CONVENIO COLECTIVO (BOP Número 2023/184 – Martes, 26 de septiembre de 2023)
RESOLUCIÓN DE 13 DE SEPTIEMBRE DE 2023 DE LA OFICINA TERRITORIAL DE TRABAJO DE LA DELEGACIÓN TERRITORIAL DE LA JUNTA DE CASTILLA Y LEÓN EN VALLADOLID, POR LA QUE SE DISPONE EL REGISTRO, DEPÓSITO Y PUBLICACIÓN DEL CONVENIO COLECTIVO DE LA INDUSTRIA, LA NUEVAS TECNOLOGÍAS Y LOS SERVICIOS DEL SECTOR DEL METAL DE VALLADOLID Y PROVINCIA DE LOS AÑOS 2023, 2024 Y 2025.
Vista la documentación relativa al CONVENIO COLECTIVO DE LA INDUSTRIA, LA NUEVAS TECNOLOGÍAS Y LOS SERVICIOS DEL SECTOR DEL METAL DE VALLADOLID Y PROVINCIA DE LOS AÑOS 2023, 2024 Y 2025, acordado el día 03 de agosto de 2023 por la Comisión Negociadora, integrada por los representantes de la empresa y los representantes de los trabajadores, con fecha de entrada en este Organismo a través del Registro Telemático de Convenios, el día 04/08/2023, y debidamente subsanada el 25/08/2023, de conformidad con lo dispuesto en el artículo 90 del Real Decreto Legislativo 2/2015, de 23 de octubre, por el que se aprueba el Texto Refundido de la Ley del Estatuto de los Trabajadores, el artículo 2.1.a) del Real Decreto 713/2010, de 28 de mayo, sobre registro y depósito de convenios y acuerdos colectivos de trabajo, y Real Decreto 831/1995, de 30 de mayo, sobre traspaso de funciones y servicios de la Administración del Estado a la Comunidad de Castilla y León en materia de trabajo (ejecución de legislación laboral) y la Orden PRE/813/2022, de 1 de julio, por la que se desarrolla la estructura orgánica y se definen las funciones de las Oficinas Territoriales de Trabajo, con relación a lo dispuesto en el Decreto 33/2016, de 22 de septiembre, en materia de elaboración y aprobación de estructuras orgánicas de la Administración de la Comunidad de Castilla y León, esta Oficina Territorial de Trabajo
ACUERDA
Primero.-Inscribir el mencionado convenio colectivo en el correspondiente Registro de este Organismo, con notificación a la Comisión Negociadora.
Segundo.-Disponer su publicación en el Boletín Oficial de la Provincia.
Tercero.-Depositar un ejemplar en esta Entidad.
De conformidad con lo establecido en los artículos 121 y 122 de la Ley 39/2015, de 1 de octubre, del Procedimiento Administrativo Común de las Administraciones Públicas (BOE núm. 236, de 02 de octubre de 2015), frente a la presente Resolución, que no pone fin a la vía administrativa, podrá presentarse Recurso de Alzada, en el plazo de un mes, ante el Delegado Territorial de la Junta de Castilla y León en Valladolid.
En Valladolid, a 13 de septiembre de 2023.- La jefa de la Oficina Territorial de Trabajo de Valladolid- Fdo.: María Belén de la Iglesia Freile.
CONVENIO COLECTIVO DE LA INDUSTRIA, LA NUEVAS TECNOLOGÍAS Y LOS SERVICIOS DEL SECTOR DEL METAL DE VALLADOLID Y PROVINCIA DE LOS AÑOS 2023, 2024 Y 2025.
TITULO I.- NATURALEZA JURÍDICA.
Artículo 1º. – Partes contratantes.
El presente Convenio Colectivo ha sido negociado de una parte, por la Asociación Empresarial Metalúrgica de Valladolid y Provincia (VAMETAL), por la Asociación de Empresarios Eléctricos y Telecomunicaciones de Valladolid (APREMIE); y de la otra, por la Unión General de Trabajadores.
TITULO II.- AMBITOS.
Artículo 2º. – Ámbito funcional y personal.
El presente Convenio Colectivo obliga a todas las empresas y trabajadores que realizan su actividad en Valladolid y su provincia, tanto en procesos de fabricación, elaboración o transformación de productos industriales y/o tecnológicos, como en los de montaje, reparación, conservación, mantenimiento, almacenaje y puesta en funcionamiento de equipos e instalaciones industriales y de servicios, que se relacionen con el sector del metal.
De este modo, quedan integradas en el campo de aplicación de este convenio las siguientes actividades y productos: metalurgia, siderurgia; automoción y sus componentes; construcción naval y su industria auxiliar; industria aeroespacial y sus componentes, así como material ferroviario, componentes de energías renovables; robótica, domótica, automatismos y su programación, los ordenadores y sus periféricos o dispositivos auxiliares; circuitos impresos e integrados y artículos similares; infraestructuras tecnológicas; equipos y tecnologías de telecomunicaciones y de la información; y todo tipo de equipos, productos y aparatos mecánicos, eléctricos o electrónicos, incluidas la fabricación y mantenimiento de sistemas no tripulados, ya sean autónomos o dirigidos (drones).
Forman parte también de dicho ámbito las empresas dedicadas a los servicios técnicos de ingeniería en tecnologías y procesos industriales, análisis, diseño, proyectos y ensayos. La fabricación, montaje y/o mantenimiento y reparación de las plantas e instalaciones de generación de energías renovables, de las petrolíferas, de gas, de tratamiento de aguas y de plataformas marinas; así como, las dedicadas a tendidos de líneas de conducción de energía, de cables e hilos eléctricos aislados y de fibra óptica, satelitales, inalámbricos y de otras tecnologías de la transmisión; tarjetas inteligentes (móviles, módems o tecnología inalámbrica de banda ancha); circuitos impresos en chips de comunicación o almacenamiento de información integrada; redes de telefonía; informática, digitalización, instrumentalización; señalización y electrificación de ferrocarriles, y de vías de todo tipo; instalaciones de aire acondicionado y frío industrial, fontanería, calefacción; y de fabricación, instalación y montaje de sistemas de seguridad (antirrobos e incendios), así como aquellas otras actividades específicas y/o auxiliares complementarias del sector.
Asimismo, se incluyen las actividades de soldadura y tecnologías de unión, calorifugado; grúas-torre, carretillas y plataformas elevadoras; y las de joyería, relojería o bisutería; juguetes; cubertería y menaje; cerrajería; armas; aparatos médicos; industria óptica y mecánica de precisión; lámparas y aparatos eléctricos; conservación, corte y reposición de contadores; recuperación, reciclaje y gestión de productos, materiales y residuos metálicos, y las pilas y baterías.
Igualmente, abarca a las actividades de fabricación, instalación, mantenimiento, o montaje de equipamientos industriales y bienes de equipo, carpintería metálica, calderería, mecanización y automatización; el subsector de elevación, escaleras, cintas mecánicas y pasarelas incluidas en el sector, o en cualquier otro que requiera tales servicios, así como la limpieza de maquinaria industrial.
De igual modo, comprende a las actividades de reparación de aparatos mecánicos, eléctricos o electrónicos; mantenimiento y reparación de vehículos; ITV y aquellas de carácter auxiliar, complementarias o afines, directamente relacionadas con el sector.
Asimismo, se incluyen dentro del sector: la fabricación, montaje, mantenimiento y reparación de instalaciones, elementos o componentes de generación y/o distribución de energía eléctrica.
Será también de aplicación a la industria metalgráfica y de fabricación de envases metálicos y boterío, cuando en su fabricación se utilice chapa de espesor superior a 0,5 mm.
También estarán afectadas todas aquellas empresas que, en virtud de cualquier tipo de contrato, tengan varias actividades principales, de las cuales alguna esté incluida en el ámbito funcional de este convenio, siendo de aplicación el mismo a las personas trabajadoras que realicen estas actividades.
Las empresas que por cualquier tipo de contrato desarrollen actividades del sector de forma habitual (no ocasional o accesoria), se verán también afectadas por el ámbito funcional del presente convenio, aunque ninguna de esas actividades fuera principal o prevalente.
En estos dos últimos supuestos deberán aplicarse a las personas trabajadoras afectadas las condiciones establecidas en este convenio, sin perjuicio de las que se regulen en los convenios colectivos de ámbito inferior que les sean de aplicación y, en particular, la tabla salarial que corresponda al grupo, categoría o nivel profesional de cada persona trabajadora.
Quedarán fuera del ámbito del convenio, las empresas dedicadas a la venta de artículos en proceso exclusivo de comercialización.
En aquellos centros de trabajo relativos al mantenimiento y reparación de vehículos en los que concurra esta actividad con la de venta, el convenio se aplicará a las personas trabajadoras que realicen la actividad de mantenimiento y/o reparación.
Las actividades antes señaladas integradas en el campo de aplicación de este convenio, están incluidas en el anexo I del IV Convenio colectivo estatal de la industria, las nuevas tecnologías y los servicios del sector del metal (BOE de 12 de enero de 2022).
Los CNAEs recogidos en dicho anexo tienen carácter enunciativo y no exhaustivo, siendo susceptible de ser ampliados, reducidos o complementados por la comisión negociadora en función de los cambios que se produzcan en la Clasificación Nacional de Actividades Económicas Artículo 3º.- Ámbito Territorial.
El Convenio afectará a todos los centros de trabajo que, comprendidos en el ámbito funcional del mismo, se encuentren situados en la provincia de Valladolid, aun cuando el domicilio social de la empresa a que pertenezca radique fuera de dicho término provincial.
Artículo 4º. – Exclusiones y concurrencia de convenios. Se excluyen del ámbito de aplicación del presente Convenio:
a) Las empresas que tengan concertado un Convenio Colectivo de ámbito de empresa.
b) Las empresas que en el futuro concierten con sus trabajadores un Convenio Colectivo.
La aplicación de los supuestos de concurrencia entre convenios de distinto ámbito se resolverá teniendo en cuenta las disposiciones legales vigentes en cada momento y el Convenio Colectivo Estatal de la Industria, la Tecnología y los Servicios del Sector del Metal (CEM).
En aquellas empresas afectadas por este convenio colectivo, en las que se promueva la negociación de un nuevo convenio de empresa, la parte promotora comunicará por escrito la iniciativa de dicha promoción a la otra parte, a la Comisión Paritaria del presente Convenio y a la autoridad laboral a través del REGCON, expresando detalladamente las materias objeto de negociación.
Artículo 5º. – Ámbito temporal.
El presente Convenio entra en vigor el día 1 de enero de 2023, y su duración, que será de tres años, finalizará el 31 de diciembre de 2025, salvo aquellas cuestiones o materias a las que en el presente convenio se les haya dado un ámbito temporal distinto en cuyo caso se estará a lo establecido de forma específica para las mismas.
Las diferencias económicas que por aplicación de este Convenio pudieran surgir en favor de los trabajadores, deberán ser abonadas el 50% en el plazo de un mes y el 50% restante dentro del segundo mes, a contar desde la fecha de su publicación en el Boletín Oficial de la Provincia.
Artículo 6º. – Denuncia y prórroga.
El presente convenio se entenderá automáticamente denunciado a la fecha de finalización de su período de vigencia. No obstante, permanecerá en vigor hasta la firma del nuevo Convenio que lo sustituya.
La Comisión negociadora deberá quedar válidamente constituida como mínimo quince días antes de la finalización de la vigencia del presente convenio. La presentación de las plataformas se realizará entre la fecha de finalización de la vigencia del convenio y los treinta días naturales siguientes. En ningún caso el inicio de la negociación se realizará con posterioridad al transcurso del mes de la presentación de plataformas.
Artículo 7º. – Condiciones más beneficiosas.
Se respetarán, en todo caso, las condiciones más beneficiosas en cómputo anual y a título personal que viniera disfrutando cada trabajador.
Artículo 8º. – Vinculación a la totalidad.
Las condiciones pactadas en el presente Convenio forman un todo orgánico e indivisible, y a los efectos de su aplicación práctica, habrán de ser considerados globalmente en su conjunto.
En consecuencia, si por aplicación de normas legales, convenios o acuerdos de cualquier ámbito, o por el ejercicio de las facultades propias de la Administración u Órganos jurisdiccionales o por cualquier otra causa ajena a la voluntad de las partes negociadoras, no fuera posible la aplicación durante la totalidad de la vigencia acordada para cada materia de alguno o algunos de los pactos establecidos o se impusiera su modificación, el presente Convenio se adaptaría a las nuevas normativas o resoluciones judiciales
TITULO III.- CONTRATACIÓN
Artículo 9º.- Contratos de Trabajo.
Se estará a lo establecido en el Convenio Colectivo Estatal de la Industria, las Nuevas Tecnologías y los Servicios del Sector del Metal, y en lo no previsto en el mismo a la legislación vigente.
No obstante, la retribución por el tiempo de trabajo efectivo de los contratos formativos para la obtención de la práctica profesional concertado con quién estuviese en posesión de título universitario, no podrá ser inferior al 64 por 100 durante los primeros seis meses y al 79 por 100 durante los seis meses siguientes de vigencia del contrato, del salario fijado en convenio para el grupo profesional y nivel retributivo correspondiente a las funciones de empeñadas La retribución por el tiempo de trabajo efectivo del contrato formativo para la obtención de la práctica profesional concertado con quién estuviese en posesión de un título de grado medio o superior, especialista, master profesional o certificado del sistema de formación profesional o títulos oficialmente reconocidos como equivalentes, no podrá ser inferior al 60 por 100 durante los seis primeros meses y al 90 por 100 los seis meses siguientes de vigencia del contrato del salario fijado en convenio para el grupo profesional y nivel retributivo correspondiente a las funciones desempeñadas En ningún de los dos casos anteriores la retribución podrá ser inferior a la retribución mínima establecida para el contrato para la formación en alternancia ni al salario mínimo interprofesional en proporción al tiempo de trabajo efectivo.
Artículo 10º.- Subrogación.
Con independencia de la aplicación, cuando legalmente así proceda, de la sucesión de empresas regulada en el artículo 44 del ET; si a la finalización del contrato de mantenimiento o servicio entre la empresa contratista y cualquier cliente, público o privado, las funciones totales o parciales de mantenimiento o servicio se continuasen por otra empresa, los trabajadores del primer cesante por esta causa tendrán derecho a pasar a la nueva adjudicataria, la cual se subrogará en los derechos y condiciones de los mismos.
