Índice
CONVENIO COLECTIVO (BOCM Núm. 115 – SÁBADO 15 DE MAYO DE 2021)
RESOLUCIÓN de 22 de abril de 2021, de la Dirección General de Trabajo de la Consejería de Economía, Empleo y Competitividad, sobre registro, depósito y publicación del convenio colectivo del Sector de Limpieza Hermética de Madrid Capital, suscrito por la Asociación de Empresas de Limpieza Pública (ASELIP) y por la representación sindical, CC. OO. y UGT (código número 28103024012021).
Examinado el texto del convenio colectivo del Sector de Limpieza Hermética de Madrid Capital, suscrito por la organización empresarial ASELIP y por las organizaciones sindicales CC. OO. y UGT, el día 10 de marzo de 2021, completada la documentación exigida en los artículos 6 y 7 del Real Decreto 713/2010, de 28 de mayo, sobre registro y depósito de convenios y acuerdos colectivos de trabajo, y de conformidad con lo dispuesto en el artículo 2.1.a) de dicho Real Decreto, en el artículo 90.2 y 3 del texto refundido de la Ley del Estatuto de los Trabajadores, aprobado por Real Decreto Legislativo 2/2015, de 23 de octubre, y con el artículo 6 del Decreto 52/2019, de 19 de agosto, de la Presidenta de la Comunidad de Madrid, por el que se establece el número y denominación de las Consejerías de la Comunidad de Madrid, en relación con el artículo 5 del Decreto 73/2019, de 27 de agosto, del Consejo de Gobierno, por el que se modifica la estructura orgánica de las Consejerías de la Comunidad de Madrid, y con el artículo 13 del Decreto 287/2019, de 12 de noviembre, del Consejo de Gobierno, por el que se establece la estructura orgánica de la Consejería de Economía, Empleo y Competitividad, esta Dirección General,
RESUELVE
1. Inscribir dicho convenio, en el Registro Especial de Convenios Colectivos de esta Dirección, y proceder al correspondiente depósito en este Organismo.
2. Disponer la publicación del presente Anexo, obligatoria y gratuita, en el BOLETÍN OFICIAL DE LA COMUNIDAD DE MADRID.
Contra la presente resolución podrá interponerse recurso de alzada ante la Viceconsejería de Empleo de la Consejería de Economía, Empleo y Competitividad de la Comunidad De Madrid, de acuerdo con los artículos 112, 121 y 122 de la Ley 39/2015, de 1 de octubre, en el plazo de un mes, y contándose desde el día siguiente de esta notificación, prorrogándose al primer día hábil siguiente cuando el último sea inhábil.
Madrid, a 22 de abril de 2021.-El Director General de Trabajo, Álvaro Rodríguez de la Calle.
CONVENIO COLECTIVO DE LIMPIEZA HERMÉTICA DE MADRID CAPITAL 2021-2025.
CAPÍTULO I.
Artículo 1. Partes que conciertan el convenio colectivo.
El presente convenio colectivo ha sido suscrito por la Asociación de Empresas de Limpieza Pública (ASELIP), así como por las centrales sindicales Unión General de Trabajadores (U.G.T.) y Comisiones Obreras (CC.OO.).
Las partes firmantes de este convenio tienen legitimación suficiente, conforme a las disposiciones legales vigentes, para establecer los ámbitos de aplicación indicados en el artículo siguiente, obligando, por tanto, a todos los empresarios y trabajadores en él incluidos y durante todo el tiempo de su vigencia.
Artículo 2. Ámbito personal y territorial.
El presente convenio colectivo tendrá ámbito local limitado al término municipal de Madrid y, por lo tanto, será de aplicación a todas las empresas dedicadas a la actividad de limpieza hermética en el ámbito territorial antes delimitado, regulando las relaciones laborales entre tales empresas y los trabajadores y trabajadoras (en el resto del articulado se utilizará la palabra trabajadores para referirse a ambos géneros) que prestan sus servicios en la limpieza hermética en el municipio de Madrid, cualquiera que sea su modalidad de contrato y siendo de obligado cumplimiento por unas y otros.
Artículo 3. Vigencia, duración y prórroga
El presente convenio colectivo entrará en vigor el día de su firma retrotrayéndose los efectos económicos al día 1 de enero de 2021.
Su vigencia se extenderá hasta el 31 de diciembre de 2025.
El presente convenio colectivo quedará denunciado automáticamente a la finalización de su vigencia, aunque se mantendrán los mismos deberes normativos y obligacionales anteriores en tanto no se firme uno nuevo.
Artículo 4. Absorción de personal.
Al término de la concesión de la contrata, los trabajadores de la misma con contrato fijo o con contrato temporal y con una antigüedad superior a cuatro meses en ese momento, entrarán en la nueva contrata respetándoseles todos sus derechos y obligaciones.
Artículo 5. Condiciones.
Las condiciones establecidas en este convenio forman un todo orgánico indivisible y a efecto de su aplicación práctica serán consideradas globalmente en cómputo anual, sin que quepa la aplicación de una normativa aislada sobre condiciones anteriores.
Artículo 6. Absorción y compensación
Las retribuciones establecidas en este convenio compensarán y absorberán todas las existentes en el momento de su entrada en vigor, cualquiera que sea su naturaleza y el origen de las mismas.
Los aumentos de retribuciones que puedan producirse en el futuro por disposiciones legales de general aplicación, así como por convenios colectivos, contratos individuales, solo podrán afectar a las condiciones pactadas en el presente convenio cuando, consideradas las nuevas retribuciones en cómputo anual, superen las aquí pactadas; en caso contrario, serán compensadas y absorbidas estas últimas, manteniéndose el presente convenio en sus propios términos y en la forma y condiciones que quedan pactadas.
Artículo 7. Derechos adquiridos.
Se respetarán todos los derechos adquiridos que, pactados individualmente o colectivamente, superen o no se recojan en el presente convenio.
Artículo 8. Comisión mixta paritaria
El mismo día de la firma del presente convenio colectivo se constituirá una comisión mixta paritaria para la aplicación e interpretación de este.
Estará integrada por tres representantes de la parte económica y tres de la parte social, siendo nombrados estos últimos por las centrales sindicales firmantes del convenio colectivo. Esta comisión se reunirá a instancia de cualquiera de las partes y dicha reunión deberá celebrarse en el plazo máximo de quince días desde la convocatoria.
Serán funciones de la comisión mixta paritaria las que se detallan a continuación:
a) Interpretación de la totalidad de las cláusulas de este convenio.
b) Vigilancia del cumplimiento de todo lo pactado.
c) Estudio y valoración de las nuevas disposiciones legales, de promulgación posterior a la entrada en vigor del presente convenio, que puedan afectar a su contenido.
d) Cuantas otras actividades que tiendan a la eficacia del convenio y a una solución interna de los posibles conflictos.
Durante la vigencia del presente convenio, cualquier cuestión litigiosa de carácter laboral que no haya podido solucionarse en el seno de la comisión, mediante una interpretación común, se someterá a los procedimientos establecidos en la legislación en cada momento.
Los dictámenes de la comisión mixta paritaria deberán adoptarse, por acuerdo de la mayoría de cada parte, empresarial y social, respectivamente, en un plazo máximo de cinco días, a contar desde el siguiente al que se hubieran solicitado.
La comisión se reunirá al menos cada tres meses.
CAPÍTULO II. Condiciones de trabajo.
Artículo 9. Jornada de trabajo.
a) Jornada:
La jornada de trabajo será de treinta y cinco horas semanales (siete horas diarias), repartida de lunes a viernes, y en ella se incluyen treinta minutos diarios de bocadillo y veinte minutos para el aseo personal como tiempo efectivo de trabajo.
Los descansos del personal serán los sábados, domingos y festivos.
