Índice
CONVENIO COLECTIVO (BOCM Núm. 96 – VIERNES 23 DE ABRIL DE 2021)
RESOLUCIÓN de 7 de abril de 2021, de la Dirección General de Trabajo de la Consejería de Economía, Empleo y Competitividad, sobre registro, depósito y publicación del Convenio Colectivo del Sector de Limpieza Pública Viaria (Capital), suscrito por la Asociación de Empresas de Limpieza Pública (ASELIP) y por la representación sindical, la Federación Regional de Servicios Públicos en representación de la Unión General de Trabajadores (U. G. T.), por la Federación de Construcción y Servicios de CC. OO. de Madrid y el Sindicato de Limpiezas, Mantenimiento Urbano y Medio Ambiente de la Comunidad de Madrid de la Confederación General de Trabajo (CGT) (código número 28002595011982).
Examinado el texto del Convenio Colectivo del Sector de Limpieza Pública Viaria (Capital), suscrito por la organización empresarial ASELIP y por las organizaciones sindicales U. G. T., CC. OO. y CGT, el día 10 de noviembre de 2020, completada la documentación exigida en los artículos 6 y 7 del Real Decreto 713/2010, de 28 de mayo, sobre Registro y Depósito de Convenios y Acuerdos Colectivos de Trabajo, y de conformidad con lo dispuesto en el artículo 2.1.a) de dicho Real Decreto, en el artículo 90.2 y 3 del Texto Refundido de la Ley del Estatuto de los Trabajadores, aprobado por Real Decreto Legislativo 2/2015, de 23 de octubre, y con el artículo 6 del Decreto 52/2019, de 19 de agosto, de la Presidenta de la Comunidad de Madrid, por el que se establece el número y denominación de las Consejerías de la Comunidad de Madrid, en relación con el artículo 5 del Decreto 73/2019, de 27 de agosto, del Consejo de Gobierno, por el que se modifica la estructura orgánica de las Consejerías de la Comunidad de Madrid y con el artículo 13 del Decreto 287/2019, de 12 de noviembre, del Consejo de Gobierno, por el que se establece la estructura orgánica de la Consejería de Economía, Empleo y Competitividad, esta Dirección General
RESUELVE
1. Inscribir dicho convenio en el Registro Especial de Convenios Colectivos de esta Dirección y proceder al correspondiente depósito en este Organismo.
2. Disponer la publicación del presente Anexo, obligatoria y gratuita, en el BOLETÍN OFICIAL DE LA COMUNIDAD DE MADRID.
Contra la presente Resolución podrá interponerse recurso de alzada ante la Viceconsejería de Empleo de la Consejería de Economía, Empleo y Competitividad de la Comunidad de Madrid, de acuerdo con los artículos 112, 121 y 122 de la Ley 39/2015, de 1 de octubre, en el plazo de un mes, y contándose desde el día siguiente de esta notificación, prorrogándose al primer día hábil siguiente cuando el último sea inhábil.
Madrid, a 7 de abril de 2021.-El Director General de Trabajo, Álvaro Rodríguez de la Calle.
CONVENIO COLECTIVO DE LIMPIEZA PÚBLICA VIARIA DE MADRID-CAPITAL 2021 – 2025.
CAPÍTULO I. CONDICIONES GENERALES.
Artículo 1. Partes que conciertan el convenio colectivo.
El presente Convenio Colectivo ha sido negociado por la Comisión Negociadora del Convenio Colectivo, integrada por la Asociación de Empresas de Limpieza Pública (ASELIP), como parte empresarial, y por la parte social, integrada por la Federación Regional de Servicios Públicos en representación de la Unión General de Trabajadores (U.G.T.), por la Federación de Construcción y Servicios de CCOO de Madrid y el Sindicato de Limpiezas, Mantenimiento Urbano y Medio Ambiente de la CAM de la Confederación General de Trabajo (CGT).
El presente Convenio Colectivo ha sido firmado y ratificado por la Asociación de Empresas de Limpieza Pública (ASELIP) y por la Federación Regional de empleados y empleadas de los Servicios Públicos en representación de la Unión General de Trabajadores (U.G.T.) y por la Federación de Construcción y Servicios de CCOO de Madrid y la Confederación Territorial de Madrid, Castilla La Mancha, y Extremadura de la Confederación General del Trabajo (CGT).
Las partes firmantes de este Convenio tienen legitimación suficiente, conforme a las disposiciones legales vigentes, para establecer los ámbitos de aplicación indicados en el artículo siguiente, obligando por tanto a todos/as los/as empresarios/as y trabajadores/as en él incluidos/as y durante todo el tiempo de su vigencia.
Artículo 2. Ámbito personal y territorial.
El presente Convenio Colectivo tendrá ámbito local limitado al término municipal de Madrid y será de aplicación a todas las Empresas dedicadas a la actividad de Limpieza Pública Viaria en el ámbito territorial antes delimitado, regulando las relaciones laborales entre tales Empresas y los/as trabajadores/as que prestan sus servicios en la L.P.V. de Madrid-Capital, cualquiera que sea su modalidad de contrato y siendo de obligado cumplimiento por unas y otros/as.
Artículo 3. Vigencia, duración y prorroga.
El presente Convenio Colectivo entrará en vigor el 1 de enero de 2021 Su vigencia será hasta el día 31 de diciembre de 2025.
El presente Convenio Colectivo quedará denunciado automáticamente a la finalización de su vigencia, aunque se mantendrán los mismos deberes normativos y obligacionales anteriores en tanto no se firme uno nuevo.
Artículo 4. Absorción de personal.
Se estará a lo dispuesto en el Convenio General del Sector, salvo en la antigüedad mínima exigible para la subrogación que deberá ser anterior a la primera fecha de publicación en cualquier boletín oficial del correspondiente Pliego de Condiciones.
Artículo 5. Condiciones.
Las condiciones establecidas en este Convenio forman un todo orgánico indivisible y a efecto de su aplicación práctica serán consideradas globalmente en cómputo anual, sin que quepa la aplicación de una normativa aislada sobre condiciones anteriores.
Artículo 6. Absorción y compensación.
Las retribuciones establecidas en este Convenio compensarán y absorberán todas las existentes en el momento de su entrada en vigor, cualquiera que sea su naturaleza y el origen de las mismas.
Los aumentos de retribuciones que puedan producirse en el futuro por disposiciones legales de general aplicación, así como por Convenios Colectivos, contratos individuales, sólo podrán afectar a las condiciones pactadas en el presente Convenio cuando, consideradas las nuevas retribuciones en cómputo anual, superen las aquí pactadas; en caso contrario, serán compensadas y absorbidas éstas últimas, manteniéndose el presente Convenio en sus propios términos y en la forma y condiciones que quedan pactadas.
Artículo 7. Derechos adquiridos.
Se respetarán todos los derechos adquiridos que, pactados individual o colectivamente, superen o no se recojan en el presente Convenio.
Artículo 8. Comisión mixta paritaria.
El mismo día de la firma del presente Convenio Colectivo se constituirá una Comisión Mixta Paritaria.
Estará integrada por seis representantes de la parte empresarial y seis de la parte social, siendo nombrados/as estos/as últimos/as por las centrales sindicales firmantes del Convenio Colectivo.
Esta comisión se reunirá a instancia de cualquiera de las partes y dicha reunión deberá celebrarse en el plazo máximo de diez días desde la convocatoria.
Será función de la Comisión Mixta Paritaria la aplicación e interpretación de la totalidad de las cláusulas de este convenio.
Durante la vigencia del presente Convenio, la interpretación de las cláusulas del mismo cuando sea susceptible de que afecte a la totalidad de las empresas sujetas al ámbito de aplicación del Convenio Colectivo, conforme a lo dispuesto en el apartado anterior, serán sometidas con carácter preceptivo a esta Comisión Mixta Paritaria. Si no hubiera acuerdo, se someterá a los procedimientos establecidos en la legislación en cada momento.
Los dictámenes de la Comisión Mixta Paritaria deberán adoptarse por acuerdo de la mayoría de cada parte, empresarial y social, respectivamente, en un plazo máximo de cinco días, a contar desde el siguiente al que se hubieran solicitado.
Artículo 9. Solución extrajudicial de conflictos.
La solución de los conflictos que afecten a los trabajadores y empresarios incluidos en el ámbito de aplicación de este Convenio Colectivo, se efectuará conforme a los procedimientos regulados en el Acuerdo Interprofesional sobre la creación del sistema de Solución Extrajudicial de Conflictos y del Instituto Laboral de Madrid en su reglamento.
Todas las discrepancias que se produzcan en la aplicación o interpretación del presente Convenio Colectivo que no hayan podido ser resueltas en el seno de la Comisión Mixta Paritaria deberán solventarse, con carácter previo a una demanda judicial, de acuerdo con los procedimientos regulados en el Acuerdo Interprofesional sobre la creación de un sistema de solución extrajudicial de conflictos de trabajo, a través del Instituto Laboral de la Comunidad de Madrid.
CAPÍTULO II. CONDICIONES DE TRABAJO.
Artículo 10. Jornada de trabajo.
a) Jornada del personal a jornada completa:
La jornada laboral del personal a jornada completa será de 35 horas semanales repartidas de lunes a viernes. Dicha jornada incluye 30 minutos diarios de bocadillo, como tiempo efectivo de trabajo.
Los descansos de este personal serán los sábados, domingos y festivos.
Los sábados no festivos se abonarán como día efectivo de trabajo.
Se dispondrá de una hora mensual para el cobro de la nómina y para las pagas de verano y Navidad, considerándose como tiempo efectivo de trabajo.
Se concederá cada año dos días laborables de licencia retribuida en el periodo de Navidad, que preferentemente irán unidos a un festivo navideño, sin que excedan de tres días seguidos, que se disfrutarán de modo que en ningún caso esté sin prestar servicio más de un 25 por ciento de la plantilla de cada contrata, distribuyéndose por categorías y turnos de trabajo. Estos días se abonarán a razón de salario base más antigüedad, más complementos salariales y plus de transporte señalados en el artículo 28 de este convenio.
En el supuesto de coincidir la festividad de San Martín de Porres en domingo, se trasladará como cualquier otra fiesta nacional.
b) Jornada del personal de fines de semana y fiestas:
Los fines de semana y fiestas se realizarán un servicio con personal contratado a este fin. La jornada diaria será de 7 horas, en la que estarán incluidos 30 minutos de bocadillo, que se considerará como tiempo efectivo de trabajo.
Se concederá cada año un día de licencia retribuida en el periodo de Navidad (25 de diciembre, 1 de enero o 6 de enero), que se disfrutarán de modo que en ningún caso esté sin prestar servicio más de un 33 por ciento de la plantilla de cada contrata, distribuyéndose por categorías y turnos de trabajo. Este día se abonará como día efectivo de trabajo y se considerará como tal para el cálculo de la jornada anual.
Por trabajar el 3 de noviembre (festividad de San Martín de Porres), o el día al que se haya trasladado dicha fiesta en caso de que caiga en domingo, el personal de fines de semana y fiestas percibirá, además del salario del día correspondiente, la cantidad de 32,13 euros brutos.
