempre que se cumpla con lo establecido en el artículo 37.1 del Estatuto de los Trabajadores.
Lo establecido en el presente artículo y en el artículo siguiente, relativo a las horas realizadas en sábado, será aplicable al miércoles o día de descanso equivalente en aquellas empresas que trabajen de lunes a sábado.
5. Los trabajos en horario posterior a las 14:30 horas del sábado, los domingos y festivos se retribuirán como horas extraordinarias y su valor figurará en una columna de las tablas salariales.
ARTÍCULO 11º.- JORNADA LABORAL Y SALARIO FIJOS ORDINARIOS GRUPO III.
La jornada laboral anual del personal fijo ordinario del Grupo III será de 1.712 horas.
La distribución de la jornada podrá realizarse de acuerdo con lo previsto en el artículo anterior.
El salario anual de este personal se calculará multiplicando el salario hora que consta en el Anexo 4 del presente convenio colectivo por 1.712.
No obstante lo anterior, la empresa dispondrá de una bolsa de 78 horas anuales de tiempo de trabajo ordinario, de las que podrá hacer uso de forma voluntaria, preavisándolo a la persona trabajadora con cinco días de antelación.
Dichas horas solo se podrán realizar en jornada ordinaria, nunca superarán las 40 horas semanales, ni las 8 ordinarias de trabajo dentro del horario laboral de la empresa y, por tanto, no podrán utilizarse para ampliar las horas de jornada irregular reguladas en el artículo 12 del presente Convenio colectivo.
Las horas de la bolsa se retribuirán, en caso de utilizarse, al precio hora que, en cada momento, se establezca en el Anexo 4 del presente Convenio colectivo para la especialidad de que se trate.
Las horas no utilizadas cada año desaparecerán de la bolsa.
Estas horas no se considerarán horas extraordinarias a ningún efecto.
En el supuesto de que la jornada anual se reduzca legalmente, únicamente se conservará una bolsa para el supuesto de que la jornada máxima anual legal sea superior a 1.712 horas, en cuyo caso, el importe de horas de la bolsa será igual a la diferencia entre el máximo legal que se establezca y 1.712.
ARTÍCULO 12º.- HORAS EXTRAORDINARIAS.
Su estructura será la siguiente:
a) De fuerza mayor: serán las que se realicen para prevenir o evitar siniestros u otros daños extraordinarios y urgentes. Su prestación será obligatoria.
b) Estructurales: Las partes negociadoras de este Convenio, atendiendo a las peculiaridades productivas del sector de manipulado de frutos cítricos, pactan expresamente que se considerarán horas estructurales las que se realicen para situaciones o pedidos imprevistos, periodos punta de producción, ausencias imprevisibles de personal, posibles pérdidas de materias primas por acumulación de producto en épocas punta de producción, maduración rápida del producto, la demanda del mercado, la climatología, cierres imprevistos de fronteras y otros factores ajenos a la voluntad de la empresa derivados de las exigencias que plantea la manipulación de frutos cítricos y, en su caso, de frutas y hortalizas, para su comercialización en fresco.
c) Horas del sábado -o del día de descanso que lo sustituya-, de los domingos y festivos, independientemente de su retribución y consideración, su realización será voluntaria, salvo lo establecido para las horas de fuerza mayor.
d) La retribución de la hora ordinaria, estructural y extraordinaria serán la establecida para cada campaña en las tablas salariales que figuran como Anexos 3 y 4 para los Grupos Profesionales y Especialidades del presente convenio colectivo, más el importe que corresponda del complemento «ad personam» de cada trabajador/a derivado de la supresión del plus de antigüedad a tenor de lo previsto en el artículo 18 del presente convenio colectivo.
e) Las horas estructurales y extraordinarias realizadas, podrán ser abonadas con el importe que corresponda, cuando al final de la campaña se determine el máximo legal de horas que se puedan realizar.
El resto de las horas serán compensadas por tiempo de descanso proporcional a su valor en los cuatro meses siguientes a su realización, en cuyo caso no computarán para la determinación del número anual máximo de 80 horas extraordinarias.
Si el trabajador o trabajadora no solicita el cobro de las horas extraordinarias y estructurales, todas ellas serán compensadas con descanso.
Se podrá solicitar el anticipo de la compensación de las horas extraordinarias y estructurales en el mes en que se realicen.
La representación legal de las personas trabajadoras y la empresa podrán establecer otro acuerdo que cumpla con todas las limitaciones legales.
f) El personal que adquiera la condición de sensible, mediante certificado emitido por el servicio de Vigilancia de la Salud, del Servicio de Prevención, o en su defecto, median-te informe emitido por el médico especialista de la Seguridad Social, que deberá ser visado, en su caso, por el servicio de Vigilancia de la Salud del Servicio de Prevención, por razón de edad o salud, no será llamado para la realización de horas extraordinarias ni se prolongará de ninguna forma su jornada ordinaria, siempre que en dicho certificado conste que la especial sensibilidad implica la necesidad de no prolongar su jornada.
Este certificado deberá entregarse al inicio de campaña o al sobrevenir la circunstancia de sensibilidad y su duración será, como mínimo, para toda una campaña o hasta que finalice la circunstancia de sensibilidad.
ARTÍCULO 13º.- JORNADA IRREGULAR.
1. A los efectos de lo dispuesto en el apartado 2º del artículo 34 del Estatuto de los Trabajadores, 145 horas de la jornada anual de cada persona trabajadora, incluidos el personal del Grupo III, podrán ser distribuidas de manera irregular.
2. Entre las empresas y la representación legal de las personas trabajadoras o, en su defecto, entre las empresas y los sindicatos firmantes del presente convenio colectivo, se podrán establecer acuerdos para la utilización de las horas de irregularidad.
En defecto de acuerdo, regirá lo dispuesto en el Estatuto de los Trabajadores para la utilización de las horas.
ARTÍCULO 14º.- COMISIÓN PARITARIA DE VIGILANCIA.
Las partes deliberantes acuerdan crear la comisión paritaria de vigilancia de este convenio como órgano de interpretación, conciliación obligatoria y vigilancia de su cumplimiento.
ARTÍCULO 15º.- FUNCIONES DE LA COMISIÓN.
1. Interpretación auténtica del convenio y, en su caso, intento de conciliación y emisión del preceptivo informe previo el planteamiento de conflictos colectivos que versen sobre la interpretación del convenio.
2. Arbitraje de los problemas o cuestiones que les sean sometidos por las partes en los supuestos concretados en la legislación vigente.
3. Vigilancia del cumplimiento de lo pactado.
4. Estudio de la evolución de las relaciones entre las partes contratantes, dando especial importancia a la clasificación del personal por su responsabilidad, capacitación y esfuerzo.
La comisión velará porque las empresas y la totalidad del personal se encuentren afiliados y coticen a la Seguridad Social realizando los trámites necesarios para que en los almacenes todas las personas o entidades empleadoras cumplan con las obligaciones impuestas por las disposiciones sobre Seguridad Social.
5. El estudio y aprobación en su caso, de las medidas propuestas por la comisión de rendimiento que tenga como finalidad la mejora del mismo.
6. Asumir la obligación de dirimir aquellas situaciones que puedan crearse en la puesta en práctica del plus de antigüedad regulado en el artículo 18 de este convenio colectivo.
7. Cuantas otras actividades tiendan a la mayor eficacia práctica del convenio y aquellas que le atribuye la legislación vigente.
ARTÍCULO 16º.- DOMICILIO DE LA COMISIÓN PARITARIA DE VIGILANCIA.
La comisión paritaria de vigilancia tendrá su domicilio, indistintamente, en la Secretaría de la comisión. Por parte empresarial, el C.G.C., con sede social en Monjas de Santa Catalina, 8-4ª de Valencia y Cooperatives Agro-alimentàries de la Comunitat Valenciana (antes Federación de Cooperativas Agrarias de la Comunitat Valenciana), con sede social en Caballeros, 26 de Valencia; y por la parte social, FICA UGT-PV C/Arquitecte Mora, 7-4º de Valencia y Federación de Industria de CC.OO. del PV Plaza Nápoles y Sicilia nº 5 de Valencia.
Las comunicaciones dirigidas a la comisión paritaria podrán enviarse a la dirección de correo electrónico: comite@citricos.org.
ARTÍCULO 17º.- COMPOSICIÓN Y PROCEDIMIENTO DE LA COMISIÓN PARITARIA DE VIGILANCIA.
La comisión paritaria se compondrá de 16 miembros titulares y 6 suplentes. 8 miembros titulares y 3 suplentes serán designados por cada una de las dos partes, empresarial y sindical, firmantes de este convenio colectivo.
Las personas que compongan la comisión paritaria serán elegidas por las respectivas organizaciones sindicales y empresariales.
El personal asesor será designado libremente por las representaciones respectivas.
Quien presida la comisión y quien ocupe las labores de secretaría de la misma serán las personas que la comisión designe de entre sus miembros.
Quien desee convocar una reunión de la comisión paritaria, enviará por escrito a la dirección de correo señalada en el artículo anterior, una explicación suficiente del conflicto existente, determinación de las partes implicadas y concreción de pretensión, con expresión de su voluntad de efectuar dicha convocatoria. Tras la recepción, se convocará a los miembros de la comisión paritaria, en el plazo máximo de 10 días se propondrá fecha y lugar para la reunión, y si en plazo de 48 horas ninguna de las partes se opusiera a la fecha propuesta, la convocatoria se entenderá debidamente efectuada.
Reunida la comisión paritaria, las partes convocantes expondrán el objeto de la controversia planteada, interviniendo en primer lugar la parte que hubiese solicitado la intervención de la comisión paritaria, concediéndose turnos de intervención a medida que fueran solicitándose por los intervinientes.
Habrá tantos turnos de intervención como la comisión considere necesarios para el esclarecimiento de las cuestiones que le fueran planteadas.
Una vez finalizada la intervención de cada una de las partes, los miembros de la comisión se reunirán sin las partes, a fin de deliberar y debatir la cuestión planteada, debiendo resol-ver siempre que sea posible en el acto y comunicando a continuación su resolución a las partes intervinientes.
Si no fuera posible resolver en el acto, la comisión deberá comunicar el resultado de la deliberación a las partes intervinientes en un plazo no superior a los 3 días hábiles siguientes a la reunión de la comisión.
ARTÍCULO 18º.- PLUS DE ANTIGÜEDAD.
Desde el 1 de septiembre de 1997, el personal comprendido dentro de su ámbito de aplicación, no percibirá aumentos periódicos por años de servicios.
