CONVENIO COLECTIVO (BOP nº 167, 01-09-2023)
Código de Convenio: 14000265011982
Visto el Texto suscrito por la Comisión Negociadora del Convenio Colectivo de las Industrias del Aceite y sus Derivados de la Provincia de Córdoba (2023-2025), aprobado el día 21 de julio de 2023, y de conformidad con lo dispuesto en el artículo 90, apartados 2 y 3, de la Ley del Estatuto de los Trabajadores, texto refundido aprobado por Real Decreto Legislativo 2/2015, de 23 de octubre, y en el Real Decreto 713/2010, de 28 de mayo, sobre registro y depósito de convenios y acuerdos colectivos de trabajo, modificado por el Real Decreto 901/2020, de 13 de octubre, por el que se regulan los planes de igualdad y su registro y se modifica el Real Decreto 713/2010, de 28 de mayo, sobre registro y depósito de convenios y acuerdos colectivos de trabajo, esta Autoridad Laboral, sobre la base de las competencias atribuidas en el Real Decreto 4043/1982, de 29 de diciembre, sobre Traspaso de Funciones y Servicios de la Administración del Estado a la Junta de Andalucía en materia de trabajo, la Ley 9/2007, de 22 de octubre, de la Administración de la Junta de Andalucía (BOJA nº 215, de 31 de octubre), el Decreto 226/2020, de 29 de diciembre, por el que se regula la organización territorial provincial de la Administración de la Junta de Andalucía (BOJA Ext. nº 90, de 30 de diciembre), modificado por Decreto 300/2022, de 30 de agosto; el Decreto del Presidente 10/2022, de 25 de julio, de la Vicepresidencia y sobre reestructuración de Consejerías (BOJA Ext. nº 25, de 26 de julio), modificado por el Decreto del Presidente 13/2022, de 8 de agosto (BOJA Ext. nº 27, de 8 de agosto), y el Decreto 155/2022, de 9 agosto, por el que se regula la estructura orgánica de la Consejería de Empleo, Empresa y Trabajo Autónomo (BOJA Ext. nº 28, de 11 de agosto),
ACUERDA
PRIMERO. Ordenar su inscripción en el Registro de Convenios y Acuerdos Colectivos de trabajo con funcionamiento a través de medios electrónicos de este Centro Directivo, con notificación a la Comisión Negociadora del Convenio.
SEGUNDO. Disponer su publicación en el Boletín Oficial de la Provincia.
Córdoba, 25 de agosto de 2023. Firmado electrónicamente por la Delegada Territorial de Empleo, Empresa y Trabajo Autónomo en Córdoba, María Dolores Gálvez Páez.
CONVENIO COLECTIVO PROVINCIAL PARA LAS INDUSTRIAS DEL ACEITE Y SUS DERIVADOS PARA LA PROVINCIA DE CÓRDOBA. AÑOS 2023-2025
CAPÍTULO I Disposiciones generales
Artículo 1. Ámbito de aplicación
El presente convenio tiene carácter provincial. Es de aplicación a todas las empresas cuya actividad principal sea la industria del aceite y sus derivados, en Córdoba y su provincia, incluidas las cooperativas y las almazaras agrícolas.
Se definen como actividades incluidas en este Convenio las siguientes:
-Almazaras.
-Extractoras.
-Envasadoras.
-Molturación.
-Desdobladoras.
-Transformación de grasas comestibles y grasas industriales.
-Hidrogenación.
-Oleínas, estearinas y ácidos grasos destilados.
-Cooperativas olivareras y cooperativas envasadoras.
-Refinerías.
-Destilerías de glicerina.
-Fábricas de jabón.
-Almacenes o Delegaciones de aceites, grasas, jabones o detergentes.
-Estaciones de descarga de aceites a granel.
-Exportadores de aceites.
-Importadores de semillas y productos oleaginosos.
-Aderezadores de aceituna.
-Almacenistas de aceituna.
-Envasadores de aceituna.
-Exportadores de aceituna.
-Minoristas exclusivos de aceites y jabones.
-Así como todas las actividades de aprovisionamiento, comercialización y transporte de dichos productos.
Como trabajadores y trabajadoras, dentro del ámbito de aplicación del presente Convenio, serán todas y todos los que presten sus servicios profesionales en las industrias antes relacionadas, estando únicamente excluidos aquellos que desempeñen funciones de alta dirección.
Artículo 2. Vigencia
El presente Convenio tendrá una duración de tres años. Entrando en vigor el 1 de enero de 2023 hasta el 31 de diciembre de 2025. No obstante, la modificación efectuada en el seguro incluyendo incapacidad permanente total o absoluta por enfermedad común se aplicará desde el 1 de enero de 2024.
Cualquiera de las partes, dentro del último mes de su vigencia, podrá solicitar la revisión o renovación del Convenio, entendiéndose prorrogado tácitamente año tras año si no se denunciase.
Una vez denunciado en tiempo y forma las partes se comprometen a la nueva negociación a partir del momento de la finalización de la vigencia. El convenio permanecerá vigente en su integridad hasta tanto se pacte uno nuevo.
Artículo 3. Absorción y compensación
Las mejoras y remuneraciones económicas concedidas con anterioridad a la entrada en vigor del presente Convenio, podrán ser absorbidas en cómputo anual, excepto el plus de transporte con las establecidas en éste, acomodándose los conceptos retributivos que se supriman a los de nueva creación.
Artículo 4. Garantías individuales
Se respetarán a título individual las condiciones de trabajo superiores a las establecidas en el presente Convenio, consideradas en su conjunto y cómputo anual.
Tal garantía será exclusivamente de carácter personal, sin que puedan entenderse vinculada a puesto de trabajo, categoría profesional y otras circunstancias, por lo que el personal de nuevo ingreso no podrá alegar a su favor las condiciones más beneficiosas que hayan disfrutado los trabajadores o trabajadoras que anteriormente ocuparon los puestos de trabajo a que sean destinados.
Artículo 5. Vinculación y legislación supletoria
Las normas del presente Convenio se consideran en su conjunto más beneficiosas que las contenidas en las disposiciones legales vigentes.
El presente Convenio y los Anexos que en él se indican forman un todo orgánico e indivisible, que en tanto se encuentre vigente, será aplicable y aplicado en su totalidad, con exclusión de otros. Cualesquiera que fueran sus ámbitos de aplicación.
En lo no previsto en este Convenio se estará a lo dispuesto por las disposiciones legales vigentes en la materia.
Artículo 6. Comisión Paritaria de control e interpretación
Para la interpretación y aplicación del Convenio se constituirá una Comisión Paritaria.
Dicha Comisión Paritaria estará formada por cuatro representantes de los trabajadores y trabajadoras de la organización firmante del convenio (UGT) y cuatro representantes de las Asociaciones empresariales firmantes (ACORA y ASFACO).
La competencia de esta comisión se extiende a todas las cuestiones que, en relación con la aplicación de este Convenio y durante su vigencia, pueden suscitarse y, singularmente, respecto a aquellas en las que el articulado le hace una remisión expresa.
Las discrepancias que se generen en el seno de la Comisión Paritaria para la interpretación y aplicación del presente Convenio se resolverán, en primera instancia, mediante el procedimiento de Conciliación-Mediación ante el Sistema Extrajudicial de Resolución de Conflictos Colectivos Laborales de Andalucía (SERCLA), para ello se redactará un «acta de disconformidad» firmada por las partes que, al menos, tendrán el siguiente contenido:
-Fecha de inicio de las deliberaciones.
-Punto o puntos objeto del debate.
-Criterios de interpretación sustentados por cada una de las partes.
-Acreditación del agotamiento del trámite ante la Comisión Paritaria.
En el supuesto de que el procedimiento de conciliación finalice sin avenencia entre las partes y se opte por su resolución en la vía de arbitraje, habrá de efectuarse de mutuo acuerdo la designación del árbitro o árbitros que deban dirimir la controversia, caso de rechazarse esta posibilidad quedará abierta, si procede, la instancia a la vía judicial.
Tanto el posible acuerdo que pueda alcanzarse en el procedimiento de conciliación-mediación, como alternativamente la resolución del arbitraje o de la autoridad judicial, deberá ser incorporado y aplicado por parte de la Comisión Paritaria durante la vigencia del Convenio, para lo cual se reunirá dicha comisión en el plazo máximo de 10 días desde la notificación del acuerdo o resolución, aplicando lo allí dispuesto en el plazo improrrogable de 15 días a contar desde dicha reunión.
CAPÍTULO II Organización del trabajo
Artículo 7. Organización del trabajo
De acuerdo con las disposiciones en vigor, la organización técnica y práctica del trabajo es facultad exclusiva de la Dirección de las Empresas, pudiendo la misma adoptar los sistemas de racionalización, mecanización, organización y división de aquel que mejor se acomode a su desarrollo industrial y comercial.
Es facultad de la Dirección de las Empresas, de acuerdo con la legislación vigente y las condiciones acordadas en el presente Convenio, la distribución del personal en los distintos puestos de trabajo y la asignación de las tareas correspondientes a los mismos, sin discriminación ni menoscabo de la dignidad humana y profesional, todo ello previa información al Comité de Empresa, de acuerdo con la legislación vigente.
Sin perjuicio de lo anterior, la dirección de la empresa, antes de decidir, informará a los representantes de los trabajadores y trabajadoras sobre las siguientes cuestiones:
-Implantación, o revisión de sistemas de organización del trabajo en cualquiera de sus posibles consecuencias.
-Estudios de tiempos, establecimiento de sistemas de primas o incentivos y valoración de puestos de trabajo.
-Establecimiento del horario de trabajo y distribución de la jornada anual.
-Modificación de la jornada o del horario, cuando ello suponga una modificación sustancial de carácter individual, a tenor de lo establecido en el artículo 41.2 del Estatuto de los Trabajadores.
-Traslados totales o parciales de las instalaciones.
Artículo 8. Plena ocupación
En aquellos casos en que no sea posible saturar la jornada completa del trabajador o trabajadora en el desempeño de su específica su función, la empresa sin perjuicio de los derechos económicos y profesionales del trabajador o trabajadora, podrá encargarle otras tareas con el fin de conseguir la plena ocupación del personal con información al Comité de empresa o delegados y delegadas de Personal.
Cuando se trate de realizar funciones no correspondientes al Grupo Profesional, ello será posible cuando existan razones técnicas y organizativas que lo justifiquen, y por el tiempo imprescindible para su atención, con previa información al Comité de empresa o delegados y delegadas de Personal.
Artículo 9. Movilidad funcional
La movilidad funcional solamente podrá realizarse dentro del grupo profesional, desarrollado en artículo 17 del presente Convenio.
a) Trabajos de categoría superior:
Todo trabajador o trabajadora que realice trabajos de superior categoría durante cuatro meses consecutivos, o seis alternos al año y ocho durante dos años, tendrá derecho al salario correspondiente y a que se le reconozca la categoría superior en la que ha estado prestando su actividad, salvo que se trate de sustituir a trabajadores o trabajadoras con derecho a reserva de puesto de trabajo.
Se considerará como día completo si se desempeña dicho trabajo durante el tiempo igual o superior a la mitad de la jornada laboral.
Cuando un trabajador o trabajadora realice trabajos de categoría superior se le abonara el salario real de dicha categoría superior, mientras ocupe dicho puesto.
b) Trabajo de categoría inferior:
La Dirección de la Empresa por razones técnicas u organizativas y haciendo uso de las facultades de organización práctica de trabajo, podrá destinar al personal a realizar trabajos de categoría inferior sin merma alguna de sus retribuciones y comunicándolo a los representantes de los trabajadores y trabajadoras.
Dicho destino será en todo caso de carácter transitorio, es decir mientras dure la situación a que se hace referencia en el párrafo anterior.
No cabrá invocar las causas de despido objetivo de ineptitud sobrevenida o de falta de adaptación en los supuestos de realización de funciones distintas de las habituales como consecuencia de movilidad funcional.
CAPÍTULO III Régimen del personal
Artículo 10. Contratación de trabajadores y trabajadoras.
La contratación del personal se efectuará de acuerdo con las disposiciones legales vigentes, en cada momento, en la materia.
Las duraciones máximas del período de prueba serán las siguientes:
-Personal titulado: 6 meses.
-Resto de personal: 2 meses.
Artículo 11. Preavisos.
El personal fijo y de temporada en tiempo de campaña, que desee cesar al servicio de la empresa, deberá comunicarlo a ésta por escrito con las antelaciones mínimas siguientes:
a. Personal Directivo, Técnicos Titulados y Tituladas y Maestro o Maestra Cocedor de Aceitunas: 3 meses.
b. Personal Administrativo y Técnicos no titulados: 1 mes.
c. Resto del personal: 15 días.
