CONVENIO COLECTIVO (BOA Núm. 88 – 10/05/2022)
RESOLUCIÓN de 28 de abril de 2022, de la Directora General de Trabajo, Autónomos y Economía Social, por la que se dispone la inscripción, depósito y publicación del Convenio Colectivo de limpieza de centros sanitarios dependientes del Servicio Aragonés de Salud de la Comunidad Autónoma de Aragón.
Visto el texto del Convenio Colectivo de limpieza de centros sanitarios dependientes del Servicio Aragonés de Salud de la Comunidad Autónoma de Aragón, código de convenio 72000235012004, suscrito el día 1 de marzo de 2022, entre la Asociación de Empresarios de Limpiezas (ASPEL) y por parte de los trabajadores por representantes de las centrales sindicales Federación de Servicios, Movilidad y Consumo de UGT-Aragón, CCOO del Hábitat de Aragón y Federación de Servicios y Afines de OSTA, presentado por medios electrónicos en esta Dirección General el día 11 de marzo de 2022, requerida subsanación los días 5 de abril de 2022 y 22 de abril de 2022 y aportada documentación subsanatoria los días 21 de abril de 2022 y 22 de abril de 2022, de conformidad con lo dispuesto en los apartados 2 y 3 del artículo 90 del texto refundido de la Ley del Estatuto de los Trabajadores, aprobado por Real Decreto Legislativo 2/2015, de 23 de octubre, y en el artículo 2 del Real Decreto 713/2010, de 28 de mayo, sobre registro y depósito de convenios y acuerdos colectivos de trabajo, en relación con el artículo 5.2 del Decreto 171/2010, de 21 de septiembre, del Gobierno de Aragón, por el que se regula el depósito y registro de convenios y acuerdos colectivos de trabajo de la Comunidad Autónoma de Aragón,
Esta Dirección General de Trabajo, Autónomos y Economía Social, acuerda:
Primero.- Ordenar la inscripción y depósito del Convenio Colectivo de limpieza de centros sanitarios dependientes del Servicio Aragonés de Salud de la Comunidad Autónoma de Aragón en el Registro de convenios y acuerdos colectivos de trabajo, con funcionamiento a través de medios electrónicos, de este centro directivo, con notificación a la comisión negociadora.
Segundo.- Disponer su publicación en el «Boletín Oficial de Aragón».
Zaragoza, 28 de abril de 2022.
La Directora General de Trabajo, Autónomos y Economía Social,
MARÍA SOLEDAD DE LA PUENTE SÁNCHEZ
CONVENIO COLECTIVO DE LIMPIEZA CENTROS SANITARIOS DEPENDIENTES DEL SERVICIO ARAGONÉS DE SALUD DE LA COMUNIDAD AUTÓNOMA DE ARAGÓN
Los integrantes de la Comisión Negociadora del convenio que se suscribe, formada por la parte empresarial por los Representantes de la Asociación de Empresarios de Limpiezas, ASPEL, y por parte de los trabajadores por representantes de las centrales sindicales Federación de Servicios, Movilidad y Consumo de UGT-Aragón, CCOO del Hábitat de Aragón y Federación de Servicios y Afines de OSTA, se reconocen como interlocutores válidos, con representatividad y representación suficiente para la negociación del presente convenio, por cuanto que ostentan, en todo caso, los requisitos necesarios establecidos en el vigente Real Decreto-ley 2/2015, de 23 de octubre, texto refundido del Estatuto de los Trabajadores.
Capítulo I Disposiciones generales
Artículo 1.º Ámbito territorial.
El presente convenio será de aplicación en la Comunidad Autónoma de Aragón.
Artículo 2.º Ámbito funcional.
El texto normativo y obligacional de este Convenio Colectivo será de obligada aplicación a los trabajadores de las empresas que presten sus servicios por concesión/contrata administrativa en la actividad de limpieza de Centros Sanitarios dependientes del Servicio Aragonés de la Salud (SALUD), entendiendo como tales todos los que el SALUD determine. Si hubiera variación, durante la vigencia del presente Convenio Colectivo, al respecto de los centros sanitarios dependientes del SALUD, se reunirá obligatoriamente la Comisión Paritaria, con carácter urgente, antes de una semana desde la convocatoria por cualquiera de las partes, para trasladar las variaciones sufridas al respecto e inclusión en el presente convenio.
Los centros sanitarios dependientes del Servicio Aragonés del SALUD, a la firma del presente convenio, son los que a continuación se indican:
En la Provincia de Huesca:
* Sector de Huesca, integrada por el Hospital General San Jorge, Hospital Sagrado Corazón de Jesús, Centro de Rehabilitación Psicosocial Santo Cristo de los Milagros, Hospital de Jaca y las áreas de salud correspondientes al Sector, que incluyen centros de especialidades y centros de salud.
*Sector de Barbastro, integrada por el Hospital de Barbastro, Centro Sanitario Bajo Cinca/ Baix Cinca. Fraga Salud, Centro Sociosanitario de Fraga y las áreas de salud correspondientes al Sector, que incluyen centros de especialidades y centros de salud.
En la Provincia de Teruel:
* Sector de Teruel, integrada por el Hospital Obispo Polanco, Hospital San José, Centro de Rehabilitación Psicosocial San Juan de Dios y las áreas de salud correspondientes al Sector, que incluyen centros de especialidades y centros de salud, así como el Edificio de Gerencia.
*Sector de Alcañiz, integrada por el Hospital de Alcañiz y las áreas de salud correspondientes al Sector, que incluyen centros de especialidades y centros de salud.
En la provincia de Zaragoza:
*Sector de Zaragoza I, integrada por el Hospital Royo Villanova, Hospital Nuestra Señora de Gracia y las áreas de salud correspondientes al Sector, que incluyen centros de especialidades y centros de salud, el Almacén y el Edificio de Gerencia.
*Sector de Zaragoza II, integrada por el Hospital Universitario Miguel Servet y las áreas de salud correspondientes al Sector, que incluyen centros de especialidades y centros de salud y el Almacén.
*Sector de Zaragoza III, integrada por el Hospital Clínico Universitario Lozano Blesa, CME Inocencio Jiménez, Centro de Día Romareda, Centro Sanitario Cinco Villas. Ejea. Salud, Centro Sanitario Moncayo. Tarazona. Salud, Centro de Rehabilitación Psicosocial Nuestra Señora del Pilar, y las áreas de salud correspondientes al Sector, que incluyen centros de especialidades y centros de salud.
*Sector de Calatayud, integrada por el Hospital Ernest Lluch Martín y las áreas de salud correspondientes al Sector, que incluyen centros de especialidades y centros de salud.
*Banco de Sangre y Tejidos de Aragón.
*Gerencia y Emergencias del 061 de la Comunidad Autónoma de Aragón.
Artículo 3.º Ámbito personal.
Igualmente afectará a todos los trabajadores y técnicos que presten sus servicios en las Empresas afectadas y que realicen su actividad en los centros sanitarios, con exclusión del personal comprendido en el artículo 1.3 del Estatuto de los Trabajadores.
Artículo 4.º Ámbito temporal.
El presente convenio tendrá una vigencia de seis años, comenzando el 1 de enero de 2018 y finalizando la misma el 31 de diciembre de 2023, salvo en aquellas materias en las que se establezca unas fechas de efectos diferentes. Aquellas cláusulas específicas donde se contenga una vigencia distinta a la mencionada anteriormente tendrán efecto desde el momento que en ellas se fije.
Artículo 5.º Denuncia.
La denuncia del presente convenio se efectuará por escrito y por cualquiera de las partes con una antelación mínima de un mes con respecto a la fecha de terminación de su vigencia o de cualquiera de sus prórrogas, en concordancia con lo dispuesto en el artículo 4.º
A partir de la denuncia del Convenio Colectivo, y hasta la entrada en vigor del siguiente, seguirán vigentes las cláusulas normativas y obligaciones, hasta que se firme un nuevo Convenio Colectivo, de la misma naturaleza, que sustituya al anterior.
Artículo 6.º Comisión paritaria y adhesión al ASECLA.
Las partes firmantes acuerdan establecer una Comisión Paritaria como órgano de interpretación, mediación y vigilancia del cumplimiento de lo establecido en el presente Convenio Colectivo, y para entender de todas aquellas cuestiones que la legislación vigente asigne a las Comisiones Paritarias de los convenios colectivos, así como para conocer y, en su caso resolver, sobre las materias que se le encomiendan en este Convenio Colectivo y sobre las que, en acuerdos posteriores se le puedan atribuir.
6.1. Composición y domicilio.
La Comisión Paritaria estará integrada paritariamente por cuatro representantes de las organizaciones sindicales firmantes y cuatro representantes de las organizaciones empresariales firmantes, así como sus respectivos suplentes.
La Comisión Paritaria podrá utilizar los servicios de asesores, ocasionales o permanentes, que serán designados libremente por cada una de las organizaciones firmantes. Los asesores tendrán derecho a voz, pero no a voto.
A todos los efectos se establece como domicilios de la Comisión Paritaria del Sector de Limpieza de Centros Sanitarios de Aragón, los siguientes:
CCOO del Hábitat de Aragón.
P.º Constitución, 12, 4.ª planta, 50008, Zaragoza.
Federación de Servicios, Movilidad y Consumo de UGT Aragón.
C/ Costa, 1, 4.ª planta, 50001, Zaragoza.
Federación de Servicios y Afines de OSTA
C/ Pablo Remacha, 9, 50008 – Zaragoza
Asociación Profesional de Empresas de Limpieza ASPEL.
C/ Diego de León, 50, 5.ª planta, 28006, Madrid.
6.2. Competencias.
La Comisión Paritaria del Sector tendrá como funciones, entre otras, las indicadas a continuación:
1. Interpretación de este Convenio Colectivo, vigilancia y seguimiento del cumplimiento de lo pactado.
2. Conocimiento con carácter preceptivo de los conflictos de aplicación y/o interpretación de este Convenio Colectivo que surjan en las empresas afectadas por este convenio de forma previa a la formalización de los mismos en la vía administrativa o judicial o ante el órgano competente.
3. Mediación a petición de las partes negociadoras en conflictos colectivos no incluidos en los apartados anteriores.
4. Aquellas otras funciones que resulten necesarias o convenientes, con acuerdo de las partes, que tiendan a una mayor eficacia práctica del presente Convenio Colectivo.
5. Intervenir en los procedimientos de modificación sustancial de condiciones de trabajo e inaplicación del convenio en los términos establecidos en el presente convenio.
6.3. Procedimiento.
La Comisión Paritaria deberá pronunciarse sobre las cuestiones que se le planteen en el plazo máximo de 7 días naturales a contar desde el día siguiente al que se registre la consulta, salvo que para el procedimiento específico de que se trate se establezca en el presente convenio un plazo distinto.
La Comisión Paritaria adoptará sus acuerdos por mayoría de cada una de las partes, económica y social que la componen. En consecuencia para que se entienda que existe acuerdo será necesaria la mayoría de las dos representaciones.
Se entiende agotado el trámite de intervención de la Comisión Paritaria cuando trascurra el plazo señalado sin que recaiga resolución expresa, quedando en consecuencia expedita la vía administrativa o judicial que proceda.
6.4. Adhesión ASECLA.
Las Partes firmantes del presente convenio, acuerdan adherirse al Acuerdo sobre Solución Extrajudicial de Conflictos Laborales de Aragón.
Con esta adhesión las partes manifiestan su voluntad de solucionar los conflictos laborales que afecten a trabajadores y empresa incluidos en el ámbito de aplicación de este Acuerdo en el Servicio Aragonés de Mediación y Arbitraje (SAMA), sin necesidad de expresa individualización, según lo establecido en el ASECLA y en su Reglamento de aplicación.
Artículo 7.º Garantías personales.
En todo caso, las empresas se obligan a respetar las mejores condiciones salariales, extra salariales o de jornada que actualmente disfruten sus trabajadores, con carácter exclusivo «ad personam».
Artículo 7.º bis. Alcance y vinculación. Vinculación a la totalidad.
1. Las condiciones pactadas en el presente convenio configuran un todo orgánico, y a efectos de su aplicación práctica serán consideradas globalmente, sin que pueda practicarse el «espigueo» con normativas convencionales o acuerdos colectivos que se pudieran entender aplicables, total o parcialmente, en la relación laboral del personal bajo el ámbito de este convenio.
2. Las condiciones pactadas forman un todo orgánico e indivisible, por tal motivo, el presente convenio será nulo y quedará sin efecto en el supuesto de que la jurisdicción competente anulase o invalidase alguno de sus pactos. En este caso, las partes constituirán de manera inmediata Comisión Negociadora para proceder a la negociación del nuevo convenio, una vez se haya subsanados los preceptos no ajustados a derecho; debiéndose alcanzar un acuerdo en un plazo máximo de 6 meses, periodo durante el cual, el convenio vencido mantendrá su vigencia en la parte normativa. En caso de no alcanzarse acuerdo en el citado periodo, serán de aplicación los convenios sectoriales de limpieza de edificios y locales de cada provincia.
3. Coordinación normativa. En lo no previsto por el articulado del convenio, será de aplicación el Estatuto de los Trabajadores y sus normas de desarrollo.
4. Las partes se comprometen, durante la vigencia del convenio, a no abrir negociaciones en ámbitos inferiores a los establecidos en los artículos 1 y 2 del presente convenio, excepto a través de la Comisión Paritaria.
Artículo 8.º Compensación.
Las condiciones pactadas son compensables en su totalidad con las que antes rigieran por imperativo legal, jurisprudencial, contencioso-administrativo, convenio sindical, pacto de cualquier clase, contrato individual o usos y costumbres locales.
Artículo 9.º Absorción.
Las disposiciones legales futuras que impliquen variación económica en todos o en algunos de los conceptos retributivos, únicamente tendrán eficacia práctica si, globalmente consideradas y sumadas a las vigentes con anterioridad al convenio, superan el nivel total de éste; en caso contrario se considerarán absorbidas por las mejores pactadas.
Capítulo II Retribuciones
Artículo 10.º Retribuciones.
Las empresas concesionarias de las contratas para la limpieza de los Centros Sanitarios dependientes del SALUD, abonarán a los trabajadores adscritos a dichos servicios, en cada momento, los mismos conceptos salariales e importes salariales que abone el SALUD al personal estatutario del Grupo E o categoría equivalente del SALUD.
La Comisión Paritaria, de forma automática e imperativa, reproducirá fielmente las tablas salariales que establezca el SALUD para el personal estatutario del Grupo E o categoría equivalente (tanto al alza como a la baja). De igual forma se procederá, en el caso de que el SALUD suspendiera, incluyera o eliminara el abono de algún concepto retributivo con el personal estatutario del Grupo E o categoría equivalente.
Las modificaciones retributivas expuestas anteriormente, se aplicarán con carácter retroactivo a la misma fecha en que lo aplique el SALUD para el personal estatutario del Grupo E o categoría equivalente.
En el caso de la supresión o suspensión, si se produjera alguna compensación de cualquier tipo por esa supresión o suspensión, se aplicará automáticamente al personal de limpieza siempre y cuando sea jurídicamente posible.
El abono de las retribuciones salariales se realizará el día 1 de cada mes, si fuera festivo se realizará al día siguiente hábil, sin perjuicio de los usos y costumbres preexistentes.
Si el personal estatutario del SALUD de la misma o similar categoría recibiese algún tipo de percepción económica por productividad u otros conceptos análogos, ésta se aplicará en la misma proporción y cuantía al personal afectado por el presente convenio y abonándose por la empresa que sea concesionaria en ese momento dentro de los 30 días siguientes a que el SALUD lo haga efectivo a su personal.
La productividad variable para los años de vigencia del Convenio Colectivo será la misma que la del personal estatutario del SALUD de la misma o equivalente categoría. Esta cantidad se modificará en años sucesivos siguiendo los mismos criterios de abono que el SALUD tenga con sus trabajadores en cada centro de trabajo.
Para el abono de productividad variable, en los centros de salud se tendrá en cuenta:
La productividad variable se percibirá en todos los centros de Atención Primaria. La cantidad a cobrar será la que con carácter general establezca el Gerente del área para el Grupo E o categoría equivalente.
Si el personal estatutario del SALUD como consecuencia de un incremento o disminución de cualquier importe equiparado, como consecuencia de las cifras de inflación, ésta se aplicará en la misma proporción y cuantía al personal afectado por el presente convenio.
A efectos conceptuales, se entenderá por salario-hora la siguiente fórmula:
Salario bruto anual convenio: Jornada anual pactada.
Artículo 11. Plus de sector.
De acuerdo con la equiparación al personal estatutario del Servicio Aragonés de la Salud se establece un «Plus de Sector» que será, para los años de vigencia del Convenio Colectivo, el reflejado en las tablas adjuntas para todas las categorías. Este plus es el análogo al complemento de destino del personal estatutario del Servicio Aragonés de la SALUD. Por tanto, variará en la misma proporción y cuantía en que varíe al personal estatutario del Grupo E o categoría equivalente del SALUD en cada momento; y se abonará, siempre que se abone al citado colectivo.
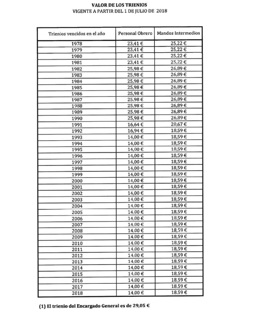
Artículo 12.º Antigüedad.
De acuerdo con la equiparación al personal estatutario del Servicio Aragonés de la Salud en el caso en el que el SALUD abone a su personal estatutario del Grupo E o categoría equivalente un concepto de antigüedad, las empresas deberán de abonar a los trabajadores los mismos conceptos, y la misma cuantía (en cada momento), en función de los años de prestación de servicios.
De acuerdo con la equiparación al personal estatutario del Servicio Aragonés de la Salud a la fecha de la firma del presente convenio, se establece un plus de antigüedad por cada tres años de servicios prestados. Así mismo, se respetará la antigüedad en el momento de la subrogación del personal.
Los trienios vencidos a partir del 1 de enero de 1992 se incrementarán anualmente según la subida salarial pactada en convenio, que será igual a la que en cada momento se determine para el personal estatutario del SALUD. El valor de los trienios será el que figura en el anexos.
Artículo 13.º Días festivos.
Cada día festivo trabajado, se abonará, en cada momento, en la misma proporción y cuantía que se abone al personal estatutario del SALUD del Grupo E o categoría equivalente.
De acuerdo con la equiparación al personal estatutario del Servicio Aragonés de la Salud, se considerarán festivos, los mismos días que el SALUD entienda para su personal.
Todos los domingos y festivos del calendario laboral serán retribuidos según las tablas que figuran en los anexos del presente convenio. En cualquier caso, se ajustará en cada momento al importe que establezca el SALUD para el personal estatutario del Grupo E o categoría equivalente.
A la fecha de la firma del presente convenio, la prestación de servicios los días 25 de diciembre y 1 de enero de cada año se retribuirán con un incremento del 100 % sobre las cuantías indicadas en el párrafo anterior. Del mismo modo, las noches del 24 y 31 de diciembre, recibirán el mismo tratamiento retributivo que los días 25 de diciembre y 1 de enero, de tal manera que las personas que trabajen durante dichas noches, percibirán en concepto de atención de nocturnidad, además de la cuantía que les corresponda la cantidad suficiente para que, sumadas ambas cantidades, se iguale a lo percibido por las personas que trabajen los días 25 de diciembre y 1 de enero.
En este plus queda incluido el personal que realice turnos de noche, en tanto el SALUD no modifique este extremo en favor de su propio personal, en cuyo caso se aplicará dicha modificación automáticamente al personal afectado por este convenio, tanto al alza como a la baja.
Artículo 14.º Nocturnidad.
Las horas nocturnas se abonarán, en cada momento, en la misma proporción y cuantía que establezca el SALUD para el personal estatutario del Grupo E o categoría equivalente.
Se entenderá como jornada nocturna la que se realiza entre las 22 horas y las 6 horas.
El trabajador que realice turno de noche, percibirá las cuantías por cada noche completa que se establecen en las tablas anexas al texto del convenio. En el caso de no trabajar la noche completa, el importe del Plus de nocturnidad será proporcional a las horas de trabajo realizado en el turno de noche.
En el mes de disfrute de las vacaciones reglamentarias, se abonará en concepto de nocturnidad, la parte proporcional de las mismas que haya percibido el trabajador/a en los 6 meses anteriores a la fecha de inicio de su disfrute.
Artículo 15.º Gratificaciones extraordinarias.
Las pagas extras se abonarán en la misma proporción y cuantía que establezca el SALUD para el personal estatutario del Grupo E o categoría equivalente.
De acuerdo con la equiparación al personal estatutario del Servicio Aragonés de la Salud, a la fecha de la firma del presente, se establecen dos gratificaciones de 30 días cada una que se abonarán los días 30 de junio y 20 de diciembre, o al día siguiente si éstos fueran festivos.
Dichas gratificaciones serán abonadas de acuerdo con las tablas salariales adjuntas, incluido el plus de antigüedad y `paga adicional específica´. Ambas gratificaciones serán prorratéales para quienes no lleven 6 meses de trabajo o cesen en el transcurso de dicho periodo.
Las gratificaciones indicadas tienen carácter de cómputo semestral.
En el caso de que el SALUD suspenda el abono de cualquier paga al personal estatutario del Grupo E o categoría equivalente, las empresas actuarán de la misma manera, como consecuencia de la equiparación.
Artículo 16.º Incapacidad temporal.