Si la nueva empresa no tuviera necesidad de toda la plantilla que venía realizando estos trabajos, deberá en estos casos subrogarse en el número de trabajadores que necesite, manteniendo el resto durante doce meses un derecho preferente de contratación en el servicio o contrata subrogada, con el salario, categoría y antigüedad que tenían en la cesante.
Esta subrogación tendrá, igualmente, las siguientes cláusulas condicionantes:
a. No se podrán subrogar trabajadores que hayan estado vinculados a la empresa cesante en otros centros distintos a los correspondientes al servicio finalizado, en el periodo de los últimos 12 meses.
b. Tampoco se subrogarán los trabajadores que tengan en la empresa cesante una antigüedad inferior a doce meses de prestación de servicios en la contrata.
c. La empresa cesante deberá acreditar a la nueva empresa adjudicataria relación de los trabajadores afectados con sus contratos individuales debidamente diligenciados, así como las nóminas y TC2 donde se encuentren los mismos, de los últimos doce meses.
d. Para respetar las condiciones más beneficiosas de las que establece el convenio colectivo, tendrán que tener dichas mejoras o acuerdos una antigüedad superior a doce meses.
e. El trabajador percibirá con cargo exclusivo a su anterior empresa los salarios, partes proporcionales de pagas extras, vacaciones, etc. que le pudieran corresponder hasta la fecha que la empresa cesante dejó de prestar servicio, siendo única responsable de dichos pagos.
Artículo 11º.- Jubilación parcial con contrato de relevo.
Las personas trabajadoras que reúnan los requisitos legalmente establecidos, previo acuerdo con la empresa, podrán jubilarse parcialmente en los términos establecidos en el texto refundido de la Ley de la Seguridad Social, y en el artículo 12.6 y 7 del Estatuto de los Trabajadores y demás disposiciones concordantes.
Artículo 12º. – Empresas de Trabajo Temporal.
La empresa usuaria deberá informar a los representantes de los trabajadores sobre cada contrato de puesta a disposición y motivo de utilización, dentro de los diez días siguientes a su celebración.
Los representantes de los trabajadores de la empresa usuaria tendrán atribuida la representación de los trabajadores en misión, mientras ésta dure, a efectos de formular cualquier reclamación en relación con las condiciones de ejecución de la actividad laboral, en todo aquello que atañe a la prestación de sus servicios en éstas, sin que ello pueda suponer una ampliación del crédito de horas mensuales retribuidas a que tengan derecho dichos representantes.
No se podrán celebrar contratos de puesta a disposición para la realización de trabajos u ocupaciones peligrosas para la seguridad y la salud en el trabajo, en los términos previstos en la disposición adicional segunda de la Ley 14/1994 de 1 de junio.
Artículo 13º. – Período de prueba.
Podrá concertarse por escrito un período de prueba, que en ningún caso podrá exceder:
Peones, especialistas y resto de categorías no comprendidas en los apartados que siguen: Quince días laborales.
Administrativos, Técnicos no titulados y Oficiales: Un mes.
Técnicos Titulados: Seis meses.
Durante el periodo de prueba la empresa y el trabajador podrán resolver libremente el contrato sin plazo de preaviso y sin lugar a reclamación alguna entre las partes.
Las situaciones de incapacidad temporal, nacimiento, adopción, guarda con fines de adopción, acogimiento, riesgo durante el embarazo, riesgo durante la lactancia y violencia de género, que afecten a la persona trabajadora durante el período de prueba, interrumpen el cómputo del mismo siempre que se produzca acuerdo entre ambas partes.
Artículo 14º.- Ceses.
En los casos en los que el trabajador con una antigüedad superior al año desee cesar voluntariamente en el servicio de la empresa, lo pondrá en conocimiento de la misma con una antelación mínima de 15 días naturales.
En los contratos de trabajo de duración determinada superior a un año, la empresa que formule la denuncia del mismo lo pondrá en conocimiento del trabajador con una antelación mínima de quince días naturales.
Una copia simple del recibo de liquidación se entregará por la empresa con la suficiente antelación a la fecha de extinción del contrato.
A tenor de lo establecido en el artículo 49.1 c) del Estatuto de los Trabajadores, a la finalización del contrato por expiración del tiempo convenido, excepto en los contratos formativos y el contrato de duración determinada por causa de sustitución, la persona trabajadora tendrá derecho a recibir una indemnización de cuantía equivalente a la parte proporcional de la cantidad que resultaría de abonar doce días de salario por cada año de servicio, o la establecida, en su caso, en la normativa específica que sea de aplicación.
TITULO IV.- ESTRUCTURA SALARIAL.
Artículo 15º.- Salarios.
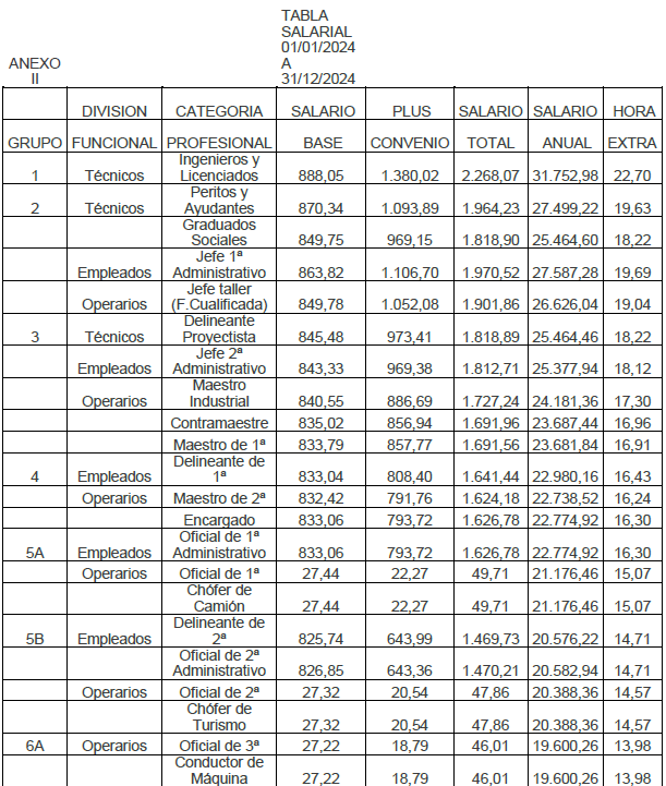
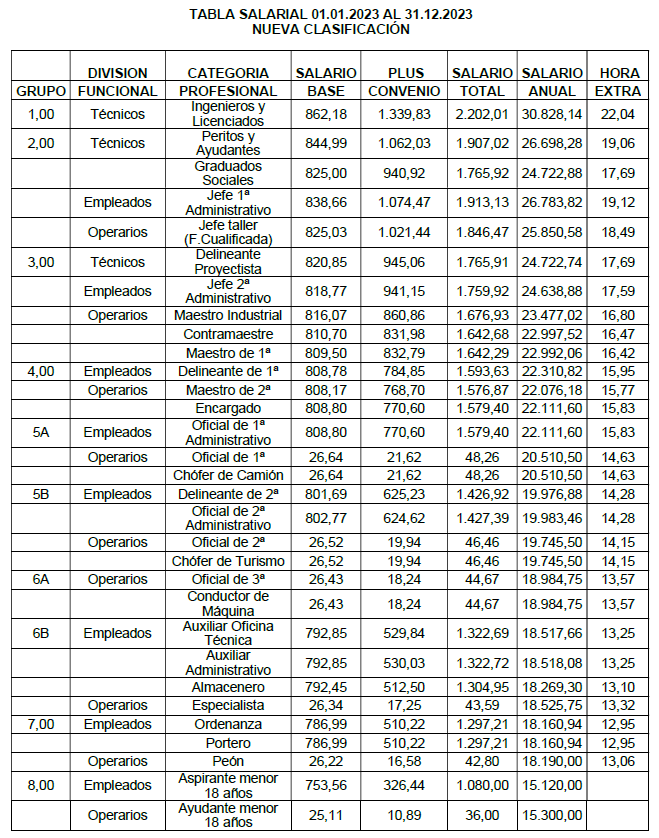
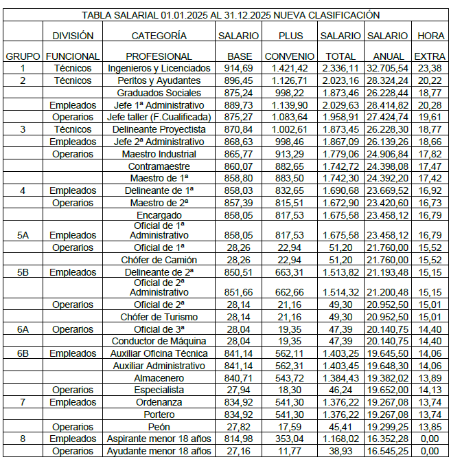
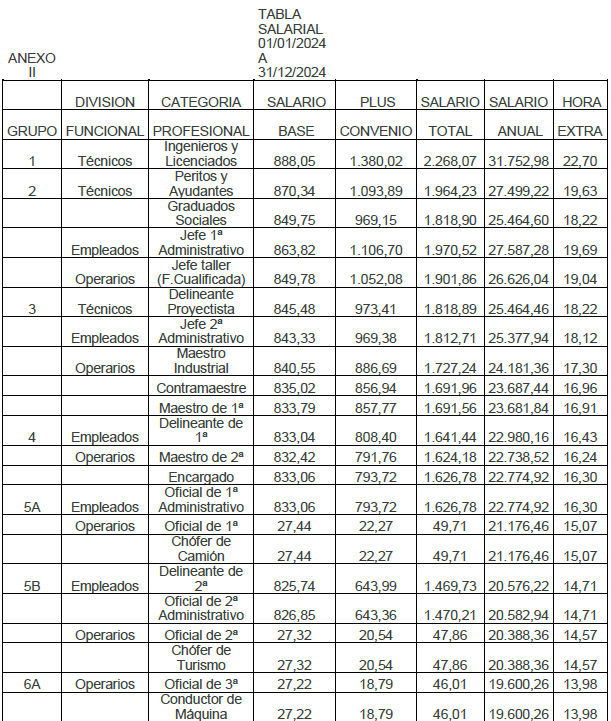
a.- Incremento salarial año 2023: 4%.
Los salarios pactados en el presente Convenio para el periodo que va de 01.01.2023 a 31.12.2023, son los establecidos para cada categoría profesional en la tabla salarial que se adjunta como anexo I Finalizado 2023, si el IPC interanual de diciembre de 2023 fuera superior a 4%, se aplicará un incremento adicional máximo del 1%, con efecto de 1 de enero de 2024. Lo que se calcularía sobre los salarios que sirvieron de base para la confección de la tabla salarial del 2023.
b.- Incremento salarial para 2024: al resultado del incremento del párrafo anterior se aplicará un 3%.
Finalizado 2024, si el IPC interanual de diciembre de 2024 fuera superior a 3%, se aplicará un incremento adicional máximo del 1%, con efecto de 1 de enero de 2025. Lo que se calcularía sobre los salarios que sirvieron de base para la confección de la tabla salarial del 2024.
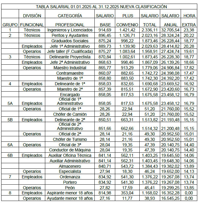
c.- Incremento salarial para 2025: al resultado del incremento del párrafo anterior se aplicará un 3%.
Finalizado 2025, si el IPC interanual de diciembre de 2025 fuera superior a 3%, se aplicará un incremento adicional máximo del 1%, con efecto de 1 de enero de 2026. Lo que se calcularía sobre los salarios que sirvieron de base para la confección de la tabla salarial del 2025.
Artículo 16º.- Inaplicación de las condiciones de trabajo previstas en el convenio colectivo.
En caso de desacuerdo durante el periodo de consultas para la no aplicación de las condiciones de trabajo previstas en el convenio colectivo a que se refiere el artículo 82.3 del Estatuto de los Trabajadores, cualquiera de las partes podrá someter la discrepancia a la comisión del convenio, que dispondrá de un plazo máximo de siete días para pronunciarse, a contar desde que la misma le fuera planteada. Cuando no se hubiera solicitado la intervención de la comisión o ésta no hubiera alcanzado un acuerdo, las partes deberán recurrir a los procedimientos establecidos en los acuerdos interprofesionales previstos en el artículo 83 del estatuto de los Trabajadores.
Artículo 17º. – Pago de salarios.
Las empresas reflejarán en nómina debidamente cumplimentada, todas las retribuciones que perciba el trabajador.
La liquidación y el pago de salarios se harán puntual y documentalmente en la fecha y lugar convenidos o conforme a los usos y costumbres, sin que indicado pago pueda producirse más allá de los cinco primeros días del mes siguiente al de devengo. El período de tiempo a que se refiere el abono de las retribuciones periódicas no podrá exceder de un mes.
El interés por mora en el pago de salarios será el diez por ciento de lo adeudado.
Artículo 18º. – Antigüedad.
El personal comprendido en el presente Convenio percibirá aumentos periódicos por años de servicio, consistente en el abono de quinquenios en la cuantía del seis por ciento del salario base correspondiente a la categoría en que esté clasificado. No obstante, todos aquellos que vengan percibiendo la antigüedad por trienios seguirán cobrando de la misma forma.
La fecha inicial para su determinación será la de ingreso en la empresa.
El derecho a dicha promoción económica se establece en los siguientes límites:
Los trabajadores contratados a partir del día 01-01-1995, tendrán derecho a dicha promoción económica hasta un máximo de dos quinquenios.
Los trabajadores que con anterioridad a la fecha expresada estuvieran prestando sus servicios en la empresa, tendrán derecho a dicha promoción económica hasta un máximo de tres quinquenios o cinco trienios para el caso de que vinieran percibiendo la antigüedad de esta última forma. Lo dispuesto en este párrafo se entiende sin perjuicio de los derechos adquiridos.
Para el cómputo de antigüedad con los límites más arriba establecidos, se tendrá en cuenta todo el tiempo servido en la misma empresa, considerándose como efectivamente trabajado todos los meses y días en los que el trabajador haya recibido un salario o remuneración, bien sea por servicios prestados en cualquiera de sus factorías o en comisiones, licencias o en incapacidad temporal por accidente de trabajo o enfermedad.