Además, también se considerarán días de descanso los días 24 y 31 de diciembre de cada año, que se abonarán como días efectivamente trabajados, con independencia del día de la semana en que coincidan en estas fechas.
A partir de la firma del presente convenio colectivo, si se diese la circunstancia de que el día de San Martín de Porres, el 3 de noviembre, cayese en domingo, los trabajadores disfrutaran del día festivo el lunes inmediato.
b) Contrataciones eventuales para verano y campañas especiales:
Las empresas podrán realizar contrataciones eventuales para los tres meses de verano y/o campañas especiales.
Artículo 10. Horas extraordinarias.
En este asunto se estará a lo que disponga la legislación vigente en cada momento.
Artículo 11. Vacaciones.
Las vacaciones tendrán una duración de 31 días naturales y se disfrutarán en el período comprendido entre el 1 de julio y el 1 de octubre.
Los turnos de vacaciones se elaborarán por la empresa, previa consulta, a los representantes de los trabajadores y se expondrán en los tablones de anuncios de todos los centros de trabajo. En cualquier caso, la asignación de los trabajadores a cada uno de los turnos será rotativa y porcentual (por funciones profesionales y turnos), disfrutando de sus vacaciones en el mes de julio el 30%, en el mes de agosto el 45% y en el mes de septiembre el 25%.
En el supuesto de que el periodo de vacaciones coincida con una incapacidad temporal que imposibilite al trabajador disfrutarlas, total o parcialmente, durante el año natural a que corresponden, se estará a lo dispuesto en el art. 38.3 de dicho estatuto de los trabajadores.
Artículo 12. Traslado de personal.
Cualquier persona puede solicitar a su empresa por escrito el cambio de turno, parque y ruta de donde venga prestando sus servicios, a otro.
Las empresas procurarán evitar los traslados de personal, no pudiéndose realizar en ningún caso por razones de sanción.
Artículo 13. Sanciones y despidos.
En cuanto a la descripción de las conductas que deben entenderse como sancionables, así como a su graduación, se estará a lo dispuesto en el convenio general del Convenio General del Sector de Saneamiento Público, Limpieza Viaria, Riegos, Recogida, Tratamiento y Eliminación de Residuos, Limpieza y Conservación de Alcantarillado (BOE, 30 de Julio de 2013)..
No obstante lo anterior, las sanciones graves y muy graves serán puestas en conocimiento del comité de empresa o delegados de personal con una antelación mínima de veinticuatro horas, exponiendo los motivos y la clase de sanción.
El resto de las sanciones se comunicarán al comité o delegados de personal a la mayor brevedad posible, con un plazo máximo de dieciocho horas desde el momento de la imposición de la sanción.
Artículo 14. Excedencia.
Los trabajadores con un año de servicio en la contrata podrán solicitar la excedencia voluntaria por un plazo igual o superior a cuatro meses e inferior a cinco años. Para acogerse a otra excedencia voluntaria, el trabajador deberá cumplir un nuevo período de un año de servicio efectivo en la contrata.
Las peticiones de excedencia quedarán resueltas por la empresa y el comité de empresa o delegados de personal en un plazo de quince días.
Si el trabajador no solicitara el reingreso con un plazo mínimo de un mes de antelación, perderá el derecho de su puesto en la contrata, siendo admitido/a inmediatamente en el caso de cumplir tal requisito en el mismo puesto y función profesional.
Los trabajadores que soliciten la excedencia como consecuencia de haber sido nombrados para el ejercicio de cargos públicos y/o sindicales, no necesitarán de un año de antigüedad para solicitarla, concediéndose obligatoriamente en estos casos, siendo admitidos inmediatamente al cumplir su mandato.
Artículo 15. Conductores.
En posesión, como mínimo, del carné de conducir clase C actual o C2 anterior, tiene los conocimientos necesarios para ejecutar toda clase de reparaciones que no requieran elementos de taller. Cuidará especialmente de que el vehículo o máquina salga del parque en las debidas condiciones de funcionamiento.
Tiene a su cargo la conducción y el manejo de las máquinas o vehículos remolcados o sin remolcar propios del servicio. Se responsabilizará del entretenimiento y adecuada conservación de la máquina o el vehículo que se le asigne, así como de observar las prescripciones técnicas y de funcionamiento de las mismas.
La empresa se compromete a garantizar que todo aquel trabajador que le sea retirado su carné de conducir, ya sea durante la realización de su trabajo con un vehículo de la empresa o con su vehículo particular, le sea abonada la totalidad de su salario mientras dure esa situación, siempre y cuando alguno de los puntos del total de los 12 con los que se cuenta hayan sido retirados durante la jornada laboral.
No obstante, y hasta su recuperación, tendrá la obligación de trabajar en aquel puesto para el que no se requiera estar en posesión del mismo.
Además, aquellos trabajadores que les sea retirado el carné de conducir como consecuencia de la pérdida por cualquier causa de todos los puntos del mismo, tendrán la obligación de volver a obtenerlo antes de nueve meses. En caso de que no fuese así, la empresa solo tendrá la obligación de abonarles el salario de la función profesional para la que esté capacitado.
En el caso de que la totalidad de los puntos le hayan sido retirados fuera del horario de trabajo, la empresa le asignará un nuevo puesto de trabajo hasta que le sea devuelto, recibiendo el trabajador la retribución correspondiente a la nueva función profesional. Esta misma situación se dará si los puntos que motivan la retirada del carné, son por causas de conducción temeraria, toxicología o alcoholismo.
La empresa estará obligada a hacerse cargo de los procedimientos oportunos necesarios para la realización o renovación del CAP (Certificado de Adaptación Profesional), necesario para todos aquellos conductores poseedores del Carné C. Puesto que es un requisito de obligado cumplimiento y debido a la obligatoriedad de la empresa de cumplir con la legislación vigente, esta se hará cargo de las tasas que deben abonar los trabajadores y de la impartición del curso. Las horas empleadas por los trabajadores para realización del CAP, serán consideradas como tiempo efectivo de trabajo, por lo cual en el caso de que el trabajador deba asistir al curso fuera del horario laboral asignado, la empresa deberá compensar esas jornadas dentro del horario laboral del trabajador afectado.
La empresa de forma obligatoria deberá otorgar el curso del CAP, a todos los trabajadores con función profesional de conductor y además a todos aquellos que, sin disponer de la función profesional de conductor y en posesión del carné C, vienen realizando de forma habitual las funciones propias de conductor o se encuentran en listados de conductores suplentes o acuerdos de retén de conductores, cumpliendo las mismas condiciones mencionadas que para los conductores.
Artículo 16. Licencias y permisos.
Las empresas, teniendo en cuenta las necesidades del servicio, deberán conceder hasta quince días no retribuidos al año a todos los trabajadores que lo soliciten por cuestiones familiares, sociales, de estudio, etcétera. Asimismo, en situaciones especiales, este plazo se podrá ampliar a un máximo de treinta días.
El personal afectado por este convenio tendrá derecho a disfrutar de los siguientes permisos retribuidos en la forma y condiciones que se especifican a continuación:
1. Quince días retribuidos en caso de matrimonio.
2. Dos días por fallecimiento, accidente o enfermedad grave, hospitalización o intervención quirúrgica sin hospitalización que precise reposo domiciliario, de parientes hasta 2 grado de consanguinidad o afinidad, ampliables a dos días más si existiese la necesidad de realizar un desplazamiento al efecto fuera de la provincia. En el supuesto de cirugía ambulatoria de un familiar de primer grado de consanguinidad o afinidad, los trabajadores de los turnos diurnos dispondrán de un día y los trabajadores del turno nocturno la noche anterior o posterior al hecho. Además, toda estancia en urgencias hospitalarias debidamente acreditada de un familiar en primer grado, o cónyuge, que coincida al menos con la mitad de la jornada diaria del trabajador estipulada en convenio, dará derecho a un día de licencia. En caso de ser menos de la mitad de la jornada se disfrutará el tiempo indispensable. No obstante, ese día, en ningún caso podrá acumularse a los días de licencia por enfermedad grave u hospitalización anteriormente mencionados.
