CONVENIO COLECTIVO (BOP Nº 105 – Martes, 03 de Junio de 2025)
Código de Convenio: 14000155011982.
Visto el Texto suscrito el día veintitrés de mayo de 2025 por la Comisión Negociadora del Convenio Colectivo de las Industrias Vinícolas, Licoreras y Alcoholeras de la Provincia de Córdoba para los años 2025 y 2026, y de conformidad con lo dispuesto en el artículo 90, apartados 2 y 3, de la Ley del Estatuto de los Trabajadores, texto refundido aprobado por Real Decreto Legislativo 2/2015, de 23 de octubre, y en el Real Decreto 713/2010, de 28 de mayo, sobre registro y depósito de convenios y acuerdos colectivos de trabajo, modificado por el Real Decreto 901/2020, de 13 de octubre, por el que se regulan los planes de igualdad y su registro y se modifica el Real Decreto 713/2010, de 28 de mayo, sobre registro y depósito de convenios y acuerdos colectivos de trabajo, esta Autoridad Laboral, sobre la base de las competencias atribuidas en el Real Decreto 4043/1982, de 29 de diciembre, sobre Traspaso de Funciones y Servicios de la Administración del Estado a la Junta de Andalucía en materia de trabajo, la Ley 9/2007, de 22 de octubre, de la Administración de la Junta de Andalucía (BOJA nº 215 de 31 de octubre), el Decreto 226/2020, de 29 de diciembre, por el que se regula la Organización Territorial Provincial de la Administración de la Junta de Andalucía (BOJA Ext. nº 90 de 30 de diciembre), modificado por el Decreto 300/2022, de 30 de agosto (BOJA Ext. nº 29, de 30 de agosto), el artículo 5 del Decreto del Presidente 10/2022, de 25 de julio, sobre Reestructuración de Consejerías, en relación con el artículo 11 del Decreto del Presidente 6/2024, de 29 de julio, sobre Reestructuración de Consejerías, y el Decreto 155/2022, de 9 agosto, por el que se regula la Estructura Orgánica de la Consejería de Empleo, Empresa y Trabajo Autónomo (BOJA Ext. nº 28, de 11 de agosto),
A C U E R D A
PRIMERO.-Ordenar su inscripción en el Registro de Convenios y Acuerdos Colectivos de trabajo, y Planes de Igualdad con funcionamiento a través de medios electrónicos de este Centro Directivo, con notificación a la Comisión Negociadora del Convenio.
SEGUNDO.-Disponer su publicación en el Boletín Oficial de la Provincia.
Córdoba, 27 de mayo de 2025.- La Delegada Territorial de Empleo, Empresa y Trabajo Autónomo en Córdoba, María Dolores Gálvez Páez.
CONVENIO COLECTIVO DE LAS INDUSTRIAS VINÍCOLAS, LICORERAS Y ALCOHOLERAS DE LA PROVINCIA DE CÓRDOBA 2025-2026.
CAPÍTULO I NORMAS GENERALES.
Artículo 1. Ámbito Funcional y Personal.
El presente Convenio es de aplicación a la totalidad de las empresas y personas trabajadoras de Córdoba y su provincia, encuadrados en el Sector de las Industrias Vinícolas, Licoreras y Alcoholeras.
Artículo 2. Ámbito temporal. Vigencia y denuncia.
El presente Convenio entrará en vigor a todos los efectos, y con independencia de la fecha de publicación, desde el día 1 de enero de 2025 y tendrá una duración de dos años, finalizando por tanto su vigencia el 31 de diciembre de 2026. Se entenderá prorrogado por períodos de un año sucesivos, si no fuere denunciado, con al menos dos meses de antelación a la fecha de su vencimiento, por alguna de las partes que lo han suscrito.
Artículo 3. Absorción y compensación.
Las condiciones económicas fijadas en el presente Convenio, son absorbibles y compensables por las que existieran con anterioridad, cualquiera que sea su naturaleza o el origen de su existencia.
No obstante, lo anterior, no se podrán absorber ni compensar los complementos salariales que provengan de acuerdos internos de carácter colectivo, pactados por escrito.
Artículo 4. Derecho supletorio.
En todo lo no previsto en el presente Convenio, se estará a lo dispuesto en la normativa actualmente en vigor y en aquélla cuya vigencia se produzca a partir de la fecha en que se suscribe, así como en el Laudo de Obligado Cumplimiento que para el Sector Vinícola fue dictado con fecha dieciséis de abril de mil novecientos noventa y seis.
CAPÍTULO II CONTRATACIÓN.
Artículo 5. Contratación.
I. Límites a la contratación temporal.
Con el fin de fomentar la estabilidad en el empleo, se establecen, sobre el volumen total de empleo en cada empresa, un máximo del 50% para la contratación temporal.
A los efectos del correspondiente cómputo, no serán considerados los contratos que se realicen, para la campaña de vendimia, los que tengan por objeto la sustitución de personas trabajadoras con derecho a reserva de su puesto de trabajado fijo y los contratos para la formación en alternancia y para la obtención de la práctica profesional.
En el supuesto de que alguna empresa rebasara dichos límites máximos, resultará obligada a convertir en fijos el 12,50 por ciento de las personas trabajadoras temporales que excedan de dichos límites, cuyo número se determinará sumando los jornales que representen y dividiéndolos por la jornada anual.
II. Conversión de trabajadores/as temporales en fijos.
Cuando, para cumplir con las limitaciones establecidas en el apartado precedente, las empresas hayan de convertir contratos temporales en fijos, y una vez atendidas con carácter prioritario las necesidades específicas de cada empresa, se seguirán los siguientes criterios:
a) Serán beneficiarios/as de dicha conversión en fijos, a elección de su respectiva empresa, quienes hayan sido contratados temporalmente desde 1º de enero de 1999 y hasta la fecha de publicación del presente Convenio y ello, aunque sus contratos ya se hubieran extinguido.
b) Para la conversión que corresponda, los contratos de duración determinada, sumados los jornales que representen y divididos por la jornada anual, se traducirán en contratos anuales, con las exclusiones que se establecieron en el apartado I del presente artículo.
c) Dentro de los beneficiarios/as de la conversión en fijos, tendrán preferencia, a salvo siempre las específicas necesidades de cada empresa, aquellas personas trabajadoras que acrediten una vinculación a la empresa de al menos dos años en un período de cuatro años y que se encuentren en activo al día de la firma del presente Convenio.
III. Contratos suscritos al amparo del artículo 15. 2 del Estatuto de los Trabajadores.
El contrato por circunstancia de la producción, regulado por el artículo 15.2 del Estatuto de los Trabajadores, tendrá una duración máxima de doce meses.
IV. Contrato de puesta a disposición.
A) Solo podrán celebrarse en aquellos supuestos permitidos en la ley.
En consecuencia y salvo en los supuestos indicados, en ningún caso podría utilizarse este tipo de contratación para la cobertura de puestos de trabajo de carácter fijo o permanente en la empresa usuaria.
B) Como expresión del deber de información que establece el artículo 9 de la Ley 14/1994, de 1 de junio, las empresas usuarias deberán entregar a la RLPT copia de los contratos de puesta a disposición celebrados.
C) Las personas trabajadoras de las empresas de Trabajo Temporal que presten sus servicios en el Sector al que el presente Convenio se refiere tendrán derecho a percibir como mínimo, el 100% de las retribuciones que de acuerdo con su categoría correspondan conforme al mismo, siendo de cuenta de la empresa de trabajo temporal el abono de las mismas, lo que deberá recogerse en el contrato de puesta a disposición que en su caso se suscriba.
D) La representación legal de las personas trabajadoras de las empresas de trabajo temporal, y para todo lo relacionado con la ejecución de su actividad laboral en las usuarias, corresponderá al Comité de Empresa o Delegados de Personal de estas últimas.
E) Todo lo dispuesto con anterioridad no será en ningún caso de aplicación a la contratación de personal de promoción, (azafatos/as, venenciadores/as, etc.) con motivo de demostraciones, visitas guiadas, etc.; contratación a la que se aplicará el régimen que en cada caso corresponda.
V. Personas trabajadoras con contrato temporal.
Los trabajadores/as con contrato temporal, con exclusión de los contratos formativos, percibirán un complemento económico calculado sobre su salario base, conforme a la siguiente escala:
a) Contratos hasta 30 días de duración, 17%.
b) Contratos desde 30 a 60 días de duración, 10%.
c) Contratos desde 60 a 180 días de duración, 5%.
VI. Personas trabajadoras fijas discontinuas.
Las personas trabajadoras cuyos servicios tengan la naturaleza de fijos de carácter discontinuo, de conformidad con el artículo 16 del Estatuto de los Trabajadores, se regirán por dicho precepto, así como por las disposiciones del presente Convenio en lo no previsto por este artículo.
a) Las empresas crearán, un censo de personas trabajadoras que tengan la consideración de fijos discontinuos con especificación de su antigüedad y cualificación. La persona trabajadora fija discontinua será llamada cada vez que vaya a llevarse a cabo la actividad para la que fue contratado, efectuándose el llamamiento de modo gradual en función de las necesidades que exija en cada momento el volumen de trabajo a desarrollar. Este orden de llamamiento se efectuará según la antigüedad en la contratación, grupo profesional o nivel dentro del mismo y por secciones productivas de la propia empresa, produciéndose el cese en sentido inverso conforme vaya descendiendo la actividad productiva para la que fueron contratados. A fin de que dichas personas puedan conocer el orden de prioridad a la hora de ser avisadas por la empresa. Del citado censo se dará copia a la representación legal de las personas trabajadoras y se publicará en el tablón de anuncios.
b) El llamamiento se efectuará mediante la oportuna comunicación por escrito, se hará mediante correo electrónico o mensaje telefónico y con, al menos 5 días laborables de antelación a la fecha prevista para la incorporación al trabajo, La persona trabajadora tendrá que contestar al llamamiento en sentido positivo o negativo en el plazo de 48 horas, en caso de no contestar se considerará que existe rechazo al llamamiento.
c) Serán causas de suspensión del contrato, con exoneración de las obligaciones reciprocas de trabajar y remunerar el trabajo y sin que la falta de llamamiento pueda calificarse como despido, la ausencia de llamamiento derivado de la falta de volumen de actividad necesario para ser cubierto por la totalidad de trabajadores/ as fijos discontinuos, los accidentes atmosféricos, la paralización de los transportes o medios de distribución, la interrupción de la fuerza motriz o falta de materias primas no imputable al empresario. En este caso las empresas vendrán obligadas a comunicar el hecho causante a la representación de los trabajadores/ as, siendo suficiente esta comunicación para que opere la causa de suspensión.