Igualmente serán computables el tiempo de excedencia forzosa por nombramiento para un cargo público o sindical, así como las excedencias previstas en el E.T art. 46.3 concretamente la excedencia por cuidado de hijo y la excedencia por cuidado de familiar grave. Por el contrario, no se estimará el tiempo de permanencia en excedencia para el resto de situaciones de excedencia voluntaria.
Se computará la antigüedad en razón de la totalidad de los años prestados dentro de la empresa, cualquiera que sea el grupo profesional o categoría en que se encuentre encuadrado.
También se estimarán los servicios prestados dentro de la empresa en períodos de prueba y por el personal eventual cuando éste pase a ocupar plaza en la plantilla de la empresa.
En todo caso, los que asciendan de categoría o cambien de grupo, percibirán sobre el salario base de aquélla a la que se incorporen, los quinquenios que les correspondan desde su ingreso en la empresa computada la antigüedad en la forma señalada en los párrafos anteriores, pero calculados en su totalidad sobre el nuevo salario base.
Los aumentos periódicos por los quinquenios que se cumplan, comenzarán a devengarse el mes siguiente al de su cumplimiento.
Artículo 19º. – Trabajos tóxicos, penosos o peligrosos.
Los trabajadores que realicen trabajos tóxicos, penosos o peligrosos, percibirán un incremento igual al 25 por 100 del salario base de la categoría, que pasarán a ser del 30 por 100 si concurriesen dos circunstancias y el 35 por 100 si fuesen tres.
Artículo 20º. – Nocturnidad.
Se considera trabajo nocturno el realizado entre las diez de la noche y las seis de la mañana. Las horas trabajadas durante los periodos indicados, salvo que el salario se hubiera establecido atendiendo a que el trabajo sea nocturno por su propia naturaleza, tendrán una retribución específica incrementada, como mínimo, en un 25 por ciento sobre el salario base.
Artículo 21º. – Plus de Jefe de Equipo.
Es jefe de equipo el productor procedente de la categoría de profesionales o de oficio que, efectuando trabajo manual, asuma el control de trabajo de un grupo de oficiales, especialistas, etc., en número no inferior a tres ni superior a ocho.
El jefe de equipo no podrá tener bajo sus órdenes a personal de superior categoría que la suya. Cuando el jefe de equipo desempeñe sus funciones durante un período de un año consecutivo o de tres años en períodos alternos, si luego cesa en su función, se le mantendrá su retribución específica hasta que su ascenso a superior categoría quede aquella superada.
El plus que percibirá el jefe de equipo consistirá en un veinte por ciento sobre el salario base de su categoría, a no ser que haya sido tenido en cuenta dentro del factor mando, en la valoración del puesto de trabajo.
Artículo 22º.- Plus de Turnicidad.
Para compensar el mayor esfuerzo que supone la implantación del régimen de trabajo a turnos, se establece un plus de turnicidad para aquellos trabajadores que de forma habitual fueran a realizar su jornada ordinaria bajo indicado régimen de turnos, en la cantidad de 36,57 euros mensuales en el año 2023, con la revisión, en su caso, fijada para los salarios en el artículo 15.
En los años 2024 y 2025, el plus de turnicidad se incrementará en los mismos porcentajes y, en su caso revisión, fijada para los salarios en el artículo 15.
El personal a turno será el que en cada momento señale la empresa, atendiendo a las necesidades de la misma.
Artículo 23º. – Trabajos ordinarios en domingos y fiestas.
Cuando de forma ordinaria los trabajadores presten sus servicios durante algún domingo o fiesta laboral, verán incrementada su retribución en las cantidades que se expresan a continuación o parte proporcional si indicada prestación no lo fuera a jornada completa, salvo que el salario del trabajador se haya establecido precisamente atendida su prestación de servicios en señalados domingos o días festivos:
Año 2023: 30,00€, sin revisión. En los años 2024 y 2025, este plus se incrementará en los mismos porcentajes y, en su caso revisiones, fijados para los salarios en el artículo 15.
Artículo 24º. – Incentivos.
A iniciativa de las empresas, podrá ser aplicado el sistema de remuneración del trabajo con incentivos, a todos o parte de sus trabajadores, con carácter individual o colectivo.
Será preceptivo para el trabajador la aceptación de tales métodos de trabajo, siempre que las exigencias de fabricación lo aconsejen y, pudiendo el trabajador o trabajadores disconformes con el sistema recurrir contra su aplicación ante la Administración competente, la que resolverá lo que proceda, sin que por esta circunstancia se paralice el método de trabajo.
El régimen de remuneración de incentivos, primas, tareas o destajos podrá establecerse, bien como complemento de salario base o, por el contrario, quedando comprendida dentro del incentivo la parte correspondiente a dicho salario.
La tarifa de incentivos, prima, tareas o destajos deberán establecerse de manera que a un rendimiento normal se obtenga al menos un beneficio equivalente al 25% del salario convenio a tiempo.
Cuando un trabajador venga actuando dentro de cualquier sistema de incentivo en empresas no racionalizadas y no pueda realizar su trabajo por demoras independientes a su voluntad, tales como falta de materiales, espera de piezas y recepción de órdenes, errores en los cálculos de preparación del trabajo o causas análogas, percibirá, en todo caso, el salario fijado para su grado de calificación, o en su defecto, el de su salario profesional incrementado con el 25% del salario base a tiempo. Al pasar a otros puestos con trabajo a incentivo percibirá el que le corresponda en el nuevo puesto.
Cuando las tarifas fijadas por la empresa sean de conformidad con los trabajadores, se pondrán en vigor en el momento fijado. Si la anterior conformidad no existiera, se pondrán, asimismo, en vigor, pero habrán de ser sometidas a la Administración competente.
Artículo 25º. – Horas extraordinarias.
Con el objeto de favorecer la creación de empleo, ambas partes acuerdan la conveniencia de reducir al mínimo indispensable las horas extraordinarias, con arreglo a los siguientes criterios:
a) Horas extraordinarias habituales: Supresión.
b) Horas extraordinarias que vengan exigidas por la necesidad de reparar siniestros u otros daños urgentes o extraordinarios, así como en caso de riesgo de pérdida de materias primas: Realización.
c) Horas extraordinarias necesarias por pedidos o períodos punta de producción, ausencias imprevistas, cambios de turno u otras circunstancias de carácter estructural derivadas de la naturaleza de la actividad que se trate:
Mantenimiento siempre que no quepa la utilización de las distintas modalidades de contratación previstas por la Ley, siendo de carácter voluntario su realización.
El número de horas extraordinarias no podrá ser superior a ochenta al año, salvo lo previsto en el apartado 3 del artículo 35 del Estatuto de los Trabajadores.
Las horas extraordinarias se abonarán, desde la fecha de publicación del presente convenio en el Boletín Oficial de la Provincia hasta el 31.12.2023, en la cuantía establecida en la Tabla Salarial para cada categoría profesional sin revisión (Anexo I). En los años 2024 y 2025, esta cuantía se incrementará en los mismos porcentajes y, en su caso revisiones, fijados para los salarios en el artículo 15.
La Dirección de la empresa informará mensualmente al Comité de Empresa o Delegado de Personal del número de horas extraordinarias realizadas mediante relación nominal de las mismas con indicación, en su caso, de las estructurales.
Artículo 26º. – Gratificaciones extraordinarias.
Los trabajadores comprendidos en este Convenio percibirán dos gratificaciones extraordinarias, Julio y Diciembre, en la cuantía de treinta días de salario base, plus convenio y antigüedad para cada categoría profesional. Debiéndose hacerse efectivas en la primera quincena de julio y el día 15 de diciembre, respectivamente.
Estas gratificaciones serán concedidas en proporción al tiempo trabajado más los periodos de IT con complemento de empresa, prorrateándose cada una de ellas por semestres naturales del año en que se otorguen.
Previo acuerdo de empresa y trabajadores y para la totalidad de la plantilla, podrá procederse a su abono prorrateándolas en las doce mensualidades.
Artículo 27º. – Dietas.
Todos los trabajadores que, por necesidad de la empresa y orden de la misma, tengan que efectuar viajes o desplazamientos a poblaciones distintas en la que radique la empresa, tendrán derecho a la percepción de una dieta por el siguiente importe:
Desde la fecha de publicación del presente convenio en el Boletín Oficial de la Provincia hasta el 31.12.2023: 55,53 euros. Con la revisión, en su caso, fijada para los salarios en el artículo 15.
Si los trabajos se efectuaran de forma tal, que el trabajador sólo tenga que realizar fuera del lugar habitual la comida de mediodía, percibirá media dieta en cuantía de 15,86 euros, desde la fecha de publicación del presente convenio en el Boletín Oficial de la Provincia hasta el 31.12.2023. Con la revisión, en su caso, fijada para los salarios en el artículo 15.
En los años 2024 y 2025, estas dietas se incrementarán en los mismos porcentajes y, en su caso revisiones, fijados para los salarios en el artículo 15.
La empresa anticipará al trabajador las cantidades correspondientes a los días de desplazamiento, salvo otro sistema instaurado en la empresa con acuerdo entre las partes.
Los días de salida devengarán idéntica dieta y los de llegada quedarán reducidas a la mitad cuando el interesado pernocte en su domicilio, a menos que hubiera de efectuar fuera las dos comidas principales.
Los viajes de ida/vuelta serán siempre por cuenta de la empresa, que vendrá obligada a facilitar billete de primera clase a todas las categorías.
Si por circunstancias especiales los gastos originados por el desplazamiento sobrepasan el importe de las dietas, el exceso, deberá ser abonado por la empresa, previo conocimiento de la misma y posterior justificación por los trabajadores.
No se adquiere derecho a dieta cuando los trabajos se lleven a cabo en locales pertenecientes a la misma industria, en que no se presten servicios habituales, si no están situados a distancia que excede de tres Kilómetros de la localidad donde esté enclavada la industria. Aun cuando exceda de dicha distancia, no se devengarán dietas cuando la localidad en que se vaya a prestar eventualmente trabajo resulte ser la residencia del trabajador, siempre que independientemente de esta circunstancia no se le ocasione perjuicio económico determinado.
En los casos en que los trabajos se realicen en locales que no sean habituales, la empresa ha de abonar siempre los gastos de locomoción o proporcionar los medios adecuados de desplazamiento.
Artículo 28º. – Desplazamientos.
El importe del kilometraje de los desplazamientos que el trabajador realizara al servicio de la empresa en vehículo propio, para cuya utilización se requerirá mutuo acuerdo de las partes, se fija en 0,36 euros/kilometro desde la fecha de publicación del presente convenio en el Boletín Oficial de la Provincia hasta el 31.12.2023, con la revisión, en su caso, fijada para los salarios en el artículo 15.
En los años 2024 y 2025, este importe se incrementará en los mismos porcentajes y, en su caso revisiones, fijados para los salarios en el artículo 15.
En las empresas que por su actividad hubieran de efectuar sus trabajadores desplazamientos, el cómputo de la jornada para los mismos se iniciará en el momento de la llegada al tajo del vehículo que transporte el personal, y se terminará en el puesto de trabajo.
Siempre que no exista otro acuerdo entre la empresa y los trabajadores, se abonará por la empresa el equivalente a una sola hora sencilla de trabajo cuando el tiempo invertido en los medios de locomoción exceda de una hora y no supere las dos entre ida y vuelta, lo que supera las dos horas se abonará a prorrata del valor hora sencilla de trabajo. Cuando no exceda de una hora entre ida y vuelta, no se abonará el tiempo de desplazamiento. El tiempo de desplazamiento no computa a efectos de jornada.
Cuando el desplazamiento se realice a una distancia superior a cien kilómetros, o en distancias inferiores por circunstancias meteorológicas adversas, el trabajador tendrá la opción de volver a su domicilio o pernoctar en las condiciones establecidas en el artículo de dietas.
En caso de discrepancias en la aplicación de este artículo, se podrán plantear las mismas por los afectados ante la Comisión Paritaria del Convenio para su estudio y posible solución.
TITULO V.- ORDENACION DE LA JORNADA
Artículo 29º. – Jornada.
La jornada pactada en cómputo anual para cada uno de los años 2023, 2024 y 2025, es de mil setecientas cuarenta y cuatro horas de trabajo efectivo.
Artículo 30º. – Registro de jornada.
Las empresas garantizarán el registro diario de la jornada. Correspondiendo a cada empresa en los términos y tramitación contenidos en el art. 34.9 del Estatuto de los Trabajadores, la organización y documentación de ese registro de jornada.
Artículo 31º. – Calendarios y horarios.
Publicadas las fiestas de carácter nacional y local, dentro de los treinta días siguientes las empresas confeccionarán de forma obligatoria el calendario laboral que comprenderá el horario de trabajo, la distribución anual de los días de trabajo, festivos, descansos semanales o entre jornadas y otros días inhábiles, a tenor todo ello de la jornada máxima pactada.
Como anexo de este Convenio, la comisión paritaria confeccionará y publicará, dentro de los quince primeros días del año 2024 y 2025, un calendario laboral que tendrá carácter subsidiario, de aplicación exclusiva en aquellas empresas que no hubiesen confeccionado y expuesto el suyo propio en el plazo establecido en el párrafo primero de este artículo.
En señalado calendario subsidiario para los años 2024 y 2025, entre el número de días denominados de descanso convenio que se fijen, uno pasa a ser de libre elección por la persona trabajadora sin afectar ni disminuir la jornada anual pactada en el presente convenio. Día de libre elección que no podrá disfrutarse en la misma fecha por más del 10% de la plantilla de la empresa, debiendo hacerse la solicitud del mismo con al menos 7 días de anticipación.
Artículo 32º.- Flexibilidad.
La flexibilidad tendrá el límite previsto en la normativa vigente de aplicación, esto es, el 10% del total de horas previstas en el Convenio.
Para su aplicación se contemplan dos supuestos:
Aquel en el que concurren causas técnicas, económicas, de demanda u organizativas que hagan necesario la utilización de dicha flexibilidad en un plazo inferior a diez días; en ese supuesto el empresario notificará a la representación de los trabajadores este hecho con una antelación mínima de cinco días, especificando esas causas. De igual forma se comunicará a los trabajadores afectados como mínimo con cinco días de antelación.