Artículo 12. Movilidad geográfica
El traslado de trabajadores o trabajadoras que exija cambios de residencia requerirá la existencia de razones económicas, técnicas, organizativas o de producción que lo justifiquen y, en todo caso, se ajustará su procedimiento a lo que en cada momento establezca la legislación aplicable.
La compensación por gastos, en el caso que el trabajador o trabajadora opte por el traslado, comprenderá lo siguiente:
-Los gastos de viaje del trabajador o trabajadora y su familia a la nueva residencia, así como los de manutención durante el mismo.
-Los gastos de traslado de los muebles y enseres de la familia.
-Un permiso retribuido de cuatro días.
Artículo 13. Contrato de relevo y jubilación parcial
Un contrato de relevo es aquel que se suscribe en una empresa para sustituir a un trabajador que ha solicitado la jubilación parcial y está regulado por los artículos 12.6 y 12.7 del Estatuto de los Trabajadores y por el Real Decreto Ley 5/2013.
Se entenderá como contrato a tiempo parcial el celebrado por el trabajador o trabajadora que concierte con su empresa, en las condiciones establecidas en el presente artículo, una reducción de su jornada de trabajo y de su salario de entre un mínimo del 25 por 100 y un máximo del 75 por 100, cuando reúna las condiciones generales exigidas para tener derecho a pensión contributiva de jubilación de la Seguridad Social con excepción de la edad, que habrá de ser inferior en, como máximo, cinco años a la exigida.
La ejecución de este contrato de trabajo a tiempo parcial, y su retribución, serán compatibles con la pensión que la Seguridad Social reconozca al trabajador o trabajadora hasta que cumpla la edad establecida con carácter general en el Sistema de la Seguridad Social para causar derecho a la pensión de jubilación, extinguiéndose la relación laboral al alcanzar la referida edad.
La incorporación del contrato de relevo constituye un valioso instrumento de rejuvenecimiento de las plantillas, a la vez que confiere una sustancial ventaja tanto para el trabajador o trabajadora afectado por la jubilación, como para la Seguridad Social e incluso para el propio empleo.
Para poder realizar este contrato, la empresa concertará simultáneamente un contrato de trabajo con otro trabajador o trabajadora en situación de desempleo, quedando obligada a mantener cubierta, como mínima, la jornada de trabajo sustituida hasta la fecha de jubilación prevista en el párrafo anterior.
El contrato de trabajo por el que se sustituye la jornada dejada vacante por el trabajador o trabajadora que reduce su jornada se denominará contrato de relevo, y tendrá las siguientes particularidades:
a. La duración del contrato será igual a la del tiempo que falte al trabajador o trabajadora sustituido/a para alcanzar la edad de jubilación a la que se refiere el primer párrafo de este apartado.
b. El contrato de relevo podrá celebrarse a jornada completa o a tiempo parcial. En todo caso, la duración de la jornada deber ser. Como mínimo, igual a la reducción de jornada acordada por el trabajador o trabajadora sustituido/a. El horario de trabajo el trabajador relevista podrá completar el del trabajador sustituido o simultanearse con él.
c. El puesto de trabajo del trabajador o trabajadora relevista podrá ser el mismo del trabajador o trabajadora sustituido/a o uno similar, entendiendo por tal, excepto en el caso del personal directivo, el desempeño de tareas correspondientes al mismo grupo profesional o categoría equivalente.
No obstante lo expuesto, se estará a las disposiciones legales vigentes establecidas en cada momento, en la materia.
Artículo 13 bis. Contrato de Relevo empresas manufactureras
Los trabajadores/as que reúnan las condiciones legales para disfrutar de la jubilación parcial podrán, de forma voluntaria, decidir si se acogen a ese derecho.
Para lo cual las empresas, de forma voluntaria y dependiendo del tipo de actividad desarrollada por el trabajador, se acogerán al Decreto Ley, (Decreto Ley 20/2018, de 7 de diciembre), dado que ha sido prorrogado hasta el 1 enero de 2024 y a la vez pensando que posteriormente a esta fecha, haya uno nuevo que lo sustituya, el cual tendrá aplicación de la normativa relativa a la jubilación parcial con simultánea celebración de contrato de relevo y cuando se acredite el cumplimiento de los requisitos, para poder celebrarlo.
Artículo 14. Pluriempleo
La Dirección de la Empresa y los/las Representantes de los/las Trabajadores y trabajadoras, estiman conveniente colaborar con la erradicación del pluriempleo en los siguientes términos:
Las empresas, se comprometen a que toda nueva contratación no suponga la práctica de pluriempleo, salvo contratos a tiempo parcial, siempre que en su totalidad no excedan de la jornada legal.
Artículo 15. Contratos de puesta a disposición
Las empresas acogidas a este Convenio sólo podrán realizar contratos de puesta a disposición, en los términos establecidos en la normativa reguladora de la Empresas de Trabajo Temporal.
En todo caso, queda prohibida la celebración de este tipo de contrato, cuando se utilice para cubrir un puesto de trabajo fijo o permanente en la empresa usuaria.
Las condiciones de seguridad y salud laboral de los trabajadores y trabajadoras contratados/as a través de las Empresas de Trabajo Temporal, serán las mismas que haya establecidas internamente en la empresa usuaria.
Los trabajadores y trabajadoras contratados/as a través de este tipo de empresas que presten sus servicios en las empresas comprendidas en el ámbito de aplicación de este convenio tendrán derecho a percibir, con cargo a la empresa de trabajo temporal, el 100% de la retribución establecida en el presente convenio para la categoría en que haya sido contratado o contratada.
Las empresas usuarias deberán entregar a los/las Representantes de los/las Trabajadores y trabajadoras copia de cada contrato que se realice de este tipo, suprimiendo aquellos datos que afecten a la intimidad de la persona: DNI o CIF, domicilio, teléfono y estado civil.
Asimismo, las empresas usuarias deberán informar por escrito a los/las representantes de los/las trabajadores y trabajadoras sobre cada contrato de puesta a disposición y motivo de su utilización, dentro de los 5 días siguientes a su realización.
Artículo 16. Subcontratas
Las partes acuerdan que la dirección de las empresas advertirá a las empresas subcontratadas de la rigurosa necesidad de cumplir las normas sobre jornada máxima legal de trabajo y horas extraordinarias. Asimismo, en cuanto a las condiciones de seguridad y salud laboral de los trabajadores y trabajadoras de la empresa contratista serán las mismas que haya establecidas en la empresa principal.
Previamente al comienzo de los trabajos contratados, la empresa contratista deberá presentar los siguientes documentos:
-Relación de trabajadores y trabajadoras que van a realizar los trabajos.
-Fotocopia de los partes de alta en la Seguridad Social de los citados trabajadores y trabajadoras.
-Declaración firmada del titular de la empresa contratista en cuanto que los trabajadores y trabajadoras a su cargo han recibido la correspondiente formación en materia de seguridad e higiene, así como su compromiso de facilitarles todos los medios de prestación personal establecidos para su trabajo.
-Fotocopia de los correspondientes TC1 Y TC2, debidamente formalizados mientras dure el trabajo.
-La empresa informará mensualmente por escrito a los/las representantes de los/las trabajadores y trabajadoras sobre cada contrata y las condiciones de las mismas.
Artículo 17. Contratación
Duración del contrato de trabajo.
Será según lo establecido en el artículo 15 del E.T, para los contratos que se presumen concertados por tiempo indefinido.
El contrato de trabajo de duración determinada solo podrá celebrarse por circunstancias de la producción o por sustitución de persona trabajadora.
Para que se entienda que concurre causa justificada de temporalidad será necesario que se especifiquen con precisión en el contrato la causa habilitante de la contratación temporal, las circunstancias concretas que la justifican y su conexión con la duración prevista.
Contrato Fijo discontinuo:
El contrato por tiempo indefinido fijo-discontinuo se concertará para la realización de trabajos de naturaleza estacional o vinculados a actividades productivas de temporada, o para el desarrollo de aquellos que no tengan dicha naturaleza pero que, siendo de prestación intermitente, tengan periodos de ejecución ciertos, determinados o indeterminados.
El contrato de trabajo Fijo-discontinuo que tiene sustantividad propia dentro de las actividades recogidas en el presente convenio es aquel, por el que, aun no prestándose servicios todos los días laborales al año, el trabajador es llamado para realizar de modo discontinuo trabajos fijos y periódicos en la actividad normal de la empresa, desarrollándose los días de prestación de servicios en uno o varios periodos de actividad estacional dentro del año natural.
En este sentido se tendrá en cuenta que las campañas o llamamientos deberán fijarse, siempre que ello sea posible, de forma que, al analizar el tiempo destinado a las mismas, la suma de días trabajados sean los suficientes, para que la persona fija discontinua pueda acogerse al desempleo en los términos que establezca la ley en esa materia. Salvo la no reactivación de la campaña o del llamamiento por motivos de fuerza mayor.
El contrato de trabajo fijo discontinuo contendrá las siguientes menciones:
-La naturaleza del contrato.
-La actividad o actividades empresariales cíclicas o intermitentes en las que van a prestar servicios objeto del contrato.
-La forma y orden de llamamiento establecida.
-La determinación máxima de la jornada anual y el horario en las condiciones establecidas en el convenio y/o calendario laboral de la empresa.
-Dicho contrato deberá formularse por escrito entre ambas partes.
El trabajador/a fijo discontinuo será llamado cada vez que vaya a llevarse a cabo la actividad, (faena, tarea y etc.), para la que fue contratado, efectuándose el llamamiento de modo gradual en función de las necesidades que exija en cada momento el volumen de trabajo a desarrollar. Este orden de llamamiento se efectuará según la antigüedad en la contratación, grupo profesional o nivel dentro del mismo y por secciones productivas de la propia empresa, produciéndose el cese en sentido inverso conforme vaya descendiendo la actividad productiva para la que fueron contratados. Para hacer efectivo lo establecido en este artículo las empresas, junto con la RLPT confeccionarán un escalafón de las personas fijas discontinuas.
El llamamiento se efectuará mediante la oportuna comunicación con al menos 72 horas de antelación, se hará mediante correo electrónico, SMS o WhatsApp al número móvil facilitado y autorizado por escrito por la persona trabajadora. Como excepción se tendrá en cuenta aquellas personas trabajadoras que acrediten fehacientemente que su domicilio se encuentra en otra comunidad autónoma o fuera del país, por lo cual el llamamiento se realizará con 5 días de antelación.
No tendrá la consideración de despido la ausencia de llamamiento derivado de la falta de volumen de actividad necesario para ser cubierto por la totalidad de personas trabajadoras fijas-discontinuas.
Serán causa de suspensión del contrato, con exoneración de las obligaciones reciprocas de trabajar y remunerar el trabajo y sin que la falta de llamamiento pueda calificarse como despido, la paralización de los transportes o medios de distribución, la interrupción de la fuerza motriz o falta de materias primas no imputable al empresario. En este caso las empresas vendrán obligadas a comunicar el hecho causante a la RLPT, siendo suficiente esta comunicación para que opere la causa de suspensión.
El trabajador/a que sea llamado por la empresa y no se incorpore a la misma en el momento fijado a tal fin perderá la condición de fijo/a-discontinuo/a, y será dado de baja en la empresa como baja voluntaria. Cuando el llamamiento se produzca fuera del periodo habitual se entenderá causa justificada estar dado de alta en otra empresa.
La falta de incorporación al llamamiento no supondrá la pérdida del turno cuando éste se encuentre en situación de incapacidad temporal, en el período de descanso por maternidad o paternidad, adopción o acogimiento, excedencia, licencia o aquellas otras justificadas y estas causas estén debidamente acreditadas. Una vez producida la incorporación quedará reanudada la relación laboral.
Si la persona trabajadora fija-discontinua, en el momento del llamamiento y reincorporación, se encuentra en situación de incapacidad temporal, (IT), la empresa deberá efectuar el llamamiento y darle de alta en la seguridad social como al resto de los trabajadores/as que se incorporan. Cuando dicha persona deja de estar en situación de incapacidad temporal, se reincorporará al trabajo, de forma que no se ve perjudicado/a por haber estado en dicha situación.
Las personas fijas-discontinuas podrán ejercer las acciones que procedan en caso de incumplimiento relacionados con el llamamiento, iniciándose el plazo para ello desde el momento de la falta de este o desde el momento en que la conociesen.
La empresa deberá informar a las personas fijas-discontinuas sobre la existencia de puestos de trabajo vacantes de carácter fijo ordinario, de manera que aquellas puedan formular solicitudes de conversión voluntaria de acuerdo con la empresa.