d) La falta de incorporación al llamamiento no supondrá la pérdida del turno cuando éste se encuentre en situación de incapacidad temporal, en el período de descanso por maternidad o paternidad, adopción o acogimiento, excedencia, licencia o aquellas otras justificadas y estas causas estén debidamente acreditadas.
e) Si durante el llamamiento, la persona trabajadora estuviera trabajando y el convenio colectivo de aplicación prevea un preaviso para cesar en el trabajo, la no aceptación del llamamiento no será causa de baja voluntaria, siempre que este hecho quede acreditado.
f) Si la persona trabajadora no fuese llamada y le correspondiera por orden de antigüedad y cualificación, podrá reclamar en procedimiento por despido, iniciándose el plazo para ello cuando tuviese conocimiento de la falta de convocatoria.
g) No obstante ante una situación de I.T., la empresa estará obligada a llamar a la persona trabajadora, momento a partir del cual la empresa debe asumir la obligación de la cotización a la Seguridad Social desde el día de la fecha y mientras dure el proceso de I.T. o finalice la campaña. Si bien la incorporación de la persona trabajadora se producirá a partir del alta médica.
h) La persona trabajadora que haya sido llamada de acuerdo con lo dispuesto en los apartados anteriores y no se incorporase a la empresa en el momento fijado a tal fin perderá la condición de fijo discontinuo, asimilándose tal circunstancia a la baja voluntaria en la empresa.
i) Las personas trabajadoras fijas discontinuas cesarán, de conformidad con las necesidades de las empresas por el orden establecido en el presente Convenio colectivo. Dicho cese será comunicado de forma escrita a la persona trabajadora.
j) Las personas trabajadoras con contrato fijo discontinuo percibirá las pagas extraordinarias y lo correspondiente a las vacaciones en proporción al tiempo efectivamente trabajado.
k) La empresa deberá informar a las personas fijas discontinuas y a la Representación Legal de las personas trabajadoras sobre la existencia de puestos de trabajo vacantes de carácter fijo ordinario, de manera que aquellas puedan formular solicitudes de conversión voluntaria de acuerdo con la empresa.
l) Las estipulaciones anteriores serán de aplicación a todas las personas trabajadoras fijas discontinuas de la empresa con independencia de la fecha de ingreso en las mismas o de la forma de adquisición de la condición de fijo discontinuo.
m) La Representación Legal de las personas trabajadoras conocerá de los modelos de contrato de trabajo escrito que utilicen las empresas.
VII. Contrato para la obtención de la práctica profesional.
El salario para las personas trabajadoras contratadas para la obtención de la práctica profesional será el 85% del salario de la categoría profesional que ocupe. Sin poder en ningún caso ser inferior al Salario Mínimo Interprofesional.
VIII. Contrato de formación en alternancia.
El salario para las personas trabajadoras contratadas en formación en alternancia será el 75% y el 90% del salario de la categoría profesional que ocupe para primero y segundo año. Sin poder en ningún caso ser inferior al Salario Mínimo Interprofesional.
Artículo 6. Subcontratas.
Las partes acuerdan que la dirección de las empresas advertirá a las empresas subcontratadas de la rigurosa necesidad de cumplir las normas sobre jornada máxima legal de trabajo y horas extraordinarias.
Asimismo, en cuanto a las condiciones de seguridad y salud laboral de los trabajadores y trabajadoras de la empresa contratista serán las mismas que haya establecidas en la empresa principal. Previamente al comienzo de los trabajos contratados, la empresa contratista deberá presentar los siguientes documentos:
-Relación de trabajadores y trabajadoras que van a realizar los trabajos.
-Fotocopia de los partes de alta en la Seguridad Social de los citados trabajadores y trabajadoras.
-Declaración firmada del titular de la empresa contratista en cuanto que los trabajadores y trabajadoras a su cargo han recibido la correspondiente formación en materia de seguridad e higiene, así como su compromiso de facilitarles todos los medios de prestación personal establecidos para su trabajo.
-Fotocopia de los correspondientes TC1 Y TC2, debidamente formalizados mientras dure el trabajo.
-La empresa informará mensualmente por escrito a los/las representantes de los/las trabajadores y trabajadoras sobre cada contrata y las condiciones de las mismas.
CAPÍTULO III TIEMPO DE TRABAJO.
Artículo 7. Jornada laboral.
La jornada laboral para los años 2025 y 2026 será de 1.764 horas anuales de trabajo efectivo.
La distribución de la jornada se hará, dentro de las limitaciones legales, de mutuo acuerdo entre cada empresa y las personas trabajadoras.
Se trabajará bajo el régimen de jornada continuada desde el 1º de mayo hasta el 31 de agosto de cada año.
Igualmente, se trabajará en régimen de jornada continuada el lunes, martes y miércoles santo y el día 5 de enero, en jornadas completas de 8 horas.
Las partes firmantes del presente convenio recomiendan extender la jornada continuada todo el año, teniéndose en todo caso que acordar en el seno de cada empresa.
Los días 24 y 31 de diciembre, serán considerados a todos los efectos, como días festivos.
Artículo 8. Jornadas especiales.
Al personal Porteros/as, Guardas y Vigilantes, que por la índole de su trabajo no puedan disfrutar de la Jornada Semanal pactada en el presente Convenio, les será abonado el tiempo de exceso sobre dicha jornada a prorrata de su Salario Base, Complemento de Vinculación si le corresponde y el Plus de Convenio.
En todo caso se respetará la jornada anual, teniéndola que regular antes de final de año.
Artículo 9. Vacaciones. Bolsa de vacaciones.
Todas las personas trabajadoras afectados por el presente Convenio, disfrutarán de 30 días naturales en concepto de vacaciones, de los que 21 serán laborables, no pudiendo sustituirse en ningún caso el disfrute de las mismas por compensación económica.
Cada empresa fijará el calendario de vacaciones que sus trabajadores/as tendrán derecho a conocer con dos meses de antelación, como mínimo, a la fecha de comienzo de las mismas, que en todo caso se deberán disfrutar antes del 31 de diciembre del año natural correspondiente.
Salvo pacto en contrario, las personas trabajadoras tendrán derecho a disfrutar de un mínimo de 15 de días de vacaciones durante el período de 1 de mayo al 30 de septiembre.
Cuando el período de vacaciones fijado en el calendario de vacaciones de la empresa al que se refiere el párrafo anterior coincida en el tiempo con una incapacidad temporal derivada del embarazo, el parto o la lactancia natural o con el período de suspensión del contrato de trabajo previsto en los apartados 4, 5 y 7 del artículo 48 de la Ley del Estatuto de los trabajadores, se tendrá derecho a disfrutar las vacaciones en fecha distinta a la de la incapacidad temporal o a la del disfrute del permiso que por aplicación de dicho precepto le correspondiera, al finalizar el período de suspensión, aunque haya terminado el año natural a que correspondan.
En el supuesto de que el período de vacaciones coincida con una incapacidad temporal por contingencias distintas a las señaladas en el párrafo anterior que imposibilite al trabajador disfrutarlas, total o parcialmente, durante el año natural a que corresponden, la persona trabajadora podrá hacerlo una vez finalice su incapacidad y siempre que no hayan transcurrido más de dieciocho meses a partir del final del año en que se hayan originado.
No obstante, en el caso de que la legislación en esta materia modifique lo establecido en los dos párrafos anteriores, las partes firmantes adaptarán el texto a lo establecido en el Estatuto de los Trabajadores en cada momento.
Con objeto de que puedan atender debidamente a la finalidad recreativa de las vacaciones, se establece una Bolsa de Vacaciones, acorde con ello y como compensación o cumplidos de los mayores gastos que el ejercicio de tal finalidad acarrea, una Bolsa de Vacaciones por una cantidad equivalente a una mensualidad de Salario Base, Plus de Convenio, así como una cantidad lineal de 207,34 € en el año 2025, cantidades éstas que serán percibidas por las personas trabajadoras afectados por este Convenio, el día hábil anterior al inicio de sus vacaciones.
Las personas trabajadoras que no llevaren un año de servicio en la empresa, percibirán dicha compensación en proporción al tiempo trabajado
CAPÍTULO IV CLASIFICACIÓN PROFESIONAL, MOVILIDAD Y ASCENSOS.
Artículo 10. Plantillas y escalafones.
Anualmente se formalizarán, por la empresa, las plantillas y escalafones de sus trabajadores/as fijos/as, que se expondrán en cada centro de trabajo durante el mes de enero de cada año.
Las plantillas consistirán en la relación numérica de las categorías y grupos, de acuerdo con las clasificaciones laborales que figuran en el presente Convenio. Los escalafones consistirán en la relación nominal de las personas trabajadoras que integran la plantilla, ordenados por categorías, de acuerdo con sus circunstancias de antigüedad en la empresa y en la categoría.
Tales documentos se extenderán por cuadriplicado y serán firmados por el empresario/a o su legal representante y por los representantes de las personas trabajadoras, sustituyéndose esta firma última en caso de empresa de menos de 5 personas trabajadoras. Una copia quedará archivada en la empresa, otra será expuesta en el centro de trabajo para conocimiento de las personas trabajadoras; la tercera se entregará al Comité o Delegados de Personal y la última, se enviará dentro de los 7 primeros días del mes de enero a la Comisión Paritaria del presente Convenio, denunciará, ante los Organismos competentes, a cualquier empresa que incumpla las anteriores normas.
Artículo 11. Tribunal de aptitud.
En todas las empresas y cuando fueran necesario para clasificar al personal, efectuar pruebas de aptitud, se constituirá el correspondiente Tribunal que estará integrado por:
*Dos representantes designados por la empresa.
*Dos representantes designados por el Comité de Empresa o, en su defecto, por los Delegados/as de Personal o Trabajadores/as.
*Un/a especialista o profesional de la materia que se trate, que será designado de mutuo acuerdo entre empresa y trabajadores/as, y a falta del mismo, por la Comisión Paritaria del Convenio.
Los/as cinco componentes de este Tribunal tendrá voz y voto, ostentando la Presidencia del mismo, uno de los representantes de los/las trabajadores/as, y la Secretaría, uno de los representantes de los empresarios.
Artículo 12. Trabajos de categoría superior.