Las cantidades percibidas por este concepto por parte de los trabajadores y trabajadoras desde 1997, tendrán la denominación «plus de antigüedad». El plus de antigüedad tiene carácter de complemento personal, no compensable ni absorbible, y sufrirá los mismos incrementos que se pacten para el salario.
ARTÍCULO 19º.- PERMISOS RETRIBUIDOS.
1. En cuanto a los permisos retribuidos se estará a lo establecido en cada momento en la legislación vigente con la particularidad establecida en el siguiente punto 2.
2. Si durante el transcurso de la campaña contrae matrimonio el hombre o mujer personal fijo-discontinuo o de temporada, se estará, en cuanto a permisos, a lo que regula el art. 37.3 apartado A) del Estatuto de los Trabajadores (Real Decreto Legislativo 2/2015, de 23 de octubre).
La persona trabajadora que formalice una unión de hecho, de conformidad con la legislación aplicable, tendrá derecho a 15 días naturales de permiso retribuido desde el momento de la inscripción de dicha unión en el Registro Oficial de Parejas de Hecho correspondiente.
3. A efectos informativos, se recogen en el anexo 5 los permisos actualmente vigentes.
ARTÍCULO 20º.- SALARIO HORA PROFESIONAL Y NOCTURNIDAD.
El salario-hora profesional del personal afectado por el presente convenio, es el incluido bajo tal denominación en la correspondiente columna de las tablas salariales aprobadas para el Grupo Profesional III, y en la columna de las aprobadas para los Grupos Profesionales I, II, IV y V.
Tendrán la consideración de horas nocturnas, aquellas que se trabajen entre las 22:00 y las 6:00h.
A efectos de su retribución, cada hora nocturna completa se retribuirá con un incremento del 10 % sobre el valor del salario-hora profesional, el salario-hora estructural o el salario-hora extra de sábado tarde y festivos, según corresponda, con la siguiente excepción:
En las empresas que trabajen a dos o más turnos, cuando el horario del turno de tarde finalice después de las 22:00h, o cuando el horario del turno de mañana comience antes de las 6:00h, solo serán retribuidas como horas nocturnas con el incremento regulado en el presente artículo, las comprendidas entre las 23:00 y las 6:00h y/o las comprendidas entre las 22:00 y las 5:00h, según cuál sea su jornada ordinaria.
En estos supuestos, el turno nocturno, en caso de existir, será retribuido como tal en su totalidad.
ARTÍCULO 21º.- ABSORBIBILIDAD.
Cualquier aumento que se produzca deberá tenerse en cuenta para su absorción durante la vigencia de este convenio.
Específicamente, los nuevos diferenciales pactados en el artículo 6 absorberán los complementos que esté percibiendo este personal en la actualidad, siempre que no obedezcan a otros conceptos.
ARTÍCULO 22º.- GARANTÍAS PERSONALES.
Se respetarán las condiciones individuales más beneficiosas que el personal afectado por el presente convenio venga disfrutando en la actualidad.
ARTÍCULO 23º.- SEGURIDAD Y SALUD LABORAL.
1. Los delegados y las delegadas de prevención desempeñarán sus funciones con cargo al crédito de horas mensuales que les corresponda en su condición de miembros del comité de empresa o delegados o delegadas de personal.
2. No obstante la regla general antes expresada, no se imputará a dicho crédito horario mensual el tiempo dedicado a:
a) Las reuniones del Comité de Seguridad y Salud; b) Las reuniones convocadas por la empresa en materia de prevención de riesgos; c) Acompañar al personal técnico en las evaluaciones de carácter preventivo del me-dio ambiente de trabajo, y a los Inspectores/as de Trabajo en las visitas y verificaciones que realicen en los centros de trabajo, para comprobar el cumplimiento de la normativa sobre prevención de riesgos laborales; y d) Ser informados por la empresa sobre los daños producidos en la salud del personal, una vez que la empresa haya tenido conocimiento de los mismos.
ARTÍCULO 24º.- CAMBIO DE TURNO Y PUESTO DE TRABAJO.
Tendrán derecho a cambio de turno y puesto de trabajo las trabajadoras que estén en período de gestación, sin pérdida de su retribución salarial.
Tendrán preferencia para cambio de turno las personas trabajadoras que tengan a su cuidado directo un pariente de hasta el primer grado de parentesco que no pueda valerse por sí mismo por motivos de edad, enfermedad o accidente.
Asimismo, tendrán derecho al cambio de puesto de trabajo aquellas personas trabajadoras que teniendo un informe médico que así lo establezca y habiéndolo solicitado a la empresa, sea confirmada la necesidad de acometer dicho cambio por los servicios de vigilancia de la salud de la empresa o por la mutua con la que tenga la empresa cubiertos los accidentes de trabajo y enfermedades profesionales.
ARTÍCULO 25º.- CALENDARIO LABORAL.
Las empresas cumplimentarán el horario de trabajo concretando su jornada diaria, semanal o anual y exponiéndolo en el tablón de anuncios de la empresa.
Para las modificaciones del horario o jornada se estará a lo establecido en la legislación vigente, sin perjuicio de lo recogido en los artículos 10 y 12 del presente convenio colectivo.
ARTÍCULO 26º.- COTIZACIONES A LA SEGURIDAD SOCIAL.
A los efectos de cotización, cualquiera que fuese el número de horas que se trabaje diariamente, la base de cotización tendrá la cuantía efectivamente abonada a la persona trabajadora.
En cuanto a la parte proporcional a añadir a los días trabajados, se estará a lo dispuesto en la Orden Ministerial de 30 de mayo de 1991, o disposición que la sustituya.
ARTÍCULO 27º.- LIQUIDACIÓN DE SALARIOS.
La liquidación y pago del salario tendrá lugar como establece la normativa aplicable, puntual y documentalmente, en la fecha y lugar convenido o conforme a los usos y costumbres.
ARTÍCULO 28º.- PASE DE EVENTUALES A FIJOS-DISCONTINUOS.
Se entiende que el incremento de la actividad es ocasional e imprevisible, a efectos de justificar la utilización de un contrato temporal por circunstancias de la producción, cuando no se repite durante tres campañas consecutivas. Por ello:
1. Cuando una persona preste sus servicios durante dos campañas consecutivas de manipulado de cítricos y siempre que en cada campaña hubiere trabajado efectivamente durante un mínimo de 50 días, tendrá la condición de personal fijo-discontinuo a la siguiente campaña. Para frutas y hortalizas 20 días.
Las personas que en una campaña no hayan alcanzado 50 o 20 días de trabajo tendrán preferencia para ser contratadas en la siguiente campaña, sin pérdida de la condición de temporal.
2. Las personas con contrato de puesta a disposición a través de una Empresa de Trabajo Temporal cuando presten sus servicios para una misma empresa usuaria durante dos campañas consecutivas de manipulado de cítricos y siempre que en cada campaña hubieren trabajado efectivamente durante un mínimo de 50 días, tendrán la condición de personal fijo-discontinuo de la empresa usuaria a la siguiente campaña. Para frutas y hortalizas 20 días.
ARTÍCULO 29º.- GARANTÍAS SOBRE ORDENACIÓN DEL TRABAJO.
La regulación de la ordenación del trabajo se ajustará a las siguientes reglas:
a) No contratar personal eventual mientras haya personal fijo-discontinuo sin llamar en la misma especialidad.
b) Llamar por orden de antigüedad, dentro de cada especialidad, y dar de alta a medida que se necesite hasta que se pueda agotar la jornada, y cuando no sea posible dar trabajo durante seis días en dos semanas seguidas o quince días en el periodo de un mes, se prescindirá obligatoriamente del personal de menor antigüedad, con baja automática en la Seguridad Social, por disminución del producto, entendiéndose que la persona carece de ocupación efectiva a los efectos del artículo 267.1.d de la Ley General de la Seguridad Social.
Cuando no se cumpla lo determinado en el párrafo anterior, cada persona afectada, la representación legal de las personas trabajadoras, o los sindicatos firmantes del presente convenio, podrán solicitar por escrito la baja del personal afectado (según escrito que figura como anexo 1). Tras dicha solicitud, la empresa extenderá una certificación de baja en la Seguridad Social por disminución del producto (según escrito que figura como anexo 2) o bien directamente extenderá la citada baja.
En caso de que la empresa incumpla la obligación de extender la certificación de baja en Seguridad Social o de extender directamente la baja, el personal afectado tendrán la facultad de solicitar la citada baja por disminución del producto a la Tesorería General de la Seguridad Social, hasta que por necesidades de la empresa y en la medida en que se pueda agotar la jornada se requieran los servicios de nuevo, por orden de antigüedad, y siempre que la persona no esté trabajando, en cuyo caso deberá acreditarlo mediante contrato de trabajo.
Es decir, el personal causará altas y bajas en la empresa en función de la prestación laboral real y por las necesidades de la producción, adaptando la plantilla al trabajo real y cursando la baja definitiva en la campaña del personal afectado, por disminución del producto o finalización de temporada, para favorecer que el personal que no pueda trabajar con un mínimo de continuidad pueda acceder a otros trabajos.
c) En relación con los trabajos de puesta en marcha y finalización de campaña, se estará a lo dispuesto en el artículo 20 del Real Decreto 1561/1995, de 21 de septiembre, sobre jornadas especiales de trabajo.
ARTÍCULO 30º.- HORAS SINDICALES Y BOLSA DE HORAS.
1. La representación legal de las personas trabajadoras podrá crear una bolsa de horas sindicales del 100 % de las horas que mensualmente le corresponden a cada miembro, pudiendo hacer uso de ellas uno, o varios, componentes, sin rebasar las horas acumuladas, y sin pérdida de su remuneración y cotización.
2. Para ejercitar este derecho deberán comunicarlo con 15 días de antelación al inicio de su cómputo, permaneciendo vigente dicha bolsa por el tiempo que dure la campaña para la que fue solicitada. Asimismo, la cancelación de la bolsa de horas sindicales solicitada dentro de la campaña deberá ser solicitada con 15 días de antelación a su fecha de efectos. En tal caso se entenderá que la bolsa quedará cancelada hasta que medie una nueva solicitud de creación, de conformidad con lo establecido en los apartados anteriores.
ARTÍCULO 31º.- VISITAS AL MÉDICO.
El personal fijo discontinuo y temporal de campaña, tendrá derecho a diecinueve horas retribuidas por campaña sin límite mensual, y el personal fijo a veintiocho horas al año con un límite de tres horas al mes para visitas a la consulta médica de la Seguridad Social, siempre que dicha consulta coincida con el horario de trabajo. Estas horas serán remuneradas previa justificación ante la empresa e incluirán el tiempo de desplazamiento.
El personal temporal, no de campaña, dispondrá de este tiempo en proporción al tiempo de duración de su contrato.