De acuerdo con la equiparación al personal estatutario del Servicio Aragonés de la Salud, en caso de que el SALUD complemente los procesos de incapacidad temporal derivado de enfermedad común, accidente no laboral, enfermedad profesional, accidente laboral, las empresas complementarán para las mismas situaciones, y en el mismo porcentaje en que lo haga el SALUD para el personal estatutario del Grupo E o categoría equivalente en cada momento.
Los citados importes, surtirán efectos en el mismo ámbito temporal que establezca el SALUD en cada momento. En ningún caso, el complemento de IT, para cada caso existente, podrá ser superior al que establezca el SALUD en cada momento.
Prestaciones económicas y conceptos retributivos complementados.
1. Las prestaciones económicas a las que afectan las medidas en materia de incapacidad temporal de la acción protectora del Régimen General de la Seguridad Social son las siguientes:
Incapacidad temporal por contingencias comunes (enfermedad común y accidente no laboral).
Incapacidad temporal por contingencias profesionales (enfermedad profesional y accidente de trabajo
2. El complemento retributivo se cuantificará determinando el haber real de las retribuciones del mes de inicio de la incapacidad que debiera percibir el interesado.
Tal cuantificación incluirá los siguientes conceptos, a salvo de lo dispuesto en el apartado cuarto:
Para el personal estatutario y personal que percibe retribuciones estatutarias:
Sueldo.
Trienios.
Complemento de sector
Complemento específico, que incluirá la totalidad de sus modalidades.
Complemento de productividad (factor fijo).
Complemento de carrera profesional.
3. Quedan excluidos de la cuantía que proceda, en concepto de complemento retributivo de las situaciones señaladas, las pagas extraordinarias, las cantidades percibidas en concepto de productividad variable, así como las indemnizaciones o gratificaciones que legal o reglamentariamente se hubieran percibido.
4. Queda así mismo excluido de dicha cuantía el complemento de atención continuada en todas sus modalidades, salvo que se trate de situaciones de incapacidad derivadas de contingencias profesionales
5. Las pagas extraordinarias a percibir de acuerdo con la normativa que resulte de aplicación, no resultarán afectadas por las situaciones de incapacidad temporal.
El presente artículo es de aplicación desde la misma fecha en que lo aplique el SALUD para el personal estatutario, de acuerdo con la equiparación al personal estatutario del Servicio Aragonés de la Salud del Grupo E o categoría equivalente en cada momento.
Capítulo III Jornada laboral y vacaciones
Artículo 17.º Jornada de trabajo.
La jornada de trabajo será la misma que establezca el SALUD para el personal estatutario del Grupo E o categoría equivalente en cada momento.
De acuerdo con la equiparación al personal estatutario del Servicio Aragonés de la Salud a la fecha de la firma, la jornada máxima anual de trabajo efectivo es de 1.602 horas. La jornada máxima anual de trabajo efectivo para el personal que preste servicios permanentes en el turno de noche (fijo nocturno) es de 1.430 horas. La jornada del personal que realice en el año jornada diurna y nocturna se ponderará entre las 1.602 horas y 1.430 horas.
Los días 24 y 31 de diciembre tendrán carácter de festivos en las mismas condiciones que aplique el SALUD a sus trabajadores.
En el caso de trabajadores a jornada completa, la jornada diaria será como máximo de 9 horas y 7 horas como mínimo, salvo el caso del turno de noche. y salvo acuerdo entre las empresas y los representantes legales de los trabajadores.
Se fija un descanso mínimo entre jornadas de 12 horas.
Con periodicidad mensual se establecerá un calendario para la fijación de los descansos semanales, que serán de 36 horas como mínimo, en el cual tendrán audiencia e intervención los Comités de Empresa o Delegados de Personal. Estos descansos podrán ser acumulados, excepcionalmente, en periodos quincenales por mutuo acuerdo entre empresario y trabajador.
El disfrute de permiso sin sueldo no se tendrá en cuenta a efectos de cómputo de jornada, sin perjuicio de la reducción proporcional de vacaciones y días de libre disposición a que hubiere lugar.
Podrán realizarse cambios voluntarios de turno entre trabajadores/as del mismo centro de trabajo previa notificación al correspondiente mando intermedio. En caso de incidencia por causa justificada que impida a uno de los dos trabajadores/as cumplir su compromiso, se respetará el cambio de turno acordado, y aquel deberá compensar las jornadas correspondientes. En este supuesto, a los mismos efectos del cómputo de jornada se aplicará el turno original.
Asímismo, se respetarán los pactos o acuerdos en esta materia, en el ámbito de la empresa o centro de trabajo, preexistentes a la firma del Convenio Colectivo sectorial.
Cuando un trabajador deba trabajar en día de libranza, generará el derecho al disfrute en la misma proporción que el personal estatutario del SALUD del Grupo E o categoría equivalente o equivalente.
La jornada de trabajo será la misma que establezca el SALUD para el personal estatutario del Grupo E o categoría equivalente en cada momento.
De acuerdo con la equiparación al personal estatutario del Servicio Aragonés de la Salud del Grupo E o categoría equivalente en cada momento, el personal afectado por el presente convenio podrá solicitar las mismas horas de conciliación, o las que por análoga naturaleza de estas puedan regir en el futuro, que las establecidas en cada momento por la mesa general negociación de la Comunidad Autónoma de Aragón.
El presente artículo es de aplicación desde la misma fecha en que lo aplique el SALUD para el personal estatutario, de acuerdo con la equiparación al personal estatutario del Servicio Aragonés de la Salud del Grupo E o categoría equivalente en cada momento.
Artículo 18.º Reducción de jornada.
1. El personal afectado por el presente convenio, podrá solicitar reducción de jornada de hasta un 50%, con reducción de las retribuciones en el mismo porcentaje.
La persona que opte por la reducción de jornada, podrá volver a su jornada anterior, avisando con 30 días de antelación. Este derecho no se podrá compatibilizar con otro trabajo.
La reducción de jornada prevista para supuestos de guarda legal de un menor de doce años.
2. Reducción de jornada por guarda legal.
Cuestión general.
La reducción de la jornada por guarda legal constituye un derecho individual de cada trabajador/a.
De un menor de doce años.
Las/os trabajadoras/res que por razones de guarda legal tengan a su cuidado directo a un menor de doce años, tendrán derecho a una reducción de hasta un medio de su jornada de trabajo con disminución proporcional de sus retribuciones que correspondieran a dicho periodo.
De una persona con discapacidad que no desempeñe una actividad retribuida o del cuidado directo de un familiar, hasta el segundo grado de consanguinidad o afinidad, que por razones de edad, accidente o enfermedad no pueda valerse por sí mismo, y que no desempeñe actividad retribuida
Las/os trabajadoras/res que por razones de guarda legal tengan a su cuidado directo a una persona con discapacidad que no desempeñe una actividad retribuida hasta segundo grado de consanguinidad o afinidad, familiar hasta segundo grado de consanguinidad o afinidad que por razones de edad, accidente o enfermedad no pueda valerse por sí mismo y que no desempeñe actividad retribuida, tendrá derecho a una reducción de hasta un medio de su jornada de trabajo con deducción proporcional de sus retribuciones.
De un familiar en primer grado de consanguinidad o afinidad por razón de enfermedad muy grave.
Las/os trabajadoras/res, para atender el cuidado de un familiar en primer grado de consanguinidad o afinidad, por razón de enfermedad muy grave, por el plazo máximo de un mes, tendrán derecho a solicitar una reducción de hasta el 50% de su jornada laboral sin merma retributiva. El ejercicio de este derecho será compatible con el permiso por enfermedad grave contenido en el punto 9.e) de este Acuerdo. Esta reducción de jornada se verá minorada, en su caso, en el equivalente a los días utilizados por el permiso por enfermedad grave.
De hijas/os prematuros.
En los casos de nacimientos de hijas/os prematuros o que por cualquier causa deban permanecer hospitalizados a continuación del parto, los trabajadores, hombres o mujeres, tendrán derecho a reducir su jornada de trabajo hasta un máximo de dos horas, con la disminución proporcional de sus retribuciones.
Siempre y cuando el número de plantilla no exceda de la exigible en el artículo 48 del presente convenio, y las condiciones del servicio lo requieran, los puestos de trabajo que se deriven de la aplicación del presente, serán cubiertos con nuevas contrataciones, por el tiempo de jornada reducido.
Artículo 19. Excedencias.
1. Las/os trabajadoras/res tendrán derecho a un período de excedencia, no superior a tres años, para atender al cuidado de cada hija/o, tanto cuando lo sea por naturaleza como por adopción, a contar desde la fecha de nacimiento de éste.
Las sucesivas hijas/os darán derecho a un nuevo período de excedencia que, en su caso, pondrá fin al que se viniera disfrutando. No obstante, si dos o más trabajadores de la misma empresa generasen este derecho por el mismo sujeto causante, el empresario podrá limitar su ejercicio simultáneo por razones justificadas de funcionamiento de la empresa.
El periodo en que el trabajador/a permanezca en situación de excedencia será computable a efectos de antigüedad. Durante el primer año tendrá derecho a la reserva de su puesto de trabajo.
Transcurrido dicho plazo y tras su reincorporación el trabajador/a ocupará un puesto de trabajo similar al que dejó en su centro de trabajo. Se reincorporará en el mismo turno, siempre que ello sea posible.
2. Excedencia por cuidado de hij@s.
Duración y cómputo.
Las/os trabajadoras/res tienen derecho a una excedencia no superior a tres años a contar desde el nacimiento del hijo/o o de la decisión administrativa o judicial de acogimiento o de la resolución judicial por la que se constituya la adopción.
Efectos.
La situación de excedencia por el cuidado del hijo/o conlleva el derecho a la reserva del puesto de trabajo que se desempeña.
Trabajador/a con relación de carácter temporal con las empresas del sector.
El trabajador/a con una relación con la empresa de carácter temporal podrá acceder a esta situación y mantener la reserva de puesto de trabajo siempre que se mantenga la relación de la que trae causa.
3. Excedencia por el cuidado de familiares.
Duración.
Las/os trabajadoras/res tienen derecho, siempre que así lo acrediten fehacientemente, a una excedencia de hasta tres años, en el supuesto de cuidado de familiares que se encuentren a su cargo, hasta el segundo grado de consanguinidad o afinidad que por razones de edad, accidente, enfermedad o discapacidad no puedan valerse por sí mismos y no desempeñen actividad retribuida.
Efectos.
La situación de excedencia por el cuidado de familiares conlleva el derecho a la reserva del puesto de trabajo que se desempeña.
Trabajador/a con relación de carácter temporal con las empresas del sector.
La trabajadora/o de carácter temporal podrá acceder a esta situación y mantener la reserva de puesto de trabajo siempre que se mantenga la relación de la que trae causa.
4. Excedencia voluntaria por agrupación familiar.
Duración.
Podrá concederse la excedencia voluntaria por agrupación familiar, con una duración mínima de un año, a Las/os trabajadoras/res cuyo cónyuge resida en otro municipio por haber obtenido y estar desempeñando un puesto de trabajo de carácter fijo en la limpieza de algún centro sanitario de la red del SALUD.
Efectos.
Las/os trabajadoras/res excedentes no devengarán retribuciones, ni les será computable el tiempo de permanencia en tal situación a efectos de trienios, complemento de desarrollo profesional o el correspondiente a carrera profesional fijado en su ámbito sectorial respectivo ni efectos de acreditar el periodo de desempeño para acceder a otros puestos de trabajo.
Reingreso.
El reingreso deberá solicitarse con una antelación mínima de un mes a la finalización del periodo de excedencia. En caso contrario será declarado en situación de excedencia voluntaria.
5. Las/os trabajadoras/res tendrán derecho a excedencia por un periodo mínimo de 15 días y máximo de tres años por asuntos propios, con obligación de la Empresa de readmisión inmediata. La trabajadora/o deberá avisar su reincorporación a la misma con 30 días de anticipación. En caso de no hacerlo se considerará que causa baja voluntaria. A su reincorporación a la empresa ocupará un puesto de trabajo similar al que dejó en su centro de trabajo. Se reincorporará en el mismo turno, siempre que ello sea posible.
Artículo 20.º Vacaciones.
Todos los trabajadores disfrutarán de los mismos días de vacaciones que establezca el SALUD para el personal estatutario del Grupo E o categoría equivalente en cada momento.
Las vacaciones del personal se disfrutarán en los mismos periodos que establezca el SALUD con su personal, todo ello salvo acuerdo en contrario entre empresa y representantes de los trabajadores.
Artículo 21.º Horas extraordinarias.
Las horas extraordinarias se abonarán en la misma proporción y cuantía que lo abone el SALUD al personal estatutario del Grupo E o categoría equivalente.
De acuerdo con la equiparación al personal estatutario del Servicio Aragonés de la Salud, ambas partes muestran su total acuerdo en los efectos positivos que para el empleo puedan derivarse de una actuación conjunta para la supresión de las horas extraordinarias, acordándose en tal materia lo siguiente: Se considerarán horas extraordinarias las que vengan exigidas por necesidad de reparar siniestros u otros daños extraordinarios y urgentes.
La dirección de la empresa informará periódicamente al Comité de Empresa o Delegados de Personal sobre el número de horas extraordinarias realizadas especificando las causas.
La prestación de trabajo en horas extraordinarias, será voluntaria.
Capítulo IV Derechos varios
Artículo 22.º Ropa de trabajo.
Las empresas afectadas por el presente convenio, entregarán a sus trabajadores en los quince primeros días del comienzo de la contrata y renovándolos anualmente con una secuencia máxima de 15 meses una chaqueta, dos pares de zuecos cerrados o zapatillas, dos uniformes completos que constaran de: prioritariamente pijamas abierto para las mujeres, pantalones y camisas para los hombres, con independencia del calzado cerrado y ropa de abrigo que sea necesario a nivel individual. Las personas que necesiten un calzado especial tendrán derecho al mismo, se dotará de calzado adecuado al personal de cocina, en aras de prevenir riesgos de accidentes, el calzado deberá ser cerrado.
El personal recibirá además guantes, y estarán a su disposición por si las circunstancias lo requieren, botas, chaquetas de abrigo, ropa de agua y demás prendas adecuadas, que tendrán carácter personal en caso de que dichas circunstancias concurriesen regularmente en los mismos trabajadores. Excepto las botas que serán siempre de carácter personal.
Las prendas que se entreguen a los trabajadores deberán ser nuevas, siempre que aquellos tengan una antigüedad superior a un mes, y las empresas podrán exigir de los mismos el uso de las prendas entregadas. Así mismo, y para el manejo de las basuras, las empresas entregarán a los trabajadores que lo realicen guantes de material resistente al corte o a la punción.
Cuando el trabajo lo requiera, las empresas proporcionarán al personal cinturones de seguridad y cuantos otros medios se precisen para la protección del mismo, cuyo uso será obligatorio bajo pena de sanción grave.
La empresa deberá informar a los Delegados de Prevención a la hora de elegir los materiales, uniformes, elementos de protección, etc, que debe proporcionar a los trabajadores para desarrollar su trabajo.
Las empresas, siempre que la Dirección de los centros lo permita, colocarán los elementos mecánicos necesarios para el lavado de ropa de su personal, que voluntariamente desea acceder a tal servicio.
Artículo 23.º Anticipos.
Los trabajadores afectados por el presente convenio tendrán derecho a un anticipo del 100% de sus haberes salariales mensuales, a reintegrar en un plazo máximo de tres mensualidades, y que se descontarán por las empresas de los correspondientes recibos de nóminas, comenzando en la del mes natural siguiente a la concesión del mismo. Dicho anticipo se deberá conceder en un plazo máximo de 10 días hábiles. No se podrá solicitar otro anticipo hasta que estuviera saldado el anterior, y en caso de que el trabajador solicitante causara baja en la empresa antes de finalizar el abono del mismo, la cantidad que quedase pendiente se deducirá del recibo de saldo y finiquito.
Artículo 24.º Acción social.
De acuerdo con la equiparación al personal estatutario del Servicio Aragonés de la Salud, cada Empresa destinará el 1% de la masa salarial, para acción social del personal afectado por el presente convenio, a los efectos se constituirá una comisión con participación de los representantes de los trabajadores. Una vez determinado la cuantía del 1 % de la masa salarial, el montante se repartirá entre los trabajadores con los criterios que determine la representación legal de los trabajadores en cada caso y centro de trabajo, si la hubiere, y si no bajo los criterios que por mayoría simple acuerde la asamblea de trabajadores.
Se establece el 31 de marzo como fecha límite para informar a la representación legal de los trabajadores del importe de la cantidad correspondiente en cada caso. El montante de este concepto deberá haber sido satisfecho antes del 30 de junio de cada año.
Los conceptos a los que se destinará la acción social serán exclusivamente:
1. Guarderías. El personal afectado por el presente convenio tendrá derecho a la ayuda de guardería en la misma cuantía y criterios que los establecidos para el personal estatutario del Servicio Aragonés de la Salud.
2. Ayuda de estudios. El personal afectado por el presente convenio tendrá derecho a la ayuda de Estudios en la misma cuantía y criterios que los establecidos para el personal estatutario del Servicio Aragonés de la Salud.
En el caso de que la acción social de un determinado centro supere el 1% de la masa salarial, se repartirá el 1% de la acción social, de forma alícuota, entre todos los trabajadores afectados.
Artículo 25.º Prestaciones por invalidez y muerte.
Si como consecuencia de accidente laboral o enfermedad profesional se deriva una invalidez permanente absoluta para todo tipo de trabajo, la empresa abonará al trabajador la cantidad de 19.532,83 euros a tanto alzado y por una sola vez.
Si como consecuencia de los mismos hechos le sobreviniera la muerte, tendrán derecho a dicha cantidad los beneficiarios del mismo, o en su defecto, su viuda/ viudo o derechohabientes.
Las empresas afectadas deberán dar cuenta a la Representación Legal de los Trabajadores tanto de los datos de la póliza suscrita como el de haber hecho efectivo el importe de la misma.
Artículo 26.º Jubilaciones.
Los trabajadores/as bajo el ámbito de aplicación de este convenio, podrán acceder a las jubilaciones en los términos que legalmente estén regulados en cada año de vigencia del mismo.
Los trabajadores que lo deseen podrán solicitar la jubilación parcial con contrato de relevo en los términos previstos por la legislación vigente en cada momento, y la empresa contestará en un plazo de 15 días.
Artículo 27.º Defensa frente al acoso sexual, moral o psicologico (mobbing) y abuso de autoridad.
Se entiende que ello implica la obligada necesidad de sancionar con rigor cualquier conducta que vulnere tales derechos, con la graduación de la falta que en cada caso corresponda. En tal sentido las empresas vendrán obligadas a iniciar un expediente informativo en caso de denuncia y a sancionar en el caso de que existan hechos probados que justifiquen tal actuación, teniendo presente el régimen sancionador del presente convenio.
Artículo 28.º Promoción interna.
El personal de plantilla tendrá derecho a la promoción interna en los términos establecidos en la legislación laboral vigente y a la formación continua para ello se crea una comisión mixta sectorial entre las partes firmantes del convenio, que establecerá el procedimiento a seguir, planificará y programara cursos de formación orientados a la: Formación Profesional, Salud Laboral y Promoción Profesional, todo ello en el marco del Acuerdo Nacional de Formación Continua vigente en cada momento.
El personal tendrá derecho al permiso individual de formación, en los términos establecidos en el vigente Acuerdo Nacional de Formación Continua.
En el acta que se adjunta al presente convenio, figura el número de sus componentes y el domicilio social. Igualmente se comunicará tal constitución al presidente de la Fundación Tripartita en el ámbito provincial.
Capítulo V Licencias y permisos
Artículo 29.º Licencias, permisos y suspensiones contrato
1. El trabajador, previo aviso y justificación, podrá ausentarse del trabajo, con derecho a remuneración (con sueldo), por alguno de los motivos y por el tiempo siguiente:
1.1. Matrimonio.
Por razón de matrimonio se disfrutará de 15 días naturales ininterrumpidos, el permiso podrá ser anterior o posterior, en todo o en parte, a la fecha de su celebración, que deberá estar incluida en el período, y siempre y cuando continúe la vinculación contractual.
El presente permiso se iniciará el primer día laborable tras el día en el que se produzca el hecho causante en el caso de que las personas trabajadores opten por disfrutarlo tras él, del mismo modo que deberá iniciarse en día laborable en el caso en el que el permiso se disfrute antes del hecho causante.
1.2. Permiso por adopción internacional.
En los supuestos de adopción internacional cuando sea necesario el desplazamiento previo de los padres al país de origen del adoptado el periodo de permiso podrá iniciarse hasta cuatro semanas antes de la resolución por la que se constituye la adopción.
1.3. Permiso por hijas/os prematuros.
Las/os trabajadoras/res tienen el derecho a ausentarse del lugar de trabajo hasta un máximo de una hora diaria en los casos de nacimiento de hijas/os prematuros o en los que, por cualquier motivo, éstos tengan que permanecer hospitalizados a continuación del parto.
1.4. Fallecimiento de familiar.
En caso de fallecimiento del cónyuge o conviviente, familiares del primer grado por consanguinidad o afinidad, hermanos por consanguinidad, o personas a cargo del trabajador y que convivan con él, se concederá tres días naturales en caso de que el fallecimiento se produzca en la misma localidad o cinco días naturales de producirse en distinta provincia o en localidad que se encuentre a más de 150 km de distancia de donde el interesado presta sus servicios. Si todos los días naturales correspondientes fueran de libranza, se garantizará el disfrute del primer día laborable.
En caso de fallecimiento de familiares en segundo grado de consanguinidad o afinidad, excepto hermanos consanguíneos, se concederá dos días naturales en caso de que el fallecimiento se produzca en la misma localidad o cuatro días de producirse en distinta provincia o en localidad que se encuentre a más de 150 km de distancia de donde el interesado presta sus servicios.
