Índice
CONVENIO COLECTIVO (BOP Núm. 238 – Lunes, 16 de diciembre de 2019)
RESOLUCIÓN DE 28 DE NOVIEMBRE DE 2019 DE LA OFICINA TERRITORIAL DE TRABAJO DE LA DELEGACIÓN TERRITORIAL DE LA JUNTA DE CASTILLA Y LEÓN EN VALLADOLID, POR LA QUE SE DISPONE EL REGISTRO, DEPÓSITO Y PUBLICACIÓN DEL CONVENIO COLECTIVO DE LA INDUSTRIA Y EL COMERCIO DE LA VID, AÑOS 2019-2020-2021(Código 47000595011982).
Visto el texto del CONVENIO COLECTIVO DE LA INDUSTRIA Y EL COMERCIO DE LA VID, AÑOS 2019-2020-2021 (Código 47000595011982) suscrito el día 9 de octubre de 2019 de una parte, por la parte empresarial, la Confederación Vallisoletana de Empresarios (CVE) y la Asociación de Industriales y Comerciantes del Vino de Valladolid y de otra, por la parte social los representantes de Comisiones Obreras (CCOO) y Unión General de Trabajadores (UGT), con fecha de entrada en este Organismo el 15 de octubre de 2019 y vista la posterior subsanación presentada por la comisión negociadora en fecha 20 de noviembre de 2019 conforme al requerimiento enviado a la misma por este organismo, y de conformidad con lo dispuesto en el artículo 90 del Real Decreto Legislativo 2/2015, de 23 de octubre, por el que se aprueba el Texto Refundido de la Ley del Estatuto de los Trabajadores, el artículo 2.1.a) del Real Decreto 713/2010, de 28 de mayo, sobre registro y depósito de convenios y acuerdos colectivos de trabajo, y Real Decreto 831/1995, de 30 de mayo, sobre traspaso de funciones y servicios de la Administración del Estado a la Comunidad de Castilla y León en materia de trabajo (ejecución de legislación laboral) y la Orden EYH/1139/2017, de 20 de diciembre de 2017, por la que se desarrolla la estructura orgánica y se definen las funciones de las Oficinas Territoriales de Trabajo, con relación a lo dispuesto en el Decreto 33/2016, de 22 de septiembre, en materia de elaboración y aprobación de estructuras orgánicas de la Administración de la Comunidad de Castilla y León, esta Oficina Territorial de Trabajo,
ACUERDA
PRIMERO.-Inscribir dicho Convenio Colectivo en el correspondiente Registro de este Organismo, con notificación a la Comisión Negociadora.
SEGUNDO.-Disponer su publicación en el Boletín Oficial de la Provincia.
TERCERO.-Depositar un ejemplar del mismo en esta Entidad.
Valladolid, 2 de diciembre de 2019.-El Jefe de la Oficina Territorial de Trabajo.(P.A. Res 19/11/2019).-La Secretaria Técnica..-Fdo.: Pilar Cuesta Cosías.
CONVENIO PROVINCIAL DE LA INDUSTRIA Y EL COMERCIO DE LA VID AÑOS 2019-2020-2021.
El presente Convenio está suscrito, por la parte empresarial, representados por la Confederación Vallisoletana de Empresarios (CVE) y la Asociación de Industriales y Comerciantes de vino de Valladolid y, por la parte social, representados por las Centrales Sindicales más representativas del sector Comisiones Obreras (CCOO) y Unión General de Trabajadores (UGT).
Artículo 1. Ámbito de aplicación.
El presente Convenio es de aplicación a las empresas y trabajadores/as de Valladolid y su provincia, perteneciente a actividades propias del sector vinícola, alcoholero o sidrero, así como a elaboradores, embotelladores, criadores, exportadores y almacenistas de vinos y bebidas alcohólicas, salvo que tengan establecido formalmente un Convenio Colectivo de Trabajo de ámbito de empresa para sus trabajadores/as.
Artículo 2. Vigencia y duración.
El presente Convenio entrará en vigor a todos los efectos, el día 1 de enero de 2019 y finalizará el 31 de diciembre de 2021, excepto el artículo 9 cuya modificación entrará en vigor el 1 de septiembre de 2019.
El presente Convenio Colectivo quedara´ denunciado de forma automática dos meses antes de su finalización atendiendo a la legislación vigente en materia de negociación colectiva en su artículo 86 del E.T.
Ambas partes se comprometen a iniciar las negociaciones del próximo convenio colectivo con una antelación mínima de dos meses previos a la finalización de la vigencia del presente convenio.
Artículo 3. Jornada de trabajo.
La jornada laboral para los años 2019, 2020, 2021 será de 1.760 horas anuales de trabajo efectivo, distribuidas de acuerdo con el calendario laboral que se fije en cada Empresa y preferentemente realizadas de lunes a viernes. En aquellas empresas donde por necesidades productivas o de organización se necesite otra jornada distinta ésta podrá ser distribuida de lunes a domingo.
Sin perjuicio de la jornada regular de la Empresa y al objeto de facilitar la adecuación de los procesos de producción de las Empresas a las necesidades de la demanda, se autoriza a las empresas a flexibilizar el 15% de la jornada de trabajo (264 horas), no pudiendo superar la jornada ordinaria de 12 horas diarias. Para la puesta en marcha de dicha flexibilidad se deberá avisar a los trabajadores afectados por escrito con una antelación mínima de 5 días y de forma paralela a la RLT.
Dicha flexibilidad no podrá aplicarse a los trabajadores y trabajadoras que hayan reducido su jornada salvo acuerdo de las partes.
El descanso legal de 15 minutos que durante la jornada laboral corresponde a la jornada continuada superior a seis horas, se considerará tiempo de trabajo efectivo.
Como norma general, se recomienda la jornada continuada, exceptuando el período de vendimia y siempre que la organización de la empresa lo permita.
Anualmente se elaborará por la empresa el calendario laboral. Si este calendario sufriera modificaciones, se comunicará a la RLT en un plazo de 7 día laborables.
Artículo 4. Períodos especiales.
Atendiendo a las características especiales de determinadas empresas en razón a las necesidades de efectuar trabajos de temporada, podrán pactarse otras modalidades de jornada distinta de las de este Convenio, previo acuerdo entre las partes afectadas y con comunicación expresa a la Comisión Interpretativa del Convenio.
Artículo 5. Condiciones más beneficiosas. Compensación y absorción.
Las condiciones de todas clases pactadas en el presente Convenio son absorbibles y compensables en su totalidad con las que anteriormente vinieran rigiendo por Imperativo Legal, Jurisprudencia, Contencioso Administrativo, Convenio Colectivo Sindical, Pacto de cualquier clase, Convenio Individual, Usos y Costumbres Locales, Comarcales o Regionales o por cualquier otra causa.
Se respetarán, no obstante, las situaciones personales que con carácter global e individualmente consideradas excedan de lo pactado, manteniéndose estrictamente ad personam.
Artículo 6. Plus de transporte.
Para compensar los gastos de desplazamiento de los trabajadores y trabajadoras a la localidad donde prestan sus servicios, se aplicara´ durante el año 2019 un plus de transporte de 8,94 euros diarios, durante 2020 un plus de transporte de 9,14 euros diarios y durante 2021 un plus de transporte de 9,34 euros diarios, por día efectivamente trabajado.
La percepción de este Plus se hará efectiva mensualmente a los/las trabajadores/as.
Artículo 7. Gratificaciones extraordinarias.
Los trabajadores/as afectados/as por este Convenio percibirán tres gratificaciones de treinta días de Salario Base de Convenio, más antigüedad, en los meses de diciembre, julio y marzo, siendo las mismas prorrateables por doceavas partes, de acuerdo con el tiempo de trabajo prestado en la empresa.
Las pagas extraordinarias se podrán prorratear de mutuo acuerdo con el trabajador/a.
Artículo 8. Vacaciones.
Se establece para el personal afectado por el presente Convenio un período de vacaciones anuales retribuidas de 26 días laborables. A estos efectos vacacionales, los sábados se computarán como días laborables completos. Las vacaciones se fijarán de mutuo acuerdo y la empresa garantizará que el trabajador/a pueda disfrutar al menos una semana entre el 15 de junio al 31 de agosto. No podrán fijarse en periodos que la empresa considere de especial producción y/o actividad (vendimia, embotellado).
Una vez conocido el período vacacional asignado a cada trabajador/a, si se produjera una situación de baja por enfermedad o accidente anterior a la fecha de inicio de aquel período, el derecho al disfrute de sus vacaciones le será respetado, asignándosele un nuevo período acorde con los deseos y posibilidades del trabajador/a y las necesidades de la empresa.
Cuando el periodo de vacaciones fijado en el calendario de vacaciones de la empresa coincida en el tiempo con una incapacidad temporal derivada del embarazo, el parto o la lactancia natural o con el periodo de suspensión del contrato de trabajo previsto en los apartados 4, 5 y 7 del artículo 48 del Estatuto de los Trabajadores , se tendrá derecho a disfrutar las vacaciones en fecha distinta a la de la incapacidad temporal o a la del disfrute del permiso que por aplicación de dicho precepto le correspondiera, al finalizar el periodo de suspensión, aunque haya terminado el año natural a que correspondan.
En el supuesto de que el periodo de vacaciones coincida con una incapacidad temporal por contingencias distintas a las señaladas en el párrafo anterior que imposibilite al trabajador disfrutarlas, total o parcialmente, durante el año natural a que corresponden, el trabajador podrá hacerlo una vez finalice su incapacidad y siempre que no hayan transcurrido más de dieciocho meses a partir del final del año en que se hayan originado.
Artículo 9. Antigüedad.
Los trabajadores/as afectado por este Convenio percibirán en concepto de premio de antigüedad un 5% por cada bienio de permanencia en la empresa, con un máximo de cuatro bienios y posteriormente, cuatro cuatrienios del 10%, hasta un máximo global del 60%.
La base de cálculo de la antigüedad, se hará hasta el 31 de agosto de 2019 sobre 735,90€ y a partir del 1 de septiembre de 2019 la base de cálculo de la antigüedad se hará sobre 900 euros; para el año 2020 la base de cálculo de la antigüedad se hará sobre 900 euros y para 2021 la base de cálculo de la antigüedad se hará sobre 920 euros.
Queda suprimido el complemento salarial de antigüedad para las contrataciones que se realicen a partir del 26-10-2012.
Artículo 10. Licencias retribuidas.
Los/as trabajadores/as previo aviso y justificación, podrán ausentarse del trabajo con derecho a remuneración por alguno de los motivos siguientes:
a) Por matrimonio: quince días naturales.
b) Por fallecimiento o enfermedad grave del cónyuge: cuatro días naturales.
c) Por fallecimiento, accidente o enfermedad graves, hospitalización o intervención quirúrgica sin hospitalización que precise reposo domiciliario, de parientes hasta el segundo grado de consanguinidad o afinidad: dos días. Cuando con tal motivo el trabajador necesite hacer un desplazamiento al efecto, el plazo será de cuatro días.
d) Por traslado de domicilio: un día.
e) Por el tiempo indispensable para el cumplimiento de un deber inexcusable de carácter público y personal.
f) Por el tiempo indispensable y legalmente exigible para el cumplimiento de sus obligaciones de representación por parte de los representantes de los trabajadores.
g) Por matrimonio de hijos o hermanos: un día.
h) Por intervención quirúrgica menor: un día.
i) Por asuntos propios y con un preaviso de siete días: un día.
En el caso del apartado b) si este permiso requiriese de un desplazamiento a larga distancia superior a los 150 kilómetros, se podrán incrementar en dos días más de los señalados.
En el caso del apartado c) del presente artículo, a instancia del trabajador/a, se podrán utilizar citadas licencias en días alternos, de forma interrumpida y no necesariamente desde el primer día en que se genere el derecho, siempre y cuando persista el hecho causante y se lleve a efecto de mutuo acuerdo con la empresa.
Por el concepto de enfermedad grave se entenderá la que requiera de hospitalización o intervención quirúrgica de carácter grave acreditadas por justificante del médico que indique la precisión de acompañamiento durante la misma.
Permisos retribuidos: las empresas concederán permisos retribuidos al personal sin pérdida de salario, para los casos de consulta médica forzosa o visita al especialista de la Seguridad Social en localidad distinta a la del domicilio del trabajador/a y por el tiempo necesario, con el límite de un día.
Se aplicarán los mismos derechos a las parejas de hecho registradas en los órganos oficiales de la Administración, en las materias relativas a licencias y permisos.
Los trabajadores que tengan la consideración de víctimas de violencia de género o de víctimas del terrorismo tendrán derecho, para hacer efectiva su protección o su derecho a la asistencia social integral, a la reducción de la jornada de trabajo con disminución proporcional del salario o a la reordenación del tiempo de trabajo, a través de la adaptación del horario, de la aplicación del horario flexible o de otras formas de ordenación del tiempo de trabajo que se utilicen en la empresa.
Artículo 11. Excedencia voluntaria.
El trabajador/a con al menos una antigüedad en la empresa de un año tiene derecho a que se le reconozca la posibilidad de situarse en excedencia voluntaria por un plazo no menor a cuatro meses y no mayor a cinco años.
Este derecho sólo podrá ser ejercitado otra vez por el mismo trabajador o trabajadora si han transcurrido cuatro años desde el final de la anterior excedencia.
Los/as trabajadores/as tendrán derecho a un período de excedencia de duración no superior a tres años para atender al cuidado de cada hijo, tanto cuando lo sea por naturaleza, como por adopción, o en los supuestos de acogimiento, tanto permanente como preadoptivo, aunque éstos sean provisionales, a contar desde la fecha de nacimiento o, en su caso, de la resolución judicial o administrativa.
El trabajador o trabajadora excedente conserva sólo un derecho preferente al reingreso en las vacantes de igual o similar categoría a la suya que hubiera o se produjera en la empresa.
Artículo 12. Enfermedad, accidente.
Cuando los trabajadores/as se encuentren en situación de baja por enfermedad o accidente, con derecho a prestación por cuenta de la Seguridad Social, las empresas abonarán a sus trabajadores/as un complemento sobre la prestación percibida, que les garantice la percepción de una cuantía equivalente al 100% del salario base del presente Convenio, durante el tiempo que dure la misma.
Artículo 13. Ascensos.
Los ascensos de los/as trabajadores/as se tramitarán por solicitud a la empresa y con audiencia de los representantes de los trabajadores.
Se constituirá un Tribunal compuesto por dos representantes de la empresa y dos representantes de los trabajadores.
El Tribunal, previas las pruebas que considere oportunas, calificará de apto o no apto al aspirante, concediendo la empresa o denegando, en su caso, el ascenso solicitado.
Artículo 14. Período de prueba.
El período de prueba se establece de la siguiente forma:
– Personal no cualificado: quince días.
– Profesionales de oficio: máximo tres meses.
– Administrativos/as: máximo dos meses.
– Técnico: máximo seis meses.
El establecimiento de estos períodos de prueba, no será obligatorio, para las empresas que no quieran expresamente imponerlos.
Artículo 15. Bonificación por trabajos nocturnos o penosos.
A los efectos del trabajo nocturno, así como de los trabajos considerados penosos, tóxicos o peligrosos, se estará a lo especificado en la Legislación vigente, y los que efectúen esta clase de trabajo disfrutarán de un incremento del 25% sobre el Salario Base del presente Convenio.
Artículo 16. Prendas de trabajo.
Las empresas facilitarán a sus trabajadores/as, cuando ellos así lo requieran, las siguientes prendas de trabajo:
– Personal obrero: dos buzos al año y calzado de agua a quienes lo precisen, así como calzado de seguridad adecuado en los puestos de trabajo en que haya riesgo de sufrir aplastamiento de los pies.
– Administrativos/as: dos chaquetillas o dos batas al año.
– Prendas adecuadas para las cámaras frigoríficas.
Artículo 17. Seguridad y salud laboral.
Todas las empresas afectadas por el presente Convenio Colectivo deberán garantizar la Seguridad y la Salud de sus trabajadores en todos los aspectos relacionados con el trabajo. Para ello, deberán aplicar todas las medidas preventivas necesarias tal y como marca Ley 31/1995 de Prevención de Riesgos Laborales y sus posteriores reformas.
Todo trabajo que tenga carácter de tóxico, penoso o peligroso tendrá la consideración excepcional, tomando en todo momento las medidas preventivas oportunas a cada tarea a realizar.
De forma específica se señala que se deberán extremar las medidas de prevención adecuadas en aquellas instalaciones donde exista o se pueda producir anhídrido carbónico, así como en los espacios confinados.
Se facilitará la puesta en marcha de la formación específica, riesgos y su legislación en cada centro de trabajo, de los delegados de prevención, acudiendo a los cursos organizados a tal fin, en cumplimiento de la Ley de Prevención de Riesgos Laborales.
Dentro de los planes formativos que las empresas deben acometer anualmente y de conformidad con el artículo 19 de la Ley de Prevención de Riesgos Laborales, se impartirá a cada uno de los trabajadores y trabajadoras una formación teórica y práctica específica de los riesgos laborales a los que está expuesto, haciendo hincapié en los siguientes aspectos:
– Uso de maquinaria.
– Uso de escaleras.
– Ruido.
– Riesgos eléctricos.
– Espacios confinados.
– Almacenado.
– Carga física.
– Incendios.
– Productos químicos.
Artículo 18. Reconocimiento médico.
Las empresas garantizarán la vigilancia periódica de la salud como actividad permanente de observación del estado de salud de los trabajadores/as y será realizada durante el tiempo de trabajo y en función de los riesgos específicos de los puestos, siendo por cuenta de la empresa los gastos ocasionados. La vigilancia de la salud solo podrá llevarse a cabo cuando el trabajador preste su consentimiento con las excepciones marcadas en la Ley de Prevención de Riesgos Laborales.
La vigilancia se llevará a cabo en base a los protocolos de vigilancia sanitaria específica editados por el Ministerio de Sanidad. En los supuestos en que los riesgos inherentes a la actividad de un trabajador/a concreto no estén contemplados en los protocolos oficiales, se garantizará un reconocimiento médico genérico cada dos años.
Artículo 19. Comité de Seguridad y Salud Laboral.
Se constituirán Comités de Seguridad y Salud en todos los centros de trabajo con cincuenta o más trabajadores y en aquellos que tengan menos de este número de trabajadores/as las competencias y facultades atribuidas al Comité de Seguridad y Salud serán ejercidas por los Delegados de Prevención.
Artículo 20. Comisión Paritaria.
1. La Comisión Paritaria estará integrada por dos representantes de las empresas y dos representantes de los trabajadores, entre los cuales se elegirá un presidente y un secretario. Los representantes de las Empresas y de los trabajadores serán designados entre las organizaciones respectivas firmantes del convenio colectivo, proporcionalmente a su representatividad en la comisión negociadora.