Igualmente, será beneficiario del permiso regulado en los párrafos anteriores la persona que acompañe a un hijo o a una hija menor de catorce años a la consulta pediátrica de la Seguridad Social, o en su defecto, a la consulta médica de la Seguridad Social, sin que por este motivo se amplíen las horas de permiso referidas en el apartado anterior.
En el caso de familiares hasta el primer grado de parentesco, que por edad, accidente o enfermedad no puedan valerse por sí mismos/as, la persona trabajadora tendrá derecho a un permiso de hasta cuatro horas retribuidas al año para acompañarlos/as a la consulta médica de la Seguridad Social, o a la consulta médica especialista correspondiente.
Cuando trabajen en la misma empresa varios miembros de una familia beneficiarios de este derecho a causa de la misma persona, sólo podrá disfrutar de este permiso uno sólo de los miembros de esa familia al mismo tiempo.
Las horas de consulta médica especialista de la Seguridad Social se retribuirán de la siguiente forma: las primeras 8 horas que se realicen en la campaña serán abonadas al 100 % y el resto, sin límite, al 75 % de su valor.
Estos derechos serán efectivos siempre que la consulta médica coincida con el horario de trabajo Para proceder a retribuir estas horas será necesario, además de lo establecido en este artículo, que, en caso de que exista cita previa, se aporte la misma a la Empresa con al me-nos dos días de antelación, y en caso de no existir cita previa, con posterioridad a la visita, se presente un justificante que recoja la hora de visita y, en ambos casos, la hora de salida de la consulta.
ARTÍCULO 32º.- PERSONAL AUSENTE AL PRINCIPIO DE CAMPAÑA.
1. El personal fijo-discontinuo que, en el periodo entre dos campañas, suscriba contratos para: 1º) trabajar en la vendimia; 2º) trabajar en el contexto de planes de empleo subvencionados por las Administraciones Públicas; 3º) y, en general, concierten contratos laborales de cualquier tipo excepto si se trata de realizar actividades de manipulado de frutas y hortalizas, podrán retrasar su reincorporación a su puesto laboral hasta un máximo de treinta días naturales siguientes a la fecha de su llamamiento al trabajo al inicio de la campaña, en atención a no haber finalizado aún dichos contratos de trabajo.
2. Será requisito indispensable para que el personal pueda acogerse a esta flexibilidad en su incorporación al comienzo de campaña, que hayan avisado de su propósito a la empresa, con quince días de antelación a la fecha coincidente con la de inicio de la anterior campaña, aportando copia de contrato que reúna las condiciones indicadas en el anterior párrafo.
3. Las empresas no estarán obligadas a reconocer este derecho de reincorporación tardía, en cada campaña, más que hasta un máximo de un 5 % del personal fijo-discontinuo de cada grupo profesional.
4. En el supuesto de que, en alguna empresa, este límite del 5 % se manifestara insuficiente para atender las peticiones de su personal, esta cuestión podrá ser planteada por las personas afectadas ante la Comisión Paritaria del Convenio, que se pronunciará al respecto procurando conciliar los intereses de la empresa y del personal.
ARTÍCULO 33º.- CONTRATACIÓN DE DURACIÓN DETERMINADA.
La duración máxima del contrato de circunstancias de la producción debido al incremento ocasional e imprevisible de la actividad, o a las oscilaciones que, aun tratándose de la actividad normal de la empresa, generan un desajuste temporal entre el empleo estable disponible y el que se requiere será de 9 meses.
Esto sin perjuicio de las demás modalidades de contratación recogidas en la legislación vigente.
ARTÍCULO 34º.- FORMACIÓN CONTINUA.
En los planes de formación agrupados, las empresas que participen en los mismos y empleen a más de cien personas trabajadoras deberán informar de las condiciones del plan agrupado en cuestión a la representación de sus trabajadores/as, y acreditar que se ha producido esta información ante la comisión paritaria sectorial correspondiente del Acuerdo Nacional de Formación Continua.
Cuando la empresa desee implantar planes agrupados de formación, lo comunicará por escrito a la representación legal de las personas trabajadoras, teniendo esta la facultad de realizar el correspondiente informe con carácter previo a la elaboración del plan de formación, en un plazo de 15 días hábiles. La representación legal de las personas trabajadoras mantendrá su facultad informativa durante la ejecución del plan de formación.
ARTÍCULO 35º.- PERMISOS NO RETRIBUIDOS.
1. Se concederán permisos no retribuidos de hasta diez días, ampliables de mutuo acuerdo hasta quince días para asuntos propios. En cada momento, los permisos concedidos no rebasarán el 5 % de la plantilla, salvo pacto en contrario con los representantes de los trabajadores, o pacto que amplíe el mencionado porcentaje.
a) La persona trabajadora deberá solicitar por escrito este permiso con al menos 15 días de antelación a la fecha de disfrute del mismo.
b) La empresa atenderá las solicitudes por estricto orden de entrada, de manera que en aquellos casos en que en la fecha solicitada se rebase el límite del 5 % señalado en los párrafos anteriores, se concederán los permisos al personal que primero lo hubiesen solicitado.
c) La empresa deberá responder por escrito la solicitud con al menos 5 días de antelación a la fecha de disfrute del permiso, debiendo motivar aquellos casos en los que no fuese posible la concesión del permiso por haberse rebasado el límite del 5 %.
d) En el supuesto de que en alguna empresa este límite del 5 % se manifestara insuficiente para atender las peticiones de su personal, esta cuestión podrá ser planteada por el personal concernido ante la Comisión Paritaria del Convenio, la cual se pronunciará al respecto procurando conciliar los intereses de la empresa y de la plantilla.
2. El personal tendrá derecho a permisos no retribuidos para atender a familiares de hasta el segundo grado de consanguinidad o afinidad, o cónyuge o pareja de hecho debidamente inscrita y acreditada.
a) La persona trabajadora solicitante del permiso deberá informar a su empresa de las circunstancias concretas que justifican la concesión de dicho permiso, con indicación del nombre del familiar concernido y de su grado de parentesco con la persona solicitante.
b) La duración del permiso no podrá exceder de la mitad de la duración de la campaña anterior en la empresa.
3. La incorporación al trabajo se producirá de modo automático una vez cese la circunstancia que motivó el permiso, o se cumpla su plazo de duración.
ARTÍCULO 36º.- EXCEDENCIAS.
I. Excedencias por cuidado del menor y cuidado de familiares.
Las excedencias para atender al cuidado de hijos, tanto naturales como adoptivos, o para atender al cuidado de un familiar hasta el segundo grado de consanguinidad o afinidad, o cónyuge o pareja de hecho legalmente registrada, que por razones de edad, accidente o enfermedad no pueda valerse por sí mismo y no desempeñe actividad re-tribuida, podrán ser solicitadas y disfrutadas indistintamente tanto por el trabajador como por la trabajadora. La duración de dichas excedencias podrá ser de hasta tres años, sin la pérdida de los derechos que hubieran adquirido la persona solicitante que se encuentren en esta situación. La existencia de pareja de hecho deberá ser acreditada debidamente.
La reincorporación al trabajo en los casos de dichas excedencias será automática, siempre que se produzca dentro de la campaña de cada empresa y a la persona en ex-cedencia le corresponda en función de su antigüedad.
Las personas trabajadoras que disfruten de estas excedencias podrán anticipar su re-incorporación a su puesto de trabajo, sin necesidad de agotar el periodo para el que hubieran solicitado la excedencia.
Para ello será preciso que den aviso a la empresa de su propósito de volver a su puesto de trabajo, con una antelación mínima de diez días naturales a la fecha de su reingreso anticipado.
II. Resto de excedencias voluntarias.
1. Las personas trabajadoras fijas discontinuas que hayan trabajado, al menos, duran-te una campaña, podrán solicitar una excedencia voluntaria con una duración mínima de 4 meses y máxima de 5 años.
2. Este derecho no podrá ser ejercitado de nuevo por el personal fijo-discontinuo, has-ta que hayan transcurrido, como mínimo, cuatro años desde la finalización de la an-terior excedencia.
3. Esta excedencia voluntaria sólo otorgará a la persona en excedencia el derecho pre-ferente a reingresar a su finalización, en la primera vacante que haya o se produzca, de su especialidad profesional.
4. Por acuerdo entre la empresa y la representación legal de las personas trabajado-ras, se podrá establecer un sistema de prórroga automática de las excedencias, hasta la duración máxima establecida en el apartado 1 de este artículo.
ARTÍCULO 37º.- GUARDA LEGAL.
Las personas trabajadoras que por razones de guarda legal tengan a su cuidado directo algún menor de 12 años o una persona con discapacidad que no desempeñe otra actividad retribuida, o tengan a su cuidado un familiar de hasta segundo grado, o cónyuge, que por razones de edad, accidente o enfermedad no pueda valerse por sí mismo, tendrán derecho a una reducción de la jornada de trabajo diaria, con la disminución proporcional del salario entre, al menos, un octavo y un máximo de la mitad de la duración de aquélla.
ARTÍCULO 38º.- LOCALES SINDICALES Y TABLONES DE ANUNCIOS.
En las empresas cuyas características lo permitan, se pondrá a disposición de los/as delegados/as de personal o del comité de empresa y secciones sindicales, un local adecuado en el que puedan desarrollar sus actividades.
Las empresas facilitarán a las diferentes organizaciones sindicales un lugar adecuado, dentro de los centros de trabajo, para colocar los boletines de información y propaganda de los sindicatos con implantación en la empresa o firmante del presente convenio. Dichos lugares se adecuarán a la magnitud de la representación legal de los trabajadores en el centro de trabajo y/o a las centrales sindicales con representación en el mismo.
ARTÍCULO 39º.- SECCIONES SINDICALES.
En materia de secciones sindicales, las partes firmantes del presente convenio colectivo se remiten a la Ley Orgánica de Libertad Sindical (LOLS).
ARTÍCULO 40º.- NOMBRAMIENTO DE LOS/AS MIEMBROS DE LA COMISIÓN PARITARIA DE VIGILANCIA.
En la primera reunión de la comisión paritaria que se celebre tras la publicación del presente convenio colectivo, las partes signatarias, sindical y empresarial, designan a las personas titulares, y suplentes, en su caso, de la comisión paritaria.
ARTÍCULO 41º.- CONTROL DE ENTRADA Y SALIDA DEL TRABAJO.
Las empresas establecerán medios que permitan dejar constancia de las horas de entrada y salida al centro de trabajo de cada persona trabajadora.
ARTÍCULO 42º.- ROPA DE TRABAJO.