3. Dos días en caso de fallecimiento de hermanos políticos y cuatro si ocurriese el hecho fuera de la provincia.
4. Dos días por nacimiento de hijo o adopción y cuatro si sucede fuera de la provincia. Si ocurriese enfermedad grave, se aumentará a cinco días.
5. Dos días por traslado de domicilio habitual, que el trabajador podrá disfrutar durante los 30 días siguientes a la fecha de empadronamiento municipal.
6. Un día hábil en matrimonio de hijos, hermanos o padres y dos días en caso de que fuera en distinta provincia.
7. Un día por fallecimiento de tíos y sobrinos consanguíneos y dos días si el fallecimiento ocurriese fuera de la provincia.
8. Horas para exámenes y renovaciones de carné de conducir.
9. Por el tiempo necesario para la asistencia al médico especialista y/o pruebas médicas, siempre y cuando justifique que no puede realizarlo fuera de su jornada de trabajo.
10. Por el tiempo indispensable para el cumplimiento de un deber inexcusable de carácter público y personal.
Todas estas licencias deberán ser preavisadas, salvo urgencias, y, posteriormente, justificados debidamente. Se abonarán como días realmente trabajados con excepción del plus conducción y plus funcional. Además, todos estos permisos serán disfrutados tanto por los matrimonios como por las parejas de hecho debidamente registradas.
Artículo 17. Seguro colectivo de vida.
En caso de accidente laboral o enfermedad profesional como consecuencia de la actividad desarrollada para la empresa, de la que derive muerte, incapacidad laboral permanente absoluta o gran invalidez para cualquier actividad laboral, el trabajador o sus beneficiarios; en todo caso, percibirán en concepto de indemnización 15.300 euros, independientemente de las prestaciones que por este motivo les correspondan.
Artículo 18. Trabajos de función profesional inferior por capacidad disminuida.
Al trabajador que le sea declarada una incapacidad permanente parcial como consecuencia de la actividad desarrollada para la empresa, se le readmitirá en el puesto de trabajo y con la función profesional que la empresa entienda más adecuada. Si este nuevo puesto significase inferior clasificación profesional se le mantendría el salario de la función anterior hasta que, por sucesivas revisiones salariales, sea alcanzado por la retribución de la nueva función asignada.
Los conductores que no obtengan la renovación del carné de conducir que precisan para su trabajo por no superar el examen psicotécnico, podrán elegir entre ser admitidos en otra función profesional o instar declaración de invalidez siempre y cuando la empresa considere que puede desarrollar perfectamente su nuevo cometido. Si, por la primera opción, este nuevo puesto significase inferior clasificación profesional se le mantendría el salario de la función anterior hasta que, por sucesivas revisiones salariales, sea alcanzado por la retribución de la nueva función asignada.
En los casos de incapacidad permanente total para la profesión habitual derivada de accidente laboral o enfermedad profesional, como consecuencia de la actividad desarrollada para la empresa, el trabajador percibirá la cantidad que le hubiese correspondido de jubilarse a los sesenta y cinco años en ese momento.
No será aplicable este artículo a los supuestos derivados de hechos causales anteriores al inicio del ingreso del trabajador en la contrata, salvo traslados o subrogaciones.
Artículo 19. Ascensos.
Podrán acceder a la función profesional de conductor los trabajadores con la función profesional de peón que lleven un mínimo de sesenta días en la contrata y a tales efectos se publicará durante diez días consecutivos al menos, en todos los parques la convocatoria de las vacantes que surjan.
Para acceder a la citada función de conductor, los peones deberán superar un concursooposición en el que se valorará el resultado de un examen con un máximo del 75% de la valoración final y la antigüedad del concursante, con un máximo del 25% restante. Una vez superada la fase de concurso-oposición, el nuevo conductor estará en período especial de prueba de seis meses en su nueva función profesional.
El resto de las vacantes que se produzcan serán de libre designación de la empresa.
Artículo 20. Salud laboral.
Dado el nuevo enfoque preventivo que la legislación sobre seguridad e higiene en el trabajo ha experimentado en nuestro país con la entrada en vigor de la nueva Ley de Prevención de Riesgos Laborales, ambas partes estiman conveniente incluir en el presente convenio varias cuestiones dedicadas a la seguridad e higiene en el trabajo desde este nuevo punto de vista preventivo y en aplicación de lo establecido en la citada nueva Ley.
En consecuencia, ambas partes manifiestan su intención de hacer lo posible por evitar los riesgos y combatirlos en su origen, evaluar los riesgos inevitables mediante la elaboración de un plan de prevención y en función de todo lo anterior planificar la acción preventiva.
La empresa, asumiendo sus obligaciones en materia preventiva se compromete:
1. A elaborar un plan de evaluación de riesgos que deberá estar terminado dos meses después de la firma del convenio.
2. A establecer la planificación preventiva en coordinación con el servicio de prevención.
3. A consultar, informar y formar a los trabajadores en todo lo que dispones la legislación vigente.
4. A controlar el cumplimiento de las medidas de prevención y el estado de salud de los trabajadores.
5. A documentar adecuadamente todas las materias relacionadas con la actividad preventiva.
6. A someter a reconocimiento médico a los trabajadores cuando ello sea necesario y previa solicitud del trabajador. Para la realización de este reconocimiento médico se concederá el día del mismo como libre al trabajador/a que efectúe la revisión médica. Será la empresa la que fije el día del reconocimiento.
La empresa instalará filtros en las pantallas de los ordenadores y se realizarán exámenes oftalmológicos periódicos al personal administrativo que trabaje con los mismos.
Lo previsto en el artículo 68 del Estatuto de los Trabajadores en materia de garantías, será de aplicación a los delegados de prevención en su condición de representantes de los trabajadores.
El tiempo utilizado por los delegados de prevención para el desempeño de las funciones previstas en la Ley de Prevención Laborales, será considerado como de ejercicio de funciones de representación a efectos de la utilización del crédito de horas mensuales retribuidas previsto en la letra e del citado artículo del Estatuto de los Trabajadores.
La formación de los delegados de prevención se llevará a cabo como marca el artículo 37.2 de la Ley de Prevención de Riesgos Laborales.
El comité de seguridad y salud asumirá las funciones del comité de salud y seguridad, rigiéndose a todos los efectos por la normativa legal de aplicación en esta materia.
Dicho comité tendrá carácter paritario, designado la representación legal de los trabajadores o sindicatos presentes en el comité de empresa.
Tanto los sindicatos más representativos en el comité de empresa como la empresa podrán aportar a las reuniones del comité de seguridad y salud a los técnicos que consideren convenientes.
El comité de seguridad y salud tendrá, entre otras, las siguientes funciones y facultades:
1. Promover las observaciones de las disposiciones vigentes para la prevención de riesgos profesionales.
2. Fomentar la colaboración de todo el personal en la práctica y observación de las medidas preventivas.
3. Estimular la enseñanza entre todo el personal de la empresa en materia preventiva.
4. Divulgar y propagar la salud y seguridad en el trabajo, fundamentalmente entre los representantes de los trabajadores, tanto del comité de representantes, como entre los propios miembros del comité de seguridad y salud, así como entre los operarios interesados en estas materias.
5. Estudiar todos aquellos aspectos referentes a la utilización de prendas de protección, vestuarios, uniformidad, así como la duración de las mismas.
6. Cualesquiera otras competencias relacionadas con la prevención de accidentes y con la seguridad y salud de los trabajadores, así como todo aquello dispuesto en el artículo 39.2, apartados a, b, c y d de la Ley de Prevención de Riesgos Laborales.