El presente permiso se iniciará el primer día laborable tras el día en el que se produzca el hecho causante.
En turno de noche, el permiso se concederá de manera que comprenda, como mínimo, tres días naturales completos, o dos en caso de familiar en segundo grado de consanguinidad o afinidad, excepto hermanos consanguíneos. Asimismo, la «salida de noche» se considerará como jornada trabajada.
1.5. Enfermedad grave familiar o intervención quirúrgica grave
1.5.1. En caso de enfermedad grave o intervención quirúrgica grave del cónyuge o conviviente, familiares de primer grado por consanguinidad o afinidad, hermanos por consanguinidad, o personas a cargo del trabajador y que convivan con él, se concederán tres días naturales en caso de que se produzca en la misma localidad o cinco días naturales de producirse en distinta provincia o en localidad que se encuentre a más de 150 km de distancia de donde el interesado presta sus servicios. Si todos los días naturales correspondientes fueran de libranza, se garantizará el disfrute del primer día laborable.
1.5.2. En caso de enfermedad grave, intervención quirúrgica grave de familiares en segundo grado de consanguinidad o afinidad, excepto hermanos consanguíneos, se concederán dos días naturales en caso de que se produzca en la misma localidad o cuatro días de producirse en distinta provincia o en localidad que se encuentre a más de 150 km de distancia de donde el interesado presta sus servicios.
1.5.3. Se concederá permiso durante el día de la intervención quirúrgica cuando se trate de un hijo menor de doce años o persona con discapacidad que conviva con el solicitante, así como en el caso de intervenciones de hemodinámica y arteriografía de troncos importantes.
1.5.4. Se considerará enfermedad grave la que así sea calificada por el facultativo responsable, así como la que motive el ingreso. Si en dicho supuesto el ingreso fuera de menor duración que el permiso, éste se reducirá en el tiempo restante. En el supuesto de enfermedades crónicas, se concederá el permiso en caso de agravación o crisis que ponga en riesgo la vida del enfermo, según criterio facultativo.
1.5.5. Se considerará intervención quirúrgica grave aquella que se realice mediante anestesia general, o mediante otro tipo de anestesia cuando por las circunstancias del enfermo o por razones técnicas no sea aconsejable la general, o cirugía mayor ambulatoria.
1.5.6. El disfrute ininterrumpido de los permisos por enfermedad o intervención quirúrgica grave que exija ingreso hospitalario podrá iniciarse, a elección del trabajador:
A partir del hecho causante.
Durante el ingreso hospitalario.
A partir del alta hospitalaria por curación o mejoría.
En los dos últimos casos, se disfrutarán tantos días laborables como se hallen incluidos entre los naturales a que se tenga derecho, contados desde la fecha del hecho causante.
1.6. Por traslado de domicilio.
Señalado en el artículo 37.3 del Estatuto de los Trabajadores.
El personal afectado por el presente Convenio Colectivo podrá solicitar un día de permiso cuando se trate de traslado de domicilio. Se entiende que dicho traslado de domicilio no se refiere a cuando el interesado cambia de residencia por traslado en el puesto de trabajo.
1.7. Por deberes públicos y personales.
Podrán concederse permisos por el tiempo indispensable para el cumplimiento de un deber inexcusable de carácter público o personal. El tiempo indispensable, salvo justificación, estará limitado a un máximo de 4 horas.
1.8. Para la formación.
1.8.1. El tiempo de asistencia a los cursos de formación programados por las Administraciones de las Instituciones Sanitarias del SALUD y las Organizaciones Sindicales, para la capacitación profesional o para la adaptación a un nuevo puesto de trabajo, comprendidos en los planes previstos por el Acuerdo de Formación Continua, se considerará tiempo de trabajo a todos los efectos, cuando los cursos se celebren dentro del horario de trabajo. El mismo tratamiento deberá darse a los demás cursos de formación programados por la empresa y a los programados por las organizaciones sindicales en base a los acuerdos firmados en el marco del FORCEM.
1.8.2. Para facilitar la formación profesional y el desarrollo personal de los profesionales de las empresas afectadas por el presente convenio se concederán permisos retribuidos para los siguientes supuestos:
Para concurrir a exámenes finales y demás pruebas de aptitud y evaluación de centros Oficiales durante los días de su celebración. Se concederá permiso durante el turno de noche cuando el examen se celebre durante el turno de mañana o tarde inmediato siguiente.
Los trabajadores podrán recibir y participar en cursos de formación durante los permisos de maternidad, paternidad, así como durante la excedencia por cuidado de hijo o familiar.
La empresa facilitará la asistencia para concurrir a exámenes académicos no finales celebrados en centros oficiales en la medida en que lo permitan las necesidades del servicio.
1.9. Por cuidado de lactante.
El personal con hija/o menor de nueve meses tendrá derecho a una hora diaria de ausencia durante la jornada de trabajo que podrá disfrutarse al principio, en medio o al final de la citada jornada, que podrán dividir en dos fracciones o a una reducción de su jornada en una media hora.
Cuando existan dos o más hijas/os menores de nueve meses, el tiempo de permiso se multiplicará por el número de hijas/os a cuidar.
El permiso de lactancia podrá ser sustituido por una licencia retribuida del tiempo de la acumulación de una hora dada o la que resulte en caso de parto múltiple, que se podrá acumular al permiso por maternidad o paternidad.
1.10. Suspensión del contrato por nacimiento y cuidado menor.
1.10.1. Maternidad o paternidad.
El nacimiento, que comprende el parto y el cuidado de menor de doce meses, suspenderá el contrato de trabajo de la madre biológica durante 16 semanas, de las cuales serán obligatorias las seis semanas ininterrumpidas inmediatamente posteriores al parto, que habrán de disfrutarse a jornada completa, para asegurar la protección de la salud de la madre.
El nacimiento suspenderá el contrato de trabajo del progenitor distinto de la madre biológica durante 16 semanas, de las cuales serán obligatorias las seis semanas ininterrumpidas inmediatamente posteriores al parto, que habrán de disfrutarse a jornada completa, para el cumplimiento de los deberes de cuidado previstos en el artículo 68 del Código Civil.
En los casos de parto prematuro y en aquellos en que, por cualquier otra causa, el neonato deba permanecer hospitalizado a continuación del parto, el periodo de suspensión podrá computarse, a instancia de la madre biológica o del otro progenitor, a partir de la fecha del alta hospitalaria. Se excluyen de dicho cómputo las seis semanas posteriores al parto, de suspensión obligatoria del contrato de la madre biológica.
En los casos de parto prematuro con falta de peso y en aquellos otros en que el neonato precise, por alguna condición clínica, hospitalización a continuación del parto, por un periodo superior a siete días, el periodo de suspensión se ampliará en tantos días como el nacido se encuentre hospitalizado, con un máximo de trece semanas adicionales, y en los términos en que reglamentariamente se desarrolle.
En el supuesto de fallecimiento del hijo o hija, el periodo de suspensión no se verá reducido, salvo que, una vez finalizadas las seis semanas de descanso obligatorio, se solicite la reincorporación al puesto de trabajo.
La suspensión del contrato de cada uno de los progenitores por el cuidado de menor, una vez transcurridas las primeras seis semanas inmediatamente posteriores al parto, podrá distribuirse a voluntad de aquellos, en períodos semanales a disfrutar de forma acumulada o interrumpida y ejercitarse desde la finalización de la suspensión obligatoria posterior al parto hasta que el hijo o la hija cumpla doce meses. No obstante, la madre biológica podrá anticipar su ejercicio hasta cuatro semanas antes de la fecha previsible del parto. El disfrute de cada período semanal o, en su caso, de la acumulación de dichos períodos, deberá comunicarse a la empresa con una antelación mínima de quince días.
Este derecho es individual de la persona trabajadora sin que pueda transferirse su ejercicio al otro progenitor.
La suspensión del contrato de trabajo, transcurridas las primeras seis semanas inmediatamente posteriores al parto, podrá disfrutarse en régimen de jornada completa o de jornada parcial, previo acuerdo entre la empresa y la persona trabajadora, y conforme se determine reglamentariamente.
La persona trabajadora deberá comunicar a la empresa, con una antelación mínima de quince días, el ejercicio de este derecho en los términos establecidos, en su caso, en los convenios colectivos. Cuando los dos progenitores que ejerzan este derecho trabajen para la misma empresa, la dirección empresarial podrá limitar su ejercicio simultáneo por razones fundadas y objetivas, debidamente motivadas por escrito.
En los supuestos de adopción, de guarda con fines de adopción y de acogimiento, de acuerdo con el artículo 45.1.d) del Estatuto de los Trabajadores, la suspensión tendrá una duración de dieciséis semanas para cada adoptante, guardador o acogedor. Seis semanas deberán disfrutarse a jornada completa de forma obligatoria e ininterrumpida inmediatamente después de la resolución judicial por la que se constituye la adopción o bien de la decisión administrativa de guarda con fines de adopción o de acogimiento.
Las diez semanas restantes se podrán disfrutar en períodos semanales, de forma acumulada o interrumpida, dentro de los doce meses siguientes a la resolución judicial por la que se constituya la adopción o bien a la decisión administrativa de guarda con fines de adopción o de acogimiento. En ningún caso un mismo menor dará derecho a varios periodos de suspensión en la misma persona trabajadora. El disfrute de cada período semanal o, en su caso, de la acumulación de dichos períodos, deberá comunicarse a la empresa con una antelación mínima de quince días. La suspensión de estas diez semanas se podrá ejercitar en régimen de jornada completa o a tiempo parcial, previo acuerdo entre la empresa y la persona trabajadora afectada, en los términos que reglamentariamente se determinen.
En los supuestos de adopción internacional, cuando sea necesario el desplazamiento previo de los progenitores al país de origen del adoptado, el periodo de suspensión previsto para cada caso en este apartado, podrá iniciarse hasta cuatro semanas antes de la resolución por la que se constituye la adopción.
Este derecho es individual de la persona trabajadora sin que pueda transferirse su ejercicio al otro adoptante, guardador con fines de adopción o acogedor.
La persona trabajadora deberá comunicar a la empresa, con una antelación mínima de quince días, el ejercicio de este derecho en los términos establecidos, en su caso, en los convenios colectivos. Cuando los dos adoptantes, guardadores o acogedores que ejerzan este derecho trabajen para la misma empresa, ésta podrá limitar el disfrute simultáneo de las diez semanas voluntarias por razones fundadas y objetivas, debidamente motivadas por escrito.
En el supuesto de discapacidad del hijo o hija en el nacimiento, adopción, en situación de guarda con fines de adopción o de acogimiento, la suspensión del contrato a que se refieren los apartados 4 y 5 tendrá una duración adicional de dos semanas, una para cada uno de los progenitores. Igual ampliación procederá en el supuesto de nacimiento, adopción, guarda con fines de adopción o acogimiento múltiple por cada hijo o hija distinta del primero.
En el supuesto de riesgo durante el embarazo o de riesgo durante la lactancia natural, en los términos previstos en el artículo 26 de la Ley 31/1995, de 8 de noviembre, de Prevención de Riesgos Laborales, la suspensión del contrato finalizará el día en que se inicie la suspensión del contrato por parto o el lactante cumpla nueve meses, respectivamente, o, en ambos casos, cuando desaparezca la imposibilidad de la trabajadora de reincorporarse a su puesto anterior o a otro compatible con su estado.
En el supuesto previsto en el artículo 45.1.n), el periodo de suspensión tendrá una duración inicial que no podrá exceder de seis meses, salvo que de las actuaciones de tutela judicial resultase que la efectividad del derecho de protección de la víctima requiriese la continuidad de la suspensión. En este caso, el juez podrá prorrogar la suspensión por periodos de tres meses, con un máximo de dieciocho meses.
Los trabajadores se beneficiarán de cualquier mejora en las condiciones de trabajo a la que hubieran podido tener derecho durante la suspensión del contrato en los supuestos a que se refieren los apartados 4 a 8, del artículo 48 del Estatuto de los Trabajadores.
1.10.2. Será de aplicación la Ley 39/1999, de 5 de noviembre, y posteriores normas de desarrollo, así como por la Ley de igualdad.
1.11. Días de libre disposición.
A lo largo del año, el personal tendrá derecho a disfrutar de los mismos días de licencia o permiso por asuntos particulares, que disfruta el personal estatutario del SALUD y con los mismos criterios de proporcionalidad al tiempo trabajado.
Tales días podrán acumularse a las vacaciones anuales retribuidas.
El periodo de su disfrute abarcará desde el día 1 de enero hasta el 15 de enero del año siguiente.
Se solicitarán por escrito con antelación mínima de 15 días, salvo en supuestos excepcionales y deberán ser contestados por escrito en el plazo de una semana, entendiéndose concedidos en caso contrario.
Igualmente, y antes del 1 de diciembre deberán solicitarse, aquellos días pendientes de disfrutar.
1.12. Para colaborar en programas de cooperación y ayuda humanitaria en situaciones de emergencia y catástrofe generalizada (añadido pacto de 19 de noviembre de 1998)
Este permiso retribuido tendrá una duración mínima de un mes y máxima de tres meses. Podrá concederse con una duración superior en función de una necesidad suficientemente justificada. La calificación de una situación concreta como emergencia o de catástrofe generalizada será competencia de la dirección de la empresa.
Durante el mismo el interesado percibirá todas las retribuciones que venía percibiendo en su puesto de origen, no pudiendo percibir compensación económica por parte de otra organización directamente relacionada con la actividad desarrollada durante el permiso.
Estos permisos podrán ser concedidos al personal con contrato indefinido y al personal eventual, el cual, sin embargo, quedará sometido a todas las vicisitudes que pueda sufrir la plaza que ocupa.
2. El trabajador/a, previo aviso y justificación, podrá ausentarse del trabajo, sin derecho a remuneración (sin sueldo), por alguno de los motivos y por el tiempo siguiente:
2.1. Por asuntos propios.
2.1.1. Regulación.
Su duración como máximo será de un mes al año y el tiempo mínimo por el que se podrá solicitar será de ocho días.
2.1.2. Peticiones.
Las licencias no retribuidas deberán solicitarse por escrito antes del día 28 del mes anterior a su disfrute o bien con quince días de antelación en el caso de estar motivada en hechos causantes que no hubieran podido preverse en el plazo anteriormente citado.
La denegación del permiso solicitado deberá estar debidamente argumentada.
2.1.3. Renuncias.
Las solicitudes de renuncia a los permisos, una vez concedidos, habrán de efectuarse con 7 días hábiles para los que no superen un mes y 15 días hábiles para los que lo superen.
2.1.4. El personal afectado por el presente convenio podrá disfrutar de licencia sin sueldo para los casos de enlace matrimonial de hermanos, bautizo de hijos y comunión de los mismos.
Artículo 30.º Fiestas.
De acuerdo con la equiparación al personal estatutario del Servicio Aragonés de la Salud, todos los trabajadores disfrutarán de los mismos descansos y fiestas que disfruten el personal estatutario de la misma categoría dependiente del SALUD. Cuando lo soliciten los representantes de los trabajadores del centro de trabajo se establecerá un calendario con una antelación mínima de dos meses para el disfrute de las fiestas y, siempre que estas sean concedidas por el SALUD a su propio personal.
Capítulo VI Del personal, categorías, plantillas y turnos
Artículo 31.º Cambios de contrata.
En el sector de limpieza de centros sanitarios dependientes del servicio aragonés de la salud operará la subrogación del personal cuando tenga lugar un cambio de contratista o de subcontratista, en una concreta actividad de las reguladas en el ámbito funcional del artículo del presente convenio, en cualquier tipo de cliente, ya sea público o privado. Dicha subrogación se llevará a cabo en los términos indicados en el presente artículo.
En lo sucesivo, el término contrata se entiende como el conjunto de medios organizados con el fin de llevar a cabo una actividad económica de las definidas dentro del ámbito funcional del convenio, ya fuere esencial o accesoria, que mantiene su identidad con independencia del adjudicatario del servicio.
En este sentido, engloba con carácter genérico cualquier modalidad de contratación, tanto pública como privada, e identifica una concreta actividad que pasa a ser desempeñada por una determinada empresa, sociedad, o entidad de cualquier clase, siendo aplicable la subrogación aún en el supuesto de reversión de contratas a cualquiera de las administraciones públicas.
A los efectos previstos en este artículo no tendrán la consideración de trabajadores y, por tanto, no serán objeto de subrogación por la nueva adjudicataria los socios cooperativistas que no tengan la condición de socios trabajadores y los trabajadores autónomos aun cuando vinieran prestando servicios directa y personalmente en el centro o contrata en el que se produjese el cambio de contratista.
En el caso de subrogación de socios cooperativistas que tengan la condición de trabajadores, la subrogación alcanzará exclusivamente a esta última condición, sometiéndose en todos los aspectos a la regulación laboral y convencional de aplicación.
1. En todos los supuestos de finalización, pérdida, rescisión, cesión o rescate de una contrata así como respecto de cualquier otra figura o modalidad que suponga el cambio en el adjudicatario del servicio que lleven a cabo la actividad de que se trate, los trabajadores de la empresa saliente pasarán a estar adscritos a la nueva titular de la contrata que vaya a realizar el servicio, respetando ésta los derechos y obligaciones que disfruten en la empresa saliente del servicio.
Se producirá la mencionada subrogación de personal, siempre que se den alguno de los siguientes supuestos:
Trabajadores/as en activo que realicen su trabajo en la contrata con una antigüedad mínima de los cuatro últimos meses anteriores a la finalización efectiva del servicio, sea cual fuere la modalidad de su contrato de trabajo, con independencia de que, con anterioridad al citado período de cuatro meses, hubieran trabajado en otra contrata.
Trabajadores/as con derecho a reserva de puesto de trabajo que, en el momento de la finalización efectiva de la contrata, tengan una antigüedad mínima de seis meses en la misma y/o aquellos/as que se encuentren en situación de IT, excedencia que dé lugar a reserva del mismo puesto de trabajo, vacaciones, permisos, maternidad, Incapacidad Permanente sujeta a revisión durante los dos años siguientes o situaciones análogas, siempre que cumplan el requisito ya mencionado de antigüedad mínima.
Trabajadores/as con contrato de interinidad que sustituyan a alguno de los trabajadores mencionados en el apartado b), con independencia de su antigüedad y mientras dure su contrato.
Trabajadores/as de nuevo ingreso que por ampliación del contrato con el cliente se hayan incorporado a la contrata como consecuencia de una ampliación de plantilla en los seis meses anteriores a la finalización de aquélla.
Trabajadores/as de nuevo ingreso que han ocupado puestos fijos con motivo de las vacantes que de forma definitiva se hayan producido en los seis meses anteriores a la finalización de la contrata, siempre y cuando se acredite su incorporación simultánea al centro y a la empresa.
Trabajadores/as de una primera contrata de servicio continuado, excluyendo, en todo caso, los servicios de carácter eventual y los de acondicionamiento o mantenimiento provisional para la puesta en marcha de unos locales nuevos o reformados, o primeras limpiezas, cuando la contrata de referencia no haya tenido una duración mínima de seis meses.
2. Todos los supuestos anteriormente contemplados, se deberán acreditar documentalmente por la empresa o entidad saliente a la entrante, mediante los documentos que se detallan en este Artículo.
El plazo de entrega será como mínimo de cinco días naturales y como máximo de quince días naturales, contados a partir del momento en que la empresa entrante o saliente comunique a la otra el cambio de la adjudicación de servicios. En todo caso, dicha comunicación deberá producirse con un plazo mínimo de tres días hábiles anteriores al inicio efectivo de la prestación de servicios por parte del nuevo adjudicatario.
La falta de entrega en plazo y forma de la documentación establecida en el anexo I facultará a la empresa entrante para exigirle a la saliente la indemnización por los daños y perjuicios que en su incumplimiento le haya podido acarrear.
3. Liquidación de retribuciones, partes proporcionales de pagas extraordinarias, vacaciones y descansos con respecto a los trabajadores entre la empresa saliente y la que vaya a realizar el servicio:
Los trabajadores/as percibirán sus retribuciones mensuales en la fecha establecida y las partes proporcionales de pagas extraordinarias o liquidación de retribuciones pendientes de percibir, en los cinco días siguientes a la fecha de terminación de la contrata de la empresa saliente.
Los trabajadores tendrán que disfrutar sus vacaciones reglamentarias establecidas en el periodo fijado en el calendario vacacional, con independencia de cuál sea la empresa en la que en ese momento estén prestando servicios.
Los trabajadores/as que no hubieran disfrutado sus vacaciones reglamentarias al producirse la subrogación, las disfrutarán con la nueva adjudicataria del servicio, que sólo abonará la parte proporcional del período que a ella corresponda, ya que el abono del otro período corresponde al anterior adjudicatario que deberá efectuarlo en la correspondiente liquidación.
Los trabajadores/as que, con ocasión de la subrogación, hubiesen disfrutado con la empresa saliente un periodo de vacaciones superior al que le correspondería por la parte de año trabajado en la misma, se les descontará de la liquidación el exceso disfrutado de acuerdo con la proporcionalidad que corresponda. La empresa entrante habrá de permitir el disfrute del periodo vacacional que a cada trabajador/a le quedara pendiente de disfrutar, y en todo caso deberá abonar al trabajador/a lo que le correspondería proporcionalmente percibir por el tiempo en que preste servicios para la misma, sin que pueda sustituir tal abono por un disfrute mayor de vacaciones.
4. No operará la subrogación en el caso de un contratista que realice la primera limpieza y que no haya suscrito contrato de mantenimiento.