Las empresas facilitarán ropa de trabajo al personal fijo, fijo-discontinuo y temporal cuando las faenas que realicen sean marcadamente sucias o produzcan un acusado deterioro de su ropa personal. La ropa de trabajo sería reemplazada por otra nueva cuando esté gastada por el uso. El personal está obligado a utilizar la ropa de trabajo. El incumplimiento de esta obligación de usar la ropa de trabajo constituirá falta laboral. Las discrepancias que, en esta materia, puedan suscitarse entre las empresas y la representación legal de las personas trabajadoras, serán planteadas ante el Gabinete Técnico Provincial de Seguridad e Higiene en el Trabajo.
ARTÍCULO 43º.- INSTALACION Y ADECUACIÓN DE MAQUINARIA.
Las empresas informarán a los/as delegados/as de prevención o, en su defecto, a la representación legal de las personas trabajadoras, de la instalación de nueva maquinaria, o modificación notable de la existente, con carácter previo a la puesta en práctica de estas medidas.
El personal tendrá derecho a efectuar propuestas a la empresa, directamente o por medio de los/as delegados/as de prevención, dirigidas a la mejora de los niveles de protección de la seguridad y salud en la empresa.
ARTÍCULO 44º.- SALARIO EN JORNADA INCOMPLETA.
En los trabajos de manipulado de cítricos, si se trabajase una jornada diaria inferior a la ordinaria por circunstancias ajenas a la voluntad de la empresa y el personal, se abonará, como mínimo, el salario correspondiente a cuatro horas de trabajo. Esta norma no será de aplicación cuando exista contrato a tiempo parcial en el que se contemple una jornada laboral diaria inferior a cuatro horas, o cuando se considere que existe una distribución irregular de la jornada de acuerdo con lo establecido en el artículo 12 del presente convenio colectivo.
ARTÍCULO 45º.- IGUALDAD DE GÉNERO (PLANES DE IGUALDAD).
El salario de los hombres y de las mujeres en cada categoría profesional, especialidad y puestos de igual valor será el mismo.
Las organizaciones firmantes del presente convenio, tanto sindicales como empresariales entienden que es necesario establecer un marco normativo general de intervención a nivel sectorial para garantizar que el derecho fundamental a la igualdad de trato y oportunidades en las empresas sea real y efectivo.
Por ello, de conformidad con lo establecido en la Ley Orgánica 3/2007 de 22 de marzo, las empresas con más de 50 trabajadores deberán elaborar y aplicar un plan de igualdad, en los plazos que se indican en dicha norma, que deberá negociarse de acuerdo con lo dispuesto en la Ley Orgánica y su normativa de desarrollo.
La elaboración e implantación de planes de igualdad será voluntaria para las demás empresas, previa consulta a la representación legal de los trabajadores.
ARTÍCULO 46º.- CUIDADO DEL LACTANTE.
En los supuestos de nacimiento, adopción, guarda con fines de adopción o acogimiento, de acuerdo con el artículo 45.1.d) del Estatuto de los Trabajadores, las personas trabajado-ras tendrán derecho a una hora de ausencia del trabajo, que podrán dividir en dos fracciones, para el cuidado del lactante hasta que este cumpla nueve meses. La duración del permiso se incrementará proporcionalmente en los casos de nacimiento, adopción, guarda con fines de adopción o acogimiento múltiples.
La persona trabajadora, por su voluntad, podrá sustituir este derecho por una reducción de su jornada en media hora con la misma finalidad o acumularlo en jornadas completas.
El personal fijo discontinuo podrá igualmente acumular este permiso en proporción al tiempo que le quede para la finalización de la campaña en curso o para el inicio de la siguiente. A tal efecto se tomará como referencia el tiempo trabajado por la misma persona trabajadora o por aquella que ocupe el puesto siguiente en la lista de llamamiento la campaña anterior a aquella en la que solicitase la acumulación del permiso.
El personal fijo continuo podrá acumular este permiso hasta un total de 15 días laborables.
La reducción de jornada contemplada en este apartado constituye un derecho individual de las personas trabajadoras sin que pueda transferirse su ejercicio a la otra persona progenitora, adoptante, guardadora o acogedora. No obstante, si dos personas trabajadoras de la misma empresa ejercen este derecho por el mismo sujeto causante, podrá limitarse su ejercicio simultáneo por razones fundadas y objetivas de funcionamiento de la empresa, debidamente motivadas por escrito, debiendo en tal caso la empresa ofrecer un plan alternativo que asegure el disfrute de ambas personas trabajadoras y que posibilite el ejercicio de los derechos de conciliación.
Cuando ambas personas progenitoras, adoptantes, guardadoras o acogedoras ejerzan este derecho con la misma duración y régimen, el periodo de disfrute podrá extenderse hasta que el lactante cumpla doce meses, con reducción proporcional del salario a partir del cumplimiento de los nueve meses.
ARTÍCULO 47º.- VIOLENCIA DE GÉNERO.
La persona víctima de violencia de género tendrá derecho, para hacer efectiva su protección o su derecho a la asistencia social íntegra, a la reducción de la jornada de trabajo con disminución proporcional del salario o a la reordenación del tiempo de trabajo, a través de la adaptación del horario, de la aplicación del horario flexible o de otras formas de ordenación del tiempo de trabajo que se utilicen en la empresa.
ARTÍCULO 48º.- JUBILACIÓN OBLIGATORIA.
Las empresas podrán decidir la jubilación obligatoria de cualquier persona trabajadora que tenga cumplida la edad legal de jubilación en cada momento y derecho al 100 % de la pensión de jubilación.
Para llevar a cabo esta medida, la empresa deberá adoptar alguna de las siguientes medidas de fomento de empleo:
– Transformar un contrato temporal en fijo o fijo discontinuo.
– Contratar a una nueva persona trabajadora en la empresa.
Se entenderá que se han cumplido las anteriores medidas cuando la fecha de contratación, o de transformación del contrato, sea tres meses anterior o posterior a la jubilación.
Para llevar a cabo esta medida, las empresas podrán requerir a las personas trabajadoras, con carácter previo al cumplimiento de su edad de jubilación, la aportación de los informes o certificados necesarios para conocer el tiempo cotizado de esa persona.
Se considerará desobediencia grave la no aportación por parte de la persona trabajadora, de la información requerida, en el plazo de un mes, sin justificación válida.
ARTÍCULO 49º.- IGUALDAD DE TRATO Y NO DISCRIMINACIÓN.
Las organizaciones firmantes del presente convenio, tanto sindicales como empresariales, muestran su firme voluntad de contribuir a crear un marco que garantice la igualdad de trato y no discriminación a todas las personas a las que resulta de aplicación. Especialmente pretende conseguir la igualdad real y efectiva en el seno de las empresas para las personas LGTBI, sin que exista discriminación ni directa ni indirectamente por razón de orientación e identidad sexual, expresión de género o características sexuales.
ARTÍCULO 50º.- ACCESO AL EMPLEO Y NO DISCRIMINACIÓN LGTBI.
Con la finalidad de erradicar estereotipos en el acceso al empleo de las personas LGTBI, las empresas deberán proporcionar a las personas de sus plantillas con responsabilidades en materia de selección la formación adecuada para que se establezcan criterios claros y concretos para garantizar un adecuado proceso de selección y contratación que priorice la formación o idoneidad de la persona candidata para el puesto de trabajo, independientemente de su orientación e identidad sexual o su expresión de género, con especial atención a las personas trans como colectivo especialmente vulnerable.
ARTÍCULO 51º.- CLASIFICACIÓN Y PROMOCIÓN PROFESIONAL Y NO DISCRIMINA-CIÓN LGTBI.
Las partes firmantes del presente convenio garantizan que la clasificación profesional con-tenida en el mismo está libre de discriminación directa o indirecta para las personas LGTBI. No obstante, la comisión paritaria atenderá cualquier consulta que se le plantee en esta materia cuando alguna de las partes a las que resulta de aplicación este convenio considere que la clasificación contenida en el mismo puede contener algún criterio o amparar alguna práctica que resulte contraria al respeto a las personas LGTBI.
Las empresas a las que resulte aplicable el presente Convenio deberán revisar sus procedimientos internos de promoción con la finalidad de garantizar que de la aplicación de los mismos no resulten discriminaciones directas o indirectas para las personas LGTBI.
ARTÍCULO 52º.- FORMACIÓN, SENSIBILIZACIÓN Y LENGUAJE Y NO DISCRIMINACIÓN LGTBI.
Las empresas integrarán en sus planes de formación módulos específicos sobre los derechos de las personas LGTBI en el ámbito laboral, con especial incidencia en la igualdad de trato y oportunidades y en la no discriminación. La formación irá dirigida a toda la plantilla, incluyendo a los mandos intermedios, puestos directivos y personas trabajadoras con responsabilidad en la dirección de personal y recursos humanos. Los aspectos mínimos que deberán contener son:
– Conocimiento general y difusión del conjunto de medidas planificadas LGTBI recogidas en el presente convenio y en el resto de los convenios, en su caso, aplicables a la empresa, así como su alcance y contenido.
– Conocimiento de las definiciones y conceptos básicos sobre diversidad sexual, familiar y de género contenidas en la Ley 4/2023, de 28 de febrero, para la igualdad real y efectiva de las personas trans y para la garantía de los derechos de las personas LGTBI.
– Conocimiento y difusión del protocolo de acompañamiento a las personas trans en el empleo, en caso de que disponga del mismo.
– Conocimiento y difusión del protocolo para la prevención, detección y actuación frente al acoso discriminatorio o violencia por razón de orientación e identidad sexual, expresión de género y características sexuales.
Las empresas deberán adoptar medidas para garantizar la utilización de un lenguaje respetuoso con la diversidad. Entre otras, se podrán adoptar las siguientes:
– Difusión de guías de lenguaje respetuoso con la diversidad entre el personal.
– Realizar recomendaciones sobre esta materia al personal con responsabilidades en la elaboración de documentación interna, comunicados internos o redes sociales y medios de comunicación.
ARTÍCULO 53º.- ENTORNOS LABORALES DIVERSOS, SEGUROS E INCLUSIVOS.
Se promoverá en las empresas la heterogeneidad de las plantillas para lograr entornos laborales diversos, inclusivos y seguros. Para ello se garantizará la protección contra comportamientos LGTBIfóbicos, especialmente, a través del protocolo frente al acoso y la violencia en el trabajo que se establecen en el anexo 6 del presente convenio.
ARTÍCULO 54º.- PERMISOS Y BENEFICIOS SOCIALES Y NO DISCRIMINACIÓN LGTBI.