Las personas trabajadoras que durante la vigencia del presente Convenio trabajen en faenas de superior categoría y realizando todas las tareas de éstas, durante tres meses consecutivos o seis alternos en 365 días continuados de trabajo, pasarán automáticamente a ostentar la categoría que hayan venido desempeñando durante dicho período salvo que estuviesen sustituyendo a otro trabajador/a de superior categoría, por enfermedad, excedencia, servicio militar, etc., de este.
En todo caso, en estos supuestos percibirán un salario de la categoría superior.
En caso de que existieran discrepancias al respecto, se resolverá de mutuo acuerdo entre la empresa y delegados/as de personal o trabajadores/as, en su caso. Y si no se llegase a un acuerdo entre estas partes, entrará a tomar parte de la cuestión la Comisión Paritaria del presente Convenio.
Todo ello sin perjuicio de lo establecido al respecto por la normativa legal vigente.
Artículo 13. Responsable de lagar o lagareta.
Las personas trabajadoras de bodega a quien durante la época de vendimia le responsabilice la empresa de las labores de un lagar o lagareta, tendrá derecho a percibir como mínima, las retribuciones correspondientes a un encargado/a de sección, así como las dietas que pudieran corresponderle.
CAPÍTULO V LICENCIAS, EXCEDENCIAS, REDUCCIONES DE JORNADA, EMBARAZO, MATERNIDAD Y PATERNIDAD.
Artículo 14. Licencias retribuidas.
Las personas trabajadoras, previo aviso y justificación, podrá ausentarse del trabajo, con derecho a remuneración, por alguno de los motivos y por el tiempo siguiente:
a) Quince días naturales en caso de matrimonio.
b) Cinco días por accidente o enfermedad graves, hospitalización o intervención quirúrgica sin hospitalización que precise reposo domiciliario del cónyuge, pareja de hecho o parientes hasta el segundo grado por consanguineidad o afinidad, incluido el familiar consanguíneo de la pareja a de hecho, así como de cualquier otra persona distinta de las anteriores, que conviva con la persona trabajadora en el mismo domicilio y que requiera el cuidado efectivo de aquella.
b bis) Dos días por el fallecimiento del cónyuge, pareja de hecho o parientes hasta el segundo grado de consanguinidad o afinidad. Cuando con tal motivo la persona trabajadora necesite hacer un desplazamiento al efecto, el plazo se ampliará en dos días.
c) Un día por traslado del domicilio habitual.
d) Por el tiempo indispensable, para el cumplimiento de un deber inexcusable de carácter público y personal, comprendido el ejercicio del sufragio activo. Cuando conste en una norma legal o convencional un periodo determinado, se estará a lo que esta disponga en cuanto a duración de la ausencia y a su compensación económica.
Cuando el cumplimiento del deber antes referido suponga la imposibilidad de la prestación del trabajo debido en más del veinte por ciento de las horas laborables en un periodo de tres meses, podrá la empresa pasar al trabajador afectado a la situación de excedencia regulada en el artículo 46.1.
En el supuesto de que la persona trabajadora, por cumplimiento del deber o desempeño del cargo, perciba una indemnización, se descontará el importe de la misma del salario a que tuviera derecho en la empresa.
e) Para realizar funciones sindicales o de representación del personal en los términos establecidos legal o convencionalmente.
f) Por el tiempo indispensable para la realización de exámenes prenatales y técnicas de preparación al parto y, en los casos de adopción, guarda con fines de adopción o acogimiento, para la asistencia a las preceptivas sesiones de información y preparación y para la realización de los preceptivos informes psicológicos y sociales previos a la declaración de idoneidad, siempre, en todos los casos, que deban tener lugar dentro de la jornada de trabajo.
g) En caso de matrimonio de hijos, hermanas o padres que se celebren en días laborables y coincidiendo la celebración con la jornada laboral, se concederá un permiso de un día si se celebra dentro de la provincia o provincias limítrofes, y 3 días en los demás casos.
h) Tendrán las personas trabajadoras derecho a licencia retribuida por el tiempo necesario en caso de consulta médica de especialista en la Seguridad Social, cuando coincidiendo el horario de consulta con el de trabajo se prescriba dicha consulta por el facultativo de medicina general, debiendo presentar el trabajador/ a al empresario el volante facultativo, justificando la referida prescripción médica. En los demás casos hasta el límite de 16 horas al año.
i) La persona trabajadora tendrá derecho a ausentarse del trabajo por causa de fuerza mayor cuando sea necesario por motivos familiares urgentes relacionados con familiares o personas convivientes, en caso de enfermedad o accidente que hagan indispensable su presencia inmediata. Las personas trabajadoras tendrán derecho a que sean retribuidas las horas de ausencia por las causas previstas en el presente apartado equivalentes a cuatro días al año.
Las licencias retribuidas deberán comenzar el primer día laborable de la persona trabajadora, después del hecho causante.
Artículo 15. Permisos no retribuidos.
Las personas trabajadoras podrán solicitar de su empresa que se les conceda hasta 60 días laborables al año de permiso no retribuido, cuando concurran graves motivos de índole familiar, intervención quirúrgica, estudios, etc., o por necesidad de disponer de más días de los que se conceden como licencia retribuida, de conformidad con el artículo precedente.
Tendrán las personas trabajadoras derecho a permiso no retribuido por el tiempo necesario en caso de consulta médica de especialista en la Seguridad Social y especialista privado, cuando coincidiendo el horario de consulta con el de trabajo se prescriba dicha consulta por el facultativo de medicina general, debiendo presentar el trabajador/a al empresario el volante facultativo, justificando la referida prescripción médica. En los demás casos hasta el límite de 16 horas incluido el acompañamiento a hijos menores de 18 años y cónyuge.
Artículo 16. Detención del trabajador/a.
En caso de detención del trabajador/a por cualquier causa, no se considerarán sus ausencias al trabajo como injustificadas, si con posterioridad, resultara absuelto o se archivara su expediente sin sanción alguna.
En tales supuestos, se considerará el período de detención, como licencia no retribuida.
Artículo 17. Permisos por lactancia y reducciones de jornada por hijos o persona dependiente a su Cargo.
En los supuestos de nacimiento, adopción, guarda con fines de adopción o acogimiento, las personas trabajadoras tendrán derecho a una hora de ausencia del trabajo, que podrán dividir en dos fracciones, para el cuidado del lactante hasta que este cumpla nueve meses. La duración del permiso se incrementará proporcionalmente en los casos de nacimiento, adopción, guarda con fines de adopción o acogimiento múltiples.
Previo acuerdo entre la empresa y el trabajador/a, la reducción de una hora diaria en la jornada a la que se hace referencia, podrá acumularse en jornadas completas, creándose así un crédito horario que se utilizará, conforme a lo acordado, durante los nueve primeros meses de vida del recién nacido. Dicho permiso es un derecho individual de la persona trabajadora sin que pueda transferirse su ejercicio al otro progenitor.
II. El trabajador o la trabajadora que, por razones de guarda legal, tenga a su cuidado directo algún menor de doce años o a una persona dependiente a su cargo que no desempeñe otra actividad retribuida, tendrá derecho a una reducción de la jornada de trabajo, con disminución proporcional de sus retribuciones, de entre un octavo y la mitad de la duración de aquélla. El ejercicio de tal derecho, duración y cuantía de la reducción horaria, así como la causa del mismo, deberán ser comunicado por escrito a la empresa con al menos un mes de antelación.
Artículo 18. Excedencias.
En esta materia se estará a lo dispuesto en el artículo 46 del Texto Refundido de la Ley del Estatuto de los Trabajadores, si bien se considerará además causa de excedencia el ejercicio por parte de la persona trabajadora de cargo en cualquier Central Sindical legalmente establecida.
Artículo 19. Jubilación.
En relación con la jubilación ordinaria anticipada y flexible se estará a lo establecido en la legislación vigente en cada momento.
Jubilación parcial: Las personas trabajadoras que reúnan las condiciones legales para disfrutar de la jubilación parcial podrán acordar con la empresa acogerse a este derecho. Para lo cual las empresas dependiendo del tipo de actividad desarrollada por la persona trabajadora se acogerán al nuevo Real Decreto-ley 11/2024, de 23 de diciembre, que estará en vigor hasta el 31 de diciembre de 2029, el cual tendrá aplicación de la normativa relativa a la jubilación parcial con simultánea celebración de contrato de relevo y cuando se acredite el cumplimiento de los requisitos para poder celebrarlo.
Asimismo, se contempla expresamente la posibilidad de que las empresas del sector de la industria manufacturera puedan acogerse a este régimen, así como la opción de acumular la jornada de trabajo correspondiente a la persona trabajadora jubilada parcialmente.
CAPÍTULO VI RETRIBUCIONES Y ESTRUCTURA SALARIAL.
Artículo 20. Retribuciones.
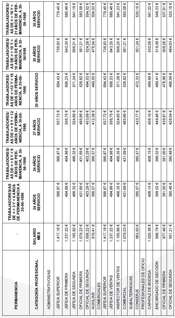
Todas las personas trabajadoras afectadas por el presente Convenio, percibirán durante los años 2025 las retribuciones que, por categoría profesional figuran en las tablas anexa del mismo, así como aquellas otras salariales o extrasalariales, que en su texto articulado se establecen.
El incremento salarial pactado es de un 3% para 2025 y un 3% para 2026. En caso de que el IPC anual, publicado a 31/12/2025, supere el 3%, las retribuciones se actualizarán con la diferencia resultante, aplicándose dicha actualización a partir del 1 de enero de 2026. En caso de que el IPC anual, publicado a 31/12/2026, supere el 3%, las retribuciones se actualizarán con la diferencia resultante, aplicándose dicha actualización a partir del 1 de enero de 2027.
Los atrasos producidos desde el 1 de enero de 2025, serán abonados por las empresas en el plazo de 30 días desde la publicación de este convenio en el Boletín Oficial de la Provincia de Córdoba.
Artículo 21. Salario base.
Es la parte de la retribución del trabajador, fijada por su unidad de tiempo, siendo su cuantía la que por categorías profesionales se expresa en la tabla Anexa a este Convenio para el ejercicio 2025.
Artículo 22. Plus Convenio.
Se establece un Plus de Convenio, cuya cuantía figura en la referida tabla anexo para el ejercicio 2025.
Artículo 23. Complemento por vinculación.
Los importes de dicho complemento serán, según categorías profesionales, para las personas trabajadoras que ostentaban la condición de fijos al 1 de enero de 1998 y en función de sus años de servicios continuados hasta la fecha 30 de junio de 1998, los que figuran en el Anexo del mismo para el ejercicio 2025.