5. Si la subrogación de una nueva titular de la contrata implicase que un trabajador/a realice su jornada en dos centros de trabajo distintos, afectando a uno sólo de ellos el cambio de titularidad de la contrata, los titulares de la misma gestionarán el pluriempleo legal del trabajador/a, así como el disfrute conjunto del período vacacional.
6. La aplicación de este artículo será de obligado cumplimiento para las partes a las que vincula: empresa cesante, nueva adjudicataria y trabajador/a, operando la subrogación tanto en los supuestos de jornada completa, como en los de jornada inferior, aun cuando el trabajador/a siga vinculado a la empresa cesante por una parte de su jornada. En tal caso se procederá conforme determina el apartado anterior.
No desaparece el carácter vinculante de este Artículo, en el supuesto de cierre temporal de un centro de trabajo que obligue a la suspensión del servicio por tiempo no superior a un año. En tal caso, dicha circunstancia dará lugar a promover expediente de regulación de empleo por el que se autorice la suspensión de los contratos de trabajo de los empleados que resulten afectados. A la finalización del período de suspensión, dichos trabajadores/as tendrán reservado el puesto de trabajo en el centro en cuestión, aunque a esa fecha se adjudicase el servicio a otra empresa.
En caso de que un cliente rescindiera el contrato de adjudicación del servicio de limpieza con una empresa, por cualquier causa, con la idea de realizarlo con su propio personal, y posteriormente contratase con otra de nuevo el servicio, en el plazo de un año desde la rescisión de la contrata, la nueva adjudicataria deberá incorporar a su plantilla al personal afectado de la anterior empresa de limpieza, siempre y cuando se den los requisitos establecidos en el presente Artículo.
En el caso de que el propósito del cliente, al rescindir el contrato de adjudicación del servicio de limpieza, por cualquier causa, fuera el de realizarlo con personal propio pero de nueva contratación, quedará obligado a incorporar a su plantilla a los trabajadores/as afectados/as de la empresa de limpieza hasta el momento prestadora de dicho servicio.
7. En el supuesto de que el cliente trasladase sus oficinas o dependencias a otra ubicación y adjudicase el servicio de limpieza a otra empresa, ésta vendrá obligada a subrogarse en el personal que, bajo la dependencia del anterior concesionario hubiera prestado servicios en el centro anterior, siempre y cuando dicho personal reuniese los requisitos establecidos en el apartado 1.º de este artículo.
8. En el supuesto de que la subrogación afecte a un trabajador/a con horario continuado, afectando aquélla aparte de su jornada, el tiempo de traslado de un centro a otro que, con anterioridad al cambio tuviera la consideración de efectivo, habrá de compartirse entre ambas empresas en proporción a la jornada que a cada una de ellas corresponda.
9. División de contratas: En el supuesto de que una o varias contratas, cuya actividad viene siendo desempeñada por una o distintas empresas o entidades públicas, se fragmenten o dividan en distintas partes, zonas o servicios al objeto de su posterior adjudicación, pasarán total o parcialmente a estar adscritos al nuevo titular aquellos trabajadores/as que hubieran realizado su trabajo en la empresa saliente en cada una de esas partes, zonas o servicios resultantes de la división producida, en los términos previstos en el punto uno de este Artículo.
10. Agrupaciones de contratas: En el caso de que distintas contratas, servicios, zonas o divisiones de aquéllas se agrupen en una o varias, la subrogación del personal operará respecto de todos aquellos trabajadores/as que hayan realizado su trabajo en las que resulten agrupadas, conforme a los criterios del punto uno de este artículo.
11. Obligatoriedad: La subrogación del personal, así como los documentos a facilitar, operarán en todos los supuestos de subrogación de contratas, partes, zonas o servicios que resulten de la fragmentación o división de las mismas, así como en las agrupaciones que de aquéllas puedan efectuarse, aun tratándose de las normales subrogaciones que se produzcan entre empresas o entidades públicas o privadas que lleven a cabo la actividad de los correspondientes servicios, y ello aun cuando la relación jurídica se establezca sólo entre quien adjudica el servicio por un lado y la empresa que resulte adjudicataria por otro, siendo de aplicación obligatoria, en todo caso, la subrogación de personal, en los términos indicados en el presente Artículo.
La documentación a facilitar a la empresa entrante o cesionaria, será la que se menciona en el anexo I del presente convenio.
Para la tramitación de la subrogación la empresa saliente deberá suministrar a la entrante relación de personal, en formato electrónico de hoja de cálculo según el modelo especificado en el anexo II, en la que se detalle: Nombre y apellidos, domicilio, número de afiliación a la Seguridad Social, antigüedad, jornada, horario, vacaciones, días de asuntos propios ya disfrutados y justificación de otras licencias retribuidas y cualquier modificación de estos datos que se haya producido en los seis meses anteriores junto con la justificación de la misma, modalidad de su contratación, especificación del período de mandato si el trabajador/a es representante sindical y fecha de disfrute de sus vacaciones.
Así mismo, a efectos de comprobación de retribuciones, jornada, tipo de contrato, situación de IT y otros extremos de relevancia para la gestión de la subrogación, la empresa saliente tendrá que facilitar a la entrante los siguientes documentos, dejando constancia suficiente de su recepción:
Fotocopia de los contratos de trabajo del personal afectado por la subrogación si los ha tramitado la empresa saliente o documentación que acredite la vinculación laboral de cada persona con la empresa y contrata objeto de subrogación.
Fotocopia de las seis últimas nóminas mensuales de los trabajadores afectados.
Fotocopia de los TC-2 de cotización a la Seguridad Social de los seis últimos meses.
Parte de IT y/o confirmación, del personal que se encuentre en tal situación en el momento de transmitir la documentación.
Copia de documentos debidamente diligenciados por cada trabajador/a afectado en el que se haga constar que éste ha recibido de la empresa saliente su liquidación de partes proporcionales de sus haberes hasta el momento de la subrogación, no quedando pendiente cantidad alguna. Este documento deberá estar en poder de la nueva adjudicataria en la fecha del inicio del servicio como nueva titular.
Asimismo, de cara a contribuir a la estabilidad y a la transparencia del sector, la empresa saliente facilitará al entrante certificado del organismo competente de estar al corriente de pago de la Seguridad Social.
Artículo 32.º Período de prueba.
Se establece un período de prueba de 14 días para todo el personal no cualificado para contratos de duración determinada, cuando el contrato sea indefinido el periodo de prueba será de 30 días. Durante este periodo cualquiera de las dos partes puede dar por extinguida la relación laboral, sin derecho a indemnización alguna ni preaviso.
Se entenderá cubierto el periodo de prueba con el que exista en el primer contrato que se suscriba, y si éste es inferior al periodo pactado en convenio se completará con el de contratos siguientes, siempre que se realice en la misma categoría profesional, y no exista un periodo de tiempo entre el mismo superior a 18 meses.
Artículo 33.º Trabajadores con discapacidad.
Las empresas con más de 50 trabajadores, vienen obligadas, de acuerdo con la normativa vigente, a contratar un 2 % de personal con discapacidad, procurando concederles un puesto acorde con sus posibilidades. En tal materia los representantes legales de los trabajadores podrán proponer a la dirección de las mismas la relación de puestos más aconsejables.
Capítulo VII Clasificación profesional
Artículo 34.º
Los trabajadores/as que presten sus servicios en las empresas incluidas en el ámbito del presente convenio Sectorial serán clasificados en grupos profesionales en atención a sus aptitudes profesionales, titulaciones y contenido general de la prestación.
Artículo 35.º
Las clasificaciones del personal consignadas en el presente convenio Sectorial son meramente enunciativas, no limitativas y no suponen la obligación de tener provistas todos los grupos profesionales, si las necesidades y volumen de la empresa no lo requieren.
No son asimismo exhaustivos los distintos cometidos asignados a cada grupo, pues todo trabajador incluido en el ámbito funcional de este convenio Sectorial podrá ser asignado a efectuar cuantos trabajos y operaciones le ordenen sus superiores dentro de los generales cometidos de su grupo profesional y sin menoscabo de su dignidad profesional, sin que ello implique modificación sustancial de las condiciones de trabajo.
Desde el momento mismo en que un trabajador realice las tareas específicas de un grupo profesional determinado y definido en el presente convenio Sectorial, habrá de ser remunerado, por lo menos, con el nivel retributivo que para tal categoría se asigne, todo ello sin perjuicio de las normas reguladoras de los trabajos de grupo superior o inferior.
El trabajador/a deberá cumplir las instrucciones del empresario o persona en quien delegue en el ejercicio habitual de sus funciones organizativas y directivas, debiendo ejecutar los trabajos y tareas que se le encomienden, dentro del contenido general de la prestación laboral y dentro del grupo profesional al que se le asigne.
La realización de funciones distintas dentro del mismo grupo profesional no supondrá modificación sustancial de las condiciones de trabajo, sin perjuicio de la retribución que tenga derecho el trabajador.
Artículo 36.º
La movilidad funcional en el seno de la empresa no tendrá otras limitaciones que las exigidas por las titulaciones académicas o profesionales precisas para ejercer la prestación laboral y por la pertenencia al grupo profesional.
La movilidad funcional para la realización de funciones no correspondiente a Grupo Profesional solo será posible si existen razones técnicas u organizativas que la justifiquen y por el tiempo imprescindible para su atención. En el caso de encomienda de funciones inferiores al grupo profesional, está deberá estar justificada por necesidades perentorias o imprevisibles de la actividad productiva. El empresario deberá comunicar esta situación a los representantes de los trabajadores.
La movilidad funcional se efectuará sin menoscabo de la dignidad del trabajador sin perjuicio de su formación y promoción profesional, teniendo derecho a la retribución correspondiente a las funciones que efectivamente realice, salvo en los casos de encomienda de funciones inferiores, en los que mantendrá la retribución de origen.
Artículo 37.º
Los grupos profesionales son los siguientes:
Grupo I: Personal Directivo y Técnicos Titulados en grado superior y medio.
Grupo II: Personal Administrativo.
Grupo III: Mandos Intermedios.
Grupo IV: Personal Operario.
Artículo 38.º Grupo I.
Los trabajadores/as adscritos a este grupo profesional planifican, organizan, dirigen y coordinan las diversas actividades propias del desenvolvimiento de la empresa. Realizan tareas técnicas complejas y heterogéneas, con objetivos globales definidos y alto grado de exigencia en autonomía, iniciativa y responsabilidad. Sus funciones suponen la integración, coordinación y supervisión de funciones realizadas por un conjunto de colaboradores en una misma unidad funcional.
Tendrán título adecuado o amplia preparación teórico-práctica adquiridos en el desempeño de su profesión completada con una amplia experiencia en el sector.
Las divisiones funcionales de este grupo profesional son, a título meramente enunciativo: Director, Director Comercial, Director Administrativo, Director de Recursos Humanos, Director de Compras, Jefe de Servicios, Titulados de Grado Superior y Titulados de Grado Medio.
Artículo 39.º Grupo II.
Los trabajadores/as adscritos a este grupo profesional realizan funciones de carácter administrativo, con o sin responsabilidad de mando. Asimismo, pueden realizar trabajos de ejecución autónoma bajo supervisión o ayudado por otros trabajadores. Requiere adecuados conocimientos y aptitudes prácticas.
Poseen titulación adecuada o conocimientos adquiridos en el desempeño de su profesión.
Las divisiones funcionales de este grupo profesional son, a título meramente enunciativo: Jefe Administrativo de primera, Jefe Administrativo de Segunda, Cajero, Oficial Primera, Oficial Segunda, Auxiliar y Telefonista.
Artículo 40.º Grupo III.
Los trabajadores/as adscritos a este grupo profesional realizan funciones de coordinación y supervisión, de ejecución autónoma que exijan habitualmente iniciativa por parte de los trabajadores que los desempeñan, comportando, bajo supervisión, la responsabilidad de los mismos y pudiendo ser ayudados por otro u otros trabajadores.
Poseen titulación adecuada o conocimientos adquiridos en el desempeño de su profesión.
Las divisiones funcionales de este grupo profesional son, a título meramente enunciativo: Encargado General, Supervisor o Encargado de Zona, Supervisor o Encargado de Sector, Encargado de Grupo o Edificio y Responsable de Equipo.
Artículo 41.º Grupo IV.
Los trabajadores/as adscritos a este grupo profesional ejecutan tareas según instrucciones concretas, con un alto grado de dependencia y supervisión, requieren esfuerzo físico o atención, sólo ocasionalmente requieren una formación específica, y en general únicamente exigen conocimientos profesionales de carácter elemental y de un breve periodo de adaptación.
Poseen titulación adecuada o conocimientos adquiridos en el desempeño de su profesión.
Las divisiones funcionales de este grupo profesional son, a título meramente enunciativo: Especialista, Peón Especializado Conductor/a-Limpiador/a, Limpiador/a.
Artículo 42.º Definición grupo profesional I.
Son los que con el título adecuado o amplia preparación teórico-práctica, asumen la dirección y responsabilidad de la empresa, programando, planificando y controlando el trabajo en todas sus fases, las funciones mercantiles en su más amplio sentido y planificando, programando y controlando la política comercial de la empresa, funciones administrativas en su más amplio sentido, planificando, programando y controlando la administración de la empresa, reclutamiento, selección y admisión del personal y planificando, controlando y programando la política de personal de la empresa, responsabilidad de las compras de material y aprovisionamiento de la empresa, planificación, programación, control, orientación, dirección de la unidad a la empresa, responsabilidad de la buena marcha y coordinación del trabajo realizado en las zonas y equipos productivos de la empresa, aquellos que aplicando sus conocimientos a investigación, análisis, estudio y preparación de los planes de trabajo, asesoran o ejecutan las actividades propias de su profesión, autorizado por título de doctor o licenciado y todos aquellos que prestan servicios autorizados con un título de grado medio o equivalente.
Artículo 43.º Definición grupo profesional II.
Empleados/as que provistos o no de poder, tienen la responsabilidad directa de la oficina de la empresa. Dependen de él las diversas secciones administrativas a las que imprime unidad, encargados de una sección o departamento, sugiere y da unidad al trabajo que tiene encomendado y responde del mismo ante sus jefes y distribuye el trabajo a sus subordinados, los que realizan bajo su responsabilidad los cobros y pagos generales de la empresa, los que actúa a las órdenes de un jefe y tiene a su cargo un trabajo determinado, que requiere cálculo, estudio, preparación y condiciones adecuadas, los que, con iniciativa y responsabilidad restringidas, subordinado a un jefe, realiza trabajos de carácter auxiliar secundario que requieren conocimientos generales de la técnica administrativa, operaciones elementales administrativas y, en general, a las puramente mecánicas inherentes al trabajo de la oficina y el cuidado y servicio de una centralita telefónica.
Artículo 44.º Definición grupo profesional III.
Son los empleados/as que por sus condiciones profesionales y a las órdenes inmediatas de la Dirección, Gerencia o personas en quien deleguen, coordinan los trabajos, tramitando las órdenes oportunas e informa a la empresa de los rendimientos del personal a su cargo, rendimientos de productividad, control del personal y demás incidencias, la inspección de los centros de trabajo cuya vigilancia e inspección esté encomendada a dos o más personas, de quienes recogerá la información oportuna para su traslado a la Dirección, los que tiene a su cargo a dos o más Encargados siendo sus funciones las siguientes:
Organizar el personal que tenga a sus órdenes de forma que los rendimientos sean normales, que la limpieza sea efectiva y eficiente, evitando la fatiga de los productores.
Emitir los informes correspondientes para su traslado a la Dirección sobre las anomalías observadas y buen rendimiento de trabajo.
Reflejar en los partes diarios de producción y de los rendimientos de trabajo del personal bajo su mandato, informado de las incidencias que hubiere, a fin de que se corrijan, dentro de la mayor brevedad posible, subsanándose las mismas, y se eviten las reincidencias.
Los que tienen a su cargo el control de diez o más trabajadores, siendo sus funciones las siguientes:
Organizar el trabajo del personal que tenga a sus órdenes de forma que los rendimientos sean normales y eficientes, evitando la fatiga innecesaria de los productores.
Distribuir el trabajo o indicar el modo de realizarlo, teniendo a su cargo, además, la buena administración del material y útiles de limpieza y la buena utilización de los mismos.
Reflejar en los partes diarios la producción y los rendimientos del personal bajo su mando, además de la calidad del servicio, remitiendo dichos partes a sus superiores e informando de las incidencias del personal de servicio o de cualquier índole que se produzcan.
Corrección de anomalías e incidencias.
Los que tiene bajo su responsabilidad a un equipo de tres a nueve trabajadores/as, ejerciendo funciones específicas de control y supervisión y cuando no realice tal función ejercerá de limpiador/a.
Artículo 45.º Definición grupo profesional IV.
Trabajadores/as que con plenitud de conocimientos teórico-prácticos, y de facultades, domina en su conjunto el manejo y funcionamiento de los útiles y máquinas industriales (no electrodomésticos) propios y adecuados para la limpieza en general y aplicar racionalmente y para cada caso los tratamientos adecuados, con iniciativa, rendimiento, responsabilidad, habilidad y eficacia que requiere el uso de materiales, equipos, productos, útiles o máquinas, atendiendo en todo caso a la vigilancia y mantenimiento de las máquinas, útiles o vehículos necesarios para el desempeño de su misión, los que realizan funciones concretas y determinadas propias de las empresas de limpieza, que sin haber alcanzado la plenitud de conocimientos exigen, sin embargo, cierta práctica y especialización, así como en atención en trabajos que impliquen peligrosidad o riesgo, los que ejecutan las tareas de fregado, desempolvado, barrido, pulido, manualmente con útiles tradicionales o con elementos electromecánicos o de fácil manejo, considerados como de uso doméstico, aunque éstos sean de mayor potencia, de suelos, techos, paredes, mobiliario, etc. de locales, recintos y lugares, así como cristaleras, puertas, ventanas desde el interior de los mismos, o en escaparates, sin que se requieran para la realización de las tareas más que la atención debida y la voluntad de llevar a cabo aquello que se le ordene, con la aportación de un esfuerzo físico esencialmente, los que estando en posesión de carnet de conducir correspondiente a la clase de vehículo de que se trate, realiza indistintamente las tareas propias del personal de limpieza y las correspondientes a un conductor/a utilizando el vehículo que ponga a su disposición la empresa para desplazarse con mayor rapidez a los diversos lugares o centros de trabajo o para cualquiera otras tareas que le sean ordenadas por la empresa, tales como reparto, distribución de personal o materiales o transporte en general, los que con un oficio determinado ejecutan con iniciativa y responsabilidad todas o algunas de las labores propias del mismo con correcto rendimiento, los que realizan funciones concretas, que no constituyen labor calificada de oficio, o que, bajo la inmediata dependencia de otra persona, colabora en funciones propias de éste y bajo su responsabilidad, los encargados de realizar tareas para cuya ejecución se requiere únicamente la aportación de esfuerzo y atención, sin la exigencia de práctica operatoria alguna.
Niveles funcionales
Nivel I
Trabajadores/as que ejecutan las tareas de fregado, desempolvado, barrido, pulido, manualmente con útiles tradicionales o con elementos electromecánicos o de fácil manejo, considerados como de uso doméstico, aunque éstos sean de mayor potencia, de suelos, techos, paredes, mobiliario, etc. de locales, recintos y lugares, así como cristaleras, puertas, ventanas desde el interior de los mismos, o en escaparates, sin que se requieran para la realización de las tareas más que la atención debida y la voluntad de llevar a cabo aquello que se le ordene, con la aportación de un esfuerzo físico esencialmente. Los que realizan funciones concretas, que no constituyen labor calificada de oficio, o que, bajo la inmediata dependencia de otra persona, colabora en funciones propias de éste y bajo su responsabilidad, los encargados de realizar tareas para cuya ejecución se requiere únicamente la aportación de esfuerzo y atención, sin la exigencia de práctica operatoria alguna.
Nivel II
Trabajadores/as que realizan funciones concretas y determinadas propias de las empresas de limpieza, que sin haber alcanzado la plenitud de conocimientos exigen, sin embargo, cierta práctica y especialización, así como en atención en trabajos que impliquen peligrosidad o riesgo.
Trabajadores/as que estando en posesión de carnet de conducir correspondiente a la clase de vehículo de que se trate, realiza indistintamente las tareas propias del personal de limpieza y las correspondientes a un conductor/a utilizando el vehículo que ponga a su disposición la empresa para desplazarse con mayor rapidez a los diversos lugares o centros de trabajo o para cualquiera otras tareas que le sean ordenadas por la empresa, tales como reparto, distribución de personal o materiales o transporte en general.
Nivel III
Trabajadores/as que con plenitud de conocimientos teórico-prácticos, y de facultades, domina en su conjunto el manejo y funcionamiento de los útiles y máquinas industriales (no electrodomésticos) propios y adecuados para la limpieza en general y aplicar racionalmente y para cada caso los tratamientos adecuados, con iniciativa, rendimiento, responsabilidad, habilidad y eficacia que requiere el uso de materiales, equipos, productos, útiles o máquinas, atendiendo en todo caso a la vigilancia y mantenimiento de las máquinas, útiles o vehículos necesarios para el desempeño de su misión.
Artículo 46.º
Sin perjuicio de la adscripción de una persona a uno u otro grupo profesional, así como dentro de cada uno de ellos, a los distintos niveles funcionales, cada trabajador tendrá derecho a ser retribuido conforme a las funciones que efectivamente realice de acuerdo con los niveles funcionales establecidos en el artículo 45.
A través de la negociación colectiva sectorial se establecerá la retribución específica de cada uno de los niveles funcionales integrantes de cada grupo profesional.