Las empresas podrán hacer uso de las modalidades contractuales legamente vigentes en cada momento, pero teniendo en cuenta en todo momento lo establecido en este artículo para el contrato fijo discontinuo.
Las estipulaciones anteriores se aplicarán a todas las personas trabajadoras Fijas-discontinuas de la empresa con independencia de la fecha de ingreso en las mismas o de la forma de adquisición de la condición de Fijo-discontinuo.
Con objeto de verificar la corrección en el llamamiento, en aquellas empresas que tengan RLPT estos conocerán del modelo de contrato escrito que utilicen las mismas.
El personal con contrato fijo discontinuo percibirá las pagas extraordinarias y lo correspondiente a las vacaciones en proporción al tiempo efectivamente trabajado, además de los complementos que correspondan del convenio colectivo de la actividad. También, se le harán efectivos los atrasos que se pudieran generar por los incrementos salariales pactados en el convenio colectivo de la actividad que realiza.
Además, las personas trabajadoras fijas-discontinuas no podrán sufrir perjuicios por el ejercicio de los derechos de conciliación, formación adecuada para la adaptación y adecuación del puesto trabajo, ausencias con derecho a reserva de puesto de trabajo y cualquier otra causa justificada, en base a derechos reconocidos en la ley o los convenios colectivos.
Aquellas empresas que por sus características y organización lo permitan, publicarán una copia del censo de trabajadores/as Fijos/as-discontinuos/as en el tablón de anuncios del centro de trabajo.
Contrato por circunstancias de la producción.
Se entenderá por circunstancias de la producción el incremento ocasional e imprevisible de la actividad y las oscilaciones, que, aun tratándose de la actividad normal de la empresa, generan un desajuste temporal entre el empleo estable disponible y el que se requiere, siempre que no respondan a los supuestos incluidos en el artículo 16.1.
Será necesario que se especifiquen en el contrato lo siguiente:
-Con precisión la causa habilitante de la contratación temporal, las circunstancias concretas que la justifican y su conexión con la duración prevista.
-No puede responder a situaciones de trabajo fijo-discontinuo definidas en el artículo 16.1 del E.T.
-No podrán identificarse como causa de este contrato la realización de los trabajos en el marco de contratas, subcontratas o concesiones administrativas que constituyan la actividad habitual u ordinaria de la empresa.
-La duración del contrato con carácter general será de 6 meses, pero podrá ampliarse hasta un máximo de 12 meses.
-A la finalización de este tipo de contrato la persona trabajadora recibirá una indemnización equivalente a 12 días de salario por año de servicio.
Asimismo, la empresa podrá formalizar contratos temporales por circunstancias de la producción por un máximo de 90 días para atender situaciones ocasionales, pero si previstas, en los términos establecidos en el artículo 15 del ET.
Contratos formativos.
A) Contrato de formación dual o en alternancia trabajo-formación.
La duración mínima de este contrato será de tres meses y la máxima de 24 meses. La retribución para el trabajador o trabajadora con contratos formativos para la alternancia será: 80 y 90 por 100, durante el primero y segundo año de vigencia del contrato respectivamente, del salario convenio para el grupo profesional y nivel retributivo correspondiente a las funciones desempeñadas, y en proporción al tiempo de trabajo efectivo. En ningún caso la retribución podrá ser inferior al salario mínimo interprofesional en proporción al tiempo de trabajo efectivo.
B) Contrato Formativo para la obtención de la práctica profesional adecuada.
La duración de este contrato no podrá ser inferior a seis meses ni exceder de un año. La retribución para el trabajador o trabajadora con contrato en prácticas será del 85 por 100 del salario convenio para el grupo profesional y nivel retributivo correspondiente a las funciones desempeñadas. En ningún caso la retribución podrá ser inferior al salario mínimo interprofesional en proporción al tiempo de trabajo efectivo.
Contratos por sustitución.
Se realizará cuando se trate de sustituir a personas trabajadoras con derecho a reserva del puesto de trabajo, siempre que en el contrato de trabajo se especifique el nombre del sustituido y la causa de sustitución. El cese del personal con contrato de sustitución, tendrá lugar cuando se reintegre la persona a quien sustituya, en la forma y tiempo legalmente establecido.
La prestación de servicios podrá iniciarse antes de que se produzca la ausencia de la persona sustituida, coincidiendo en el desarrollo de las funciones el tiempo imprescindible para garantizar el desempeño adecuado del puesto y, como máximo, durante quince días. Asimismo, el contrato de sustitución podrá concertarse para completar la jornada reducida por otra persona trabajadora, cuando dicha reducción se ampare en causas legalmente establecidas o reguladas en el propio convenio colectivo y se especifique en el contrato el nombre de la persona sustituida y la causa de la sustitución. El contrato de sustitución podrá ser también celebrado para la cobertura temporal de un puesto de trabajo durante el proceso de selección o promoción para su cobertura definitiva mediante contrato fijo, sin que su duración pueda ser en este caso superior a tres meses, o el plazo inferior recogido en convenio colectivo, ni pueda celebrarse un nuevo contrato con el mismo objeto una vez superada dicha duración máxima.
Además de los supuestos regulados legal y reglamentariamente, se establecen las siguientes causas para su aplicación: suspensión de empleo y sueldo por razones disciplinarias, excedencia con reserva de puesto de trabajo, por promoción en período de prueba, permiso parental, maternidad o riesgo durante el embarazo, incapacidad temporal por baja médica u otros supuestos contemplados por ley.
Artículo 18. Excedencias
En materia de excedencias se estará a lo regulado en el artículo 46 del Estatuto de los Trabajadores.
Artículo 19. Clasificación profesional
El personal de este Convenio se clasificará por razón de sus funciones, en los siguientes grupos profesionales:
1. Grupo de Dirección: Director o Directora, Subdirector o Subdirectora y Gerente.
2. Grupo de Técnicos y Mandos Intermedios: Ingeniero o Ingeniera Superior. Técnico de Grado Superior. Ingeniero o Ingeniera Técnico. Técnico de Grado Medio. Jefe o Jefa de Sección.
3. Grupo de Administrativos y Administrativas: Jefe o Jefa Administrativo o Administrativa de 1ª y 2ª o Gestores. Oficial Administrativo o Administrativa de 1ª y 2ª Auxiliar Administrativo o Administrativa. Cajero o Cajera. Telefonista. Ordenanza.
4. Grupo de Comerciales: Supervisor o supervisora. Vendedor o Vendedora y Promotor o Promotora.
5. Grupo de Laboratorio: Analista. Auxiliar.
6. Grupo de Producción y Sección de Mantenimiento: Encargado o encargada. Contramaestre. Maestro o Maestra de Oficio. Jefe o Jefa de Equipo. Oficial de 1ª, 2ª y 3ª Ayudante Especialista. Peón Ayudante. Peón. Portero o Portera. Limpieza. Conductor o Conductora Repartidor o Repartidora.
La movilidad funcional dentro de las empresas no tendrá más limitaciones que las exigidas por las titulaciones académicas o profesionales precisas para el ejercicio de la prestación laboral y la pertenencia al grupo profesional.
Artículo 20. Ascensos
Los puestos que impliquen ejercicio de autoridad o mando, así como los puestos de confianza, se cubrirán por libre designación de las empresas, procurando ésta, en la medida de lo posible, proveerlos con personal perteneciente a la plantilla. Las empresas quedan obligadas a entregar a los/las Representantes de sus Trabajadores y Trabajadoras, relación de los puestos de confianza, mando o autoridad existentes.
Los ascensos de personal de la empresa se ajustarán a lo establecido en la Ordenanza Laboral para establecer y calificar las pruebas de aptitud, se constituye en las empresas de más de 25 trabajadores y trabajadoras un Comité de Ascensos integrado por tres miembros, uno de los cuales será designado por los Representantes de los/las Trabajadores y trabajadoras y que actuará como Secretario o Secretaria.
Las empresas con menos de 25 trabajadores y trabajadoras, comunicarán a los/las representantes de éstos y estas la celebración de la correspondiente prueba de aptitud con una antelación mínima de 15 días.
Artículo 21. Formación profesional
Convencidas las partes de que la formación profesional es el instrumento más eficaz en orden a la formación y bienestar de los/las trabajadores y trabajadoras, y un elemento muy positivo a tener en cuenta, buscando la optimización del mayor grado de productividad, las empresas del sector ratifican su propósito de fomentar especialmente por sí mismas la acción formativa de los trabajadores y trabajadoras, a través de cursos de capacitación y divulgación de nuevas tecnologías que supongan una superior eficacia y conocimientos de las labores que se desarrollan específicamente en cada empresa.
Para ello las empresas elaborarán un calendario de cursos anuales de reciclaje, conjuntamente con el Comité de empresa o delegados y delegadas de Personal. A tales efectos, se nombrará una Comisión Paritaria que será la encargada de elaborar definitivamente el citado plan de formación anual, si bien, la Dirección de la Empresa se reserva la facultad de decidir cuáles de los cursos programados serán los que se llevan a efecto. De acuerdo con dicha filosofía, los trabajadores y trabajadoras que sean requeridos por la Dirección de la empresa, habiendo sido negociada su selección previamente con los Representantes de los/las Trabajadores y Trabajadoras, participarán en cuantos cursos se convoquen tendentes a mejorar sus conocimientos técnicos-prácticos para determinadas tecnologías.
Asimismo, las empresas asumen el compromiso, junto al Comité de empresa o delegados y delegadas de personal, de realizar con medios propios o ajenos, un estudio sobre los cursos de mayor necesidad y que se consideren prioritarios, así como las posibilidades de obtener subvenciones del Servicio Público de Empleo Estatal u organismos correspondiente, para su desarrollo y realización.
CAPÍTULO IV Jornada, vacaciones y licencias retribuidas
Artículo 22. Jornada laboral.
La jornada de trabajo para la vigencia del convenio será de 1752 horas en cómputo anual. No obstante, para aquellos colectivos o empresas que tengan establecida o pactada una jornada inferior a la aquí contemplada se les respetará la que en este momento tengan establecida.
En cuanto a la distribución de la jornada se estará en cada momento a lo dispuesto por la normativa laboral vigente.
Los desplazamientos desde el centro de trabajo a otros lugares de trabajo dentro de la jornada laboral se considerarán tiempo de trabajo efectivo.
Artículo 23. Calendario laboral
Anualmente, el calendario laboral será establecido por las empresas, previo conocimiento de la representación de los/las trabajadores y trabajadoras.
a) La jornada laboral para los tres primeros días laborales de Feria o Fiestas principales de cada localidad, queda establecida en jornada continuada de cuatro horas y los días 24 y 31 de diciembre serán considerados como jornada de descanso retribuyéndose a todos los efectos como días efectivos de trabajo, sin que los trabajadores y trabajadoras afectados tengan que recuperar tiempo alguno.
b) Siempre que la duración de la jornada diaria continuada exceda de seis horas, deberá establecerse en período mínimo de descanso durante la misma de 20 minutos de duración. Este período de descanso se considerará tiempo de trabajo efectivo.
c) Las empresas afectadas por el presente Convenio implantarán la jornada intensiva durante los meses de verano del 1 de junio al 15 de septiembre para los trabajos que se desarrollen en un único turno diario, a excepción de la red comercial, sin perjuicio de que continúen observándola aquellas que la tuvieran ya establecidas, y en sus propias condiciones. La jornada intensiva que se implante durante el periodo estival, para aquellos puestos de trabajo que se desarrollen en un único turno y horario diurno deberá realizarse, debido a las condiciones climatológicas de la época, en un horario que no exceda su finalización de las 15 horas y 30 minutos.
Artículo 24. Horas extraordinarias
Tendrán la consideración de horas extraordinarias aquellas horas de trabajo que se realicen sobre las 1.752 horas.
Al margen de la referencia al cómputo anual, del párrafo anterior, las partes convienen darle el tratamiento o consideración de horas extras a todas las que excedan de la jornada ordinaria de 8 horas de duración o, en su caso, todas las trabajadas excepcionalmente por encima de 9 diarias, cuando ésta haya sido el acuerdo en aquellas empresas que hayan pactado otro régimen de jornada, al amparo de lo establecido en el artículo 20 del presente Convenio. Con el objetivo de dificultar en lo posible la realización de las horas extraordinarias habituales, y consecuentemente la creación del mayor empleo posible, ambas partes acuerdan lo siguiente:
-El número de horas extraordinarias, no pudiendo ser superior a 80 horas, se pueden realizar durante el año, siendo compensadas económicamente, o en descanso, en los términos que se indica más adelante.