2. La Comisión Paritaria se reunirá a instancia de cualquier de las representaciones que la integran; la reunión convocada se celebrará dentro de los cinco días siguientes a su convocatoria. A estas reuniones las partes podrán acudir asistidas por sus asesores.
3. Esta Comisión actuará como órgano de interpretación, arbitraje, conciliación y vigilancia del cumplimiento del convenio colectivo, conociendo y dando solución a cuantas cuestiones y conflictos colectivos, que dentro de sus competencias le sean planteados.
4. Una vez notificada a la Comisión Paritaria la correspondiente cuestión y/o conflicto por parte del interesado o interesados, ésta deberá emitir el preceptivo dictamen al respecto en un plazo máximo de siete días. Transcurrido dicho plazo sin alcanzar una solución, las partes podrán adoptar las medidas legales que consideren oportunas para la salvaguarda de sus intereses.
Funciones y competencias de la Comisión Paritaria:
– Interpretación y vigilancia del cumplimiento del convenio colectivo.
– En los conflictos colectivos que surjan con ocasión de la interpretación o aplicación del Convenio Colectivo, el intento de solución de las divergencias surgidas a través de la Comisión Paritaria, tendrá carácter previo al planteamiento formal en el sistema extrajudicial de conflictos de Castilla y León, y posterior acceso a la vía jurisdiccional.
– Intervención para tratar de resolver los desacuerdos en el periodo de consulta de modificación sustancial de condiciones de trabajo e inaplicación de las condiciones de trabajo establecidas en el convenio colectivo.
– Recepción de la comunicación que deberán realizar las empresas que pretendan inaplicar el convenio colectivo, dicha comunicación, recogerá las materias que se pretenden no aplicar y las causas que le han llevado a tomar esa iniciativa.
– Recepción de la comunicación de iniciativa de promoción de un nuevo convenio de empresa.
– Intervención para intentar solventar desacuerdos en el periodo de consulta de movilidad geográfica (40 ET), transmisión de empresas (44.9 ET), suspensión y reducción de jornada (47 ET), despido colectivo (51 ET).
– Las discrepancias producidas, en su caso, en el seno de la comisión paritaria se someterán a los procedimientos de conciliación-mediación regulados en el sistema no judicial de solución de conflictos de Castilla y León (SERLA) y, en su caso, a un arbitraje vinculante.
– La toma de decisiones deberá ser aceptada por unanimidad de las partes.
5. Esta comisión tendrá su domicilio en la sede de la CVE, sita en la Plaza de Madrid Nº 4, primera planta. 47001-VALLADOLID.
Artículo 21. Derecho supletorio.
Todo lo no regulado en este Convenio se regirá por las Normas vigentes en cada momento en la Legislación General.
Artículo 22. Conceptos retributivos e indemnizatorios.
Los conceptos retributivos e indemnizatorios que se contemplan en el presente Convenio son los siguientes:
Conceptos retributivos:
a) Salario base.
b) Horas extraordinarias.
Complementos:
a) Plus de antigüedad.
b) Plus de penosidad.
c) Plus de nocturnidad.
d) Gratificaciones extraordinarias de verano, Navidad y marzo.
Conceptos indemnizatorios:
a) Dietas.
b) Plus de transporte.
c) Quebranto de moneda.
Artículo 23. Incrementos salariales para los años 2019, 2020,2021.
El incremento salarial será:
Para el año 2019 la subida salarial será del 2,2%. Tablas en ANEXO I.
Para el año 2020 la subida salarial será del 2,2%. Tablas en ANEXO II.
Para el año 2021 la subida salarial será del 2,2%. Tablas en ANEXO III.
Artículo 24. Horas extraordinarias.
Con el ánimo de estimular la creación de puestos de trabajo a través de la reducción de las horas extraordinarias, las partes coinciden en la importancia de exigir el estricto cumplimento del artículo 35 del Estatuto de los Trabajadores sobre el límite de las mismas.
El importe de las horas extraordinarias será como mínimo el de la hora del salario base convenio correspondiente a cada año, incrementando en un 40% según tablas anexas.
Dichas horas, serán abonadas dentro de los cuatro meses siguientes a su realización, pudiendo ser compensables dichas horas en el descanso equivalente dentro de los cuatro meses siguientes a su realización.
Artículo 25. Jubilación.
A los efectos de la posible aplicación de jubilaciones anticipadas al personal de 64 años, las partes acuerdan ajustarse a las especificaciones previstas en la normativa vigente debiendo aplicarse por acuerdo mutuo entre empresa y trabajador/a, dentro de los condicionamientos establecidos en la normativa legal.
Premios de jubilación: Aquellos trabajadores o trabajadoras que cesen voluntariamente por jubilación dentro de los períodos que a continuación se indican y siempre que opten por este derecho dentro de los tres meses siguientes a cumplir las referidas edades y lleven como mínimo quince años de antigüedad en la empresa, tendrán derecho a percibir las cantidades siguientes:
– Jubilación voluntaria a los 60 años: 14 meses de salario convenio.
– Jubilación voluntaria a los 61 años: 13 meses de salario convenio.
– Jubilación voluntaria a los 62 años: 12 meses de salario convenio.
– Jubilación voluntaria a los 63 años: 11 meses de salario convenio.
– Jubilación voluntaria a los 64 años: 10 meses de salario convenio.
Artículo 26. Derechos sindicales.
En materia de Derechos sindicales se estará a lo dispuesto por el Estatuto de los Trabajadores.
Se podrán acumular las horas sindicales establecidas en el Estatuto, entre los miembros de Comité de Empresa o Delegados de Personal en su mismo Centro de trabajo, pero esta acumulación se deberá producir por meses naturales, con un preaviso al menos de quince días respecto a la fecha de su utilización e indicando qué representantes ceden las horas a otros.
El preaviso para la utilización de horas sindicales será como mínimo de 48 horas, salvo casos justificados de fuerza mayor, producidos por actos de instituciones oficiales o públicas. Estas ausencias deberán ser justificadas cuando las empresas así lo requieran.
Descuento nómina: El/la trabajador/a interesado/a en la realización de esta operación remitirá a la dirección de la empresa un escrito en que expresará con claridad la orden del descuento, la Central o Sindicato al que pertenece, la cuantía de la cuota, así como el número de la cuenta corriente o libreta de Caja de Ahorros a la que debe ser transferida la correspondiente cantidad.
Las empresas efectuarán las antedichas detracciones salvo indicación expresa, al contrario.
Artículo 27. Dietas y gastos de locomoción.
A. Dietas:
Las dietas en las modalidades que luego se señalarán, están esencialmente ligadas al viaje o desplazamiento que, por necesidades del servicio y orden de la empresa, deban efectuar los trabajadores y trabajadoras a poblaciones distintas a las que radique el domicilio habitual de la empresa o del trabajador/a, de tal forma que le impida al trabajador/a hacer bien una o dos comidas principales y en su caso pernoctar en su domicilio.
Dieta entera: Es la que viene determinada por el viaje o desplazamiento que impida al trabajador/a no solo efectuar las dos comidas principales, sino pernoctar en su domicilio, fijándose la cantidad para esta dieta durante los años de vigencia del convenio (2019, 2020, 2021) en la cantidad de 59,01 euros.
Dieta por comida: Se devengará cuando el comienzo del servicio sea anterior a las 12 del mediodía, sin posibilidad de regreso antes de las 15 horas. La dieta sera´ de 19,15 € para los años de vigencia del convenio.
Dieta por cena: Se devengará cuando el comienzo del servicio sea anterior a las 20 horas, sin posibilidad de regreso antes de las 23 horas. La dieta será de 17,39 € para los años de vigencia del convenio.
Dieta por desayuno y pernocta: A esta dieta le correspondera´´ un total de 35,36 € durante la vigencia del convenio Será opcional por parte de las empresas el implantar el sistema de gastos a justificar con los límites pertinentes, para lo cual será necesario presentar las facturas que acrediten los pagos verificados.
B. Gastos de Locomoción:
Cuando el desplazamiento del empleado/a o trabajador/a se efectúe en vehículo de su propiedad el importe a satisfacer por la empresa por kilómetro recorrido será de 0,394 euros durante la vigencia del convenio. Asimismo, se abonarán por la empresa los gastos de peaje y aparcamiento que se justifiquen.
Artículo 28. Quebranto de moneda.
El trabajador/a que en cada vehículo lleva la responsabilidad de la mercancía en las operaciones de reparto en auto venta y cobro percibirá en concepto de quebranto de moneda la cantidad de 1,03 euros diarios por día trabajado y si es el mes completo 21,46 euros para los años de vigencia del presente convenio.
Artículo 29. Retroactividad.
Todos los conceptos salariales actualizados en este Convenio tendrán carácter retroactivo a 1 de enero de 2019, excepto lo establecido en el artículo 9.
Artículo 30. Liquidación y finiquito.
Las partes acuerdan que el trabajador/a, previamente a la firma del finiquito y con una antelación de cuatro días, dispondrá de copia del documento del finiquito y/o liquidación para las comprobaciones que considere oportunas.
El trabajador o trabajadora podrá reclamar las cantidades devengadas por el incremento salarial que pudiera corresponder por el período de trabajo que coincida con el de negociación del Convenio, en atención a los principios de retroactividad que se pacten, cuando se produzca su baja sin haber finalizado la negociación del Convenio.
Artículo 31. Contratos eventuales.
La modalidad de contratos eventuales por circunstancias de la producción podrá tener una duración de 12 meses en un período de 18 meses.
Artículo 32. Permiso de conducir.
En los supuestos de privación temporal de permisos de conducir a algún trabajador o trabajadora comercial o de transporte, las empresas destinarán al trabajador/a afectado a otros puestos de trabajo en el que realice funciones correspondientes a su actividad que no resulten vejatorias, y mantendrá el derecho a percibir su salario real.
Se exceptuarán de lo previsto en el párrafo anterior el supuesto en que la privación del permiso de conducir obedezca a:
– Embriaguez del conductor/a, cuando recaiga Sentencia judicial o resolución administrativa firme.
– Cuando el vehículo se utilice fuera de la actividad laboral de la empresa.
– Cuando la privación del permiso de conducir sea consecuencia de condena por delito declarada en Sentencia firme.
Lo establecido en el párrafo primero del presente artículo únicamente tendrá validez para cada afectado, una sola vez cada dos años.
Artículo 33. Póliza de seguros de accidentes.
Las empresas afectadas por el presente Convenio vendrán obligadas a cubrir mediante la oportuna póliza de seguro los riesgos de fallecimiento o invalidez permanente, total o absoluta, de los trabajadores fijos de plantilla producidos como consecuencia de accidentes de trabajo o enfermedad profesional, garantizando al trabajador accidentado o a sus causahabientes, en su caso, el percibo de las indemnizaciones siguientes:
a) En el caso de fallecimiento 32.000 euros.
b) En caso de invalidez permanente de carácter total, absoluta o gran invalidez 38.000 euros.
Una vez formalizadas las pólizas con las compañías aseguradoras, las empresas deberán comunicar a éstas los nuevos trabajadores que contraten a los efectos de incluirlos como beneficiarios de las mismas, exceptuando tan solo a los que figuren como eventuales, que quedarán excluidos de las pólizas a todos los efectos, salvo que sus contratos fueran prorrogados y hubieran prestado servicios continuados por un tiempo superior a los 12 meses de contrato.
Aquellos trabajadores y trabajadoras eventuales que se estime la duración del contrato, bien inicialmente o por prórrogas, igual o superior a seis meses deberán disponer de una póliza equivalente al 50% de la cobertura de los trabajadores fijos.
Artículo 34. Cláusula de descuelgue.
Las condiciones salariales establecidas en el presente Convenio Colectivo, no serán de necesaria y obligada aplicación para aquellas empresas que acrediten objetiva y fehacientemente situaciones de déficit o pérdidas, en cuyo caso, la fijación del incremento salarial se trasladará a las partes implicadas (empresa-trabajadores).
Estas circunstancias se deberán exponer a la representación de los trabajadores, junto con la documentación que lo acredite y dichos representantes están obligados a guardar la mayor reserva acerca de la información facilitada.
Para acogerse a este procedimiento de inaplicación salarial (descuelgue), la Empresa deberá seguir el procedimiento establecido en el artículo 82.3 del vigente Estatuto de los Trabajadores o norma que en su caso pueda dictarse durante la vigencia del presente Convenio.
Como se establece en el artículo 82.3 del Estatuto de los Trabajadores en caso de desacuerdo durante el periodo de consultas cualquiera de las partes podrá someter la discrepancia a la comisión del convenio, que dispondrá de un plazo máximo de siete días para pronunciarse, a contar desde que la discrepancia le fuera planteada. Cuando no se hubiera solicitado la intervención de la comisión o esta no hubiera alcanzado un acuerdo, las partes deberán recurrir a los procedimientos que se hayan establecido en los acuerdos interprofesionales de ámbito estatal o autonómico, previstos en el artículo 83, para solventar de manera efectiva las discrepancias surgidas en la negociación de los acuerdos a que se refiere este apartado, incluido el compromiso previo de someter las discrepancias a un arbitraje vinculante, en cuyo caso el laudo arbitral tendrá la misma eficacia que los acuerdos en periodo de consultas y solo será recurrible conforme al procedimiento y en base a los motivos establecidos en el artículo 91 del Estatuto de los Trabajadores.
Artículo 35. Formación.
Cuando las empresas lo consideren conveniente o necesario para el mejor desarrollo de su actividad, o les sea solicitado de forma razonada por la representación de los trabajadores podrán efectuar a su cargo o en colaboración con los Organismos competentes, Cursos de Formación Profesional reglados o no, Presenciales o a Distancia, e impartido por personal o entidades propias o ajenas a la empresa, proponiendo su realización a los trabajadores de la empresa que lo necesiten o puedan estar interesados en los mismos, en las condiciones y con los requisitos que legalmente estén establecidos o se establezcan en el futuro.
Artículo 36. Garantías sindicales.
Los Comités de Empresa y en su caso, los delegados de personal o representantes del personal de la misma, detentan la capacidad de negociación con el empresario en defensa de los intereses de sus representados:
Reconociéndoles, además de las funciones y garantías señaladas en cada momento por la legislación vigente, las siguientes atribuciones:
a) Ser informados de los puestos vacantes a cubrir dentro de la empresa, con excepción de los denominados de responsabilidad.
b) Ser informados respecto de aquellas medidas que afecten a los trabajadores y trabajadoras en relación a las modificaciones o establecimientos de nuevos sistemas de trabajo, así como en la fijación de tarifas o escalas de valoración de puestos de trabajo.
c) Ser informados, con 15 días de antelación de los cambios de horario que se produzca por necesidades de servicio o por conveniencia de la empresa.
d) Tener copia de los modelos de contratos de trabajo utilizados por la empresa.
Artículo 37. Participación en las negociaciones de Convenios Colectivos.
Los representantes de los trabajadores que participen en las Comisiones Negociadoras de Convenios Colectivos, manteniendo su vinculación como trabajadores en activo de alguna empresa, les serán concedidos permisos retribuidos por las mismas, a fin de facilitarles su labor como negociadores y durante el transcurso de la antedicha negociación, siempre que la empresa esté afectada por la negociación en cuestión.
Artículo 38. Empresas de Trabajo Temporal.
Las empresas afectadas por este Convenio, cuando contraten los servicios de empresas de trabajo temporal, exigirán a éstas que garanticen a los trabajadores puestos a su disposición, las condiciones económicas y sociales establecidas en el presente Convenio.
Artículo 39. Conciliación familiar.
Los trabajadores y trabajadoras de este convenio colectivo tendrán derecho a:
1. Exámenes prenatales: A tenor de lo dispuesto en la Ley 31/1995, de 8 de noviembre, Las trabajadoras embarazadas tendrán derecho a ausentarse del trabajo, con derecho a remuneración, para la realización de exámenes prenatales y técnicas de preparación al parto, previo aviso al empresario y justificación de la necesidad de su realización dentro de la jornada de trabajo.
2.- A tenor de lo dispuesto en el artículo 37 del Estatuto de los Trabajadores en los casos de adopción, guarda con fines de adopción o acogimiento, el personal, previo aviso y justificación, podrá ausentarse del trabajo, con derecho a remuneración para la asistencia a las preceptivas sesiones de información y preparación y para la realización de los preceptivos informes psicológicos y sociales previos a la declaración de idoneidad, siempre, en todos los casos, que deban tener lugar dentro de la jornada de trabajo.
2. Suspensión del contrato por nacimiento: Se estará a lo dispuesto en el art. 48.4 del Estatuto de los Trabajadores, aprobado por Real Decreto Legislativo 2/2015, de 23 de octubre según la redacción del apartado 12 del artículo 2 del Real Decreto-ley 6/2019, de 1 de marzo, de medidas urgentes para garantía de la igualdad de trato y de oportunidades entre mujeres y hombres en el empleo y la ocupación.
3. Lactancia: En los supuestos de nacimiento, adopción, guarda con fines de adopción o acogimiento, de acuerdo con el artículo 45.1.d) del ET, las personas trabajadoras tendrán derecho a una hora de ausencia del trabajo, que podrán dividir en dos fracciones, para el cuidado del lactante hasta que este cumpla 9 meses. La duración del permiso se incrementará proporcionalmente en los casos de nacimiento, adopción, guarda con fines de adopción o acogimiento múltiples.
Quien ejerza este derecho, por su voluntad, podrá sustituirlo por una reducción de su jornada en media hora con la misma finalidad o acumularlo en jornadas completas en los términos previstos en la negociación colectiva o en el acuerdo a que llegue con la empresa respetando, en su caso, lo establecido en aquella.
La reducción de jornada contemplada en este apartado constituye un derecho individual de las personas trabajadoras sin que pueda transferirse su ejercicio al otro progenitor, adoptante, guardador o acogedor. No obstante, si dos personas trabajadoras de la misma empresa ejercen este derecho por el mismo sujeto causante, la dirección empresarial podrá limitar su ejercicio simultáneo por razones justificadas de funcionamiento de la empresa, que deberá comunicar por escrito.
Cuando ambos progenitores, adoptantes, guardadores o acogedores ejerzan este derecho con la misma duración y régimen, el período de disfrute podrá extenderse hasta que el lactante cumpla 12 meses, con reducción proporcional del salario a partir del cumplimiento de los 9 meses.
A petición del trabajador/a se podrá acumular en jornadas completas el tiempo de lactancia en 14 días laborables, los cuales deberán disfrutarse inmediatamente después de terminado el permiso por maternidad.