Artículo 47.º
Se podrá contratar a la misma persona para efectuar funciones pertenecientes a los distintos niveles funcionales del Grupo IV, que se desarrollan en el artículo 45. En este supuesto se expresará en el contrato laboral el porcentaje de la jornada destinada a cada uno de los distintos niveles funcionales, con el fin de garantizar la retribución correspondiente al puesto.
Si en el momento de la contratación no se pudiera establecer el porcentaje de jornada de cada uno de los niveles a los que el trabajador va a dedicar su jornada, en el contrato laboral se expresará en qué nivel funcional va a estar encuadrado, y se pactará que cuando, ocasionalmente, se le destinara a realizar las funciones de otro de los niveles descritos, se notificará por escrito con expresión del tiempo que va a dedicar a la realización de estas funciones, para acomodar su retribución a las efectivamente realizadas.
En los contratos vigentes se podrá pactar entre empresa y trabajador la modificación de su contrato laboral, de manera que les permita realizar las funciones de los distintos niveles acordados en el grupo profesional IV, y en las mismas condiciones establecidas en los párrafos anteriores. De dicha modificación se informará por escrito a la representación legal de los trabajadores.
Los trabajadores que realicen funciones de los distintos niveles funcionales deberán contar con formación suficiente tanto en materia de prevención de riesgos laborales como de las operaciones a realizar. La formación que imparta la empresa a estos efectos se computará como tiempo de trabajo efectivo.
Cuando una persona haya realizado durante más de dos años las labores correspondientes a más de un nivel funcional consolidará la retribución que viniera percibiendo por las mismas y en la misma proporción que se viniera retribuyendo.
Artículo 48.º Plantillas.
1. El número de trabajadores con contrato indefinido por centro, será coincidente con el requerido para cada centro sanitario por el Servicio Aragonés de la Salud en cada momento.
2. Para determinar dicha cifra se acudirá al número de efectivos por centro que establezcan los pliegos de prescripciones técnicas del concurso vigente en cada momento para cada centro.
3. En caso de que dichos pliegos establezcan un número de horas exigibles en cómputo anual por Centro, se hallará el número de efectivos dividiendo el número de horas exigibles en cómputo anual entre la jornada anual establecida en el Convenio Colectivo. El resultante, se dividirá entre 12 meses, y se multiplicará por el número de meses de trabajo efectivo.
4. Garantía de estabilidad en el empleo: En el caso de que en los pliegos de condiciones establezcan un número de trabajadores indefinido por centro, inferior a la plantilla existente, las empresas no realizarán ningún despido de los artículos 51 y 52.c del Estatuto de los Trabajadores por esta causa, procediéndose a reducir paulatinamente en el tiempo ese número de excedentes mediante amortizaciones de puestos de trabajo de carácter natural (jubilaciones, bajas voluntarias, incapacidades, etc.).
Artículo 49.º Fijeza en el puesto de trabajo.
El personal afectado por el presente convenio sólo podrá ser objeto de traslado a otro centro de trabajo en caso de urgencia, previa consulta al trabajador y a los representantes del personal del centro en el que habitualmente preste sus servicios garantizándosele, en cualquier caso, los beneficios salariales o no salariales del presente convenio, y reintegrándosele a su habitual puesto de trabajo una vez desaparecida la causa que motivó dicho traslado.
Todo trabajador contratado, directa o indirectamente, que realice tareas incluidas en cualquiera de las categorías recogidas en el convenio, tendrán las mismas condiciones laborales y salariales que disfruta el resto del personal del sector.
Se considerarán centros de trabajo diferentes entre sí, todos los centros sanitarios de la comunidad autónoma, que el SALUD determine. A la fecha de la firma son:
En la provincia de Huesca:
* Sector de Huesca, integrada por el Hospital General San Jorge, Hospital Sagrado Corazón de Jesús, Centro de Rehabilitación Psicosocial Santo Cristo de los Milagros, Hospital de Jaca y las áreas de salud correspondientes al Sector, que incluyen centros de especialidades y centros de salud.
* Sector de Barbastro, integrada por el Hospital de Barbastro, Centro Sanitario Bajo Cinca/ Baix Cinca. Fraga. Salud, Centro Sociosanitario de Fraga y las áreas de salud correspondientes al Sector, que incluyen centros de especialidades y centros de salud.
En la provincia de Teruel:
* Sector de Teruel, integrada por el Hospital Obispo Polanco, Hospital San José, Centro de Rehabilitación Psicosocial San Juan de Dios y las áreas de salud correspondientes al Sector, que incluyen centros de especialidades y centros de salud, así como el Edificio de Gerencia.
* Sector de Alcañiz, integrada por el Hospital de Alcañiz y las áreas de salud correspondientes al Sector, que incluyen centros de especialidades y centros de salud.
En la provincia de Zaragoza:
* Sector de Zaragoza I, integrada por el Hospital Royo Villanova, Hospital Nuestra Señora de Gracia y las áreas de salud correspondientes al Sector, que incluyen centros de especialidades y centros de salud, el Almacén y el Edificio de Gerencia.
* Sector de Zaragoza II, integrada por el Hospital Universitario Miguel Servet y las áreas de salud correspondientes al Sector, que incluyen centros de especialidades y centros de salud y el Almacén.
* Sector de Zaragoza III, integrada por el Hospital Clínico Universitario Lozano Blesa, CME Inocencio Jiménez, Centro de Día Romareda, Centro Sanitario Cinco Villas. Ejea. Salud, Centro Sanitario Moncayo. Tarazona. Salud, Centro de Rehabilitación Psicosocial Nuestra Señora del Pilar, y las áreas de salud correspondientes al Sector, que incluyen centros de especialidades y centros de salud.
* Sector de Calatayud, integrada por el Hospital Ernest Lluch Martín y las áreas de salud correspondientes al Sector, que incluyen centros de especialidades y centros de salud.
* Banco de Sangre y Tejidos de Aragón.
* Gerencia y Emergencias del 061 de la Comunidad Autónoma de Aragón.
De igual forma los centros de salud de atención primaria se englobarán dentro de las áreas de salud que el Servicio Aragonés de la Salud determine en cada momento.
Hospital Miguel Servet: Tendrá los centros de trabajo que el SALUD determine en el pliego de condiciones.
Independientemente del número de centros de trabajo que se determine por el SALUD no existirá movilidad de trabajadores entre los edificios que conforman el Miguel Servet, con las excepciones siguientes:
Adscripción voluntaria
Personal que preste sus servicios en el turno de noche
«Calendario de Servicios comunes» (Recogida y Retirada de Residuos, Retirada y Reparto de Ropa, Tratamientos especializados, Limpieza de cristales, y cualquier otro servicio común de nueva asignación, a las personas que realicen las funciones anteriormente descritas).
Artículo 50.º Turnos.
a) Antes de cubrirse una plaza vacante en cualquiera de los turnos establecidos, se dará un plazo de siete días para que aquellas personas que voluntariamente lo deseen puedan solicitar su adscripción a los mismos, siempre que se trate de personas de la misma categoría profesional. El orden para acceder a dichas coberturas se establecerá, en caso de existir un número mayor de solicitantes que de vacantes, por antigüedad en la Empresa en la primera solicitud. Los cambios de turno por vacantes deberán resolverse en un plazo máximo de 15 días.
b) Si un trabajador hubiese llevado a cabo ya un cambio de turno en estas circunstancias y pretendiese volver a realizarlo nuevamente, sólo le será reconocido, a efectos del ejercicio de esta opción, el tiempo que medie entre el cambio anterior y el nuevo al que opta.
c) Los trabajadores que quieran permutarse entre sí sus turnos y días de trabajo ya sean estos festivos o no, de manera esporádica (nunca permanente), deberán notificarlo por escrito a los encargados del personal con una antelación mínima de 24 horas, sin que esta modificación suponga en ningún caso derecho a la percepción de cantidad alguna en concepto de turnicidad.
d) Para la modificación o establecimiento de turnos con carácter general será necesaria la negociación previa con la representación legal de los trabajadores a tenor de lo establecido en el artículo 41 del Estatuto de los Trabajadores.
Artículo 51.º Organización del trabajo.
Se establecerán reuniones mensuales entre representantes de las empresas y comités o delegadas/os de personal, con objeto de supervisar los métodos de trabajo, de mejorar el nivel de limpieza de los centros, así como de estudiar y ordenar las variaciones de los niveles de actividad del personal. De las reuniones celebradas se levantará la correspondiente Acta.
Artículo 52.º Procedimiento de contratación.
El ingreso al trabajo podrá realizarse de conformidad con cualquiera de las modalidades de contratación reguladas en el estatuto de los trabajadores y en sus disposiciones complementarias.
Artículo 53.º Bolsa de trabajo para la contratación.
De acuerdo con la equiparación al personal estatutario del Servicio Aragonés de la Salud, en el término de tres meses de la firma del convenio se creará una bolsa de empleo por cada centro de trabajo o áreas de salud, para la realización de contrataciones temporales.
Esta bolsa estará ordenada por el tiempo de trabajo prestado en el mismo centro.
En la gestión de estas bolsas participarán, los representantes de los trabajadores/as y los sindicatos firmantes del convenio.
La bolsa se abrirá una vez al año durante 15 días.
Para entrar en la bolsa se requiere un mínimo de 6 meses de experiencia en limpieza de centros sanitarios.
En aplicación de los acuerdos o pactos suscritos, para la estabilidad y fomento del empleo, por los sindicatos representativos, asociación empresarial y Administración, vigentes en cada momento tanto en el ámbito estatal como en la Comunidad Autónoma de Aragón, la empresa podrá omitir el criterio de ordenación de la bolsa de acuerdo con los representantes del personal.
Artículo 54.º Atraso de convenio para el personal temporal.
Los trabajadores que, a lo largo del año, hayan prestado servicio bajo cualquiera de las modalidades de contratación en vigor, recibirán en los 30 días siguientes a la revisión de las tablas salariales firmadas por la Comisión Paritaria, notificación escrita por parte del empresario sobre la cuantía de los atrasos a que tuvieran derecho, o por el contrario al ajuste económico en el caso de bajada salarial.
Las liquidaciones efectuadas al personal contratado por finalización de contrato podrán ser supervisadas a petición del trabajador, por los delegados de personal o miembros del comité de empresa.
En el primer trimestre del año las empresas dotarán al personal fijo de dos tarjetas de identificación, una para el uniforme y otra de bolsillo. Los trabajadores, al término de su relación contractual con la empresa deberán entregar ambas tarjetas para el cobro del finiquito. La tarjeta del uniforme será de uso obligatorio.
Capítulo VII Salud laboral
Artículo 55.º Principios generales.
Es compromiso de las partes, en cumplimiento de lo previsto en la Ley 31/1995, de 8 de noviembre, de Prevención de Riesgos Laborales, y demás normativa de desarrollo aplicable, fomentar cuantas medidas sean necesarias para establecer un adecuado nivel de protección de la salud de los/as trabajadores/as frente a los riesgos derivados de las condiciones de trabajo, y ello, en el marco de una política coherente, coordinada y eficaz para prevenir aquéllos.
Todo ello presupone un derecho de protección de los trabajadores frente a los riesgos del trabajo y el correlativo deber del empresario de dar una protección eficaz de los/as trabajadores/as frente a dichos riesgos. Esta protección se concreta, en el ámbito de la empresa, en una serie de derechos de información, formación, vigilancia de la salud, consulta y participación de los/as trabajadores/as, entre otros.
A los anteriores efectos, deben destacarse una serie de medidas de protección básicas:
1. Evaluación de riesgos: La acción preventiva en la empresa se planificará por el empresario a partir de la preceptiva evaluación inicial de riesgos que se realizará con carácter específico, teniendo en cuenta la naturaleza de la actividad y los posibles riesgos especiales.
A tal fin, las empresas, a partir de la información obtenida sobre organización, características y complejidad de trabajo, las materias o sustancias utilizadas, los equipos de protección existentes en la empresa y sobre el estado de salud de los trabajadores, procederán a determinar los elementos peligrosos y a identificar a los trabajadores expuestos a riesgos, evaluando aquellos riesgos que no puedan eliminarse, controlarse o reducirse. Para dicha evaluación, la empresa debe tener en cuenta la información recibida de los propios trabajadores afectados o sus representantes, así como la normativa específica, si la hubiere.
La evaluación y sus resultados deben documentarse, especialmente, respecto de cada puesto de trabajo cuya evaluación ponga de manifiesto la necesidad de tomar alguna medida preventiva. Dicha documentación deberá facilitarse a los representantes de los trabajadores y órganos de prevención existentes en la empresa.
2. Planificación preventiva: A partir de los resultados de la evaluación el empresario realizará la correspondiente planificación preventiva o adoptará las medidas correctoras necesarias para garantizar el mayor nivel de protección de la seguridad y salud de los/as trabajadores/as, todo ello, junto con la representación de aquellos y los órganos de prevención de la empresa.
3. Información y formación: La empresa queda obligada a facilitar al personal, antes de que comience a desempeñar cualquier puesto de trabajo, la formación e información acerca de los riesgos y peligros que en él puedan afectarle y sobre la forma, métodos y procesos que deben observarse para prevenirlos o evitarlos. Se informará, asimismo, a los delegados de prevención o, en su defecto, a los representantes legales de los trabajadores.
Información: A la firma del presente convenio, las empresas estarán obligadas a informar periódicamente, a todo el personal adscrito a este convenio, con relación a las funciones propias del servicio de limpieza, haciendo especial énfasis en lo relacionado con las conclusiones obtenidas de la evaluación de riesgos laborales y el consiguiente plan de prevención de aquellos riesgos.
Los acuerdos alcanzados entre empresa y delegados/as de prevención o comités de seguridad y salud, se publicarán en los tablones de anuncios. Asimismo, dichas representaciones, conjuntamente y de forma consensuada, pueden tratar de la conveniencia de celebrar alguna asamblea informativa para el personal de la empresa en los supuestos que estimen necesarios.
Formación: La empresa garantizará la formación teórica y práctica para los/as trabajadores/as afectados en los temas relacionados con el servicio de limpieza y acordes con los trabajos a realizar y los factores específicos de riesgos del mismo, en base a la evaluación de riesgos.
En el cumplimiento del deber legal de prevención, la formación habrá de impartirse, siempre que sea posible, dentro de la jornada de trabajo o, en su defecto, en otras horas, pero con el descuento de aquella del tiempo invertido en la misma.
Dicha formación se consultará previamente con los delegados de prevención, informando de los estamentos que realicen esta formación.
4. Vigilancia de la salud: El empresario es el responsable de la vigilancia de la salud de los/as trabajadores/as a su servicio en función de los riesgos inherentes al trabajo y, por lo tanto, resulta obligatorio realizar reconocimientos médicos específicos en los términos previstos en la normativa aplicable y protocolos médicos publicados por el Ministerio de Sanidad, Servicios Sociales e Igualdad, así como cualquier otra legislación vigente en los diferentes ámbitos de aplicación, como por ejemplo los relativos a riesgos por exposición a agentes biológicos, manipulación de cargas, etcétera.
Esta vigilancia solo podrá llevarse a cabo cuando el trabajador preste su consentimiento. De este carácter voluntario solo se exceptuarán, previo informe de los representantes de los trabajadores, los supuestos en los que la realización de los reconocimientos sea imprescindible para evaluar los efectos de las condiciones de trabajo sobre la salud de los trabajadores o para verificar si el estado de salud del trabajador puede constituir un riesgo para él mismo, para los demás trabajadores o para otras personas relacionadas con la empresa o, cuando así esté establecido, en una disposición legal en relación con la protección de riesgos específicos y actividades de especial peligrosidad.
Los resultados de esta vigilancia serán comunicados a los trabajadores afectados. Asimismo, el empresario y las personas u órganos con responsabilidades en materia de prevención serán informados de las conclusiones que se derivan de los reconocimientos efectuados en relación con la aptitud del trabajador para el desempeño del puesto de trabajo o con la necesidad de introducir o mejorar las medidas de protección y prevención, a fin de que pueda desarrollar correctamente sus funciones en materia preventiva.
5. Protección de trabajadores especialmente sensibles a determinados riesgos:
El empresario garantizará de manera específica la protección de los trabajadores que, por sus propias características personales o estado biológico conocido, incluidos aquellos que tengan reconocida la situación de discapacidad física, psíquica o sensorial, sean especialmente sensibles a los riesgos derivados del trabajo. A tal fin, deberá tener en cuenta dichos aspectos en las evaluaciones de los riesgos y, en función de estas, adoptará las medidas preventivas y de protección necesarias.
Los trabajadores no serán empleados en aquellos puestos de trabajo en los que, a causa de sus características personales, estado biológico o por su capacidad física, psíquica o sensorial debidamente reconocida y comunicada a la empresa de manera fehaciente, puedan ellos, los demás trabajadores u otras personas relacionadas con la empresa, ponerse en situación de riesgo o, en general, cuando se encuentren, manifiestamente, en estados o situaciones transitorias que no respondan a las exigencias psicofísicas de los respectivos puestos de trabajo.
Igualmente, el empresario deberá tener en cuenta en las evaluaciones los factores de riesgo que puedan incidir en la función de procreación de los trabajadores y trabajadoras, en particular, por la exposición a agentes físicos, químicos y biológicos que puedan ejercer efectos mutagénicos o de toxicidad para la procreación, tanto en los aspectos de la fertilidad como en el desarrollo de la descendencia, con objeto de adoptar las medidas preventivas necesarias.
Artículo 56.º Del medio ambiente.
Las partes firmantes consideran prioritario hacer compatible el progreso económico y social con el respeto al medio ambiente y la conservación de los recursos naturales, con la tutela de la salud de los trabajadores y con la promoción de la calidad de vida, tanto de las generaciones presentes como de las futuras. Por ello la dirección de la empresa mantendrá una actitud activa y favorable a la puesta en marcha de procesos más limpios que eviten la generación de residuos y la contaminación.
Para el logro de los objetivos ambientales antes señalados, la empresa reconoce el derecho de los trabajadores y trabajadoras a ser informados en todas aquellas cuestiones que afecten a la gestión ambiental de la empresa y el deber de la empresa en los términos establecidos en presente convenio.
Con el fin y atendiendo a la integración de los trabajadores y trabajadoras, en tanto que actores necesarios, en la gestión ambiental de la empresa y su necesaria participación, y sin perjuicio de las funciones que corresponden a los delegados de personal y sindicales así como comités de empresa, los delegados de prevención asumirán las funciones y competencias en materia de medio ambiente, sin que en ningún caso su dedicación suponga una merma en sus labores de Delegados de Prevención de Riesgos Laborales.
Artículo 57.º Vigilancia de la salud.
Las empresas facilitarán al personal el acceso a la preceptiva revisión médica anual, que atenderá primordialmente a las enfermedades propias de los centros sanitarios y será apropiada al trabajo que se realiza. Facilitarán asimismo el tiempo necesario para que las trabajadoras que manifiesten su intención de hacerlo puedan someterse a un estudio anual ginecológico preventivo de carácter general.
Los trabajadores que presten servicio habitual en áreas con riesgos específicos, serán dotados por el SALUD de los instrumentos de medición de los mismos que tengan los trabajadores de ese Instituto en las mismas áreas, y se le realizarán, con idéntica periodicidad, los reconocimientos recomendables para la detección de las posibles patologías derivadas de su trabajo en dichas zonas.
En ningún caso se podrán realizar pruebas complementarias o exámenes para detectar drogodependencias o SIDA, sin la autorización expresa del trabajador.
La revisión médica establecida se efectuará entre año y año con un intervalo máximo de 15 meses, entendiéndose, en todo caso, que se realiza dentro del año natural.
Artículo 58.º Protección del embarazo.
Durante el período de gestación y lactancia las trabajadoras tendrán derecho al cambio de puesto, cuando este sea peligroso o perjudicial para la salud de la madre y/o del feto, previa justificación médica. Este cambio del puesto de trabajo no supondrá modificación de su categoría profesional ni merma en sus haberes, excepción hecha de los complementos salariales de puesto de trabajo.
Así mismo tendrán derecho a cambio del turno nocturno al diurno, mientras dure dicha situación.
Capítulo VIII Derechos sindicales
Artículo 59.º Reunión.
Los trabajadores podrán disfrutar del ejercicio de asamblea una vez al mes durante la jornada laboral, con carácter ordinario y otras con carácter extraordinario, previo acuerdo de la empresa respectiva sobre el horario más conveniente. Dichas asambleas tendrán lugar en los respectivos centros de trabajo siempre que medie autorización por parte de la empresa propietaria de dicho centro.
Los Delegados de Personal y miembros de Comité de Empresa, tendrán derecho a ser informados de las condiciones de los contratos y del cumplimiento de los mismos.
Artículo 60.º Crédito sindical.
Se creará una bolsa anual con el crédito total de horas de los miembros del Comité de Empresa, y delegadas/os de cada sindicato.
Podrán también acumularse las horas sindicales de los distintos miembros de Comité y Delegados de Personal en uno o varios de sus componentes, sin rebasar el máximo total que determina la ley, pudiendo quedar relevado de los trabajos sin perjuicio de su remuneración.
Todas las horas de carácter sindical deberán ser preavisadas e igualmente deberá justificarse la inasistencia, todo ello de acuerdo con lo dispuesto en la Ley Orgánica de Libertad Sindical y en el Estatuto de los Trabajadores.
No se computarán cómo horas sindicales aquellas utilizadas en reuniones con la dirección de la empresa cuando sea a petición de la misma.