-El descanso generado se disfrutará de forma prioritaria junto con las vacaciones de verano, para aquellas horas que se generen durante el primer semestre de cada año y junto con las vacaciones de Navidad/Año Nuevo para el caso de las generadas en el segundo semestre del año. No obstante, queda abierta la posibilidad de su disfrute de modo excepcional en período distinto, previo acuerdo entre empresa y trabajador.
Las horas extraordinarias del párrafo anterior que compensan por tiempo de descanso en la proporción de 1 hora trabajada por 1,75 de descanso, teniendo en cuenta que los días de descanso compensatorio que se puedan producir por este concepto, se abonarán como si se hubiese trabajado a todos los efectos.
La determinación de las fechas de descansos será de acuerdo entre trabajador y empresa, con la asistencia de los/las Representantes de los/las Trabajadores y Trabajadoras. Las empresas que vienen abonando el tiempo de bocadillo, no será compensado por tiempo de descanso.
Las empresas entregarán mensualmente al Comité de empresa o delegados y delegadas de personal, una relación de las horas extras realizadas por los distintos departamentos de la empresa, así como sus causas.
En los supuestos que, debido a circunstancias excepcionales, las horas de exceso sobre la jornada ordinaria se tengan que abonar económicamente, se hará aplicándoles la siguiente fórmula:
Las horas de trabajo realizadas en los 14 festivos, se compensarán por tiempo de descanso a 1,75 horas o aplicando la fórmula económica que aparece en este artículo. Tendrá la misma consideración los festivos que coincidan con el descanso semanal del colectivo del 4º y 5º turno.
Artículo 25. Vacaciones
Todos los/las trabajadores y trabajadoras afectados/as por el presente Convenio disfrutarán de un período de vacaciones de 23 días laborables.
No obstante, a niveles inferiores, es decir, a nivel de empresa, se podrán pactar que las vacaciones anuales sean fraccionadas. En todo caso se disfrutarán 11 días laborables de vacaciones, en el período comprendido del 15 de junio al 15 de septiembre.
El calendario anual de vacaciones para todo el personal de la plantilla se fijará a lo largo de todo el año, de común acuerdo entre empresa y la representación legal de los/las trabajadores y trabajadoras. En el primer trimestre del año quedará fijado el referido calendario de vacaciones.
La retribución de este período vacacional estará compuesta por el promedio de los conceptos salariales habituales más una Bolsa de Vacaciones cuya cantidad consta en la tabla salarial anexa.
Artículo 26. Permisos retribuidos
Los/las trabajadores y trabajadoras tendrán derecho a permisos retribuidos y cobrarán la totalidad de los conceptos económicos pactados en el presente Convenio, notificando a la empresa con la antelación posible, en la duración y supuestos siguientes:
a) Por traslado de domicilio: 2 días laborales.
b) Por fallecimiento de cónyuge, pareja de hecho, abuelos, abuelas, padres, madres, hijos, hijas, nietos, nietas, hermanos, hermanas y padres políticos o madres políticas: 3 días laborales.
c) 5 días laborales por accidente o enfermedad graves, hospitalización o intervención quirúrgica sin hospitalización que precise de reposo domiciliario del cónyuge, pareja de hecho o parientes hasta el segundo grado por consanguineidad o afinidad, incluido el familiar consanguíneo de la pareja de hecho, así como cualquier otra persona distinta de las anteriores, que conviva con la persona trabajadora en el mismo domicilio y que requiera el cuidado efectivo de aquella.
d) Por fallecimiento de tíos, tías, sobrinos y sobrinas: 1 día, cuando el funeral sea en día laborable.
e) Por fallecimiento de hermanos políticos o hermanas políticas: 2 días laborales. En el supuesto de que el trabajador o trabajadora necesitase realizar un desplazamiento al efecto el permiso se ampliará a 2 días más.
f) Por matrimonio de hijos, hijas, hermanos, hermanas, hermanos políticos o hermanas políticas: 1 día, precisamente el día de la celebración.
g) Por Primera Comunión de un hijo o hija: 1 día, precisamente el día de la celebración.
h) Quince días naturales en caso de matrimonio o registro de pareja de hecho.
i) Por el tiempo necesario para asistir al consultorio médico, entendiéndose por tiempo necesario el utilizado imprescindiblemente en el desplazamiento desde el puesto de trabajo a la consulta y viceversa, así como el tiempo de permanencia en la misma.
El Trabajador o Trabajadora tendrá la obligación de comunicar al empresario la hora de la cita médica.
j) Por el tiempo indispensable para el cumplimiento de un deber de carácter público y personal.
k) En el caso de familiares de 1º grado de consanguinidad, menor de 14 y mayor de 65 años, se concederá un permiso para visitar al médico siempre que el trabajador o trabajadora acredite ser la única persona de quién depende el/la familiar y la cita se produzca en horario laboral. Este permiso se limitará a 3 veces al año.
l) La persona trabajadora tendrá derecho a ausentarse del trabajo por causa de fuerza mayor cuando sea necesario por motivos familiares urgentes relacionados con familiares o personas convivientes, en caso de enfermedad o accidente que hagan indispensable su presencia inmediata.
Las personas trabajadoras tendrán derecho a que sean retribuidas las horas de ausencia por las causas previstas en el presente apartado equivalentes a cuatro días al año, aportando las personas trabajadoras, en su caso, acreditación del motivo de ausencia.
Para los apartados b), y d) , en el supuesto de que el trabajador o trabajadora necesitare realizar un desplazamiento al efecto, el permiso se ampliará hasta 3 días más, considerándose que existe desplazamiento si el trayecto a recorrer es de al menos 100 Km por trayecto.
Las licencias de los apartados, (b,c,d,e,f), se concederán desde el primer día laborable de la persona trabajadora.
Finalmente, estos permisos no han tenido ni tendrán, la condición de acumulables, compensables ni recuperables.
Para la adaptación de la duración y distribución de la jornada se tendrá en cuenta la modificación reciente del artículo 34.8 del E.T.
CAPÍTULO V Condiciones económicas
Artículo 27. Estructura salarial
Está constituida por los conceptos que a continuación se relacionan:
Personales:
-Salario Base.
-Antigüedad.
-Pagas Extras.
-Plus de Asistencia.
-Beneficios.
Percepciones de puesto de trabajo:
-Plus de 4º turno.
-Mantenimiento.
-Trabajos penosos, tóxicos o peligrosos.
-Nocturnidad.
-Quebranto de moneda.
Los complementos de puesto de trabajo no son consolidables.
Artículo 28. Conceptos retributivos y forma de aplicación
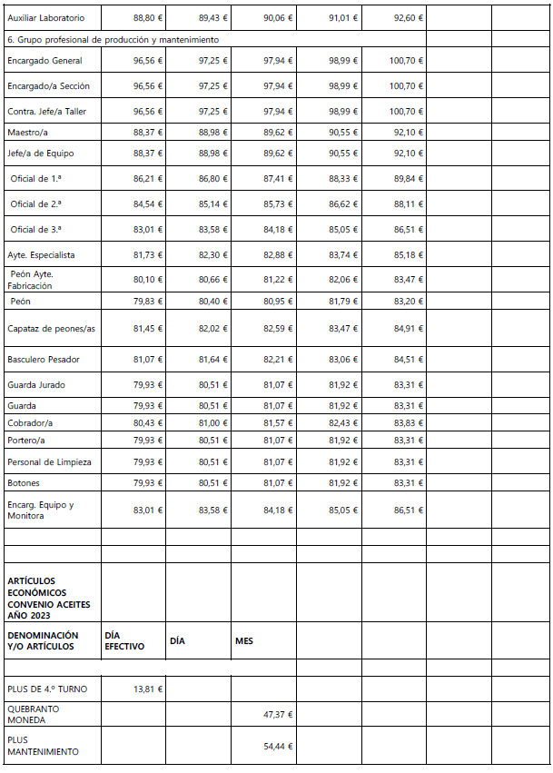
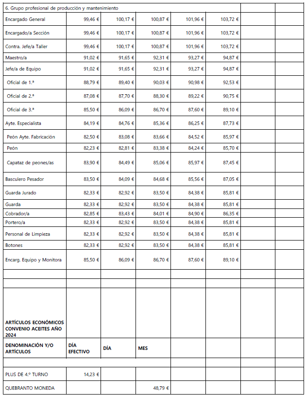
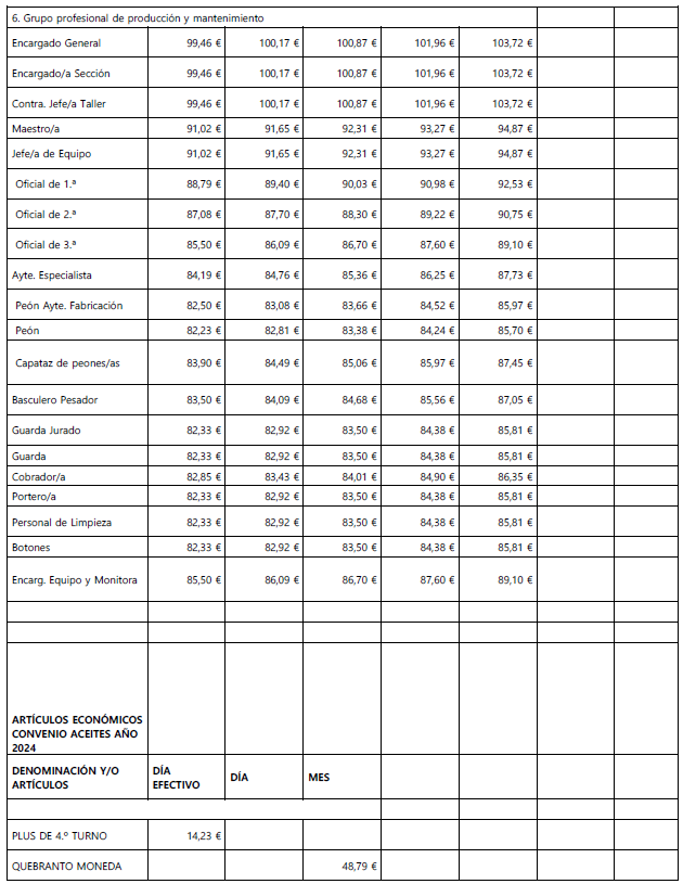
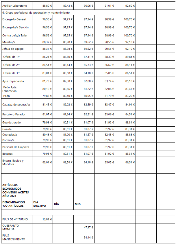
1. Sueldo Base. Para todas las categorías, será el indicado en las tablas salariales reflejadas en Anexo I que, como parte integrante del mismo, se acompaña.
2. Complementos personales:
Antigüedad.
Los/las trabajadores y trabajadoras que se hayan incorporado como fijos/fijas a las empresas desde el 3 de julio de 2013, disfrutarán como complemento personal de antigüedad de un aumento periódico por el tiempo de servicios prestados a la misma empresa, consistente en dos bienios del 2%, es decir, un primer bienio del 2% a los dos años de su incorporación a la empresa y un segundo bienio al 2% a los dos años siguientes a haber cumplido el primer bienio, un primer quinquenio al 3%, que se abonará al cumplir los cinco años tras haber cumplido el segundo bienio y un segundo quinquenio al 5% que se abonará al cumplir los cinco años tras haber cumplido el primer quinquenio.
Por tanto, la escala de antigüedad desde el ingreso en la empresa desde el 3 de julio de 2013 sería el siguiente:
A los dos años: 2% (primer bienio).
A los cuatro años: 4% (dos bienios al 2% cada uno).
A los nueve años: 7% (dos bienios al 2% y un quinquenio al 3%).
A los catorce años: 12% (dos bienios al 2%, un quinquenio al 3% y un quinquenio al 5%).
Además de lo anteriormente expuesto, a modo de aclaración completa de la aplicación del concepto antigüedad:
Los trabajadores/as que estuvieran activos en la empresa con contrato indefinido a fecha 3 de julio de 2013, conservarán el derecho a cobrar el tramo que estuvieran en ese momento consolidando, más la antigüedad que tuvieran, aplicándosele para calcular el tramo en consolidación el concepto de antigüedad que figura en el Convenio Colectivo 2007/2009 publicado en el Boletín Oficial de la Provincia de 6 de julio de 2007. Es decir: dos bienios al 5% cada uno sobre lineal fijo a razón de 31,74 € y cinco quinquenios al 10% cada uno sobre lineal fijo de 63,47 € (revisión salarial 2009 BOP 4 de marzo de 2009).
Si la antigüedad de los trabajadores a fecha 3 de julio de 2013 fuese superior al sistema pactado en el convenio colectivo firmado en esa fecha, este concepto quedaría congelado una vez superara el 12% acordado, con el porcentaje que le correspondiera y su cuantía económica correspondiente.