4. Excedencia: Los trabajadores tendrán derecho a un período de excedencia de duración no superior a tres años para atender al cuidado de cada hijo, tanto cuando lo sea por naturaleza, como por adopción, o en los supuestos de acogimiento, tanto permanente como preadoptivo, aunque éstos sean provisionales, a contar desde la fecha de nacimiento o, en su caso, de la resolución judicial o administrativa.
También tendrán derecho a un período de excedencia, de duración no superior a dos años, salvo que se establezca una duración mayor por negociación colectiva, los trabajadores para atender al cuidado de un familiar hasta el segundo grado de consanguinidad o afinidad, que por razones de edad, accidente, enfermedad o discapacidad no pueda valerse por sí mismo, y no desempeñe actividad retribuida.
El período en que el trabajador/a permanezca en situación de excedencia conforme a lo establecido en este artículo será computable a efectos de antigüedad. Durante el primer año tendrá derecho a la reserva de su puesto de trabajo. Transcurrido dicho plazo, la reserva quedará referida a un puesto de trabajo del mismo grupo profesional o categoría equivalente.
5. Reducción de jornada: Quien por razones de guarda legal tenga a su cuidado directo algún menor de doce años o una persona con discapacidad física, psíquica o sensorial, que no desempeñe una actividad retribuida, tendrá derecho a una reducción de la jornada de trabajo diaria, con la disminución proporcional del salario entre, al menos, un octavo y un máximo de la mitad de la duración de aquélla.
El progenitor, adoptante o acogedor de carácter preadoptivo o permanente, tendrá derecho a una reducción de la jornada de trabajo, con la disminución proporcional del salario de, al menos, la mitad de la duración de aquélla, para el cuidado, durante la hospitalización y tratamiento continuado, del menor a su cargo afectado por cáncer (tumores malignos, melanomas y carcinomas), o por cualquier otra enfermedad grave, que implique un ingreso hospitalario de larga duración y requiera la necesidad de su cuidado directo, continuo y permanente, acreditado por el informe del Servicio Público de Salud u órgano administrativo sanitario de la Comunidad Autónoma correspondiente y, como máximo, hasta que el menor cumpla los 18 años.
La concreción horaria y la determinación del período de disfrute del permiso de lactancia y de la reducción de jornada, corresponderán al trabajador, dentro de su jornada ordinaria.
El trabajador, salvo fuerza mayor, deberá preavisar al empresario con una antelación de quince días, precisando la fecha en que iniciará y finalizará el permiso de lactancia o la reducción de jornada.
Los derechos relacionados en el presente artículo, se entenderán de aplicación en los mismos términos y condiciones para las parejas de hecho, siempre que justifiquen dicha circunstancia con el certificado del registro que al efecto tenga la Administración o en defecto administrativo, por no existir el mismo, el certificado de convivencia.
Artículo 40. Régimen disciplinario. Principios de ordenación.
1. – Las presentes normas de régimen disciplinario persiguen el mantenimiento de la disciplina laboral, que es un aspecto fundamental para la normal convivencia, ordenación técnica y organización de la empresa, así como la garantía y defensa de los derechos e intereses legítimos de trabajadores y empresarios.
2. – Las faltas, siempre que sean constitutivas de incumplimientos contractuales y culpables del trabajador, podrán ser sancionadas por la dirección de la empresa de acuerdo con la graduación que se establece en el presente capítulo.
3. – Toda falta cometida por los trabajadores se clasificará en leve, grave o muy grave.
4. – La falta, sea cual fuere su calificación, requerirá comunicación escrita y motivada de la empresa al trabajador.
5. – La imposición de sanciones por faltas graves y muy graves será notificada a los representantes legales de los trabajadores, si los hubiere.
Artículo 41. Graduación de las faltas.
1. – Se considerarán como faltas leves:
a) La impuntualidad no justificada en la entrada o en la salida del trabajo hasta tres ocasiones en un mes por un tiempo total inferior a veinte minutos.
b) La inasistencia injustificada al trabajo de un día durante un periodo de un mes.
c) La no comunicación con la antelación previa debida de la inasistencia al trabajo por causa justificada, salvo que se acredite la imposibilidad de la justificación.
d) El abandono del puesto de trabajo sin causa justificada por breves periodos de tiempo y siempre que ello no hubiere causado riesgo a la integridad de las personas o de las cosas, en cuyo caso podrá ser calificado, según la gravedad, como falta grave o muy grave.
e) La desatención y falta de corrección en el trato con el público cuando no perjudiquen gravemente la imagen de la empresa.
f) Los descuidos en la conservación del material que se tuviere a cargo o fuere responsable y que produzcan deterioros leves del mismo.
2. – Se considerarán como faltas graves:
a) La impuntualidad no justificada en la entrada al o la salida del trabajo hasta en tres ocasiones en un mes por un tiempo total de hasta cuarenta minutos.
b) La inasistencia injustificada al trabajo de dos a cuatro días durante un periodo de un mes.
c) En entorpecimiento, la omisión maliciosa y el falseamiento de los datos que tuvieren incidencia en la Seguridad Social.
d) La simulación de enfermedad o accidente, sin perjuicio de lo prevenido en el párrafo d) del siguiente apartado.
e) La suplantación de otro trabajador, alterando los registros y controles de entrada y salida al trabajo.
f) La desobediencia a las ordenes e instrucciones de trabajo, incluidas las relativas a las normas de seguridad e higiene, así como la imprudencia o negligencia en el trabajo, salvo que de ellas derivasen perjuicios graves a la empresa, causaren averías a las instalaciones, maquinas y, en general, bienes de la empresa o comportasen riesgo de accidente para las personas, en cuyo caso serán consideradas como faltas muy graves.
g) La falta de comunicación a la empresa de los desperfectos o anormalidades observados en los útiles, herramientas, vehículos y obras a su cargo cuando de ello se hubiere derivado un perjuicio grave a la empresa.
h) La realización sin el oportuno permiso de trabajos particulares durante la jornada, así como el empleo de útiles, herramientas, maquinaria, vehículos y, en general, bienes de la empresa para los que no estuviere autorizado o para usos ajenos a los del trabajo encomendado, incluso fuera de la jornada laboral.
i) El quebrantamiento o la violación de secretos de obligada reserva que no produzcan grave perjuicio para la empresa.
j) La embriaguez no habitual en el trabajo.
k) La falta de aseo y limpieza personal cuando pueda afectar al proceso productivo o a la prestación del servicio y siempre que, previamente, hubiere mediado la oportuna advertencia de la empresa.
l) La ejecución deficiente de los trabajos encomendados, siempre que de ello no se derive perjuicio grave para las personas o las cosas.
m) La disminución del rendimiento normal en el trabajo de manera no repetida.
n) Las ofensas de palabras proferidas o de obra cometidas contra las personas dentro del centro de trabajo, cuando no revistan acusada gravedad.
o) Las derivadas de los establecido en los apartados 1.d) y e) del presente artículo.
p) La reincidencia en la comisión de cinco faltas leves, aunque sean de distinta naturaleza y siempre que hubiere mediado sanción distinta de la amonestación verbal, dentro de un trimestre.
3. – Se considerarán como faltas muy graves:
a) La impuntualidad no justificada en la entrada o en la salida del trabajo en diez ocasiones durante seis meses o en veinte durante un año.
b) La inasistencia injustificada al trabajo durante tres días consecutivos o cinco alternos en un periodo de un mes.
c) El fraude, deslealtad o abuso de confianza en las gestiones encomendadas o la apropiación, hurto o robo de bienes propiedad de la empresa, de compañeros o de cualesquiera otras personas dentro de las dependencias de la empresa o durante la jornada de trabajo en otro lugar.
d) La simulación de enfermedad o accidente o la prolongación de la baja por enfermedad o accidente con la finalidad de realizar cualquier trabajo por cuenta propia o ajena.
e) El quebrantamiento o violación de secretos de obligada reserva que produzca grave perjuicio para la empresa.
f) La embriaguez y la drogodependencia durante el trabajo, siempre que afecte negativamente al rendimiento.
g) La realización de actividades que impliquen competencia desleal a la empresa.
h) Las derivadas de los apartados 1.d) y 2.f) y n) del presente artículo.
i) La disminución voluntaria y continuada en el rendimiento del trabajo normal pactado.
j) La inobservancia de los servicios de mantenimiento en caso de huelga.
k) El abuso de autoridad ejercido por quienes desempeñan funciones de mando.
l) El acoso sexual o acoso por razón de sexo m) La reiterada no utilización de los elementos de protección en materia de seguridad e higiene.
n) La reincidencia o reiteración en la comisión de faltas graves, considerando como tal aquella situación en la que, con anterioridad al momento de la comisión del hecho, el trabajador hubiese sido sancionado dos o mas veces por faltas graves, aun de distinta naturaleza, durante el periodo de un año.
Artículo 42. Sanciones.
1.-Las sanciones máximas que podrán imponerse por la comisión de las faltas enumeradas en el artículo anterior, son las siguientes:
a) Por falta leve, amonestación verbal o escrita y suspensión de empleo y sueldo de hasta dos días.
b) Por falta grave suspensión de empleo y sueldo de tres a catorce días.
c) Por falta muy grave, suspensión de empleo y sueldo de catorce días a un mes, traslado a centro de trabajo de localidad distinta durante un periodo de hasta un año y despido disciplinario.
2.-Las anotaciones desfavorables que como consecuencia de las sanciones impuestas pudieran hacerse constar en los expedientes personales quedarán canceladas al cumplirse los plazos de dos, cuatro y ocho meses según se trate de falta leve, grave o muy grave.
3.-Las faltas leves prescribirán a los diez días, las graves a los veinte días y las muy graves a los sesenta días a partir de la fecha en que la empresa tuvo conocimiento de su comisión y, en todo caso, a los seis meses de haberse cometido.
Artículo 43. Garantía de igualdad de oportunidades y no discriminación entre las personas.
1.- Las relaciones laborales en las empresas deben estar presididas por la no discriminación por razón de nacimiento, raza, sexo, religión, adhesión sindical o cualquier otra condición o circunstancia personal o social.
2.- Los derechos establecidos en el presente convenio afectan por igual al hombre y la mujer, de acuerdo con las disposiciones vigentes en cada momento. Ninguna cláusula de este convenio podrá ser interpretada en sentido discriminatorio en los grupos profesionales, condiciones de trabajo, remuneración entre trabajadores de uno y otro sexo.
Se considera discriminación indirecta por razón de sexo, la situación en que una disposición, criterio o practica aparentemente neutros, pone a la persona de un sexo en desventaja con respecto a personas de otro, salvo que dicha disposición, criterio o practica puedan justificarse objetivamente en atención a una finalidad legitima y que los medios para alcanzar dicha finalidad sean necesarios o adecuados.
En cualquier caso, se considerará discriminatoria toda orden de discriminar directa o indirectamente por razón de sexo.
3.- Las empresas realizaran esfuerzos tendentes a lograr la igualdad de oportunidades en todas sus políticas, en particular la igualdad de género adoptando las medidas dirigidas a evitar cualquier tipo de discriminación laboral entre hombres y mujeres.
En el caso de empresas de más de 250 trabajadores, las medidas de igualdad a que se refiere el párrafo anterior, deberán dirigirse a la elaboración y aplicación de un plan de igualdad, que deberá asimismo ser objeto de negociación en la forma que determine la legislación laboral.
Los planes de igualdad podrán contemplar, entre otras materias de acceso al empleo, clasificación profesional, promoción y formación, retribuciones, ordenación del tiempo de trabajo, favorecer en términos de igualdad entre mujeres y hombres, la conciliación laboral, personal y familiar y prevención del acoso sexual y del acoso por razón de sexo.
Articulo 44. Acoso sexual y acoso por razón de sexo.
Todos los trabajadores tienen derecho a la igualdad de trato entre hombres y mujeres, a la intimidad, y a ser tratados con dignidad y no se permitirá ni tolerará el acoso sexual, ni el acoso por razón de sexo, en el ámbito laboral, asistiéndoles a los afectados el derecho de presentar denuncias.
La persona víctima de acoso sexual o víctima de acoso por razón de sexo lo podrá dar cuenta, de forma verbal o por escrito, a través de su representante o directamente, a la dirección de la empresa de las circunstancias del hecho concurrente, el sujeto activo del acoso, las conductas, proposiciones o requerimientos en que haya podido concretarse y las consecuencias negativas que se han derivado o en su caso, pudieran haberse derivado. La presentación de la denuncia dará lugar a la apertura de diligencias por parle de la empresa, para verificar la realidad de las imputaciones efectuadas e impedir la continuidad del acoso denunciado; las averiguaciones se efectuarán en el plazo de 10 días, sin observar ninguna otra formalidad que la audiencia de los intervinientes, guardando todos los actuantes una absoluta confidencialidad y reserva, por afectar directamente a la intimidad y honorabilidad de las personas.
La constatación de la existencia de acoso sexual o víctima de acoso por razón de sexo en el caso denunciado será considerada siempre falta muy grave; si tal conducta o comportamiento se lleva a cabo prevaliéndose de una posición jerárquica supondrá una circunstancia agravante de aquella.
Los representantes de los trabajadores deberán contribuir a prevenir el acoso sexual y el acoso por razón de sexo en el trabajo mediante la sensibilización de los/as trabajadores/as frente al mismo y la información a la dirección de la empresa de las conductas o comportamientos de que tuvieran conocimiento y que pudieran propiciarlo.
DISPOSICION ADICIONAL PRIMERA (GENERO NEUTRO).
En el Texto de este Convenio, en general, se ha utilizado el masculino, en singular o plural, como genérico para englobar a los trabajadores y las trabajadoras, sin que esto suponga ignorancia de las diferencias de género existentes, al efecto de no realizar una escritura en exceso compleja.
DISPOSICION ADICIONAL SEGUNDA.
Las partes firmantes del presente Convenio se comprometen a constituir durante la vigencia del convenio una Comisión para el estudio y adecuación de la clasificación estará integrada por CUATRO miembros de forma paritaria, DOS de la representación patronal y DOS de la representación sindical.
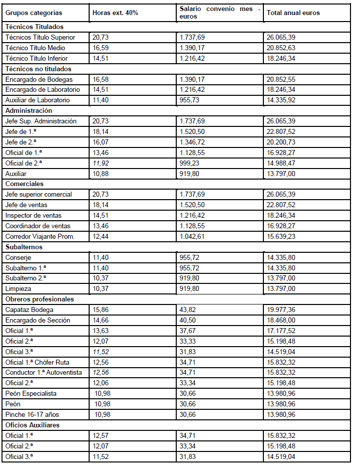
ANEXO I.- Tablas salariales para el año 2019. (2,2% incremento salarial).
ANEXO II.- Tablas salariales para el año 2020. (2,2% incremento salarial).
ANEXO III.- Tablas salariales para el año 2021. (2,2% incremento salarial).
\\\\\
CONVENIO COLECTIVO (BOP Número 200 – Miércoles, 19 de octubre de 2022)
RESOLUCIÓN DE 5 DE OCTUBRE DE 2022 DE LA OFICINA TERRITORIAL DE TRABAJO DE LA DELEGACIÓN TERRITORIAL DE LA JUNTA DE CASTILLA Y LEÓN EN VALLADOLID, POR LA QUE SE DISPONE EL REGISTRO, DEPÓSITO Y PUBLICACIÓN DEL CONVENIO COLECTIVO DE LA INDUSTRIA Y EL COMERCIO DE LA VID PARA LA PROVINCIA DE VALLADOLID
Visto el texto del Convenio Colectivo de la Industria y el Comercio de la Vid para la provincia de Valladolid, suscrito el día 25 de julio de 2022 por la Comisión Negociadora, integrada por los representantes de la empresa y los representantes de los trabajadores, con fecha de entrada en este Organismo a través del Registro Telemático de Convenios, el día 8 de agosto de 2022, y vista la posterior subsanación presentada por la Comisión Negociadora, el 4 de octubre de 2022, conforme a los requerimientos enviados a la misma por este organismo, de conformidad con lo dispuesto en el artículo 90 del Real Decreto Legislativo 2/2015, de 23 de octubre, por el que se aprueba el Texto Refundido de la Ley del Estatuto de los Trabajadores, el artículo 2.1.a) del Real Decreto 713/2010, de 28 de mayo, sobre registro y depósito de convenios y acuerdos colectivos de trabajo, y Real Decreto 831/1995, de 30 de mayo, sobre traspaso de funciones y servicios de la Administración del Estado a la Comunidad de Castilla y León en materia de trabajo (ejecución de legislación laboral) y la Orden PRE/813/2022, de 1 de julio, por la que se desarrolla la estructura orgánica y se definen las funciones de las Oficinas Territoriales de Trabajo de las Delegaciones Territoriales de la Junta de Castilla y León, con relación a lo dispuesto en el Decreto 33/2016, de 22 de septiembre, en materia de elaboración y aprobación de estructuras orgánicas de la Administración de la Comunidad de Castilla y León, esta Oficina Territorial de Trabajo
ACUERDA
Primero. – Inscribir el Convenio Colectivo en el correspondiente Registro de este Organismo, con notificación a la Comisión Negociadora.
Segundo. – Disponer su publicación en el Boletín Oficial de la Provincia.
Tercero. – Depositar un ejemplar del Convenio en esta Entidad
En Valladolid, a 6 de octubre de 2022.-La Jefa de la Oficina Territorial de Trabajo de Valladolid.-Fdo.: María Belén Iglesia Freile.
CONVENIO COLECTIVO DE LA INDUSTRIA Y EL COMERCIO DE LA VID, PARA LA PROVINCIA DE VALLADOLID AÑOS 2022-2023-2024-2025.
El presente convenio está suscrito, por la parte empresarial, representados por la Confederación Vallisoletana de empresarios (CVE) y la Asociación de Industriales y Comerciantes de vino de Valladolid y, por la parte social, representados por las Centrales sindicales más representativas del sector CCOO de INDUSTRIA y FICA UGT.
Artículo 1. Ámbito de aplicación.
El presente Convenio es de aplicación a las empresas y trabajadores/as, pertenecientes a las actividades propias del sector vinícola, alcoholero o sidrero, así como a elaboradores, embotelladores, criadores, exportadores y almacenistas de vinos y bebidas alcohólicas de Valladolid y su provincia, salvo que tengan establecido formalmente un Convenio Colectivo de Trabajo de ámbito de empresa para sus trabajadores/as, respetando en todo caso el apartado 2 del art. 84 del E.T.
Artículo 2. Vigencia y duración.
El presente Convenio entrará en vigor a todos los efectos, el día 1 de enero de 2022 y finalizará el 31 de diciembre de 2025.
El presente Convenio Colectivo quedar a´ denunciado de forma automática dos meses antes de su finalización atendiendo a la legislación vigente en materia de negociación colectiva en su artículo 86 del E.T.