Artículo 61.º Derecho de información.
a) En caso de sanción grave o muy grave del trabajador, las empresas deberán de informar de ello a los representantes legales de los trabajadores.
b) Las empresas entregarán copia del contrato y condiciones del mismo suscrito con el SALUD a la representación legal de los trabajadores, e igualmente pondrán a su disposición en los tablones de información con carácter mensual una copia de los TC-2 de Seguridad Social.
c) Los Delegados Sindicales tendrán derecho a realizar propaganda de su sindicato dentro del centro de trabajo y fuera de la jornada laboral. Asimismo, tendrán derecho a cobrar las cuotas de los afiliados y la posibilidad de plantear a la empresa el descuento en el recibo salarial de la cuota sindical de aquellos trabajadores que así lo soliciten.
d) Las empresas proveerán al Comité o Delegados de Personal de material de papelería (bolígrafos, folios, sistemas de archivo, etc.), responsabilizándose éstos de su correcto y buen uso. Dicho material será entregado por las empresas dentro de la primera quincena del mes de enero y en la segunda de junio de cada año.
Capítulo IX Régimen disciplinario
Artículo 62.º Tipificación de las faltas.
Tendrán la consideración de falta los incumplimientos de las obligaciones laborales del trabajador/a atribuibles al mismo por su comisión voluntaria o por su conducta negligente. Las faltas se graduarán atendiendo a su voluntariedad, importancia y trascendencia para la actividad normal de la empresa en leves, graves y muy graves. Los trabajadores/as podrán ser sancionados por la dirección de la empresa de acuerdo con la graduación de las faltas y sanciones que se establecen a continuación.
1. Faltas leves. Se considerarán faltas leves las siguientes:
Tres faltas injustificadas de puntualidad por un tiempo superior a cinco minutos cada una, en la asistencia al trabajo dentro de un período de treinta días.
Faltar un día al trabajo, dentro de un período de treinta, sin causa justificada.
El abandono injustificado del puesto de trabajo, sin previo aviso, si el mismo es superior a cinco minutos. Al margen de su duración, si como consecuencia del abandono se originase un perjuicio de consideración a la empresa o fuera causa directa de accidente de los compañeros de trabajo, se considerará falta grave o muy grave a tenor de lo establecido en los apartados siguientes respecto de la infracción de normas de seguridad y salud laboral.
La mera desobediencia a los superiores en cualquier materia que sea propia del servicio.
El incumplimiento de las obligaciones previstas en el artículo 29 de la Ley 31/1995, de 8 de noviembre, de Prevención de Riesgos Laborales, y en las disposiciones del presente convenio sectorial referidas a obligaciones de los trabajadores en materia de seguridad y salud, siempre que su inobservancia no entrañe riesgo grave para sus compañeros/as de trabajo o terceras personas.
El descuido imprudente en la conservación del material de trabajo siempre que no provoque un daño grave a la empresa.
La ausencia de comunicación o de notificación a la empresa de las bajas por enfermedad, partes de confirmación o alta, de la justificación de las faltas al trabajo, de los cambios de domicilio, o de las alteraciones de la unidad familiar a efectos del impuesto. Se considerará que existe tal ausencia cuando dichas comunicaciones no se realicen en el plazo establecido o, de no haberlo, en un plazo razonable que no podrá exceder de diez días. Se exceptúan, los supuestos de imposibilidad imprevista objetivamente demostrable.
La asistencia al trabajo en evidente estado de embriaguez o bajo los efectos de drogas o estupefacientes, que pudiera repercutir en la imagen de la empresa.
Cualquier otro incumplimiento que suponga una infracción leve, en los términos del primer párrafo del presente Artículo, de los deberes laborales del trabajador/a, consignados en el presente convenio y en las normas aplicables.
2. Faltas graves. Se considerarán faltas graves las siguientes:
Más de tres faltas injustificadas de puntualidad en la asistencia al trabajo, superiores a cinco minutos, en un período de treinta días.
Ausencias sin causa justificada, de más de un día y menos de cuatro, durante un período de treinta días.
El abandono injustificado sin previo aviso o autorización, de una duración superior a cinco minutos, del puesto de trabajo cuando como consecuencia de ello se causara un perjuicio de consideración a la empresa o fuera causa directa de accidente de los compañeros/as de trabajo.
La desobediencia grave a los superiores en cualquier materia que sea propia del servicio.
Simular mediante cualquier forma la presencia de otro trabajador/a en la empresa a los efectos del cumplimiento de sus obligaciones laborales.
La asistencia al trabajo en estado de embriaguez o bajo los efectos de drogas o estupefacientes cuando ello repercuta en el cumplimiento de la prestación laboral.
Las riñas o discusiones graves durante el tiempo de trabajo entre compañeros/as siempre que repercutan gravemente en el normal desarrollo de la actividad laboral.
El incumplimiento de las obligaciones previstas en el artículo 29 de la Ley 31/1995, de 8 de noviembre, de Prevención de Riesgos Laborales, y de las disposiciones del presente convenio General referidas a obligaciones de los trabajadores en materia de seguridad y salud, cuando tal incumplimiento origine daños graves para la seguridad y salud de los trabajadores/as.
La reiteración o reincidencia en la comisión de faltas leves en un período de tres meses, habiendo mediado amonestación escrita, excluidas las faltas de puntualidad.
La negligencia, imprudencia o descuido en el trabajo o conservación y cuidado de los materiales y herramientas de la empresa cuando provoquen a la misma un daño grave.
La simulación de enfermedad o accidente, así como la alegación de motivos falsos para la obtención de permisos y licencias.
La utilización de los medios informáticos, telemáticos o tecnológicos puestos a disposición por la empresa de forma contraria a lo dispuesto en los códigos y protocolos de uso de dichos medios tecnológicos establecido en cada empresa.
El descuido imprudente en la conservación del material de trabajo siempre que provoque un daño grave a la empresa.
Cualquier otro incumplimiento que suponga una infracción grave, en los términos del primer párrafo del presente Artículo, de los deberes laborales del trabajador/a, consignados en el presente convenio y en las normas aplicables.
3. Faltas muy graves. Se considerarán faltas muy graves las siguientes:
Más de diez faltas injustificadas de puntualidad en la asistencia al trabajo, superiores a cinco minutos, cometidas en un período de tres meses o de veinte durante seis meses.
La falta de asistencia al trabajo no justificada por más de tres días en un período de treinta días, o de más de seis días en un período de tres meses.
El fraude o el abuso de confianza en las gestiones encomendadas, así como el hurto o robo tanto a la empresa como al resto de compañeros/as de trabajo o a cualquier otra persona dentro del lugar de trabajo o durante el cumplimiento del mismo.
Hacer desaparecer, inutilizar, destrozar o causar desperfectos en los materiales, herramientas, útiles, vehículos, instalaciones, o incluso documentos de la empresa.
El acoso laboral, sea este sexual, por razón de sexo, moral o psicológico.
Hallarse en estado de embriaguez o bajo el efecto del consumo de drogas o estupefacientes de forma reiterada durante el cumplimiento del trabajo con muy grave repercusión en el mismo.
Los malos tratos de palabra u obra a los superiores, compañeros/as o subordinados/as dentro de la jornada o en su lugar de trabajo, así como a terceras personas dentro del tiempo de trabajo, así como el abuso de autoridad.
El incumplimiento de las obligaciones previstas en el artículo 29 de la Ley 31/1995, de 8 de noviembre, de Prevención de Riesgos Laborales, y en las disposiciones del presente convenio referidas a obligaciones de los trabajadores en materia de seguridad y salud, siempre que de tal incumplimiento se derive un riesgo grave e inminente para la seguridad y salud
La reiteración o reincidencia en la comisión de faltas graves en un período de seis meses siempre que hayan sido objeto de sanción por escrito.
La utilización de los medios informáticos, telemáticos o tecnológicos puestos a disposición por la empresa de forma contraria a lo dispuesto en los códigos y protocolos de uso de dichos medios tecnológicos establecido en cada empresa, cuando de ello se derive un perjuicio grave para la empresa.
Cualquier otro incumplimiento que suponga una infracción muy grave, en los términos del primer párrafo del presente Artículo, de los deberes laborales del trabajador/a, consignados en el presente convenio y en las normas aplicables.
Artículo 63.º Sanciones.
Las sanciones que podrán imponerse a los trabajadores/as por la comisión de las faltas mencionadas serán las siguientes:
Por faltas leves:
Amonestación escrita.
Suspensión de empleo y sueldo hasta un máximo de dos días.
Por faltas graves:
Suspensión de empleo y sueldo de tres a quince días.
Por faltas muy graves:
Suspensión de empleo y sueldo de dieciséis a sesenta días.
Despido.
En ningún caso se aplicarán las sanciones en su grado mínimo en los casos de acoso sexual, moral o psicológico cuando se produzcan con prevalimiento de la superior posición laboral jerárquica del agresor o acosador.
Artículo 64.º Procedimiento sancionador.
En las faltas muy graves la empresa dará traslado a los representantes legales de los trabajadores/as de una copia de la carta de sanción entregada al trabajador/a, dentro de los dos días hábiles siguientes al de la comunicación al interesado/a.
En el caso de sanciones graves y muy graves impuestas a los/las representantes legales de los trabajadores/as o a los delegados/as sindicales será necesaria la previa audiencia de los restantes integrantes de la representación a que el trabajador perteneciera, del mismo modo cuando se trate de trabajadores/as afiliados/as a un sindicato será preceptiva la audiencia previa a los/las delegados/as sindicales, si los hubiere. El incumplimiento de este requisito provocará la nulidad de la sanción.
En el caso de faltas leves se dará comunicación a los representantes legales de los trabajadores dentro de los 7 días siguientes a la imposición de la sanción.
En cualquier momento, bien por resultar necesario para el mejor conocimiento de los hechos, naturaleza o alcance de los mismos, o bien para evitar eventuales daños, se podrá aplicar cautelarmente la suspensión de empleo, no de sueldo, de la persona afectada por un plazo máximo de dos meses, quedando a disposición de la empresa durante el tiempo de suspensión, o bien adoptar cualquier otra medida organizativa de carácter temporal hasta la finalización del procedimiento sancionador.
En todo caso durante este periodo de dos meses, no podrá ser trasladado a un centro de trabajo que diste más de 30 km. del de origen, manteniéndole todas las condiciones de trabajo del centro donde venía prestando sus servicios.
Artículo 65.º Prescripción.
Las faltas leves prescribirán a los diez días, las faltas graves a los veinte días y las muy graves a los sesenta días a partir de la fecha en que la empresa tuvo conocimiento de su comisión y, en todo caso, a los seis meses de haberse cometido.
Cuando se abra cualquier tipo de expedientes informativos para la averiguación de hechos que pudieran suponer la comisión de una infracción de carácter laboral, la prescripción quedará interrumpida.
Capítulo X Carrera profesional
Artículo 66.º Carrera profesional.
Se reconoce el derecho de equiparación del sistema de desarrollo profesional, con el mismo reconocimiento de niveles y efectos económicos aplicados al personal estatutario del Grupo E o categoría equivalente del SALUD en sus respectivos tramos de implantación y desarrollo en cada momento; y siempre que el SALUD lo abone a su personal estatutario del Grupo E o categoría equivalente.
Para el acceso a cada uno de los niveles de carrera profesional, se deberán de reunir los mismos requisitos que establezca el SALUD para el personal estatutario del Grupo E o categoría equivalente.
De conformidad con la equiparación en materia de carrera profesional, en el caso de las Comisiones Evaluadoras, serán compuestas por 6 miembros, 4 personas designadas por la empresa (una de las cuales actuará como presidente), y 2 personas designadas por la representación legal de los trabajadores.
En relación con la carrera profesional, siempre y cuando el SALUD lo aplique, deberá de remitirse a la normativa que establezca el SALUD en cada momento. A la fecha de la firma del presente convenio, se regula en la Resolución de 8 de julio de 2020, o la que en cada momento rija para el personal estatutario del SALUD, y demás normativa concordante.
Capítulo XI Igualdad de trato y no discriminación/violencia de género
Artículo 67. Igualdad de trato y no discriminación.
Las partes firmantes del presente Convenio Colectivo adoptan los siguientes principios generales en orden a la no discriminación e igualdad de trato de todos los trabajadores/trabajadoras. Estos principios generales son:
1. A la preferencia para el ingreso del género menos representado sin que ello se haga en detrimento de los méritos e idoneidad de otros trabajadores.
2. A la fijación de criterios que favorezcan la contratación, formación y promoción del género menos representado en el grupo profesional de que se trate.
3. A La fijación de criterios de conversión de contratos temporales a fijos que favorezcan al género menos representado, en igualdad de condiciones y méritos, se encuentren afectadas en mayor medida que los hombres por el nivel de temporalidad.
4. Al estudio y, en su caso, el establecimiento de sistemas de selección, clasificación, promoción y formación, sobre la base de criterios técnicos, objetivos y neutros por razón de género.
5. Al establecimiento de cuotas en términos de porcentajes de mujeres y hombres para lograr una distribución más equilibrada en los puestos de responsabilidad.
6. A recoger que las ausencias debidas a la maternidad no perjudiquen a las trabajadoras a la hora de percibir determinados pluses (permanencia, asistencia, etc.) y algunos complementos salariales que pueden ser fuente de discriminación (disponibilidad, antigüedad, etc.).
7. A la inclusión de un módulo de igualdad en el plan de formación anual de la empresa.
8. A determinar unos objetivos generales de igualdad a alcanzar e la empresa, las materias, las fases, los plazos y la estructura básica del plan.
9. A incorporar en los planes de igualdad los contenidos mínimos que introduce el proyecto de ley referidos al acceso al empleo y la no segregación ocupacional, la promoción, la formación, la igualdad retributiva, la conciliación de la vida personal, familiar y laboral y la formación específica en materia de igualdad entre trabajadores.
10. Las empresas deberán promover condiciones de trabajo que eviten el acoso sexual y el acoso por razón de sexo y arbitrar procedimientos específicos para su prevención y para dar cauce a las denuncias o reclamaciones que puedan formular quienes hayan sido objeto del mismo.
Artículo 68.º Violencia de género.
1. Reducción de su jornada de trabajo.
El trabajador/a víctima de violencia de género para hacer efectiva su protección o su derecho a la asistencia social integral, tendrá derecho a una reducción de su jornada de trabajo con reducción proporcional de sus retribuciones.
2. Cambio de puesto de trabajo.
El trabajador/a víctima de violencia de género, por así determinarlo el órgano judicial correspondiente, podrá, atendiendo a su situación particular, solicitar cambio de puesto de trabajo en distinta localidad o en la misma, en un centro sanitario o centro de salud siempre que la empresa en concreto gestione algún otro. El puesto de trabajo al que opte tendrá carácter provisional, pudiendo el trabajador volver al puesto de origen reservado o bien ejercer el derecho preferente hacia su puesto provisional.
3. Excedencia.
El trabajador/a víctima de violencia de género, para hacer efectiva su protección o su derecho a la asistencia social integral, tendrán derecho a solicitar la situación de excedencia sin necesidad de haber prestado un tiempo mínimo de servicios previos y sin que resulte de aplicación ningún plazo de permanencia en la misma. Durante los seis primeros meses tendrá derecho a la reserva del puesto de trabajo que desempeñaba, siendo computable dicho periodo a efectos de trienios, complemento de desarrollo profesional o el correspondiente a carrera profesional fijado en su ámbito sectorial respectivo y a efectos de acreditar el periodo de desempeño para acceder a otros puestos de trabajo que podrán prorrogarse por periodos de tres meses, con un máximo de dieciocho.
CLÁUSULA FINAL.
I. En lo no pactado en el presente convenio, se estará a lo dispuesto en el Convenio Colectivo Estatal de Limpieza de Edificios y Locales, en el texto refundido del Estatuto de los Trabajadores, normativa del SALUD y demás normas concordantes.
II. Descuelgue: Se comunicará a la Comisión Paritaria el sometimiento de la inaplicación del convenio, ante la falta de acuerdo entre la empresa y los representantes de los trabajadores en el período de consultas, según lo previsto en el artículo 82.3 del Estatuto de los Trabajadores.
Se presentará a la Comisión Paritaria la información y documentación necesaria, siendo al menos la materia: de inaplicación salarial (artículo 82.3 del Estatuto de los Trabajadores), o la modificación sustancial de las condiciones establecidas en el presente convenio (artículo 41.6, en relación con el 82.3 del Estatuto de los Trabajadores), el período de inaplicación, los trabajadores afectados, así como el acta de desacuerdo y las actas del período de consultas, la documentación relativa a la concurrencia de las causas económicas, técnicas, organizativas o de producción.
La Comisión, una vez examinado los documentos aportados, deberá pronunciarse sobre si en la empresa solicitante concurren o no alguna/s de las causas de inaplicación previstas en el artículo anterior. Si la comisión paritaria lo considera necesario, recabará la documentación complementaria que estime oportuna.
La Comisión Paritaria del convenio dispondrá de un plazo máximo de siete días para resolver la inaplicación solicitada, debiendo adoptarse los acuerdos por unanimidad. La comisión deberá determinar con exactitud las materias afectadas por la inaplicación, así como determinar y concretar tanto sus términos como el calendario de la progresiva convergencia hacia el retorno de las condiciones suspendidas.
Cuando esta no alcanzara un acuerdo, las partes podrán recurrir al Servicio Aragonés de Mediación y Arbitraje para solventar de manera efectiva las discrepancias surgidas en la inaplicación del convenio, así como los posteriores procedimientos de solución de conflictos que prevé el artículo 82.3 del Estatuto de los Trabajadores.
TABLAS SALARIALES.
REVISIÓN SALARIAL (BOA Núm. 95 – 19/05/2022)
RESOLUCIÓN de 6 de mayo de 2022, de la Directora General de Trabajo, Autónomos y Economía Social, por la que se acuerda el depósito y publicación del acta de actualización de las tablas salariales para 2022 del Convenio Colectivo de trabajo del Sector de Limpieza de centros sanitarios dependientes del Servicio Aragonés de Salud.
Vista el acta de la comisión paritaria del Convenio Colectivo del Sector de Limpieza de centros sanitarios dependientes del Servicio Aragonés de Salud (código de convenio 2000235012004), suscrita el día 19 de abril de 2022, de una parte, por la organización empresarial ASPEL y, de otra, por las organizaciones sindicales CCOO, UGT y OSTA, que contiene el acuerdo relativo a la actualización de las tablas salariales desde el 1 de enero de 2022, en aplicación de lo establecido en el artículo 10, en relación con el 6, del Convenio Colectivo del sector, recibida en esta Dirección General el día 21 de abril de 2022 y subsanada el 5 de mayo de 2022, de conformidad con lo dispuesto en los artículos 90.2 y 90.3 del texto refundido de la Ley del Estatuto de los Trabajadores, aprobado por Real Decreto Legislativo 2/2015, de 23 de octubre, y en el artículo 2.1 del Real Decreto 713/2010, de 28 de mayo, sobre registro y depósito de convenios, acuerdos colectivos de trabajo y planes de igualdad, en relación con el artículo 5.2 del Decreto 171/2010, de 21 de septiembre, del Gobierno de Aragón, por el que se regula el depósito y registro de convenios y acuerdos colectivos de trabajo de la Comunidad Autónoma de Aragón, acuerdo:
Primero.- Ordenar la inscripción del acta citada en el Registro de convenios, acuerdos colectivos de trabajo y planes de igualdad, adscrito a la Dirección General de Trabajo, Autónomos y Economía Social, con notificación a la comisión paritaria.
Segundo.- Disponer su publicación en el «Boletín Oficial de Aragón».
Zaragoza, 6 de mayo de 2022.
La Directora General de Trabajo,
Autónomos y Economía Social,
MARÍA SOLEDAD DE LA PUENTE SÁNCHEZ.
ACTA DE ACTUALIZACIÓN DE LAS RETRIBUCIONES DE 2022 DEL CONVENIO COLECTIVO DE LIMPIEZA DE CENTROS SANITARIOS DEL SALUD EN LA COMUNIDAD AUTÓNOMA DE ARAGÓN.
En Zaragoza, en los locales de la Unión General de Trabajadores de Aragón en Zaragoza, sitos en C/ Costa,1, siendo las 17:00 horas del martes 19 de abril de 2022, se reúnen las organizaciones firmantes, empresariales y sindicales, del referido Convenio Colectivo al objeto de actualizar las tablas salariales del Convenio Colectivo de 2022 en virtud de lo prevenido en los artículos 6 y 10 del texto convencional, y toda vez constatado el aumento del 2% en las retribuciones de los empleados públicos al servicio de la Diputación General de Aragón.
En consecuencia, las tablas salariales que rigen en el actual Convenio Colectivo son, con efectos 1 de enero de 2022, las que se incluyen en la presente acta. La comisión paritaria del Convenio Colectivo en el presente acto mandata a Esteban Lauroba de Górriz para que realice los trámites necesarios de depósito y registro de la presente acta, junto con las tablas salariales que contienen, a efectos de publicidad de la misma y ante la autoridad laboral de la Comunidad Autónoma de Aragón.
Se da por concluido el acto siendo las 18:00 horas el día arriba indicado.
Por la Asociación Empresarial de Empresas de Limpieza (ASPEL):
Álvaro Fernández González.
Ana María Colomer de la Torre.
Por la Federación de Servicios, Movilidad y Consumo de UGT-Aragón:
Ana María Gracia Roy.
José Luis García Sancho.
Fátima Zamarreño Ascaso.
María Pilar Gavín González.
Olga Yebra Gargallo.
Carlos Monterde Benedé.
Elena Braulio Ruíz.
Asesores:
Ana María Urbano Rodríguez.
Esteban Lauroba de Górriz.
Por CCOO del Hábitat de Aragón:
Yolanda Martín Vela.
Ana María Seral Gil.
M.ª del Coro Sin Martínez.
Eva M.ª Vallejo Bernal.
Asesores:
Mariano Álvarez Pina.
Fernando Baraza Romeo.
Bienvenida Casabona Ejea.