Se dispondrá de una hora mensual para el cobro de la nómina y para las pagas de verano y Navidad, considerándose como tiempo efectivo de trabajo.
Artículo 11. Horas extraordinarias.
Solamente se realizarán horas extraordinarias en casos excepcionales, como daños extraordinarios urgentes que serán consideradas como horas extraordinarias estructurales, dadas las características del servicio público realizado, todo ello de conformidad con lo establecido en la Orden Ministerial de 1 de marzo de 1983.
Con independencia de lo anterior, la Empresa podrá llegar a acuerdos con los comités de empresa o delegados de Personal sobre la realización, distribución y compensación de horas extraordinarias.
Artículo 12. Vacaciones.
Las vacaciones, para el personal a jornada completa, tendrán una duración de 31 días naturales y se disfrutarán en los siguientes turnos: del 1 al 31 de Julio, del 1 al 31 de agosto y del 1 de Septiembre al 1 de Octubre.
Las vacaciones para el personal contratado a tiempo parcial (sábados, domingos y festivos) tendrán una duración de 10 días efectivos de trabajo y se disfrutarán en el periodo comprendido entre el 1 de Julio y el 1 de octubre, ambos inclusive. La empresa podrá ampliar dicho periodo cuando el número de sábados, domingos y festivos incluidos en el mismo sea inferior a treinta.
Para el personal contratado a tiempo parcial con otras jornadas, se estará a lo dispuesto en el Estatuto de los Trabajadores y en el presente Convenio en dicha materia, teniendo siempre en cuenta el carácter parcial de los contratos de trabajo. Las fechas de disfrute de vacaciones se fijarán conforme el periodo de vacaciones establecido en el párrafo anterior.
Podrán establecerse acuerdos individuales o colectivos con los representantes de los trabajadores para el disfrute de las vacaciones en otros periodos distintos de los anteriores, respetando del mismo modo los acuerdos ya existentes.
El reparto de los turnos de vacaciones se elaborará entre trabajadores/as y representantes de los mismos y se expondrá en los tablones de anuncios de la empresa en todos los centros de trabajo, de tal forma que cualquier trabajador/a conozca su período de disfrute con al menos dos meses de antelación a su inicio. Los trabajadores/as podrán solicitar el cambio entre sí de su período vacacional, siempre y cuando dicha solicitud esté en poder de la empresa antes del 15 de junio.
Cuando el periodo de vacaciones fijado en el calendario de vacaciones coincida en el tiempo con una incapacidad temporal derivada del embarazo, el parto o la lactancia, se tendrá derecho a disfrutar las vacaciones en fecha distinta a la de la incapacidad temporal o la del disfrute del permiso que le correspondiera, al finalizar el periodo de suspensión, aunque haya terminado el año natural a que corresponda.
En ningún caso el disfrute de vacaciones sobrepasará el 31 de diciembre del año en curso, salvo lo manifestado en el párrafo anterior.
Para el supuesto de que un trabajador no haya podido disfrutar de su periodo de vacaciones total o parcialmente por encontrarse en situación de incapacidad temporal, la empresa le complementará hasta la cuantía establecida como paga de vacaciones en la nómina del mes de diciembre y en la parte proporcional devengada.
Artículo 13. Traslado de personal.
Cualquier persona puede solicitar a su Empresa por escrito el cambio de turno y parque de donde venga prestando sus servicios a otro.
La Empresa, dentro de las facultades de organización que le son inherentes, podrá disponer por necesidades reales de servicio el cambio de trabajadores de un turno a otro, a excepción del turno de trabajo nocturno, que es voluntario y no rotativo. Si no hubiera personal voluntario para el turno de noche se cubrirán los puestos necesarios con personal de día rotando entre todos ellos, excepto de mayores de 60 años, que será voluntario. En todo caso, la Empresa procederá de conformidad con las previsiones de la legislación laboral vigente.
Las Empresas procurarán evitar los traslados de personal, no pudiéndose realizar en ningún caso por razones de sanción.
A tal efecto, la Empresa comunicará al Comité los cambios de turno y parque que desee efectuar, así como las razones que lo justifican, salvo que hubiera personal que estuviera dispuesto a ser cambiado de forma voluntaria.
Recibida la procedente comunicación por el Comité de Empresa, éste determinará por sorteo ante todo el personal y en un plazo máximo de 72 horas, los trabajadores que deberán incorporarse al turno nuevo y parque.
Artículo 14. Sanciones y despidos.
Las sanciones graves y muy graves serán puestas en conocimiento del Comité de Empresa o Delegados de Personal con una antelación mínima de 48 horas, exponiendo los motivos y la clase de sanción.
El resto de las sanciones se comunicarán al Comité o Delegados de Personal a la mayor brevedad posible, con un plazo máximo de 18 horas.
Artículo 15. Excedencia.
Los/as trabajadores/as con un año de servicio en la Contrata podrán solicitar la excedencia voluntaria por un plazo superior a cuatro meses e inferior a cinco años. En el supuesto de ser inferior al periodo máximo, ésta se podrá prorrogar por una sola vez, con la sola condición de preavisarlo con un mes de antelación a la finalización del periodo inicialmente solicitado. Dicha prórroga tendrá una duración mínima de un año, sin que en ningún caso pueda superarse el periodo máximo de cinco años aludidos.
Para acogerse a otra excedencia voluntaria, el/la trabajador/a deberá cumplir un nuevo periodo de un año de servicio efectivo en la Contrata.
Las peticiones de excedencia quedarán resueltas por la Empresa y el Comité de Empresa o Delegados/as de Personal en un plazo de 15 días.
Si el/la trabajador/a no solicitara el reingreso con un plazo mínimo de un mes de antelación, perderá el derecho de su puesto en la Contrata, siendo admitido/a inmediatamente en el caso de cumplir tal requisito en el mismo puesto y categoría.
Los/as trabajadores/as que soliciten la excedencia como consecuencia de haber sido nombrados para el ejercicio de cargos públicos y/o sindicales, no necesitarán de un año de antigüedad para solicitarla, concediéndose obligatoriamente en estos casos, siendo admitidos/as inmediatamente al cumplir su mandato.
En lo referente a excedencias forzosas o por cuidado de familiares, se estará a lo dispuesto en la legislación vigente en estas materias en cada momento.
Artículo 16. Conductores
En posesión como mínimo del carnet de conducir clase «C», tiene los conocimientos necesarios para ejecutar toda clase de reparaciones que no requieran elementos de taller. Cuidará especialmente de que el vehículo o máquina salga del parque en las debidas condiciones de funcionamiento.
Tiene a su cargo la conducción y el manejo de las máquinas o vehículos remolcados o sin remolcar propios del servicio. Se responsabilizará del entretenimiento y adecuada conservación de la máquina o el vehículo que se le asigne, así como de observar las prescripciones técnicas y de funcionamiento de las mismas.
Todos los camiones recolectores-compactadores, con independencia de su P.M.A., y los vehículos cuyo P.M.A. sea superior a 3.500 Kg, serán conducidos por trabajadores/as que ostenten las funciones y/o especialidad profesional de conductor/a.
Todas las barredoras cuyo P.M.A. sea superior a 2.000 Kg y baldeadoras, serán conducidas por trabajadores que ostenten las funciones y/o especialidad profesional de conductor/a.
En aquellas contratas que haya un plus específico para conductores/as que manejen habitualmente determinadas máquinas, se mantendrá siempre y cuando el operario/a tenga reconocida la categoría de conductor/a antes de la firma del Convenio 2000-2003.
En caso de que sea retirado el carnet de conducir a un conductor/a, la Empresa le asignará un trabajo similar equivalente, respetándole categoría y todos los emolumentos económicos que viniera percibiendo.
Este beneficio no tendrá efecto cuando la causa se deba a embriaguez y/o toxicomanía.
La empresa estará obligada a velar por el cumplimiento del Código de Circulación a la hora de desempeñar los conductores/as los trabajos encomendados.
Los conductores/as, independientemente de su turno de trabajo, tendrán el tiempo necesario para tramitación y examen del carnet de conducir sin merma de sus haberes, entendiéndose el tiempo empleado como jornada de trabajo.
Artículo 17. Nuevas tecnologías.
Cuando en una Contrata se introduzcan nuevas tecnologías que conlleven para los trabajadores modificación sustancial de las condiciones de trabajo, se estará a lo dispuesto al efecto por la legislación laboral vigente (información previa a los Representantes Legales de los Trabajadores, etc.).
Artículo 18. Licencias y permisos.
Las Empresas, teniendo en cuenta las necesidades del servicio, deberán conceder hasta treinta días no retribuidos al año a todos los trabajadores que lo soliciten por cuestiones familiares, sociales, de estudio, etc.
El personal afectado por este Convenio tendrá derecho a disfrutar permiso retribuido por el importe total devengado en forma y condiciones que se especifican a continuación:
a) 10 días al año para exámenes por estudios oficiales.
b) 15 días retribuidos en caso de matrimonio.
c) 2 días por accidente grave u hospitalización o intervención quirúrgica sin hospitalización que precise reposo domiciliario de parientes hasta segundo grado de consanguinidad o afinidad, ampliables a dos días más si existiese la necesidad de realizar un desplazamiento al efecto.
d) 1 día por intervención quirúrgica ambulatoria de parientes hasta segundo grado de consanguinidad o afinidad, ampliables a dos días más si existiese la necesidad de realizar un desplazamiento al efecto, todo ello sin menoscabo ni perjuicio de lo dispuesto en el Art. 18.c. del presente Convenio y Art. 37.3.b. del Estatuto de los Trabajadores vigente en cada momento.
e) 3 días por fallecimiento o intervención quirúrgica con hospitalización de abuelos, abuelos políticos, padres, hijos, padres políticos, cónyuges, nietos, hermanos y hermanos políticos, ampliables a dos días más si existiese la necesidad de realizar un desplazamiento al efecto.
f) 3 días por enfermedad grave de padres, padres políticos, cónyuges, hijos y nietos. Cuatro días si ocurriese el hecho fuera de la provincia.
g) 3 días por nacimiento de hijo, adopción o acogimiento y cuatro si sucede fuera de la provincia.
Si ocurriese enfermedad grave, se aumentará a cinco días.
h) 2 días por traslado de domicilio habitual.
i) 1 día hábil en matrimonio de hijos, hermanos o padres y dos días en caso de que fuera en distinta provincia.
j) 1 día por fallecimiento de tíos y sobrinos consanguíneos y dos días si el fallecimiento ocurriese fuera de la provincia.
k) Horas para exámenes y renovaciones de carnet de conducir y D.N.I.
l) Por el tiempo indispensable por estancia en urgencias hospitalarias, debidamente acreditada, del cónyuge o un familiar en primer grado de consanguinidad.
m) Por el tiempo indispensable para el cumplimiento de un deber inexcusable de carácter público y personal.
n) Por el tiempo necesario para la asistencia al médico especialista y/o pruebas médicas, siempre y cuando justifique que no puede realizarlo fuera de su jornada de trabajo.
Todas estas licencias y permisos deberán ser preavisados, salvo urgencias, y posteriormente justificados debidamente. Además, todos estos permisos serán disfrutados tanto por los matrimonios como por las parejas de hecho.