Ambas partes se comprometen a iniciar las negociaciones del próximo convenio colectivo con una antelación mínima de dos meses previos a la finalización de la vigencia del presente convenio.
Artículo 3. Jornada de trabajo.
La jornada laboral para los años de vigencia será de 1.760 horas anuales de trabajo efectivo, distribuidas de acuerdo con el calendario laboral que se fije en cada Empresa y preferentemente realizadas de lunes a viernes. En aquellas empresas donde por necesidades productivas o de organización se necesite otra jornada distinta ésta podrá ser distribuida de lunes a domingo.
Las empresas podrán distribuir de manera irregular a lo largo del año, el 10% de la jornada de trabajo (176 horas). Dicha distribución deberá respetar en todo caso los periodos mínimos de descanso diario, semanal y en su caso las posibles compensaciones por exceso o por defecto, previstos en la ley. Para la puesta en marcha de dicha flexibilidad se deberá avisar a las personas trabajadoras afectadas por escrito con una antelación mínima de 5 días y de forma paralela a la RL PT.
Dicha flexibilidad no podrá aplicarse a los trabajadores y trabajadoras que hayan reducido su jornada salvo acuerdo de las partes.
El descanso legal de 15 minutos que durante la jornada laboral corresponde a la jornada continuada superior a seis horas, se considerará tiempo de trabajo efectivo.
Como norma general, se recomienda la jornada continuada, exceptuando el período de vendimia y siempre que la organización de la empresa lo permita.
Artículo 4. Períodos especiales.
Independientemente de la jornada regular establecida en este convenio colectivo y atendiendo a las características especiales de determinados trabajos de temporada, podrán pactarse jornadas de trabajo diarias de hasta 12 horas, que contendrán una hora de descanso que no se considerará de trabajo efectivo, previo acuerdo entre las partes afectadas y sin perjuicio del descanso establecido en el art ículo anterior.
Artículo 5. Condiciones más beneficiosas. Compensación y absorción.
Las condiciones de todas clases pactadas en el presente Convenio son absorbibles y compensables en su totalidad con las que anteriormente vinieran rigiendo por Imperativo Legal, Jurisprudencia, Contencioso Administrativo, Convenio Colectivo Sindical, Pacto de cualquier clase, Convenio Individual, Usos y Costumbres Locales, Comarcales o Regionales o por cualquier otra causa.
Se respetarán, no obstante, las situaciones personales que con carácter global e individualmente consideradas excedan de lo pactado, manteniéndose estrictamente adpersonam.
Artículo 6. Plus de transporte.
Para compensar los gastos de desplazamiento de los trabajadores y trabajadoras a la localidad donde prestan sus servicios, se aplicará durante el año 2022 un plus de transporte de 9,6 7 euros diarios, durante 2023 un plus de transporte de 10,0 1 euros diarios, durante 2024 un plus de transporte de 10,3 6 euros diarios, durante 2025 un plus de transporte de 10,7 2 euros diarios por día efectivamente trabajado.
La percepción de este Plus se hará efectiva mensualmente a los/las trabajadores/as.
Artículo 7. Gratificaciones extraordinarias.
Los trabajadores/afectados/as por este Convenio percibirán tres gratificaciones de treinta días de Salario Base de Convenio, más antigüedad, en los meses de diciembre, julio y marzo, siendo las mismas prorrateables por doceavas partes, de acuerdo con el tiempo de trabajo prestado en la empresa. El inicio del periodo de devengo de cada gratificación extraordinaria será el primer día de los meses a los que hace referencia el párrafo anterior.
Las pagas extraordinarias se podrán prorratear de mutuo acuerdo con el/latrabajador/a.
Artículo 8. Vacaciones.
Se establece para el personal afectado por el presente Convenio un período de vacaciones anuales retribuidas de 26 días laborables. A estos efectos vacacionales, los sábados se computarán como días laborables completos. Las vacaciones se fijarán de mutuo acuerdo y la empresa garantizará que el/la trabajador/a pueda disfrutar al menos una semana entre el 15 de junio al 31 de agosto. No podrán fijarse en periodos que la empresa considere de especial producción y/o actividad (vendimia, embotellado).
Una vez conocido el período vacacional asignado a cada trabajador/a, si se produjera una situación de baja por enfermedad o accidente anterior a la fecha de inicio de aquel período, el derecho al disfrute de sus vacaciones le será respetado, asignándosele un nuevo período acorde con los deseos y posibilidades del trabajador/a y las necesidades de la empresa.
Cuando el periodo de vacaciones fijado en el calendario de vacaciones de la empresa coincida en el tiempo con una incapacidad temporal derivada del embarazo, el parto o la lactancia natural o con el periodo de suspensión del contrato de trabajo previsto en los apartados 4, 5 y 7 del artículo 48 del Estatuto de los Trabajadores, se tendrá derecho a disfrutar las vacaciones en fecha distinta a la de la incapacidad temporal o a la del disfrute del permiso que por aplicación de dicho precepto le correspondiera, al finalizar el periodo de suspensión, aunque haya terminado el año natural a que correspondan.
En el supuesto de que el periodo de vacaciones coincida con una incapacidad temporal por contingencias distintas a las señaladas en el párrafo anterior que imposibilite al trabajador disfrutarlas, total o parcialmente, durante el año natural a que corresponden, el trabajador podrá hacerlo una vez finalice su incapacidad y siempre que no hayan transcurrido más de dieciocho meses a partir del final del año en que se hayan originado.
Artículo 9. Antigüedad.
Los/as trabajadores/as afectado/as por este Convenio percibirán en concepto de premio de antigüedad un 5% por cada bienio de permanencia en la empresa, con un máximo de cuatro bienios y posteriormente, cuatro cuatrienios del 10%, hasta un máximo global del 60%.
La base de cálculo de la antigüedad se hará sobre 952,2 euros para 2022, sobre la base de cálculo de 985,52 euros para 2023, sobre la base de cálculo de 1020,01 euros para 2023, sobre la base de cálculo de 1055,71 euros para 2024, sobre la base de cálculo de 1092,65 euros para 2025.
Queda suprimido el complemento salarial de antigüedad para las contrataciones que se realicen a partir del 26-10-2012.
Artículo 10. Licencias retribuidas.
Los/as trabajadores/as previo aviso y justificación, podrán ausentarse del trabajo con derecho a remuneración por alguno de los motivos siguientes:
a) Por matrimonio: quince días naturales.
b) Por fallecimiento o enfermedad grave del cónyuge: cuatro días naturales.
c) Por fallecimiento, accidente o enfermedad graves, hospitalización o intervención quirúrgica sin hospitalización que precise reposo domiciliario, de parientes hasta el segundo grado de consanguinidad o afinidad: dos días. Cuando con tal motivo la persona trabajadora necesite hacer un desplazamiento al efecto, el plazo será de cuatro días.
d) Por traslado de domicilio: un día.
e) Por el tiempo indispensable para el cumplimiento de un deber inexcusable de carácter público y personal.
f) Por el tiempo indispensable y legalmente exigible para el cumplimiento de sus obligaciones de representación por parte de los representantes de los trabajadores.
g) Por matrimonio de hijos o hermanos: un día.
h) Por intervención quirúrgica menor: un día.
i) Por asuntos propios y con un preaviso de siete días: un día.
j) El personal dispondrá de 16 horas anuales para el acompañamiento a centros de atención médica de hijos menores de 12 años y ascendientes (padre -madre) mayores de 70 años.
Para la obtención del permiso es necesario que se comunique con un mínimo de 24 horas y posteriormente deberá justificarse con el correspondiente justificante médico.
En el caso del apartado b) si este permiso requiriese de un desplazamiento a larga distancia superior a los 150 kilómetros, se incrementarán dos días más de los señalados.
En el caso del apartado c) del presente artículo, a instancia del trabajador/a, se podrán utilizar citadas licencias en días alternos, de forma interrumpida y no necesariamente desde el primer día en que se genere el derecho, siempre y cuando persista el hecho causante y se lleve a efecto de mutuo acuerdo con la empresa.
Por el concepto de enfermedad grave se entenderá la que requiera de hospitalización o intervención quirúrgica de carácter grave acreditadas por justificante del médico que indique la precisión de acompañamiento durante la misma.
Permisos retribuidos: las empresas concederán permisos retribuidos al personal sin pérdida de salario, para los casos de consulta médica forzosa o visita al especialista de la Seguridad Social en localidad distinta a la del domicilio del trabajador/a y por el tiempo necesario, con el límite de un día.
Se aplicarán los mismos derechos a las parejas de hecho registradas en los órganos oficiales de la Administración, en las materias relativas a licencias y permisos.
Las personas trabajadoras que tengan la consideración de víctimas de violencia de género o de víctimas del terrorismo tendrán derecho, para hacer efectiva su protección o su derecho a la asistencia social integral, a la reducción de la jornada de trabajo con disminución proporcional del salario o a la reordenación del tiempo de trabajo, a través de la adaptación del horario, de la aplicación del horario flexible o de otras formas de ordenación del tiempo de trabajo que se utilicen en la empresa.
Artículo 11. Excedencia voluntaria.
El/la trabajador/a con al menos una antigüedad en la empresa de un año, tiene derecho a que se le reconozca la posibilidad de situarse en excedencia voluntaria por un plazo no menor a cuatro meses y no mayor a cinco años.
Este derecho sólo podrá ser ejercitado otra vez por el mismo trabajador o trabajadora si han transcurrido cuatro años desde el final de la anterior excedencia.
Los/as trabajadores/as tendrán derecho a un período de excedencia de duración no superior a tres años para atender al cuidado de cada hijo, tanto cuando lo sea por naturaleza, como por adopción, o en los supuestos de acogimiento, tanto permanente como preadoptivo, aunque éstos sean provisionales, a contar desde la fecha de nacimiento o, en su caso, de la resolución judicial o administrativa.
El trabajador o la trabajadora excedente conserva sólo un derecho preferente al reingreso en las vacantes de igual o similar categoría a la suya que hubiera o se produjera en la empresa.
Artículo 12. Enfermedad, accidente.
Cuando los/as trabajadores/as se encuentren en situación de baja por enfermedad o accidente, con derecho a prestación por cuenta de la Seguridad Social, las empresas abonarán a sus trabajadores/as un complemento sobre la prestación percibida, que les garantice la percepción de una cuantía equivalente al 100% del salario base del presente Convenio, durante el tiempo que dure la misma.
Artículo 13. Ascensos.
Los ascensos de los/as trabajadores/as se tramitarán por solicitud a la empresa y con audiencia de los representantes de los trabajadores.
Se constituirá un Tribunal compuesto por dos representantes de la empresa y dos representantes de los trabajadores.
El Tribunal, previas las pruebas que considere oportunas, calificará de apto o no apto al aspirante, concediendo la empresa o denegando, en su caso, el ascenso solicitado.
Artículo 14. Período de prueba.
El período de prueba se establece de la siguiente forma: – Personal no cualificado: quince días. – Profesionales de oficio: máximo tres meses. – Administrativos/as: máximo dos meses. – Técnico: máximo seis meses.
El establecimiento de estos períodos de prueba no será obligatorio, para las empresas que no quieran expresamente imponerlos.
Las situaciones de incapacidad temporal, nacimiento, adopción, guarda con fines de adopción, acogimiento, riesgo durante el embarazo, riesgo durante la lactancia y violencia de género, que afecten a la persona trabajadora durante el periodo de prueba, interrumpen el cómputo del mismo siempre que se produzca acuerdo entre ambas partes.
Artículo 15. Bonificación por trabajos nocturnos o penosos.
A los efectos del trabajo nocturno, así como de los trabajos considerados penosos, tóxicos o peligrosos, se estará a lo especificado en la Legislación vigente, y los que efectúen esta clase de trabajo disfrutarán de un incremento del 30% sobre el Salario Base del presente Convenio.
Artículo 16. Prendas de trabajo.
Las empresas facilitarán a sus trabajadores/as, cuando ellos así lo requieran, las siguientes prendas de trabajo:
– Personal obrero: dos buzos al año y calzado de agua a quienes lo precisen, así como calzado de seguridad adecuado en los puestos de trabajo en que haya riesgo de sufrir aplastamiento de los pies.
– Administrativos/as: dos chaquetillas o dos batas al año.
– Prendas adecuadas para las cámaras frigoríficas.
Artículo 17. Seguridad y salud laboral.
Todas las empresas afectadas por el presente Convenio Colectivo deberán garantizar la Seguridad y la Salud de sus trabajadores en todos los aspectos relacionados con el trabajo. Para ello, deberán aplicar todas las medidas preventivas necesarias tal y como marca Ley 31/1995 de Prevención de Riesgos Laborales y sus posteriores reformas.
Todo trabajo que tenga carácter de tóxico, penoso o peligroso tendrá la consideración excepcional, tomando en todo momento las medidas preventivas oportunas a cada tarea a realizar.
De forma específica se señala que se deberán extremar las medidas de prevención adecuadas en aquellas instalaciones donde exista o se pueda producir anhídridocarbónico, así como en los espacios confinados.
Se facilitará la puesta en marcha de la formación específica, riesgos y su legislación encada centro de trabajo, de los delegados de prevención, acudiendo a los cursos organizados a tal fin, en cumplimiento de la Ley de Prevención de Riesgos Laborales.
Dentro de los planes formativos que las empresas deben acometer anualmente y de conformidad con el artículo 19 de la Ley de Prevención de Riesgos Laborales, se impartirá a cada uno de los trabajadores y trabajadoras una formación teórica y práctica específica de los riesgos laborales a los que está expuesto, haciendo hincapié en los siguientes aspectos:
– Uso de maquinaria.
– Uso de escaleras.
– Ruido.
– Riesgos eléctricos.
– Espacios confinados.
– Almacenado.
– Carga física.
– Incendios.
– Productos químicos.
Artículo 18. Reconocimiento médico.
Las empresas garantizarán la vigilancia periódica de la salud como actividad permanente de observación del estado de salud de los/las trabajadores/as y será realizada durante el tiempo de trabajo y en función de los riesgos específicos de los puestos, siendo por cuenta de la empresa los gastos ocasionados. La vigilancia de la salud solo podrá llevarse a cabo cuando la persona trabajadora preste su consentimiento con las excepciones marcadas en la Ley de Prevención de Riesgos Laborales.
La vigilancia se llevará a cabo en base a los protocolos de vigilancia sanitaria específica editados por el Ministerio de Sanidad. En los supuestos en que los riesgos inherentes ala actividad de un/a trabajador/a concreto no estén contemplados en los protocolos oficiales, se garantizará un reconocimiento médico genérico cada dos años.
Artículo 19. Comité de Seguridad y Salud Laboral.
Se constituirán Comités de Seguridad y Salud en todos los centros de trabajo con cincuenta o más trabajadores y en aquellos que tengan menos de este número de trabajadores/as las competencias y facultades atribuidas al Comité de Seguridad y Salud será ejercido/a por los Delegado/as de Prevención.
Artículo 20. Comisión Paritaria.
1. La Comisión Paritaria estará integrada por dos representantes de las empresas y dos representantes de los trabajadores, entre los cuales se elegirá un presidente y un secretario. Los representantes de las Empresas y de los trabajadores serán designados entre las organizaciones respectivas firmantes del convenio colectivo, proporcionalmente a su representatividad en la comisión negociadora.
2. La Comisión Paritaria se reunirá a instancia de cualquier de las representaciones que la integran; la reunión convocada se celebrará dentro de los cinco días siguientes a su convocatoria. A estas reuniones las partes podrán acudir asistidas por sus asesores.
3. Esta Comisión actuará como órgano de interpretación, arbitraje, conciliación y vigilancia del cumplimiento del convenio colectivo, conociendo y dando solución a cuantas cuestiones y conflictos colectivos, que dentro de sus competencias le sean planteados.
4. Una vez notificada a la Comisión Paritaria la correspondiente cuestión y/o conflicto por parte del interesado o interesados, ésta deberá emitir el preceptivo dictamen al respecto en un plazo máximo de siete días. Transcurrido dicho plazo sin alcanzar una solución, las partes podrán adoptar las medidas legales que consideren oportunas para la salvaguarda de sus intereses.
Funciones y competencias de la Comisión Paritaria:
– Interpretación y vigilancia del cumplimiento del convenio colectivo.
– En los conflictos colectivos que surjan con ocasión de la interpretación o aplicación del Convenio Colectivo, el intento de solución de las divergencias surgidas a través de la Comisión Paritaria, tendrá carácter previo al planteamiento formal en el sistema extrajudicial de conflictos de Castilla y León, y posterior acceso a la vía jurisdiccional.
– Intervención para tratar de resolver los desacuerdos en el periodo de consulta de modificación sustancial de condiciones de trabajo e inaplicación de las condiciones de trabajo establecidas en el convenio colectivo.
– Recepción de la comunicación que deberán realizar las empresas que pretendan inaplicar el convenio colectivo, dicha comunicación, recogerá las materias que se pretenden no aplicar y las causas que le han llevado a tomar esa iniciativa.
– Recepción de la comunicación de iniciativa de promoción de un nuevo convenio de empresa.
– Intervención para intentar solventar desacuerdos en el periodo de consulta de movilidad geográfica (40 ET), transmisión de empresas (44.9 ET), suspensión y reducción de jornada (47 ET), despido colectivo (51 ET).
– Las discrepancias producidas, en su caso, en el seno de la comisión paritaria se someterán a los procedimientos de conciliación -mediación regulados en el sistema no judicial de solución de conflictos de Castilla y León (SERLA) y, en su caso, a un arbitraje vinculante.
– La toma de decisiones deberá ser aceptada por unanimidad de las partes.
5. Esta comisión tendrá su domicilio en la sede de la CEOE Valladolid, sita en la Plaza de Madrid 4, primera planta. 47001 -VALLADOLID.
Artículo 21. Derecho supletorio.
Todo lo no regulado en este Convenio se regirá por las Normas vigentes en cada momento en la Legislación General.
Artículo 22. Conceptos retributivos e indemnizatorios.
Los conceptos retributivos e indemnizatorios que se contemplan en el presente Convenio son los siguientes:
Conceptos retributivos:
a) Salario base.
b) Horas extraordinarias.
Complementos:
a) Plus de antigüedad.
b) Plus de penosidad.
c) Plus de nocturnidad.
d) Gratificaciones extraordinarias de Verano, Navidad y Marzo.
Conceptos indemnizatorios:
a) Dietas.
b) Plus de transporte.
c) Quebranto de moneda.
Artículo 23. Incrementos salariales para los años 2022, 2023, 2024, 2025.
El incremento salarial será:
Para el año 2022 la subida salarial será del 3,5%. Tablas en ANEXO I.
Para el año 2023 la subida salarial será del 3,5%. Tablas en ANEXO II.
Para el año 2024 la subida salarial será del 3,5%. Tablas en ANEXO III.