Aquellas personas trabajadoras que, a partir del 3 de julio de 2013, aún con el tramo en vías de consolidación, quedará por debajo del 12%, seguirán generando antigüedad según el sistema acordado en el convenio firmado el 3 de Julio de 2013 y quedarán topados en el 12%.
Todos los porcentajes de las cuantías que se expresan (calculadas sobre el salario base). Los trabajadores/as que estuvieran activos en la empresa el día 3 de julio de 2013 consolidarán el tramo en curso, y si es superior al sistema pactado por el presente convenio quedará congelado.
Los/las trabajadores y trabajadoras de temporada disfrutarán de igual beneficio, si bien, para el reconocimiento de cada bienio deberán haber prestado 730 días naturales de cotización y para el de cada quinquenio 1.825 días, en ambos casos en la misma empresa.
La antigüedad de los/las trabajadores y trabajadoras que causen alta en las empresas, empezará a contarse (sin discriminación de edad) desde la fecha de ingreso.
El importe de cada bienio o quinquenio comenzará a devengarse desde el día primero del mes siguiente al de su cumplimiento.
El/la trabajador o trabajadora que cese definitivamente en la empresa y posteriormente ingrese de nuevo en la misma, sólo tendrá derecho a que se le compute la antigüedad a partir de la fecha de este nuevo ingreso, perdiendo todos los derechos de antigüedad anteriormente obtenidos. Del mismo modo, los/las trabajadores y trabajadoras de temporada perderán el complemento personal de antigüedad que tuvieran reconocido en la empresa en que prestaron servicios, si al ser llamados para la realización de los trabajos de una nueva campaña, con arreglo a lo dispuesto en el artículo 17, no se presentaran.
Pagas Extras.
Para el personal que se rige por el presente Convenio, se establecen tres pagas extraordinarias de 30 días cada una de ellas correspondientes a Navidad, julio y feria o fiesta principal de la localidad, abonables los días 15 de diciembre, 15 de junio y 3 días antes de la feria o fiesta principal.
Aquellas empresas vinculadas a este Convenio, que así lo decidan, podrán prorratear las pagas extras en doce mensualidades.
Las pagas extraordinarias correspondientes a Navidad, Julio y feria o fiestas se percibirán con el Salario Base, Antigüedad, Beneficios más 49,94 euros por cada una de ellas en el ejercicio 2023,51,44 € en el ejercicio 2024 y 52,98 € en el ejercicio 2025.
Plus de Asistencia.
Independientemente de todos los conceptos retributivos, anteriormente indicados y con el fin de conseguir aumentos de productividad, disminución del absentismo y la plena ocupación conforme a lo establecido en el artículo, se establece el abono de este plus en las cuantías que se indican en la tabla salarial anexa a este Convenio. Su pago se realizará por día efectivo de trabajo.
Beneficios.
Todos los/las trabajadores y trabajadoras afectados por el presente Convenio, percibir un plus de 70,2 euros mensuales, o de 2,33 euros diarios en el ejercicio 2023, de 72,31 euros mensuales o de 2,40 euros diarios en el ejercicio 2.024 y de 74,48 euros mensuales o de 2,47 euros diarios en el ejercicio 2025, además de lo anterior hay que sumar un 10% de su respectivo complemento personal de antigüedad, devengado conforme a lo establecido en el presente artículo, para cada año de vigencia.
3. Complementos de puesto de trabajo:
Plus de 4º Turno.
En aquellas empresas que tengan establecido el cuarto turno, el personal correspondiente percibirá por día efectivo de trabajo un plus por este concepto cuyo importe será el que figura en la tabla salarial anexa para cada ejercicio.
No obstante, se respetarán las cuantías superiores que tenga establecidas o pactadas en el ámbito de la empresa.
El abono de este plus se realizará a razón de 20 unidades/día en cada mes y durante los doce meses del año.
Mantenimiento.
Todo el personal adscrito a las secciones de mantenimiento de las diferentes empresas del sector, percibirán por su específica actividad y puesto de trabajo, un complemento económico en la cuantía que figura en la tabla salarial anexa para cada ejercicio.
Trabajos penosos, tóxicos o peligrosos.
El personal que realice trabajos excepcionalmente penosos tóxicos o peligrosos relacionados en el párrafo siguiente, percibirán en tanto no se apliquen por la empresa medios de protección adecuados que eliminen el indicado carácter excepcionalmente penoso, tóxico o penoso, en concepto de su puesto de trabajo, la cantidad que figura en las tablas anexas (ANEXO II).
Se consideran trabajos excepcionalmente penosos, tóxicos o peligrosos, a los efectos del párrafo anterior:
-Los realizados en el interior de locales de las extractoras o molturadoras de semillas oleaginosas con disolvente al hexano tricloretileno.
-Las extractoras de orujo al sulfuro de carbono, benceno o tricloretileno, comprendiéndose también lo molineros transformadores de turtos en harinas producidas por los sistemas indicados, tanto los/las envasadores y envasadoras como los/las manipuladores y manipuladoras a granel, aunque el trabajo lo realicen en dependencia distinta al cuerpo central de la instalación extractora.
-Los trabajos de limpieza en interior de trujales y depósitos que hayan almacenado aceite o subproductos obtenidos por los disolventes antes indicados o por otros que saturen de anhídrido carbónico el espacio de trabajo.
-Los/las empleados y empleadas de laboratorio que manipulen muestras de productos obtenidos por los sistemas reseñados y aquellos otros que obliguen al empleo de éter de petróleo, nezol u otros productos de bajo índice de inflamación o contaminación.
-Los/las fogoneros y fogoneras que realicen su trabajo de una manera permanente en recintos a temperaturas superiores a 40º C.
Los reglamentos de Régimen Inferior precisarán los puestos correspondientes a los trabajos antes reseñados a que este complemento afecta.
Nocturnidad.
Se considerará trabajo nocturno a los efectos de devengar este plus, el realizado entre las 10 de la noche y las 6 de la mañana.
El trabajo nocturno se retribuirá de alguna de las siguientes formas:
1. El trabajo nocturno realizado en trabajos a tres turnos ininterrumpidos de mañana, tarde y noche de ocho horas de duración se retribuirá con un complemento del 25% del salario base, si bien este complemento se abonará en todos los turnos ya sean diurnos o nocturnos.
Para que todos resulten afectados en proporción justa, se modificará el turno cada semana, fijándose la rotación correspondiente.
El abono de este plus se realizará a razón de 20 unidades/día en cada mes y durante los doce meses del año y se aplicará exclusivamente al personal que se encuentre trabajando a tres turnos ininterrumpidos, incluyendo un turno de noche.
2. El trabajo nocturno realizado en cualquier otra situación diferente a la de trabajo a tres turnos se retribuirá con un complemento del 30% del salario base, retribuyéndose por cada hora trabajada en horario nocturno.
Queda absolutamente prohibida la realización de hora extras de cualquier naturaleza, para el colectivo que desarrolle su actividad laboral en el turno de noche.
Se observará con rigor todo lo contemplado en el artículo 36 del Estatuto de los Trabajadores y especialmente lo relativo a la protección y evaluación periódicas y gratuitas de la salud de los/las trabajadores y trabajadoras de dicha actividad, así como de los riesgos, y en consecuencia secuelas, que en cualquier momento pudieran generar.
Se respetarán las condiciones económicas más ventajosas que tuvieran establecidas otras empresas del sector, por este concepto o el de turnicidad.
Quebranto de Moneda.
En concepto de quebranto de moneda se pagará al Cajero/a la cantidad que figura en la tabla salarial anexa para cada ejercicio.
Este plus es un complemento de puesto de trabajo para el Cajero/a principal de la empresa, o personas que en cada momento asumen este puesto.
No obstante, las empresas podrán pactar con la representación legal de los trabajadores otro tipo de retribución por estos conceptos respetando los mínimos establecidos en la Ley y en el presente convenio.
CAPÍTULO VI Mejoras sociales
Artículo 29. Complemento extrasalarial de transporte.
Con independencia de las percepciones establecidas en los artículos anteriores se establece un Plus de Transporte de naturaleza extrasalarial, para suplir los gastos que el/la trabajador o trabajadora ha de sufragar para trasladarse desde su domicilio al centro de trabajo, consistente en 3,89 euros por día efectivo de trabajo para todas las categorías en el ejercicio 2023, 4,00 euros por día efectivo de trabajo para todas las categorías en el ejercicio 2024 y 4,12 euros por día efectivo de trabajo para todas las categorías en el ejercicio 2025.
Este Plus no podrá ser absorbido por las disposiciones que se dicten durante la vigencia de este Convenio.
Artículo 30. Derecho a la desconexión digital
La desconexión digital se reconoce y formaliza como un derecho a no atender dispositivos digitales fuera de la jornada de trabajo. No obstante, lo anterior, la conexión voluntaria de una persona trabajadora no conllevará responsabilidades de la empresa.
El derecho a la desconexión operará en relación con todos los dispositivos y herramientas susceptibles de mantener la jornada laboral más allá de los límites de la establecida en este convenio colectivo y distribuida en el calendario laboral por el que se rija cada empresa.
Si se produce cualquier tipo de llamada o comunicación fuera de la jornada laboral, las personas trabajadoras no estarán obligadas a responder, ni los superiores jerárquicos podrán requerir respuestas fuera de la misma, salvo que concurran circunstancias excepcionales de fuerza mayor, justificadas, que puedan suponer un grave riesgo hacia las personas o un potencial perjuicio empresarial hacia el negocio y que requiera adopción de medidas urgentes e inmediatas.
Las empresas garantizarán que las personas trabajadoras que hagan uso de este derecho no se verán afectadas por ningún trato diferenciado o sanción ni perjudicadas en sus evaluaciones de desempeño ni en su promoción.
Artículo 31. Jubilación
En el caso de que un trabajador pueda acceder a la Jubilación anticipada completa, una vez alcance la edad comprendida entre 60 y 63 años y cuente con una antigüedad reconocida en la empresa de al menos 15 años, tendrá derecho a cobrar las siguientes cantidades:
Ejercicio 2023
-A los 60 años: 21.100,61 euros.
-A los 61 años: 18.101,81 euros.
-A los 62 años: 15.049,15 euros.
-A los 63 años: 12.104,31 euros.
Ejercicio 2024
-A los 60 años: 21.733,62 euros.
-A los 61 años: 18.644,86 euros.
-A los 62 años: 15.500,49 euros.
-A los 63 años: 12.467,44 euros.
Ejercicio 2025
-A los 60 años: 22.385,63 euros.
-A los 61 años: 19.204,21 euros.
-A los 62 años: 15.965,50 euros.
-A los 63 años: 12.841,46 euros.
En aquellas empresas que tengan establecido un sistema diferente de incentivar la jubilación anticipada, los/las trabajadores y trabajadoras podrán optar por aquél o por el contenido en este Convenio.
El personal que pase a la situación de jubilación cualquiera que sea la fecha en que tenga lugar, percibirá como complemento las gratificaciones extraordinarias correspondientes al año en que se jubile.
El/La trabajador o trabajadora en el momento de la jubilación anticipada que llevara prestando servicio en la misma entre 19 o 20 años, entre 29 o 30 años o entre 30 o 40 años, tendrá derecho a la percepción del Premio de Permanencia y Vinculación en los términos que se fijan en el artículo correspondiente.
Artículo 32. Capacidad disminuida
Los/Las trabajadores y trabajadoras que hayan sido declarados por el organismo competente, como incapacitados o incapacitadas en el grado de permanente, parcial o total para su trabajo habitual, la empresa sin perjuicio de lo establecido legalmente, les asignará puestos de trabajo aptos para los/las interesados e interesadas, previa comunicación a los/las Representantes legales de los/las Trabajadores y trabajadoras; siempre que en la empresa exista un puesto de trabajo que sea posible desempeñar y esté disponible.
Se las mantendrá el nivel retributivo correspondiente y en caso de que se pruebe la disminución de rendimiento, deberá ocupar a dichos trabajadores y trabajadoras en otros puestos de trabajo con la retribución económica de estos puestos.
Cuando este hecho afecte a más de un trabajador o trabajadora, de acuerdo con el Comité, se irá proveyendo sin limitación en el tiempo y de acuerdo con las posibilidades.