Artículo 19. Trabajos de funciones y/o especialidades profesionales inferiores por capacidad disminuida.
Al trabajador que le sea declarada una incapacidad permanente parcial como consecuencia de la actividad desarrollada para la Contrata, se le readmitirá en el puesto de trabajo y con las funciones y/o especialidad profesional que la empresa entienda más adecuada. Si este nuevo puesto significase inferior retribución se le mantendría el salario de las funciones y/o especialidad profesional anterior hasta que, por sucesivas revisiones salariales, sea alcanzado por la retribución de las nuevas funciones y/o especialidad profesional asignada.
Los conductores que no obtengan la renovación del carnet de conducir que precisan para su trabajo por no superar el examen psicotécnico, podrán elegir entre ser admitidos en otras funciones y/o especialidad profesional o instar declaración de invalidez, siempre y cuando la empresa considere que puede desarrollar perfectamente su nuevo cometido. Si, por la primera opción, este nuevo puesto significase funciones y/o especialidad profesional, inferiores se le mantendría el salario de las funciones y/o especialidad profesional anterior hasta que, por sucesivas revisiones salariales, sea alcanzado por la retribución de las nuevas funciones y/o especialidad profesional asignada.
En los casos de incapacidad Permanente Total para la profesión habitual derivada de accidente laboral o enfermedad profesional, como consecuencia de la actividad desarrollada para la empresa, el trabajador percibirá la cantidad que le hubiese correspondido de jubilarse a los 65 años en ese momento.
No será aplicable este artículo a los supuestos derivados de hechos causales anteriores al inicio del ingreso del trabajador en la Contrata, salvo traslados o subrogaciones.
Artículo 20. Ascensos.
Serán de libre designación por parte de la Empresa los puestos de Jefe de Servicio, Encargado General y Subencargado General.
En las demás funciones y/o especialidades profesionales, los ascensos que se produzcan se proveerán por el concurso, examen y antigüedad, que acogerá desde el día que comenzó la contrata, puntuando cada uno de estos requisitos un 50 por 100. Las plazas de nueva creación, tanto de conductor como de peón clase A, se proveerán en cada contrata por este mismo sistema.
Podrán acceder a tales puestos los trabajadores de inferiores funciones y/o especialidades profesionales que lleven un mínimo de 6 meses en la Contrata y a tales efectos se publicará durante al menos 10 días consecutivos, en todos los parques la convocatoria de los ascensos que surjan.
En el Tribunal examinador, el Comité de Empresa estará representado por un vocal, a ser posible de la función y/o especialidad profesional que se quiera cubrir.
Artículo 21. Plazas vacantes.
El presente artículo únicamente resultará de aplicación cuando se produzca la puesta en marcha o inicio efectivo de cada uno de los nuevos contrato/a de servicios, quedando en suspenso durante los contratos/as de servicios actuales o vigentes y hasta dicha puesta en marcha o inicio efectivo de los nuevos contratos/as que tengan lugar, de acuerdo con lo establecido en la Disposición Transitoria Primera.
Las empresas contratarán a trabajadores/as como fijos, en el plazo de 30 días y sin tener en cuenta la plantilla, por las vacantes que se produzcan debido a muerte o despido declarado improcedente por sentencia firme que conlleven la extinción del contrato, o por acuerdo entre las partes.
Igualmente se actuará en los casos de invalidez que no supongan el reingreso del trabajador/a en la plantilla y tras la declaración definitiva de la misma, si no se hubiera cubierto con anterioridad.
En caso de excedencia se cubrirán las vacantes durante el tiempo que duren éstas.
En caso de jubilación se cubrirá la plaza mediante la contratación de un trabajador/a bonificado durante dos años.
Siete de cada diez (7/10) contrataciones indefinidas de peón a tiempo completo que realice la empresa se efectuarán con el personal procedente del colectivo de trabajadores de Sábados, Domingos y Festivo (SDF) con más de seis meses de antigüedad en el servicio de limpieza pública viaria de Madrid Capital. Todo ello, no será de aplicación, en ningún caso, a las contrataciones que se lleven a cabo por la empresas mediante un contrato de relevo, quedando dicha modalidad de contratación exceptuada y excluida del indicado compromiso y por tal motivo, siendo tales contrataciones de libre disposición para la empresa y no siendo consideradas en el cálculo y el cómputo de la indicada proporción.
Las jubilaciones parciales serán cubiertas de acuerdo con lo contemplado en el artículo correspondiente.
Sin perjuicio de lo anterior, a primeros de cada año, se entregará a los Representantes Legales de los Trabajadores una relación de todo el personal adscrito a su Contrata indicando:
– Nombre.
– Apellidos.
– Categoría.
– Fecha de antigüedad.
– Fecha de nacimiento.
– Tipo de contrato.
Artículo 22. Contratación.
Estabilidad en el empleo:
Las Empresas no podrán superar un porcentaje del 10 % de eventualidad, del total de la plantilla fija a jornada completa, y un 18 % en plantilla de jornadas parciales (sábados, domingos y festivos, etc.) en cada contrata. En dichos porcentajes no estarán incluidos los eventuales contratados para verano, contratos de relevo, ni campañas especiales o refuerzo, interinidades, excedencias y sustituciones.
Contrataciones eventuales para verano y campañas especiales:
Para las suplencias de vacaciones del personal de Jornada Completa, así como para campañas especiales de limpieza, las Empresas dentro de cada contrata o distrito, efectuarán ampliaciones de la jornada al personal de tiempo parcial que lo manifieste, y si es posible, éstos tendrán preferencia con respecto a las contrataciones eventuales que pudieran realizarse para tales supuestos.
Contrato de circunstancias:
La duración máxima del contrato temporal para atender exigencias circunstanciales del mercado, acumulación de tareas o excesos de pedidos, aun tratándose de la actividad normal de la empresa, no podrá exceder de doce meses dentro de un periodo de dieciocho meses. En caso de que se concierte por un tiempo inferior a doce meses, podrá prorrogarse mediante acuerdo de las partes, por una única vez, sin que la duración total del contrato pueda exceder del límite máximo de doce meses.
Artículo 23. Prendas de trabajo.
Las Empresas harán entrega por una sola vez de una equipación completa de ropa de verano, durante el mes de mayo, y de invierno, durante el mes de octubre, consistente en:
Ropa de verano:
– 2 pantalones.
– 2 camisas.
– 1 cazadora.
– Un par de zapatos.
– Una gorra de verano.
– Una toalla de manos.
Ropa de invierno:
– 2 pantalones.
– 2 camisas.
– 1 forro polar.
– 1 jersey.
– 1 anorak.
– 1 traje de agua.
– 1 gorra de invierno.
– 1 braga.
– 1 toalla de ducha.
– Un par de botas.
– Un par de botas de agua.
Cada prenda de esta equipación se repondrá únicamente en función de su deterioro debido al uso normal de la misma.
Las prendas de trabajo se entregarán en horas de trabajo en los respectivos parques; ante cualquier medida o prueba se seguirá igual proceso.
Podrán llegarse a acuerdos, individuales o colectivos, sobre cantidad y calidad y duración de las prendas de trabajo.
CAPÍTULO III. CONDICIONES ECONÓMICAS.
Artículo 24. Incrementos salariales: Conceptos retributivos.
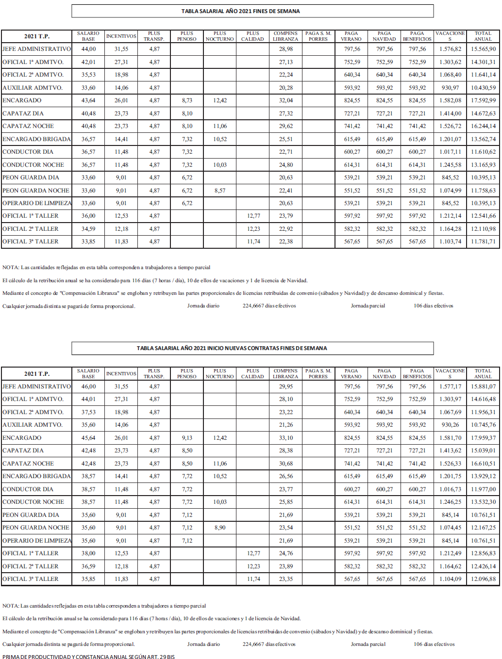
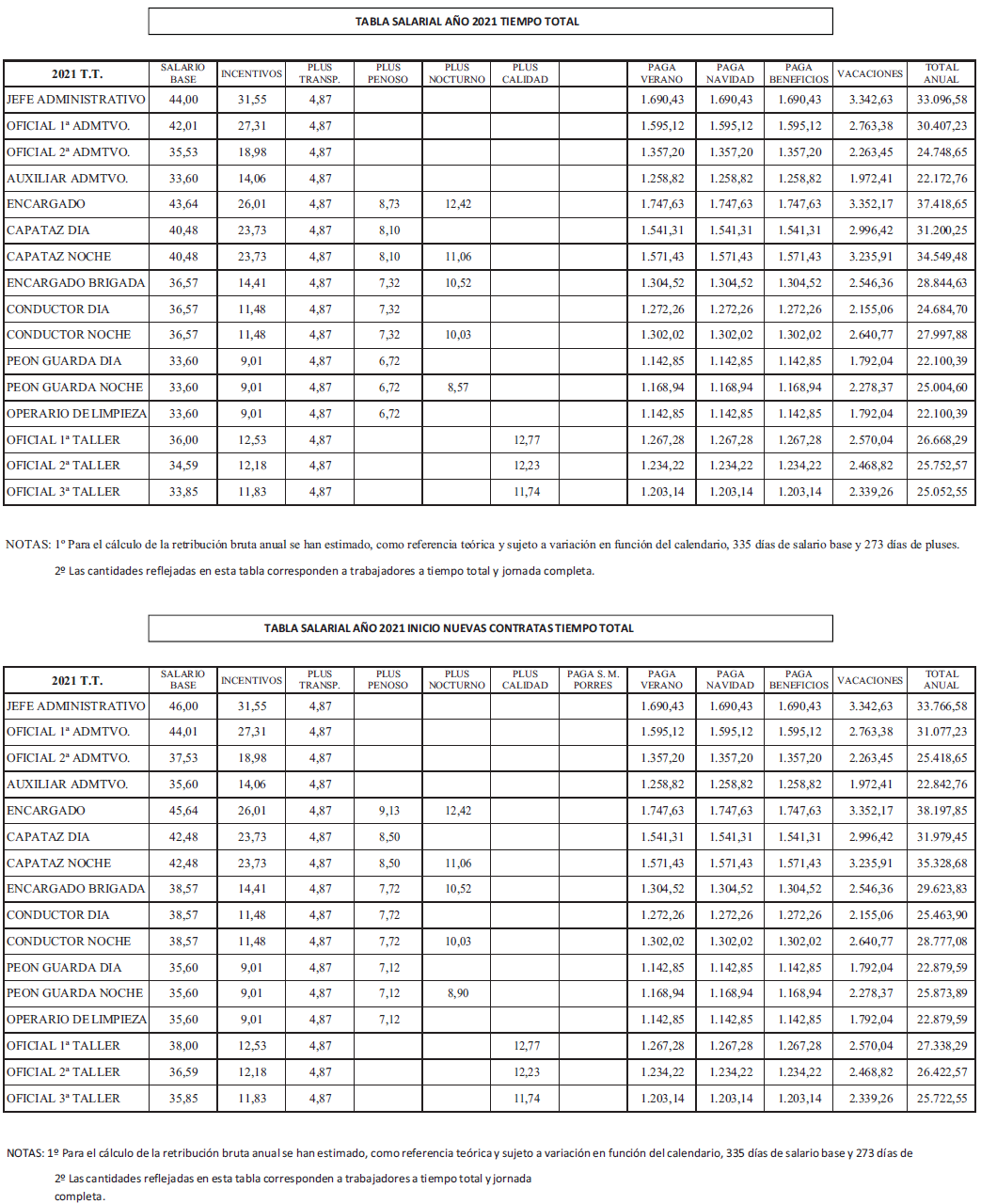
1. El salario bruto total anual para los trabajadores a jornada completa y para el colectivo de trabajadores de fines de semana y festivos es el que se recoge en las Tablas Salariales que se adjuntan al presente Convenio Colectivo para cada uno de los años de vigencia del mismo.