Para el año 2025 la subida salarial será del 3,5%. Tablas en ANEXO IV.
Artículo 24. Horas extraordinarias.
Con el ánimo de estimular la creación de puestos de trabajo a través de la reducción de las horas extraordinarias, las partes coinciden en la importancia de exigir el estricto cumplimiento del artículo 35 del Estatuto de los Trabajadores sobre el límite de las mismas.
El importe de las horas extraordinarias será como mínimo el valor de la hora del salario base convenio correspondiente a cada año, incrementado en un 42,50% en el año 2022, en un 45,00% en el año 2023, 47,50% en 2024 y 50,00 % en 2025, según tablas anexas.
Dichas horas, serán abonadas dentro de los cuatro meses siguientes a su realización, pudiendo ser compensables dichas horas en el descanso equivalente dentro de los cuatro meses siguientes a su realización.
Artículo 25. Jubilación.
A los efectos de la posible aplicación de jubilaciones anticipadas al personal las partes acuerdan ajustarse a lo dispuesto en la normativa vigente, debiendo aplicarse por acuerdo mutuo entre empresa y persona trabajadora dentro de los condicionamientos establecidos en la normativa legal.
Artículo 26. Derechos sindicales.
En materia de Derechos sindicales se estará a lo dispuesto por el Estatuto de los Trabajadores.
Se podrán acumular las horas sindicales establecidas en el Estatuto, entre los miembros de Comité de Empresa o Delegado/as de Personal en su mismo Centro de trabajo, pero esta acumulación se deberá producir por meses naturales, con un preaviso al menos de quince días respecto a la fecha de su utilización e indicando qué representantes ceden las horas a otros.
El preaviso para la utilización de horas sindicales será como mínimo de 48 horas, salvo casos justificados de fuerza mayor, producidos por actos de instituciones oficiales o públicas. Estas ausencias deberán ser justificadas cuando las empresas así lo requieran.
Descuento nómina: El/la trabajador/a interesado/a en la realización de esta operación remitirá a la dirección de la empresa un escrito en que expresará con claridad la orden del descuento, la Central o Sindicato al que pertenece, la cuantía de la cuota, así como el número de la cuenta corriente o libreta de Caja de Ahorros a la que debe ser transferida la correspondiente cantidad.
Las empresas efectuarán las antedichas detracciones salvo indicación expresa al contrario.
Artículo 27. Dietas y gastos de locomoción.
A. Dietas:
Las dietas en las modalidades que luego se señalarán, están esencialmente ligadas al viaje o desplazamiento que, por necesidades del servicio y orden de la empresa, deban efectuar los trabajadores y trabajadoras a poblaciones distintas a las que radique el domicilio habitual de la empresa o del trabajador/a, de tal forma que le impida al trabajador/a hacer bien una o dos comidas principales y en su caso pernoctar en su domicilio.
Dieta entera: Es la que viene determinada por el viaje o desplazamiento que impida al trabajador/a no solo efectuar las dos comidas principales, sino pernoctar en su domicilio, fijándose la s cantidades para esta dieta durante los años de vigencia del convenio (2022,2023,2024 y 2025) en la cantidad de 61,08 €, 63,21 €, 65,43 €y 67,72 € respectivamente.
Dieta por comida: Se devengará cuando el comienzo del servicio sea anterior a las 12del mediodía, sin posibilidad de regreso antes de las 15 horas. La dieta sera´´ de 19,82€, 20,51 €, 21,23 € y 21,98 € respectivamente para los años de vigencia del convenio.
Dieta por cena: Se devengará cuando el comienzo del servicio sea anterior a las 20horas, sin posibilidad de regreso antes de las 23 horas. La dieta será de 1 8,00 €, 18,63 €, 19,28 € y 19,96 € respectivamente para los años de vigencia del convenio.
Dieta por desayuno y pernocta: A esta dieta le corresponderá un total de 36,60 €, 37,88 €, 39,20 € y 40,58 € respectivamente para los años de vigencia del convenio.
Será opcional por parte de las empresas el implantar el sistema de gastos a justificar con los límites pertinentes, para lo cual será necesario presentar las facturas que acrediten los pagos verificados.
B. Gastos de Locomoción:
Cuando el desplazamiento del empleado/a o trabajador/a se efectúe en vehículo de su propiedad el importe a satisfacer por la empresa por kilómetro recorrido será de 0,408 €, 0,422 €, 0,437 € y 0,452 € respectivamente durante la vigencia del convenio.
Asimismo, se abonarán por la empresa los gastos de peaje y aparcamiento que se justifiquen.
Artículo 28. Quebranto de moneda.
El/latrabajador/a que en cada vehículo lleva la responsabilidad de la mercancía en las operaciones de reparto en auto venta y cobro percibirá en concepto de quebranto de moneda la cantidad de 1,07 €, 1,10 €, 1,14 € y 1,18 € diarios por día trabajado y si es el mes completo 22,21 €, 22,99 €, 23,79 € y 24,63 € respectivamente para los años de vigencia del presente convenio.
Artículo 29. Retroactividad.
Todos los conceptos salariales actualizados en este Convenio tendrán carácter retroactivo a 1 de enero de 2022, excepto lo establecido en el artículo 9.
Artículo 30. Liquidación y finiquito.
Las partes acuerdan que el trabajador/a, previamente a la firma del finiquito y con una antelación de cuatro días, dispondrá de copia del documento del finiquito y/o liquidación para las comprobaciones que considere oportunas.
La persona trabajadora podrá reclamar las cantidades devengadas por el incremento salarial que pudiera corresponder por el período de trabajo que coincida con el de negociación del Convenio, en atención a los principios de retroactividad que se pacten, cuando se produzca su baja sin haber finalizado la negociación del Convenio.
Artículo 31. Contratos duración determinada por circunstancias de la producción.
El contrato de trabajo de duración determinada por circunstancias de la producción, podrá ampliar la duración máxima del contrato hasta un año. En caso de que el contrato se hubiera concertado por una duración inferior a la máxima legal o convencionalmente establecida, podrá prorrogarse, mediante acuerdo de las partes, por una única vez, sin que la duración total del contrato pueda exceder de dicha duración máxima.
Artículo 32. Permiso de conducir.
En los supuestos de privación temporal de permisos de conducir a algún trabajador o trabajadora comercial o de transporte, las empresas destinarán a la persona trabajadora afectad a a otros puestos de trabajo en el que realice funciones correspondiente s a su actividad que no resulten vejatorias, y mantendrá el derecho a percibir su salario real.
Se exceptuarán de lo previsto en el párrafo anterior el supuesto en que la privación del permiso de conducir obedezca a: – Embriaguez del conductor/a, cuando recaiga Sentencia judicial o resolución administrativa firme. – Cuando el vehículo se utilice fuera de la actividad laboral de la empresa. – Cuando la privación del permiso de conducir sea consecuencia de condena por delito declarada en Sentencia firme.
Lo establecido en el párrafo primero del presente artículo únicamente tendrá validez para cada afectado, una sola vez cada dos años.
Se recomienda el uso de vehículos de empresa cuando sea necesario realizar viajes al campo.
Artículo 33. Póliza de seguros de accidentes.
Las empresas afectadas por el presente Convenio vendrán obligadas a cubrir mediante la oportuna póliza de seguro los riesgos de fallecimiento o invalidez permanente, total o absoluta, de las personas trabajadoras fijas de plantilla producidos como consecuencia de accidentes de trabajo o enfermedad profesional, garantizando al trabajador accidentado o a sus causahabientes, en su caso, el percibo de las indemnizaciones siguientes:
a) En el caso de fallecimiento 33.000,00 euros.
b) En caso de invalidez permanente de carácter total, absoluta o gran invalidez 39.000,00 euros.
Una vez formalizadas las pólizas con las compañías aseguradoras, las empresas deberán comunicar a éstas los nuevos trabajadores que contraten a los efectos de incluirlos como beneficiarios de las mismas, exceptuando tan solo a los que figuren como eventuales, que quedarán excluidos de las pólizas a todos los efectos, salvo que sus contratos fueran prorrogados y hubieran prestado servicios continuados por un tiempo superior a los 12 meses de contrato.
Aquellos trabajadores y trabajadoras eventuales que se estime la duración del contrato, bien inicialmente o por prórrogas, igual o superior a seis meses deberán disponer de una póliza equivalente al 50% de la cobertura de los trabajadores fijos.
Las partes firmantes de este convenio recomiendan la contratación de un seguro médico para los viajes que el personal realice fuera de la Comunidad Europea.
Artículo 34. Cláusula de descuelgue.
Las condiciones salariales establecidas en el presente Convenio Colectivo, no serán de necesaria y obligada aplicación para aquellas empresas que acrediten objetiva y fehacientemente situaciones de déficit o pérdidas, en cuyo caso, la fijación del incremento salarial se trasladará a las partes implicadas (empresa -trabajadores).
Estas circunstancias se deberán exponer a la representación de los trabajadores, junto con la documentación que lo acredite y dichos representantes están obligados a guardar la mayor reserva acerca de la información facilitada.
Para acogerse a este procedimiento de inaplicación salarial (descuelgue), la Empresa deberá seguir el procedimiento establecido en el artículo 82.3 del vigente Estatuto de los Trabajadores o norma que en su caso pueda dictarse durante la vigencia del presente Convenio. Como se establece en el artículo 82.3 del Estatuto de los Trabajadores en caso de desacuerdo durante el periodo de consultas cualquiera de las partes podrá someter la discrepancia a la comisión del convenio, que dispondrá de un plazo máximo de siete días para pronunciarse, a contar desde que la discrepancia le fuera planteada. Cuando no se hubiera solicitado la intervención de la comisión o esta no hubiera alcanzado un acuerdo, las partes deberán recurrir a los procedimientos que se hayan establecido en los acuerdos interprofesionales de ámbito estatal o autonómico, previstos en el artículo 83, para solventar de manera efectiva las discrepancias surgidas en la negociación de los acuerdos a que se refiere este apartado, incluido el compromiso previo de someter las discrepancias a un arbitraje vinculante, en cuyo caso el laudo arbitral tendrá la misma eficacia que los acuerdos en periodo de consultas y solo será recurrible conforme al procedimiento y en base a los motivos establecidos en el artículo 91 del Estatuto de los Trabajadores.
Artículo 35. Formación.
Cuando las empresas lo consideren conveniente o necesario para el mejor desarrollo de su actividad, o les sea solicitado de forma razonada por la representación de los trabajadores podrán efectuar a su cargo o en colaboración con los Organismos competentes, Cursos de Formación Profesional reglados o no, Presenciales o a Distancia, e impartido por personal o entidades propias o ajenas a la empresa, proponiendo su realización a los trabajadores de la empresa que lo necesiten o puedan estar interesados en los mismos, en las condiciones y con los requisitos que legalmente estén establecidos o se establezcan en el futuro.
Artículo 36. Garantías sindicales.
Los Comités de Empresa y en su caso, los delegados de personal o representantes del personal de la misma, detentan la capacidad de negociación con el empresario en defensa de los intereses de sus representados:
Reconociéndoles, además de las funciones y garantías señaladas en cada momento por la legislación vigente, las siguientes atribuciones:
a) Ser informados de los puestos vacantes a cubrir dentro de la empresa, con excepción de los denominados de responsabilidad.
b) Ser informados respecto de aquellas medidas que afecten a los trabajadores y trabajadoras en relación a las modificaciones o establecimientos de nuevos sistemas de trabajo, así como en la fijación de tarifas o escalas de valoración de puestos de trabajo.
c) Ser informados, con 15 días de antelación de los cambios de horario que se produzca por necesidades de servicio o por conveniencia de la empresa.
d) Tener copia de los modelos de contratos de trabajo utilizados por la empresa.
Artículo 37. Participación en las negociaciones de Convenios Colectivos.
Los representantes de los trabajadores que participen en las Comisiones Negociadoras de Convenios Colectivos, manteniendo su vinculación como trabajadores en activo de alguna empresa, les serán concedidos permisos retribuidos por las mismas, a fin de facilitarles su labor como negociadores y durante el transcurso de la antedicha negociación, siempre que la empresa esté afectada por la negociación en cuestión.
Artículo 38. Empresas de Trabajo Temporal.
Las empresas afectadas por este Convenio, cuando contraten los servicios de empresas de trabajo temporal, exigirán a éstas que garanticen a los trabajadores puestos a su disposición, las condiciones económicas y sociales establecidas en el presente Convenio.
Artículo 39. Conciliación familiar.
Los trabajadores y trabajadoras de este convenio colectivo tendrán derecho a:
1. Por el tiempo indispensable para la realización de exámenes prenatales y técnicas de preparación al parto y, en los casos de adopción, guarda con fines de adopción o acogimiento, para la asistencia a las preceptivas sesiones de información y preparación y para la realización de los preceptivos informes psicológicos y sociales previos a la declaración de idoneidad, siempre, en todos los casos, que deban tener lugar dentro de la jornada de trabajo.
2. Suspensión del contrato por: Nacimiento, adopción, guarda con fines de adopción o acogimiento, de conformidad con el Código Civil o las leyes civiles de las Comunidades Autónomas que lo regulen, siempre que su duración no sea inferior a un año, de menores de seis años o de menores de edad mayores de seis años con discapacidad o que por sus circunstancias y experiencias personales o por provenir del extranjero, tengan especiales dificultades de inserción social y familiar debidamente acreditadas por los servicios sociales competentes.
3. Lactancia: En los supuestos de nacimiento, adopción, guarda con fines de adopción o acogimiento, de acuerdo con el artículo 45.1.d) del ET, las personas trabajadoras tendrán derecho a una hora de ausencia del trabajo, que podrán dividir en dos fracciones, para el cuidado del lactante hasta que este cumpla 9 meses. La duración del permiso se incrementará proporcionalmente en los casos de nacimiento, adopción, guarda con fines de adopción o acogimiento múltiples.
Quien ejerza este derecho, por su voluntad, podrá sustituirlo por una reducción de su jornada en media hora con la misma finalidad o acumularlo en jornadas completas en los términos previstos en la negociación colectiva o en el acuerdo a que llegue con la empresa respetando, en su caso, lo establecido en aquella.
La reducción de jornada contemplada en este apartado constituye un derecho individual de las personas trabajadoras sin que pueda transferirse su ejercicio al otro progenitor, adoptante, guardador o acogedor. No obstante, si dos personas trabajadoras de la misma empresa ejercen este derecho por el mismo sujeto causante, la dirección empresarial podrá limitar su ejercicio simultáneo por razones justificadas de funcionamiento de la empresa, que deberá comunicar por escrito.
Cuando ambos progenitores, adoptantes, guardadores o acogedores ejerzan este derecho con la misma duración y régimen, el período de disfrute podrá extenderse hasta que el lactante cumpla 12 meses, con reducción proporcional del salario a partir del cumplimiento de los 9 meses.
A petición del trabajador/a se podrá acumular en jornadas completas el tiempo de lactancia en 14 días laborables, los cuales deberán disfrutarse inmediatamente después de terminado el permiso por maternidad.
4. Excedencia: Los trabajadores tendrán derecho a un período de excedencia de duración no superior a tres años para atender al cuidado de cada hijo, tanto cuando lo sea por naturaleza, como por adopción, o en los supuestos de acogimiento, tanto permanente como preadoptivo, aunque éstos sean provisionales, a contar desde la fecha de nacimiento o, en su caso, de la resolución judicial o administrativa.
También tendrán derecho a un período de excedencia, de duración no superior a dos años, salvo que se establezca una duración mayor por negociación colectiva, los trabajadores para atender al cuidado de un familiar hasta el segundo grado de consanguinidad o afinidad, que por razones de edad, accidente, enfermedad o discapacidad no pueda valerse por sí mismo, y no desempeñe actividad retribuida.
El período en que el trabajador/a permanezca en situación de excedencia conforme a lo establecido en este artículo será computable a efectos de antigüedad. Durante el primer año tendrá derecho a la reserva de su puesto de trabajo. Transcurrido dicho plazo, la reserva quedará referida a un puesto de trabajo del mismo grupo profesional o categoría equivalente.
5. Reducción de jornada: Quien por razones de guarda legal tenga a su cuidado directo algún menor de doce años o una persona con discapacidad física, psíquica o sensorial, que no desempeñe una actividad retribuida, tendrá derecho a una reducción de la jornada de trabajo diaria, con la disminución proporcional del salario entre, al menos, un octavo y un máximo de la mitad de la duración de aquélla.
El progenitor, adoptante o acogedor de carácter preadoptivo o permanente, tendrá derecho a una reducción de la jornada de trabajo, con la disminución proporcional del salario de, al menos, la mitad de la duración de aquélla, para el cuidado, durante la hospitalización y tratamiento continuado, del menor a su cargo afectado por cáncer (tumores malignos, melanomas y carcinomas), o por cualquier otra enfermedad grave, que implique un ingreso hospitalario de larga duración y requiera la necesidad de su cuidado directo, continuo y permanente, acreditado por el informe del Servicio Público de Salud u órgano administrativo sanitario de la Comunidad Autónoma correspondiente y, como máximo, hasta que el menor cumpla los 18 años.
La concreción horaria y la determinación del período de disfrute del permiso de lactancia y de la reducción de jornada, corresponderán al trabajador, dentro de su jornada ordinaria.
La persona trabajadora, salvo fuerza mayor, deberá preavisar al empresario con una antelación de quince días, precisando la fecha en que iniciará y finalizará el permiso de lactancia o la reducción de jornada.
Los derechos relacionados en el presente artículo, se entenderán de aplicación en los mismos términos y condiciones para las parejas de hecho, siempre que justifiquen dicha circunstancia con el certificado del registro que al efecto tenga la Administración o en defecto administrativo, por no existir el mismo, el certificado de convivencia.
Artículo 40. Régimen disciplinario. Principios de ordenación.
1.- Las presentes normas de régimen disciplinario persiguen el mantenimiento de la disciplina laboral, que es un aspecto fundamental para la normal convivencia, ordenación técnica y organización de la empresa, así como la garantía y defensa de los derechos e intereses legítimos de trabajadores y empresarios.
2.-Las faltas, siempre que sean constitutivas de incumplimientos contractuales y culpables del trabajador, podrán ser sancionadas por la dirección de la empresa de acuerdo con la graduación que se establece en el presente capítulo.
3.-Toda falta cometida por los trabajadores se clasificará en leve, grave o muy grave.
4.-La falta, sea cual fuere su calificación, requerirá comunicación escrita y motivada de la empresa al trabajador.
5.-La imposición de sanciones por faltas graves y muy graves será notificada a los representantes legales de los trabajadores, si los hubiere.
Artículo 41. Graduación de las faltas.