Para las personas trabajadoras que adquirieron la condición de fijos a partir del 1 de enero de 1998, el importe del referido complemento y sin distinción por categorías profesionales, será de 36,98 euros mensuales a partir de las fechas en que respectivamente, cumplan tres, seis, nueve, doce y quince años de servicios para el ejercicio 2025. En consecuencia y por concepto de complemento por vinculación, tales trabajadores/ as podrán llegar a percibir un máximo de 184,89 € mensuales en el ejercicio 2025.
Artículo 24. Gratificaciones extraordinarias.
A) Gratificaciones de Julio y Navidad. Durante la vigencia del presente Convenio, las gratificaciones de Julio y Navidad serán de una mensualidad de Salario Base, Complemento de Vinculación y Plus de Convenio, teniendo derecho a las mismas todas las personas trabajadoras.
Dichas pagas se harán efectivas obligatoriamente, en los meses de julio y diciembre respectivamente.
Artículo 25. Compensación por no ascenso.
A) Las personas trabajadoras Oficiales de 3ª o ayudantes de Bodega permanecerán en esta categoría un tiempo máximo de dos años, transcurridos los cuales y previa declaración de aptitud ascenderán a Oficial 2ª, de existir vacantes. En caso de no existir tales vacantes permanecerán en su actual función y categoría, percibiendo como compensación el importe del 50% de la diferencia del salario existente entre una y otra categoría.
B) Las personas trabajadoras Auxiliares Administrativos permanecerán en esta categoría un tiempo máximo de cuatro años, transcurridos los cuales y previa declaración de aptitud ascenderán de existir vacantes a Oficiales de 2ª. En caso de que no existan tales vacantes, permanecerán en su actual función y categoría, percibiendo como compensación el 50% de las diferencias salariales existentes entre una y otra categoría.
A las personas trabajadoras que superen la declaración de aptitud, y no puedan tener acceso a la plantilla de Oficiales de 2ª por no existir vacantes en el escalafón, la empresa extenderá un certificado acreditativo de encontrarse cualificado para desempeñar el cargo que solicitan, pasando automáticamente a ocupar la categoría en el momento que exista una vacante.
Artículo 26. Plus de Transporte.
A partir de la publicación del presente convenio en el Boletín Oficial de la Provincia (BOP), se suprimirá el abono del plus de transporte. Las cuantías correspondientes al mismo han sido integradas en el plus de productividad.
Artículo 27. Quebranto de moneda.
Las personas trabajadoras cajeros/as o cualquier otra persona que habitualmente realicen funciones de cobros y pagos, así como aquellos/as que por cualquier circunstancia lo sustituyan y mientras dure tal situación, percibirán en concepto de quebranto de moneda la cantidad de 51,35 € mensuales en el año 2025.
Tales personas trabajadoras no se responsabilizarán de sus recaudaciones directas en caso de robo de las mismas y si en los dos supuestos de pérdidas, sustracción o hurto, debiendo en el caso de robo, proporcionar de inmediato a sus empresas cuantos datos e información resulten precisos, al objeto de que, por la misma, se formule la correspondiente denuncia.
Artículo 28. Premio a la fidelidad.
Para premiar la profesionalidad y constancia en el trabajo, se abonará a todas aquellas personas trabajadoras que cumplan los 30 años de servicio continuados a la empresa una gratificación consistente en el importe de una mensualidad de su Salario Base incrementada por el Plus de Convenio y el Complemento de Vinculación correspondiente. La referida gratificación se abonará, asimismo, a aquellas personas trabajadoras que cumplan 35 años de servicio en la empresa.
Para el cómputo de años de servicio se tendrá en cuenta el tiempo que se haya trabajado como temporal.
Las personas trabajadoras que se jubilen, fallezcan o causen baja definitiva en la empresa por invalidez permanente, sin haber cumplido por tal razón los expresados años de servicio, percibirán la parte proporcional que según los años de servicios prestados les corresponda de dichos premios.
Artículo 29. Premios por titulación.
Se concederá un premio mensual 48,49 € en 2025, a todo el personal que se encuentre en posesión de algún título de grado superior (Ingeniero, Médico, Abogado, etc), siempre que la titulación tenga relación con el desarrollo de su ocupación.
Con análogo carácter, las empresas concederán un premio 39,94 € en 2025, a todas aquellas personas que ostenten un título de grado medio (Personal: Peritos, Graduados/as Sociales, etc), siempre que la titulación tenga relación con el desarrollo de su ocupación.
Asimismo, el personal que está en posesión del diploma de Enólogo, expedido por la Escuela de Enología y Viticultura, Escuela Nacional de la Vid y Escuela de Enotecnia, cuyos planes de estudios hayan sido aprobados por el Ministerio de Agricultura o Educación con carné de Viticultor o Vinicultor, expedido por el Ministerio de Trabajo, percibirán un premio de 28,51 € en 2025.
Artículo 30. Ayuda a la formación de trabajadores/as.
Las empresas deberán abonar a aquellas personas trabajadoras de su plantilla que cursen estudios oficiales, el importe de sus libros de texto, previa justificación del mismo, así como su matriculación en el centro correspondiente y hasta un total de 427,88 € en 2025. En caso de que la persona trabajadora no pasara al curso siguiente, la empresa no tendrá obligación de hacer efectiva dicha ayuda para el siguiente curso.
Artículo 31. Trabajos nocturnos y penosos.
En esta materia se estará a lo establecido en la legislación vigente, con las siguientes particularidades:
A) La cuantía de los pluses será la correspondiente al 25% del Salario Base, más el Plus de Convenio.
B) Se consideran trabajos penosos los que se realicen en el interior de trujales y depósitos.
El devengo de los correspondientes pluses, se entiende sin perjuicio del estricto cumplimiento de las disposiciones contenidas en la vigente Ley de Prevención de Riesgos Laborales y en la normativa que la desarrolla.
Artículo 32. Dietas y desplazamientos.
I. Dietas: Cuando la empresa precise que las personas trabajadoras se trasladen accidentalmente a efectuar trabajos que obliguen a realizar gastos de comida, o pernoctar en localidad distinta a la de su residencia, además del sueldo o jornal que le correspondan, deberán serles abonadas las dietas que a continuación se relacionan para el ejercicio 2025:
a) Desayuno. 4,22 euros.
b) Almuerzo. 14,11 euros.
c) Cena. 14,11 euros.
d) Cama. 52,18 euros.
Ello sin perjuicio de que de mutuo acuerdo entre empresa y personas trabajadoras, se adopten otras fórmulas de abono de la indicada dieta, contra justificante de gastos.
Cuando una persona trabajadora se desplace a realizar faenas en los lugares fuera del Centro de trabajo habitual, devengará la dieta que le corresponda.
La empresa vendrá obligada a facultar a toda persona trabajadora medio de locomoción adecuado cuando haya de trasladarse accidentalmente a trabajar fuera de su residencia, pero si en este supuesto, la persona trabajadora utilizara vehículo propio, vendrá obligada la empresa a abonarle 0,3477 euros por kilómetro recorrido entre la ida y la vuelta en 2025 más la dieta que le corresponda.
II. Desplazamientos: La persona trabajadora que acompañen vehículos de carga para efectuar repartos carga o descarga devengarán una prima por kilómetro recorrido de población a población, de acuerdo con la siguiente escala:
A) De 0 a 600 kilómetros 0,031 € en 2025.
B) De 601 en adelante 0,028 € en 2025.
El conductor/a percibirá esta escala, incrementada con 0,0067 € en 2025. Para determinar el total del desplazamiento, se computarán los kilómetros recorridos entre ida y vuelta.
Los domingos y festivos que coincidan con viajes, el conductor/a y el/la ayudante, en su caso, percibirán doble retribución.
Los sábados, como norma general para las empresas que hagan jornada de lunes a viernes, sólo dará derecho a devengar las dietas que correspondan, excepto que sean objeto de un viaje especial, en cuyo caso, se abonará el sueldo doble, como en los domingos y festivos.
Las partes contratantes se comprometen a negociar en cada empresa el sistema de transporte sin ayuda.
En el caso de que una persona trabajadora tenga que desplazarse de manera puntual a otro centro de trabajo de la empresa, el tiempo invertido en el desplazamiento se considerará como jornada de trabajo efectiva y se compensarán los gastos de desplazamiento.
Artículo 33. Plus de distancia.
Todo el personal afectado por el presente Convenio, tendrá derecho a percibir cuando el centro de trabajo donde deba acudir a prestar su actividad, se encuentre a más de 2 km. desde la última parada de autobús o límite de la población de su residencia, y no fuere provisto por la empresa del correspondiente medio de transporte, un Plus que afectará a cuantos viajes de ida y vuelta se realicen y por cuantía de 0,3477 € por kilómetro recorrido en 2025, considerando la fracción de kilómetro como unidad completa.
Artículo 34. Ropa de trabajo y desgaste de herramientas.
I. Las empresas elegirán las prendas de trabajo que deberán facilitar a sus trabajadores/as en un número de dos equipos al año. No obstante, y en cuanto al calzado se refiere, las empresas vendrán obligadas a facilitar a sus trabajadores/as el necesario y adecuado al específico trabajo que éstos vengan desarrollando el cual será personal. Todo ello conforme a lo establecido en la Ley de Prevención de Riesgos Laborales y normativa que la desarrolla.
II. Todas las personas obreras de trabajos auxiliares a quienes la empresa no facilite las herramientas necesarias para la realización de los mismos, percibirán un Plus Extrasalarial por desgaste de herramientas de 28,49 € en 2025.
Artículo 35. Horas extraordinarias.
En esta materia se estará a lo dispuesto por el artículo 35 del texto refundido de la Ley del Estatuto de los Trabajadores, si bien las partes acuerdan la supresión de las mismas, con carácter habitual.
En todo caso, se respetarán las condiciones económicas más beneficiosas vigentes en esta materia en cada empresa, siendo el importe de la hora ordinaria el resultante de dividir el total de las retribuciones anuales por el número de horas de trabajo efectivo que constituyen la jornada laboral.
Artículo 36. Plus de productividad.
Dadas las casi insuperables dificultades que, por razón de su dimensión y características de la actividad industrial, tienen la mayoría de las empresas del sector para establecer sistemas medidos de productividad, se reconoce, en favor de los trabajadores/as de aquéllas, un Plus de Productividad por cuantía de 1041,41 € en 2025.
El devengo y pago de la parte proporcional del referido Plus (86,79 € en 2025), se efectuará en las doce mensualidades.