Caso de no concurrir las anteriores circunstancias en el plazo anteriormente señalado, se procederá a negociar con la representación legal de los trabajadores, en el plazo máximo de tres días. Caso de no alcanzarse acuerdo se someterá a arbitraje que se resolverá en el plazo máximo de siete días. Este arbitraje se realizará ante el órgano público correspondiente.
La regularización de la jornada anual se producirá en el año natural, salvo aquellas diferencias que se hubieran producido en el segundo semestre del año, que podrán compensarse hasta el 30 de junio del año siguiente.
Artículo 33º. – Vacaciones.
El período de vacaciones anuales retribuido no sustituibles por compensación económica será como mínimo de treinta días naturales en el año 2023, iniciándose en día laborable.
En los años 2024 y 2025, el período de vacaciones anuales retribuido no sustituibles por compensación económica será como mínimo de veintidós días laborables.
El periodo de su disfrute se fijará de común acuerdo entre el empresario, los representantes de los trabajadores o el trabajador que también podrá convenir en la división en dos del período total.
Salvo otro acuerdo entre empresa y trabajador, al menos la mitad de las vacaciones anuales se disfrutarán del 21 de junio a 21 de septiembre con excepción del sector de climatización.
Por acuerdo entre el empresario y los representantes de los trabajadores se podrán fijar los períodos de vacaciones de todo el personal, ya sea en turnos organizados sucesivamente, ya sean con la suspensión total de actividades laborales, sin más excepciones que las tareas de conservación, reparación o similares.
Si existiese desacuerdo entre las partes, la Jurisdicción competente dictará la fecha que para el disfrute corresponda.
El calendario de vacaciones se fijará en cada empresa. El trabajador conocerá las fechas que le corresponden, dos meses y medio antes, al menos, del comienzo del disfrute y con, al menos, un mes de antelación al inicio de las vacaciones la empresa entregará al trabajador documento acreditativo de las fechas de disfrute de las mismas cuya recepción deberá ser firmado, igualmente, por el trabajador.
Cuando el período de vacaciones fijado en el calendario de vacaciones de la empresa al que se refiere el párrafo anterior coincida en el tiempo con una incapacidad temporal derivada del embarazo, el parto o la lactancia natural o con el período de suspensión del contrato de trabajo previsto en el artículo 48 del Estatuto de los Trabajadores, se tendrá derecho a disfrutar las vacaciones en fecha distinta a la de la incapacidad temporal o a la del disfrute del permiso que por aplicación de dicho precepto le correspondiera, al finalizar el período de suspensión, aunque haya terminado el año natural a que correspondan.
En el supuesto de que el período de vacaciones coincida con una incapacidad temporal por contingencias distintas a las señaladas en el párrafo anterior que imposibilite al trabajador disfrutarlas, total o parcialmente, durante el año natural a que corresponden, el trabajador podrá hacerlo una vez finalice su incapacidad y siempre que no hayan transcurrido más de dieciocho meses a partir del final del año en que se hayan originado.
En lo no previsto de forma específica en este artículo, se estará a lo dispuesto en la legislación aplicable sobre la materia.
TITULO VI.- DERECHOS SINDICALES Y REGIMEN DE INFORMACION Y CONSULTA EN LAS RELACIONES LABORALES
Artículo 34º. – De los Sindicatos.
Las partes firmantes ratifican una vez más su condición de interlocutores válidos y se reconocen asimismo como tales, en orden a instrumentar a través de sus organizaciones unas relaciones laborales racionales, basadas en el respeto mutuo, tendentes a facilitar la resolución de cuantos conflictos y problemas suscite nuestra dinámica social. En tal sentido para la resolución de cuantos conflictos pudieran surgir, las partes instrumentarán las medidas o mecanismos que fueren necesarios para la resolución de los conflictos en el menor espacio de tiempo posible.
La parte económica admite la conveniencia de que todas empresas afiliadas a su organización consideren a todos los Sindicatos debidamente implantados, como elementos básicos y consustánciales para afrontar a través de ellos las necesarias relaciones entre trabajadores y empresarios. Todo ello sin demérito de las atribuciones conferidas por la Ley y desarrolladas por los presentes acuerdos a los Comités de Empresa y Delegados de Personal. Las empresas respetarán el derecho de todos los trabajadores a sindicarse libremente, admitirán que los afiliados al Sindicato puedan celebrar reuniones, recaudar cuotas y distribuir información sindical fuera de la hora de trabajo, no podrán supeditar el empleo de un trabajador a la condición de que se afilie o renuncie a su afiliación sindical, y tampoco despedir a un trabajador o perjudicarle de cualquier otra forma a causa de su afiliación sindical.
Artículo 35º. – Comité de Empresa y Delegados de Personal.
Los Comités de Empresa y Delegados de Personal son el órgano representativo, colectivo y unitario de todos los trabajadores del centro de trabajo o de la empresa, tiene como fundamental misión la defensa de los intereses de sus representados, así como la negociación y representación de los trabajadores ante el empresario y, en su caso, ante la Administración Local, Provincial o del Estado. Teniendo reconocidas en su empresa las competencias, funciones y garantías a que se refieren los artículos 62 al 68 del Estatuto de los Trabajadores En las empresas en que la elección de los miembros del Comité se haya efectuado por el sistema de listas cerradas, cada sindicato presente en el mismo podrá destituir a aquél miembro del comité que haya causado baja en la central sindical por la que fue elegido, y designar en su caso al trabajador que le haya de sustituir y que le corresponda según el orden de la candidatura presentada y recogida en las actas de las elecciones sindicales en la empresa.
Artículo 36º. – Garantías de los Comités de Empresa, Delegados de Personal y Secciones Sindicales.
1º- Disponer de un crédito de horas mensuales retribuidas cada uno de los miembros del Comité o Delegados de Personal en cada centro de trabajo para el ejercicio de sus funciones de representación, de acuerdo con la escala contenida en el artículo 68 e) del Estatuto de los Trabajadores.
Pudiendo acumular individualmente en un mismo mes el crédito horario correspondiente a dos meses con el fin de participar en cursos de formación. La utilización de las citadas horas deberá acreditarse por los Sindicatos u Organismos donde se realice la formación.
En las empresas de cincuenta o más trabajadores se podrá producir la acumulación mensual de horas sindicales.
2º.- Las empresas pondrán a la libre utilización de los Delegados y Comités de Empresa tablones para anuncios e informaciones laborales sindicales. En las empresas o centros de trabajo, siempre que sus características lo permitan, se pondrá a disposición de aquellos un local adecuado en el que puedan desarrollar sus actividades y comunicarse con los trabajadores.
3º- Los Delegados de Personal y miembros del Comité de Empresa podrán informar a los trabajadores fuera de las horas de trabajo.
4º- Los representantes sindicales que participen en las comisiones negociadoras de convenios colectivos manteniendo su vinculación como trabajador en activo en alguna empresa tendrán derecho a la concesión de los permisos retribuidos que sean necesarios para el adecuado ejercicio de su labor como negociadores, siempre que la empresa esté afectada por la negociación.
5º.- En las empresas que ocupen a más de 250 trabajadores, cualquiera que sea la clase de su contrato, las Secciones Sindicales que puedan constituirse por los trabajadores afiliados a los sindicatos con presencia en los comités de empresa estarán representadas, a todos los efectos por delegados sindicales elegidos por y entre sus afiliados en la empresa o en el centro de trabajo. El número de delegados sindicales por cada sección sindical de los sindicatos que hayan obtenido el 10 por 100 de los votos en la elección al Comité de Empresa se determinará según la escala contenida en al artículo 10.2 de la LOLS.
Estos delegados sindicales, en el supuesto de que no formen parte del comité de empresa, tendrán las mismas garantías que las establecidas legalmente para los miembros de los comités de empresa.
6º.- La empresa pondrá a disposición de las Secciones Sindicales de los sindicatos más representativos y de los que tengan representación en los comités de empresa o cuenten con delegados de personal, un tablón de anuncios con la finalidad de facilitar la difusión de aquellos avisos que puedan interesar a los afiliados al sindicato y a los trabajadores en general, teniendo derecho, igualmente, en aquellas empresas con más de 250 trabajadores a la utilización de un local adecuado en el que puedan desarrollar sus actividades.
7º.- La remuneración de los representantes legales de los trabajadores en la empresa, así como la de los Delegados Sindicales a que se refiere el número anterior, no sufrirán merma alguna cuando desempeñen sus funciones.
En todo lo no previsto para esta materia en el presente artículo se estará a lo dispuesto en la legislación vigente en cada momento.
Artículo 37º. – De los Asesores Sindicales.
Previa autorización de la empresa, los Asesores Técnicos de las Centrales Sindicales con implantación mínima de un diez por ciento, tendrán acceso a las mismas a efectos de asesorar a los Delegados de Personal o Comités de Empresa en los casos de expedientes de regulación de empleo y de conflicto colectivo.
TITULO VII.- REGIMEN DISCIPLINARIO
Artículo 38º. Criterios generales.
1. Las empresas podrán sancionar, como falta laboral, las acciones u omisiones que supongan infracciones o incumplimientos laborales de las personas trabajadoras, de acuerdo con la graduación de las faltas que se establece en los artículos siguientes.
2. La sanción de las faltas requerirá comunicación por escrito a la persona trabajadora, haciendo constar la fecha y los hechos que la motivaron.
3. La empresa dará cuenta a los representantes legales de los trabajadores y, en su caso, a la representación sindical cuando afecte a sus afiliados, y el empresario tenga conocimiento de dicha afiliación, de toda sanción por falta grave y muy grave que se imponga.
4. Impuesta la sanción, el cumplimiento temporal de la misma solo se podrá dilatar hasta 60 días naturales después de la firmeza de la sanción.
En caso de no impugnación, el plazo será de noventa días naturales, contados a partir de la fecha de la imposición de la sanción.
5. Las faltas se clasificarán en atención a su trascendencia o intención en leve, grave o muy grave.
6. Las sanciones siempre podrán ser impugnadas por la persona trabajadora ante la jurisdicción competente, dentro de los veinte días hábiles siguientes a su imposición, conforme a lo previsto en la legislación vigente.
7. En los casos de acoso y de abuso de autoridad, con carácter previo a la imposición de la sanción, se seguirá el procedimiento previsto en el artículo 68 del presente convenio.
Artículo 39º. Faltas leves.
Se considerarán faltas leves las siguientes:
a) La impuntualidad no justificada, en la entrada o en la salida del trabajo, de hasta tres ocasiones en un período de un mes.
b) La inasistencia injustificada de un día al trabajo en el período de un mes.
c) No notificar con carácter previo, o en su caso, dentro de las veinticuatro horas siguientes, la inasistencia al trabajo, salvo que se pruebe la imposibilidad de haberlo podido hacer.
d) El abandono del servicio o del puesto de trabajo sin causa justificada por períodos breves de tiempo.
e) Los deterioros leves en la conservación o en el mantenimiento de los equipos y material de trabajo de los que se fuera responsable.
f) La desatención o falta de corrección en el trato con los clientes o proveedores de la empresa.
g) Discutir de forma inapropiada con el resto de la plantilla, clientes o proveedores dentro de la jornada de trabajo.
h) No comunicar a la empresa los cambios de residencia o domicilio, siempre que éstos puedan ocasionar algún tipo de conflicto o perjuicio a sus compañeros o a la empresa.
i) No comunicar en su debido momento los cambios sobre datos familiares o personales que tengan incidencia en la Seguridad Social o en la Administración Tributaria, siempre que no se produzca perjuicio a la empresa.
j) Todas aquellas faltas que supongan incumplimiento de prescripciones, órdenes o mandatos de quien se dependa, orgánica o jerárquicamente en el ejercicio regular de sus funciones, que no comporten perjuicios o riesgos para las personas o las cosas.
k) La inasistencia a los cursos de formación teórica o práctica, dentro de la jornada ordinaria de trabajo, sin la debida justificación.
l) La embriaguez o consumo de drogas no habitual en el trabajo.
m) Incumplir la prohibición expresa de fumar en el centro de trabajo.
n) El incumplimiento de las obligaciones previstas en el artículo 29 de la Ley de Prevención de Riesgos Laborales, siempre que pueda entrañar algún riesgo, aunque sea leve, para sí mismo, para el resto de plantilla o terceras personas.
Artículo 40º. Faltas graves.
Se consideran faltas graves las siguientes:
a) La impuntualidad no justificada en la entrada o en la salida del trabajo en más de tres ocasiones en el período de un mes.
b) La inasistencia no justificada al trabajo de dos días consecutivos o de cuatro alternos, durante el período de un mes.
Bastará una sola falta al trabajo, cuando esta afectara al relevo de un compañero/a o si como consecuencia de la inasistencia, se ocasionase perjuicio de alguna consideración a la empresa.
c) El falseamiento u omisión maliciosa de los datos que tuvieran incidencia tributaria o en la Seguridad Social.
d) La utilización de los medios informáticos propiedad de la empresa (correo electrónico, internet, intranet, etc.), para fines distintos de los relacionados con el contenido de la prestación laboral, cuando del tiempo empleado en esta utilización pueda inferirse una dejación o abandono de funciones inherentes al trabajo. Las empresas establecerán mediante negociación con los representantes de los trabajadores, un protocolo de uso de dichos medios informáticos.
e) El abandono del servicio o puesto de trabajo sin causa justificada y aún por breve tiempo, si a consecuencia del mismo se ocasionase un perjuicio a la empresa y/o a la plantilla.
f) La falta de aseo y limpieza personal que produzca quejas justificadas de los compañeros de trabajo y siempre que previamente hubiera mediado la oportuna advertencia por parte de la empresa.
g) Suplantar o permitir ser suplantado, alterando los registros y controles de entrada o salida al trabajo.
h) La desobediencia a las instrucciones de las personas de quien se dependa orgánica y/o jerárquicamente en el ejercicio de sus funciones en materia laboral. Se exceptuarán aquellos casos en los que implique, para quien la recibe, un riesgo para la vida o la salud, o bien, sea debido a un abuso de autoridad.
i) La negligencia, o imprudencia, en el trabajo que afecte a la buena marcha del mismo, siempre que de ello no se derive perjuicio grave para la empresa o comportase riesgo de accidente para las personas.
j) La realización sin previo consentimiento de la empresa de trabajos particulares, durante la jornada de trabajo, así como el empleo para usos propios o ajenos de los útiles, herramientas, maquinaria o vehículos de la empresa, incluso fuera de la jornada de trabajo.
k) La reincidencia en la comisión de falta leve (excluida la falta de puntualidad), aunque sea de distinta naturaleza, dentro de un trimestre y habiendo mediado sanción.
l) Las ofensas puntuales verbales o físicas, así como las faltas de respeto a la intimidad o dignidad de las personas por razón de sexo, orientación o identidad sexual, de nacimiento, origen racial o étnico, religión, convicción u opinión, edad, discapacidad, enfermedad, lengua o cualquier otra condición o circunstancia personal o social.
m) La embriaguez o el estado derivado del consumo de drogas aun siendo ocasional, si repercute negativamente en su trabajo o constituye un riesgo en el nivel de protección de la seguridad y salud propia y del resto de las personas.
n) El incumplimiento de las obligaciones previstas en el artículo 29 de la Ley de Prevención de Riesgos Laborales, cuando tal incumplimiento origine riesgos y daños graves para la seguridad y salud de las personas trabajadoras.