Las empresas deberán revisar que todos los permisos, licencias, excedencias y demás medidas destinadas a favorecer la conciliación de la vida laboral, personal y familiar no generen ningún tipo de discriminación por razón de orientación sexual e identidad sexual, expresión de género o características sexuales.
Esta revisión deberá realizarse cada vez que se modifique o se establezca una de estas medidas.
En caso de conflicto sobre este extremo, se podrá plantear consulta por escrito a la comisión paritaria del convenio.
ARTÍCULO 55º.- PROTOCOLO ACTUACIÓN ACOSO.
En el anexo 6 del presente convenio colectivo se incluye un protocolo de actuación frente a las actuaciones de acoso sexual, acoso por razón de sexo, acoso laboral (mobbing) y acoso o violencia contra las personas LGTBI.
Dicho protocolo resultará de aplicación a todas las empresas incluidas en los ámbitos geográfico y funcional del presente convenio colectivo que no tuvieran un protocolo propio.
ARTÍCULO 56º.- VINCULACIÓN A NORMAS.
En lo no dispuesto en este convenio colectivo, será de aplicación el Acuerdo de Sustitución de la Reglamentación Nacional de Trabajo del Manipulado y Envasado para el Comercio y Exportación de Agrios, suscrito en fecha 3 de julio de 1997.
ARTÍCULO 57º.- VINCULACIÓN A LA TOTALIDAD.
A los efectos de la aplicación del presente convenio colectivo, las partes firmantes reconocen la existencia de cinco grandes bloques de materias que se describen a continuación:
– ÁMBITO Y APLICACIÓN DEL CONVENIO COLECTIVO (artículos 2, 3, 4, 5, 14, 15, 16, 17, 40, 56, 57 y cláusulas adicionales).
– TIEMPO DE TRABAJO Y CONDICIONES ECONÓMICAS (artículos 6, 9, 10, 11, 12, 13, 18, 20, 21, 22, 23 y 44).
– CLASIFICACIÓN PROFESIONAL, ORDENACIÓN DEL TRABAJO Y CONTRA-TACIÓN (artículos 8, 28, 29, 32, 33, 41, 42, 43, 45, 48, 49, 50, 51, 52, 53, 54 y 55).
– PERMISOS Y EXCEDENCIAS (artículos 7, 19, 24, 31, 35, 36, 37, 46 y 47).
– GARANTÍAS SINDICALES (artículos 23, 30, 34, 38 y 39).
Por lo que, en el supuesto de que la Autoridad Administrativa o Laboral en el ejercicio de sus facultades impugnase, o un órgano judicial anulase alguno de sus artículos, los artículos de dicho bloque podrán quedar sin eficacia práctica en su totalidad, siempre que alguna de las partes firmantes del mismo así lo solicite, debiendo reconsiderarse el bloque completo. En caso contrario, quedaría en vigor el texto completo, salvo el artículo impugnado/anulado.
En el supuesto de que se inste la anulación del bloque completo, la Comisión Paritaria vendrá obligada a convocar a las partes para las nuevas deliberaciones en el plazo de tres meses contados a partir del conocimiento fehaciente de la resolución administrativa o judicial por parte de los componentes de la misma.
CLÁUSULAS ADICIONALES.
PRIMERA: CLÁUSULA DE INAPLICACIÓN DE CONDICIONES DE ESTE CONVENIO
Por acuerdo entre la empresa y la representación legal de los/as trabajadores/as legitima-dos para negociar un convenio colectivo de empresa conforme a lo previsto en el artículo 87.1 del Estatuto de los Trabajadores, se podrá proceder, previo desarrollo de un periodo de consultas en los términos del artículo 41.4 del Estatuto de los Trabajadores, a inaplicar las condiciones de trabajo previstas en el presente convenio colectivo, de conformidad con lo previsto en el artículo 82.3 del Estatuto de los Trabajadores, y con las siguientes especialidades:
1. La empresa comunicará por escrito el inicio del periodo de consultas de forma simultánea a la representación de las personas trabajadoras y a la comisión paritaria del presente convenio colectivo.
2. En el supuesto de que las causas alegadas fueran económicas, la Empresa deberá entregar a los representantes de los trabajadores la documentación en la que funde la causa y específicamente alguno de los siguientes documentos: cuentas anuales o impuesto de sociedades del último ejercicio cerrado, o declaraciones de IVA, de los periodos que pongan de manifiesto la causa alegada, así como cualquier otra documentación que la empresa considere que justifica la medida propuesta.
3. Si las causas alegadas son de otra índole, será necesario exponerlas por escrito, o aportar documentación que las justifique.
4. La duración de la inaplicación no puede superar la vigencia del presente convenio colectivo.
5. En caso de no existir representación legal de los trabajadores en la empresa, se en-tenderá atribuida a los sindicatos más representativos y con legitimación para formar parte de la comisión negociadora del presente convenio, salvo que los trabajadores decidiesen atribuir la representación a la comisión regulada por el artículo 41.4 del Estatuto de los Trabajadores.
6. El acuerdo de inaplicación de condiciones del presente convenio colectivo se deberá notificar a la comisión paritaria.
7. En caso de falta de acuerdo en el periodo de consultas se deberá actuar conforme a lo previsto en el artículo 82.3 del Estatuto de los Trabajadores.
SEGUNDA: RÉGIMEN DISCIPLINARIO.
Definición de faltas laborales.
1. Los/as trabajadores/as podrán ser sancionados, por las empresas, por las faltas labora-les que cometan, de acuerdo con el procedimiento, y conforme a la graduación de faltas y sanciones, que se determinan en este título.
2. Se consideran faltas laborales las acciones u omisiones del trabajador/a que supongan el desconocimiento o incumplimiento de las obligaciones, de cualquier índole, que vengan impuestas por las disposiciones laborales en vigor y, en especial, por el presente acuerdo.
3. Las faltas se clasifican en leves, graves y muy graves.
Faltas leves.
Se consideran faltas leves:
1. De una a tres faltas de puntualidad injustificadas, en el período de un mes.
2. No notificar a la empresa, en el plazo de dos días hábiles, cualquier causa justificada de inasistencia al trabajo, salvo que el trabajador acredite la imposibilidad de realizar esta notificación.
3. Faltar al trabajo un día, en el período de un mes, sin causa que lo justifique.
4. El uso no autorizado y con carácter personal de las herramientas de la empresa, dentro o fuera de la jornada laboral, para fines particulares. A estos efectos tendrán también la consideración de herramientas todos los equipos informáticos. Esta falta podrá tener la consideración de muy grave si llegase a causar graves consecuencias para la empresa.
5. Los altercados sobre asuntos extraños al trabajo dentro de las dependencias de la empresa.
6. El uso del teléfono móvil en el trabajo. Cuando además de una distracción, la tenencia del teléfono móvil en el lugar de trabajo atente contra normas de seguridad o calidad alimentaria, podrá ser considerada infracción muy grave.
7. El abandono no justificado del puesto de trabajo durante breve tiempo de la jornada.
8. La embriaguez no habitual durante el trabajo.
9. Guardar alimentos fuera de las zonas habilitadas para ello.
10. No utilizar la ropa de trabajo facilitada, así como los elementos necesarios (como guantes o gorros) para la protección de la seguridad e higiene en el trabajo y/o de las instalaciones de la empresa, salvo que constituya falta grave de acuerdo con lo dispuesto en el apartado siguiente.
11. La utilización de lenguaje que resulte hiriente o que atente contra las personas LGTBI.
Faltas graves.
Se consideran faltas graves:
1. De cuatro a ocho faltas de puntualidad injustificadas, en el período de un mes.
2. Faltar dos días al trabajo, sin justificación, en el período de un mes.
3. La falta de aseo o limpieza personal, si es habitual.
4. Contribuir a simular la presencia de otro trabajador en la empresa, firmando o fichando por él a la entrada o a la salida del trabajo.
5. La imprudencia en el desempeño del trabajo, si la misma conlleva riesgo de accidente para el trabajador o para sus compañeros, o si supone peligro de avería o incendio de las instalaciones o materiales.
6. El incumplimiento de las órdenes o instrucciones de los superiores, dadas dentro de la legalidad, cuando no sea reiterado o no se ocasionen por su causa perjuicios considerables a la empresa o a terceros.
7. El incumplimiento de las órdenes o la inobservancia de las normas de prevención de riesgos laborales, normas de calidad, de calidad alimentaria o cualesquiera otras normas, instrucciones o procedimientos que sean de aplicación en la empresa, cuando del mismo no se derive riesgo alguno para los compañeros o el proceso productivo.
8. Ausentarse sin permiso o causa justificada del puesto de trabajo durante más de media hora.
9. La reiteración en la no utilización la ropa de trabajo facilitada, así como los elementos necesarios (como guantes o gorros) para la protección de la seguridad e higiene en el trabajo y alimentaria. Utilizar la ropa de trabajo fuera del horario de trabajo y/o de las instalaciones de la empresa. Si de cualquiera de estos comportamientos se derivase un riesgo para las personas o para el proceso productivo, podrá ser sancionado como falta muy grave.
10. La negligencia o imprudencia graves en el desarrollo de la actividad encomendada, cuyas actuaciones deriven en consecuencias de consideración tanto para la empresa, los/as compañeros/as como para el propio trabajador/a.
11. Introducir o facilitar el acceso al centro de trabajo a personas no autorizadas.
12. Portar drogas, comer, masticar o beber fuera de los lugares habilitados para tales fines.
13. El consumo durante el tiempo de trabajo de sustancias alcohólicas o estupefacientes o acudir al trabajo bajo los efectos de alguna de estas sustancias. Esto será falta muy grave cuando cause perjuicios en el trabajo o, por el puesto desempeñado, pueda suponer riesgo de accidente para las personas.
14. Realizar comentarios, aun a título de broma o chiste, cobre la orientación o identidad sexual, expresión de género o características sexuales de cualquier persona relacionada con el trabajo, bien sea personal de la empresa, personal cliente o proveedor o personal candidato, siempre que no pueda considerarse acoso.
15. La reincidencia en la comisión de faltas leves -excepto las de puntualidad e inasistencia- aunque sean de distinta naturaleza, en un periodo de seis meses, siempre que hayan sido sancionadas.
Faltas muy graves.
Se consideran faltas muy graves:
1. Más de ocho faltas de puntualidad, no justificadas, en un período de seis meses.
2. La inasistencia al trabajo, no justificada, durante tres o más días en el período de un mes.
3. La indisciplina o desobediencia en materia grave o si constituye una conducta continua-da.
4. Las ofensas verbales o físicas al empresario o a los compañeros de trabajo.
5. El fraude, la deslealtad o el abuso de confianza en el trabajo, gestión o actividad encomendadas; así como el hurto, el robo, tanto a sus compañeros como a la Empresa, o a cualquier persona que se encontrase dentro del centro de trabajo o fuera del mismo con ocasión de la actividad laboral.