2. La confección de dichas Tablas Salariales se han efectuado con los criterios que seguidamente se exponen:
– En el año 2021 la paga de Beneficios, abonable en dicho año, se complementará con un total de 30 días de antigüedad.
– En el año 2022 se crea una paga denominada San Martín de Porres por importe de 500 euros que se devenga dentro de cada año natural y se abona con la nómina del mes de octubre. Para el personal de SDF el importe será proporcional a su jornada.
– En el año 2023 la paga de verano se incrementa en la cantidad de 400 euros. Para el personal de SDF el importe será proporcional a su jornada.
– En el año 2024 la paga de Navidad se incrementa en la cantidad de 400 euros (para el personal de SDF el importe será proporcional a su jornada. Además, se transformará parte de los incentivos en salario base. Para ello, se detraerá de los incentivos, la cantidad equivalente necesaria para incrementar el salario base en 1 € diario, que tendrá repercusión únicamente en la antigüedad, ajustando el resto de conceptos de la tabla si fuera necesario.
– En el año 2025 la paga de beneficios, devengada en 2024 y pagadera en 2025 se incrementa en la cantidad de 400 euros (para el personal de SDF el importe será proporcional a su jornada). Además, se transformará parte de los incentivos en salario base. Para ello, se detraerá de los incentivos, la cantidad equivalente necesaria para incrementar el salario base en 1 € diario, que tendrá repercusión únicamente en la antigüedad, ajustando el resto de conceptos de la tabla si fuera necesario.
3. Con las nuevas contratas y a la puesta en marcha o inicio efectivo de cada una de ellas, los trabajadores afectados verán incrementado su Salario Base diario en dos (2) euros, con las repercusiones oportunas, al igual que vendrán a percibir a partir de ese momento la Prima de Productividad y Constancia de 500 euros regulada en el Art. 29 bis en los términos y condiciones allí recogidas, en relación, todo ello, a lo dispuesto en las Disposiciones Transitorias Segunda y Tercera. No siendo de aplicación, por consiguiente, a las actuales y vigentes contratos/as.
4. El resto de conceptos económicos contenidos en el articulado del Convenio Colectivo que no aparecen en las Tablas Salariales se les aplicará un incremento porcentual del dos por ciento (2%) para cada uno de los años comprendidos desde el 2.022 hasta 2.025, ambos incluidos.
Artículo 25. Antigüedad.
Complemento de antigüedad:
Los trabajadores fijos comprendidos en este convenio disfrutarán, como complemento personal de antigüedad, un aumento periódico por el tiempo de servicios prestados en la contrata, consistente en tres bienios del cinco por ciento y posteriores quinquenios del siete por ciento sobre el salario base.
Los trabajadores temporales, desde 1/1/98, disfrutarán de este complemento en las mismas condiciones.
Devengo de antigüedad:
La fecha inicial del cómputo de antigüedad será la del ingreso del trabajador en la contrata.
El importe de cada bienio o quinquenio comenzará a devengarse desde el 1 de enero del año en que se cumplan.
El trabajador que cese definitivamente en la empresa y posteriormente ingrese de nuevo en la misma, sólo tendrá derecho a que se compute la antigüedad a partir de la fecha de este nuevo ingreso, perdiendo todos los derechos de antigüedad anteriormente obtenidos.
Este complemento se abonará por día natural, así como en las Pagas extras de verano, Navidad y beneficios (30 días en cada una).
A los trabajadores con jornada parcial se les abonará en función de su jornada.
Artículo 26. Complementos salariales de vencimiento periódico superior al mes
Las empresas afectadas por este convenio abonarán a todo su personal tres pagas extraordinarias que se ajustarán a las siguientes condiciones:
– Cuantía: La fijada en el Anexo I del presente convenio para la categoría que corresponda.
– Denominación: Las pagas extraordinarias fijadas en el presente artículo corresponderán a la denominación de Verano, Navidad y San Martín de Porres.
– Fechas de abono: La paga extraordinaria de Verano se hará efectiva el día 16 del mes de julio.
La de Navidad se hará efectiva el día 17 del mes de diciembre.
– Periodo de devengo: Las de Verano y Navidad se abonarán semestralmente y en caso de alta o cese del trabajador durante el periodo devengado, se abonarán las sextas partes correspondientes a los meses o fracciones de mes trabajados.
– Paga de Verano: Se devengará del 1 de enero al 30 de junio.
– Paga de Navidad: Se devengará del 1 de julio al 31 de diciembre.
– Paga de San Martín de Porres: Se devengará desde el 1 de enero al 31 de diciembre y se abonará con la nómina del mes de octubre y en proporción al tiempo trabajado.
Artículo 27. Participación de beneficios.
El último día hábil del mes de febrero, el personal afectado por el presente Convenio recibirá una gratificación por participación en beneficios, de acuerdo con lo expresado en la Tabla Salarial del Anexo I.
Esta gratificación por participación en beneficios se devengará anualmente y día a día (del 1 de enero al 31 de diciembre del año anterior) y se abonará en proporción al tiempo trabajado, no devengándose las ausencias injustificadas.
Artículo 28. Pluses.
Son los indicados en el Anexo I y se denominan:
a) De transporte.
b) De trabajo tóxico, penoso o peligroso.
c) De nocturnidad.
d) Incentivos.
e) Calidad.
Los referidos pluses, al ser éstos una parte del total devengado, también se harán efectivos en permisos retribuidos, accidentes laborales, maternidad y hospitalización. Para el caso de enfermedad común se harán efectivos en proporción a los días y porcentajes a percibir en tal situación, que se indican en el Artículo 38.- Enfermedad.
Artículo 29. Aplicación de pluses.
Los pluses indicados en el artículo 28 y cuyas cuantías se indican en la Tabla Salarial del Anexo I, se cobrarán por días efectivamente trabajados, salvo en los casos señalados en los artículos 37, 38 y 39.
Artículo 29 bis.- Prima de Productividad y Constancia.
Se establece un sistema de retribución que gratifica en mayor medida a aquellos trabajadores que hayan acudido a trabajar de forma efectiva más jornadas a lo largo del año.
Esta prima asciende a la cantidad de 500 euros anuales para el personal a jornada completa anual. Para los trabajadores a tiempo parcial y para aquellos que no hayan trabajado el año completo la cuantía será proporcional a la jornada realizada.
El devengo del mencionado plus es anual y se abonará en la nómina del mes de marzo de año siguiente al de su devengo.
Para tener derecho a este plus no podrán tener más ausencias que las surgidas por el disfrute de los días de vacaciones, los días de navidad, las licencias retribuidas previstas en el art. 18 de este Convenio, las bajas por nacimiento, las bajas por accidente de trabajo o enfermedad profesional, el crédito horario sindical, las bajas con ingreso hospitalario y la primera baja por contingencias comunes.
Las cantidades no abonadas, debido a su falta de devengo se acumularán en una bolsa común creada dentro de cada grupo profesional existente, que serán repartidas equitativamente dentro de éste, abonándose junto a la prima principal, y entre aquellos trabajadores que en el año anterior no hayan tenido ninguna ausencia, a excepción única y exclusivamente de: el disfrute de los días de vacaciones y los días de navidad, las licencias retribuidas previstas en el art. 18 de este Convenio, las bajas por nacimiento de hijos, las bajas por incapacidad temporal derivadas de accidente de trabajo o enfermedad profesional (es decir, por contingencias profesionales), el uso o utilización del crédito horario sindical. El control de la misma se realizará por los diferentes Comités de Empresas.
Artículo 30. Peón clase a y plus funcional de especialización para peones.
30.1. Peón Clase A.
Trabajador/a encargado/a de ejecutar labores para cuya realización no se requiere ninguna especialización profesional ni técnica, si bien, por sus habilidades personales, podrá manejar vehículos cuyo P.M.A. sea inferior o igual a 2.000 Kg. y/o vehículos que precisen carnet de conducir de clase A, B, o inferior y con P.M.A. igual o inferior a 3.500 Kg., labores que sin constituir un oficio se requiere para su manejo de cierta práctica o especialización.
Dentro de sus funciones, se responsabilizará de la limpieza y adecuada conservación de la maquinaria o vehículo que se le asigne, así como de observar las prescripciones técnicas y de funcionamiento de las mismas.
Las Empresas designarán a los trabajadores inicialmente designados para estas funciones y/o especialidad profesional de entre los trabajadores que habitualmente vengan realizando tales funciones.
Las Empresas por razones del servicio, podrán asignar cualquier trabajo propio de las funciones y/o especialidad profesional de peón a estos trabajadores/as, aunque implique la no utilización de barredora o vehículo anteriormente citado.
Ningún trabajador con funciones y/o especialidad profesional de peón, manejará esta maquinaria si en su cantón y turno, hubiese un peón Clase A disponible.
El salario a percibir será el que figura en la tabla salarial y que coincide con el de peón, si bien y al objeto de compensar las habilidades personales, cuando la empresa le encomiende el manejo de los vehículos anteriormente enumerados, percibirá un plus por día efectivo de trabajo utilizando los mismos, denominado de manejo de maquinaria, consistente en una cuantía de 3,64 euros.
Este plus incluye el posible manejo de cualquier útil, herramienta o similares de los indicados en el apartado de plus funcional de peones.
Las cantidades percibidas por día efectivo de trabajo, al tratarse de un plus funcional vinculado a la realización de una labor determinada, no tendrá carácter consolidable, ni formará parte del complemento que el operario pudiera percibir a la hora de complementar el salario en los procesos de enfermedad o accidente laboral.
30.2. Plus funcional de especialización para peones.
El peón que realice sus funciones con sopladoras, desbrozadoras o pistolas quitapintadas, percibirá un plus funcional de especialización por día efectivamente trabajado realizando dichas funciones por la cuantía de 3,26 euros.
En caso de coincidir dos o más pluses en la misma jornada se abonará el de más importe.
El devengo de este plus funcional, no exigirá conocimiento alguno de mecánica que le permita ejecutar reparaciones de taller, con o sin herramientas, aunque sí las habilidades precisas para cumplir su obligación de mantenimiento, entretenimiento, reposición, limpieza y cuidado de cualquier vehículo, maquinaria o herramienta con las que se trabaje.