Los contratos a tiempo parcial, tendrán un complemento, que será el resultado de aplicar a la cantidad de 56,02 euros para 2025, el porcentaje que tengan de reducción de dicha jornada. Este complemento no podrá ser compensable ni absorbible.
CAPÍTULO VII MEJORAS SOCIALES.
Artículo 37. Indemnización por cese voluntario.
Aquellas personas trabajadoras que voluntariamente cesen en la empresa, por cualquier causa, siempre que lleven al menos 15 años en la misma o por subrogaciones, y tengan al menos 60 años cumplidos, se le indemnizarán como compensación a los servicios prestados, con arreglo a la siguiente escala:
En el año 2025:
a) Con 60 años: 6.646,60€.
b) Con 61 años: 4.785,57€.
c) Con 62 años: 3.821,86€.
d) Con 63 años: 2.924,49€.
e) Con 64 años: 1.093,78€.
f) Con 65 años: 1063,51€.
Artículo 38. Prestaciones complementarias por enfermedad o accidente.
Las personas trabajadoras afectados por el presente Convenio que causan baja por enfermedad o accidente percibirán desde la fecha en que se produzca la baja y mientras dure la situación legal de IT, un complemento salarial sobre las prestaciones económicas de la Seguridad Social equivalente al 15% de su salario real.
No obstante, las personas trabajadoras en situación de baja por enfermedad o accidente percibirán hasta el 100% de su salarlo real en los siguientes casos:
a) Durante los 3 primeros días de baja, por una sola vez al año.
b) En cualquier caso, a partir de 18 días de baja por enfermedad o accidente.
c) Desde el día primero de la baja, en todos los procesos derivados de accidente laboral.
d) Desde el primer día de la baja, en los procesos derivados de enfermedad profesional o común o accidente no laboral, siempre que medie hospitalización, intervención quirúrgica o que la persona trabajadora se encuentre sometido a proceso de rehabilitación bajo control médico.
Artículo 39. Créditos.
Las empresas avalarán a las personas trabajadoras los créditos que, para la adquisición de vivienda y demás bienes de vital necesidad y por cuantía máxima de 9.063,57 € en 2025, éstos soliciten.
Con independencia del límite indicado para su cuantía, las empresas solo se obligan a avalar, en cada momento, créditos para el 10% de su plantilla como máximo.
Artículo 40. Seguro colectivo.
1. Con independencia de las indemnizaciones obligatorias de la Seguridad Social que procedan, la empresa, mediante la concertación de póliza de cobertura con una entidad aseguradora garantizará a las personas trabajadoras o en su caso, a sus herederos y para los supuestos que se especifican, las siguientes indemnizaciones:
Muerte o invalidez permanente total o absoluta derivada de accidente no laboral: la empresa por mediación de la póliza de seguro, abonará a la persona trabajadora o, en su caso, a los herederos de la persona afectada o, en su defecto, a quien el mismo haya designado, la cantidad de 13.244,91 € en 2025.
Muerte o invalidez permanente total o absoluta derivada de enfermedad común: la empresa por mediación de la póliza de seguro, abonará a la persona trabajadora o, en su caso, a los herederos de la persona afectada o, en su defecto, a quien el mismo haya designado, la cantidad de 13.244,91 € en 2025.
Muerte o invalidez permanente total o absoluta del trabajador derivada de accidente laboral o enfermedad profesional: la empresa por mediación de la póliza de seguro, abonará a la persona trabajadora o, en su caso, a los herederos de la persona afectada o, en su defecto, a quien el mismo haya designado, la cantidad de 13.244,91 € en 2025.
2. A los efectos del número 1 de este artículo se entenderá:
Por invalidez permanente total la incapacidad que inhabilite a la persona afectada, de modo permanente, para realizar todas o las fundamentales tareas de su profesión habitual, aunque pueda dedicarse a otras distintas.
Por invalidez permanente absoluta, la incapacidad que inhabilite a la persona afectada de modo permanente para toda profesión u oficio.
3. La empresa queda obligada a entregar a la RLPT fotocopia de la póliza y de los recibos del pago de la prima.
4. La persona trabajadora aportará una certificación de la Seguridad Social a la empresa que indique, en su caso, el grado de incapacidad reconocida.
ENTRADA EN VIGOR: La obligación de actualizar la póliza de seguros descrita en los párrafos anteriores entra en vigor el 01/07/2025, permaneciendo vigente hasta tanto las partes negociadoras del convenio acuerden suprimirla o modificarla.
CAPÍTULO VIII PROTECCIÓN A PERSONAS ESPECIALMENTE SENSIBLES, IGUALDAD Y ACOSO LABORAL.
Artículo 41. Personas trabajadoras especialmente sensibles, acción positiva y derecho de las mujeres.
La Ley 31/1995 de Prevención de Riesgos Laborales (LPRL) establece que una persona trabajadora especialmente sensible es aquél que, por sus características personales o su estado biológico conocido, incluido el que tenga reconocida la situación de discapacidad física, psíquica o sensorial, sea más vulnerable a los riesgos derivados de su trabajo.
El empresario garantizará de manera específica la protección de estas personas trabajadoras. Es por eso que deberá tener en cuenta en las evaluaciones de los riesgos, tanto el grupo de personas trabajadoras especialmente sensible que exista en la empresa, como los factores de riesgos que puedan afectarle, para que en función de estas consideraciones, adopte las medidas preventivas y de protección necesarias.
La mujer trabajadora tendrá derecho, entre otros, a:
1. Igualdad de trato, igualdad salarial por trabajo de igual valor y no discriminación por razón de sexo.
2. Las empresas propiciarán políticas de acción positiva en las empresas de manera que se incremente la presencia de las mujeres en las categorías que, en la actualidad, estén infra representadas.
3. Cambio de puesto de trabajo por causa de embarazo:
Con el fin de facilitar la integración de las mujeres trabajadoras en las empresas, en los supuestos de embarazo de las mismas, y en los casos en que en su puesto de trabajo habitual estuvieran expuestas a agentes externos o demás condiciones que pudieran influir negativamente en su salud o en la del feto, se les facilitará transitoriamente otro puesto de trabajo exento de tales riesgos, siempre que el mismo existiera y previa consulta con los representantes de los trabajadores.
El cambio de puesto o función se llevará a cabo de conformidad con las reglas y criterios establecidos, para los supuestos de movilidad funcional, por el artículo 39 del Estatuto de los Trabajadores y tendrá efectos hasta el momento en que el estado de la trabajadora permita su reincorporación al puesto de procedencia.
Artículo 42. Igualdad de género y protección a la dignidad de las personas trabajadoras.
A) Igualdad de género:
Las empresas de 50 o más personas trabajadoras, en cumplimiento del Real Decreto Ley 6/2019, de 1 de marzo, de medidas urgentes de igualdad de trato, y como muestra del compromiso permanente con la igualdad efectiva entre mujeres y hombres en el ámbito laboral, negociara e implantarán un Plan de Igualdad, debiendo ser éste negociado con la representación legal de las personas trabajadoras y tal como establece el Real Decreto ley 901/2020.
De igual manera se tendrá en cuenta el Real Decreto 902/2020 de Igualdad Retributiva.
El Plan de Igualdad contemplará las siguientes materias:
Acceso al empleo.
Modelos de contratación.
Clasificación profesional.
Promoción.
Formación.
Retribuciones medias (salario base + complementos salariales + complementos extra salariales: tanto los inherentes al desempeño del cargo o a la categoría laboral como los voluntarios (disponibilidad, puntualidad, asistencia, libre discrecionalidad de la empresa etc.) por sexo y por categoría laboral).
Ordenación del tiempo de trabajo.
Conciliación de la vida laboral, personal y familiar.
Acumulación permiso de lactancia en jornadas completas.
Cualquier otra materia que sirva para conseguir y fomentar la igualdad efectiva entre hombres y mujeres.
Se incorporarán medidas que favorezcan la integración laboral y adaptación a su situación personal de las personas migrantes (idioma, lejanía del domicilio); garantizando el trato igualitario a personas LGTBI y medidas que favorezcan la integración con personas con diferentes capacidades.
B) Protección a la dignidad de las personas trabajadoras.
El acoso sexual en el trabajo representa una conducta comprensiva de muy variadas manifestaciones verbales y acciones físicas que, no deseadas por la víctima, son ofensivas para la misma y, por tanto, afectan a la dignidad de mujeres y hombres trabajadores.
Es por ello que si se produjese algún caso de acoso sexual se pondrá en conocimiento de los representantes legales de las personas trabajadoras y, en su defecto, de la Comisión Paritaria de este Convenio, con el fin de que se preste el necesario asesoramiento a la persona afectada en cuantas actuaciones legales sean precisas para evitar que se produzcan dichos actos, en todo caso, se salvaguardará al máximo la intimidad de la persona así agredida.
Para ello las empresas podrán implantar un protocolo de Prevención del acoso sexual y acoso por razón de sexo y darlo a conocer a las personas trabajadoras de la empresa.
CAPÍTULO IX COMISIÓN PARITARIA.
Artículo 43. Comisión Paritaria.
Se constituye una Comisión Paritaria para resolver, con carácter previo a la vía judicial, cuantas cuestiones y dudas pudieran suscitarse en cuanto al contenido de las normas del presente Convenio, así como la vigilancia de su correcta aplicación. Especialmente, dicha Comisión velará porque se cumpla estrictamente lo pactado a los apartados I y II del artículo 5º del mismo.
Dicha Comisión estará integrada por los representantes de la Empresa y Trabajadores/as al final relacionados, siendo el Presidente de la misma, alternativamente y por períodos mensuales, un vocal de la parte empresarial y otro de la social, siguiéndose el mismo criterio en cuanto al desempeño de la función de Secretario.
En ningún caso el Presidente y el Secretario pertenecerán a la misma representación.
El Secretario convocará, mensualmente, las reuniones, salvo que no existiesen asuntos que tratar, con expresión del orden del día, lugar, día y hora de la misma, y a ellas podrán asistir los asesores que, por cada parte, se consideren convenientes.
Vocales empresariales titulares:
Alvear SA.
Navisa Industrial Vinícola Española S.A.
Gracia Hnos. SA.
Aragón y Compañía S.A.
Diego Molina Reyes S.A.
Bodegas Manuel del Pino S.A.
Vocales sociales Titulares:
Tres representantes por CC.OO.
Tres representantes por UGT.
Se establece como domicilio de la Comisión Paritaria a efectos de notificaciones, la Asociación de Empresarios de Vinos y Bebidas Alcohólicas de Córdoba o bien las respectivas sedes de los Sindicatos intervinientes, UGT y CC.OO.