La empresa facilitará los medios de divulgación necesarios, a fin de que todo el personal esté informado sobre las recomendaciones, obligaciones y prácticas en materia de seguridad y salud.
Con el fin de prestar una acción coordinadora y eficaz, el servicio de prevención de la empresa, mantendrá estrecha conexión con el comité de seguridad y salud correspondiente a los trabajadores dentro del presente convenio.
La empresa constituirá un servicio de prevención de acuerdo con lo establecido en el capítulo IV de la Ley de Prevención de Riesgos Laborales. Este servicio de prevención cumplirá todos los requisitos legales establecidos.
Artículo 21. Plazas vacantes.
Las empresas contratarán a trabajadores como fijos por las vacantes que se produzcan debido a muerte o despido improcedente.
Las vacantes fijas serán cubiertas preferentemente mediante contrataciones de personal procedente de los colectivos eventuales y de fines de semana.
CAPÍTULO III. Condiciones económicas.
Artículo 22. Conceptos retributivos.
El salario bruto del personal afectado por este convenio colectivo en cada uno de los años de su vigencia es el que se especifica en las tablas de retribuciones incorporada como Anexo I.
A la puesta en marcha e inicio efectivo de las nuevas contratas, los trabajadores verán incrementado su salario base en dos (2) euros, con las repercusiones oportunas.
Sin perjuicio de lo anterior, y a excepción del incremento indicado en el párrafo precedente, que surtirá efectos en el momento indicado, desde el 1 de Enero de 2021 y para el resto de años sucesivos será de aplicación la tabla salarial que se establezca en el Convenio colectivo de Limpieza pública viaria de Madrid-Capital para cada uno de los años de vigencia.
Igualmente, a la puesta en marcha e inicio efectivo de las nuevas contratas, se percibirá la prima de Productividad y Constancia de 500 €, regulada en el artículo 26 bis, y en los términos y condiciones allí recogidos.
Artículo 23. Antigüedad.
Todos aquellos trabajadores que a partir de la entrada en vigor de este convenio estén adscritos al mismo disfrutarán del complemento personal de antigüedad que se expone en este artículo.
Los trabajadores que ya vinieran disfrutando de otro sistema de complemento personal de antigüedad continuarán disfrutando del mismo y en las mismas condiciones.
Complemento de antigüedad:
La fecha inicial del cómputo de antigüedad será aquella en la que se ingrese en la empresa o contrata de la que se trate, y siempre que sea después del 1 de enero de 2003.
Los trabajadores comprendidos en este convenio disfrutarán, como complemento personal de antigüedad, un aumento periódico por el tiempo de servicios prestados en la contrata, consistente en tres bienios del 5% y posteriores quinquenios del 7% sobre el salario base.
El importe de cada bienio o quinquenio comenzará a devengarse el mismo día del año en que se cumplan. Este complemento se abonará por día natural.
El trabajador que cese definitivamente en la empresa y posteriormente ingrese de nuevo en la misma, solo tendrá derecho a que se compute la antigüedad a partir de la fecha de este nuevo ingreso, perdiendo todos los derechos de antigüedad anteriormente obtenidos.
Este complemento se abonará por día natural, así como en las Pagas extras de verano, Navidad y beneficios (30 días en cada una). Los días de antigüedad correspondientes a la paga extra de beneficios comenzarán a devengar de tal modo desde el 1 de Enero de 2021.
A los trabajadores con jornada parcial se les abonará en función de su jornada.
Artículo 24. Complementos salariales de vencimiento periódico superior al mes.
Las empresas afectadas por este convenio abonarán a todo su personal dos pagas extraordinarias que se ajustarán a las siguientes condiciones:
– Cuantía: La fijada en el Anexo I del presente convenio para la función profesional que corresponda.
– Denominación: Las pagas extraordinarias fijadas en el presente artículo corresponderán a la denominación de verano y Navidad.
– Fechas de abono: La paga extraordinaria de verano se hará efectiva el día 30 del mes de junio.
La de Navidad se hará efectiva el día 17 del mes de diciembre.
– Período de devengo: Las de verano y Navidad se abonarán semestralmente y, en caso de alta o cese del trabajador durante el período devengado, se abonarán proporcionalmente a los días trabajados.
Paga de verano: Se devengará del 1 de enero al 30 de junio.
Paga de Navidad: Se devengará del 1 de julio al 31 de diciembre.
Artículo 25. Participación de beneficios.
Paga de beneficios: La paga de beneficios se devengará anualmente del 1 de enero al 31 de diciembre del año en curso y su abono será proporcional a los meses o fracciones del mes trabajados durante el citado período. Se abonará el último día hábil del mes de febrero del año siguiente a su devengo.
Artículo 25 bis. Paga San Martín de Porres.
En el año 2022 se crea una paga denominada San Martín de Porres por importe de 500 euros, que se devenga dentro de cada año natural y se abona con la nómina del mes de octubre y en proporción al tiempo trabajado. Para el personal de jornada parcial el importe será proporcional a su jornada.
Artículo 26. Pluses.
Son los indicados en el Anexo I y se denominan:
a) Transporte.
b) Penoso, tóxico y peligroso.
c) Nocturno: Para el personal que presta sus servicios en el turno de noche.
d) Incentivos.
Artículo 27. Aplicación de pluses.
Los pluses señalados en el artículo anterior, y cuyas cuantías se indican en la tabla salarial del Anexo I, se abonarán por día efectivamente trabajado.
Artículo 27 bis. Prima de Productividad y Constancia.
Se establece un sistema de retribución que gratifica en mayor medida a aquellos trabajadores que hayan acudido a trabajar de forma efectiva más jornadas a lo largo del año.
Esta prima asciende a la cantidad de 500 euros anuales para el personal a jornada completa anual. Para los trabajadores a tiempo parcial y para aquellos que no hayan trabajado el año completo la cuantía será proporcional a la jornada realizada.
El devengo del mencionado plus es anual y se abonará en la nómina del mes de marzo de año siguiente al de su devengo.
Para tener derecho a este plus no podrán tener más ausencias que las surgidas por el disfrute de los días de vacaciones, los días de navidad (24 y 31 de diciembre), las licencias retribuidas previstas en el art. 16 de este Convenio, las bajas por maternidad y paternidad, las bajas por accidente de trabajo o enfermedad profesional, el crédito horario sindical, las bajas con ingreso hospitalario y la primera baja por contingencias comunes.
Las cantidades no abonadas, debido a su falta de devengo se acumularán en una bolsa común creada dentro de cada grupo profesional existente, que serán repartidas equitativamente dentro de éste, abonándose en la nómina del mes de marzo del año siguiente, y entre aquellos trabajadores que en el año anterior no hayan tenido ninguna ausencia, a excepción única y exclusivamente de: el disfrute de los días de vacaciones y los días de navidad, las licencias retribuidas previstas en el art. 16 de este Convenio, las bajas por nacimiento de hijos (maternidad y paternidad), las bajas por incapacidad temporal derivadas de accidente de trabajo o enfermedad profesional (es decir, por contingencias profesionales), el uso o utilización del crédito horario sindical.
Artículo 28. Plus conducción y plus funcional.
a. Plus conducción: desde la firma del convenio además de los pluses señalados en el artículo 26, aquellos peones que durante toda la jornada laboral conduzcan un vehículo cuyo PMA se inferior a 3500kg, exceptuando a su vez los vehículos turismos, recibirán un plus denominado plus conducción y que asciende 3,40 euros brutos por día efectivamente trabajado.
b. Plus funcional: desde la firma del convenio el peón que realice sus funciones con herramientas mecánicas (radial, martillos neumáticos, manejo de grúa…) en servicios de calle percibirá un plus funcional de especialización por la cuantía de 2,98 euros por día efectivamente trabajado realizando dichas funciones, durante toda la vigencia del convenio.