Artículo 33. Prendas de trabajo
Las empresas afectadas por el presente Convenio, estarán obligadas a facilitar a su personal, de acuerdo con su condición profesional, las prendas de trabajo que a continuación se detallan:
a) Al personal de las secciones en que se empleen materias corrosivas, ácidos y salmueras, los monos necesarios de suficiente consistencia, calzado de goma y otro material, así como también, gafas, caretas y guantes o manoplas que eviten posibles lesiones corporales y daños en las prendas habituales.
b) Al personal que preste servicio en la intemperie, prensas de trabajo y calzado adecuado a sus funciones.
c) Prendas de trabajo y calzado adecuado al personal que preste sus servicios en instalaciones que por sus características así lo requieran.
d) Las empresas facilitarán dos monos y los mandiles necesarios para realizar faenas que exijan su utilización y el personal femenino dos batas. Cuando manipulen productos alimenticios serán facilitados cubrecabezas.
Todas las prendas consignadas en el apartado anterior, se entregarán en enero si se efectúa, en una sola vez y en abril y octubre, respectivamente, si es en dos. El personal al que se le asignen queda obligado al cuidado, limpieza, conservación y devolución de las mismas.
Los/Las representantes de los/las trabajadores y trabajadoras, controlaran la aplicación de las normas de seguridad e higiene en el trabajo dentro de la empresa.
Artículo 34. Ayudas a discapacitados físicos y psíquicos
Las empresas abonarán a los/las empleados y empleadas con hijos o hijas discapacitados físicos o psíquicos, así reconocidos legalmente en un porcentaje del 49%, una ayuda que consta en la tabla salarial anexa para cada ejercicio.
Artículo 35. Reconocimiento médico
Las empresas afectadas por el presente Convenio estarán obligadas a poner los medios necesarios (bien a través de la propia empresa, bien a través del Servicio de Prevención), para que todos los/las trabajadores y trabajadoras tengan un reconocimiento médico al año, a cargo de la empresa.
Los reconocimientos médicos anuales deberán constar, al menos de las siguientes pruebas:
-Análisis de sangre y orina.
-Chequeo de corazón y pulmón.
-Chequeo de vista y oído.
Los resultados deberán entregarse al trabajador o trabajadora con la firma del médico o médicos que hayan efectuado la revisión.
Artículo 36. Enfermedad o accidente. (Incapacidad temporal)
En caso de Incapacidad temporal por accidente de trabajo o enfermedad profesional el trabajador percibirá desde el primer día el 100% de la base reguladora y hasta tanto sea dado de alta en esa situación.
En caso de incapacidad temporal por enfermedad común o accidente no laboral el trabajador fijo de plantilla tendrá derecho a cobrar los siguientes complementos:
-Durante los 3 primeros días de baja:
*50% de la base reguladora de Seguridad Social siempre que la suma de las bajas médicas no supere un máximo de 40 días y durante las tres primeras bajas en el año natural y además.
*17% de la base reguladora de Seguridad Social siempre que la suma de las bajas médicas no supere un máximo de 60 días en cada año natural.
-Entre los días 4 y 20 de baja:
*17% de la base reguladora de Seguridad Social siempre que la suma de las bajas médicas no supere un máximo de 60 días en cada año natural.
-Entre los días 21 y 60 de baja:
*100% de la base reguladora de Seguridad Social siempre que la suma de las bajas médicas no supere un máximo de 60 días en cada año natural.
-Entre los días 61 y terminación de la baja: 75% de la base reguladora de Seguridad Social.
En los mismos supuestos se complementará a aquellos trabajadores fijos de trabajo discontinuos, de manera proporcional al tiempo efectivo de trabajo desde la última baja médica de ese trabajador. A efectos de calcular la citada proporcionalidad se considerará que cada mes de trabajo efectivo devenga 5 días del citado complemento. Este complemento tendrá un límite máximo de 60 días por cada año de vigencia del convenio.
En los mismos supuestos se complementará a aquellos los trabajadores eventuales y temporales, de manera proporcional al tiempo de trabajo contratado. A efectos de calcular la citada proporcionalidad se considerará que cada mes de trabajo contratado devenga 5 días del citado complemento. Este complemento tendrá un límite máximo de 60 días por cada año de vigencia del convenio.
Como quiera que en la base reguladora de la seguridad social van incluidas las gratificaciones extraordinarias, en todos los casos contemplados en el presente artículo se descontará al trabajador de sus gratificaciones extraordinarias la demasía que se hubiese abonado al hacer efectivo los partes de I.T. con respecto a la retribución diaria, semanal o mensual que les hubiere correspondido al trabajador si hubiese trabajado.
Artículo 37. Seguro de muerte o invalidez
Las empresas asegurarán a todos y todas los/las trabajadores y trabajadoras afectados y afectadas por el presente Convenio, con una póliza de seguro mientras se encuentren de alta en la empresa mediante cualquier modalidad de contratación, de los valores siguientes:
-Por fallecimiento como consecuencia de accidente laboral o enfermedad profesional: 50.000,00 euros.
-Por incapacidad permanente total, por accidente de trabajo: 19.000,00 euros.
-Por incapacidad permanente absoluta, por accidente de trabajo: 19.000,00 euros.
-Por incapacidad permanente total, por enfermedad común: 10.000,00 euros.
-Por incapacidad permanente absoluta, por enfermedad común: 10.000,00 euros.
Las cantidades antes descritas, por su propia definición, no son acumulables caso de producirse algún siniestro.
Serán de aplicación estas cantidades desde la entrada en vigor del presente convenio, excepto la contingencia de incapacidad permanente total u absoluta por enfermedad común que entrará en vigor el 01/01/2024.
Artículo 38. Permanencia y vinculación
El personal al servicio activo en la empresa al cumplir los 20, 30 y 40 años de servicio ininterrumpido en la misma, percibirá una gratificación de 30 días, en cada uno de los vencimientos, de su salario bruto mensual incluidos aquellos conceptos que en el ámbito de la empresa se vengan percibiendo mensualmente por el/la trabajador o trabajadora, exceptuados los devengos considerados como percepciones de puesto de trabajo, según el enunciado del artículo 30º del presente Convenio.
Los/Las trabajadores y trabajadoras que tengan la consideración de fijos discontinuos, que alcancen los 20, 30 y 40 años en días de trabajo efectivos, tendrán derecho a la misma gratificación que el/la trabajador o trabajadora fijo.
Estas gratificaciones no se cobrarán después de haber cumplido el/la trabajador o trabajadora la edad de 65 años.
Artículo 39 Nupcialidad
Con independencia del permiso legal retribuido del artículo 26del presente Convenio, los/las trabajadores y trabajadoras con más de 2 años de antigüedad reconocida en la empresa, percibirán una gratificación extrasalarial de 541,01€ en 2023 y 557,24 € en 2024 y 573,96€ en 2025 una única vez por cada trabajador.
CAPÍTULO VII Seguridad e higiene
Artículo 40. Seguridad e Higiene
En esta materia se estará a lo que dispone la vigente ley 31/1995, de 8 de noviembre, de Prevención de Riesgos Laborales y cuantos reglamentos de desarrollo de la misma se encuentren vigentes en la actualidad, o puedan estarlo en el futuro.
Artículo 41. Medidas de prevención contra la covid-19
Las empresas que estén afectadas por ámbito funcional de este convenio colectivo, establecerán un protocolo de actuación o de buenas prácticas para la prevención laboral de las personas trabajadoras durante la crisis provocada por el COVID 19, el cual tendrá como punto de partida el creado en la Comisión de Asuntos laborales del Sector Alimentación. En este, han intervenido tanto los Agentes Sociales, (UGT/FICA Y CCOO INDUSTRIA), como la Federación Española de Alimentación y Bebidas, (FIAB) y dicho protocolo o guía está elaborado, teniendo en cuenta en todo momento, los procedimientos dictados por el Ministerio de Sanidad y autoridades sanitarias competentes, así como el Ministerio de trabajo, contando con la aprobación de todas ellas.
Artículo 42. Comisión de empleo y de seguridad y salud laboral
Dada la grave situación de desempleo que sufre nuestra provincia y con ánimo de hacer un esfuerzo solidario para su solución las Centrales Sindicales firmantes así como las Asociaciones Empresariales de este sector, coinciden en la necesidad de crear una Comisión Paritaria compuesta por 8 representantes, 4 por parte de los Sindicatos y 4 por las AA.EE.
Dicha Comisión, a través de su actuación, tratará de conseguir los siguientes objetivos:
1. Mantener el nivel de empleo existente en el sector.
2. Conseguir una mayor participación en la toma de decisiones que afecten a la economía local y provincial referentes a la actividad del sector.
3. Favorecer una política de creación de empleo a través de posibles alternativas que se elaborarían.
4. Intervenir en cuantas situaciones se presenten en el sector que puedan afectar al volumen de empleo, intentando la mediación entre las partes.
5. Concluir un libro blanco sobre la prevención de los riesgos profesionales del sector y su incidencia en la salud laboral, recogiendo propuestas comunes o diferentes, sobre medidas a introducir a través de los Convenios, y acciones concretas a realizar en temas de formación y prevención de riesgos profesionales.
Esta Comisión se reunirá trimestralmente pudiendo asistir a la misma los asesores técnicos de las partes. Cuando el plenario lo acuerde podrá actuar en grupo de trabajo paritario asistidos por los técnicos que ambas partes aportes. Alternativamente, ocuparán la presidencia, en cada trimestre, una de las partes.
Artículo 43. Igualdad de Género y Conciliación de la Vida Laboral y Familiar
Las empresas que estén obligadas a ello, en cumplimiento del Real Decreto Ley 6/2019, de 1 de marzo, de medidas urgentes de igualdad de trato, y como muestra del compromiso permanente con la igualdad efectiva entre mujeres y hombres en el ámbito laboral, negociarán e implantarán un Plan de Igualdad, debiendo ser éste negociado con la representación legal de las personas trabajadoras y tal como establece el Real Decreto Ley 901/2020.
De igual manera se tendrá en cuenta el Real Decreto 902/2020 de igualdad retributiva.
El Plan de Igualdad contemplará las siguientes materias:
-Acceso al empleo.
-Modelos de contratación.
-Clasificación profesional.
-Promoción.
-Formación.
-Retribuciones medias (salario base + complementos salariales + complementos extra salariales: tanto los inherentes al desempeño del cargo o a la categoría laboral como los voluntarios (disponibilidad, puntualidad, asistencia, libre discrecionalidad de la empresa etc.) por sexo y por categoría laboral).
-Ordenación del tiempo de trabajo.
-Conciliación de la vida laboral, personal y familiar.
-Prevención del acoso sexual y acoso por razón de sexo.
-Acumulación permiso de lactancia en jornadas completas.
-Cualquier otra materia que sirva para conseguir y fomentar la igualdad efectiva entre hombres y mujeres.
Se incorporarán medidas que favorezcan la integración laboral y adaptación a su situación personal de las personas migrantes (idioma, lejanía del domicilio); garantizando el trato igualitario a personas LGTBI y medidas que favorezcan la integración con personas con diferentes capacidades.
Con el fin de fomentar la conciliación de la vida laboral y familiar se tendrá en cuenta lo siguiente:
REGULACIÓN DEL TELETRABAJO:
Será de aplicación el Real Decreto-Ley 28/2020, de 22 de septiembre, de trabajo a distancia.
En la empresa o empresas deberán articularse los medios necesarios para el adecuado ejercicio y respecto de los derechos establecidos en los artículos 87 a 91 de la LOPD y en la normativa que la desarrolla o sustituya.
CAPÍTULO VIII Representación de los/las trabajadores y trabajadoras
Artículo 44. Derechos de los/las representantes de los/las trabajadores y trabajadoras
a) Ser informados por la Dirección de la empresa trimestralmente, sobre la evolución general del sector a la que ella pertenece, así como la situación de producción, ventas y evolución probable del empleo en la empresa.
b) Conocer y tener acceso anualmente al Balance, Cuentas de Resultados y Memoria Anual de la Sociedad.