Por la Federación de Servicios y Afines de OSTA:
Ana Isabel Salvador Beltrán.
Luisa Bautista Sánchez.
Asesor:
Alberto Navarro Bayo.
REVISIÓN SALARIAL (BOA Núm. 48 – 10/03/2023)
RESOLUCIÓN de 23 de febrero de 2023, de la Directora General de Trabajo, Autónomos y Economía Social, por la que se acuerda el depósito y publicación del acta de actualización de las tablas salariales para 2022 del Convenio Colectivo de trabajo del Sector de Limpieza de centros sanitarios dependientes del Servicio Aragonés de Salud.
Vista el acta de la comisión paritaria del Convenio Colectivo del Sector de Limpieza de centros sanitarios dependientes del Servicio Aragonés de Salud (código de convenio 2000235012004), suscrita el día 20 de febrero de 2023, de una parte, por la organización empresarial ASPEL y, de otra, por las organizaciones sindicales CCOO, UGT y OSTA, que contiene el acuerdo relativo a la actualización de las tablas salariales de 2022, con efectos económicos desde el 1 de enero de dicho año, en aplicación de lo establecido en el artículo 10, en relación con el 6, del Convenio Colectivo del sector, recibida en esta Dirección General el día 20 de febrero de 2023, de conformidad con lo dispuesto en los artículos 90.2 y 90.3 del texto refundido de la Ley del Estatuto de los Trabajadores, aprobado por Real Decreto Legislativo 2/2015, de 23 de octubre, y en el artículo 2.1 del Real Decreto 713/2010, de 28 de mayo, sobre registro y depósito de convenios, acuerdos colectivos de trabajo y planes de igualdad, en relación con el artículo 5.2 del Decreto 171/2010, de 21 de septiembre, del Gobierno de Aragón, por el que se regula el depósito y registro de convenios y acuerdos colectivos de trabajo de la Comunidad Autónoma de Aragón, acuerdo:
Primero.- Ordenar la inscripción del acta citada en el registro de convenios, acuerdos colectivos de trabajo y planes de igualdad, adscrito a la Dirección General de Trabajo, Autónomos y Economía Social, con notificación a la comisión paritaria.
Segundo.- Disponer su publicación en el «Boletín Oficial de Aragón».
Zaragoza, 23 de febrero de 2023.
La Directora General de Trabajo,
Autónomos y Economía Social,
MARÍA SOLEDAD DE LA PUENTE SÁNCHEZ
ACTA DE LA COMISIÓN PARITARIA DEL CONVENIO COLECTIVO DE LIMPIEZA DE CENTROS SANITARIOS DEPENDIENTES DEL SERVICIO ARAGONÉS DE LA SALUD DE LA COMUNIDAD AUTÓNOMA DE ARAGÓN
En Zaragoza, y siendo las 11:00 horas del día 20 de febrero de 2023, se reúnen y comparecen en los locales de la Unión General de Trabajadores de Zaragoza los a continuación relacionados, miembros todos ellos de la Comisión Paritaria del Convenio Colectivo de Limpieza de centros sanitarios dependientes del Servicio Aragonés de la Salud de la Comunidad Autónoma de Aragón.
Por la parte empresarial.
Asociación Profesional de Empresas de Limpieza (ASPEL) representada por Sara Ranz Ortego, Meritxell Bachs Salvado, Armando Nevado Lorenzo y Beatriz Nogués Ortiz de Arce.
Por la parte social.
Federación de Servicios, Movilidad y Consumo de UGT-Aragón, representada por Pilar Gavín González y Carlos Monterde Benedé.
CCOO del Hábitat de Aragón, representada por Yolanda Martín Vela.
Federación de Servicios de OSTA, representada por Luisa Bautista Sánchez.
En virtud de lo establecido en el artículo 10, párrafo 2, del texto convencional, es competencia de la comisión paritaria reunirse para proceder a firmar las actualizaciones de salarios de cada año natural.
Para 2022, una vez publicadas las tablas de salarios del personal estatutario empleado por el Gobierno de Aragón, y satisfechas las cantidades correspondientes a ese año en concepto de atrasos, procede actualizar y dar publicidad a las retribuciones para 2022 de las personas trabajadoras a las que se les aplica este Convenio Colectivo, siendo estas producto de incrementar las de 2021 en 3,5 puntos porcentuales.
Una vez calculadas y cotejadas por todas las organizaciones firmantes del Convenio Colectivo, se conviene en evacuar las tablas salariales de 2022, con efectos económicos desde el 1 de enero de dicho año, que se adjuntan a la presente acta.
Y en prueba de conformidad de lo antedicho, firman la presente acta, y las tablas de salarios que lo acompañan, una persona por organización (Sara Ranz Ortego, Carlos Monterde Benedé, Yolanda Martín Vela y Luisa Bautista Sánches), mandatando a Esteban Lauroba de Górriz para que proceda con los trámites de depósito de la documentación en la plataforma REGCON.
REVISIÓN SALARIAL (BOA Núm. 115 – 19/06/2023)
RESOLUCIÓN de 8 de junio de 2023, de la Directora General de Trabajo, Autónomos y Economía Social, por la que se acuerda el depósito y publicación del acta de actualización de las tablas salariales para 2023 del Convenio Colectivo del Sector de Limpieza de Centros Sanitarios Dependientes del Servicio Aragonés de Salud (código de convenio 72000235012004).
Vista el acta de la comisión paritaria del Convenio Colectivo del Sector de Limpieza de Centros Sanitarios Dependientes del Servicio Aragonés de Salud, suscrita el día 1 de junio de 2023, de una parte, por la organización empresarial ASPEL y, de otra, por las organizaciones sindicales UGT, CCOO y OSTA, que contiene el acuerdo relativo a la actualización de las tablas salariales desde el 1 de enero de 2023, en aplicación de lo establecido en el artículo 10 del Convenio Colectivo indicado, publicado en el «Boletín Oficial de Aragón», número 88, de 10 de mayo de 2022 mediante Resolución de 28 de abril de 2022, de la Directora General de Trabajo, Autónomos y Economía Social, recibida en esta Dirección General el día 1 de junio de 2023 y subsanada el 5 de junio de 2023.
De conformidad con lo dispuesto en los artículos 90.2 y 90.3 del texto refundido de la Ley del Estatuto de los Trabajadores, aprobado por Real Decreto Legislativo 2/2015, de 23 de octubre, y en el artículo 2.1 del Real Decreto 713/2010, de 28 de mayo, sobre registro y depósito de convenios, acuerdos colectivos de trabajo y planes de igualdad, en relación con el artículo 5.2 del Decreto 171/2010, de 21 de septiembre, del Gobierno de Aragón, por el que se regula el depósito y registro de convenios y acuerdos colectivos de trabajo de la Comunidad Autónoma de Aragón, acuerdo:
Primero.- Ordenar el depósito del acta citada en el Registro de Convenios, acuerdos colectivos de trabajo y planes de igualdad, adscrito a la Dirección General de Trabajo, Autónomos y Economía Social, con notificación a la comisión paritaria.
Segundo.- Disponer su publicación en el «Boletín Oficial de Aragón».
Zaragoza, 8 de junio de 2023.
La Directora General de Trabajo, Autónomos y Economía Social, MARÍA SOLEDAD DE LA PUENTE SÁNCHEZ.
ACTA DE LA COMISIÓN PARITARIA DEL CONVENIO COLECTIVO DE LIMPIEZA DE CENTROS SANITARIOS DEPENDIENTES DEL SERVICIO ARAGONÉS DE LA SALUD DE LA COMUNIDAD AUTÓNOMA DE ARAGÓN.
En Zaragoza, y siendo las 12:00 horas del día 1 de junio de 2023, se reúnen y comparecen en los locales de la Unión General de Trabajadores de Zaragoza los a continuación relacionados, miembros todos ellos de la Comisión Paritaria del Convenio Colectivo de Limpieza de Centros Sanitarios Dependientes del Servicio Aragonés de la Salud de la Comunidad Autónoma de Aragón.
POR LA PARTE EMPRESARIAL.
ASOCIACION PROFESIONAL DE EMPRESAS DE LIMPIEZA (ASPEL), representada por Sara Ranz Ortego.
POR LA PARTE SOCIAL.
FEDERACION DE SERVICIOS, MOVILIDAD Y CONSUMO DE UGTARAGON, representada por Pilar Gavín González y Carlos Monterde Benedé.
CC.OO DEL HÁBITAT DE ARAGÓN, representada por Yolanda Martín Vela.
POR OSTÁ, representada por Ángeles Sebastián Maluenda.
En virtud de lo establecido en el artículo 10, párrafo 2, del texto convencional, es competencia de la comisión paritaria reunirse para proceder a firmar las actualizaciones de salarios de cada año natural.
Para 2023, una vez publicadas las tablas de salarios del personal estatutario empleado por el Gobierno de Aragón, y satisfechas las cantidades correspondientes a ese año en concepto de atrasos, procede actualizar y dar publicidad a las retribuciones para 2023 de las personas trabajadoras a las que se les aplica este convenio colectivo, siendo estas producto de incrementar las de 2022 en 2,5 puntos porcentuales.
Una vez calculadas y cotejadas por todas las organizaciones firmantes del convenio colectivo, se conviene en evacuar las tablas salariales de 2023, con efectos económicos desde el 1 de enero de dicho año, que se adjuntan a la presente acta.
Y en prueba de conformidad de lo antedicho, firman la presente acta, y las tablas de salarios que lo acompañan, mandatando a Esteban Lauroba de Górriz para que proceda con los trámites de depósito de la documentación en la plataforma REGCON.
En Zaragoza, en el lugar y fecha arriba indicados.
REVISIÓN SALARIAL (BOA Núm. 192 – 04/10/2023)
RESOLUCIÓN de 22 de septiembre de 2023, del Director General de Trabajo, por la que se acuerda el depósito y publicación del acta del Convenio Colectivo de Limpieza de Centros Sanitarios Dependientes del Servicio Aragonés de Salud de la Comunidad Autónoma de Aragón (código de convenio 72000235012004) que contiene el acuerdo relativo a la inclusión en las retribuciones de 2023 de la carrera profesional nivel III y su importe.
Vista el acta de la comisión paritaria del Convenio Colectivo de Limpieza de Centros Sanitarios Dependientes del Servicio Aragonés de Salud de la Comunidad Autónoma de Aragón, suscrita el día 11 de septiembre de 2023, de una parte, por la organización empresarial ASPEL y, de otra, por las organizaciones sindicales UGT, CC.OO y OSTA y recibida en esta Dirección General de Trabajo el día 12 de septiembre de 2023 y subsanada el 21 de septiembre de 2023, se vuelve a dar publicidad a las retribuciones de 2023, ya publicadas en «Boletín Oficial de Aragón», número 115, de 19 de junio de 2023, con la inclusión de la Carrera Profesional nivel III, en aplicación de lo establecido en el artículo 10 del Convenio Colectivo indicado, publicado en el «Boletín Oficial de Aragón», número 88, de 10 de mayo de 2022, mediante Resolución de 28 de abril de 2022, de la Directora General de Trabajo, Autónomos y Economía Social.
De conformidad con lo dispuesto en los artículos 90.2 y 90.3 del texto refundido de la Ley del Estatuto de los Trabajadores, aprobado por Real Decreto Legislativo 2/2015, de 23 de octubre, y en el artículo 2.1 del Real Decreto 713/2010, de 28 de mayo, sobre registro y depósito de convenios, acuerdos colectivos de trabajo y planes de igualdad, en relación con el artículo 5.2 del Decreto 171/2010, de 21 de septiembre, del Gobierno de Aragón, por el que se regula el depósito y registro de convenios y acuerdos colectivos de trabajo de la Comunidad Autónoma de Aragón, acuerdo:
Primero.- Ordenar el depósito del acta citada en el Registro de convenios, acuerdos colectivos de trabajo y planes de igualdad, adscrito a la Dirección General de Trabajo, con notificación a la comisión paritaria.
Segundo.- Disponer su publicación en el «Boletín Oficial de Aragón».
Zaragoza, 22 de septiembre de 2023.
El Director General de Trabajo, JESÚS DIVASSÓN MENDÍVIL.
ACTA DE LA COMISIÓN PARITARIA DEL CONVENIO COLECTIVO DE LIMPIEZA DE CENTROS SANITARIOS DEPENDIENTES DEL SERVICIO ARAGONÉS DE LA SALUD DE LA COMUNIDAD AUTÓNOMA DE ARAGÓN.
En Zaragoza, y siendo las 15:00 horas del día 11 de septiembre de 2023, se reúnen y comparecen en los locales de la Unión General de Trabajadores de Zaragoza los a continuación relacionados, miembros todos ellos de la Comisión Paritaria del Convenio Colectivo de Limpieza de Centros Sanitarios Dependientes del Servicio Aragonés de la Salud de la Comunidad Autónoma de Aragón.
POR LA PARTE EMPRESARIAL.
ASOCIACION PROFESIONAL DE EMPRESAS DE LIMPIEZA (ASPEL) representada por Sara Ranz Ortego.
POR LA PARTE SOCIAL.
FEDERACION DE SERVICIOS, MOVILIDAD Y CONSUMO DE UGTARAGON, representada por Pilar Gavín González y Olga Yebra Gargallo.
CC.OO DEL HÁBITAT DE ARAGÓN, representada por Yolanda Martín Vela.
POR OSTÁ, representada por Ana Isabel Salvador Beltrán.
En virtud de lo establecido en el artículo 10, párrafo 2, del texto convencional, es competencia de la comisión paritaria reunirse para proceder a firmar tanto las actualizaciones de salarios de cada año natural como para trasladar al salario de las personas trabajadoras las variaciones que se constaten en esa materia en el personal estatutario del Servicio Aragonés de la Salud, y ello en virtud de la equiparación en materia salarial que establece el convenio colectivo.
Toda vez que se ha constatado que, por acuerdo entre el Gobierno de Aragón y los sindicatos representativos en la sanidad pública de Aragón, se ha activado para todos los niveles profesionales el nivel III de la Carrera Profesional, y que las personas trabajadoras del Servicio Aragonés de la Salud ya han visto satisfechas esas percepciones salariales en sus nóminas, procede reconocer ese mismo derecho económico en favor de las personas trabajadoras de la limpieza de centros sanitarios del SALUD en la comunidad autónoma de Aragón. Para ello, esta comisión paritaria vuelve a dar publicidad a las retribuciones de 2023 ya publicadas en el BOA de 19 de junio de 2023, con la única inclusión y variación de la inclusión dentro de apartado ‘Carrera profesional’ de la referencia a ese Nivel III y su importe.
Y en prueba de conformidad de lo antedicho, firman la presente acta, y las tablas de salarios que lo acompañan, mandatando a Esteban Lauroba de Górriz para que proceda con los trámites de depósito de la documentación en la plataforma REGCON.
En Zaragoza, en el lugar y fecha arriba indicados.
ASPEL.
FeSMC-UGT ARAGÓN
CCOO DE DEL HÁBITAT DE ARAGÓN.
OSTÁ.
REVISIÓN SALARIAL (BOA Núm. 41 – 27/02/2024)
RESOLUCIÓN de 9 de febrero de 2024, del Director General de Trabajo, por la que se acuerda el depósito y publicación del acta de actualización de las tablas salariales para 2023 del Convenio Colectivo del Sector de Limpieza de centros sanitarios dependientes del Servicio Aragonés de Salud (código de Convenio 72000235012004).
Vista el acta de la comisión paritaria del Convenio Colectivo del Sector de Limpieza de centros sanitarios dependientes del Servicio Aragonés de Salud, suscrita el día 22 de enero de 2024, de una parte, por la organización empresarial ASPEL y, de otra, por las organizaciones sindicales UGT, CCOO y OSTA, que contiene el Acuerdo relativo a la actualización de las tablas salariales desde el 1 de enero de 2023, en aplicación de lo establecido en el artículo 10 del Convenio Colectivo indicado, publicado en el «Boletín Oficial de Aragón», número 88, de 10 de mayo de 2022, mediante Resolución de 28 de abril de 2022, de la Directora General de Trabajo, Autónomos y Economía Social, recibida en esta Dirección General el día 23 de enero de 2024 y subsanada el 8 de febrero de 2024.
De conformidad con lo dispuesto en los artículos 90.2 y 90.3 del texto refundido de la Ley del Estatuto de los Trabajadores, aprobado por Real Decreto Legislativo 2/2015, de 23 de octubre y en el artículo 2.1 del Real Decreto 713/2010, de 28 de mayo, sobre registro y depósito de convenios, acuerdos colectivos de trabajo y planes de igualdad, en relación con el artículo 5.2 del Decreto 171/2010, de 21 de septiembre, del Gobierno de Aragón, por el que se regula el depósito y registro de convenios y acuerdos colectivos de trabajo de la Comunidad Autónoma de Aragón, acuerdo:
Primero.- Ordenar el depósito del acta citada en el registro de convenios, acuerdos colectivos de trabajo y planes de igualdad, adscrito a la Dirección General de Trabajo, con notificación a la comisión paritaria.
Segundo.- Disponer su publicación en el «Boletín Oficial de Aragón».
Zaragoza, 9 de febrero de 2024.
El Director General de Trabajo,
JESÚS DIVASSÓN MENDÍVIL.
ACTA DE LA COMISIÓN PARITARIA DEL CONVENIO COLECTIVO DE LIMPIEZA DE CENTROS SANITARIOS DEPENDIENTES DEL SERVICIO ARAGONÉS DE SALUD DE LA COMUNIDAD AUTÓNOMA DE ARAGÓN.
En Zaragoza, y siendo las 10:30 horas del día 22 de enero de 2024, se reúnen y comparecen en los locales del Servicio Aragonés de Mediación y Arbitraje de Zaragoza los a continuación relacionados, miembros todos ellos de la Comisión Paritaria del Convenio Colectivo de Limpieza de centros sanitarios dependientes del Servicio Aragonés de la Salud de la Comunidad Autónoma de Aragón.
Por la parte empresarial:
Asociación Profesional de Empresas de Limpieza (ASPEL) representada por D.ª Beatriz Nogués Ortiz de Arce y D.ª Laura Nuñez Fauste.
Por la parte social:
Federación de Servicios, Movilidad y Consumo de UGT-Aragón, representada por D.ª Pilar Gavín González y D. Carlos Monterde Benedé.
CCOO del Hábitat de Aragón, representada por D.ª Yolanda Martín Vela.
OSTA, representada por D.ª Ana Isabel Salvador Beltrán.
En virtud de lo establecido en el artículo 10, párrafo 2, del texto convencional, es competencia de la comisión paritaria reunirse para proceder a firmar las actualizaciones de salarios de cada año natural.
Que de forma definitiva, para 2023, una vez publicadas las tablas de salarios del personal estatutario empleado por el Gobierno de Aragón, y satisfechas las cantidades correspondientes en concepto de atrasos, procede actualizar y dar publicidad a las retribuciones definitivas para 2023 de las personas trabajadoras a las que se les aplica este Convenio Colectivo, siendo estas producto de incrementar las publicadas en el «Boletín Oficial de Aragón», número 115, de 19 de junio de 2023, en 0,5 puntos porcentuales con efectos 1 de enero de 2023.
Una vez calculadas y cotejadas por todas las organizaciones firmantes del Convenio Colectivo, se conviene en evacuar las tablas salariales definitivas de 2023, que se adjuntan a la presente acta.
Y en prueba de conformidad de lo antedicho, firman la presente acta, y las tablas de salarios que lo acompañan, mandatando a D. Esteban Lauroba de Górriz para que proceda con los trámites de depósito de la documentación en la plataforma REGCON.
REVISIÓN SALARIAL (BOA Núm. 120 – 21/06/2024)
RESOLUCIÓN de 11 de junio de 2024, del Director General de Trabajo, por la que se acuerda el registro, depósito y publicación del acta de actualización de las tablas salariales para 2023 del Convenio Colectivo del Sector de Limpieza de centros sanitarios dependientes del Servicio Aragonés de Salud (código de Convenio 72000235012004).
Vista el acta de la Comisión Paritaria del Convenio Colectivo del Sector de Limpieza de centros sanitarios dependientes del Servicio Aragonés de Salud, recibida en esta Dirección General el día 14 de mayo de 2024.
Teniendo en cuenta el acuerdo suscrito el día 13 de mayo de 2024, de una parte, por la organización empresarial ASPEL y, de otra, por las organizaciones sindicales UGT, CCOO y OSTA, que contiene el Acuerdo relativo a la actualización de las tablas salariales para el año 2023, en aplicación de lo establecido en el artículo 10 del Convenio Colectivo indicado, publicado en el «Boletín Oficial de Aragón», número 88, de 10 de mayo de 2022, mediante Resolución de 28 de abril de 2022, de la Directora General de Trabajo, Autónomos y Economía Social.
De conformidad con lo dispuesto en los artículos 90.2 y 90.3 del texto refundido de la Ley del Estatuto de los Trabajadores, aprobado por Real Decreto Legislativo 2/2015, de 23 de octubre, y en el artículo 2.1 del Real Decreto 713/2010, de 28 de mayo, sobre registro y depósito de convenios colectivos, acuerdos colectivos de trabajo y planes de igualdad, en relación con el artículo 5.2 del Decreto 171/2010, de 21 de septiembre, del Gobierno de Aragón, por el que se regula el depósito y registro de convenios y acuerdos colectivos de trabajo de la Comunidad Autónoma de Aragón, acuerdo:
Primero.- Ordenar la inscripción y el depósito del acta indicada, en el Registro de convenios, acuerdos colectivos de trabajo y planes de igualdad, adscrito a la Dirección General de Trabajo, con notificación a la Comisión Paritaria.