En caso de coincidir los dos pluses de este artículo en la misma jornada se abonará el de más importe.
El devengo de este plus funcional, no exigirá conocimiento alguno de mecánica que le permita ejecutar reparaciones, aunque sí las habilidades precisas para cumplir su obligación de mantenimiento, entretenimiento, reposición, limpieza y cuidado de cualquier vehículo, maquinaria o herramienta con las que se trabaje.
Se tratarán en la Comisión Mixta Paritaria interpretativa del presente Convenio Colectivo los casos de incorporación de nuevas maquinarias en las Contratas.
Se respetarán los acuerdos superiores pactados individual o colectivamente que superen los acuerdos fijados en este artículo.
Se cobrarán por día completo, es decir, no podrá aplicarse la proporcionalidad al tiempo de uso.
Artículo 29. Día y lugar de pago.
El abono de haberes se hará en todo caso por transferencia bancaria el último día de cada mes o el inmediatamente anterior si este fuese sábado, festivo o víspera de festivo.
El lugar de entrega del recibo de salarios será el centro de trabajo.
CAPÍTULO IV. Mejoras sociales.
Artículo 30. Anticipos quincenales.
Voluntariamente, todo trabajador tendrá derecho a anticipos quincenales a cuenta del trabajo realizado durante la mensualidad en que se soliciten, de una cuantía máxima de 425 euros.
Artículo 31. Anticipos reintegrables.
El personal fijo, a jornada completa y con más de un año en la contrata, podrá solicitar un préstamo reintegrable por un máximo de 410 euros.
La concesión, o no, de dicho préstamo se llevará a cabo por la empresa y el comité de empresa, quienes deberán extremar la ponderación, a la hora de valorar cada supuesto, obligándose los trabajadores solicitantes a acreditar debidamente cuantos extremos les sean requeridos.
La amortización de dicho préstamo se hará durante las 14 pagas posteriores al mismo como máximo y las cantidades amortizadas revertirán al fondo de préstamos.
La empresa pondrá a disposición del fondo de préstamos 1.100 euros por cada 20 trabajadores o fracción.
Artículo 32. Incapacidad temporal.
a) En caso de enfermedad común o accidente no laboral:
En caso de enfermedad común o accidente no laboral, todo el personal afectado por el presente convenio colectivo percibirá hasta el 70 por 100 del salario base, más antigüedad, más todos los pluses, incluido el de transporte, en aquellos procesos de incapacidad temporal que no superen los dos días.
Si el proceso de incapacidad temporal se prolongara durante más de dos días, se abonará desde el primer día hasta el 100 por 100 de tales conceptos, durante el tiempo que la empresa cotice a la Seguridad Social por el trabajador.
b) En caso de enfermedad profesional, accidente laboral u hospitalización:
Todo el personal afectado por el presente convenio percibirá el 100 por 100 del total devengado, como si de trabajo real se tratara, haciéndose el pago el día habitual de cada mes.
Artículo 33. Prendas de trabajo.
Desde la entrada en vigor del presente Convenio, la totalidad de la equipación se entregará a reposición; por tanto, las prendas se entregarán, únicamente, en función de su deterioro debido al uso normal de las mismas.
Al inicio de los nuevos Contratos/Servicios, o en caso de modificación de la uniformidad por parte del Ayuntamiento de Madrid, se hará una entrega inicial completa de la equipación oportuna, facilitándose la ropa de verano durante el mes de mayo, y la de invierno durante el mes de octubre.
Cada prenda de esta equipación se repondrá únicamente en función de su deterioro debido al uso normal de la misma.
1. Todos los trabajadores de la plantilla dispondrán de sus correspondientes equipos de protección individual a razón de las evaluaciones de riesgos que les afecten en sus respectivas funciones, y estos les serán entregados en cuanto queden reflejadas en dichas evaluaciones de riesgos, a no ser que ya dispongan de ella.
2. Todos los equipos de protección individual deberán estar en perfectas condiciones; en el caso de que esto no sea así, serán sustituidas inmediatamente.
3. La empresa proporcionará equipos de protección individual a sus trabajadores y estos deberán ser los adecuados para el desempeño de sus funciones.
4. La empresa velará por el uso de efectivo de los equipos de protección individual cuando, por la naturaleza de los trabajos realizados, sean necesarios utilizarlos.
5. En el caso de que cualquier prenda de trabajo se deteriore, sea substraída o que no cumpla con la misión de proteger de sus riesgos a los trabajadores que las utilizan, serán substituidas o respuestas por otra prendas de la misma o superior calidad, previa entrega de la prenda deteriorada o previa comunicación a la empresa en el caso de que hubiese sido substraída.
6. A los trabajadores que entren por primera vez a esta contrata, se les entregará el mismo vestuario que al resto de la plantilla, con la salvedad de que se les entregará una camisa adicional en la campaña de invierno. Estos trabajadores tendrán el mismo derecho de protección frente a sus riesgos que el resto de los trabajadores de la plantilla.
7. En el caso de que haya trabajadores que desempeñen funciones distintas a las acordadas, se procederá a mantener una reunión por ambas partes (empresa y representantes de los trabajadores) para negociar las cantidades de prendas y características de las mismas que se requieran para esa función.
8. En lo referente a las cantidades de las diferentes prendas, como así mismo de cualquier equipo de protección individual, se procederá a mantener las reuniones que sean necesarias, por ambas partes, partes para realizar los estudios que sean necesarios y que sirvan para mejorar la seguridad y salud de estos trabajadores.
9. El vestuario les será entregado a los trabajadores dentro de su jornada de trabajo para que estos puedan probarse las diferentes prendas del mismo.
Se estará a lo establecido o a lo que se pueda establecer en la normativa vigente sobre protección de los trabajadores frente a sus riesgos laborales.
Los pactos de negociación sobre cantidad y calidad y duración de las prendas de trabajo posteriores a los actuales vigentes se realizarán, conjuntamente, entre las empresas y sus comités o delegados de personal.
No obstante, la cantidad, calidad y tipo ropa deberá ajustarse en todo caso a lo establecido por los pliegos de condiciones que en cada momento establezca el Ayuntamiento.
Las prendas de trabajo se entregarán en horas de trabajo en los respectivos parques; ante cualquier medida o prueba, se seguirá igual proceso.
Los conductores y peones afectados por el presente convenio tendrán reconocido entre sus prendas de trabajo un anorak.
Artículo 34. Jubilación.
Los trabajadores que soliciten su jubilación recibirán por parte de la empresa concesionaria en ese momento y por cada año de trabajo en la contrata, en el momento de producirse aquella, las siguientes cantidades:
– A los sesenta años y a los sesenta y un años: 250 euros.
– A los sesenta y dos años: 215 euros.
– A los sesenta y tres años: 195 euros.
– A los sesenta y cuatro años: 180 euros.
– A los sesenta y cinco años: 150 euros.
– A los sesenta y seis años: 125 euros.
Igualmente, se abonará idéntica cantidad de 125 euros por año de servicio prestado cuando el trabajador solicite la jubilación dentro de los seis meses posteriores al cumplimiento de los sesenta y seis años.
Se estará a lo dispuesto en la futura legislación a aparecer en lo referente de esta materia de jubilación.
Jubilación anticipada parcial:
Todos los trabajadores que, previo acuerdo con la empresa y cumpliendo los requisitos exigidos por la normativa vigente, deseen adscribirse a la modalidad de jubilación anticipada parcial podrán hacerlo en los términos indicados en el Real Decreto Legislativo 8/2015 de 30 de octubre por el que se aprueba el texto refundido de la Ley General de la Seguridad Social, realizando la Empresa los trámites necesarios para su obtención. En el caso de que posteriormente a la solicitud la Seguridad Social denegase la jubilación anticipada, el trabajador jubilado volvería a ser dado de alta en la Empresa en sus condiciones anteriores, causando baja el relevista en ese mismo instante.