Cuando la empresa revista la forma de Sociedad por acciones o participaciones tendrán acceso a la misma información a que tengan derecho los socios y socias.
c) Serán informados, con carácter previo a su ejecución por la empresa, sobre planes de reestructuración de plantilla, cierres totales o parciales, definitivos o temporales, reducción de jornada, traslados total o parcial de las instalaciones de la empresa y sobre los planes de formación profesional de la misma.
d) Serán informados sobre la implantación o revisión de los sistemas de organización de trabajo y sus consecuencias, así como sobre estudios de tiempo, establecimiento de primas o incentivos y valoración de puestos de trabajo.
e) Se informará de los/las Representantes de los/las Trabajadores y Trabajadoras sobre la absorción, fusión o modificación de estatus jurídico de la empresa, cuando ello suponga cualquier incidencia sobre la seguridad jurídica de sus derechos o el volumen de empleo.
f) Se les facilitará por parte de empresario o empresaria el modelo o modelos de contratos y documentos relativos a la extinción de relaciones laborales, así como tendrán acceso a los que efectivamente se cumplimenten, estando legitimado el Comité o Delegados y Delegadas de Personal para efectuar las reclamaciones oportunas ante la empresa o en su caso, ante la autoridad laboral competente.
g) Serán informados trimestralmente, al menos, en lo referente a las estadísticas sobre absentismo, accidentes de trabajo y enfermedades profesionales, así como su consecuencias y velarán no sólo para que en los procesos de selección de personal se cumpla la normativa legal vigente o pactada, sino también por los principios de no-discriminación.
h) Se reconoce al Comité de Empresa capacidad procesal como órganos colegiados para ejercer cuantas acciones administrativas o judiciales estimen convenientes, en todo lo relativo al ámbito de sus competencias.
i) Los Comités de Empresas dispondrán de un local dentro de las instalaciones de la empresa, donde poder celebrar reuniones, el cual está dotado de los elementos mínimos para su funcionamiento.
j) Los miembros del Comité de Empresa o Delegados y Delegadas de Personal tendrán libertad de acceso a todos los departamentos de la empresa, debiendo comunicar previamente a su responsable más inmediato, su ausencia del puesto de trabajo.
k) La información descrita en los apartados b), d), e), f), g) y h), deberá ser entregada a los/las Representantes de los/las Trabajadores y Trabajadoras con la antelación suficiente y siempre que haya reunión.
l) Las empresa entregarán anualmente a los/las Representante de los/las Trabajadores y trabajadoras una relación de trabajadores y trabajadoras especificando el grupo y categoría profesional de cada uno.
Los derechos sindicales de los/las trabajadores y trabajadoras, así como las garantías de sus representantes, se ajustarán cada momento a la normativa legal vigente sobre estas materias.
Las empresas autorizan la acumulación trimestral de las horas sindicales, con preaviso de un mes, en una o dos personas por cada Central Sindical con representación en las mismas.
No podrán ser despedidos ni sancionados durante el ejercicio de sus funciones, ni dentro del año siguiente a su cese, salvo que éste produzca por dimisión o revocación, cuando el despido o sanción se fundamenta en la actuación del trabajador en el ejercicio formal de su representación.
Cuando el despido o sanción por faltas graves o muy graves obedeciera a otras causas de las citadas, deberá tramitarse expediente contradictorio en el que serán oídos aparte del interesado el Comité de Empresa o restantes Delegados de Personal, así como el Delegado Sindical de la Central a que pertenezca, si lo hubiere.
Poseerán prioridad de permanencia en la empresa o centro de trabajo respecto a los demás trabajadores, en los supuestos de suspensión o extinción de la relación laboral por causas tecnológicas o económicas.
No podrán ser discriminados en la promoción económica o profesional por causa o desempeño de su representación.
Expresarán con libertad sus opiniones en las materias concernientes a la esfera de su representación, pudiendo publicar o distribuir, sin perturbar el normal desenvolvimiento del trabajo, las publicaciones de interés laboral o social, comunicándolo a la empresa.
Artículo 45. Tablón de anuncios
Las empresas pondrán un tablón de anuncios en el centro de trabajo, en lugar visible, a disposición de los/las Representantes de los/las Trabajadores y trabajadoras, cuya finalidad será la información de carácter sindical y profesional.
Toda información que se efectúe por este medio deberá ser puesta simultáneamente en conocimiento de la empresa y estar identificada como perteneciente al Comité de Empresa o Delegados de Personal. El mismo procedimiento será utilizado por las empresas.
Los/las representantes de los Trabajadores y trabajadoras, a petición de la empresa, o a su propia iniciativa, retirarán las publicaciones que no estén identificadas como pertenecientes al Comité de Empresa o Delegados de Personal.
Artículo 46. Asambleas
Los Comités y Delegados/as de Personal podrán facilitar Asambleas en los centros de trabajo fuera de la jornada laboral (salvo que por acuerdo de la empresa se decida hacerlo dentro de la jornada laboral) previa comunicación a la empresa.
La Presidencia del Comité de Empresa o Delegados/as de Personal comunicará previamente a la Dirección de la empresa, los nombres de las personas no pertenecientes a ella, que vayan a asistir a la Asamblea.
En todo lo relativo a Asambleas de Trabajadores, se estará a lo que establecen los artículos 77, 78 y 79 del Estatuto de los Trabajadores.
Artículo 47. Cuota Sindical
A petición expresa de las Centrales Sindicales, las empresas deducirán de los recibos de salarios la cuota sindical correspondiente.
A dicho fin, las Centrales Sindicales que deseen se efectúe por parte de las empresas, dicha deducción, deberán entregar listas de sus afiliados, importe de las cuotas, autorizaciones individuales de cada afiliado y persona a la que habrá de entregarle mensualmente la cantidad recaudada.
CAPÍTULO IX Faltas y sanciones
Artículo 48. Normas generales
Los/as trabajadores y trabajadoras podrán ser sancionados por la Dirección de la Empresa en virtud de incumplimientos laborales, de acción u omisión, del artículo 54 del Estatuto de los Trabajadores y demás disposiciones legales o reglamentarias y jurisprudencia de aplicación.
A tal fin se aplicará el régimen disciplinario recogido en el laudo arbitral de fecha 11 de julio de 1996, siendo posible a petición de alguna de las partes su modificación por algún otro existente, previo acuerdo de las partes negociadoras del presente convenio.
CAPÍTULO X Denuncia del convenio
Artículo 49. Denuncia
Ambas partes se comprometen, si se realiza la denuncia del Convenio por cualquiera de las partes, a iniciar las deliberaciones en el plazo de un mes, a partir de la fecha en que la denuncia fuese notificada.
CAPÍTULO XI Incremento económico
Artículo 50. Incrementos económicos
Los incrementos económicos aplicados al presente convenio y que figuran en las tablas salariales son:
Para el año 2023 se establece un incremento salarial del 4% sobre las tablas salariales del ejercicio 2022, con efectos desde el 01/01/2023.
Para el año 2024 el incremento será del 3% sobre las tablas salariales del ejercicio 2023.
Para el año 2025 el incremento será del 3% sobre las tablas salariales del ejercicio 2024.
CLÁUSULA DE REVISIÓN SALARIAL: Finalizado 2025, Si el IPC interanual desde 1 enero de 2023 a 31 de diciembre de 2025 fuera superior al 10% se aplicará un incremento adicional hasta alcanzar el IPC acumulado de los tres años, con un máximo del 3%, con efectos de 1 de enero de 2026.
DISPOSICIÓN ADICIONAL PRIMERA.
COMISIÓN PARITARIA TÉCNICA SOBRE EL ARTÍCULO DE TRABAJOS PENOSOS, TÓXICOS Y PELIGROSOS:
Se crea una Comisión técnica con la función de estudiar y valorar si se debe incluir en el plus de trabajos penosos, tóxicos y peligrosos los trabajos con exposición al hexano, siendo más precisos cuando hablamos del desarrollo que hace el convenio en las extractoras de orujo al sulfuro de carbono, benceno, tricloroetileno y etc.
Esta Comisión estará formada por dos representantes del Sindicato UGT y dos representantes de las asociaciones empresariales ACORA y ASFACO, un representante por cada asociación.
Las conclusiones de dicha Comisión se harán llegar a la Comisión negociadora del convenio para su tratamiento y, si procede, su incorporación al convenio colectivo.
COMISIÓN PARITARIA DE CLASIFICACIÓN PROFESIONAL:
SE establece una comisión paritaria en materia de clasificación profesional compuesta por dos representantes del sindicato UGT y dos representes de las asociaciones empresariales ACORA Y ASFACO, como partes firmantes del convenio colectivo y con el fin de adaptar el sistema de clasificación profesional a las nuevas ocupaciones dentro del sector del aceite y sus derivados de la provincia de Córdoba.
Las conclusiones de dicha Comisión se harán llegar a la Comisión negociadora del convenio para su tratamiento y, si procede, su incorporación al convenio colectivo.
Firmas ilegibles.
ANEXO I.
ANEXO II.- TRABAJOS PENOSOS, TÓXICOS Y PELIGROSOS (salario día laborable) AÑOS 2023-2024 Y 2025.
ACTA (BOP Nº 56 – Viernes, 21 de Marzo de 2025)
Código de Convenio: 14000265011982.
Visto el Texto del Acta de la reunión celebrada el día 12 de febrero de 2025, en la Comisión Paritaria del Convenio Colectivo de las Industrias del Aceite y sus derivados de la Provincia de Córdoba, sobre interpretación del artículo 25 del Convenio, y de conformidad con lo establecido en el artículo 90 del Real Decreto Legislativo 2/2015, de 23 de octubre, por el que se aprueba el texto refundido del Estatuto de los Trabajadores y en el Real Decreto 713/2010, de 28 de mayo, sobre registro y depósito de convenios y acuerdos colectivos de trabajo, modificado por el Real Decreto 901/2020, de 13 de octubre, por el que se regulan los planes de igualdad y su registro y se modifica el Real Decreto 713/2010, de 28 de mayo, sobre registro y depósito de convenios y acuerdos colectivos de trabajo, esta Autoridad Laboral, sobre la base de las competencias atribuidas en el Real Decreto 4043/1982, de 29 de diciembre, sobre Traspaso de Funciones y Servicios de la Administración del Estado a la Junta de Andalucía en materia de trabajo, la Ley 9/2007, de 22 de octubre, de la Administración de la Junta de Andalucía (BOJA nº 215, de 31 de octubre), el Decreto 226/2020, de 29 de diciembre, por el que se regula la Organización Territorial Provincial de la Administración de la Junta de Andalucía (BOJA Ext. nº 90, de 30 de diciembre), modificado por el Decreto 300/2022, de 30 de agosto (BOJA Ext. nº 29, de 30 de agosto), el artículo 5 del Decreto del Presidente 10/2022, de 25 de julio, sobre Reestructuración de Consejerías, en relación con el artículo 11 del Decreto del Presidente 6/2024, de 29 de julio, sobre Reestructuración de Consejerías, y el Decreto 155/2022, de 9 agosto, por el que se regula la Estructura Orgánica de la Consejería de Empleo, Empresa y Trabajo Autónomo (BOJA Ext. nº 28, de 11 de agosto),
A C U E R D A
PRIMERO.- Ordenar su inscripción en el Registro de Convenios y Acuerdos Colectivos de trabajo y Planes de Igualdad, con funcionamiento a través de medios electrónicos de este Centro Directivo.
SEGUNDO.- Disponer su publicación en el Boletín Oficial de la Provincia.
Córdoba, 14 de marzo de 2025.- La Delegada Territorial de Empleo, Empresa y Trabajo Autónomo en Córdoba, María Dolores Gálvez Páez.
ACTA DE LA COMISIÓN PARITARIA DEL CONVENIO COLECTIVO DE LAS INDUSTRIAS DEL ACEITE Y SUS DERIVADOS DE LA PROVINCIA DE CÓRDOBA.
ASISTENTES.
PARTE EMPRESARIAL.
Por la ASOCIACIÓN EMPRESARIAL DE ALMAZARAS INDUSTRIALES DE LA PROVINCIA DE CÓRDOBA (ACORA).
Doña Macarena Sánchez del Aguila.
Don Blas Francisco Muñoz Relaño.
Asesor:
Don Antonio Arroyo Díaz.
Por la ASOCIACIÓN DE EMPRESAS FABRICANTES Y DE SERVICIOS DE CÓRDOBA (ASFACO).
Don Francisco de Asís Chocán Domínguez.
Asesora:
Doña Pilar Sierra Martos.
PARTE SOCIAL.
Por U.G.T.:
Don Miguel Ángel Carrasco Pastor.
Don Antonio R. Lopera Ordóñez.
En Córdoba, siendo las diez horas del día 12 de febrero de 2025, se reúnen los señores relacionados al margen, miembros que conforman la Comisión Paritaria del Convenio Colectivo de las Industrias del Aceite y sus derivados de la provincia de Córdoba, en las instalaciones de la Confederación de Empresarios de Córdoba situadas en calle Jardines Virgen de la Estrella nº1 de la ciudad de Córdoba.
Abierta la sesión, se da lectura a la consulta presentada por FICA-UGT que plantea lo siguiente:
«Desde la Secretaria del Sector Agroalimentario de la Federación de Industria, Construcción y Agro, (FICA), de la Provincia de Córdoba, con domicilio a efectos de notificación: Avda. Agrupación Córdoba s/n. y tras comunicación por parte R.L.- P.T. en la empresa DCOOP (SECCION DE ACEITUNA DE MESA EN MONTURQUE), que representa a este sindicato (UGT).
TRASLADAMOS LOS HECHOS SIGUIENTES:
1. En esta empresa, no se está haciendo efectivo el plus de asistencia cuando las personas trabajadoras están en su periodo de vacaciones.