6. Ocasionar accidentes graves, por negligencia o imprudencia inexcusables, con daños para las personas o para las cosas.
7. La disminución, continuada y voluntaria, en el rendimiento del trabajo, normal o pactado.
8. El acoso sexual, especialmente cuando vaya acompañado de abuso de posición prevalente por ser efectuado por un/una superior/a a persona subordinada laboralmente. Así como el acoso por cualquier otro motivo discriminatorio.
9. El incumplimiento o inobservancia de las normas de prevención de riesgos laborales, normas de calidad, de seguridad alimentaria o cualesquiera otras normas, instrucciones o procedimientos que sean de aplicación en la empresa cuando de las mismas se derive riesgo para los compañeros o el proceso productivo, o fueran causa de accidente laboral, aun leve, o hubieran podido afectar a la producción o a la calidad del producto.
10. Hacer desaparecer, inutilizar, destrozar o causar desperfectos voluntaria e intencionadamente en cualquier material, herramientas, máquinas, instalaciones, edificios, aparatos, enseres, documentos, libros o vehículos de la empresa o del centro de trabajo.
11. Falsear datos de la empresa o relativos al proceso productivo, así como la ocultación maliciosa de los errores y equivocaciones que originen o pudieran ocasionar perjuicio para la empresa, aunque el mismo no se materialice.
12. Violar el secreto de la correspondencia o documentos reservados de la empresa o de los/las trabajadores/as.
13. Revelar a terceros o sacar de la empresa documentación privada de la misma para uso personal.
14. El acoso o la violencia contra las personas LGTBI en el trabajo.
15. La reincidencia en la comisión de falta grave, aunque no sea de la misma naturaleza, dentro de los seis meses de haberse sancionado la primera falta grave.
Sanciones.
Las empresas podrán imponer a los/as trabajadores/as, en función de la calificación de las faltas cometidas y de las circunstancias que hayan concurrido en su comisión, las sanciones siguientes:
1. Por faltas leves:
a) Amonestación por escrito.
b) Suspensión de empleo y sueldo de un día.
2. Por faltas graves:
Suspensión de empleo y sueldo de dos a quince días.
3. Por faltas muy graves:
a) Suspensión de empleo y sueldo de dieciséis a sesenta días.
b) Despido.
Ejecución de las sanciones.
Todas las sanciones podrán ser ejecutivas desde el momento en que se notifiquen a la persona trabajadora sancionada, sin perjuicio de su derecho a interponer reclamación contra las mismas ante la jurisdicción laboral, lo cual no supondrá la suspensión de su aplicación.
Procedimiento.
1. Las sanciones por las faltas sean leves, graves o muy graves deberán ser comunicadas al trabajador/a por escrito, haciendo constar en el mismo la fecha desde la que surtirá efecto la sanción y los hechos que la motivan.
2. La representación legal de los trabajadores será informada, por la empresa, por escrito, de las sanciones impuestas por faltas graves y muy graves.
3. Se tramitará expediente contradictorio para la imposición de sanciones, por faltas graves y muy graves, a los representantes legales de los trabajadores, en el cual serán oídos, además del interesado, el Comité de Empresa o los restantes delegados de personal.
Prescripción.
Las faltas leves prescribirán a los diez días, las faltas graves a los veinte días, y las faltas muy graves a los sesenta días, a partir de la fecha en que la empresa tuvo conocimiento de su comisión y, en todo caso, a los seis meses de haberse cometido la falta.
En lo no previsto en el presente régimen disciplinario se estará a lo dispuesto en la legislación vigente.
TERCERA: SEGURIDAD ALIMENTARIA.
Dada la importancia que tiene para el sector de actividad que se rige por el presente convenio, el respeto y cumplimiento de las normas de seguridad alimentaria y calidad, por cuanto se trabaja con materia prima fresca de consumo directo, así como por exigencias de los propios clientes y consumidores, constituye norma de especial vigilancia y cumplimiento las relativas a seguridad alimentaria.
En este sentido, las empresas podrán establecer internamente normas de seguridad alimentaria de obligado cumplimiento, elaboradas en aplicación de sistemas de certificación de calidad, la cuales serán objeto de información y comunicación al comité de empresa y sus trabajadores.
Por parte de la representación sindical son conscientes de la importancia del respeto de dichas normas y muestran su compromiso a difundir entre los trabajadores la necesidad de las mismas y su cumplimiento.
En el seno de la comisión paritaria del convenio, las partes pondrán proponer cualquier acción que pueda contribuir a la mejora de esta finalidad.
CLÁUSULAS TRANSITORIAS.
PRIMERA: AJUSTE ESPECIALIDADES.
En el plazo de un mes desde la publicación del presente convenio colectivo, las empresas deberán informar al personal que ostente la especialidad de mecánico o mecánica de su nueva especialidad (operario de mantenimiento u oficial de primera de mantenimiento), sin que este cambio pueda suponer pérdida retributiva respecto a su salario previo a la entrada en vigor del presente convenio.
En el mismo plazo de un mes desde la publicación del presente convenio colectivo, las empresas deberán informar al personal que ostente la especialidad de peón maquinista u operario de máquina de su nueva especialidad (maquinista o alguna de las especialidades incluidas en el subgrupo de personal base). Al igual que en el supuesto anterior, en ningún caso este cambio podrá suponer pérdida retributiva respecto a su salario previo a la entrada en vigor del presente convenio.
ANEXO 1.- SOLICITUD DE BAJA POR DISMINUCIÓN DEL PRODUCTO (ART. 29.B CONVENIO COLECTIVO MANIPULADO DE CÍTRICOS).
ANEXO 2.- CERTIFICACIÓN DE BAJA POR DISMINUCIÓN DEL PRODUCTO. (ART. 29.B CONVENIO COLECTIVO MANIPULADO DE CÍTRICOS).
ANEXO 3.
ANEXO 4.
ANEXO 5.- ARTÍCULO 37.3 DEL ESTATUTO DE LOS TRABAJADORES
El trabajador, previo aviso y justificación, podrá ausentarse del trabajo, con derecho a remuneración, por alguno de los motivos y por el tiempo siguiente:
a) Quince días naturales en caso de matrimonio o registro de pareja de hecho.
b) Cinco días por accidente o enfermedad graves, hospitalización o intervención quirúrgica sin hospitalización que precise reposo domiciliario del cónyuge, pareja de hecho o parientes hasta el segundo grado por consanguineidad o afinidad, incluido el familiar consanguíneo de la pareja de hecho, así como de cualquier otra persona distinta de las anteriores, que conviva con la persona trabajadora en el mismo domicilio y que requiera el cuidado efectivo de aquella.
b bis) Dos días por el fallecimiento del cónyuge, pareja de hecho o parientes hasta el segundo grado de consanguinidad o afinidad. Cuando con tal motivo la persona trabajadora necesite hacer un desplazamiento al efecto, el plazo se ampliará en dos días.
c) Un día por traslado del domicilio habitual.
d) Por el tiempo indispensable, para el cumplimiento de un deber inexcusable de carácter público y personal, comprendido el ejercicio del sufragio activo. Cuando conste en una norma legal o convencional un periodo determinado, se estará a lo que esta disponga en cuanto a duración de la ausencia y a su compensación económica.
Cuando el cumplimiento del deber antes referido suponga la imposibilidad de la prestación del trabajo debido en más del 20 % de las horas laborables en un periodo de tres meses, podrá la empresa pasar al trabajador afectado a la situación de excedencia regulada en el artículo 46.1.
En el supuesto de que el trabajador, por cumplimiento del deber o desempeño del cargo, perciba una indemnización, se descontará el importe de la misma del salario a que tuviera derecho en la empresa.
e) Para realizar funciones sindicales o de representación del personal en los términos establecidos legal o convencionalmente.
f) Por el tiempo indispensable para la realización de exámenes prenatales y técnicas de prepara-ción al parto y, en los casos de adopción, guarda con fines de adopción o acogimiento, para la asistencia a las preceptivas sesiones de información y preparación y para la realización de los preceptivos informes psicológicos y sociales previos a la declaración de idoneidad, siempre, en todos los casos, que deban tener lugar dentro de la jornada de trabajo.
g) Hasta cuatro días por imposibilidad de acceder al centro de trabajo o transitar por las vías de circulación necesarias para acudir al mismo, como consecuencia de las recomendaciones, limitaciones o prohibiciones al desplazamiento establecidas por las autoridades competentes, así como cuando concurra una situación de riesgo grave e inminente, incluidas las derivadas de una catástrofe o fenómeno meteorológico adverso.
Transcurridos los cuatro días, el permiso se prolongará hasta que desaparezcan las circunstancias que lo justificaron, sin perjuicio de la posibilidad de la empresa de aplicar una suspensión del contrato de trabajo o una reducción de jornada derivada de fuerza mayor en los términos previstos en el artículo 47.6.
Cuando la naturaleza de la prestación laboral sea compatible con el trabajo a distancia y el estado de las redes de comunicación permita su desarrollo, la empresa podrá establecerlo, observando el resto de las obligaciones formales y materiales recogidas en la Ley 10/2021, de 9 de julio, de trabajo a distancia, y, en particular, el suministro de medios, equipos y herramien-tas adecuados.
g) [sic] Por el tiempo indispensable para la realización de los actos preparatorios de la donación de órganos o tejidos siempre que deban tener lugar dentro de la jornada de trabajo.
El permiso regulado en la letra b) podrá disfrutarse de forma no consecutiva y mientras dure la causa que lo originó.
En todos los casos los permisos se disfrutarán en días laborables, excepto el regulado en la letra a).
ANEXO 6.- PROTOCOLO DE PREVENCIÓN Y TRATAMIENTO DE SITUACIONES DE ACOSO SEXUAL Y POR RAZÓN DE SEXO, ACOSO Y VIOLENCIA CONTRA LAS PERSONAS LGTBI Y ACTOS DISCRIMINATORIOS.
1. Declaración de principios.
Entre los principios de conducta y actuación de las empresas incluidas dentro del ámbito funcional del presente convenio colectivo está el «respeto a las personas» como condición indispensable para el desarrollo individual y profesional, teniendo su reflejo más inmediato en los principios de «respeto a la legalidad» y «respeto a los Derechos Humanos» que regulan la actividad de todas las personas en el ejercicio de sus funciones, que obliga a observar un trato adecuado, respetuoso y digno, garantizando la salvaguarda de los derechos fundamentales de carácter laboral, la dignidad, la intimidad personal y la igualdad.