CAPÍTULO IX DERECHO SINDICALES.
Artículo 44. De los trabajadores/as de representación colectiva y de reunión de los trabajadores /as de la empresa.
En esta materia se estará a lo dispuesto en el texto refundido de la Ley del Estatuto de los Trabajadores, con la particularidad que, en cuanto al ejercicio de las funciones de representatividad reguladas en el artículo 68.e, a continuación, se indica:
Los distintos miembros del Comité de Empresa, y en su caso, de los Delegados/as de Personal, podrán acumular en uno o varios de sus componentes el crédito de horas mensuales retribuidas que se establecen en el artículo de referencia sin rebasar el máximo total.
Podrán también, como fórmula alternativa de lo anterior renunciar a dicha acumulación de horas y poder disponer en conjunto de las que, conforme a la ley, corresponda a cada uno dentro de cada cuatrimestre natural del año.
CAPÍTULO IX PREVENCIÓN DE RIESGOS LABORALES.
Artículo 45. Formación.
Las empresas y las personas trabajadoras del sector, conscientes de la importancia de la Ley de Prevención de Riesgos Laborales y de la gravedad y cuantías de las sanciones previstas en la misma, se comprometen a su riguroso cumplimiento.
a). En cumplimiento del deber de protección, el empresario deberá garantizar que cada persona trabajadora reciba una formación, teórica y práctica, suficiente y adecuada, en materia preventiva, tanto en el momento de su contratación, cualquiera que sea la modalidad o duración de ésta, como cuando se produzca cambio en las funciones que desempeñe o se introduzcan nuevas tecnologías o cambios en los equipos de trabajo. La formación deberá estar centrada específicamente en el puesto de trabajo o función de cada persona trabajadora, adaptarse a la evolución de los riesgos o a la aparición de otros nuevos y repetirse periódicamente, si fuera necesario.
b). La formación a que se refiere el apartado anterior deberá impartirse, siempre que sea posible, dentro de la jornada de trabajo o, en su defecto, en otras horas pero con el descuento en aquélla del tiempo impartido en la misma. La formación se podrá impartir por la empresa mediante medios propios o concertándola con servicios ajenos y su coste no recaerá en ningún caso sobre los trabajadores/as.
c). Con independencia de los cursos que están obligados a impartirlas empresas en materia de salud laboral, los delegados/as de prevención tendrán derecho a asistir a un curso al año de salud laboral impartido por las organizaciones firmantes del Convenio, dentro de la jornada laboral (retribuida a todos los efectos y sin que afecte al cómputo horario de los Delegados/as de Personal y Miembros de Comités de Empresa).
d). El tiempo utilizado por los Delegados/as de Prevención para el desempeño de las funciones previstas en la Ley de Prevención de Riesgos Laborales será considerado como de ejercicio de funciones de representación a efectos de la utilización del crédito de horas mensuales retribuidas previsto en este convenio.
No obstante, lo anterior, será considerado en todo caso como tiempo de trabajo efectivo, sin imputación al citado crédito horario, el correspondiente a las reuniones del Comité de Seguridad y Salud y a cualesquiera otras convocadas por el empresario en materia de prevención de riesgos, así como el destinado a las visitas previstas en la letra a y c del artículo 36 de la Ley de Prevención de Riesgos Laborales.
El empresario deberá proporcionar a los delegados/as de Prevención los medios y la formación en materia preventiva que resulten necesarios para el ejercicio de sus funciones. La formación se deberá facilitar por el empresario por sus propios medios o mediante concierto con organismos o entidades especializadas en la materia y deberá adaptarse a la evolución de los riesgos y a la aparición de otros nuevos, repitiéndose periódicamente si fuese necesario.
El tiempo dedicado a la formación será considerado como tiempo de trabajo a todos los efectos y su coste no podrá recaer en ningún caso sobre los Delegados/as de Prevención.
En cumplimiento del deber de protección el empresario deberá garantizar la formación de nivel básico, 30 o 50 horas según los casos, a los delegados/as de prevención.
La formación deberá impartirse siempre que sea posible dentro de la jornada de trabajo, o en su defecto, en otras horas, pero con el descuento en aquella del tiempo invertido en la misma.
e) Las empresas deberán de dotarse de un Plan de Prevención en materia de Salud y Seguridad, así como los servicios legalmente previstos para la realización del mismo, de acuerdo con los criterios reconocidos por la Ley de Prevención de Riesgos laborales.
Los planteamientos de estas acciones y medidas deberán estar encaminadas a lograr una mejora de la calidad de vida y medio ambiente de trabajo, desarrollando objetivos de defensa de la salud, mejora de las condiciones de trabajo, potenciación de las técnicas preventivas como medio de la eliminación de riesgos en su origen y la participación de los representantes de las personas trabajadoras en los centros de trabajo.
Los representantes de las personas trabajadoras y los empresarios/as participarán en su elaboración y velarán por el cumplimiento de lo señalado en el marco de la empresa.
La planificación y organización de las acciones preventivas deberán formar parte de la organización del trabajo de forma integrada en todos los niveles de gestión de las empresas.
Todo ello sin perjuicio de lo establecido en la Ley de Prevención de Riesgos Laborales y cuantas normas al respecto se establezcan.
CAPÍTULO X TELETRABAJO.
Artículo 46. Teletrabajo.
Será de aplicación el Real Decreto Ley 28/2020, de 22 de septiembre, de trabajo a distancia.
En la empresa o empresas deberán articularse los medios necesarios para el adecuado ejercicio y respecto de los derechos establecidos en los artículos 87 a 91 de la LOPD, y en la normativa que la desarrolla o sustituya.
Derecho a la desconexión:
Los trabajadores/as tienen derecho a estar digitalmente desconectados, a no contestar correos ni a recibir llamadas fuera de las horas de trabajo a fin de que quede garantizado su derecho al descanso, permisos y vacaciones, así como a su intimidad personal y familiar.
La información, formación y sensibilización acerca de los criterios establecidos en este precepto deberá transmitirse a los trabajadores y trabajadoras de forma clara e inequívoca, debiendo desarrollarse actividades formativas en tal sentido que aseguren el correcto conocimiento de los criterios.
Las empresas no podrán tomar medidas contra las personas trabajadoras que hagan uso efectivo de su derecho a la desconexión digital implantado en el seno de la empresa.
CAPÍTULO XI PLAN LGTBIQ+.
Artículo 47. PLAN LGTBIQ+.
I. ANTECEDENTES.
Con fecha 2 de marzo de 2023, entró en vigor La Ley 4/2023, de 28 de febrero, para la igualdad real y efectiva de las personas trans y para la garantía de los derechos de las personas LGTBI, la cual establece un marco legal concreto para este colectivo.
En este sentido, el artículo 15.1 de la citada Ley establece que las empresas de más de 50 trabajadores deben implementar un conjunto de medidas y recursos para lograr la igualdad efectiva de las personas LGTBI.
Para dar respuesta a la necesidad de establecer una serie de medidas para la igualdad efectiva del personal LGTBIQ+, se establece la presente política para hacer frente a las necesidades del personal laboral de las empresas, así como para dar cumplimiento a la legislación actual en la materia.
II. ÁMBITO PERSONAL.
Serán destinatarios de las medidas comprendidas en esta política todas las personas trabajadoras del sector del vino y bebidas alcohólicas de Córdoba, independientemente del vínculo jurídico que los una a las empresas y, por tanto, será de aplicación no sólo a la plantilla laboral sino también a cualquier otro personal que pudiera tener una relación asimilable, siempre que desarrollen su actividad dentro del ámbito organizativo de las empresas.
También se aplicará a los trabajadores y las trabajadoras de las empresas subcontratadas, siempre que, en el marco de la cooperación entre empresas derivada del artículo 24 de la Ley 31/1995, de 8 de noviembre, de prevención de riesgos laborales, prestan sus servicios en esta y resulte implicado personal de la empresa.
Finalmente, también se aplicará a aquellas personas que no forman parte de las empresas, pero que se relacionan con aquellas debido a su trabajo: clientes/as, proveedores/as y personas que solicitan un puesto de trabajo. En caso de que resulte implicado personal ajeno a la empresa, se dará conocimiento del suceso a sus respectivas empresas, para que sean éstas las que tomen las medidas que crean oportunas.
III. OBJETIVO Y CUMPLIMIENTO.
Las disposiciones contenidas en este documento irán encaminadas a establecer medidas que garanticen la dignidad y la integridad física y moral de las personas trabajadoras. Las empresas se comprometen así a impulsar medidas para prevenir, evitar, resolver y, en su caso, sancionar los supuestos de acoso discriminatorio por razón de orientación sexual, identidad o expresión de género y características sexuales que puedan producirse en el ámbito de aplicación, como requisito para garantizar la dignidad, integridad e igualdad de trato y oportunidades en todos los niveles de la empresa.
Todas las personas incluidas en el ámbito de aplicación tienen derecho a emplear este procedimiento con garantías, a no ser objeto de intimidación, trato injusto, discriminatorio, degradante o desfavorable. Dicha protección se extiende a todas las personas que intervengan en los mismos.
El documento es de obligado cumplimiento para todos los miembros de las empresas, siendo asimismo responsabilidad de todas las personas trabajadoras que se pueda llevar a cabo.