Artículo 35. Garantías sindicales.
Los trabajadores tienen derecho a celebrar asambleas, fuera del horario de trabajo, en su centro de trabajo con la autorización previa a la empresa. En casos excepcionales, la dirección de la empresa, previa petición del comité o delegados de personal, podrá autorizar que se realicen en horario de trabajo.
Para asuntos sindicales de importancia, que requiriesen el asesoramiento de los sindicatos o centrales sindicales, se posibilitaría el acceso a los centros de trabajo a representantes sindicales, no perteneciente a la empresa, previa notificación y autorización de la misma.
Delegados sindicales, de personal y miembros de comités de empresa:
Disponibilidad de tiempo sindical: Será el establecido por el Texto Refundido de la Ley del Estatuto de los Trabajadores.
Estas horas serán contabilizadas en los siguientes temas: Consultas a organismos oficiales, consultas y asesoramiento sindical, reuniones sindicales, a nivel de central o centrales sindicales, y, en general, de todas las actividades de interés laboral y/o sindical dentro y fuera de la empresa.
El disfrute de las horas sindicales se globalizará según acuerdo a los interesados. Asimismo, la necesidad será notificada previamente y acreditada con posterioridad a su uso. Las horas de reunión con la empresa y sobre negociación y deliberación del convenio irán a cargo de las empresas.
Los delegados sindicales tendrán derecho a informar y ser informados/as en el ámbito de sus respectivas empresas.
Los delegados de personal y el comité de empresa habrán de contar con un tablón de anuncios, acristalado y con llave, para preservar la integridad del material expuesto, diferenciado del que utilice la empresa, en todos los centros de trabajo.
Artículo 36. Secciones sindicales.
Sin perjuicio de lo dispuesto en el art. 10 de la Ley Orgánica 11/1985, de 2 de agosto, de Libertad Sindical, en las zonas (contratas) que ocupen a menos de 250 trabajadores, el Delegado Sindical de aquel sindicato que acredite en esa circunscripción una afiliación superior al 20 por 100 de la plantilla y con representación legal de los trabajadores en la zona (contratas), dispondrá de quince horas sindicales, con los mismos derechos que un miembro del comité de empresa.
El sindicato que alegue poseer derecho a hallarse representado mediante titularidad personal en cualquier empresa deberá acreditarlo ante la misma de modo fehaciente, reconociendo esta, acto seguido, al citado delegado su condición de representante del sindicato a todos los efectos.
El delegado sindical deberá ser un trabajador en activo en la empresa y designado de acuerdo con los estatutos de la central o sindicato a quien represente.
Funciones de los delegados sindicales:
1) Representar y defender los intereses del sindicato a quien representan, y de los afiliados del mismo en la contrata, y servir de instrumento y comunicación entre su central sindical o sindicatos y la dirección de la empresa.
2) Podrán asistir a las reuniones del comité de empresa o de delegados de personal, comité de seguridad y salud, comités paritarios de interpretación, con voz pero sin voto.
3) Tendrán acceso a la misma información y documentación que la empresa deba poner a disposición del comité de empresa, de acuerdo con lo regulado a través de la Ley.
4) Serán oídos por la empresa en el tratamiento de aquellos problemas de carácter colectivo que afecten a los trabajadores en general y a los afiliados al sindicato.
5) Serán, asimismo, informados y oídos por la empresa con carácter previo:
a) Acerca de los despidos y sanciones que afecten a los afiliados.
b) En materia de reestructuración de plantilla, regulaciones de empleo, traslado de los trabajadores cuando revista carácter colectivo, o del centro de trabajo en general y, sobre todo, proyecto o acción empresarial que puede afectar substanciosamente a los intereses de los trabajadores.
c) La implantación o revisión de sistemas de organización del trabajo y cualquier de sus posibles consecuencias.
6) Podrá recaudar cuotas a sus afiliados y repartir propaganda sindical.
Con la finalidad de facilitar la difusión de aquellos avisos que pudieran interesar a sus respectivos afiliados al sindicato y a los trabajadores en general, la empresa pondrá a disposición del sindicato, cuya representación ostente el delegado, un tablón de anuncios que deberá establecerse dentro de la contrata y en lugar donde se garantice, en la medida de lo posible, un adecuado acceso al mismo por todos los trabajadores.
Artículo 37. Cuotas sindicales.
A requerimiento de los trabajadores afiliados a los sindicatos o centrales sindicales, las empresas descontarán en la nómina mensual de los trabajadores el importe de la cuota sindical correspondiente.
El trabajador interesado en la realización de tal operación remitirá a la dirección de la empresa un escrito en el que se expresará con claridad la orden de descuento, el sindicato o central sindical a que pertenece, la cuantía de la cuota, así como el número de la cuenta corriente o libreta de ahorros y la entidad a la que deberá ser transferida la correspondiente cantidad.
Las empresas efectuarán las antedichas detracciones, salvo indicación en contrario.
Artículo 38. Solución extrajudicial de conflictos.
La solución de los conflictos que afecten a los trabajadores y empresarios incluidos en el ámbito de aplicación de este convenio colectivo, se efectuará conforme a los procedimientos regulados en el acuerdo interprofesional sobre la creación del sistema de solución extrajudicial de conflictos y del Instituto Laboral de Madrid en su Reglamento.
Todas las discrepancias que se produzcan en la aplicación o interpretación del presente convenio colectivo que no hayan podido ser resueltas en el seno de la comisión mixta paritaria deberán solventarse, con carácter previo a una demanda judicial, de acuerdo con los procedimientos regulados en el acuerdo interprofesional sobre la creación de un sistema de solución extrajudicial de conflictos de trabajo, a través del Instituto Laboral de la Comunidad de Madrid.
DISPOSICION TRANSITORIA PRIMERA.
El permiso por nacimiento de hijo, adopción o acogimiento, recogido en apartado 4 del Artículo 16 del presente Convenio Colectivo queda en suspenso en tanto el permiso paternal por nacimiento y cuidado de menor establecido por Real Decreto ley 6/2019 de 1 de marzo, sea superior en la normativa vigente en cada momento al recogido en esta letra del indicado precepto.
DISPOSICIÓN TRANSITORIA SEGUNDA.
La Prima de Productividad y Constancia, recogida en el artículo 27 bis, así como el incremento del Salario Base en dos (2) euros (artículo 22 párrafo 2º) entrarán vigor, surtirán efecto y por consiguiente, se abonarán con la puesta en marcha e inicio efectivo de cada contrata/o -en las futuras adjudicaciones de servicios que tengan lugar- para los trabajadores adscritos a éste. Es decir, en ningún caso se abonarán, ni surtirán efecto alguno en las actuales y vigentes contratos/as.
No obstante lo anterior, y para el supuesto de que en estas circunstancias condicionadas por las partes negociadoras respecto a sus efectos en el aspecto o ámbito temporal, esto es, de que la puesta en marcha o inicio efectivo de todas o alguna de las contratas de las nuevas adjudicaciones que puedan tener lugar sucediera después del 31 de diciembre de 2021, las partes negociadoras se comprometen a reelaborar y, en su caso, confeccionar nuevas tablas salariales para estas nuevas contratas, por haber sido confeccionadas, las que se adjuntan a este Convenio, previendo teóricamente que en el inicio efectivo de la contrata se produce a lo largo del año 2021. Todo ello, en ningún caso afectará o surtirá efectos de ningún tipo respecto a las actuales o vigentes contratos/as.
Sin perjuicio de lo anterior, las tablas salariales de cada año serán ratificadas por la comisión mixta paritaria.
DISPOSICIÓN FINAL.