1.-Se considerarán como faltas leves:
a) La impuntualidad no justificada en la entrada o en la salida del trabajo hasta tres ocasiones en un mes por un tiempo total inferior a veinte minutos.
b) La inasistencia injustificada al trabajo de un día durante un periodo de un mes.
c) La no comunicación con la antelación previa debida de la inasistencia al trabajo por causa justificada, salvo que se acredite la imposibilidad de la justificación.
d) El abandono del puesto de trabajo sin causa justificada por breves periodos de tiempo y siempre que ello no hubiere causado riesgo a la integridad de las personas o de las cosas, en cuyo caso podrá ser calificado, según la gravedad, como falta grave o muy grave.
e) La desatención y falta de corrección en el trato con el público cuando no perjudiquen gravemente la imagen de la empresa.
f) Los descuidos en la conservación del material que se tuviere a cargo o fuere responsable y que produzcan deterioros leves del mismo.
2.-Se considerarán como faltas graves:
a) La impuntualidad no justificada en la entrada al o la salida del trabajo hasta en tres ocasiones en un mes por un tiempo total de hasta cuarenta minutos.
b) La inasistencia injustificada al trabajo de dos a cuatro días durante un periodo de un mes.
c) En entorpecimiento, la omisión maliciosa y el falseamiento de los datos que tuvieren incidencia en la Seguridad Social.
d) La simulación de enfermedad o accidente, sin perjuicio de lo prevenido en el párrafo d) del siguiente apartado. e) La suplantación de otro trabajador, alterando los registros y controles de entrada y salida al trabajo.
f) La desobediencia a las ordenes e instrucciones de trabajo, incluidas las relativas a las normas de seguridad e higiene, así como la imprudencia o negligencia en el trabajo, salvo que de ellas derivasen perjuicios graves a la empresa, causaren averías a las instalaciones, máquinas y, en general, bienes de la empresa o comportasen riesgo de accidente para las personas, en cuyo caso serán consideradas como faltas muy graves.
g) La falta de comunicación a la empresa de los desperfectos o anormalidades observados en los útiles, herramientas, vehículos y obras a su cargo cuando de ello se hubiere derivado un perjuicio grave a la empresa.
h) La realización sin el oportuno permiso de trabajos particulares durante la jornada, así como el empleo de útiles, herramientas, maquinaria, vehículos y, en general, bienes de la empresa para los que no estuviere autorizado o para usos ajenos a los del trabajo encomendado, incluso fuera de la jornada laboral.
i) El quebrantamiento o la violación de secretos de obligada reserva que no produzcan grave perjuicio para la empresa.
j) La embriaguez no habitual en el trabajo.
k) La falta de aseo y limpieza personal cuando pueda afectar al proceso productivo o a la prestación del servicio y siempre que, previa -mente, hubiere mediado la oportuna advertencia de la empresa.
l) La ejecución deficiente de los trabajos encomendados, siempre que de ello no se derive perjuicio grave para las personas o las cosas.
m) La disminución del rendimiento normal en el trabajo de manera no repetida.
n) Las ofensas de palabras proferidas o de obra cometidas contra las personas dentro del centro de trabajo, cuando no revistan acusada gravedad.
o) Las derivadas de los establecido en los apartados 1.d) y e) del presente artículo.
p) La reincidencia en la comisión de cinco faltas leves, aunque sean de distinta naturaleza y siempre que hubiere mediado sanción distinta de la amonestación verbal, dentro de un trimestre.
3.-Se considerarán como faltas muy graves:
a) La impuntualidad no justificada en la entrada o en la salida del trabajo en diez ocasiones durante seis meses o en veinte durante un año.
b) La inasistencia injustificada al trabajo durante tres días consecutivos o cinco alternos en un periodo de un mes.
c) El fraude, deslealtad o abuso de confianza en las gestiones encomendadas o la apropiación, hurto o robo de bienes propiedad de la empresa, de compañeros o de cualesquiera otras personas dentro de las dependencias de la empresa o durante la jornada de trabajo en otro lugar.
d) La simulación de enfermedad o accidente o la prolongación de la baja por enfermedad o accidente con la finalidad de realizar cualquier trabajo por cuenta propia o ajena.
e) El quebrantamiento o violación de secretos de obligada reserva que produzca grave perjuicio para la empresa.
f) La embriaguez y la drogodependencia durante el trabajo, siempre que afecte negativamente al rendimiento.
g) La realización de actividades que impliquen competencia desleal a la empresa.
h) Las derivadas de los apartados 1.d) y 2.f) y n) del presente artículo.
i) La disminución voluntaria y continuada en el rendimiento del trabajo normal pactado.
j) La inobservancia de los servicios de mantenimiento en caso de huelga.
k) El abuso de autoridad ejercido por quienes desempeñan funciones de mando.
l) El acoso sexual o acoso por razón de sexo m) La reiterada no utilización de los elementos de protección en materia de seguridad e higiene.
n) La reincidencia o reiteración en la comisión de faltas graves, considerando como tal aquella situación en la que, con anterioridad al momento de la comisión del hecho, el trabajador hubiese sido sancionado dos o más veces por faltas graves, aun de distinta naturaleza, durante el periodo de un año.
Artículo 42. Sanciones.
1.-Las sanciones máximas que podrán imponerse por la comisión de las faltas enumeradas en el artículo anterior, son las siguientes:
a) Por falta leve (apartados a, c, e y f) amonestación verbal o escrita, para las faltas leves (apartados b y d) amonestación verbal o escrita y suspensión de empleo y sueldo de hasta dos días.
b) Por falta grave suspensión de empleo y sueldo de tres a catorce días.
c) Por falta muy grave, suspensión de empleo y sueldo de catorce días a un mes, traslado a centro de trabajo de localidad distinta durante un periodo de hasta un año y despido disciplinario.
2.-Las anotaciones desfavorables que como consecuencia de las sanciones impuestas pudieran hacerse constar en los expedientes personales quedarán canceladas al cumplirse los plazos de dos, cuatro y ocho meses según se trate de falta leve, grave o muy grave.
3.-Las faltas leves prescribirán a los diez días, las graves a los veinte días y las muy graves a los sesenta días a partir de la fecha en que la empresa tuvo conocimiento de su comisión y, en todo caso, a los seis meses de haberse cometido.
Artículo 43. Garantía de igualdad de oportunidades y no discriminación entre las personas.
1.- Las relaciones laborales en las empresas deben estar presididas por la no discriminación por razón de nacimiento, raza, sexo, religión, adhesión sindical o cualquier otra condición o circunstancia personal o social.
2.- Los derechos establecidos en el presente convenio afectan por igual al hombre y la mujer, de acuerdo con las disposiciones vigentes en cada momento. Ninguna cláusula de este convenio podrá ser interpretada en sentido discriminatorio en los grupos profesionales, condiciones de trabajo, remuneración entre trabajadores de uno y otro sexo.
Se considera discriminación indirecta por razón de sexo, la situación en que una disposición, criterio o practica aparentemente neutros, pone a la persona de un sexo en desventaja con respecto a personas de otro, salvo que dicha disposición, criterio o practica puedan justificarse objetivamente en atención a una finalidad legitima y que los medios para alcanzar dicha finalidad sean necesarios o adecuados.
En cualquier caso, se considerará discriminatoria toda orden de discriminar directa o indirectamente por razón de sexo.
3.- Las empresas realizaran esfuerzos tendentes a lograr la igualdad de oportunidades en todas sus políticas, en particular la igualdad de género adoptando las medidas dirigidas a evitar cualquier tipo de discriminación laboral entre hombres y mujeres.
En el caso de empresas de más de 250 trabajadores, las medidas de igualdad a que se refiere el párrafo anterior, deberán dirigirse a la elaboración y aplicación de un plan de igualdad, que deberá asimismo ser objeto de negociación en la forma que determine la legislación laboral.
Los planes de igualdad podrán contemplar, entre otras materias de acceso al empleo, grupos profesional, promoción y formación, retribuciones, ordenación del tiempo de trabajo, favorecer en términos de igualdad entre mujeres y hombres, la conciliación laboral, personal y familiar y prevención del acoso sexual y del acoso por razón de sexo.
Articulo 44. Acoso sexual y acoso por razón de sexo.
Todos los trabajadores tienen derecho a la igualdad de trato entre hombres y mujeres, a la intimidad, y a ser tratados con dignidad y no se permitirá ni tolerará el acoso sexual, ni el acoso por razón de sexo, en el ámbito laboral, asistiéndoles a los afectados el derecho de presentar denuncias.
La persona víctima de acoso sexual o víctima de acoso por razón de sexo lo podrá dar cuenta, de forma verbal o por escrito, a través de su representantes o directamente, a la dirección de la empresa de las circunstancias del hecho concurrente, el sujeto activo del acoso, las conductas, proposiciones o requerimientos en que haya podido concretarse y las consecuencias negativas que se han derivado o en su caso, pudieran haberse derivado. La presentación de la denuncia dará lugar a la apertura de diligencias por parle de la empresa, para verificar la realidad de las imputaciones efectuadas e impedir la continuidad del acoso denunciado; las averiguaciones se efectuarán en el plazo de 10 días, sin observar ninguna otra formalidad que la audiencia de los intervinientes, guardando todos los actuantes una absoluta confidencialidad y reserva, por afectar directamente a la intimidad y honorabilidad de las personas.
La constatación de la existencia de acoso sexual o víctima de acoso por razón de sexo en el caso denunciado será considerada siempre falta muy grave; si tal conducta o comportamiento se lleva a cabo prevaliéndose de una posición jerárquica supondrá una circunstancia agravante de aquella.
Los representantes de los trabajadores deberán contribuir a prevenir el acoso sexual y el acoso por razón de sexo en el trabajo mediante la sensibilización de los/as trabajadores/as frente al mismo y la información a la dirección de la empresa de las conductas o comportamientos de que tuvieran conocimiento y que pudieran propiciarlo.
DISPOSICION ADICIONAL PRIMERA (GENERO NEUTRO).
En el Texto de este Convenio, en general, se ha utilizado el masculino, en singular o plural, como genérico para englobar a los trabajadores y las trabajadoras, sin que esto suponga ignorancia de las diferencias de género existentes, al efecto de no realizar una escritura en exceso compleja.
DISPOSICION ADICIONAL SEGUNDA.
Las partes firmantes del presente Convenio se comprometen a constituir una Comisión para el estudio y adecuación de los grupos profesional, antes de la finalización del año 2023, integrada por OCHO miembros de forma paritaria, CUATRO de la representación patronal y CUATRO de la representación sindical.
ANEXO I.- TABLAS SALARIALES PARA EL AÑO 2022. (3,50% INCREMENTO SALARIAL).
ANEXO II.- TABLAS SALARIALES PARA EL AÑO 2023. (3,50% INCREMENTO SALARIAL).
ANEXO III.- TABLAS SALARIALES PARA EL AÑO 2024. (3,50% INCREMENTO SALARIAL).
ANEXO IV.- TABLAS SALARIALES PARA EL AÑO 2025. (3,50% INCREMENTO SALARIAL).
SUBSANACIÓN DE ERRORES (BOP Número 2022/234 – Miércoles, 07 de diciembre de 2022)
RESOLUCIÓN DE 24 DE NOVIEMBRE DE 2022 DE LA OFICINA TERRITORIAL DE TRABAJO DE LA DELEGACIÓN TERRITORIAL DE LA JUNTA DE CASTILLA Y LEÓN EN VALLADOLID, POR LA QUE SE DISPONE EL REGISTRO, DEPÓSITO Y PUBLICACIÓN DE LA MODIFICACIÓN DEL CONVENIO COLECTIVO DE LA INDUSTRIA Y COMERCIO DE LA VID PARA VALLADOLID Y PROVINCIA.
Visto la documentación relativa a la modificación del Convenio Colectivo de la Industria y Comercio de la Vid para Valladolid y provincia, acordada en reunión de fecha 10 de noviembre de 2022 por la Comisión Paritaria del Convenio, integrada por los representantes de la Asociación de Industriales y Comerciantes de vino de Valladolid, Confederación Vallisoletana de Empresarios (CEOE Valladolid) y los representantes de UGT y CCOO, con fecha de entrada en este Organismo a través del Registro Telemático de Convenios, el día 23 de noviembre de 2022, y de conformidad con lo dispuesto en el artículo 90 del Real Decreto Legislativo 2/2015, de 23 de octubre, por el que se aprueba el Texto Refundido de la Ley del Estatuto de los Trabajadores, el artículo 2.1.a) del Real Decreto 713/2010, de 28 de mayo, sobre registro y depósito de convenios y acuerdos colectivos de trabajo, y Real Decreto 831/1995, de 30 de mayo, sobre traspaso de trabajo (ejecución de legislación laboral) y la ORDEN PRE/813/2022, de 1 de julio, por la que se desarrolla la estructura orgánica y se definen las funciones de las Oficinas Territoriales de Trabajo, en relación a lo dispuesto en el Decreto 33/2016, de 22 de septiembre, en materia de elaboración y aprobación de estructuras orgánicas de la Administración de la Comunidad de Castilla y León, esta Oficina Territorial de Trabajo
Primero.-Inscribir las mencionadas modificaciones, del Convenio Colectivo de la Industria y Comercio de la Vid para Valladolid y provincia en el correspondiente Registro de este Organismo, con notificación a la Comisión Negociadora.
Segundo.- Disponer su publicación en el Boletín Oficial de la Provincia de Valladolid.
Tercero.- Depositar un ejemplar del mismo en esta Entidad.
En Valladolid, a veinticuatro de noviembre de dos mil veintidós.- La Jefa de la Oficina Territorial de Trabajo de Valladolid.-Fdo.: María Belén Iglesia Freile.
ACTA DE SUBSANACION DE ERRORES DEL CONVENIO COLECTIVO DE «LA INDUSTRIA Y COMERCIO DE LA VID» PARA VALLADOLID Y PROVINCIA
En Valladolid siendo las 10.30 horas del día 10-noviembre-2022, en la sede de la CONFEDERACION VALLISOLETANA DE EMPRESARIOS (CEOE VALLADOLID), se reúnen la Comisión Paritaria del Convenio Colectivo «Industria y Comercio de la Vid» al objeto de modificar el artículo 29 del Convenio Colectivo publicado en el BOP de fecha 19-10-2022 en virtud de las funciones otorgadas a la Comisión Paritaria en el artículo 20 del convenio.
En representación de los trabajadores comparecen:
CC.OO:
– J. E. I. H.
– F.S. C.
UGT:
– J. C. G. S.
– O.M.G.
Por la representación de la parte empresarial:
ASOCIACIÓN DE INDUSTRIALES Y COMERCIANTES DE VINO DE VALLADOLID.
– F.J. A.A.
– J.F.R.
CONFEDERACIÓN VALLISOLETANA DE EMPRESARIOS (CEOE VALLADOLID).
– M.J.G.R.
– M.B. L.L.
Con carácter previo se establece la capacidad y legitimación de esta Comisión para preceder a la modificación del artículo 29 del Convenio Colectivo «Industria y Comercio de la Vid» de Valladolid y provincia.
Se ha producido un error en el artículo 29 del Convenio Colectivo publicado en el BOP el 19-10-2022 con respecto a lo que se había acordado durante la negociación del mismo.
El artículo 9 del convenio colectivo establece:
Antigüedad. Los/as trabajadores/as afectado/as por este Convenio percibirán en concepto de premio de antigüedad un 5% por cada bienio de permanencia en la empresa, con un máximo de cuatro bienios y posteriormente, cuatro cuatrienios del 10%, hasta un máximo global del 60%.
La base de cálculo de la antigüedad se hará sobre 952,2 euros para 2022, sobre la base de cálculo de 985,52 euros para 2023, sobre la base de cálculo de 1020,01 euros para 2023, sobre la base de cálculo de 1055,71 euros para 2024, sobre la base de cálculo de 1092,65 euros para 2025.
Queda suprimido el complemento salarial de antigüedad para las contrataciones que se realicen a partir del 26 -10 -2012
El Artículo 29. Retroactividad. Todos los conceptos salariales actualizados en este Convenio tendrán carácter retroactivo a 1 de enero de 2022, excepto lo establecido en el artículo 9.
Se ha detectado un error en la excepción establecida en el artículo 29 del convenio en cuanto que aquellos trabajadores que tengan derecho a percibir antigüedad la base actualizada para el año 2022 se percibirá desde el 1-1-2022, con lo cual no debe constar la excepción establecida en el artículo 29 con respecto a la reseña excluyente del artículo 9.
El artículo 29 acordado es:
Retroactividad. Todos los conceptos salariales actualizados en este Convenio tendrán carácter retroactivo a 1 de enero de 2022.
La comisión negociadora del Convenio de la Industria y Comercio de la Vid acuerda delegar en Doña Vanesa Pérez Rodríguez D.N.I.: 12.399.869-V la tramitación del registro telemático de esta Acta.
Se concluye la sesión siendo las 10.45 horas, levantándose la presente Acta, que en prueba de conformidad firmaron las partes en el lugar y fecha indicados en el encabezamiento.
CC.OO.
UGT.
ASOCIACIÓN DE INDUSTRIALES Y COMERCIANTES DE VINO DE VALLADOLID.
CEOE VALLADOLID.
CORRECCIÓN DE ERRORES (BOP Nº 2023/20 – 31 de enero de 2023)
RESOLUCIÓN DE 19 DE ENERO DE 2023 DE LA OFICINA TERRITORIAL DE TRABAJO DE LA DELEGACIÓN TERRITORIAL DE LA JUNTA DE CASTILLA Y LEÓN EN VALLADOLID, POR LA QUE SE DISPONE EL REGISTRO, DEPÓSITO Y PUBLICACIÓN DE LA MODIFICACIÓN DEL CONVENIO COLECTIVO DE LA INDUSTRIA Y COMERCIO DE LA VID PARA VALLADOLID Y PROVINCIA.
Vista la documentación relativa a la modificación del Convenio Colectivo de la Industria y Comercio de la Vid para Valladolid y provincia, acordada en reunión de fecha 14 de diciembre de 2022 por la Comisión Paritaria del Convenio, integrada por los representantes de la Asociación de Industriales y Comerciantes de vino de Valladolid, Confederación Vallisoletana de Empresarios (CEOE Valladolid) y los representantes de UGT y CCOO, con fecha de entrada en este Organismo a través del Registro Telemático de Convenios, el día 18 de enero de 2023, y de conformidad con lo dispuesto en el artículo 90 del Real Decreto Legislativo 2/2015, de 23 de octubre, por el que se aprueba el Texto Refundido de la Ley del Estatuto de los Trabajadores, el artículo 2.1.a) del Real Decreto 713/2010, de 28 de mayo, sobre registro y depósito de convenios y acuerdos colectivos de trabajo, y Real Decreto 831/1995, de 30 de mayo, sobre traspaso de funciones y servicios de la Administración del Estado a la Comunidad de Castilla y León en materia de trabajo y la ORDEN PRE/813/2022, de 1 de julio, por la que se desarrolla la estructura orgánica y se definen las funciones de las Oficinas Territoriales de Trabajo, con relación a lo dispuesto en el Decreto 33/2016, de 22 de septiembre, en materia de elaboración y aprobación de estructuras orgánicas de la Administración de la Comunidad de Castilla y León, esta Oficina Territorial de Trabajo,
ACUERDA
Primero. – Inscribir la modificación del Convenio Colectivo de la Industria y Comercio de la Vid para Valladolid y provincia en el correspondiente Registro de este Organismo, con notificación a la Comisión Negociadora.