Se tratarán en la Comisión Mixta Paritaria interpretativa del presente Convenio Colectivo los casos de incorporación de nuevas maquinarias en las Contratas.
Se respetarán los acuerdos superiores pactados individual o colectivamente que superen los acuerdos fijados en este artículo.
Artículo 31. Día y lugar de pago.
El abono de haberes se hará efectivo el último día de cada mes o el inmediatamente anterior si éste fuese sábado, domingo, festivo o víspera de festivo.
Para el personal de sábados, domingos y festivos será el primer día de trabajo de este colectivo posterior a la fecha correspondiente del personal a jornada completa, a no ser que coincidiese con el día 4 o posterior del mes siguiente, en cuyo caso se abonarían sus haberes el último día de trabajo anterior a esa fecha.
El lugar de entrega del recibo de salarios será el centro de trabajo.
Artículo 32. Dieta alimenticia.
El personal que desarrolle su actividad en el turno de jornada interrumpida percibirá una dieta alimenticia por día trabajado 9,06 euros.
Artículo 33. Anticipos quincenales
Voluntariamente, todo trabajador/a tendrá derecho a anticipos quincenales a cuenta del trabajo realizado durante la mensualidad en que se soliciten, de una cuantía máxima de 534,39 euros.
Este anticipo se abonará en horas de trabajo.
CAPÍTULO IV. MEJORAS SOCIALES.
Artículo 34. Seguro colectivo de vida.
En caso de accidente laboral o enfermedad profesional como consecuencia de la actividad desarrollada para la Empresa, de la que derive muerte, incapacidad laboral permanente absoluta o gran invalidez para cualquier actividad laboral, el trabajador o sus beneficiarios en todo caso percibirán, durante la vigencia del presente convenio, en concepto de indemnización 36.813,57 euros, independientemente de las prestaciones que por este motivo les corresponda.
Las empresas suscribirán un seguro de responsabilidad civil por los daños que pudieran causar en el ejercicio de sus funciones, que incluirá la asistencia letrada de abogado en aquellos incidentes o accidentes que transcurran durante el desarrollo de su actividad laboral, de los que se derive algún daño o perjuicio para el trabajador/a.
Artículo 35. Anticipos reintegrables.
El personal con más de seis meses en la Contrata podrá solicitar un anticipo reintegrable por un máximo de:
– Para el personal a jornada completa: 1.187,53 euros.
– Para el personal a jornada parcial: 593,76 euros.
La concesión o no de dicho anticipo se llevará a cabo por la Empresa y el Comité de Empresa, quienes deberán extremar la ponderación a la hora de valorar cada supuesto, obligándose los trabajadores solicitantes a acreditar debidamente cuantos extremos les sean requeridos.
La amortización de dicho anticipo se hará durante las 14,5 pagas posteriores al mismo como máximo y las cantidades amortizadas revertirán al fondo de anticipos reintegrables.
La Empresa pondrá a disposición del fondo de anticipos reintegrables las siguientes cantidades:
– Para el personal a jornada completa:
Los primeros 200 trabajadores/as o fracción: 20.188,08 euros.
A partir de estos 200, por cada 100 trabajadores/as o fracción: 10.094,04 euros.
– Para el personal a jornada parcial:
Por cada 100 trabajadores o fracción: 5.047,02 euros.
Artículo 36. Prestaciones sociales.
En caso de rotura de gafas, prótesis y sonotones durante la jornada laboral, la empresa abonará, para su reposición, un máximo por unidad de 77,34 euros.
Para ello, se crea un fondo límite de 515,53 euros anuales por cada 200 trabajadores o fracción existentes a la firma del convenio.
Artículo 37. Accidentes de trabajo.
En caso de accidente laboral, todo el personal afectado por el presente Convenio percibirá el 100 por 100 del total devengado como si de trabajo real se tratara, haciéndose el pago el día normal de cada mes.
Artículo 38. Enfermedad.
En caso de enfermedad común o accidente no laboral, todo el personal afectado por el presente Convenio Colectivo percibirá hasta el 70% del Salario Base, más antigüedad, más complementos salariales, más plus de transporte, señalados en el Artículo 28 del mismo, en aquellos procesos de incapacidad temporal que no superen los dos días.
Si el proceso de incapacidad temporal se prolongara durante más de dos días naturales, se abonará desde el primer día hasta el 100% de tales conceptos durante el tiempo que la Empresa cotice a la Seguridad Social por el trabajador.
Artículo 39. Hospitalización.
En caso de hospitalización y desde el primer día de la baja hasta que se produzca el alta, el trabajador percibirá el 100 por 100 del salario base, más antigüedad, más complementos salariales, más plus de transporte, señalados en el Artículo 28 del Convenio.
Artículo 40. Jubilación.
Los/as trabajadores/as que soliciten su jubilación recibirán, por parte de la empresa concesionaria en ese momento y por cada año de trabajo en la Contrata, en el momento de producirse aquella, las siguientes cantidades:
– A los 60 años: 393,10 euros.
– A los 61 años: 335,09 euros.
– A los 62 años: 316,37 euros.
– A los 63 años: 273,24 euros.
– A los 64 años: 216,53 euros.
– A los 65 años: 164,46 euros.
– A los 66 años: 164,46 euros
Igualmente se abonará idéntica cantidad de 164,46 euros por año de servicio prestado, cuando el/la trabajador/a solicite la jubilación dentro de los seis meses posteriores al cumplimiento de los 66 años.
En materia de jubilación obligatoria se estará a lo dispuesto en la normativa legal y reglamentaria vigente en cada momento, que resulte de aplicación.
40.1. Jubilación Anticipada Parcial.
De conformidad con el acuerdo de Jubilación Anticipada Parcial de fecha 27 de marzo de 2013, todos los trabajadores incluidos en el acuerdo, continuarán rigiéndose por dicha jubilación en los términos indicados en el mismo. El resto de trabajadores/as estará a lo dispuesto en la legislación vigente en materia de jubilación parcial.
La empresa en la que preste servicio el trabajador/a en el momento de producirse la jubilación parcial abonará, en concepto de incentivo para la jubilación parcial, la cantidad que se refleja para la jubilación a los 63 años, independientemente de la edad en la que realmente se produzca la jubilación.
La jubilación anticipada, y por tanto el pago en ese momento del incentivo para tal tipo de jubilación que se acaba de expresar, supone la renuncia expresa del trabajador al cobro del complemento de JUBILACION previsto en el artículo 40, cualquiera que sea el momento en el que se produzca dicha JUBILACION ordinaria del trabajador, al resultar incompatibles y excluyentes entre sí uno y otro concepto.
40.2. Trabajadores jubilados con anterioridad al Acuerdo de 27/03/2013.
Sin perjuicio de lo expuesto en el punto precedente, los trabajadores que con anterioridad a dicho acuerdo de fecha 27 de marzo de 2013, tuvieran un contrato de relevo como consecuencia de una jubilación anticipada parcial estarán sujetos a los términos del Convenio Colectivo de Limpieza Pública Viaria de Madrid capital (2010-2012), en la fecha de formalización de su contrato de jubilación parcial.
40.3. Jubilación a los 64 años.
En este tipo de jubilación se estará a lo dispuesto en la normativa legal y reglamentaria vigente en cada momento, que resulte de aplicación.
Artículo 41. Medidas contra la violencia de género.
La empresa facilitará a la trabajadora víctima de violencia de género, y para hacer efectiva su protección o derecho a la asistencia social integral, el cambio de su turno de trabajo, de su parque y/o de su ruta, dentro de las posibilidades de la empresa y previo acuerdo con la trabajadora.
Igualmente, la trabajadora víctima de violencia de género tendrá derecho a la reducción de su jornada de trabajo hasta un máximo del 50 por 100 de su jornada, con disminución proporcional de salario y a la suspensión de la relación laboral con reserva del puesto de trabajo en los términos previstos en la Ley General de la Seguridad Social. La duración de esta suspensión será la establecida por la Ley del Estatuto de los Trabajadores.
Las situaciones de violencia que dan lugar al reconocimiento de los derechos regulados en esta disposición se acreditarán con la orden de protección a favor de la víctima. Excepcionalmente, será título de acreditación de esta situación, el informe del ministerio fiscal que indique la existencia de indicios de que la demandante es víctima de violencia de género hasta tanto se dicte la orden de protección.
En lo no recogido en este artículo, se estará a lo dispuesto en la Ley al efecto.
CAPÍTULO V. SEGURIDAD Y SALUD EN EL TRABAJO.
Artículo 42. Principios generales.
Las empresas, los trabajadores y los representantes de los trabajadores, velarán en todo momento por dar cumplimiento a lo previsto en la Ley 31/1995 de 10 de noviembre, de Prevención de Riesgos Laborales o aquellas que en un futuro la pudiera sustituir, en todo lo concerniente al Sector de Limpieza Pública Viaria.
Asimismo, es compromiso de las partes el adoptar aquellas medidas promulgadas con rango de Ley, que ya existen o se dicten en el futuro, tendentes a conciliar la vida familiar y laboral en las personas trabajadoras, con especial atención a todos aquellos aspectos relacionados con la mujer, embarazo, lactancia y cuidado de los hijos o personas mayores.
Artículo 43. Embarazo, lactancia y maternidad, nacimiento y cuidado de menor.
Se estará a lo dispuesto en la legislación vigente en estas materias en cada momento.
Artículo 44. Revisión médica.
Con carácter voluntario para el trabajador, se realizará anualmente una revisión médica por parte de un Servicio Médico que constará de una serie de pruebas mínimas, como son:
– Audiometría.
– Control visual.
– Espirometría.
– Análisis de sangre y orina.
– Exploración clínica.
Asimismo, a criterio de estos servicios médicos, aquellas otras que estimen oportunas.
Para la realización de este reconocimiento médico se concederá el día del mismo como libre al trabajador/a que efectúe la revisión médica. Será la empresa la que fije el día del reconocimiento.
Para el colectivo de sábados, domingos y festivos, si el día señalado no es de trabajo, se les dará un día de descanso compensatorio en otra fecha dentro de los dos meses siguientes a la fecha en que realizó el reconocimiento médico.
Al personal de nuevo ingreso, igualmente con carácter voluntario con las excepciones de obligatoriedad recogidas en la normativa vigente, se le realizará este reconocimiento médico antes de su incorporación al puesto de trabajo, salvo en campañas especiales y cuando por motivos de organización no pudiera realizarse el reconocimiento médico antes del ingreso del trabajador a su puesto de trabajo.
El resultado de dicho reconocimiento será entregado a cada trabajador de forma confidencial.
Del carácter voluntario sólo se exceptuarán, previo informe de los representantes de los trabajadores, los supuestos en los que la realización de los reconocimientos sea imprescindible para evaluar los efectos de las condiciones de trabajo sobre la salud de los trabajadores o para verificar si el estado de salud del trabajador puede constituir un peligro para el mismo, para los demás trabajadores o para otras personas relacionadas con la empresa, o cuando así esté establecido en una disposición legal en relación con la protección de riesgos específicos y actividades de especial peligrosidad (Art. 22 de la Ley 31/1995 de 8 de noviembre de Prevención de Riesgos Laborales y art. 243 del Real Decreto Legislativo 8/2015 de 30 de octubre).