Artículo 41º. Faltas muy graves.
Se considerarán faltas muy graves las siguientes:
a) La impuntualidad no justificada en la entrada o en la salida del trabajo en más de diez ocasiones durante el período de seis meses, o bien más de veinte en un año.
b) La inasistencia no justificada al trabajo durante tres o más días consecutivos o cinco alternos en un período de un mes.
c) El fraude, deslealtad o abuso de confianza en las gestiones encomendadas y el hurto o robo, tanto a sus compañeros/as de trabajo como a la empresa o a cualquier otra persona dentro de las dependencias de la empresa, o durante el trabajo en cualquier otro lugar.
d) La simulación de enfermedad o accidente. Se entenderá que existe infracción laboral, cuando encontrándose en baja la persona trabajadora por cualquiera de las causas señaladas, realice trabajos de cualquier índole por cuenta propia o ajena. También tendrá la consideración de falta muy grave toda manipulación efectuada para prolongar la baja por accidente o enfermedad.
e) El abandono del servicio o puesto de trabajo, así como del puesto de mando y/o responsabilidad sobre las personas o los equipos, sin causa justificada, si como consecuencia del mismo se ocasionase un grave perjuicio a la empresa, a la plantilla, pusiese en grave peligro la seguridad o fuese causa de accidente.
f) La realización de actividades que impliquen competencia desleal a la empresa.
g) La disminución voluntaria y continuada en el rendimiento del trabajo normal o pactado.
h) Las riñas, los malos tratos de palabra u obra, la falta de respeto y consideración a cualquier persona relacionada con la empresa, en el centro de trabajo.
i) Violación de los secretos de obligada confidencialidad, el de correspondencia o documentos reservados de la empresa, debidamente advertida, revelándolo a personas u organizaciones ajenas a la misma, cuando se pudiera causar perjuicios graves a la empresa.
j) La negligencia, o imprudencia en el trabajo que cause accidente grave, siempre que de ello se derive perjuicio grave para la empresa o comporte accidente para las personas.
k) La reincidencia en falta grave, aunque sea de distinta naturaleza, siempre que las faltas se cometan en el período de dos meses y haya mediado sanción.
l) La desobediencia a las instrucciones de las personas de quien se dependa orgánica y/o jerárquicamente en el ejercicio de sus funciones, en materia laboral, si implicase un perjuicio muy grave para la empresa o para el resto de la plantilla, salvo que entrañe riesgo para la vida o la salud de éste, o bien sea debido a abuso de autoridad.
m) Acoso sexual: constituirá acoso sexual cualquier comportamiento, verbal o físico, de naturaleza sexual que tenga el propósito o produzca el efecto de atentar contra la dignidad de una persona, en particular cuando se crea un entorno intimidatorio, degradante u ofensivo. Constituirá acoso por razón de sexo cualquier comportamiento realizado en función del sexo de una persona, con el propósito o efecto de atentar contra su dignidad y de crear un entorno intimidatorio, degradante u ofensivo.
Este acoso por parte de los compañeros o superiores jerárquicos tendrá la consideración de falta muy grave, en atención a los hechos y las circunstancias que concurran.
n) Acoso moral: se entenderá por acoso moral toda conducta, practica o comportamiento, realizada de forma intencionada, sistemática y prolongada en el tiempo en el seno de una relación de trabajo, que suponga directo o indirectamente un menoscabo o atentado contra la dignidad de la persona trabajadora, al cual se intenta someter emocional y psicológicamente de forma violenta u hostil y que persiga anular su capacidad, promoción profesional o su permanencia en el puesto de trabajo, afectando negativamente al entorno laboral. Tales conductas revestirán una especial gravedad cuando vengan motivadas por el origen racial o étnico, religión o convicciones, discapacidad, edad u orientación y/o diversidad sexual. Este acoso por parte de compañeros o superiores jerárquicos tendrá la consideración de falta muy grave, en atención a los hechos y las circunstancias que concurran.
o) El acoso por razón de origen racial o étnico, sexo, religión o convicciones, discapacidad, edad u orientación sexual.
Entendiendo por tal, cualquier conducta realizada en función de alguna de estas causas de discriminación, con el objetivo o consecuencia de atentar contra la dignidad de una persona y de crear un entorno intimidatorio, hostil, degradante, humillante, ofensivo o segregador.
p) El incumplimiento de las obligaciones previstas en el artículo 29 de la Ley de Prevención de Riesgos Laborales, siempre que de tal incumplimiento se derive un accidente laboral grave para sí mismo, para sus compañeros o terceras personas.
q) El abuso de autoridad: tendrán tal consideración los actos realizados por personal directivo, puestos de jefatura o mandos intermedios, con infracción manifiesta y deliberada a los preceptos legales, y con perjuicio para la persona trabajadora.
Artículo 42º. Sanciones.
Las sanciones máximas que podrán imponerse por la comisión de las faltas señaladas son las siguientes:
a) Por faltas leves: Amonestación por escrito.
b) Por faltas graves:
Amonestación por escrito.
Suspensión de empleo y sueldo de dos a veinte días.
c) Por faltas muy graves:
Amonestación por escrito.
Suspensión de empleo y sueldo de veintiuno a sesenta días.
Despido.
Artículo 43º. Prescripción.
Dependiendo de su graduación, las faltas prescriben a los siguientes días: a) Faltas leves: diez días.
b) Faltas graves: veinte días.
c) Faltas muy graves: sesenta días.
La prescripción de las faltas señaladas empezará a contar a partir de la fecha en que la empresa tuvo conocimiento de su comisión y, en todo caso, a los seis meses de haberse cometido.
Artículo 44º. Procedimiento específico para la prevención y para dar cauce a las denuncias o reclamaciones contra la libertad sexual y la integridad moral en el trabajo.
1. Las empresas promoverán condiciones de trabajo que eviten la comisión de delitos y otras conductas contra la libertad sexual y la integridad moral en el trabajo, incidiendo especialmente en el acoso sexual y el acoso por razón de sexo, en los términos previstos en el artículo 48 de la Ley Orgánica 3/2007, de 22 de marzo, para la igualdad efectiva de mujeres y hombres, incluidos los cometidos en el ámbito digital.
Con esta finalidad se podrán establecer medidas que deberán negociarse con los representantes de los trabajadores, tales como la elaboración y difusión de códigos de buenas prácticas, la realización de campañas informativas o acciones de formación. Debiendo los representantes de los trabajadores contribuir a prevenir la comisión de delitos y otras conductas contra la libertad sexual y la integridad moral en el trabajo, con especial atención al acoso sexual y el acoso por razón de sexo, incluidos los cometidos en el ámbito digital, mediante la sensibilización de los trabajadores y trabajadoras frente al mismo y la información a la dirección de la empresa de las conductas o comportamientos de que tuvieran conocimiento y que pudieran propiciarlo.
2. Protocolo de actuación.
Las denuncias o reclamaciones que puedan formularse frente a estas conductas, incluyendo específicamente las sufridas en el ámbito digital, dará lugar a la inmediata apertura de expediente informativo por parte de la Dirección de la empresa, para la que se creará una comisión de no más de 2 personas, y si así lo solicita la persona afectada, podría ampliarse a una tercera persona más, miembro de la representación legal de los trabajadores, con la debida formación en estas materias, especialmente encaminado a averiguar los hechos e impedir la continuidad de la conducta denunciada, para lo que se articularán las medidas oportunas al efecto.
Se pondrá en conocimiento inmediato de la representación legal de los trabajadores la situación planteada, que podrá requerir que dicha representación esté presente en todo el procedimiento.
En las averiguaciones a efectuar, se dará trámite de audiencia a todos los intervinientes, practicándose cuantas diligencias puedan considerarse conducentes a la aclaración de los hechos acaecidos.
Este proceso se sustanciará en un plazo máximo de diez días. Durante el mismo, se guardará absoluta confidencialidad y reserva, por afectar directamente a la intimidad y honorabilidad de las personas.
La constatación de la existencia de estas conductas en el caso denunciado dará lugar, entre aquellas otras medidas que legalmente procedan y siempre que el sujeto activo se halle dentro del ámbito de dirección y organización de la empresa, a la imposición de una sanción conforme a la calificación establecida en el régimen disciplinario.
Las personas que realicen las diligencias no podrán tener relación de dependencia directa o parentesco con cualquiera de las partes, ni tener el carácter de persona denunciada o denunciante.
A la finalización del expediente informativo de la investigación se dará copia a los intervinientes.
Durante la tramitación del expediente informativo se podrán adoptar las medidas cautelares que se consideren necesarias, que permitan separar a la persona denunciante y denunciada, sin menoscabo de sus condiciones laborales.
TITULO VIII.- SEGURIDAD, SALUD Y PREVENCION DE RIESGOS.
Artículo 45º.- Seguridad y Salud.
Seguirá en vigor la Comisión de Seguridad y Salud de carácter paritario creada para el seguimiento y evaluación de la aplicación de la Ley de Prevención de Riesgos Laborales y las normas complementarias en el ámbito del Convenio. La cual podrá tomar los acuerdos necesarios para favorecer y velar por el cumplimiento de la Ley. A esta Comisión se podrá acudir con los técnicos que se considere oportuno, que tendrán voz, pero no voto, rigiéndose por el reglamento de funcionamiento publicado en el Boletín Oficial de la Provincia de 28 de junio de 2000 con las modificaciones que se acuerden entre las partes.
1.- OBJETIVOS.
Ambas partes manifiestan la voluntad de realizar todo lo que en sus manos esté para mejorar las condiciones de trabajo del personal incluido en el ámbito funcional del presente Convenio.
Por ello creen conveniente incluir los siguientes aspectos que a continuación se desarrollan.
2.- MARCO NORMATIVO.
Partiendo de lo establecido en la Constitución Española y en las disposiciones específicas contenidas en el Estatuto de los Trabajadores, el marco legal en materia de Seguridad y Salud será el formado por la Ley 31/1995, de 8 de noviembre, de Prevención de Riesgos Laborales y la normativa que desarrolla dicha ley, en especial y con carácter general, el Reglamento de los Servicios de Prevención, aprobado por el R.D. 39/1997, de 17 de enero.
3.- OBLIGACIONES DE LA EMPRESA.
La Empresa, asumiendo todas sus obligaciones en materia preventiva, mantendrá una política activa de prevención de riesgos de sus trabajadores, mediante la aplicación y desarrollo de su ya existente sistema de gestión para la prevención de riesgos laborales. Ello comprende, fundamentalmente:
Revisar, cuando sea necesario la evaluación inicial de riesgos laborales.
Planificar la actividad preventiva a raíz de dicha revisión.
Consultar, comunicar, formar e informar a los trabajadores que les afecte dicha planificación.
Seguimiento de las actuaciones que se realicen.
Evaluar y perseguir el cumplimiento de dicho sistema de gestión.
Para cumplir con lo establecido en la Ley de Prevención de Riesgos Laborales y con el deber de protección del empresario se adoptarán todas las medidas que sean oportunas para facilitar a los trabajadores, a través de sus representantes, información relativa a:
Los riesgos para la seguridad y la salud de los trabajadores en el trabajo, tanto aquellos que afecten a la empresa en su conjunto como a cada tipo de puesto de trabajo o función, a través de la evaluación de los riesgos laborales.
Las medidas y actividades de protección y prevención aplicables a los riesgos señalados en el apartado anterior, a través del plan de prevención.
Las medidas de emergencia a través de un plan de emergencia.
Datos sobre el absentismo en la empresa.
Plan de Formación.
Relación de Accidentes de Trabajo.
Se deberá informar directamente a cada trabajador de los riesgos específicos que afecten a su puesto de trabajo o función y de las medidas de protección y prevención aplicables a dichos riesgos.
4.- OBLIGACIONES DE LOS TRABAJADORES.
1. Corresponde a cada trabajador velar, según sus posibilidades y mediante el cumplimiento de las medidas de prevención que en cada caso sean adoptadas, por su propia seguridad y salud en el trabajo y por la de aquellas otras personas a las que pueda afectar su actividad profesional, a causa de sus actos y omisiones en el trabajo, de conformidad con su formación y las instrucciones del empresario.
2. Los trabajadores, con arreglo a su formación y siguiendo las instrucciones del empresario, deberán en particular:
1. º Usar adecuadamente, de acuerdo con su naturaleza y los riesgos previsibles, las máquinas, aparatos, herramientas, sustancias peligrosas, equipos de transporte y, en general, cualesquiera otros medios con los que desarrollen su actividad.
2. º Utilizar correctamente los medios y equipos de protección facilitados por el empresario, de acuerdo con las instrucciones recibidas de éste.
3. º No poner fuera de funcionamiento y utilizar correctamente los dispositivos de seguridad existentes o que se instalen en los medios relacionados con su actividad o en los lugares de trabajo en los que ésta tenga lugar.
4.º Informar de inmediato a su superior jerárquico directo, y a los trabajadores designados para realizar actividades de protección y de prevención o, en su caso, al servicio de prevención, acerca de cualquier situación que, a su juicio, entrañe, por motivos razonables, un riesgo para la seguridad y la salud de los trabajadores.
5. º Contribuir al cumplimiento de las obligaciones establecidas por la autoridad competente con el fin de proteger la seguridad y la salud de los trabajadores en el trabajo.