En todo lo no recogido en el presente convenio se estará a lo dispuesto en el Convenio General del Sector de Saneamiento Público, Limpieza Viaria, Riegos, Recogida, Tratamiento y Eliminación de Residuos, Limpieza y Conservación de Alcantarillado (BOE, 30 de Julio de 2013).
ANEXO I.
ACTA (BOCM Núm. 132 – VIERNES 4 DE JUNIO DE 2021)
RESOLUCIÓN de 20 de mayo de 2021, de la Dirección General de Trabajo de la Consejería de Economía, Empleo y Competitividad, sobre registro, depósito y publicación del acuerdo de la comisión negociadora del Convenio Colectivo del Sector de Limpieza Contenedores Herméticos de la Comunidad de Madrid, por el que se acuerda su derogación, suscrito por la Asociación de Empresas de Limpieza Pública (ASELIP) y por la representación sindical de Unión General de Trabajadores (UGT) y Comisiones Obreras (CC OO) (código 28012265012003).
Examinado el texto del acuerdo de la comisión negociadora del Convenio Colectivo del Sector de Limpieza Contenedores Herméticos de la Comunidad de Madrid, por el que se acuerda su derogación con efectos desde el día 1 de enero de 2021, suscrito por la organización empresarial Asociación de Empresas de Limpieza Pública (ASELIP) y por las organizaciones sindicales UGT y CC OO, el día 10 de marzo de 2021, completada la documentación exigida en los artículos 6 y 7 del Real Decreto 713/2010, de 28 de mayo, sobre registro y depósito de Convenios y acuerdos colectivos de trabajo, y de conformidad con lo dispuesto en el artículo 2 de dicho Real Decreto, en el artículo 90.2 y 3 del texto refundido de la Ley del Estatuto de los Trabajadores, aprobado por Real Decreto Legislativo 2/2015, de 23 de octubre y con el artículo 6 del Decreto 52/2019 de 19 de agosto de la Presidenta de la Comunidad de Madrid por el que se establece el número y denominación de las Consejerías de la Comunidad de Madrid, en relación con el artículo 5 del Decreto 73/2019 de 27 de agosto del Consejo de Gobierno por el que se modifica la estructura orgánica de las Consejerías de la Comunidad De Madrid y con el artículo 13 del Decreto 287/2019, de 12 de noviembre, del Consejo de Gobierno por el que se establece la estructura orgánica de la Consejería de Economía, Empleo y Competitividad, esta Dirección General
RESUELVE
1. Inscribir el acuerdo de derogación de dicho Convenio con efectos desde 1 de enero de 2021, en el Registro Especial de Convenios Colectivos de esta Dirección, y proceder al correspondiente depósito en este Organismo.
2. Disponer la publicación del presente Anexo, obligatoria y gratuita, en el BOLETÍN OFICIAL DE LA COMUNIDAD DE MADRID.
Contra la presente resolución podrá interponerse recurso de alzada ante la Viceconsejería de Empleo de la Consejería de Economía, Empleo y Competitividad de la Comunidad de Madrid, de acuerdo con los artículos 112, 121 y 122 de la Ley 39/2015, de 1 de octubre, en el plazo de un mes, y contándose desde el día siguiente de esta notificación, prorrogándose al primer día hábil siguiente cuando el último sea inhábil.
Madrid, a 20 de mayo de 2021.-El Director General de Trabajo, Álvaro Rodríguez de la Calle.
ASISTENTES:
Por UGT:
1.-Fidel García Martinez.
2.-Israel Rivas Sanz.
3.-Juan de Dios Redondo.
4.-Luis Auñón Caballero.
5.-Jesús Martín Molero.
6.-Jesús Gonzalez Peña.
7.-Juan Carlos Brotón Mayo.
Por CC.OO.:
8.-Jonathan Fernandez Moran.
9.-Miguel Ángel Gallego López.
Por ASELIP:
1.-Mariano Sancho Herrero.
2.-Raúl Cárdenas Paiz.
3.-Manuel Pescador Gonzalez.
4.-Jesús María García Antón.
5.-Ángel Carretero Cao.
6.-Javier de la Torre Díez.
7.-José Antonio Gallardo Cubero.
8.-Alberto Galván Vázquez.
9.-Antonio Macías Fuentes.
ACTA FINAL DE LA COMISIÓN NEGOCIADORA DEL CONVENIO DE LOS SERVICIOS DE LIMPIEZA HERMÉTICA DE LA COMUNIDAD DE MADRID.
Siendo las 12:00 horas del día 10 de Marzo de 2021, en la ciudad de Madrid, se reúnen los asistentes relacionados al margen, integrantes de la Comisión Negociadora del Convenio Colectivo de los Servicios de Limpieza Hermética de la Comunidad de Madrid,
EXPONEN:
I.- Que las partes negociadoras del Convenio Colectivo, la representación empresarial (ASELIP) y la representación sindical (Federación de Empleados y Empleadas de Servicios Públicos de UGT Madrid – FeSP-UGT de Madrid- y la Federación de Construcción y Servicios de CC.OO tienen legitimación suficiente para este acto a tenor de lo establecido en el art. 87.2 b) y art. 87.3 c) del ET
II.- Reunida en el día de hoy la Comisión Negociadora de este Convenio Colectivo,
ACUERDAN:
PRIMERO.- Derogación del Convenio Colectivo de Limpieza de Contenedores de Hermética de la Comunidad de Madrid.
Las partes acuerdan la derogación del Convenio Colectivo de Limpieza de Contenedores de Hermética de la Comunidad de Madrid el cual quedará sin efecto desde el día 1 de enero de 2021.
SEGUNDO.- Las partes se comprometen a ratificar dicho acuerdo ante el Instituto Laboral de la Comunidad de Madrid
TERCERO.- Del mismo modo, autorizan al Presidente de ASELIP, D. Mariano Sancho Herrero a realizar los trámites básicos para proceder a su depósito, registro e inscripción ante la Autoridad Laboral, así como solventar los requerimientos y deficiencias hasta que se proceda a su publicación definitiva de dicha derogación.
CUARTO.- En el supuesto de que se produzcan requerimientos de subsanación por parte de la Autoridad Laboral, los firmantes de esta Acta acuerdan delegar la firma de dicha subsanación en un representante por cada una Organización Sindical antes referidas y otro por ASELIP.
Y sin más asuntos que tratar firman las partes en prueba de conformidad con el contenido del acta en la fecha arriba indicada.
UGT. CC.OO. ASELIP.
REVISIÓN SALARIAL (BOCM Núm. 67 – SÁBADO 19 DE MARZO DE 2022)
RESOLUCIÓN de 7 de marzo de 2022, de la Dirección General de Trabajo de la Consejería de Economía, Hacienda y Empleo, sobre registro, depósito y publicación de la revisión salarial de 2022 del Convenio Colectivo del Sector de Limpieza Hermética de Madrid Capital, suscrita por la Comisión Mixta Paritaria.
Examinada el Acta de Revisión Salarial de 2022 del Convenio Colectivo del Sector de Limpieza Hermética de Madrid Capital, suscrita por la Comisión Mixta Paritaria el día 11 de enero de 2022, completada la documentación exigida en los artículos 6 y 7 del Real Decreto 713/2010, de 28 de mayo, sobre registro y depósito de Convenios y acuerdos colectivos de trabajo, y de conformidad con lo dispuesto en el artículo 2.1.a) de dicho Real Decreto, en el artículo 90.2 y 3 del texto refundido de la Ley del Estatuto de los Trabajadores, aprobado por Real Decreto Legislativo 2/2015, de 23 de octubre, y con el artículo 1 del Decreto 42/2021, de 19 de junio, de la Presidenta de la Comunidad deMadrid, por el que se establece el número y denominación de las Consejerías de la Comunidad de Madrid, en relación con el artículo 28.1.h) del Decreto 234/2021, de 10 de noviembre del Consejo de Gobierno, por el que se establece la estructura orgánica de la Consejería de Economía, Hacienda y Empleo, esta Dirección General
RESUELVE
1. Inscribir dicha Revisión Salarial, del Convenio Colectivo, en el Registro Especial de Convenios Colectivos de esta Dirección, y proceder al correspondiente depósito en este Organismo.