En el mes de octubre de cada año, se habilitará una vacuna contra la gripe, de carácter voluntario, efectuándose en horas de trabajo.
CAPÍTULO VI. GARANTÍAS SINDICALES.
Artículo 45. Garantías sindicales.
Los/as trabajadores/as tienen derecho a celebrar asambleas, fuera del horario de trabajo, en su centro de trabajo con la simple notificación previa a la empresa. En casos excepcionales, la dirección de la empresa, previa petición del Comité o Delegados/as de Personal, podrá autorizar que se realicen en horario de trabajo.
Para asuntos sindicales de importancia, que requiriesen el asesoramiento de los Sindicatos o Centrales Sindicales, se posibilitaría el acceso a los centros de trabajo a representantes sindicales, no pertenecientes a la Empresa, previa notificación y autorización de la misma.
Delegados Sindicales, de personal y miembros de comités de empresa:
Disponibilidad de tiempo sindical: Será el establecido por el Real Decreto Legislativo 2/2015, de 23 de octubre, por el que se aprueba el Texto Refundido de la Ley del Estatuto de los Trabajadores o norma que lo sustituya.
Estas horas serán contabilizadas en los siguientes temas: Consultas a organismos oficiales; consultas y asesoramiento sindical; reuniones sindicales, a nivel de central o centrales sindicales y, en general, de todas las actividades de interés laboral y/o sindical dentro y fuera de la Empresa.
El disfrute de las horas sindicales se globalizará según acuerdo a los/as interesados/as. Asimismo, la necesidad será notificada previamente y acreditada con posterioridad a su uso. Las horas de reunión con la empresa y sobre negociación y deliberación del Convenio, así como de otras materias, irán a cargo de las empresas.
Los/as Delegados/as Sindicales tendrán derecho a informar y ser informados/as en el ámbito de sus respectivas Empresas.
Los/as Delegados/as de Personal y el Comité de Empresa habrán de contar con un tablón de anuncios, acristalado y con llave, para preservar la integridad del material expuesto, diferenciado del que utilice la empresa, en todos los Centros de Trabajo.
Artículo 46. Secciones sindicales.
En el nombramiento de Delegados Sindicales se estará a lo dispuesto en la Ley Orgánica 11/1985 de 2 de agosto de Libertad Sindical.
Funciones de los Delegados sindicales.
1. Representar y defender los intereses del Sindicato a quien representan, y de los afiliados del mismo en la Contrata, y servir de instrumento y comunicación entre su Central Sindical o Sindicatos y la Dirección de la Empresa.
2. Podrán asistir a las reuniones del Comité de Empresa o de Delegados de Personal, Comité de Seguridad y Salud, Comités Paritarios de Interpretación, con voz pero sin voto.
3. Tendrán acceso a la misma información y documentación que la Empresa deba poner a disposición del Comité de Empresa, de acuerdo con lo regulado a través de la Ley.
4. Serán oídos por la Empresa en el tratamiento de aquellos problemas de carácter colectivo que afecten a los trabajadores en general y a los afiliados al Sindicato.
5. Serán así mismo informados y oídos por la Empresa con carácter previo:
a) Acerca de los despidos y sanciones que afecten a los afiliados.
b) En materia de reestructuración de plantilla, regulaciones de empleo, traslado de los trabajadores cuando revista carácter colectivo, o del Centro de Trabajo en general y sobre todo proyecto o acción empresarial que puede afectar substanciosamente a los intereses de los trabajadores.
c) La implantación o revisión de sistemas de organización del trabajo y cualquiera de sus posibles consecuencias.
6. Podrá recaudar cuotas a sus afiliados y repartir propaganda sindical.
Con la finalidad de facilitar la difusión de aquellos avisos que pudieran interesar a sus respectivos afiliados al Sindicato y a los trabajadores en general, la Empresa pondrá a disposición del Sindicato cuya representación ostente el Delegado, un tablón de anuncios que deberá establecerse dentro de la Contrata y en lugar donde se garantice en la medida de lo posible, un adecuado acceso al mismo por todos los trabajadores.
Artículo 47. Cuotas sindicales.
A requerimiento de los trabajadores/as afiliados/as a los Sindicatos o Centrales Sindicales, las Empresas descontarán en la nómina mensual de los/as trabajadores/as el importe de la cuota sindical correspondiente.
El/a trabajador/a interesado/a en la realización de tal operación, remitirá a la Dirección de la Empresa un escrito en el que se expresará con claridad la orden de descuento, el Sindicato o Central Sindical a que pertenece, la cuantía de la cuota, así como el número de la cuenta corriente o libreta de Ahorros y la Entidad a la que deberá ser transferida la correspondiente cantidad.
Las Empresas efectuarán las antedichas detracciones salvo indicación en contrario.
Artículo 48. Comité intercentros.
Aquellas empresas que dispongan de varios Comités (varias contratas), se podrá crear un Comité Intercentros, el cual, en principio, estará constituido por un máximo de doce miembros, guardándose siempre la proporcionalidad establecida. Este Comité velará por los intereses de la plantilla de la empresa dentro del ámbito de la aplicación de este Convenio.
DISPOSICIÓN ADICIONAL PRIMERA. Igualdad de oportunidades.
La Constitución española proclama el derecho a la igualdad y a la no discriminación por razón de sexo.
Las organizaciones firmantes del convenio, tanto sindical como empresarial, entienden que es necesario que el derecho fundamental a la igualdad de trato y oportunidades entre hombres y mujeres en el trabajo, sea real y efectivo. Asimismo, la eliminación de las desigualdades entre unas y otros es un objetivo que debe integrarse en todos los ámbitos de actuación. Por ello, y teniendo presente el papel del Sector de la Limpieza Pública Viaria como sector comprometido, se acuerda favorecer una gestión óptima de los recursos humanos que evite discriminaciones y que pueda ofrecer igualdad de oportunidades en lo que se refiere a acceso al empleo, a la formación y a la promoción profesional.
Todo ello, de conformidad con el deber de negociar medidas dirigidas a promover la igualdad de trato y de oportunidades entre mujeres y hombres en el ámbito laboral, según lo previsto en la Ley Orgánica 3/2007, de 22 de marzo, de Igualdad Efectiva entre Mujeres y Hombres (BOE de 23 de marzo)
DISPOSICIÓN ADICIONAL SEGUNDA. Género neutro.
Todas las condiciones y expresiones que se contienen en el presente Convenio Colectivo, se dirigen indistintamente, afectarán y están redactadas en género neutro. No obstante, en todas las expresiones, vocablos y términos, con independencia del género con el que se expresen se entenderá que están incluidos ambos géneros, hombres y mujeres, trabajadores y trabajadoras.
DISPOSICION ADICIONAL TERCERA.
La unidad electoral será el distrito municipal del Ayuntamiento de Madrid, además del SELUR y la limpieza pública viaria del Aeropuerto Adolfo Suarez lado aire-tierra (AENA).
DISPOSICIÓN TRANSITORIA PRIMERA.
Hasta la puesta en marcha e inicio efectivo de cada contrata/o en las nuevas adjudicaciones que se produzcan, queda en suspenso la obligatoriedad establecida en el artículo 21, respecto a la cobertura de plazas vacantes surgidas en cada contrata, así como el resto de su contenido. No siendo de aplicación, por consiguiente y en ningún caso, en las vigentes y actuales contratos/as de servicios.
En consecuencia con lo expuesto en el párrafo precedente, hasta la puesta en marcha e inicio efectivo de cada contrata/o en las nuevas adjudicaciones que se produzcan, quedará suspendido (y sin efectos de ningún tipo) el mencionado artículo 21 y no resultará de aplicación, en ningún caso, todo su contenido, ni los efectos, obligaciones y consecuencias derivados del mismo; salvo lo estipulado en su último párrafo referente a la relación del personal a entregar a primeros de cada año a los representantes legales de los trabajadores indicando los datos que figuran en el mismo.
DISPOSICIÓN TRANSITORIA SEGUNDA.
Los incrementos recogidos en el Artículo 24 y en las Tablas Salariales del Convenio, entrarán en vigor de conformidad con lo establecido en dicho artículo y para cada uno de los años de vigencia del convenio colectivo, todo ello, con excepción de lo establecido en el Artículos 24 apartado 3º, 29 bis y la Disposición Transitoria Tercera que serán de aplicación a las nuevas contratas que resulten de las futuras adjudicaciones del Ayuntamiento de Madrid, cuya entrada efectiva ha de producirse teóricamente con posterioridad al 31 de julio de 2021.
Si el Ayuntamiento de Madrid sacara a licitación de manera independiente o separada alguna de las zonas o áreas (ya sea de manera total o parcial) incluidas en los actuales y vigentes contratos/as, lo establecido en el párrafo precedente será aplicación una vez se produzca la puesta en marcha o inicio efectivo de la nueva contrata. Ello mismo será de aplicación de idéntico modo en los servicios de limpieza del aeropuerto Adolfo Suarez-Madrid Barajas y SELUR, es decir, lo establecido en el párrafo precedente será aplicación una vez se produzca la puesta en marcha o inicio efectivo de la nuevas contratos/as.
DISPOSICION TRANSITORIA TERCERA.
La Prima de Productividad y Constancia, recogida en el artículo 29 bis, así como el incremento del Salario Base en dos (2) euros (artículo 24 apartado 3º) entrarán vigor, surtirán efecto y por consiguiente, se abonarán con la puesta en marcha e inicio efectivo de cada contrata/o -en las futuras adjudicaciones de servicios que tengan lugar- para los trabajadores adscritos a éste. Es decir, en ningún caso se abonarán, ni surtirán efecto alguno en las actuales y vigentes contratos/as.
No obstante lo anterior, y para el supuesto de que en estas circunstancias condicionadas por las partes negociadoras respecto a sus efectos en el aspecto o ámbito temporal, esto es, de que la puesta en marcha o inicio efectivo de todas o alguna de las contratas de las nuevas adjudicaciones que puedan tener lugar sucediera después del 31 de diciembre de 2021, las partes negociadoras se comprometen a reelaborar y, en su caso, confeccionar nuevas tablas salariales para estas nuevas contratas, por haber sido confeccionadas, las que se adjuntan a este Convenio, previendo teóricamente que en el inicio efectivo de la contrata se produce a lo largo del año 2021. Todo ello, en ningún caso afectará o surtirá efectos de ningún tipo respecto a las actuales o vigentes contratos/as.
Sin perjuicio de lo anterior, las tablas salariales de cada año serán ratificadas por la comisión mixta paritaria.
DISPOSICION TRANSITORIA CUARTA.
La entrega de una equipación completa a la que se refiere al primer párrafo del artículo 23, solo comprende y se aplicará al personal de nueva contratación.
DISPOSICION TRANSITORIA QUINTA.
El permiso por nacimiento de hijo, adopción o acogimiento, recogido en la letra g) del Artículo 18 del presente Convenio Colectivo queda en suspenso en tanto el permiso paternal por nacimiento y cuidado de menor establecido por Real Decreto ley 6/2019 de 1 de marzo, sea superior en la normativa vigente en cada momento al recogido en esta letra del indicado precepto.