IV. DEFINICIONES.
Se entiende por acoso LGTBI-fóbico cualquier comportamiento, verbal o físico, que tenga el propósito o produzca el efecto de atentar contra la dignidad de una persona, en función de su orientación sexual, identidad o expresión de género o características sexuales, en particular cuando se crea un entorno intimidatorio, hostil, degradante, humillante u ofensivo.
a) Dis cr imin a c ión d i r e c ta :
Situación en que se encuentra una persona o grupo en que se integra que sea, haya sido o pudiera ser tratada de manera menos favorable que otras en situación análoga o comparable por razón de orientación sexual e identidad sexual, expresión de género o características sexuales.
b) Dis cr imin a c ión ind i r e c ta :
Se produce cuando una disposición, criterio o práctica aparentemente neutros ocasiona o puede ocasionar a una o varias personas una desventaja particular con respecto a otras por razón de orientación sexual, e identidad sexual, expresión de género o características sexuales.
c ) Dis cr imin a c ión múltiple e in t e r se cc ion a l :
Se produce discriminación múltiple cuando una persona es discriminada, de manera simultánea o consecutiva, por dos o más causas de discriminación previstas en la Ley 15/2022, de 12 de julio, integral para la igualdad de trato y la no discriminación. Se produce discriminación interseccional, cuando concurren o interactúan diversas causas, generando una forma específica de discriminación.
d) A c oso dis cr imin a to r io :
Cualquier conducta realizada por razón de alguna de las causas de discriminación previstas en la Ley 15/2022, de 12 de julio, con el objetivo o la consecuencia de atentar contra la dignidad de una persona o grupo en que se integra y de crear un entorno intimidatorio, hostil, degradante, humillante u ofensivo.
e ) Dis cr imin a c ión por aso c i a c ión y dis c r imin a c ión por e rr o r :
Existe discriminación por asociación cuando una persona o grupo en que se integra, debido a su relación con otra sobre la que concurra alguna de las causas de discriminación por razón de orientación e identidad sexual, expresión de género o características sexuales, es objeto de un trato discriminatorio. La discriminación por error es aquella que se funda en una apreciación incorrecta acerca de las características de la persona o personas discriminadas.
f) R e p r e salia Dis c r imin a to r i a :
Trato adverso o efecto negativo que se produce contra una persona como consecuencia de la presentación de una queja, reclamación, denuncia, demanda o recurso, de cualquier tipo, destinado a evitar, disminuir o denunciar la discriminación o el acoso al que es sometida o ha sido sometida. Según el sujeto activo se pueden distinguir tres tipos de acoso:
-Acoso descendente: el autor o la autora tiene una posición jerárquica dominante sobre la víctima (de jefe/a hacia subordinado/a).
-Acoso ascendente: aquel donde el autor o la autora tiene una posición subordinada jerárquica a la víctima (de subordinado/a hacia jefe/a).
-Acoso horizontal: aquel en el que tanto el autor o la autora como la víctima tienen una posición ni dominante ni subordinada en su relación (de compañero/a a compañero/a).
V. MEDIDAS PARA LA GARANTÍA DEL DERECHO A LA IGUALDAD DE LAS PERSONAS LGTBIQ+.
Para dotar de un carácter preventivo al presente protocolo, se tendrá que dar difusión del mismo a todas las personas trabajadoras de la empresa, incluida la plantilla de dirección, cuadros de mando e intermedios, así como a las nuevas incorporaciones.
Al objeto de evitar las situaciones que pudieran entenderse constitutivas de acoso en el entorno laboral se tendrán en cuenta, entre otras, las siguientes directrices:
1. Respeto: Se promoverá un ambiente de respeto y corrección en el trabajo. Se prohíbe el uso de expresiones y modales insultantes, humillantes o intimidatorios.
2. Comunicación: No se permiten actitudes tendentes al aislamiento o a la reducción normal de la comunicación entre las personas de la plantilla.
3. Reputación: Se prohíbe toda actitud dirigida al descrédito o merma de la reputación laboral o personal de cualquier persona de la plantilla.
4. Discreción en la reprensión: Las comunicaciones tendentes a rectificar la conducta de una persona o llamarle la atención por un inadecuado desempeño laboral se harán de forma reservada.
5. No arbitrariedad: Queda prohibida una distribución arbitraria o abusiva que no pueda atenderse en el tiempo de trabajo o suponga un vaciado de funciones.
6. Uniformidad y equidad: La aplicación de los mecanismos de control de trabajo y de seguimiento del rendimiento será uniforme y equitativa, teniendo en cuenta las circunstancias personales.
7. Evitación del hostigamiento: Se prohíbe cualquier trato adverso como consecuencia de la presentación de reclamaciones o demandas destinadas a impedir la discriminación o exigir el cumplimiento efectivo del principio de igualdad.
VI. PROCESO DE DENUNCIA EN CASO DE INCUMPLIMIENTO Y PROCEDIMIENTO.
Podrá presentar la denuncia a través del canal de denuncias de la Compañía que se encuentra en la Intranet o informando directamente al Departamento de Personal del centro:
a) Cualquier persona que se considere víctima de acoso por razón de orientación sexual, identidad o expresión de género o características sexuales.
b) Cualquier persona que tenga conocimiento de un caso de acoso por razón de orientación sexual, identidad o expresión de género o características sexuales.
c) El comité de empresa o delegados/as de personal, las organizaciones sindicales con representación en el comité de empresa o delegadas/os de personal, y la organización sindical a la que pudiera pertenecer la víctima.
d) Las personas receptoras de directrices que supongan la discriminación por razón de orientación sexual, identidad o expresión de género o características sexuales.
En la denuncia debe constar la identificación de la persona presuntamente acosadora y de la persona presuntamente acosada y una descripción detallada de los hechos que motivan la denuncia.
a. CO M I S I Ó N IN S T R U C T O RA.
a) Comisión Instructora: Se conformará ante cada denuncia por la representación legal de los trabajadores o, en caso de no existir, por una representación de trabajadores elegidos al efecto por el resto de trabajadores y de la empresa, en el número que estos determinen y de forma paritaria.
b) Incompatibilidades: Las personas integrantes de la Comisión Instructora se designarán de modo que no tengan relación de parentesco ni relación de amistad o enemistad con las personas implicadas en un procedimiento concreto (denunciante-denunciado/a).
Si una persona es denunciada o es denunciante, queda impedida para intervenir en cualquier otro procedimiento hasta la completa resolución de su propio caso.
c) Funciones de la Comisión Instructora:
-Recibir la denuncia por acoso por razón de orientación sexual, identidad o expresión de género o características sexuales que deba instruir.
-Investigar las denuncias de acuerdo con lo establecido en este protocolo, pudiendo acceder a la información necesaria y con utilización de los medios materiales y humanos necesarios.
-Cogestionar con la Dirección de la empresa las medidas cautelares que estime convenientes.
-Elaborar conclusiones sobre e l caso investigado y proponer acciones disciplinarias, verificando la adopción de las mismas.
-Cualquier otra función que le pueda ser atribuida.
En los casos en los que de la labor instructora se pudiera constatar de manera indiciaria responsabilidad directa de la empresa en la actuación de acoso, se dará cuenta de oficio a la Inspección de Trabajo a los efectos oportunos.
En los casos en los que de la labor instructora se pudiera constatar de manera indiciaria la existencia de un delito de odio, se dará cuenta de oficio al Ministerio Fiscal o la autoridad competente.
b. INT E R V I N I E N T ES Y D E SAR R O LLO DEL P RO C ED I M I E N T O.
El procedimiento se pondrá en marcha una vez recibida la denuncia, tanto si es verbal como si es escrita, si bien en caso de ser verbal tendrá que ratificarse por escrito, indicando que se considera haber sido objeto de alguna de las situaciones descritas en este documento o que tiene conocimiento de que otra persona empleada ha sido sometida a tales situaciones.
Recibida la denuncia, la empresa activará sin dilación la conformación de Comisión Instructora.
El papel de la empresa en estas actuaciones previas se limita a ser la receptora de la denuncia, sin entrar al fondo y sin objetar sobre la procedencia o no de la denuncia. Está exclusivamente para que las presuntas víctimas sepan a quién dirigirse. Si la víctima o las víctimas consideran que la empresa está excediendo ese papel, podrán dirigir la denuncia a la representación de los trabajadores, para que se active de inmediato la formación de la Comisión Instructora.
En ese momento se procederá a la apertura de expediente de investigación, que estará encaminado a comprobar los hechos y cuya sustanciación no puede durar más de quince días laborables, salvo que la Comisión Instructora necesite ampliar el plazo por razones justificadas, con acuerdo de las partes que la componen.
Serán siempre parte como intervinientes en el procedimiento, la persona denunciante, la víctima, la comisión instructora y la dirección de la empresa.
Procedimiento instructor: Una vez recibida la denuncia y conformada la comisión de instrucción se llevarán a cabo las siguientes actuaciones:
-Valorar la necesidad de adoptar medidas cautelares, para el resguardo físico y psicológico de las personas afectadas, tales como separación de espacios físicos, redistribución de tareas u otras posibilidades derivadas de las condiciones de trabajo.
-Recabar la información que considere necesaria sobre el supuesto de acoso.
-Valorar las personas que deben ser entrevistadas, procediendo a su realización.
-Determinar las pruebas que se practicarán.
-Dar audiencia a las partes, pudiendo estas acudir acompañadas de los representantes de los trabajadores, si así lo solicitan.
-Redactar y firmar las actas de todas las reuniones y entrevistas que se celebren, garantizando confidencialidad total y reserva de su contenido.
c . F IN A L I Z A C I Ó N.
Finalizada la instrucción, la Comisión debe redactar un informe sobre el presunto acoso investigado en el que indicará las conclusiones alcanzadas.
a) Medidas disciplinarias, con indicación de la infracción cometida y la propuesta de sanción.
b) Archivo del expediente, si los hechos no son constitutivos de acoso.
La resolución adoptada será comunicada a las personas denunciantes y denunciadas.
d. T I P I F I C A C I Ó N.
Se considerará como falta leve el uso de lenguaje que pueda ser ofensivo o discriminatorio por razón de orientación sexual, identidad de género y/o expresión de género. La reiteración de esta falta se convertirá en falta grave o muy grave.
Dependiendo de las circunstancias del caso del acoso por razón de orientación sexual, identidad de género y/o expresión de género o los comportamientos contrarios a la libertad sexual de las personas trabajadoras será considerado como falta grave o muy grave.
La violación de la confidencialidad de los permisos por intervención quirúrgica para reasignación sexual se considerará falta muy grave.
Las conductas de represalia contra una persona que haya presentado queja o denuncia interna acoso por razón de orientación sexual, identidad de género y/o expresión de género, o contra una persona que haya colaborado en la investigación constituirán una falta muy grave.
Las sanciones a aplicar serán las establecidas en el presente Convenio colectivo en cada momento para las faltas leves, graves y muy graves.
C i rc u n s t a nc i a s agr a v a n t e s.
A efectos de valorar la gravedad de los hechos y determinar las sanciones que, en su caso, pudieran imponerse, se tendrán como circunstancias agravantes las siguientes:
-Que la persona denunciada sea reincidente en la comisión de actos de acoso por razón de orientación sexual, identidad de género y/o expresión de género.
-Que la víctima sufra algún tipo de discapacidad, física, psíquica o sensorial.
-Que la víctima haya sufrido graves alteraciones psicológicas, médicamente acreditadas.
-Que la víctima esté en período de prueba o tenga un contrato formativo, en prácticas o temporal.
-Que el acoso se produzca durante el proceso de selección de personal.