En este mismo sentido, la Ley Orgánica 3/2007, de 22 de marzo, para la Igualdad efectiva de mujeres y hombres reconoce que la igualdad es un principio jurídico universal reconocido en diversos textos internacionales sobre derechos humanos, instituyendo la obligación de promover condiciones de trabajo que eviten la situaciones de acoso sexual y por razón de sexo, así como arbitrando procedimientos específicos para su prevención y dar cauce a las denuncias o reclamaciones que puedan formular quienes hayan sido objeto del mismo.
La anterior declaración se reitera en la Ley 4/2023, de 28 de febrero, para la igualdad real y efectiva de las personas trans y para la garantía de los derechos de las personas LGTBI, cuyo objetivo es desarrollar y garantizar los derechos de las personas lesbianas, gais, bisexuales, trans e intersexuales erradicando las situaciones de discriminación, para asegurar que en España se pueda vivir la orientación sexual, la identidad sexual, la expresión de género, las características sexuales y la diversidad familiar con plena libertad.
Las organizaciones firmantes del presente convenio colectivo consideramos que las conductas contrarias a los principios anteriormente enunciados, y más concretamente, aquellas que el presente texto identifique como conductas de acoso, son inaceptables, y por tanto debe adoptarse en todos los niveles un compromiso mutuo de colaboración, en la tolerancia cero ante cualquier tipo de acoso.
El presente protocolo tiene como objetivo prevenir que se produzca el acoso en el entorno laboral y, si ocurre, asegurar que se dispone de los procedimientos adecuados para tratar el problema y evitar que se repita. Con estas medidas se pretende garantizar en las empresas entornos laborales libres de acoso, en los que todas las personas están obligadas a respetar su integridad y dignidad en el ámbito profesional y personal.
Por lo anteriormente expuesto, y en desarrollo del deber establecido en el artículo 48.1 de la Ley Orgánica 3/2007 de 22 de marzo para la Igualdad efectiva de mujeres y hombres, BOE 23/3/2007, así como en el ARTÍCULO 15.1 de la Ley 4/2023, de 28 de febrero, para la igualdad real y efectiva de las personas trans y para la garantía de los derechos de las personas LGTBI. las partes firmantes acuerdan el siguiente protocolo:
2. Ámbito de aplicación.
El presente protocolo resultará de aplicación a todas las empresas que se encuentren en el ámbito de aplicación del convenio colectivo de manipulado y envasado de cítricos, frutas y hortalizas para la Comunitat Valenciana que no tuvieran un protocolo propio.
Dentro de estas empresas, el protocolo resultará de aplicación a todas sus personas trabajadoras, con independencia de su nivel jerárquico.
Será también de aplicación a todas las personas que presten servicios en la empresa con independencia del vínculo jurídico que las una a esta, siempre que desarrollen su actividad dentro del ámbito organizativo de la empresa.
También se aplicará a quienes solicitan un puesto de trabajo, al personal de puesta a disposición, proveedores, clientes y visitas, entre otros.
En caso de conflicto por resultar de aplicación más de un protocolo de actuación frente al acoso y la violencia contra las personas LGTBI, deberá aplicarse el presente protocolo siempre que a la persona denunciada le resulte de aplicación el convenio colectivo de manipulado y envasado de cítricos, frutas y hortalizas para la Comunitat Valenciana.
3. Principios rectores y garantías del procedimiento.
– Agilidad, diligencia y rapidez en la investigación y resolución de la conducta denunciada que deben ser realizadas sin demoras indebidas, respetando los plazos que se determinen para cada parte del proceso y que constan el presente protocolo.
– Respeto y protección de la intimidad y dignidad a las personas afectadas ofreciendo un tratamiento justo a todas las implicadas.
– Confidencialidad: las personas que intervienen en el procedimiento tienen obligación de guardar una estricta confidencialidad y reserva, no transmitirán ni divulgarán información sobre el contenido de las denuncias presentadas, en proceso de investigación o resueltas.
– Protección suficiente de la víctima ante posibles represalias, atendiendo al cuidado de su seguridad y salud, teniendo en cuenta las posibles consecuencias tanto físicas como psicológicas que se deriven de esta situación y considerando especialmente las circunstancias laborales que rodeen a la persona agredida.
– Contradicción a fin de garantizar una audiencia imparcial y un trato justo para todas las personas afectadas.
– Restitución de las víctimas: si el acoso realizado se hubiera concretado en una modificación de las condiciones laborales de la víctima, la empresa debe restituirla en sus condiciones anteriores, si así lo solicitara.
– Prohibición de represalias: queda expresamente prohibido y será declarado nulo cualquier acto constitutivo de represalia, incluidas las amenazas de represalia y las tentativas de represalia contra las personas que presenten una comunicación de denuncia por los medios habilitados para ello, comparezcan como testigos o ayuden o participen en una investigación sobre acoso.
4. Definiciones.
Conviene referir las siguientes definiciones a título meramente orientativo (debiendo estarse en cada momento a la definición legal que, en su caso, se establezca):
– Acoso moral (mobbing): Se entiende como tal toda conducta abusiva o de violencia psicológica que se realice de forma prolongada en el tiempo sobre una persona en el ámbito laboral, manifestada a través de reiterados comportamientos, hechos, órdenes o palabras que tengan como finalidad desacreditar, desconsiderar o aislar a una persona con objeto de conseguir un auto-abandono del trabajo produciendo un daño progresivo y continuo en su dignidad o integridad psíquica. Se considera circunstancia agravante el hecho de que la persona que ejerce el acoso ostente alguna forma de autoridad jerárquica en la estructura de la empresa sobre la persona acosada.
– Acoso sexual: De conformidad con lo establecido en el artículo 2.1.d) de la Directiva 54/2006, de 5 de julio, y artículo 7 de la Ley Orgánica 3/2007 de 21 de marzo, se considera acoso sexual la situación en la que se produce cualquier comportamiento verbal, no verbal o físico, de índole sexual con el propósito o el efecto de atentar contra la dignidad de una persona, en particular cuando se crea un entorno intimidatorio, hostil, degradante, humillante u ofensivo.
– Acoso por razón de sexo: De conformidad con lo establecido en el artículo 2.1.c) de la Directiva 54/2006, de 5 de julio, y artículo 7 de la Ley Orgánica 3/2007 de 21 de marzo se define así la situación en que se produce un comportamiento, realizado en función del sexo de una persona con el propósito o el efecto de atentar contra la dignidad de la persona, y de crear un entorno intimidatorio, hostil, degradante, humillante u ofensivo.
– Acoso por razón de orientación e identidad sexual, expresión de género o características sexuales:
Integra cualquier comportamiento realizado en función de la orientación sexual e identidad sexual, expresión de género o características sexuales de una persona, con el propósito o el efecto de atentar contra su dignidad y de crear un en-torno intimidatorio, degradante u ofensivo.
– Orientación sexual: se define como atracción física, sexual o afectiva hacia una persona.
La orientación sexual puede ser heterosexual, cuando se siente atracción física, sexual o afectiva únicamente hacia personas de distinto sexo; homosexual, cuando se siente atracción física, sexual o afectiva únicamente hacia personas del mismo sexo; o bisexual, cuando se siente atracción física, sexual o afectiva hacia personas de diferentes sexos, no necesariamente al mismo tiempo, de la misma manera, en el mismo grado ni con la misma intensidad. Las personas homosexuales pueden ser gais, si son hombres, o lesbianas, si son mujeres.
– Identidad sexual: se define como vivencia interna e individual del sexo tal y como cada persona la siente y autodefine, pudiendo o no corresponder con el sexo asignado al nacer.
– Expresión de género: se define como manifestación que cada persona hace de su identidad sexual.
5. Conductas constitutivas de acoso sexual, acoso por razón de sexo, acoso o discriminatorias por razón de orientación sexual e identidad sexual, expresión de género o características sexuales.
a) Acoso sexual:
A modo de ejemplo, se consideran constitutivos de acoso sexual los siguientes comportamientos:
– Observaciones sugerentes y desagradables, abusos verbales deliberados de contenido libidinoso.
– Invitaciones impúdicas o comprometedoras.
– Gestos obscenos.
– Contacto físico innecesario, rozamientos.
– Observación clandestina de personas en lugares reservados, como los servicios o vestuarios.
– Conducta verbal de naturaleza sexual como insinuaciones sexuales molestas, proposiciones, flirteos ofensivos, comentarios e insinuaciones obscenas, llamadas telefónicas indeseadas; bromas o comentarios sobre la apariencia sexual; agresiones verbales deliberadas.
– Conducta no verbal de naturaleza sexual, como exhibir fotos de contenido sexual o pornográfico o materiales escritos de tipo sexual o miradas con gestos impúdicos. Cartas o mensajes de correo electrónico de carácter ofensivo y de contenido sexual.
– Demandas de favores sexuales acompañados o no de promesas explícitas o implícitas de trato preferencial, o de amenazas en caso de no acceder a dicho requerimiento.
b) Acoso por razón de sexo:
Entre otros comportamientos, pueden constituir conductas de acoso por razón de sexo:
– Aquellas que supongan un trato desfavorable hacia la persona, relacionado con el embarazo o con el cuidado del menor.
– Comportamientos, conductas o prácticas que se tomen en función del sexo de una persona de forma explícita o implícita y que tengan efecto sobre el empleo o las condiciones de trabajo.
– Ridiculizar a personas porque las tareas que asumen no se ajustan a su rol o estereotipo por razón de sexo impuesto cultural o socialmente.
– Chistes, burlas que ridiculicen el sexo, el origen racial o étnico, la religión o convicciones, la discapacidad, la edad o la orientación u expresión sexual o cualquier otra condición o circunstancia personal o social.
– Menospreciar el trabajo y la capacidad intelectual de las personas por las cir-cunstancias recogidas en el aparatado anterior.
c) Acoso o discriminación por razón de orientación sexual e identidad sexual, expresión de género o características sexuales:
Constituyen ejemplos de discriminación, acoso o violencia por razón de orientación sexual e identidad sexual, expresión de género o características sexuales en el trabajo los que a continuación se detallan, siempre y cuando se realicen en atención a la orientación sexual e identidad sexual, expresión de género o características sexuales de la persona:
– Ataques continuos mediante aislamiento social, impidiendo las relaciones personales con otros compañeros de trabajo, con el exterior, con clientes, etc.
– Ataques constantes a la vida privada o a la persona de la víctima, acciones reiteradas contra la reputación o la dignidad de la persona LGTBI, como críticas hirientes, vejaciones, burlas, deméritos profesionales o de la vida personal, etc.