6. º Cooperar con el empresario para que éste pueda garantizar unas condiciones de trabajo que sean seguras y no entrañen riesgos para la seguridad y la salud de los trabajadores.
3. El incumplimiento por los trabajadores de las obligaciones en materia de prevención de riesgos a que se refieren los apartados anteriores tendrá la consideración de incumplimiento laboral a los efectos previstos en el artículo 58.1 del Estatuto de los Trabajadores.
5.- CONSULTA DE LOS TRABAJADORES.
El empresario deberá consultar a los trabajadores, con la debida antelación, la adopción de las decisiones relativas a:
La planificación y la organización del trabajo en la empresa y la introducción de nuevas tecnologías, en todo lo relacionado con las consecuencias que éstas pudieran tener para la seguridad y la salud de los trabajadores, derivadas de la elección de los equipos, la determinación y la adecuación de las condiciones de trabajo y el impacto de los factores ambientales en el trabajo.
La organización y desarrollo de las actividades de protección de la salud y prevención de los riesgos profesionales en la empresa, incluida la designación de los trabajadores encargados de dichas actividades o el recurso a un servicio de prevención externo.
La designación de los trabajadores encargados de las medidas de emergencia.
Los procedimientos de información y documentación a que se refieren los artículos 18, apartado 1. Y 23, apartado 1, de la Ley de Prevención de Riesgos Laborales.
El proyecto y la organización de la formación en materia preventiva.
Cualquier otra acción que pueda tener efectos substanciales sobre la seguridad y la salud de los trabajadores.
En las empresas que cuenten con representantes de los trabajadores, las consultas a que se refiere el apartado anterior se llevarán a cabo con dichos representantes.
6.- PARTICIPACIÓN DE LOS TRABAJADORES.
Los trabajadores tienen derecho a participar en la empresa en las cuestiones relacionadas con la prevención de riesgos en el trabajo.
En las empresas o centros de trabajo que cuenten con seis o más trabajadores, la participación de éstos se canalizará a través de sus representantes y de la representación especializada que se regula en el capítulo V de la Ley de Prevención de Riesgos Laborales.
A.- Competencias y facultades de los Delegados de Prevención Son competencias de los Delegados de Prevención:
Colaborar con la dirección de la empresa en la mejora de la acción preventiva.
Promover y fomentar la cooperación de los trabajadores en la ejecución de la normativa sobre prevención de riesgos laborales.
Ser consultados por el empresario, con carácter previo a su ejecución, acerca de las decisiones a que se refiere el artículo 33 de la Ley.
Ejercer una labor de vigilancia y control sobre el cumplimiento de la normativa de prevención de riesgos laborales.
En las empresas que, de acuerdo con lo dispuesto en el apartado 2 del artículo 38 de la Ley, no cuenten con Comité de Seguridad y Salud por no alcanzar el número mínimo de trabajadores establecido al efecto, las competencias atribuidas a aquél en la presente Ley serán ejercidas por los Delegados de Prevención.
En el ejercicio de las competencias atribuidas a los Delegados de Prevención, éstos estarán facultados para:
Acompañar a los técnicos en las evaluaciones de carácter preventivo del medio ambiente de trabajo, así como, en los términos previstos en el artículo 40 de la Ley, a los Inspectores de Trabajo y Seguridad Social en las visitas y verificaciones que realicen en los centros de trabajo para comprobar el cumplimiento de la normativa sobre prevención de riesgos laborales, pudiendo formular ante ellos las observaciones que estimen oportunas.
Tener acceso, con las limitaciones previstas en el apartado 4 del artículo 22 de la Ley, a la información y documentación relativa a las condiciones de trabajo que sean necesarias para el ejercicio de sus funciones y, en particular, a la prevista en los artículos 18 y 23 de la Ley. Cuando la información esté sujeta a las limitaciones reseñadas, sólo podrá ser suministrada de manera que se garantice el respeto de la confidencialidad.
Ser informados por el empresario sobre los daños producidos en la salud de los trabajadores una vez que aquél hubiese tenido conocimiento de ellos, pudiendo presentarse, aún fuera de su jornada laboral, en el lugar de los hechos para conocer las circunstancias de los mismos.
Recibir del empresario las informaciones obtenidas por éste procedentes de las personas u órganos encargados de las actividades de protección y prevención en la empresa, así como de los organismos competentes para la seguridad y la salud de los trabajadores, sin perjuicio de lo dispuesto en el artículo 40 de la Ley en materia de colaboración con la Inspección de Trabajo y Seguridad Social.
Realizar visitas a los lugares de trabajo para ejercer una labor de vigilancia y control del estado de las condiciones de trabajo, pudiendo, a tal fin, acceder a cualquier zona de los mismos y comunicarse durante la jornada con los trabajadores, de manera que no se altere el normal desarrollo del proceso productivo.
Recabar del empresario la adopción de medidas de carácter preventivo y para la mejora de los niveles de protección de la seguridad y la salud de los trabajadores, pudiendo a tal fin efectuar propuestas al empresario, así como al Comité de Seguridad y Salud para su discusión en el mismo.
Proponer al órgano de representación de los trabajadores la adopción del acuerdo de paralización de actividades a que se refiere el apartado 3 del artículo 21.
Los informes que deban emitir los Delegados de Prevención a tenor de lo dispuesto en la letra c) del apartado 1 de este artículo deberán elaborarse en un plazo de quince días, o en el tiempo imprescindible cuando se trate de adoptar medidas dirigidas a prevenir riesgos inminentes. Transcurrido el plazo sin haberse emitido el informe, el empresario podrá poner en práctica su decisión.
La decisión negativa del empresario a la adopción de las medidas propuestas por el Delegado de Prevención a tenor de lo dispuesto en la letra f) del apartado 2 deberá ser motivada
B.- Competencias y facultades de los Comités de Seguridad y Salud.
1.- El Comité de Seguridad y Salud tendrá las siguientes competencias:
Participar en la elaboración, puesta en práctica y evaluación de los planes y programas de prevención de riesgos en la empresa. A tal efecto, en su seno se debatirán, antes de su puesta en práctica y en lo referente a su incidencia en la prevención de riesgos, los proyectos en materia de planificación, organización del trabajo e introducción de nuevas tecnologías, organización y desarrollo de las actividades de protección y prevención a que se refiere el artículo 16 de la ley y proyecto y organización de la formación en materia preventiva.
Promover iniciativas sobre métodos y procedimientos para la efectiva prevención de los riesgos, proponiendo a la empresa la mejora de las condiciones o la corrección de las deficiencias existentes.
En el ejercicio de sus competencias, el Comité de Seguridad y Salud estará facultado para:
Conocer directamente la situación relativa a la prevención de riesgos en el centro de trabajo, realizando a tal efecto las visitas que estime oportunas.
Conocer cuántos documentos e informes relativos a las condiciones de trabajo sea necesarios para el cumplimiento de sus funciones, así como los procedentes de la actividad del servicio de prevención, en su caso.
Conocer y analizar los daños producidos en la salud o en la integridad física de los trabajadores, al objeto de valorar sus causas y proponer las medidas preventivas oportunas.
Conocer e informar la memoria y programación anual de servicios de prevención.
C.- Garantía y sigilo profesional de los Delegados de Prevención
El tiempo utilizado por los Delegados de Prevención para el desempeño de las funciones previstas en la Ley de Prevención de Riesgos Laborales será considerado como de ejercicio de funciones de representación a efectos de la utilización del crédito de horas mensuales retribuidas previsto en la letra e) del artículo 68 del Estatuto de los Trabajadores.
No obstante lo anterior, será considerado en todo caso como tiempo de trabajo efectivo, sin imputación al citado crédito horario, el correspondiente a las reuniones del Comité de Seguridad y Salud y a cualesquiera otras convocadas por el empresario en materia de prevención de riesgos, así como el destinado a las visitas previstas en las letras a) y c) del número 2 del artículo 36 de la Ley de Prevención de Riesgos Laborales.
El empresario deberá proporcionar a los Delegados de Prevención medios y la formación en materia preventiva que resulten necesarios para el ejercicio de sus funciones.
La formación se deberá facilitar por el empresario por sus propios medios o mediante concierto con organismos o entidades especializadas en la materia y deberá adaptarse a la evolución de los riesgos y a la aparición de otros nuevos, repitiéndose periódicamente si fuera necesario.
El tiempo dedicado a la formación será considerado como tiempo de trabajo a todos los efectos y su coste no podrá recaer en ningún caso sobre los Delegados de Prevención.
A los Delegados de Prevención les será de aplicación lo dispuesto en el apartado 2 del artículo 65 del Estatuto de los Trabajadores en cuanto al sigilo profesional debido respecto de las informaciones a que tuviesen acceso como consecuencia de su actuación en la empresa.
7.- SERVICIOS DE PREVENCIÓN
En cumplimiento del deber de prevención de riesgos profesionales, el empresario designará uno o varios trabajadores para ocuparse de dicha actividad, constituirá un servicio de prevención o concertará dicho servicio con una entidad especializada ajena a la empresa, consultando con los trabajadores la organización y el desarrollo de las actividades de protección de la salud y prevención de los riesgos profesionales en la empresa. Teniendo acceso los delegados de prevención con las limitaciones legales a la documentación relativa a las condiciones de trabajo que sean necesarias para el ejercicio de sus funciones.
8.- VIGILANCIA DE LA SALUD
El empresario garantizará a los trabajadores a su servicio la vigilancia periódica de su estado de salud en función de los riesgos inherentes al trabajo.
Esta vigilancia sólo podrá llevarse a cabo cuando el trabajador preste su consentimiento. De este carácter voluntario sólo se exceptuarán, previo informe de los representantes de los trabajadores, los supuestos en los que la realización de los reconocimientos sea imprescindible para evaluar los efectos de las condiciones de trabajo sobre la salud de los trabajadores o para verificar si el estado de salud del trabajador puede constituir un peligro para el mismo, para los demás trabajadores o para otras personas relacionadas con la empresa o cuando así esté establecido en una disposición legal en relación con la protección de riesgos específicos y actividades de especial peligrosidad.
En todo caso se deberá optar por la realización de aquellos reconocimientos o pruebas que causen las menores molestias al trabajador y que sean proporcionales al riesgo.
Las medidas de vigilancia y control de la salud de los trabajadores se llevarán a cabo respetando siempre el derecho a la intimidad y a la dignidad de la persona del trabajador y la confidencialidad de toda la información relacionada con su estado de salud.
Los resultados de la vigilancia a que se refiere el apartado anterior serán comunicados a los trabajadores afectados.
Los datos relativos a la vigilancia de la salud de los trabajadores no podrán ser usados con fines discriminatorios ni en perjuicio del trabajador.
El acceso a la información médica de carácter personal se limitará al personal médico y a las autoridades sanitarias que lleven a cabo la vigilancia de la salud de los trabajadores, sin que pueda facilitarse al empresario o a otras personas sin consentimiento expreso del trabajador.
No obstante, lo anterior, el empresario y las personas u órganos con responsabilidades en materia de prevención serán informados de las conclusiones que se deriven de los reconocimientos efectuados en relación con la aptitud del trabajador para el desempeño del puesto de trabajo o con la necesidad de introducir o mejorar las medidas de protección y prevención, a fin de que puedan desarrollar correctamente sus funciones en materia preventiva.
En los supuestos en que la naturaleza de los riesgos inherentes al trabajo lo haga necesario, el derecho de los trabajadores a la vigilancia periódica de su estado de salud deberá ser prolongado más allá de la finalización de la relación laboral, en los términos que reglamentariamente se determinen.
Las medidas de vigilancia y control de la salud de los trabajadores se llevarán a cabo por personal sanitario con competencia técnica, formación y capacidad acreditada.
9.- MEDIOAMBIENTE
En materia de medioambiente las empresas mantendrán, igualmente, una política activa en orden al mejor cumplimiento de la normativa vigente sobre el particular.
Las partes firmantes de este convenio, consideran necesario que las empresas y las personas trabajadoras actúen de forma responsable y respetuosa con el medio ambiente, reduciendo el impacto ambiental de la actividad y aplicando los principios de la economía circular. También consideran que la protección del medio ambiente es una garantía para el mantenimiento de la actividad y el empleo, comprometiéndose a movilizar todas sus capacidades técnicas, económicas, participativas y profesionales en el objetivo de lograr una transición ecológica justa y una mejor adaptación de los procesos productivos a las nuevas exigencias ambientales.
La protección del medio ambiente es un elemento fundamental para poder desarrollar de forma sostenible la actividad de la empresa y uno de los principios básicos de la responsabilidad social corporativa. Las partes firmantes de este Convenio impulsarán una mayor implicación de cuantos intervienen en el proceso productivo, al objeto de conseguir una eficiente gestión ambiental de la empresa.
Artículo 46º.- Prendas de Trabajo.
Las empresas proveerán a todos los trabajadores de dos equipamientos completos al año. Uno de ellos, al menos, en el primer trimestre del año o al momento de su contratación. Las cuestiones que puedan suscitarse sobre esta materia serán resueltas por la Inspección de Trabajo.
Se proveerá ropa de abrigo adecuada a quienes realicen trabajos a la intemperie, así como de ropa y calzado impermeable al personal que haya de realizar labores continuas a la intemperie en régimen de lluvia frecuente, así como también a los que hubieren de actuar en lugares notablemente encharcados o fangosos.
En los trabajos que requieran contacto con ácidos, se les dotará de ropa adecuada.
Dichas prendas y calzado sólo podrán ser usados para y durante la ejecución de las labores que se indican.
A los porteros, vigilantes, guardas, conserjes y chóferes se les proporcionará uniforme, calzado y prendas de abrigo e impermeables.
Al trabajador que realice su labor con gafas graduadas o necesitare cristales correctores, se le proporcionarán unas gafas de protección con la adecuada graduación óptica u otras que puedan ser superpuestas a las graduadas del propio interesado, siempre que en razón al trabajo que realice sufrieran o pudieran sufrir deterioro. Atendiendo el trabajo a realizar y su duración, se informará al respecto por los servicios de prevención, los delegados de prevención y, en su caso, el comité de seguridad y salud.
TITULO IX.- ADMINISTRACIÓN DE LOS ACUERDOS.
Artículo 47º. – Comisión Paritaria.