-Que se ejerzan presiones y / o represalias sobre la víctima, testigos o personas de su entorno laboral o familiar con el objeto de evitar o dificultar la investigación.
-Que se trate de un acoso descendente.
-Que sea por orden.
-Que sea en periodo de elecciones a la representación legal de la plantilla.
VII. SEGUIMIENTO.
Se creará en cada empresa una Comisión de seguimiento del plan LGTBIQ+ conformada por representantes de la empresa y de los trabajadores de forma paritaria. La Comisión de Seguimiento del Plan LGTBIQ+ se encargará de hacer un seguimiento de la evolución de la conflictividad por acoso LGTBIQ+-fóbico, analizar las causas de los comportamientos, vigilar el adecuado funcionamiento del protocolo y proponer posibles mejoras, tanto del protocolo como de las políticas de igualdad en la empresa.
VIII. MÁXIMA DIVULGACIÓN.
Este protocolo debe ser conocido por todas las personas que conforman las empresas, así como por las personas y empresas que interactúan con estas. Por tanto, se garantizará su accesibilidad a todas las personas trabajadoras, para favorecer el ejercicio de sus derechos y para informar sobre sus obligaciones, así como a todas las personas o entidades con las que las empresas tienen una relación que puede afectar a las personas de la plantilla, tanto como acosadoras como en calidad de acosadas, de cara a evitar y perseguir cualquier actuación de acoso discriminatorio en el seno de la empresa.
IX. FORMACIÓN.
Se establece un plan de formación en diversidad para todas las personas trabajadoras. Este es un paso esencial para fomentar un ambiente inclusivo y libre de discriminación. Las acciones formativas incluirán:
– Capacitación sobre igualdad y diversidad: Cubrir temas como la orientación sexual, identidad y expresión de género, y los derechos LGTBIQ+.
– Sensibilización sobre el acoso: Instruir a las personas trabajadoras sobre cómo identificar y prevenir conductas discriminatorias o de acoso.
Las Empresas se compromete a erradicar estereotipos en el acceso al empleo de las personas LGTBIQ+, en especial a través de la formación adecuada de las personas que participan en los procesos de selección X. VIGENCIA.
La vigencia de estas medidas se iniciará con la incorporación al convenio colectivo del sector y mantendrá su vigencia mientras las partes firmantes no consideren necesaria su modificación o la normativa legal o convencional no obligue a ello.
DISPOSICIONES FINALES.
Artículo 48. Disposiciones finales.
I. Queda prohibida expresamente para todas las personas trabajadoras afectados por el presente Convenio el prestar su actividad en otras empresas del mismo ramo o sector, a no ser que la propia le autorice. El incumplimiento al respecto, será causa de despido.
II. Todas las empresas afectadas por el presente Convenio deducirán en los recibos oficiales de sus personas trabajadoras, previa autorización por escrito de los mismos, el importe de la cuota sindical correspondiente, que será ingresada por la empresa en la cuenta y por la cuantía que, a tal efecto, la persona trabajadora señale.
III. Las personas trabajadoras y la empresa o empresas comprendidos en el ámbito de aplicación del presente Convenio, una vez agotado, en su caso, los trámites ante las Comisiones Paritarias se someterán a los procedimientos del SERCLA para los conflictos colectivos. En relación a los conflictos individuales que se susciten en materia de: clasificación profesional, movilidad funcional, trabajos de superior o inferior categoría; modificaciones sustanciales de condiciones de trabajo; traslados y desplazamientos; período de disfrute de vacaciones; licencias, permisos y reducciones de jornada, se someterán igualmente a los procedimientos contemplados en el SERCLA para los conflictos individuales.
IV. Dada la importancia para el futuro de las empresas y de las personas trabajadoras de la formación, las empresas podrán elaborar junto con la RLPT un plan de formación anual sobre la formación bonificada y certificada por FUNDAE.
V. Comisiones de trabajo de Ajuste de Categorías y Funciones al puesto de trabajo, Tablas y nuevo criterio de antigüedad: Esta comisión se encargará de regular y actualizar en Convenio tanto las Categorías como la Funciones del Puesto de Trabajo. Las partes se comprometen a realizar una comisión de trabajo, para la incorporación de dichos temas al convenio colectivo. La parte Social aportará un borrador de propuesta de actualización, que será consensuado por la Representación Empresarial y se aprobará para dar curso a su publicación posterior. Actualizar las Tablas al SMI y adecuar la antigüedad con nuevos criterios.
VI. Para todas las personas trabajadoras afectados por el convenio colectivo se les garantiza como mínimo el salario que el Gobierno legisle para el SMI de cada año de vigencia.
Para el año 2025 el salario mínimo a percibir será 1.184 € en 14 mensualidades, aquí estarán incluidos los complementos salariales que por Ley computan para el cálculo del SMI. En caso de no alcanzar esa cifre la empresa complementará hasta la cantidad de 1.184 € mensuales a través de un complemento personal no consolidable. La comisión paritaria se reunirá cada vez que se publique el SMI anual para regular dicha cláusula.
VII. Las titulaciones de las categorías que constan en la tabla tendrán la siguiente equivalencia:
TITULADOS/AS UNIVERSITARIO/A DE GRADO SUPERIOR/ TÍTULO SUPERIOR.
-Antiguos Licenciados/as o titulados/as superiores.
-Grados universitarios que además dispongan de un Máster.
Se incluirán en esta categoría las personas trabajadoras que teniendo la anterior titulación realicen en la empresa funciones propias de su título.
TITULADOS/AS UNIVERSITARIOS/AS DE GRADO MEDIO/TÍTULO MEDIO.
-Antiguos diplomados/as.
-Grados universitarios.
Se incluirán en esta categoría las personas trabajadoras que teniendo la anterior titulación realicen en la empresa funciones propias de su título.
TÉCNICO/A DE GRADO SUPERIOR O MEDIO DE FP/ TÍTULO INFERIOR.
Se incluirán en esta categoría las personas trabajadoras que teniendo la anterior titulación expedida por centros docentes especializados realicen en la empresa funciones propias de su título.
TABLAS SALARIALES 2025.
REVISIÓN SALARIAL (BOP Nº 60 – Jueves, 26 de Marzo de 2026)
Código de Convenio: 14000155011982.
Visto el Texto del Acuerdo, de fecha 4 de febrero de 2026, de la Comisión Paritaria del Convenio Colectivo de las Industrias Vinícolas, Licoreras y Alcoholeras de la Provincia de Córdoba para los años 2025 y 2026, mediante el que se aprueban las tablas salariales para el año 2026, y de conformidad con lo establecido en el artículo 90 del Real Decreto Legislativo 2/2015, de 23 de octubre, por el que se aprueba el texto refundido del Estatuto de los Trabajadores y en el Real Decreto 713/2010, de 28 de mayo, sobre registro y depósito de convenios y acuerdos colectivos de trabajo, modificado por el Real Decreto 901/2020, de 13 de octubre, por el que se regulan los planes de igualdad y su registro y se modifica el Real Decreto 713/2010, de 28 de mayo, sobre registro y depósito de convenios y acuerdos colectivos de trabajo, esta Autoridad Laboral, sobre la base de las competencias atribuidas en el Real Decreto 4043/1982, de 29 de diciembre, sobre Traspaso de Funciones y Servicios de la Administración del Estado a la Junta de Andalucía en materia de trabajo, la Ley 9/2007, de 22 de octubre, de la Administración de la Junta de Andalucía (BOJA nº 215, de 31 de octubre), el Decreto 226/2020, de 29 de diciembre, por el que se regula la Organización Territorial Provincial de la Administración de la Junta de Andalucía (BOJA Ext. nº 90, de 30 de diciembre), modificado por el Decreto 300/2022, de 30 de agosto (BOJA Ext. nº 29, de 30 de agosto), el artículo 5 del Decreto del Presidente 10/2022, de 25 de julio, sobre Reestructuración de Consejerías, en relación con el artículo 11 del Decreto del Presidente 6/2024, de 29 de julio, sobre Reestructuración de Consejerías, y el Decreto 155/2022, de 9 agosto, por el que se regula la Estructura Orgánica de la Consejería de Empleo, Empresa y Trabajo Autónomo (BOJA Ext. nº 28, de 11 de agosto),
A C U E R D A.
PRIMERO.- Ordenar su inscripción en el Registro de Convenios y Acuerdos Colectivos de trabajo, y Planes de Igualdad con funcionamiento a través de medios electrónicos de este Centro Directivo.
SEGUNDO.- Disponer su publicación en el Boletín Oficial de la Provincia.
Córdoba, 18 de marzo de 2026.- La Delegada Territorial de Empleo, Empresa y Trabajo Autónomo en Córdoba, María Dolores Gálvez Páez.
ACTA DE LA COMISIÓN PARITARIA DEL CONVENIO COLECTIVO DE LAS INDUSTRIAS VINÍCOLAS, LICORERAS Y ALCOHOLERAS DE LA PROVINCIA DE CÓRDOBA.
ASISTENTES:
POR ASOCIACIÓN PROVINCIAS DE EMPRESARIOS DE VINOS Y BEBIDAS ALCOHÓLICAS DE CÓRDOBA:
Don Luis Giménez de Alvear.
Don Gonzalo Córdoba.
ASESOR:
Don Antonio Arroyo Díaz.
POR CCOO:
Don Manuel Muñoz Ramírez.
POR UGT:
Don Antonio R. Lopera Ordóñez
En Córdoba, siendo las diez horas, del día 4 de febrero de dos mil veintiséis, se reúnen los señores relacionados al margen miembros de la Comisión Negociadora del Convenio Colectivo de las Industrias Vinícolas, Licoreras y Alcoholeras de la Provincia de Córdoba.
Se procede conforme a lo establecido en el artículo 20º del vigente Convenio Colectivo, acordándose seguidamente lo siguiente:
Primero. Proceder a actualizar las tablas salariales con efectos desde el 1 de enero 2026, con un incremento del 3% tomando como referencia las tablas de 2025. Se acompañan como anexo las tablas salariales correspondientes al año 2026 incluyendo el incremento previsto (3%).
Segundo. Elevar a la Autoridad Laboral Competente los acuerdos de revisión aprobados, así como las tablas correspondientes, al año 2026 a los efectos de su homologación y publicación en el Boletín Oficial de la Provincia.
Tercero. Facultar a don Antonio Arroyo Díaz para que presente toda la documentación ante la Delegación Provincial de la Consejería de Empleo de la Junta de Andalucía.
Y no habiendo más asuntos que tratar, se da por concluida la reunión, siendo las once horas del día arriba indicado.