2. El artículo 25 (vacaciones) del propio convenio colectivo dice lo siguiente en su último párrafo:
«La retribución de este período vacacional estará compuesta por el promedio de los conceptos salariales habituales más una Bolsa de Vacaciones cuya cantidad consta en la tabla salarial anexa».
3. El artículo 27 (estructura Salarial) cuando se refiere al Plus de Asistencia, establece: «Independientemente de todos los conceptos retributivos, anteriormente indicados y con el fin de conseguir aumentos de productividad, disminución del absentismo y la plena ocupación conforme a lo establecido en el artículo, se establece el abono de este plus en las cuantías que se indican en la tabla salarial anexa a este Convenio.
Su pago se realizará por día efectivo de trabajo».
4. Dicho lo anterior entendemos que dicho plus es un concepto salarial habitual y ordinario, con lo cual debe hacerse efectivo en vacaciones, tal como dice el propio convenio colectivo y además la propia jurisprudencia al respecto.
POR TODO LO ANTERIOR PEDIMOS A ESTA COMISIÓN PARITARIA:
Se pronuncie al respecto sobre lo planteado, teniendo en cuenta todo lo expuesto en los puntos anteriores, pues es esta Comisión la que tiene competencias para ello.
Respecto a la cuestión planteada la parte empresarial tiene la siguiente postura:
El artículo 25 del Convenio Colectivo del Aceite establece en relación a la retribución de las vacaciones que : «la retribución de este período vacacional estará compuesta por el promedio de los conceptos salariales habituales más una Bolsa de Vacaciones cuya cantidad consta en la tabla salarial anexa».
La citada redacción ha pretendido en todo caso respetar la jurisprudencia comunitaria y nacional en relación a este tema. En concreto, el principio de que el trabajador durante las vacaciones debe percibir la «retribución ordinaria» y «comparable a los periodos de trabajo», o como dice la STS de 16 de mayo de 2018: «el trabajador debe percibir durante sus vacaciones su retribución ordinaria, normal o media…»
El artículo 25 del Convenio al crear una bolsa de vacaciones que viene a compensar lo que el trabajador dejaría de cobrar por el plus de asistencia e incluso el plus de transporte no hace sino respetar los principios arriba enunciados. La cantidad que se cobra por bolsa de vacaciones coincide con la suma de ambos conceptos (plus de asistencia y de transporte). Además, el artículo establece que se deberá cobrar el promedio de los conceptos salariales habituales, refiriéndose a los demás conceptos que se cobren de manera habitual y no a los ya incluidos en la bolsa de vacaciones.
En caso de que se pretendiera cobrar durante el periodo de vacaciones el plus de asistencia, nos llevaría a que durante ese periodo de descanso el trabajador tendría una retribución sensiblemente superior a la de un mes «normal», en torno al 16% superior, lo que, en ningún caso es razonable ni es lo que se ha pretendido plasmar en el citado artículo.
Por su parte la representación de UGT tiene la siguiente interpretación:
Desde la Representación Social del Sindicato UGT y como personas pertenecientes a esta Comisión Paritaria del Convenio Colectivo de las Industrias del Aceite y sus derivados de la Provincia de Córdoba, quisiéramos dar traslado de propuesta de redacción, en base a la consulta hecha por este sindicato de fecha 10 de octubre de 2024.
1. El artículo 25 (vacaciones) del propio convenio colectivo establece lo siguiente en su último párrafo:
«La retribución de este período vacacional estará compuesta por el promedio de los conceptos salariales habituales más una Bolsa de Vacaciones cuya cantidad consta en la tabla salarial anexa».
2. El artículo 27 (estructura Salarial) cuando se refiere al Plus de Asistencia, establece: «Independientemente de todos los conceptos retributivos, anteriormente indicados y con el fin de conseguir aumentos de productividad, disminución del absentismo y la plena ocupación conforme a lo establecido en el artículo, se establece el abono de este plus en las cuantías que se indican en la tabla salarial anexa a este Convenio.
Su pago se realizará por día efectivo de trabajo».
3. Dicho lo anterior proponemos que la respuesta a dicha consulta debe ser la siguiente: El plus de asistencia, es un concepto salarial habitual y ordinario, con lo cual debe hacerse efectivo en vacaciones, tal como establece el propio convenio colectivo y en base a la propia jurisprudencia al respecto.
Dado que las posturas de ambas partes son contrapuestas no se alcanza acuerdo para la interpretación del artículo 25 del Convenio Colectivo de las Industrias del Aceite y sus derivados de la Provincia de Córdoba.
Se acuerda autorizar a Antonio Arroyo Díaz para el registro de la presente acta a la Autoridad Laboral.
Y no habiendo más asuntos que tratar, se levanta la sesión siendo las 11:00 del día arriba indicado.
POR ACORA.
POR ASFACO.
POR UGT.
Hay varias firmas.
ACTA (BOP Nº 244 – Lunes, 22 de Diciembre de 2025)
Código de Convenio: 14000265011982.
Visto el Texto del Acta de la reunión celebrada el día 9 de diciembre de 2025, en la Comisión Paritaria del Convenio Colectivo de las Industrias del Aceite y sus derivados de la Provincia de Córdoba, sobre interpretación del artículo 23 letra c) del Convenio de aplicación, y de conformidad con lo establecido en el artículo 90 del Real Decreto Legislativo 2/2015, de 23 de octubre, por el que se aprueba el texto refundido del Estatuto de los Trabajadores y en el Real Decreto 713/2010, de 28 de mayo, sobre registro y depósito de convenios y acuerdos colectivos de trabajo, modificado por el Real Decreto 901/2020, de 13 de octubre, por el que se regulan los planes de igualdad y su registro y se modifica el Real Decreto 713/2010, de 28 de mayo, sobre registro y depósito de convenios y acuerdos colectivos de trabajo, esta Autoridad Laboral, sobre la base de las competencias atribuidas en el Real Decreto 4043/1982, de 29 de diciembre, sobre Traspaso de Funciones y Servicios de la Administración del Estado a la Junta de Andalucía en materia de trabajo, la Ley 9/2007, de 22 de octubre, de la Administración de la Junta de Andalucía (BOJA nº 215, de 31 de octubre), el Decreto 226/2020, de 29 de diciembre, por el que se regula la Organización Territorial Provincial de la Administración de la Junta de Andalucía (BOJA Ext. nº 90, de 30 de diciembre), modificado por el Decreto 300/2022, de 30 de agosto (BOJA Ext. nº 29, de 30 de agosto), el artículo 5 del Decreto del Presidente 10/2022, de 25 de julio, sobre Reestructuración de Consejerías, en relación con el artículo 11 del Decreto del Presidente 6/2024, de 29 de julio, sobre Reestructuración de Consejerías, y el Decreto 155/2022, de 9 agosto, por el que se regula la Estructura Orgánica de la Consejería de Empleo, Empresa y Trabajo Autónomo (BOJA Ext. nº 28, de 11 de agosto),
A C U E R D A.
PRIMERO.- Ordenar su inscripción en el Registro de Convenios y Acuerdos Colectivos de trabajo, y Planes de Igualdad con funcionamiento a través de medios electrónicos de este Centro Directivo.
SEGUNDO.- Disponer su publicación en el Boletín Oficial de la Provincia.
Córdoba, 12 de diciembre de 2025.- La Delegada Territorial de Empleo, Empresa y Trabajo Autónomo en Córdoba, María Dolores Gálvez Páez.
ACTA DE LA COMISIÓN PARITARIA DEL CONVENIO COLECTIVO DE LAS INDUSTRIAS DEL ACEITE Y SUS DERIVADOS DE LA PROVINCIA DE CÓRDOBA.
ASISTENTES.
PARTE EMPRESARIAL.
Por la Asociación Empresarial de Almazaras Industriales de la provincia de Córdoba (ACORA).
Doña Macarena Sánchez del Aquila.
Don Blas Francisco Muñoz Relaño.
Asesor:
Don Antonio Arroyo Díaz.
Por la Asociación de empresas fabricantes y de servicios de Córdoba (ASFACO).
Don Francisco de Asís Chocan Domínguez.
Asesora:
Doña Pilar Sierra Martos.
PARTE SOCIAL.
Por UGT:
Don Miguel Ángel Carrasco Pastor.
Don Antonio R. Lopera Ordóñez.
En Córdoba, siendo las once horas del día 9 de diciembre de 2025, se reúnen los señores relacionados al margen, miembros que conforman la Comisión Paritaria del Convenio Colectivo de Industrias del Aceite y sus derivados de la Provincia de Córdoba, en las instalaciones de la Confederación de empresarios de Córdoba situadas en calle Jardines Virgen de la Estrella nº 1 de la ciudad de Córdoba.
Abierta la sesión, se da lectura a la consulta presentada por CTA que plantea lo siguiente:
La cuestión versa sobre la interpretación y aplicación del Art. 23.c del Convenio Colectivo de aplicación:
» Artículo 23. Calendario laboral (…).
c) Las empresas afectadas por el presente Convenio implantarán la jornada intensiva durante los meses de verano del 1 de junio al 15 de septiembre para los trabajos que se desarrollen en un único turno diario, a excepción de la red comercial, sin perjuicio de que continúen observándola aquellas que la tuvieran ya establecidas, y en sus propias condiciones. La jornada intensiva que se implante durante el periodo estival, para aquellos puestos de trabajo que se desarrollen en un único turno y horario diurno deberá realizarse, debido a las condiciones climatológicas de la época, en un horario que no exceda su finalización de las 15 horas y 30 minutos.
La empresa viene interpretando y aplicando el mencionado artículo, de tal forma que el personal del centro de trabajo que presta sus servicios en un único turno y horario diurno, debe hacerlo y lo hace en un horario cuya finalización excede de las 15:30 horas.
Por tanto, entiende esta parte que no es ajustado a Derecho que en el caso de este tipo de personal, la finalización de su horario exceda las 15:30 horas».
Respecto a la cuestión planteada la parte empresarial tiene la siguiente postura:
La parte empresarial considera que el trabajo a un único turno diario no es ni está pensando en los casos de jornada partida sino en los casos en los que no hay interrupción y se está trabajando en una jornada continuada, que no sería, por lo comentado, el caso de los trabajadores que solicitan la modificación, ya que su jornada es partida y por tanto con interrupción.
Para que haya único turno diario, el trabajo ha de ser sin interrupción y de forma continuada. Por tanto, el personal que se encuentra sometido a un régimen de jornada partida, lo que implica que la prestación de servicios se distribuye en dos tramos horarios separados por una pausa de duración relevante, no puede calificarse como una jornada desarrollada en un único turno diario, sino como una distribución del horario que implica una interrupción sustancial entre ambos periodos de actividad laboral.
Por todo ello, la parte empresarial entiende que no resultando de aplicación a dicho personal lo previsto en el artículo 23, letra c) del Convenio Colectivo, pudiendo, en consecuencia, exceder su horario laboral de las 15:30 horas.
Por su parte la representación de UGT tiene la siguiente interpretación:
El apartado c del artículo 23 del Convenio Colectivo Provincial para las Industrias del Aceite de Córdoba, regula la implantación de la jornada intensiva durante los meses de verano del 1 de junio al 15 de septiembre para los trabajos que se desarrollen en un único turno diario.
Es decir, lo que se trata es de concentrar todas las horas de trabajo de una misma jornada en un único bloque sin que se produzca ningún descanso largo para comer, únicamente el tiempo de bocadillo.
Además, dicho apartado pone cómo tope la finalización de dicha jornada a las 15 horas y 30 minutos.
Por lo tanto, todas aquellas personas trabajadoras, exceptuando las que prestan sus servicios a turnos, afectadas por dicho Convenio, no podrán finalizar su jornada más allá de lo regulado en el párrafo anterior, y además tiene que tener el carácter intensivo. Considerándose cómo un único turno el personal que preste su servicio a jornada partida.
Dado que las posturas de ambas partes son contrapuestas no se alcanza acuerdo para la interpretación del artículo 25 del convenio colectivo de las Industrias del Aceite y sus derivados de la Provincia de Córdoba.
Se acuerda Autorizar a Antonio Arroyo Díaz para el registro de la presente acta a la Autoridad Laboral.
Y no habiendo más asuntos que tratar, se levanta la sesión siendo las 12:00 del día arriba indicado.
POR ACORA, Macarena Piedad Sánchez Aguilar; Blas Francisco Muñoz Relaño.
POR ASFACO, Francisco de Asís Chocán Domínguez.
POR UGT, Antonio Rafael Lopera Ordóñez; Miguel Ángel Carrasco Pastor.