– Agresiones verbales o físicas, como insultar, criticar permanente y de forma negativa el trabajo de esa persona, amenazas, menosprecios verbales graves, etc.
– Rumores: criticar y difundir rumores contra esa persona, o subestimaciones de forma reiterada.
– En el marco de procesos de selección, solicitar datos personales acerca de la orientación sexual e identidad sexual, expresión de género o características sexuales de la persona trabajadora o solicitante.
En ningún caso estos ejemplos de conductas pretenden ser una enumeración detallada de todas las que sean susceptibles de ser consideradas situación de acoso o discriminación, en cada caso concreto se deberán evaluar el impacto de las mismas.
6. Trámite previo.
En primer lugar, como trámite inicial previo al procedimiento formal (el cual se desarrollará a continuación), se valorará la posibilidad de que la propia persona trabajadora explique claramente a la persona que muestra el comportamiento indeseado, que dicha conducta no es bien recibida, que es ofensiva y que interfiere en su trabajo, a fin de cesar en la misma.
Dicho trámite inicial previo podrá ser llevado a cabo, si la persona trabajadora así lo decide, y a su elección, por una persona representante legal de las personas trabajadoras, por la persona superior inmediata o por una persona trabajadora del departamento de recursos humanos de la empresa. El presente trámite podría ser adecuado para supuestos de acoso en el trabajo no directo, sino ambiental, en los que se ve afectado el entorno laboral.
7. Procedimiento formal.
En caso de que, por tratarse de un acoso directo, por las circunstancias del caso, o por haberse intentado sin éxito el trámite previo, o no resulte adecuado, se iniciará un procedi-miento formal, consistente en las siguientes fases:
1. Inicio del procedimiento.
Se presentará una denuncia por la persona afectada o por quien esta autorice, ante alguna de las siguientes personas:
– Persona que ostente el puesto superior a la persona denunciante.
– Persona integrante del departamento de recursos humanos.
– Persona que forme parte del correspondiente órgano de representación legal de las personas trabajadoras.
También será válida la denuncia presentada a través del canal de denuncias interno de cada compañía.
La denuncia deberá contener los siguientes datos:
– Nombre y puesto de la persona afectada.
– En caso de que no sea la persona afectada quien presenta la denuncia, nombre de la persona denunciante y consentimiento expreso e informado de la persona afecta-da para iniciar las actuaciones del protocolo.
– Nombre y puesto de la persona denunciada.
– Hechos en los que se base la denuncia de la forma más detallada posible.
2. Constitución de la Comisión de Investigación.
La empresa será responsable de la creación de una comisión de investigación que deberá llevar a cabo el expediente Informativo.
Esta comisión deberá quedar constituida en el plazo máximo de cinco días hábiles desde la recepción de la denuncia.
La comisión de investigación estará conformada por un máximo de tres personas designadas por la dirección de la empresa. Los representantes de las personas trabajadoras, a través de uno de sus integrantes, participará en la instrucción del expediente, salvo que la persona afectada manifieste lo contrario y para lo cual se le preguntará expresamente si renuncia a dicha participación.
Esta comisión no podrá estar compuesta por ninguna persona que tenga parentesco, dependencia jerárquica directa o amistad o enemistad manifiesta con alguna de las personas afectada o denunciada.
3. Apertura del expediente informativo.
La denuncia dará lugar a la inmediata apertura de un expediente informativo y confidencial, encaminado a investigar los hechos denunciados, pudiendo dar trámite de audiencia y tomando declaración a todas las partes intervinientes que sea necesario y practicándose cuantas diligencias se estimen oportunas a fin de dilucidar la veracidad de los hechos acaecidos.
4. Medidas cautelares.
Durante la tramitación de dichas actuaciones se posibilitará a la persona afectada o a la denunciada, si estas así lo desean, el cambio en el puesto de trabajo, siempre que ello fuera posible, hasta que se adopte una decisión al respecto. Excepcionalmente, la comisión podrá acordar la exención de la obligación de acudir al puesto de trabajo a las personas implicadas en el Expediente, sin merma alguna en sus derechos laborales, especialmente, los retributivos, en el periodo de tramitación.
5. Conclusión del expediente informativo.
En el plazo de 15 días hábiles desde que se tenga conocimiento oficial de la denuncia, se resolverá dicho Expediente, elaborándose un informe vinculante que recogerá los hechos y conductas planteados, la metodología empleada, la valoración del caso, los resultados de la investigación, las medidas cautelares o preventivas aplicadas o que se aconseje aplicar en adelante, así como las conclusiones, en uno de los siguientes sentidos:
– Constatar indicios de acoso objeto del protocolo y, si procede, proponer la apertura de expediente sancionador, sin que el informe resulte vinculante para la dirección en cuanto a la imposición o no de medidas disciplinarias, ni respecto a la concreta medida a imponer, en su caso.
– No apreciar indicios de acoso objeto del protocolo.
Una vez elaborado el Expediente, se dará traslado del mismo a la dirección de recursos humanos de la empresa para la adopción de las medidas que resulten oportunas, incluidas las disciplinarias.
6. Resolución.
En esta fase se tomarán las medidas de actuación necesarias teniendo en cuenta las evidencias, recomendaciones y propuestas de intervención del informe emitido por la comisión.
La constatación de la existencia de acoso de cualquier tipo dará lugar, entre otras medidas y siempre que el sujeto activo se encuentre dentro del ámbito de dirección y organización de la empresa, a la imposición de una sanción conforme al régimen disciplinario previsto en el presente Convenio. Además, si procede, se aplicarán, o se continuarán aplicando, medidas de protección a la víctima.
A los efectos de la aplicación del régimen disciplinario, se entenderá que la empresa tiene cabal conocimiento de la falta cometida cuando reciba el Expediente una vez concluido.
Exclusivamente en el caso de constatación fehaciente de la falsedad o mala fe respecto de los hechos denunciados, cabe acción disciplinaria contra la persona denunciante, o cualquier persona que comparezca como testigo o participe en el procedimiento.
Si no hubiera evidencias de la existencia de una situación de acoso se procederá a archivar la denuncia.
ANEXO 7.
En cumplimiento de lo previsto en el artículo 85.1 del Estatuto de los Trabajadores, cuando establece que «a través de la negociación colectiva se negociarán protocolos de actuación que recojan medidas de prevención de riesgos específicamente referidas a la actuación fren-te a catástrofes y otros fenómenos meteorológicos adversos», se establecen las siguientes pautas de obligado cumplimiento para todas las empresas a las que resulte de aplicación el presente Convenio colectivo:
1. Las evaluaciones de riesgos de las empresas deberán identificar como posibles riesgos las catástrofes y fenómenos meteorológicos adversos.
Como orientación, se listan algunas catástrofes y fenómenos meteorológicos adver-sos, debiendo identificar cada empresa aquellos -incluidos o no a continuación- que, por su situación geográfica, por la vulnerabilidad del lugar de trabajo o el histórico de sucesos acontecidos, se consideren más probables.
– Fenómenos físicos, ruido, radiación natural (luz, arco luminoso, presurización, despresurización, presión…), temperatura extrema (calor, frío).
– Elementos naturales y atmosféricos (comprende superficies de agua, barro, llu-via, granizo, ráfaga de viento, rayo…).
– Catástrofes naturales o provocadas (tornado, inundación, vulcanismo, terremoto, maremoto, fuego, incendio…).
2. A efectos de determinar la peligrosidad de los fenómenos meteorológicos se podrá seguir el sistema de alertas de la Agencia Estatal de Meteorología (AEMET): https://www.aemet.es/es/eltiempo/prediccion/avisos.
En materia de temperaturas extremas el Ministerio de Sanidad informa diariamente sobre los niveles de riesgo, permitiendo suscribirse a su sistema público de alertas.
3. En las evaluaciones se deberá identificar los puestos de trabajo y su nivel de exposición a los riesgos detectados.
Se incluirá la identificación de los riesgos in itinere ligados a las catástrofes y fenómenos meteorológicos analizados.
4. Igualmente, se analizará la existencia de personas especialmente vulnerables a los riesgos detectados.
5. Se deberán planificar las medidas necesarias para actuar frente a catástrofes y fenómenos meteorológicos adversos, incluyendo medidas preventivas y medidas de emergencia.
Las medidas preventivas podrán incluir formación e información a la plantilla, EPIs, medidas de organización del tiempo de trabajo e incluso de modificación o reducción de la jornada.
Las medidas de emergencia, aun cuando se integren en la evaluación, se documentarán de forma independiente al resto de medidas para facilitar su conocimiento y acceso por toda la plantilla. En relación con estas medidas:
– Deben considerar la información e indicaciones dadas por las autoridades competentes en materia de protección civil e integrar dichas indicaciones en sus propias medidas de emergencia.
– Durante el diseño de las medidas de emergencia, los procedimientos o protocolos de actuación de cada empresa deben considerar la interacción con los servicios operativos externos (bomberos, policía u otros).
– Deben realizarse comprobaciones periódicas o simulacros para garantizar la efecividad de las medidas planificadas.
El protocolo realizado en cada empresa deberá contener:
– En qué condiciones se activará el procedimiento.
– Responsables y forma de comunicar a la plantilla la activación del procedimiento, incluyendo, a las personas trabajadoras que no se encuentren en el centro de tra-bajo y se vayan a incorporar a la actividad y personas trabajadoras de otras em-presas que presten servicios en el centro de trabajo.
– Obligación de comunicar y escuchar a la representación legal de las personas trabajadoras en relación con las decisiones que se adopten ante situaciones de emergencia, siempre que sea posible.
SENTENCIA (DOGV Núm. 10279 / 13.01.2026)
EDICTO por el que se publica la parte dispositiva de la Sentencia número 3326/2025, dictada en el procedimiento de impugnación del convenio colectivo número 38/2025, Sala de lo Social del Tribunal Superior de Justicia de la Comunitat Valenciana.
Fallo
Estimamos la demanda presentada por la Gestora Laboral Mediterránea ETT, SA, contra el Comité de Gestión de Cítricos, Federación de Cooperativas Agroalimentarias de la Comunitat Valenciana (Cooperatives), CCOO INDUSTRIA-PV i UGT FICA-PV; habiendo sido parte el Ministerio Fiscal, y declaramos la nulidad por lesividad del artículo 28.2 del convenio colectivo de manipulado y envasado de cítricos, frutas y hortalizas para la Comunitat Valenciana 2024-2028, publicado en el Diari Oficial de la Generalitat Valenciana de 14 de octubre de 2025 (número 10206).
Sin expresa declaración sobre costas procesales.
València, 8 de enero de 2026.
Carmen Piles Gimeno.
Letrada de la Administración de justicia.