Segundo.- Disponer su publicación en el «Boletín Oficial de Aragón».
Zaragoza, 11 de junio de 2024.
El Director General de Trabajo, JESÚS DIVASSÓN MENDÍVIL.
ACTA DE LA COMISIÓN PARITARIA DEL CONVENIO COLECTIVO DE LIMPIEZA DE CENTROS SANITARIOS DEPENDIENTES DEL SERVICIO ARAGONÉS DE LA SALUD DE LA COMUNIDAD AUTÓNOMA DE ARAGÓN.
En Zaragoza, y siendo las 13:00 horas del día 13 de mayo de 2024, se reúnen y comparecen en los locales del Servicio Aragonés de Mediación y Arbitraje de Zaragoza los a continuación relacionados, miembros todos ellos de la Comisión Paritaria del Convenio Colectivo de Limpieza de centros sanitarios dependientes del Servicio Aragonés de la Salud de la Comunidad Autónoma de Aragón.
Por la parte empresarial:
Asociación Profesional de Empresas de Limpieza (ASPEL) representada por D. Jorge Tenías Solanas.
Por la parte social:
Federación de Servicios, Movilidad y Consumo de UGT-Aragon, representada por D.ª Pilar Gavín González y D. Carlos Monterde Benedé.
CCOO del hábitat de Aragón, representada por D.ª Yolanda Martín Vela.
OSTA, representada por D.ª Ana Isabel Salvador Beltrán.
En virtud de lo establecido en el artículo 10, párrafo 2, del texto convencional, es competencia de la Comisión Paritaria reunirse para proceder a firmar las actualizaciones de salarios de cada año natural.
Que de forma definitiva, para 2023, una vez publicadas las tablas de salarios del personal estatutario empleado por el Gobierno de Aragón, y satisfechas las cantidades correspondientes en concepto de atrasos, procede actualizar y dar publicidad a las retribuciones definitivas para 2023 de las personas trabajadoras a las que se les aplica este Convenio Colectivo. Esta nueva revisión de salarios de 2023, publicada por la Resolución de 21 de marzo de 2024, de la Directora Gerente del Servicio Aragonés de Salud, por la que se dictan instrucciones complementarias para la elaboración de las nóminas del personal estatutario en el año 2023, trae por causa el hecho de que el PIB nominal ha superado el estimado por el Gobierno de España en el cuadro macroeconómico que acompaña a la elaboración de la Ley de Presupuestos Generales del Estado para el referido año, razón por la cual se aplica un incremento retributivo adicional del 0,50%.
Una vez calculadas y cotejadas por todas las organizaciones firmantes del Convenio Colectivo, se conviene en evacuar las tablas salariales definitivas de 2023, que se adjuntan a la presente acta.
Y en prueba de conformidad de lo antedicho, firman la presente acta, y las tablas de salarios que lo acompañan, mandatando a D. Esteban Lauroba de Górriz para que proceda con los trámites de depósito de la documentación en la plataforma REGCON.
REVISIÓN SALARIAL (BOA Núm. 224 – 18/11/2024)
RESOLUCIÓN de 8 de noviembre de 2024, del Director General de Trabajo, por la que se acuerda el depósito y publicación del acta de actualización de las tablas salariales para 2024 del Convenio Colectivo del Sector de Limpieza de centros sanitarios dependientes del Servicio Aragonés de Salud (código de convenio 72000235012004).
Vista el acta de la Comisión Paritaria del Convenio Colectivo del Sector de Limpieza de centros sanitarios dependientes del Servicio Aragonés de Salud, suscrita el día 29 de octubre de 2024, de una parte, por la organización empresarial ASPEL y, de otra, por las organizaciones sindicales UGT, CCOO y OSTA, que contiene el acuerdo relativo a la actualización de las tablas salariales desde el 1 de enero de 2024, en aplicación de lo establecido en el artículo 10 del Convenio Colectivo indicado, publicado en el «Boletín Oficial de Aragón», número 88, de 10 de mayo de 2022, mediante Resolución de 28 de abril de 2022, de la Directora General de Trabajo, Autónomos y Economía Social, recibida en esta Dirección General el día 29 de octubre de 2024 y subsanada el 6 de noviembre de 2024.
De conformidad con lo dispuesto en los artículos 90.2 y 90.3 del texto refundido de la Ley del Estatuto de los Trabajadores, aprobado por Real Decreto Legislativo 2/2015, de 23 de octubre, y en el artículo 2.1 del Real Decreto 713/2010, de 28 de mayo, sobre registro y depósito de convenios, acuerdos colectivos de trabajo y planes de igualdad, en relación con el artículo 5.2 del Decreto 171/2010, de 21 de septiembre, del Gobierno de Aragón, por el que se regula el depósito y registro de convenios y acuerdos colectivos de trabajo de la Comunidad Autónoma de Aragón, acuerdo:
Primero.- Ordenar el depósito del acta citada en el Registro de convenios, acuerdos colectivos de trabajo y planes de igualdad, adscrito a la Dirección General de Trabajo, con notificación a la Comisión Paritaria.
Segundo.- Disponer su publicación en el «Boletín Oficial de Aragón».
Zaragoza, 8 de noviembre de 2024.
El Director General de Trabajo,
JESÚS DIVASSÓN MENDÍVIL.
ACTA DE LA COMISIÓN PARITARIA DEL CONVENIO COLECTIVO DE LIMPIEZA DE CENTROS SANITARIOS DEPENDIENTES DEL SERVICIO ARAGONÉS DE LA SALUD DE LA COMUNIDAD AUTÓNOMA DE ARAGÓN.
En Zaragoza, y siendo las 11:00 horas, del día 29 de octubre de 2024, se reúnen y comparecen en los locales del CCOO del Hábitat de Aragón, miembros todos ellos de la Comisión Paritaria del Convenio Colectivo de Limpieza de centros sanitarios dependientes del Servicio Aragonés de la Salud de la Comunidad Autónoma de Aragón.
Por la parte empresarial.
Asociación Profesional de Empresas de Limpieza (ASPEL) representada por Armando Nevado Lorenzo.
Por la parte social.
Federación de Servicios, Movilidad y Consumo de UGT-Aragón, representada por Pilar Gavín González y Carlos Monterde Benedé.
CCOO del Hábitat de Aragón, representada por Yolanda Martín Vela.
Por OSTA, representada por Ana Isabel Salvador Beltrán.
En virtud de lo establecido en el artículo 10, párrafo 2, del texto convencional, es competencia de la Comisión Paritaria reunirse para proceder a firmar las actualizaciones de salarios de cada año natural.
Que una vez publicadas las tablas de salarios del personal estatutario empleado por el Gobierno de Aragón, y satisfechas las cantidades correspondientes en concepto de atrasos, procede actualizar y dar publicidad a las retribuciones para 2024 de las personas trabajadoras a las que se les aplica este Convenio Colectivo. Una vez publicado el Acuerdo de Gobierno de Aragón, de 11 de septiembre de 2024, por el que se actualizan las cuantías de las retribuciones del personal estatutario de los centros sanitarios al servicio de la Administración de la Comunidad Autónoma de Aragón para el año 2024, razón por la cual se aplica un incremento retributivo del 2 %.
Una vez calculadas y cotejadas por todas las organizaciones firmantes del Convenio Colectivo, se conviene en evacuar las tablas salariales de 2024, que se adjuntan a la presente acta.
Y en prueba de conformidad de lo antedicho, firman la presente acta, y las tablas de salarios que lo acompañan, mandatando a Mariano Jesús Álvarez Pina para que proceda con los trámites de depósito de la documentación en la plataforma REGCON.
En Zaragoza, en el lugar y fecha arriba indicados.
Por ASPEL.
Por FeSMC-UGT Aragón.
Por CCOO del Hábitat de Aragón.
Por OSTA.
REVISIÓN SALARIAL (BOA Número 205 – 23 de octubre de 2025)
RESOLUCIÓN de 29 de septiembre de 2025, del Director General de Trabajo, por la que se acuerda la inscripción, depósito y publicación del acta de actualización de las tablas salariales para 2024 del Convenio Colectivo del Sector de Limpieza de centros sanitarios dependientes del Servicio Aragonés de Salud de la Comunidad Autónoma de Aragón.
Vista el acta de la Comisión Paritaria del Convenio Colectivo del Sector de Limpieza de centros sanitarios dependientes del Servicio Aragonés de Salud (código de convenio 72000235012004), suscrita el día 23 de septiembre de 2025, de una parte, por la organización empresarial ASPEL y, de otra, por las organizaciones sindicales UGT, CCOO y OSTA, que contiene el acuerdo relativo a la actualización de las tablas salariales para el año 2024, en aplicación de lo establecido en el artículo 10 del convenio colectivo indicado, publicado en el «Boletín Oficial de Aragón», número 88, de 10 de mayo de 2022, mediante Resolución de la Directora General de Trabajo, Autónomos y Economía Social de 28 de abril de 2022, recibida en esta Dirección General el día 23 de septiembre de 2025.
De conformidad con lo dispuesto en los artículos 90.2 y 90.3 del texto refundido de la Ley del Estatuto de los Trabajadores, aprobado por Real Decreto Legislativo 2/2015, de 23 de octubre y en el artículo 2.1 del Real Decreto 713/2010, de 28 de mayo, sobre registro y depósito de convenios, acuerdos colectivos de trabajo y planes de igualdad, en relación con el artículo 5.2 del Decreto 171/2010, de 21 de septiembre, del Gobierno de Aragón, por el que se regula el depósito y registro de convenios y acuerdos colectivos de trabajo de la Comunidad Autónoma de Aragón, acuerdo:
Primero.- Ordenar la inscripción y depósito del acta citada en el Registro de convenios, acuerdos colectivos de trabajo y planes de igualdad, adscrito a la Dirección General de Trabajo, con notificación a la Comisión Paritaria.
Segundo.- Disponer su publicación en el «Boletín Oficial de Aragón».
Zaragoza, 29 de septiembre de 2025.
El Director General de Trabajo, JESÚS DIVASSÓN MENDÍVIL.
ACTA DE LA COMISIÓN PARITARIA DEL CONVENIO COLECTIVO DE LIMPIEZA DE CENTROS SANITARIOS DEPENDIENTES DEL SERVICIO ARAGONÉS DE LA SALUD DE LA COMUNIDAD AUTÓNOMA DE ARAGÓN.
En Zaragoza, y siendo las 11:00 horas del día 23 de septiembre de 2025, se reúnen y comparecen en los locales de la Federación de Servicios, Movilidad y Consumo de UGT- Aragón, los miembros todos ellos de la Comisión Paritaria del Convenio Colectivo de Limpieza de Centros Sanitarios dependientes del Servicio Aragonés de la Salud de la Comunidad Autónoma de Aragón:
Por la parte empresarial, Asociacion Profesional de Empresas de Limpieza (ASPEL) representada por Armando Nevado Lorenzo.
Por la parte social, Federacion de Servicios, Movilidad y Consumo de UGT-Aragon, representada por Pilar Gavín González y Carlos Monterde Benedé.
CCOO del Hábitat de Aragón, representada por Yolanda Martín Vela.
Por OSTA, representada por Ana Isabel Salvador Beltrán.
En virtud de lo establecido en el artículo 10, párrafo 2, del texto convencional, es competencia de la Comisión Paritaria reunirse para proceder a firmar las actualizaciones de salarios de cada año natural.
Que, una vez publicadas las tablas de salarios del personal estatutario empleado por el Gobierno de Aragón, y satisfechas las cantidades correspondientes en concepto de atrasos, procede actualizar y dar publicidad a las retribuciones para 2024 de las personas trabajadoras a las que se les aplica este Convenio Colectivo.
Una vez publicado el acuerdo de Gobierno de Aragón de 23 de julio de 2025, por el que se actualizan las cuantías de las retribuciones del personal estatutario de los centros sanitarios al servicio de la Administración de la Comunidad Autónoma de Aragón para el año 2024, razón por la cual se aplica un incremento retributivo adicional del 0.5 %.
Una vez calculadas y cotejadas por todas las organizaciones firmantes del convenio colectivo, se conviene en evacuar las tablas salariales de 2024, que se adjuntan a la presente acta.
Y en prueba de conformidad de lo antedicho, firman la presente acta, y las tablas de salarios que lo acompañan, mandatando a Mariano Jesús Álvarez Pina para que proceda con los trámites de depósito de la documentación en la plataforma REGCON.
REVISIÓN SALARIAL (BOA Número 26 – 9 de febrero de 2026)
RESOLUCIÓN de 26 de enero de 2026, del Director General de Trabajo, por la que se acuerda la inscripción, depósito y publicación del acta de actualización de las tablas salariales para 2025 del Convenio Colectivo del Sector de Limpieza de centros sanitarios dependientes del Servicio Aragonés de Salud de la Comunidad Autónoma de Aragón.
Vista el acta de la Comisión Paritaria del Convenio Colectivo del sector de limpieza de centros sanitarios dependientes del Servicio Aragonés de Salud (código de convenio 72000235012004), suscrita el día 12 de enero de 2026, de una parte, por la organización empresarial ASPEL y, de otra, por las organizaciones sindicales UGT, CCOO y OSTA, que contiene el acuerdo relativo a la actualización de las tablas salariales para el año 2025, en aplicación de lo establecido en el artículo 10 del convenio colectivo indicado, publicado en el «Boletín Oficial de Aragón», número 88, de 10 de mayo de 2022, mediante Resolución de 28 de abril de 2022, de la Directora General de Trabajo, Autónomos y Economía Social, recibida en esta Dirección General el día 13 de enero de 2026.
De conformidad con lo dispuesto en los artículos 90.2 y 90.3 del texto refundido de la Ley del Estatuto de los Trabajadores, aprobado por Real Decreto Legislativo 2/2015, de 23 de octubre, y en el artículo 2.1 del Real Decreto 713/2010, de 28 de mayo, sobre registro y depósito de convenios, acuerdos colectivos de trabajo y planes de igualdad, en relación con el artículo 5.2 del Decreto 171/2010, de 21 de septiembre, del Gobierno de Aragón, por el que se regula el depósito y registro de convenios y acuerdos colectivos de trabajo de la Comunidad Autónoma de Aragón, acuerdo:
Primero.- Ordenar la inscripción y depósito del acta citada en el Registro de convenios, acuerdos colectivos de trabajo y planes de igualdad, adscrito a la Dirección General de Trabajo, con notificación a la Comisión Paritaria.
Segundo.- Disponer su publicación en el «Boletín Oficial de Aragón».
Zaragoza, 26 de enero de 2026.
El Director General de Trabajo, JESÚS DIVASSÓN MENDÍVIL.
ACTA DE LA COMISIÓN PARITARIA DEL CONVENIO COLECTIVO DE LIMPIEZA DE CENTROS SANITARIOS DEPENDIENTES DEL SERVICIO ARAGONÉS DE LA SALUD DE LA COMUNIDAD AUTÓNOMA DE ARAGÓN.
En Zaragoza, y siendo las 11:00 horas del día 12 de enero de 2026, se reúnen y comparecen en los locales del CCOO del Hábitat de Aragón, miembros todos ellos de la Comisión Paritaria del Convenio Colectivo de limpieza de centros sanitarios dependientes del Servicio Aragonés de la Salud de la Comunidad Autónoma de Aragón.
Por la parte empresarial.
Asociacion Profesional de Empresas de Limpieza (ASPEL) representada por Paolo Fayer Pérez y Belén Pecina Vaquero.
Por la parte social.
Federacion de servicios, movilidad y consumo de UGT-Aragon, representada por Pilar Gavín González y Carlos Monterde Benedé.
CCOO del Hábitat de Aragón, representada por Yolanda Martín Vela.
Por OSTA, representada por Ana Isabel Salvador Beltrán.
En virtud de lo establecido en el artículo 10, párrafo 2, del texto convencional, es competencia de la Comisión Paritaria reunirse para proceder a firmar las actualizaciones de salarios de cada año natural.
Que una vez publicadas las tablas de salarios del personal estatutario empleado por el Gobierno de Aragón, y satisfechas las cantidades correspondientes en concepto de atrasos, procede actualizar y dar publicidad a las retribuciones para 2025 de las personas trabajadoras a las que se les aplica este convenio colectivo. Una vez publicado el Acuerdo de 10 de diciembre de 2025, del Gobierno de Aragón, por el que se actualizan las cuantías de las retribuciones del personal estatutario de los centros sanitarios al servicio de la Administración de la Comunidad Autónoma de Aragón para el año 2025, razón por la cual se aplica un incremento retributivo del 2.5%.
Una vez calculadas y cotejadas por todas las organizaciones firmantes del convenio colectivo, se conviene en evacuar las tablas salariales de 2025, que se adjuntan a la presente acta.
Y en prueba de conformidad de lo antedicho, firman la presente acta, y las tablas de salarios que lo acompañan, mandatando a Mariano Jesús Álvarez Pina para que proceda con los trámites de depósito de la documentación en la plataforma Regcon.
Zaragoza, en el lugar y fecha arriba indicados.
Por ASPEL,
Por FeSMC-UGT Aragón,
Por CCOO del Hábitat de Aragón,
Por OSTA.
REVISIÓN SALARIAL (BOA Número 77 – 24 de abril de 2026)
RESOLUCIÓN de 6 de abril de 2026, del Director General de Trabajo, por la que se acuerda el registro, depósito y publicación del acta de actualización de las tablas salariales para 2026 del Convenio Colectivo del Sector de Limpieza de centros sanitarios dependientes del Servicio Aragonés de Salud de la Comunidad Autónoma de Aragón.
Vista el acta de la comisión paritaria del convenio colectivo del Sector de Limpieza de centros sanitarios dependientes del Servicio Aragonés de Salud (código de Convenio 72000235012004), suscrita el día 18 de marzo de 2026, de una parte, por la organización empresarial ASPEL y, de otra, por las organizaciones sindicales UGT, CCOO y OSTA, que contiene el acuerdo relativo a la actualización de las tablas salariales para el año 2026, en aplicación de lo establecido en el artículo 10 del Convenio Colectivo indicado, publicado en el «Boletín Oficial de Aragón», número 88, de 10 de mayo de 2022, mediante Resolución de la Directora General de Trabajo, Autónomos y Economía Social de 28 de abril de 2022.
De conformidad con lo dispuesto en los artículos 90.2 y 90.3 del texto refundido de la Ley del Estatuto de los Trabajadores, aprobado por Real Decreto Legislativo 2/2015, de 23 de octubre, y en el artículo 2.1 del Real Decreto 713/2010, de 28 de mayo, sobre registro y depósito de convenios, acuerdos colectivos de trabajo y planes de igualdad, en relación con el artículo 5.2 del Decreto 171/2010, de 21 de septiembre, del Gobierno de Aragón, por el que se regula el depósito y registro de convenios y acuerdos colectivos de trabajo de la Comunidad Autónoma de Aragón, resuelvo:
Primero.- Ordenar la inscripción y depósito del acta citada en el Registro de convenios, acuerdos colectivos de trabajo y planes de igualdad, adscrito a la Dirección General de Trabajo, con notificación a la comisión paritaria.
Segundo.- Disponer su publicación en el «Boletín Oficial de Aragón».
Zaragoza, 6 de abril de 2026.El Director General de Trabajo,JESÚS DIVASSÓN MENDÍVIL.
ACTA DE LA COMISIÓN PARITARIA DEL CONVENIO COLECTIVO DE LIMPIEZA DE CENTROS SANITARIOS DEPENDIENTES DEL SERVICIO ARAGONÉS DE LA SALUD DE LA COMUNIDAD AUTÓNOMA DE ARAGÓN.
En Zaragoza, y siendo las 18:00 horas del día 18 de marzo de 2026, se reúnen y comparecen en los locales de CCOO del Hábitat de Aragón, los miembros todos ellos de la comisión paritaria del Convenio Colectivo de Limpieza de Centros Sanitarios Dependientes del Servicio Aragonés de la Salud de la Comunidad Autónoma de Aragón.
Por la parte empresarial:
Asociacion Profesional de Empresas de Limpieza (ASPEL) representada por Belén Pecina Vaquero.
Por la parte social:
Federacion de Servicios, Movilidad y Consumo de UGT-Aragón, representada por Sara Torres Rillo y Carlos Monterde Benedé.
CCOO del Hábitat de Aragón, representada por Yolanda Martín Vela.
Por OSTA, representada por Ana Isabel Salvador Beltrán.
En virtud de lo establecido en el artículo 10, párrafo 2, del texto convencional, es competencia de la comisión paritaria reunirse para proceder a firmar las actualizaciones de salarios de cada año natural.
Que, una vez publicadas las tablas de salarios del personal estatutario empleado por el Gobierno de Aragón, y satisfechas las cantidades correspondientes en concepto de atrasos, procede actualizar y dar publicidad a las retribuciones para 2026 de las personas trabajadoras a las que se les aplica este convenio colectivo. Una vez publicado el acuerdo de Gobierno de Aragón de 14 de enero de 2026, por el que se actualizan las cuantías de las retribuciones del personal estatutario de los centros sanitarios al servicio de la Administración de la Comunidad Autónoma de Aragón para el año 2026, razón por la cual se aplica un incremento retributivo del 1,5% sobre las retribuciones del 2025.
Una vez calculadas y cotejadas por todas las organizaciones firmantes del Convenio Colectivo, se conviene en evacuar las tablas salariales de 2026, que se adjuntan a la presente acta.
Y en prueba de conformidad de lo antedicho, firman la presente acta, y las tablas de salarios que lo acompañan, mandatando a Mariano Jesús Álvarez Pina para que proceda con los trámites de depósito de la documentación en la plataforma REGCON.
Zaragoza, 18 de marzo de 2026.
(1) El trienio del Encargado General es de 34,99.