DISPOSICION TRANSITORIA SEXTA.
En el año 2021 la paga de Beneficios, abonable en dicho año, se complementará con un total de 30 días de antigüedad.
TABLAS.
REVISIÓN SALARIAL (BOCM Núm. 52 – MIÉRCOLES 2 DE MARZO DE 2022)
RESOLUCIÓN de 16 de febrero de 2022, de la Dirección General de Trabajo de la Consejería de Economía, Hacienda y Empleo, sobre registro, depósito y publicación de la revisión salarial 2022 del Convenio Colectivo del Sector de Limpieza Pública Viaria (Capital), suscrito por la Comisión Mixta Paritaria (código número 28002595011982).
Examinado el Acta de la Revisión Salarial 2022 del Convenio Colectivo del Sector de Limpieza Pública Viaria (Capital), suscrito por la Comisión Mixta Paritaria el día 11 de enero de 2022, completada la documentación exigida en los artículos 6 y 7 del Real Decreto 713/2010, de 28 de mayo, sobre registro y depósito de convenios y acuerdos colectivos de trabajo, y de conformidad con lo dispuesto en el artículo 2.1.a) de dicho Real Decreto, en el artículo 90.2 y 3 del texto refundido de la Ley del Estatuto de los Trabajadores, aprobado por Real Decreto Legislativo 2/2015, de 23 de octubre, y con el artículo 1 del Decreto 42/2021, de 19 de junio, de la Presidenta de la Comunidad de Madrid, por el que se establece el número y denominación de las Consejerías de la Comunidad de Madrid, en relación con el artículo 28.1.h) del Decreto 234/2021, de 10 de noviembre, del Consejo de Gobierno, por el que se establece la estructura orgánica de la Consejería de Economía, Hacienda y Empleo esta Dirección General,
RESUELVE
1. Inscribir dicha revisión salarial del convenio colectivo, en el Registro Especial de Convenios Colectivos de esta Dirección, y proceder al correspondiente depósito en este Organismo.
2. Disponer la publicación del presente Anexo, obligatoria y gratuita, en el BOLETÍN OFICIAL DE LA COMUNIDAD DE MADRID.
Contra la presente Resolución podrá interponerse recurso de alzada ante la Viceconsejería de Empleo de la Consejería de Economía, Hacienda y Empleo de la Comunidad de Madrid, de acuerdo con los artículos 112, 121 y 122 de la Ley 39/2015, de 1 de octubre, en el plazo de un mes, y contándose desde el día siguiente de esta notificación, prorrogándose al primer día hábil siguiente cuando el último sea inhábil.
Madrid, a 16 de febrero de 2022.-La Directora General de Trabajo, Silvia Marina Parra Rudilla.
ACTA DE LA COMISIÓN MIXTA PARITARIA DEL CONVENIO DE LIMPIEZA PÚBLICA VIARIA DE LA CIUDAD DE MADRID PARA LA FIRMA DE TABLAS SALARIALES 2022.
Parte Empresarial:
ASELIP Mariano Sancho Herrero.
Julio Torres Guerrero.
Mª Nazaret Castro Gómez.
José Antonio Gallardo.
Antonio Macias Fuentes.
Jesús Mª García Antón.
Parte Social:
UGT Ismael García Jordán.
Susana Visconti Herrero.
Manuel Muñoz Ramírez.
Mariano Martinez Pérez.
ASISTENTES:
Manuel Menéndez Sánchez.
Manuel Soto Tirado.
Sherezade Talavera Alonso (Asesora).
Siendo las 11:00 horas del miércoles, día 11 de enero de 2022, en la sede de ASELIP, sita en la calle Diego de León, 56, 1º H, de la ciudad de Madrid, convocados en tiempo y forma se reúnen los miembros de la reciente constituida Comisión Mixta Paritaria del Convenio de Limpieza Publica Viaria de la Ciudad de Madrid que al margen se relacionan:
La convocatoria se realiza conforme al siguiente, ORDEN DEL DÍA:
PRIMERO. -Tablas salariales año 2022.
SEGUNDO. – Jornada anual 2022.
Iniciada la sesión, las partes EXPONEN Y ACUERDAN:
PRIMERO. – TABLA SALARIAL DEFINITIVA 2022.
Por ambas partes se acuerda dar cumplimiento al Convenio Colectivo de aplicación, adjuntando a tal efecto como Anexo las tablas definitivas del año 2022, tanto para el personal de jornada completa como de sábados, domingos y festivos y que serán de aplicación por tanto desde el 1 de enero de 2022.
Del personal de sábados, domingos y festivos no incluye la antigüedad, devengándose en su caso 222,7320 días con la siguiente distribución:
– En la paga de vacaciones: 15 días.
– En cada paga extra de verano – navidad: 15 días.
– En la paga de beneficios: 15 días.
Resultando por diferencia para cada día efectivo de trabajo 1,4929.
Se habilita a D. Mariano Sancho Herrero, para proceder a registrar, depositar y publicar las tablas referidas.
SEGUNDO. – JORNADA ANUAL DE 2022.
2.1.- Del personal a tiempo completo.
222,6666 días efectivos x 7 horas diarias = 1558,6662 horas /año.
2.2.- Del personal de sábados, domingos y festivos (SDF).
109 días x 7 horas diarias = 763 horas/año.
No habiendo más asuntos que tratar, se levanta la sesión siendo las 12.00 horas, firmando en prueba de conformidad todos los asistentes.
Ambas partes muestran su conformidad con todo lo contenido en el presente apartado.
ASELIP UGT CC.OO. CGT.
REVISIÓN SALARIAL (BOCM Núm. 38 – MARTES 14 DE FEBRERO DE 2023)
RESOLUCIÓN de 30 de enero de 2023, de la Dirección General de Trabajo de la Consejería de Economía, Hacienda y Empleo, sobre registro, depósito y publicación de la revisión salarial de 2023 del Convenio Colectivo del Sector de Limpieza Pública Viaria (capital), suscrita por la comisión mixta paritaria (código número 28002595011982).
Examinada el Acta de Revisión Salarial de 2023 del Convenio Colectivo del Sector de Limpieza Pública Viaria (capital), suscrita por la Comisión Mixta Paritaria el día 16 de diciembre de 2022, completada la documentación exigida en los artículos 6 y 7 del Real Decreto 713/2010, de 28 de mayo, sobre registro y depósito de Convenios colectivos, acuerdos colectivos de trabajo y planes de igualdad, y de conformidad con lo dispuesto en el artículo 2.1.a) de dicho Real Decreto, en el artículo 90.2 y 3 del texto refundido de la Ley del Estatuto de los Trabajadores, aprobado por Real Decreto Legislativo 2/2015, de 23 de octubre, y con el artículo 1 del Decreto 42/2021 de 19 de junio de la Presidenta de la Comunidad de Madrid por el que se establece el número y denominación de las Consejerías de la Comunidad de Madrid, en relación con el artículo 28.1.h) del Decreto 234/2021, de 10 de noviembre del Consejo de Gobierno, por el que se establece la estructura orgánica de la Consejería de Economía, Hacienda y Empleo, esta Dirección General,
RESUELVE
1. Inscribir dicha Revisión Salarial, del Convenio Colectivo, en el Registro de Convenios Colectivos, Acuerdos colectivos de trabajo y Planes de Igualdad de esta Dirección, y proceder al correspondiente depósito en este Organismo.
2. Disponer la publicación del presente Anexo, obligatoria y gratuita, en el BOLETÍN OFICIAL DE LA COMUNIDAD DE MADRID.
Contra la presente resolución podrá interponerse recurso de alzada ante la Viceconsejería de empleo de la Consejería de Economía, Hacienda y Empleo de la Comunidad de Madrid, de acuerdo con los artículos 112, 121 y 122 de la Ley 39/2015, de 1 de octubre, en el plazo de un mes, y contándose desde el día siguiente de esta notificación, prorrogándose al primer día hábil siguiente cuando el último sea inhábil.
Madrid, a 30 de enero de 2023.-La Directora General de Trabajo, Silvia Marina Parra Rudilla.
ACTA DE LA COMISIÓN MIXTA PARITARIA DEL CONVENIO DE LIMPIEZA PUBLICA VIARIA DE LA CIUDAD DE MADRID PARA LA FIRMA DE TABLAS SALARIALES 2023.
Siendo las 11:00 horas del día 16 de diciembre de 2022, en la sede de UGT, sita en Av. de América, 25, 3ª planta, de la ciudad de Madrid, convocados en tiempo y forma se reúnen los miembros de la reciente constituida Comisión Mixta Paritaria del Convenio de Limpieza Publica Viaria de la Ciudad de Madrid que al margen se relacionan:
PARTE EMPRESARIAL:
ASELIP.
Mariano Sancho Herrero.
Julio Torres Guerrero.
Antonio Macias Fuentes.
José Antonio Gallardo Cubero.
Nazaret Castro Gomez.
José Manuel Salgado Garzón.
Alba de Frutos Bayón.
Asesores:
Enrique Cuesta Garcia.
Luis Villegas Santos.
Álvaro Fernandez Salinero.
PARTE SOCIAL:
UGT.
Manuel Muñoz Ramírez.
Mariano Martinez Perez.
Ismael Garcia Jordán.
Susana Visconti Herrero.
Asesores:
Sherezade Talavera Alonso.
Juan Carlos Lopez Urbanos.
CGT.
Manuel Soto Tirado.
CC.OO.
Juan Carlos Fernandez Sánchez.
Esther Perez Sixto (Asesora).
Manuel Menéndez Sánchez.
La convocatoria se realiza conforme al siguiente, ORDEN DEL DÍA:
PRIMERO. -Tablas salariales año 2023
SEGUNDO. – Jornada anual 2023
Iniciada la sesión, las partes EXPONEN Y ACUERDAN:
PRIMERO. – TABLA SALARIAL DEFINITIVA 2023.
Por ambas partes se acuerda dar cumplimiento al Convenio Colectivo de aplicación, adjuntando a tal efecto como Anexo las tablas definitivas del año 2023, tanto para el personal de jornada completa como de sábados, domingos y festivos y que serán de aplicación por tanto desde el 1 de enero de 2023.
Del personal de sábados, domingos y festivos no incluye la antigüedad, devengándose en su caso 225,7894 días con la siguiente distribución:
– En la paga de vacaciones: 15 días.
– En cada paga extra de verano – navidad: 15 días.
– En la paga de beneficios: 15 días.
Resultando por diferencia para cada día efectivo de trabajo 1,5071.
Se habilita a D. Mariano Sancho Herrero, para proceder a registrar, depositar y publicar las tablas referidas.
SEGUNDO. – JORNADA ANUAL DE 2023.
2.1.- Del personal a tiempo completo.
221,6667 días efectivos de trabajo x 7 horas diarias = 1551,6669 horas /año.
2.2.- Del personal de sábados, domingos y festivos (SDF).
110 días x 7 horas diarias= 770 horas/año.
No habiendo más asuntos que tratar, se levanta la sesión siendo las 12.00 horas, firmando en prueba de conformidad todos los asistentes.