Segundo. – Disponer su publicación en el Boletín Oficial de la Provincia de Valladolid.
Tercero. – Depositar un ejemplar en esta Entidad.
En Valladolid, a 19 de enero de 2023.-La Jefa de la Oficina Territorial de Trabajo de Valladolid.-Fdo.: María Belén Iglesia Freile.
ACTA DE SUBSANACION DE ERRORES ART. 9 DEL CONVENIO COLECTIVO DE «LA INDUSTRIA Y COMERCIO DE LA VID» PARA VALLADOLID Y PROVINCIA.
En Valladolid siendo las 10.30 horas del día 14-diciembre-2022, en la sede de la CONFEDERACION VALLISOLETANA DE EMPRESARIOS (CEOE VALLADOLID) , se reúnen la Comisión Paritaria del Convenio Colectivo «Industria y Comercio de la Vid» al objeto de modificar el artículo 9 del Convenio Colectivo publicado en el BOP de fecha 19-10-2022 en virtud de las funciones otorgadas a la Comisión Paritaria en el artículo 20 del convenio .
En representación de los trabajadores comparecen:
CC.OO:
– J.E. I.H.
– F.S.C.
UGT:
– J.C.G.S.
– O.M.G.
Por la representación de la parte empresarial:
ASOCIACIÓN DE INDUSTRIALES Y COMERCIANTES DE VINO DE VALLADOLID.
– F.J.A.A.
– J.F.R.
CONFEDERACIÓN VALLISOLETANA DE EMPRESARIOS (CEOE VALLADOLID).
– M.J.G.R.
– M. B.L.L.
Con carácter previo se establece la capacidad y legitimación de esta Comisión para preceder a la modificación del artículo 9 del Convenio Colectivo «Industria y Comercio de la Vid» de Valladolid y provincia.
Se ha producido un error en el artículo 9 del Convenio Colectivo publicado en el BOP el 19-10-2022 con respecto a lo que se había acordado durante la negociación del mismo.
El artículo 9 del convenio colectivo establece:
Antigüedad. Los/as trabajadores/as afectado/as por este Convenio percibirán en concepto de premio de antigüedad un 5% por cada bienio de permanencia en la empresa, con un máximo de cuatro bienios y posteriormente, cuatro cuatrienios del 10%, hasta un máximo global del 60%.
La base de cálculo de la antigüedad se hará sobre 952,2 euros para 2022, sobre la base de cálculo de 985,52 euros para 2023, sobre la base de cálculo de 1020,01 euros para 2023, sobre la base de cálculo de 1055,71 euros para 2024, sobre la base de cálculo de 1092,65 euros para 2025.
Queda suprimido el complemento salarial de antigüedad para las contrataciones que se realicen a partir del 26 -10 -2012 Se ha detectado un error en el párrafo donde se establecen las bases de cálculo de la antigüedad para cada año de vigencia del convenio y se ha puesto dos bases de cálculo de la antigüedad para el año 2023.
Siendo las bases correctas:
La base de cálculo de la antigüedad se hará sobre 952,2 euros para 2022, sobre la base de cálculo de 985,52 euros para 2023, sobre la base de cálculo de 1020,01 euros para 2024, sobre la base de cálculo de 1055,71 euros para 2025.
Tras la corrección el artículo 9, queda redactado como sigue:
Antigüedad. Los/as trabajadores/as afectado/as por este Convenio percibirán en concepto de premio de antigüedad un 5% por cada bienio de permanencia en la empresa, con un máximo de cuatro bienios y posteriormente, cuatro cuatrienios del 10%, hasta un máximo global del 60%.
La base de cálculo de la antigüedad se hará sobre 952,2 euros para 2022, sobre la base de cálculo de 985,52 euros para 2023, sobre la base de cálculo de 1020,01 euros para 2024, sobre la base de cálculo de 1055,71 euros para 2025.
Queda suprimido el complemento salarial de antigüedad para las contrataciones que se realicen a partir del 26 -10 -2012
La comisión negociadora del Convenio de la Industria y Comercio de la Vid acuerda delegar en Doña Vanesa Pérez Rodríguez D.N.I.: 12.399.869-V la tramitación del registro telemático de esta Acta.
Se concluye la sesión siendo las 10.45 horas, levantándose la presente Acta, que en prueba de conformidad firmaron las partes en el lugar y fecha indicados en el encabezamiento.
CC.OO.
UGT.
ASOCIACIÓN DE INDUSTRIALES Y COMERCIANTES DE VINO DE VALLADOLID.
CEOE VALLADOLID.
REVISIÓN SALARIAL (BOP Número 2023/79 – Miércoles, 26 de abril de 2023)
RESOLUCIÓN DE 13 DE ABRIL DE 2023 DE LA OFICINA TERRITORIAL DE TRABAJO DE LA DELEGACIÓN TERRITORIAL DE LA JUNTA DE CASTILLA Y LEÓN EN VALLADOLID, POR LA QUE SE DISPONE EL REGISTRO, DEPÓSITO Y PUBLICACIÓN DE LAS TABLAS SALARIALES 2023 DEL CONVENIO COLECTIVO DE LA INDUSTRIA Y EL COMERCIO DE LA VID PARA LA PROVINCIA DE VALLADOLID.
Vista la documentación relativa a las tablas salariales para el año 2023 del CONVENIO COLECTIVO DE LA INDUSTRIA Y EL COMERCIO DE LA VID PARA LA PROVINCIA DE VALLADOLID, acordada el día 6 de marzo de 2023 por la Comisión Negociadora, integrada por representantes de la parte empresarial y representantes de la parte social, con fecha de entrada en este Organismo a través del Registro Telemático de Convenios, el día 17/03/2023, de conformidad con lo dispuesto en el artículo 90 del Real Decreto Legislativo 2/2015, de 23 de octubre, por el que se aprueba el Texto Refundido de la Ley del Estatuto de los Trabajadores, el artículo 2.1.a) del Real Decreto 713/2010, de 28 de mayo, sobre registro y depósito de convenios y acuerdos colectivos de trabajo, y Real Decreto 831/1995, de 30 de mayo, sobre traspaso de funciones y servicios de la Administración del Estado a la Comunidad de Castilla y León en materia de trabajo (ejecución de legislación laboral) y la Orden PRE/813/2022, de 1 de julio, por la que se desarrolla la estructura orgánica y se definen las funciones de las Oficinas Territoriales de Trabajo, con relación a lo dispuesto en el Decreto 33/2016, de 22 de septiembre, en materia de elaboración y aprobación de estructuras orgánicas de la Administración de la Comunidad de Castilla y León, esta Oficina Territorial de Trabajo,
ACUERDA:
Primero. -Inscribir las mencionadas tablas en el correspondiente Registro de este Organismo, con notificación a la Comisión Negociadora.
Segundo. -Disponer su publicación en el Boletín Oficial de la Provincia.
Tercero. -Depositar un ejemplar en este organismo.
De conformidad con lo establecido en los artículos 121 y 122 de la Ley 39/2015, de 1 de octubre, del Procedimiento administrativo común de las administraciones Públicas (BOE 01.10.2015), frente a la presente resolución, que no pone fin a la vía administrativa, podrá presentarse recurso de alzada ante el Delegado Territorial de la Junta de Castilla y León en Valladolid. Dicho recurso habrá de presentarse en el plazo de un mes.
En Valladolid a 13 de abril de 2023.- La Jefa de la Oficina Territorial de Valladolid.-Fdo.: María Belén de la Iglesia Freile.
ACTA DE REVISIÓN DE TABLAS SALARIALES 2023 DEL CONVENIO COLECTIVO DE LA INDUSTRIA Y EL COMERCIO DE LA VID PARA LA PROVINCIA DE VALLADOLID PARA ADECUARLAS AL SALARIO MININO INTERPROFESIONAL.
En Valladolid siendo las 10.30 horas del día 6 de marzo de 2023, en la sede de la CONFEDERACION VALLISOLETANA DE EMPRESARIOS (CEOE VALLADOLID), se reúnen la Comisión Negociadora del Convenio Colectivo «Industria y Comercio de la Vid» al objeto de ACTUALIZAR LOS GRUPOS PROFESIONALES QUE ESTÁN POR DEBAJO DEL SMI EN CÓMPUTO ANUAL.
En representación de los trabajadores comparecen:
CC.OO:
– J. E. I. H., DNI 09****43J
– F. S. C., DNI 12****27S
UGT:
– J. C. G. S., DNI 09****11Y
– P. M. Z., DNI 12****412E
Por la representación de la parte empresarial:
ASOCIACIÓN DE INDUSTRIALES Y COMERCIANTES DE VINO DE VALLADOLID
– F. J. A. A., DNI 13****14N
– J. F. R. DNI 12****15S
CONFEDERACIÓN VALLISOLETANA DE EMPRESARIOS (CEOE VALLADOLID)
– M.J.G. R., DNI 09****52B
– M. B. L.L., DNI 09****11A
Con carácter previo se establece la capacidad y legitimación de esta Comisión para proceder a la actualización salarial de los grupos profesionales que con la publicación del SMI para el año 2023 han quedado por debajo de la cuantía anual establecida.
El Real Decreto 99/2023 de 14 de febrero fija el SMI para el año 2023, en su artículo 3 establece:
A efectos de aplicar el último párrafo del artículo 27.1 del Estatuto de los Trabajadores, en cuanto a compensación y absorción en cómputo anual por los salarios profesionales del incremento del salario mínimo interprofesional, se procederá de la forma siguiente:
1. La revisión del salario mínimo interprofesional establecida en este real decreto no afectará a la estructura ni a la cuantía de los salarios profesionales que viniesen percibiendo las personas trabajadoras cuando tales salarios en su conjunto y en cómputo anual fuesen superiores a dicho salario mínimo.
El Convenio Colectivo de la Industria y el Comercio de la Vid para la provincia de Valladolid tiene 15 pagas, con lo que hay que comprobar si el cómputo anual establecido en el convenio colectivo para los distintos grupos profesionales es inferior al SMI anual para el año 2023.
En virtud de lo anterior los grupos profesionales que en el año 2023 están por debajo del salario mínimo interprofesional (SMI) son:
Si las pagas se prorratean el salario mensual de estos grupos profesionales es de 1080,00€.
La comisión negociadora del Convenio de la Industria y Comercio de la Vid acuerdan delegar en Doña V. P. R. D.N.I.: 12****69-V la tramitación del registro telemático de esta Acta .
Se concluye la sesión siendo las 10.45 horas, levantándose la presente Acta, que en prueba de conformidad firmaron las partes en el lugar y fecha indicados en el encabezamiento.
CC.OO.
UGT.
ASOCIACIÓN DE INDUSTRIALES Y COMERCIANTES DE VINO DE VALLADOLID.
CEOE VALLADOLID.
CORRECCIÓN TABLAS (BOP Número 2023/128 – Miércoles, 05 de julio de 2023)
Anuncio por el que se dispone el acuerdo, depósito y publicación de acta de subsanación del convenio colectivo de la industria y comercio de la vid para Valladolid y provincia.
RESOLUCIÓN DE 22 DE JUNIO DE 2023 DE LA OFICINA TERRITORIAL DE TRABAJO DE LA DELEGACIÓN TERRITORIAL DE LA JUNTA DE CASTILLA Y LEÓN EN VALLADOLID, POR LA QUE SE DISPONE EL REGISTRO, DEPÓSITO Y PUBLICACIÓN DEL ACTA DE SUBSANACION DE DEFECTOS DE ACTA DEL CONVENIO COLECTIVO DE LA INDUSTRIA Y COMERCIO DE LA VID PARA VALLADOLID Y PROVINCIA.
Vista la documentación relativa al ACTA DE SUBSANACION DE DEFECTOS DE ACTA DEL CONVENIO COLECTIVO DE LA INDUSTRIA Y COMERCIO DE LA VID PARA VALLADOLID Y PROVINCIA, acordada el día 14/06/2023 por la Comisión Negociadora, integrada por representantes de la parte empresarial y representantes de la parte social, con fecha de entrada en este Organismo a través del Registro Telemático de Convenios, una vez subsanada, el día 22/06/2023 de conformidad con lo dispuesto en el artículo 90 del Real Decreto Legislativo 2/2015, de 23 de octubre, por el que se aprueba el Texto Refundido de la Ley del Estatuto de los Trabajadores, el artículo 2.1.a) del Real Decreto 713/2010, de 28 de mayo, sobre registro y depósito de convenios y acuerdos colectivos de trabajo, y Real Decreto 831/1995, de 30 de mayo, sobre traspaso de funciones y servicios de la Administración del Estado a la Comunidad de Castilla y León en materia de trabajo (ejecución de legislación laboral) y la Orden PRE/813/2022, de 1 de julio, por la que se desarrolla la estructura orgánica y se definen las funciones de las Oficinas Territoriales de Trabajo, con relación a lo dispuesto en el Decreto 33/2016, de 22 de septiembre, en materia de elaboración y aprobación de estructuras orgánicas de la Administración de la Comunidad de Castilla y León, esta Oficina Territorial de Trabajo,
ACUERDA
Primero.-Inscribir la subsanación en el correspondiente Registro de este Organismo, con notificación a la Comisión Negociadora.
Segundo.-Disponer su publicación en el Boletín Oficial de la Provincia.
Tercero.-Depositar un ejemplar en este organismo.
De conformidad con lo establecido en los artículos 121 y 122 de la Ley 39/2015, de 1 de octubre, del procedimiento administrativo común de las administraciones públicas, frente a la presente resolución, que no pone fin a la vía administrativa, podrá presentarse recurso de alzada en el plazo de un mes ante el Delegado Territorial de la Junta de Castilla y León en Valladolid.
En Valladolid, a veintitrés de junio de dos mil veintitrés.- La Jefa de la Oficina Territorial de Trabajo.- (P.A. Acuerdo 09-06-2023).-La Secretaría Técnica.-Fdo.: Pilar Cuesta Cosías.
ACTA DE SUBSANACION DE DEFECTOS DE ACTA DEL CONVENIO COLECTIVO DE LA INDUSTRIA Y COMERCIO DE LA VID PARA VALLADOLID Y PROVINCIA EN CUMPLIMIENTO DEL REQUERIMIENTO DE LA OFICINA TERRITORIAL DE TRABAJO DE VALLADOLID.
En Valladolid siendo las 09.30 horas del día 14-JUNIO -2023, se reúnen en la sede de la CONFEDERACION VALLISOLETANA DE EMPRESARIOS (CEOE VALLADOLID.) la Comisión Negociadora del Convenio Colectivo «Industria y Comercio de la Vid» al objeto de proceder a cumplir con el requerimiento efectuado por la Oficina Territorial de Trabajo de Valladolid y proceder dentro del plazo conferido la subsanación e los defectos manifestados en la resolución de fecha 8-06-2023 .
Asistentes:
CC.OO:
Jesús Emilio Izquierdo Heras, DNI 09****43J.
Fernando Santos Cabezas, DNI 12****27S
UGT:
Juan Carlos García Serrano, DNI 09****11Y.
Pedro Méndez Zamora, DNI 12****412E.
Por la representación de la parte empresarial:
ASOCIACIÓN DE INDUSTRIALES Y COMERCIANTES DE VINO DE VALLADOLID.
Francisco Javier Andrés Abad, DNI 13****14N.
José Fernández Rodríguez DNI 12****15S.
CONFEDERACIÓN VALLISOLETANA DE EMPRESARIOS (CEOE VALLADOLID).
María José González Romo, DNI 09****52B.
María Blanca López Lozano, DNI 09****11ª.
En la resolución notificada se dice que con fecha 06/06/2023 ha tenido entrada en la Oficina Territorial de Trabajo de Valladolid el acta del acuerdo de rectificación de errores de la comisión paritaria del CONVENIO COLECTIVO DE LA INDUSTRIA Y EL COMERCIO DE LA VID PARA LA PROVINCIA DE VALLADOLID Una vez revisada la misma se ha observado las siguientes cuestiones objeto de subsanación:
La documentación que se ha anejado a la solicitud aparece como resultado de un acuerdo alcanzado en la comisión paritaria; sin embargo, una vez analizadas las competencias de esta recogidas en el vigente CONVENIO COLECTIVO DE LA INDUSTRIA Y EL COMERCIO DE LA VID PARA LA PROVINCIA DE VALLADOLID no se encuentra la de rectificación de errores, teniendo en cuenta además, que el acuerdo alcanzado y que ahora se corrige, procede de la comisión negociadora; por otro lado también figura aquella como órgano que delega en la autorizada para la tramitación en REGCON. Dichas deficiencias deberán ser subsanadas en todos los documentos presentados.
Con carácter previo se establece la capacidad y legitimación de esta Comisión Negociadora para proceder a subsanar las deficiencias notificadas por la Oficina Territorial de Trabajo de Valladolid así como para proceder a la rectificación del error detectado en la Resolución de 13 de abril de 2023 de la Oficina Territorial de Trabajo de la Delegación Territorial de la Junta de Castilla y León en Valladolid, por la que se dispone el registro, depósito y publicación de las tablas salariales 2023 del Convenio Colectivo de la Industria y el Comercio de la Vid para la provincia de Valladolid, Resolución publicada en el BOP de Valladolid de fecha 26-4-2023 .
En el acta publicada en fecha 26-04-2023 se explicaba que con la publicación del Real Decreto 99/2023 de 14 de febrero se fija el SMI para el año 2023 había que examinar si los grupos profesionales del Convenio Colectivo de la Industria y el Comercio de la Vid para la provincia de Valladolid se tienen que actualizar según el SMI establecido para 2023.
El Convenio Colectivo de la Industria y el Comercio de la Vid para la provincia de Valladolid tiene 15 pagas, con lo que hay que mirar si el cómputo anual establecido en el convenio colectivo para los distintos grupos profesionales es inferior al SMI anual para el año 2023.
Con la actualización del SMI el salario de dichas categorías quedaría:
El SMI para 2023 es de 1080€ mensuales en 14 pagas (15.120€ anuales), salario anual que con las pagas prorrateadas sería 1260,00€ mensuales.