La Comisión Paritaria del Convenio será el órgano de interpretación, mediación, arbitraje y vigilancia de su cumplimiento. La Comisión Paritaria se compondrá de cuatro representantes de la parte empresarial y cuatro de los sindicatos, que serán para cada reunión los que determinen las respectivas organizaciones negociadoras del convenio con los asesores que cada parte quiera llevar.
Esta Comisión se reunirá a instancia de cualquiera de las organizaciones negociadoras, dentro de los cinco días siguientes a la petición formal. La Comisión, dependiendo del contenido de los asuntos tratados, emitirá un informe o resolución final, con acuerdo o sin acuerdo, dentro de los diez días naturales siguientes a la primera reunión, salvo otro plazo establecido específicamente en la Ley o en este convenio.
Las competencias específicas de la Comisión, serán:
Vigilancia de lo pactado, interpretación y aplicación de todas las materias de este convenio, arbitraje ante los problemas suscitados en el seno de una empresa sobre asuntos derivados del acuerdo o problemas individuales o colectivos, la resolución de aquellas discrepancias que en materia de contratación y extinción de contratos les sean voluntariamente sometidas, así como las que obligatoriamente le han de ser sometidos conforme a la Ley y este convenio.
En caso de desacuerdo durante el periodo de consultas en el seno de la empresa para la modificación sustancial de las condiciones de trabajo establecidas en el convenio colectivo, cualquiera de las partes podrá someter las discrepancias a la Comisión Paritaria del convenio, que dispondrá de un plazo máximo de siete días para pronunciarse a contar desde que la discrepancia le fuera planteada. En caso de acuerdo, también, deberá ser notificado a la Comisión Paritaria.
Intervenciones previas en todos aquellos conflictos susceptibles de ser tramitados por el organismo de solución de conflictos.
Mediación y arbitraje a petición de las partes, en conflictos colectivos y expedientes no incluidos en los apartados anteriores.
Igualmente, serán competencia de esta Comisión todas aquellas cuestiones que por las partes les sean sometidas en materia de intrusismo, economía sumergida y competencia desleal.
Las discrepancias producidas en el seno de la Comisión Paritaria, se someterán a los sistemas no judiciales de solución de conflictos establecidos mediante los acuerdos interprofesionales de ámbito estatal o autonómico previstos en el artículo 83 del estatuto de los Trabajadores
TITULO X.- FORMACION PROFESIONAL DE LOS TRABAJADORES.
Artículo 48º.- Formación Continua de los Trabajadores.
Las organizaciones signatarias del presente convenio consideran prioritario y esencial el desarrollo de las capacidades profesionales de los trabajadores y empresarios del Sector del Metal, con el fin de contribuir a la determinación de las cualificaciones y competencias profesionales específicas del sector como base para la identificación de la formación, orientación e inserción profesional más adecuadas a las necesidades individuales y colectivas de los trabajadores y las empresas, así como en materia de seguridad y salud en el trabajo.
La firma del IV Convenio Colectivo Estatal de la Industria, las Nuevas Tecnologías y los Servicios del Sector del Metal (CEM), (BOE 12.01.2022), hace necesario constituir la Comisión Paritaria Provincial de Formación Continua para las Industrias Siderometalúrgicas de la Provincia de Valladolid, que estará compuesta por un máximo de cuatro miembros que serán para cada reunión los que determinen las respectivas organizaciones negociadoras del convenio con los asesores que cada parte quiera llevar.
Una vez constituida oficialmente esta comisión paritaria, la misma se dotará del reglamento de régimen interno que las partes consideren oportuno, no dejando transcurrir más de tres meses a la firma del presente convenio.
TITULO XI.- PRESTACIONES SOCIALES.
Artículo 49º. – Incapacidad Temporal.
A.- Complemento de enfermedad común sin hospitalización.
En los supuestos de Incapacidad Temporal derivada de enfermedad o accidente común y siempre que esté cubierto el correspondiente periodo de cotización y carencia a la Seguridad Social, la empresa abonará a partir del 21 día de la baja por meses vencidos, una prestación complementaria que, sumada a la correspondiente de la Seguridad Social y demás prestaciones de cualquier origen y naturaleza, complete hasta el 100 por 100 de las percepciones salariales del trabajador, complemento que será calculado con los conceptos salariales fijos y la media de los conceptos saláriales variables de los últimos seis meses.
B.- Complemento de accidente de trabajo sin hospitalización.
En los supuestos de Incapacidad Temporal derivada de accidente de trabajo y enfermedad profesional la empresa abonará a partir del 10º día de la baja por meses vencidos, una prestación complementaria que, sumada a la correspondiente de la Seguridad Social y demás prestaciones de cualquier origen y naturaleza, complete hasta el 100 por 100 de las percepciones salariales del trabajador, complemento que será calculado con los conceptos salariales fijos y la media de los conceptos saláriales variables de los últimos seis meses.
C.- Complemento de IT con hospitalización.
En aquellos casos en los que la Incapacidad Temporal requiera hospitalización, y siempre que esté cubierto el correspondiente período de cotización y carencia a la Seguridad Social, la empresa abonará la prestación complementaria a que se refieren los párrafos anteriores a partir del día en que se produzca señalada hospitalización.
A estos efectos, se entiende que existe hospitalización cuando el trabajador esté ingresado 3 o más días en establecimiento sanitario.
D.- Comprobación médica de la IT.
El abono del complemento, y su percepción por parte del trabajador, supone que en todo momento la empresa está facultada para efectuar la comprobación del estado del trabajador, del cumplimiento por el mismo del tratamiento que le haya sido impuesto, y de una conducta normal correspondiente a su estado.
Esta comprobación médica deberá hacerse por facultativo designado por la Mutua.
E.- Cese del complemento de IT.
Cesará el trabajador de devengar la prestación complementaria a que se refiere este artículo, en cualquiera de los siguientes casos:
1.- Con el parte médico de alta.
2.- En los casos de incapacidad temporal derivada de enfermedad o accidente común, por el transcurso del período de cuatro meses percibiendo el trabajador señalada prestación complementaria.
3.- En los casos de incapacidad temporal derivada de enfermedad o accidente laboral, por el transcurso del período de seis meses y medio percibiendo el trabajador señalada prestación complementaria.
4.- Por diagnóstico resultante de reconocimiento médico efectuado por decisión de la empresa, de acuerdo con el cual no exista o haya cesado el estado derivado del accidente o enfermedad que constituía el motivo de la baja, con independencia de que a los efectos de la Seguridad Social el trabajador no haya sido dado de alta.
5.- Que el trabajador no esté cumpliendo el tratamiento prescrito, así como la ejecución de actos o actividades contraindicadas para su curación.
6.- Negativa al ejercicio por parte de la empresa de los medios de comprobación de su situación. F.- Eficacia del cese del complemento de IT.
La decisión de la empresa de no satisfacer al trabajador en baja la correspondiente prestación complementaria como consecuencia del ejercicio de su facultad de comprobación, será ejecutiva. No teniendo el carácter de sanción disciplinaria. G.- Abono IT sin complemento.
En los supuestos de Incapacidad temporal en los que no corresponda la aplicación del complemento regulado en este artículo, la prestación económica se abonará de conformidad con la normativa vigente.
Artículo 50º. – Ayuda empresarial para la concertación por los trabajadores de un seguro de accidentes.
En el año 2023, a partir de la publicación del presente convenio en el Boletín Oficial de la Provincia, las empresas abonarán hasta la cantidad anual única y total de 30,80 euros, a los trabajadores que acrediten haber suscrito particularmente y abonado una póliza de seguro de accidentes de trabajo que garantice un capital mínimo de 20.603 euros para los riesgos de muerte y de 30.904 euros para los de invalidez absoluta. Con la revisión, en su caso, fijada para los salarios en el artículo 15.
En los años 2024 y 2025, tanto la ayuda empresarial como los capitales del párrafo anterior, se incrementarán en los mismos porcentajes y, en su caso revisiones, fijados para los salarios en el artículo 15.
Aquellas empresas que de forma voluntaria tuvieran concertado a favor de sus trabajadores un seguro de accidentes de trabajo que, en su conjunto, resulte igual o más beneficioso que el previsto en el párrafo anterior, quedan liberadas de este pago. Debiendo entregar copia de este seguro a cada trabajador.
Las partes expresamente hacen constar que, de lo pactado, no se deriva para las empresas ninguna otra obligación o responsabilidad que la de satisfacer al trabajador la cantidad anual que corresponda, según el año de que se trate, de cumplirse por el mismo las condiciones establecidas para ello en este artículo.
TITULO XII.- IGUALDAD DE TRATO y OPORTUNIDADES.
Artículo 51º. Igualdad de trato y oportunidades.
La presencia laboral femenina en la industria del metal, es minoritaria, el 13-14 % de las personas trabajadoras ocupados en este sector en España son mujeres, en su mayoría en puestos administrativos y como profesionales de apoyo.
Para invertir la tendencia y favorecer la incorporación laboral de las mujeres en el sector del metal, se requiere en primer lugar una formación profesional adecuada e impulsar la inserción laboral de las desempleadas.
Las organizaciones firmantes del convenio, conscientes de su responsabilidad en la configuración de un marco de relaciones laborales que garantice la efectividad práctica del principio de igualdad de trato y oportunidades y nodiscriminación reconocido en los artículos 14 de la Constitución Española y 4.2.c) y 17.1 del Estatuto de los Trabajadores, quieren dejar constancia expresa en este texto del rechazo de actitudes que vayan contra estos principios, limiten las oportunidades y generen desigualdades o favorezcan un entorno que atente contra la dignidad de las personas trabajadoras, ya sean por razón de sexo, orientación sexual o identidad de género, nacimiento, origen racial o étnico, religión, edad, discapacidad, enfermedad, lengua o cualquier otra condición o circunstancia personal o social y de su voluntad de incidir -por vía normativa, incluso- en la prevención de estas actitudes, eliminación de barreras y establecimiento de acciones positivas que corrijan estas situaciones.
Por ello, y teniendo presente la realidad de la estructura del empleo en el sector, se establecen los siguientes principios generales sobre políticas de igualdad:
a) El derecho fundamental a la igualdad de trato y oportunidades requiere de las empresas del sector prevenir la discriminación por cuestiones de orientación o identidad sexual, nacimiento, origen racial o étnico, religión, edad, discapacidad, enfermedad, lengua o cualquier otra condición o circunstancia personal o social.
b) Las organizaciones firmantes consideran conveniente que las empresas establezcan acciones positivas que favorezcan la igualdad efectiva entre mujeres y hombres, de manera transversal, teniendo en cuenta la composición de las plantillas y los perfiles existentes del grupo o función de que se trate.
c) Cuando se dé el supuesto previsto en el artículo 45.2 de la Ley Orgánica 3/2007, de 22 de marzo, para la igualdad efectiva de mujeres y hombres, se elaborará un plan de igualdad que deberán negociarse en las empresas con la representación legal de los trabajadores con la elaboración del diagnóstico de situación, medidas de evaluación y seguimiento, con el fin de alcanzar una gestión óptima de los recursos humanos que evite discriminaciones y pueda ofrecer igualdad de oportunidades reales.
Artículo 52º. Definiciones.
Principio de igualdad de trato y de oportunidades entre mujeres y hombres: Las mujeres y los hombres son iguales en dignidad, así como en derechos y deberes. El principio de igualdad de trato entre mujeres y hombres supone la ausencia de toda discriminación, directa o indirecta, por razón de sexo, y, especialmente, las derivadas de la maternidad, la asunción de obligaciones familiares y el estado civil.
La discriminación directa por razón de sexo es la situación en que se encuentra una persona que sea, haya sido o pudiera ser tratada, en atención a su sexo, de manera menos favorable que otra en situación comparable.
La discriminación indirecta por razón de sexo es la situación en que una disposición, criterio o práctica aparentemente neutros pone a personas de un sexo en desventaja particular con respecto a personas del otro, salvo que dicha disposición, criterio o práctica puedan justificarse objetivamente en atención a una finalidad legítima y que los medios para alcanzar dicha finalidad sean necesarios y adecuados. En cualquier caso, se considera discriminatoria toda orden de discriminar directa o indirectamente por razón de sexo.
Artículo 53º. No discriminación en las relaciones laborales.
El principio de igualdad de trato y de oportunidades entre mujeres y hombres se garantizará: en el acceso al empleo, en la formación profesional, en la promoción profesional, en las condiciones de trabajo, incluidas las retributivas y las de despido, y en la afiliación y participación en las organizaciones sindicales y empresariales.
Las medidas para la aplicación efectiva del principio de igualdad de trato y no-discriminación en las condiciones de trabajo entre mujeres y hombres, incluidas las de acción positiva, son las siguientes:
1. Acceso al empleo. Nadie podrá ser discriminado directa o indirectamente por razón de sexo, orientación sexual o identidad de género, nacimiento, origen racial o étnico, religión, edad, discapacidad, enfermedad, lengua o cualquier otra condición o circunstancia personal o social en el acceso al trabajo.
Siendo conscientes del desequilibrio de género existente en el sector, para corregir las desigualdades de género detectadas, podrán establecerse en las empresas del sector preferencias en las condiciones de contratación de forma que tengan preferencia para ser contratadas las personas del sexo menos representado en el grupo o función de que se trate.
2. Clasificación profesional. Empresas y representación legal de las personas trabajadoras deberán establecer medidas que garanticen un lenguaje inclusivo y la eliminación de cualquier discriminación que pueda existir en el mismo.
3. Promoción profesional. En materia de promoción profesional y ascensos se intentará promover, la superación del déficit de presencia de mujeres en el supuesto que existiere, mediante la introducción de medidas de acción positiva establecidas en la legislación vigente en cada momento.
Para corregir las desigualdades de género detectadas podrán establecerse en las empresas del sector criterios de promoción de forma que, siempre que se pueda desempeñar las tareas del puesto de trabajo, tengan preferencia para promocionar las personas del sexo menos representado en el grupo o función de que se trate.
4. Formación profesional. En las acciones formativas de las empresas a su personal se garantizará el acceso con respeto absoluto al principio de igualdad de trato y de oportunidades entre mujeres y hombres. A tal efecto se podrán establecer ventajas a favor de las personas trabajadoras del sexo menos representado, en el ámbito al que vayan dirigidas aquellas acciones de formación profesional.