2. Disponer la publicación del presente Anexo, obligatoria y gratuita, en el BOLETÍN OFICIAL DE LA COMUNIDAD DE MADRID.
Contra la presente resolución podrá interponerse recurso de alzada ante la Viceconsejería de Empleo de la Consejería de Economía, Hacienda y Empleo de la Comunidad de Madrid, de acuerdo con los artículos 112, 121 y 122 de la Ley 39/2015, de 1 de octubre, en el plazo de un mes, y contándose desde el día siguiente de esta notificación, prorrogándose al primer día hábil siguiente cuando el último sea inhábil.
Madrid, a 7 de marzo de 2022.-La Directora General de Trabajo, Silvia Marina Parra Rudilla.
ACTA DE LA COMISIÓN MIXTA PARITARIA DEL CONVENIO DE LOS SERVICIOS DE LIMPIEZA HERMÉTICA DE MADRID CAPITAL PARA LA FIRMA DE LAS TABLAS SALARIALES 2022.
Por la Parte Social:
Israel Rivas Sanz (UGT).
Jesús Martín Molero (UGT).
Jonathan Fernández Morán (CC.OO).
Por la Parte Empresarial:
Antonio Macías Fuentes.
Jesús Mª García Antón.
Mª Nazaret Castro Gómez.
Siendo las 13:00 horas, del martes, día 11 de enero de 2022, en la calle Diego de León 56, 1º H, de la ciudad de Madrid, sede de ASELIP, se reúnen los asistentes relacionados al margen:
La convocatoria se realiza conforme al siguiente ORDEN DEL DÍA:
I.- Firma Tablas Salariales para el año 2022.
II.- Inscripción y Registro.
Iniciada la sesión, las partes ACUERDAN:
I.- Tablas Salariales Año 2022.
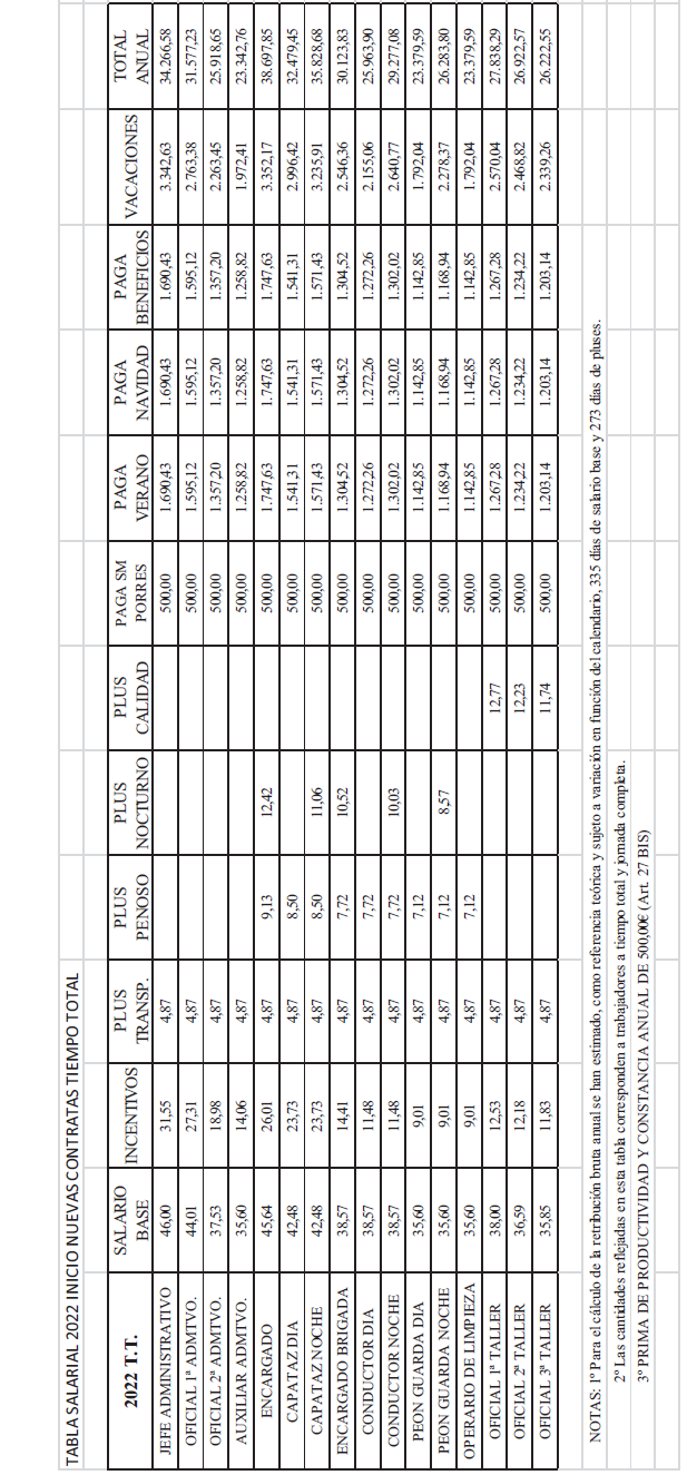
A fin de dar cumplimiento a lo establecido en el segundo párrafo de la DT2ª del Convenio Colectivo vigente donde se recoge el mandato de reelaborar y confeccionar nuevas tablas salariales para el supuesto de que las contratas de las nuevas adjudicaciones no se hubieran producido antes del 31 de diciembre de 2021, se adjuntan, a tal efecto como anexo a la presente acta, las Tablas Salariales para el personal a jornada completa del año 2022 que serán de aplicación por tanto desde el 1 de enero de 2022.
Igualmente se adjuntan las Tablas Salariales a tiempo total del año 2022 aplicables desde la adjudicación y puesta en marcha del nuevo servicio para el supuesto de que estos extremos se produjeran en el año 2022.
No obstante lo anterior, y para el supuesto de que en estas circunstancias condicionadas por las partes negociadoras respecto a sus efectos en el aspecto o ámbito temporal, esto es, de que la puesta en marcha o inicio efectivo de todas o alguna de las contratas de las nuevas adjudicaciones que puedan tener lugar sucediera después del 31 de diciembre de 2022, las partes negociadoras se comprometen a reelaborar y, en su caso, confeccionar nuevas tablas salariales para estas nuevas contratas, por haber sido confeccionadas, las que se adjuntan a este Convenio, previendo teóricamente que en el inicio efectivo de la contrata se produce a lo largo del año 2022. Todo ello, en ningún caso afectará o surtirá efectos de ningún tipo respecto a las actuales o vigentes contratos/as.
II.- Inscripción y Registro.
Se acuerda dirigirse a la Autoridad Laboral para el depósito y registro de la presente acta, autorizar a Mariano Sancho Herrero para la inscripción y publicación de esta acta y cuantas gestiones sean precisas para ello.
Artículo 9 convenio colectivo.
La representación social manifiesta que el convenio no recoge la posibilidad de realizar contrataciones para fines de semana, puesto que el convenio solo marca jornada de lunes a viernes.
La representación empresarial responde que el convenio se refiere en todo caso y únicamente a jornada completa, no existiendo limitación alguna para contratos a tiempo parcial u otra distribución de la jornada a tiempo parcial, que por necesidades del servicio haya que efectuar y el trabajador esté de acuerdo con ello.
La parte social, insiste en que estos contratos se ajusten al convenio colectivo en vigor.
En prueba de conformidad, firman todos los asistentes, en el lugar y fecha indicados en el encabezamiento de este Acta.
UGT. CC.OO. ASELIP.