Ambas partes muestran su conformidad con todo lo contenido en el presente apartado.
REVISIÓN SALARIAL (BOCM Núm. 19 – MARTES 23 DE ENERO DE 2024)
RESOLUCIÓN de 3 de enero de 2024, de la Dirección General de Trabajo de la Consejería de Economía, Hacienda y Empleo, sobre registro, depósito y publicación de la revisión salarial 2024 del Convenio Colectivo del Sector de Limpieza Pública Viaria (capital), suscrito por la comisión mixta paritaria (código número 28002595011982).
Examinado el Acta de la Revisión Salarial 2024 del Convenio Colectivo del sector de Limpieza Pública Viaria (capital), suscrito por la Comisión Mixta Paritaria el día 19 de diciembre de 2023, completada la documentación exigida en los artículos 6 y 7 del Real Decreto 713/2010, de 28 de mayo, sobre registro y depósito de Convenios Colectivos, Acuerdos Colectivos de Trabajo y Planes de Igualdad, y de conformidad con lo dispuesto en el artículo 2.1 a) de dicho Real Decreto, en el art. 90.2 y 3 del texto refundido de la Ley del Estatuto de los Trabajadores, aprobado por Real Decreto Legislativo 2/2015, de 23 de octubre, y con el artículo 1 del Decreto 38/2023, de 23 de junio, de la Presidenta de la Comunidad de Madrid, por el que se establece el número y denominación de las Consejerías de la Comunidad de Madrid, en relación con el artículo 31 del Decreto 230/2023, de 6 de septiembre, del Consejo de Gobierno, por el que se establece la estructura orgánica de la Consejería de Economía, Hacienda y Empleo, esta Dirección General,
RESUELVE
1. Inscribir dicha Revisión Salarial del Convenio Colectivo, en el Registro de Convenios Colectivos, Acuerdos colectivos de trabajo y Planes de Igualdad de esta Dirección, y proceder al correspondiente depósito en este Organismo.
2. Disponer la publicación del presente Anexo, obligatoria y gratuita, en el BOLETÍN OFICIAL DE LA COMUNIDAD DE MADRID.
Contra la presente resolución podrá interponerse recurso de alzada ante la Viceconsejería de Economía y Empleo de la Consejería de Economía, Hacienda y Empleo de la Comunidad de Madrid, de acuerdo con los artículos 112, 121 y 122 de la Ley 39/2015, de 1 de octubre, en el plazo de un mes, y contándose desde el día siguiente de esta notificación, prorrogándose al primer día hábil siguiente cuando el último sea inhábil.
Madrid, a 3 de enero de 2024.-La Directora General de Trabajo, Silvia Marina Parra Rudilla.
ACTA DE LA COMISIÓN MIXTA PARITARIA DEL CONVENIO DE LIMPIEZA PÚBLICA VIARIA DE LA CIUDAD DE MADRID PARA LA FIRMA DE TABLAS SALARIALES 2024.
Siendo las 10:30 horas del día 19 de diciembre de 2023, en la sede de ASELIP, sita en la C/Diego de León 56, 1ºH, de la ciudad de Madrid, convocados en tiempo y forma se reúnen los miembros de la Comisión Mixta Paritaria del Convenio de Limpieza Publica Viaria de la Ciudad de Madrid que al margen se relaciona:
Parte Empresarial:
Por ASELIP.
Mariano Sancho Herrero.
Julio Torres Guerrero.
José Antonio Gallardo Cubero.
Nazaret Castro Gomez.
Jesús Mª García Antón.
Marta Garcia Denche.
Asesores:
Enrique Cuesta García.
Luis Villegas Santos.
Valentín Morales Sánchez.
Parte Social:.
Por UGT.
Ismael García Jordán..
Susana Visconti Herrero.
Manuel Muñoz Ramírez.
Mariano Martínez Pérez.
Por CC. OO:
Manuel Menéndez Sánchez.
Por CGT:
José Gabriel de Ana Soto.
La convocatoria se realiza conforme al siguiente
ORDEN DEL DÍA:
1º) Tablas salariales del año 2024.
2º) Jornada anual 2024.
Iniciada la sesión, las partes EXPONEN Y ACUERDAN:
PRIMERO. – TABLA SALARIAL DEFINITIVA 2024.
Por ambos partes se acuerda dar cumplimiento al Convenio Colectivo de aplicación, adjuntando a tal efecto como Anexo las tablas definitivas del año 2024, tanto para el personal de jornada completa como de sábados, domingos y festivos y que serán de aplicación por tanto desde el 1 de enero de 2024 Del personal de sábados, domingos y festivos no incluye la antigüedad, devengándose en su caso, 213,5612 días con la siguiente distribución:
– En la paga de vacaciones: 15 días.
– En cada paga extra de verano – navidad: 15 días.
– En la paga de beneficios: 15 días.
Resultando por diferencia para cada día efectivo de trabajo 1,4487.
Se habilita a D. Mariano Sancho Herrero, para proceder a registrar, depositar y publicar las tablas referidas.
SEGUNDO. – JORNADA ANUAL DE 2024.
2.1.- Del personal a tiempo completo.
226,3333 días efectivos de trabajo x 7 horas diarias = 1584,3331 horas/año.
2.2.- Del personal de sábados, domingos y festivos (SDF).
106 días x 7 horas diarias = 742 horas/año.
No habiendo más asuntos que tratar, se levanta la sesión, siendo las 11.30 horas, firmando en prueba de conformidad todos los asistentes.
Ambas partes muestran su conformidad con todo lo contenido en el presente apartado.
ASELIP. U.G.T. CC.OO. C.G.T.
REVISIÓN SALARIAL (BOCM Núm. 30 – MIÉRCOLES 5 DE FEBRERO DE 2025)
RESOLUCIÓN de 22 de enero de 2025, de la Dirección General de Trabajo de la Consejería de Economía, Hacienda y Empleo, sobre registro, depósito y publicación de la revisión salarial 2025 del convenio colectivo del sector de Limpieza Pública Viaria (capital), suscrito por la Comisión Mixta Paritaria (código número 28002595011982).
Examinado el Acta de la Revisión Salarial 2025 del convenio colectivo del sector de Limpieza Pública Viaria (capital), suscrito por la Comisión Mixta Paritaria el día 18 de diciembre de 2024, completada la documentación exigida en los artículos 6 y 7 del Real Decreto 713/2010, de 28 de mayo, sobre registro y depósito de Convenios Colectivos, Acuerdos colectivos de trabajo y Planes de Igualdad, y de conformidad con lo dispuesto en el artículo 2.1.a) de dicho Real Decreto, en el artículo 90.2 y 3 del texto refundido de la Ley del Estatuto de los Trabajadores, aprobado por Real Decreto Legislativo 2/2015, de 23 de octubre, y con el artículo 1 del Decreto 38/2023, de 23 de junio, de la Presidenta de la Comunidad de Madrid por el que se establece el número y denominación de las Consejerías de la Comunidad de Madrid, en relación con el artículo 31 del Decreto 230/2023, de 6 de septiembre, del Consejo de Gobierno, por el que se establece la estructura orgánica de la Consejería de Economía, Hacienda y Empleo, esta Dirección General,
RESUELVE
1. Inscribir dicha revisión salarial del convenio colectivo, en el Registro de Convenios Colectivos, Acuerdos colectivos de trabajo y Planes de Igualdad de esta Dirección, y proceder al correspondiente depósito en este Organismo.
2. Disponer la publicación del presente Anexo, obligatoria y gratuita, en el BOLETÍN OFICIAL DE LA COMUNIDAD DE MADRID.
Contra la presente resolución podrá interponerse recurso de alzada ante la Viceconsejería de Economía y Empleo de la Consejería de Economía, Hacienda y Empleo de la Comunidad de Madrid, de acuerdo con los artículos 112, 121 y 122 de la Ley 39/2015, de 1 de octubre, en el plazo de un mes, y contándose desde el día siguiente de esta notificación, prorrogándose al primer día hábil siguiente cuando el último sea inhábil.
Madrid, a 22 de enero de 2025.-La Directora General de Trabajo, Silvia Marina Parra Rudilla.
ACTA DE LA COMISIÓN MIXTA PARITARIA DEL CONVENIO DE LIMPIEZA PUBLICA VIARIA DE LA CIUDAD DE MADRID PARA LA FIRMA DE TABLAS SALARIALES 2025.
Siendo las 09:00 horas del día 18 de diciembre de 2024, en la sede de ASELIP, sita en la C/Diego de León 56, 1ºH, de la ciudad de Madrid, convocados en tiempo y forma se reúnen los miembros de la Comisión Mixta Paritaria del Convenio de Limpieza Publica Viaria de la Ciudad de Madrid que al margen se relaciona:
Parte Empresarial:.
Por ASELIP.
Mariano Sancho Herrero.
Julio Torres Guerrero.
José Antonio Gallardo Cubero.
Nazaret Castro Gomez.
Jesus Mª Garcia Antón.
Marta Garcia Denche.
Asesores:
Enrique Cuesta Garcia.
Luis Villegas Santos.
Valentín Morales Sánchez.
Parte Social:
Por UGT.
Ismael García Jordán.
Susana Visconti Herrero.
Juan Carlos Lopez Urbanos.
Mariano Martínez Pérez.
Asesores:
Sherezade Talavera Alonso.
Por CC. OO:
Manuel Menéndez Sánchez.
Asesores:
Esther Pérez Sixto.
Juan Carlos Fernández Sánchez.
Por CGT:
Jairo Torres Domínguez.
La convocatoria se realiza conforme al siguiente ORDEN DEL DÍA:
1º) Tablas salariales del año 2025.
2º) Jornada anual de 2025.
3º) Inscripción y Registro.
Iniciada la sesión, las partes EXPONEN Y ACUERDAN:
PRIMERO.- TABLA SALARIAL DEFINITIVA 2025.
Por ambas partes se acuerda dar cumplimiento al Convenio Colectivo de aplicación, adjuntando a tal efecto como Anexo las tablas definitivas del año 2025, tanto para el personal de jornada completa como de sábados, domingos y festivos, y que serán de aplicación por tanto desde el 1 de enero de 2025.
Del personal de sábados, domingos y festivos no incluye la antigüedad, devengándose en su caso 217,0208 días con la siguiente distribución:
– En la paga de vacaciones: 15 días.
– En cada paga extra de verano – navidad: 15 días.
– En la paga de beneficios: 15 días.
Resultando por diferencia para cada día efectivo de trabajo 1,4675.
SEGUNDO. – JORNADA ANUAL DE 2025.
2.1.- Del personal a tiempo completo.
224,3333 días efectivos de trabajo x 7 horas diarias = 1570,3331 horas /año.
2.2.- Del personal de sábados, domingos y festivos (SDF).
107 días x 7 horas diarias= 749 horas/año.
TERCERO.- Inscripción y Registro.
Se habilita a D. Mariano Sancho Herrero, para proceder a registrar, depositar y publicar las tablas referidas.
No habiendo más asuntos que tratar, se levanta la sesión, siendo las 10.30 horas, firmando en prueba de conformidad todos los asistentes.
ASELIP U.G.T. CC.OO. C.G.T.