El salario anual para las categorías reseñadas del Convenio Colectivo de la Industria y el Comercio de la Vid es de 1.008,00 € en 15 pagas (15.120€ anuales), salario anual que con las pagas prorrateadas sería 1260,00€ mensuales.
En la acta publicada en fecha 26-04-2023 erróneamente se decía :
Si las pagas se prorratean el salario mensual de estos grupos profesionales es de 1080,00€.
Siendo lo correcto: … Si las pagas se prorratean el salario mensual de estos grupos profesionales es de 1260,00 €.
La comisión negociadora del Convenio de la Industria y Comercio de la Vid acuerdan delegar en Doña Vanesa Pérez Rodríguez D.N.I.: 12.****69-V la tramitación del registro telemático de esta Acta .
Se concluye la sesión siendo las 10.00 horas, levantándose la presente Acta, que en prueba de conformidad firmaron las partes en el lugar y fecha indicados en el encabezamiento.
CC.OO.
UGT.
ASOCIACIÓN DE INDUSTRIALES Y COMERCIANTES DE VINO DE VALLADOLID.
CEOE VALLADOLID.
REVISIÓN SALARIAL (BOP Número 2024/90 – Viernes, 10 de mayo de 2024)
RESOLUCIÓN DE 30 DE ABRIL DE 2024 DE LA OFICINA TERRITORIAL DE TRABAJO DE LA DELEGACIÓN TERRITORIAL DE LA JUNTA DE CASTILLA Y LEÓN EN VALLADOLID, POR LA QUE SE DISPONE EL REGISTRO, DEPÓSITO Y PUBLICACIÓN DE LA REVISIÓN DE LAS TABLAS SALARIALES DE 2024 DEL CONVENIO COLECTIVO DE LA INDUSTRIA Y EL COMERCIO DE LA VID PARA LA PROVINCIA DE VALLADOLID
Vista la documentación relativa a la revisión de las tablas salariales de 2024 del convenio colectivo de la industria y el comercio de la vid para la provincia de Valladolid, acordada el día 10 de abril de 2024 por la comisión negociadora, integrada por los representantes de los empresarios y de los trabajadores del sector en la provincia de Valladolid, con fecha de entrada en este Organismo a través del Registro Telemático de Convenios, el día 25/04/2024, y una vez subsanada, de conformidad con lo dispuesto en el artículo 90 del Real Decreto Legislativo 2/2015, de 23 de octubre, por el que se aprueba el Texto Refundido de la Ley del Estatuto de los Trabajadores, el artículo 2.1.a) del Real Decreto 713/2010, de 28 de mayo, sobre registro y depósito de convenios y acuerdos colectivos de trabajo, el Real Decreto 831/1995, de 30 de mayo, sobre traspaso de funciones y servicios de la Administración del Estado a la Comunidad de Castilla y León en materia de trabajo (ejecución de legislación laboral) y la ORDEN PRE/813/2022, de 1 de julio, por la que se desarrolla la estructura orgánica y se definen las funciones de las Oficinas Territoriales de Trabajo de las Delegaciones Territoriales de la Junta de Castilla y León, con relación a lo dispuesto en el Decreto 33/2016, de 22 de septiembre, en materia de elaboración y aprobación de estructuras orgánicas de la Administración de la Comunidad de Castilla y León, esta Oficina Territorial de Trabajo,
ACUERDA
Primero. – Inscribir la revisión de las tablas salariales de 2024 del convenio colectivo de la industria y el comercio de la vid para la provincia de Valladolid en el correspondiente registro de este Organismo, con notificación a la comisión negociadora.
Segundo. – Disponer su publicación en el Boletín Oficial de la Provincia.
Tercero. – Depositar un ejemplar en este Organismo.
De conformidad con lo establecido en los artículos 121 y 122 de la Ley 39/2015, de 1 de octubre, del Procedimiento administrativo común de las administraciones Públicas, frente a la presente resolución, que no pone fin a la vía administrativa, podrá presentarse recurso de alzada ante la Delegada Territorial de la Junta de castilla y León en Valladolid en el plazo de un mes.
En Valladolid, a 30 de abril de 2024.-La Jefa de la Oficina Territorial de Valladolid.- Fdo.: María Belén de la Iglesia Freile.
ACTA DE REVISIÓN DE TABLAS SALARIALES 2024 DEL CONVENIO COLECTIVO DE LA INDUSTRIA Y EL COMERCIO DE LA VID PARA LA PROVINCIA DE VALLADOLID PARA ADECUARLAS AL SALARIO MININO INTERPROFESIONAL.
En Valladolid siendo las 10.00 horas del día 10 de abril de 2024, en la sede de la CONFEDERACION VALLISOLETANA DE EMPRESARIOS (CEOE VALLADOLID), se reúnen la Comisión Negociadora del Convenio Colectivo «Industria y Comercio de la Vid» al objeto de ACTUALIZAR LOS GRUPOS PROFESIONALES QUE ESTÁN POR DEBAJO DEL SMI EN CÓMPUTO ANUAL.
En representación de los trabajadores comparecen:
CC.OO:
· Jesús Emilio Izquierdo Heras.
· Fernando Santos Cabeza.
UGT:
· Juan Carlos García Serrano.
· Pedro Méndez Zamora.
Por la representación de la parte empresarial:
ASOCIACIÓN DE INDUSTRIALES Y COMERCIANTES DE VINO DE VALLADOLID.
· Francisco Javier Andrés Abad.
· José Fernández Rodríguez.
CONFEDERACIÓN VALLISOLETANA DE EMPRESARIOS (CEOE VALLADOLID).
· María José González Romo.
· María Blanca López Lozano.
Con carácter previo se establece la capacidad y legitimación de esta Comisión Negociadora para proceder a la actualización salarial de los grupos profesionales que, con la publicación del SMI para el año 2024, han quedado por debajo de la cuantía anual establecida.
Real Decreto 145/2024 de 6 de febrero fija el SMI para el año 2024, en su artículo 3 establece:
A efectos de aplicar el último párrafo del artículo 27.1 del Estatuto de los Trabajadores, en cuanto a compensación y absorción en cómputo anual por los salarios profesionales del incremento del salario mínimo interprofesional, se procederá de la forma siguiente:
1. La revisión del salario mínimo interprofesional establecida en este real decreto no afectará a la estructura ni a la cuantía de los salarios profesionales que viniesen percibiendo las personas trabajadoras cuando tales salarios en su conjunto y en cómputo anual fuesen superiores a dicho salario mínimo.
A tales efectos, el salario mínimo en cómputo anual que se tomará como término de comparación será el resultado de adicionar al salario mínimo fijado en el artículo 1 de este real decreto los devengos a que se refiere el artículo 2, sin que en ningún caso pueda considerarse una cuantía anual inferior a 15.876 euros.
El Convenio Colectivo de la Industria y el Comercio de la Vid para la provincia de Valladolid tiene 15 pagas, con lo que hay que comprobar si el cómputo anual establecido en el convenio colectivo para los distintos grupos profesionales es inferior al SMI anual para el año 2024 (15.876€).
En virtud de lo anterior los grupos profesionales que en el año 2024 están por debajo del salario mínimo interprofesional (SMI) son:
Con la actualización del SMI el salario de dichas categorías quedaría:
La comisión negociadora del Convenio de la Industria y Comercio de la Vid acuerdan delegar en Doña Vanesa Pérez Rodríguez D.N.I.: 12****69-V la tramitación del registro telemático de esta Acta.
Se concluye la sesión siendo las 10.45 horas, levantándose la presente Acta, que en prueba de conformidad firmaron las partes en el lugar y fecha indicados en el encabezamiento.
CC.OO
UGT.
ASOCIACIÓN DE INDUSTRIALES Y COMERCIANTES DE VINO DE VALLADOLID.
CEOE VALLADOLID.
CORRECCIÓN TABLAS (BOP Número 2024/148 – Jueves, 01 de agosto de 2024)
RESOLUCIÓN DE 23 DE JULIO DE 2024 DE LA OFICINA TERRITORIAL DE TRABAJO DE LA DELEGACIÓN TERRITORIAL DE LA JUNTA DE CASTILLA Y LEÓN EN VALLADOLID, POR LA QUE SE DISPONE EL REGISTRO, DEPÓSITO Y PUBLICACIÓN DEL ACTA DE SUBSANACIÓN DE ERRORES DETECTADOS EN LAS TABLAS SALARIALES 2024 DEL CONVENIO COLECTIVO DE LA INDUSTRIA Y EL COMERCIO DE LA VID PARA LA PROVINCIA DE VALLADOLID PUBLICADAS EN EL BOPVA DE FECHA 10-5-2024.
Vista la documentación relativa al acta de subsanación de errores detectados en las tablas salariales 2024 del convenio colectivo de la industria y el comercio de la vid para la provincia de Valladolid publicadas en el BOPVA de fecha 10-5-2024, acordada por la comisión negociadora, integrada por los representantes de los empresarios y de los trabajadores del sector en la provincia de Valladolid, que ha tenido entrada en este Organismo a través del Registro Telemático de Convenios, de conformidad con lo dispuesto en el artículo 90 del Real Decreto Legislativo 2/2015, de 23 de octubre, por el que se aprueba el Texto Refundido de la Ley del Estatuto de los Trabajadores, el artículo 2.1.a) del Real Decreto 713/2010, de 28 de mayo, sobre registro y depósito de convenios y acuerdos colectivos de trabajo, el Real Decreto 831/1995, de 30 de mayo, sobre traspaso de funciones y servicios de la Administración del Estado a la Comunidad de Castilla y León en materia de trabajo (ejecución de legislación laboral) y la ORDEN PRE/813/2022, de 1 de julio, por la que se desarrolla la estructura orgánica y se definen las funciones de las Oficinas Territoriales de Trabajo de las Delegaciones Territoriales de la Junta de Castilla y León, con relación a lo dispuesto en el Decreto 33/2016, de 22 de septiembre, en materia de elaboración y aprobación de estructuras orgánicas de la Administración de la Comunidad de Castilla y León, esta Oficina Territorial de Trabajo,
ACUERDA.
Primero. – Inscribir el acta de subsanación de errores detectados en las tablas salariales 2024 del convenio colectivo de la industria y el comercio de la vid para la provincia de Valladolid publicadas en el BOPVA de fecha 10-5-2024, con notificación a la comisión negociadora.
Segundo. – Disponer su publicación en el Boletín Oficial de la Provincia.
Tercero. – Depositar un ejemplar en este Organismo.
De conformidad con lo establecido en los artículos 121 y 122 de la Ley 39/2015, de 1 de octubre, del Procedimiento administrativo común de las administraciones Públicas, frente a la presente resolución, que no pone fin a la vía administrativa, podrá presentarse recurso de alzada ante la Delegada Territorial de la Junta de castilla y León en Valladolid en el plazo de un mes.
En Valladolid a 23 de julio de 2024.
La Jefa de la Oficina Territorial de Valladolid.
Fdo.: María Belén de la Iglesia Freile.
ACTA DE SUBSANACION ERRORES DETECTADOS EN LAS TABLAS SALARIALES 2024 DEL CONVENIO COLECTIVO DE LA INDUSTRIA Y EL COMERCIO DE LA VID PARA LA PROVINCIA DE VALLADOLID PUBLICADAS EN EL BOPVA DE FECHA 10-5-2024.
En Valladolid siendo las 10.00 horas del día 15 de JULIO de 2024, en la sede de la CONFEDERACION VALLISOLETANA DE EMPRESARIOS (CEOE VALLADOLID), se reúnen la Comisión Negociadora del Convenio Colectivo «Industria y Comercio de la Vid» al objeto de subsanar el error detectado en el salario diario de las categorías de Peón especialista, Peón, Pinche 16-17 años.
En representación de los trabajadores comparecen:
CC.OO:
– Jesús Emilio Izquierdo Heras.
UGT:
– Juan Carlos García Serrano.
Por la representación de la parte empresarial:
ASOCIACIÓN DE INDUSTRIALES Y COMERCIANTES DE VINO DE VALLADOLID.
– Francisco Javier Andrés Abad.
CONFEDERACIÓN VALLISOLETANA DE EMPRESARIOS (CEOE VALLADOLID).
– María José González Romo.
Con carácter previo se establece la capacidad y legitimación de esta Comisión para proceder a la subsanación de los errores detectados.
En las tablas publicadas el 10-5-2024 en el BOP de Valladolid donde se procedía a la actualización salarial de los grupos profesionales que con la publicación del SMI para el año 2024 habían quedado por debajo de la cuantía anual establecida SE HA DETECTADO ERRORES EN LAS CATEGORÍAS DE PEÓN ESPECIALISTA, PEÓN, PINCHE 16-17 AÑOS.
La comisión negociadora del Convenio de la Industria y Comercio de la Vid acuerdan delegar en Doña Vanesa Pérez Rodríguez D.N.I.: 12****69-V la tramitación del registro telemático de esta Acta .
Se concluye la sesión siendo las 10.45 horas, levantándose la presente Acta, que en prueba de conformidad firmaron las partes en el lugar y fecha indicados en el encabezamiento.
CC.OO.
UGT.
ASOCIACIÓN DE INDUSTRIALES Y COMERCIANTES DE VINO DE VALLADOLID.
CEOE VALLADOLID.
REVISIÓN SALARIAL (BOP Número 2025/56 – Viernes, 21 de marzo de 2025)
Resolución de la Oficina Territorial de Trabajo de la Delegación Territorial de la Junta de Castilla y León en Valladolid, por la que se dispone el registro, depósito y publicación del Acuerdo salarial del sector de la industria y el comercio de la vid de la provincia de Valladolid para el año 2025. Código: 47000595011982.
Vista la documentación relativa al Acuerdo salarial del sector de la industria y el comercio de la vid de la provincia de Valladolid para el año 2025, acordada por la Comisión Negociadora del convenio colectivo, con fecha de entrada en este Organismo a través del Registro Telemático de Convenios el día 03-03-2025, de conformidad con lo dispuesto en el artículo 90 del Real Decreto Legislativo 2/2015, de 23 de octubre, por el que se aprueba el Texto Refundido de la Ley del Estatuto de los Trabajadores, el artículo 2 del Real Decreto 713/2010, de 28 de mayo, sobre registro y depósito de convenios y acuerdos colectivos de trabajo, y Real Decreto 831/1995, de 30 de mayo, sobre traspaso de funciones y servicios de la Administración del Estado a la Comunidad de Castilla y León en materia de trabajo (ejecución de legislación laboral) y la Orden PRE/813/2022, de 1 de julio, por la que se desarrolla la estructura orgánica y se definen las funciones de las Oficinas Territoriales de Trabajo, con relación a lo dispuesto en el Decreto 33/2016, de 22 de septiembre, en materia de elaboración y aprobación de estructuras orgánicas de la Administración de la Comunidad de Castilla y León, esta Oficina Territorial de Trabajo Acuerda:
Primero. Inscribir el mencionado Acuerdo en el correspondiente Registro de este Organismo, con notificación a la Comisión Negociadora.
Segundo. Depositar un ejemplar en esta Entidad.
Tercero. Disponer su publicación en el Boletín Oficial de la Provincia.
En Valladolid, a 14 de marzo de 2025. – La Jefa de la Oficina Territorial de Trabajo. – Fdo.: María Belén de la Iglesia Freile.
ACTA DE REVISIÓN DE TABLAS SALARIALES 2025 DEL CONVENIO COLECTIVO DE LA INDUSTRIA Y EL COMERCIO DE LA VID PARA LA PROVINCIA DE VALLADOLID PARA ADECUARLAS AL SALARIO MININO INTERPROFESIONAL DEL AÑO 2025.
En Valladolid siendo las 10.00 horas del día 24 de FEBRERO de 2025, en la sede de la CONFEDERACION VALLISOLETANA DE EMPRESARIOS (CEOE VALLADOLID), se reúnen la Comisión Negociadora del Convenio Colectivo «Industria y Comercio de la Vid» al objeto de ACTUALIZAR LOS GRUPOS PROFESIONALES QUE ESTÁN POR DEBAJO DEL SMI EN CÓMPUTO ANUAL.
En representación de los trabajadores comparecen:
CC.OO:
– Jesús Emilio Izquierdo Heras.
UGT:
– Juan Carlos García Serrano.
Por la representación de la parte empresarial:
ASOCIACIÓN DE INDUSTRIALES Y COMERCIANTES DE VINO DE VALLADOLID
– Francisco Javier Andrés Abad
CONFEDERACIÓN VALLISOLETANA DE EMPRESARIOS (CEOE VALLADOLID)
– María Blanca López Lozano
Con carácter previo se establece la capacidad y legitimación de esta Comisión para proceder a la actualización salarial de los grupos profesionales que con la publicación del SMI para el año 2025 han quedado por debajo de la cuantía anual establecida. Real Decreto 87/2025 de 11 de febrero fija el SMI para el año 2025, en su artículo 3 establece:
A efectos de aplicar el último párrafo del artículo 27.1 del Estatuto de los Trabajadores, en cuanto a compensación y absorción en cómputo anual por los salarios profesionales del incremento del salario mínimo interprofesional, se procederá de la forma siguiente:
1. La revisión del salario mínimo interprofesional establecida en este real decreto no afectará a la estructura ni a la cuantía de los salarios profesionales que viniesen percibiendo las personas trabajadoras cuando tales salarios en su conjunto y en cómputo anual fuesen superiores a dicho salario mínimo.
A tales efectos, el salario mínimo en cómputo anual que se tomará como término de comparación será el resultado de adicionar al salario mínimo fijado en el artículo 1 de este real decreto los devengos a que se refiere el artículo 2, sin que en ningún caso pueda considerarse una cuantía anual inferior a 16 576,00 euros.
El Convenio Colectivo de la Industria y el Comercio de la Vid para la provincia de Valladolid tiene 15 pagas, con lo que hay que comprobar si el cómputo anual establecido en el convenio colectivo para los distintos grupos profesionales es inferior al SMI anual para el año 2025 (16.576,00€).
En virtud de lo anterior los grupos profesionales que en el año 2025 están por debajo del salario mínimo interprofesional ANUAL (SMI) son:
Con la actualización del SMI ANUAL el salario de dichas categorías quedaría:
La comisión negociadora del Convenio de la Industria y Comercio de la Vid acuerdan. delegar en Doña Vanesa Pérez Rodríguez D.N.I.: 12****69-V la tramitación del registro telemático de esta Acta.
Se concluye la sesión siendo las 10.45 horas, levantándose la presente Acta, que en prueba de conformidad firmaron las partes en el lugar y fecha indicados en el encabezamiento.
CC.OO
UGT.
ASOCIACIÓN DE INDUSTRIALES Y COMERCIANTES DE VINO DE VALLADOLID.
CEOE VALLADOLID.