Empresa y representación de los trabajadores deberán acordar medidas que garanticen que el ejercicio de los derechos de conciliación no tenga repercusiones en el empleo o desarrollo profesional de las personas trabajadoras.
Para un mismo trabajo o para un trabajo al que se atribuye un mismo valor se eliminará la discriminación, directa o indirecta, por razón de sexo, en el conjunto de los elementos y condiciones de la retribución. En la fijación de los niveles retributivos, tablas salariales y determinación de todo complemento salarial o extrasalarial, se velará especialmente por la aplicación de este principio de igualdad retributiva por razón de sexo, vigilando especialmente la exclusión de discriminaciones indirectas.
5. Demás condiciones de trabajo. En la determinación del resto de las condiciones laborales, incluidas las relacionadas con la extinción del contrato de trabajo, no podrá tenerse en cuenta el sexo de la persona trabajadora afectada, salvo que se haya establecido como una medida expresa de acción positiva, para facilitar la contratación o el mantenimiento del empleo de las personas trabajadoras, cuyo sexo se encuentre menos representado y siempre que la misma resulte razonable y proporcionada.
6. Se incluye como causa de discriminación por razón de sexo el trato desfavorable dispensado a mujeres u hombres por el ejercicio de los derechos de conciliación o corresponsabilidad de la vida familiar y laboral .
TITULO XIII.- PERMISOS Y LICENCIAS.
Artículo 54º. – Licencias retribuidas.
1. El trabajador, previo aviso y justificación, podrá ausentarse del trabajo, con derecho a remuneración, por alguno de los motivos y por el tiempo siguiente:
En los casos de adopción, guarda con fines de adopción o acogimiento, igualmente corresponde el tiempo indispensable para la asistencia a las preceptivas sesiones de información y preparación y para la realización de los preceptivos informes psicológicos y sociales previos a la declaración de idoneidad, siempre, en todos los casos, que deban tener lugar dentro de la jornada de trabajo.
El día de inicio de los permisos por enfermedad, fallecimiento y matrimonio será el primer día laborable, salvo que coincida el hecho causante con las vacaciones o situación de IT del trabajador, no correspondiendo en tal caso señaladas licencias.
La licencia por asistencia a consulta médico general de 16 horas anuales contenida en el cuadro de licencias del convenio, podrá ser utilizada por el propio trabajador o para el acompañamiento a indicada consulta de hijos menores de 14 años o padres mayores de 70 años dependientes. Acreditando circunstancias y parentesco con justificante.
A las parejas de hecho que acrediten su inscripción legal en el registro oficial competente, se le reconocerán los mismos derechos y obligaciones respecto de los permisos recogidos en el presente artículo del convenio.
En el supuesto de que el trabajador, por cumplimiento de un deber o desempeño del cargo, perciba una indemnización, se descontará el importe de la misma del salario a que tuviera derecho en la empresa.
2. En los supuestos de nacimiento, adopción, guarda con fines de adopción o acogimiento, de acuerdo con el artículo 45.1.d) del Estatuto de los Trabajadores, las personas trabajadoras tendrán derecho a una hora de ausencia del trabajo, que podrán dividir en dos fracciones, para el cuidado del lactante hasta que este cumpla nueve meses. La duración del permiso se incrementará proporcionalmente en los casos de nacimiento, adopción, guarda con fines de adopción o acogimiento múltiples.
Quien ejerza este derecho, por su voluntad, podrá sustituirlo por una reducción de su jornada en media hora con la misma finalidad o acumularlo en jornadas completas, en los términos previstos en el acuerdo a que llegue con la empresa.
La reducción de jornada contemplada en este apartado constituye un derecho individual de las personas trabajadoras sin que pueda transferirse su ejercicio al otro progenitor, adoptante, guardador o acogedor. No obstante, si dos personas trabajadoras de la misma empresa ejercen este derecho por el mismo sujeto causante, la dirección empresarial podrá limitar su ejercicio simultáneo por razones justificadas de funcionamiento de la empresa, que deberá comunicar por escrito, debiendo en tal caso la empresa ofrecer un plan alternativo que asegure el disfrute de ambas personas trabajadoras y que posibilite el ejercicio de los derechos de conciliación.
Cuando ambos progenitores, adoptantes, guardadores o acogedores ejerzan este derecho con la misma duración y régimen, el periodo de disfrute podrá extenderse hasta que el lactante cumpla doce meses, con reducción proporcional del salario a partir del cumplimiento de los nueve meses.
3. Las personas trabajadoras tendrán derecho a ausentarse del trabajo durante una hora en el caso de nacimiento prematuro de hijo o hija, o que, por cualquier causa, deban permanecer hospitalizados a continuación del parto.
Asimismo, tendrán derecho a reducir su jornada de trabajo hasta un máximo de dos horas, con la disminución proporcional del salario. Para el disfrute de este permiso se estará a lo previsto en el apartado 5.
4. Quien por razones de guarda legal tenga a su cuidado directo algún menor de doce años o una persona con discapacidad que no desempeñe una actividad retribuida tendrá derecho a una reducción de la jornada de trabajo diaria, con la disminución proporcional del salario entre, al menos, un octavo y un máximo de la mitad de la duración de aquella.
Tendrá el mismo derecho quien precise encargarse del cuidado directo del cónyuge o pareja de hecho, o un familiar hasta el segundo grado de consanguinidad y afinidad, incluido el familiar consanguíneo de la pareja de hecho, que por razones de edad, accidente o enfermedad no pueda valerse por sí mismo, y que no desempeñe actividad retribuida.
El progenitor, guardador con fines de adopción o acogedor permanente tendrá derecho a una reducción de la jornada de trabajo, con la disminución proporcional del salario de, al menos, la mitad de la duración de aquella, para el cuidado, durante la hospitalización y tratamiento continuado, del menor a su cargo afectado por cáncer (tumores malignos, melanomas y carcinomas), o por cualquier otra enfermedad grave, que implique un ingreso hospitalario de larga duración y requiera la necesidad de su cuidado directo, continuo y permanente, acreditado por el informe del servicio público de salud u órgano administrativo sanitario de la comunidad autónoma correspondiente y, como máximo, hasta que el hijo o persona que hubiere sido objeto de acogimiento permanente o de guarda con fines de adopción cumpla los veintitrés años.
En consecuencia, el mero cumplimiento de los dieciocho años de edad por el hijo o el menor sujeto a acogimiento permanente o a guarda con fines de adopción no será causa de extinción de la reducción de la jornada, si se mantiene la necesidad de cuidado directo, continuo y permanente.
No obstante, cumplidos los 18 años, se podrá reconocer el derecho a la reducción de jornada hasta que el causante cumpla 23 años en los supuestos en que el padecimiento de cáncer o enfermedad grave haya sido diagnosticado antes de alcanzar la mayoría de edad, siempre que en el momento de la solicitud se acrediten los requisitos establecidos en los párrafos anteriores, salvo la edad.
Asimismo, se mantendrá el derecho a esta reducción hasta que la persona cumpla 26 años si antes de alcanzar 23 años acreditara, además, un grado de discapacidad igual o superior al 65 por ciento.
En los supuestos de nulidad, separación, divorcio, extinción de la pareja de hecho o cuando se acredite ser víctima de violencia de género, el derecho a la reducción de jornada se reconocerá a favor del progenitor, guardador o acogedor con quien conviva la persona enferma, siempre que cumpla el resto de los requisitos exigidos.
Cuando la persona enferma que se encuentre en los supuestos previstos en los párrafos tercero y cuarto de este apartado contraiga matrimonio o constituya una pareja de hecho, tendrá derecho a la reducción de jornada quien sea su cónyuge o pareja de hecho, siempre que acredite las condiciones para acceder al derecho a la misma.
Las reducciones de jornada contempladas en este apartado constituyen un derecho individual de los trabajadores, hombres o mujeres. No obstante, si dos o más trabajadores de la misma empresa generasen este derecho por el mismo sujeto causante, el empresario podrá limitar su ejercicio simultáneo por razones fundadas y objetivas de funcionamiento de la empresa, debidamente motivadas por escrito, debiendo en tal caso la empresa ofrecer un plan alternativo que asegure el disfrute de ambas personas trabajadoras y que posibilite el ejercicio de los derechos de conciliación.
En el ejercicio de este derecho se tendrá en cuenta el fomento de la corresponsabilidad entre mujeres y hombres y, asimismo, evitar la perpetuación de roles y estereotipos de género.
5. La concreción horaria y la determinación de los permisos y reducciones de jornada, previstos en los apartados 2, 3 y 4, corresponderán a la persona trabajadora dentro de su jornada ordinaria. No obstante, los convenios colectivos podrán establecer criterios para la concreción horaria de la reducción de jornada a que se refiere el apartado 4, en atención a los derechos de conciliación de la vida personal, familiar y laboral de la persona trabajadora y las necesidades productivas y organizativas de las empresas. La persona trabajadora, salvo fuerza mayor, deberá preavisar al empresario con una antelación de quince días o la que se determine en el convenio colectivo aplicable, precisando la fecha en que iniciará y finalizará el permiso de cuidado del lactante o la reducción de jornada.
Las discrepancias surgidas entre empresario y trabajador sobre la concreción horaria y la determinación de los periodos de disfrute previstos en los apartados 2, 3 y 4, serán resueltas por la jurisdicción social a través del procedimiento establecido en el artículo 139 de la Ley 36/2011, de 10 de octubre, Reguladora de la Jurisdicción Social.
6. Las personas trabajadoras que tengan la consideración de víctimas de violencia de género o de víctimas del terrorismo tendrán derecho, en los términos previstos en el Estatuto de los Trabajadores, para hacer efectiva su protección o su derecho a la asistencia social integral, a la reducción o a la reordenación de su tiempo de trabajo, a la movilidad geográfica, al cambio de centro de trabajo, a la adaptación de su puesto de trabajo, a la suspensión de la relación laboral con reserva de puesto de trabajo y a la extinción del contrato de trabajo. También tendrán derecho a realizar su trabajo total o parcialmente a distancia o a dejar de hacerlo si este fuera el sistema establecido, siempre en ambos casos que esta modalidad de prestación de servicios sea compatible con el puesto y funciones desarrolladas por la persona, junto con los demás derechos reconocidas a las mismas por la legislación vigente.
7.- Junto con los supuestos contenidos en el presente artículo 54, las personas trabajadoras disfrutarán de resto de los derechos no contemplados en el mismo y recogidos en el Real Decreto legislativo 2/2015, de 23 de octubre y demás disposiciones concordantes.
DISPOSICIONES ADICIONALES.
Primera. – Derecho supletorio.
En todo lo no previsto en el presente Convenio, se estará a lo dispuesto en las Disposiciones de carácter general y en el IV Convenio colectivo estatal de la industria, las nuevas tecnologías y los servicios del sector del metal (BOE de 12 de enero de 2022), y a los acuerdos y/o Convenios que lo sustituyan o complementen en los términos que los mismos establezcan.
Segunda. – Acuerdos Estatales.
Se tendrán en cuenta para su inclusión y adecuación en el Convenio, todos los acuerdos estatales, suscritos entre los sindicatos y confederación empresarial, que sean de aplicación en el sector, siempre que sean de rango superior, y en los términos que los mismos establezcan. Así como el Acuerdo Provincial del sector sobre Clasificación Profesional de Valladolid y publicado en el BOProv. del 17.06.2008.
Tercera. – Cambios normativos.
Las modificaciones normativas de carácter obligatorio que se produjeran durante la vigencia del presente convenio, se tratarán por la Comisión Paritaria del mismo.
Cuarta. – Lenguaje inclusivo.
Las partes asumen plenamente que, cualquier referencia, indicación o alusión, directa o indirecta, expresa o tácita, que se haga en el articulado del presente Convenio Colectivo al trabajador o trabajadores de la Empresa habrá de entenderse realizada a todos, hombres y mujeres, salvo que expresamente se determine otra cosa.
DISPOSICION TRANSITORIA.
Las medidas introducidas en el presente convenio colectivo como consecuencia de la publicación del RDL 5/2023, tendrán su vigencia a partir del 30/06/2023, con las salvedades contenidas en la Disposición Transitoria 3ª de citado RDL.
ANEXO I.
CALENDARIO 2024 (BOP Número 2024/25 – Lunes, 05 de febrero de 2024)
RESOLUCIÓN DE 25 DE ENERO DE 2024 DE LA OFICINA TERRITORIAL DE TRABAJO DE LA DELEGACIÓN TERRITORIAL DE LA JUNTA DE CASTILLA Y LEÓN EN VALLADOLID, POR LA QUE SE DISPONE EL REGISTRO, DEPÓSITO Y PUBLICACIÓN DEL ACUERDO DERIVADO DEL CONVENIO SOBRE EL CALENDARIO LABORAL DEL SECTOR DE LAS INDUSTRIAS SIDEROMETALÚRGICAS DE VALLADOLID PARA EL AÑO 2024.
Vista la documentación relativa al Acuerdo derivado del convenio sobre el Calendario laboral del sector de las industrias siderometalúrgicas de Valladolid para el año 2024, acordada el día 21 de diciembre de 2023 por la Comisión Negociadora del Convenio Colectivo, con fecha de entrada en este Organismo a través del Registro Telemático de Convenios el día 17 de enero de 2024, de conformidad con lo dispuesto en el artículo 90 del Real Decreto Legislativo 2/2015, de 23 de octubre, por el que se aprueba el Texto Refundido de la Ley del Estatuto de los Trabajadores, el artículo 2.1.a) del Real Decreto 713/2010, de 28 de mayo, sobre registro y depósito de convenios y acuerdos colectivos de trabajo, y Real Decreto 831/1995, de 30 de mayo, sobre traspaso de funciones y servicios de la Administración del Estado a la Comunidad de Castilla y León en materia de trabajo (ejecución de legislación laboral) y la Orden PRE/813/2022, de 1 de julio, por la que se desarrolla la estructura orgánica y se definen las funciones de las Oficinas Territoriales de Trabajo, con relación a lo dispuesto en el Decreto 33/2016, de 22 de septiembre, en materia de elaboración y aprobación de estructuras orgánicas de la Administración de la Comunidad de Castilla y León, esta Oficina Territorial de Trabajo
Acuerda:
Primero. Inscribir el Acuerdo derivado del convenio sobre el Calendario laboral del sector de las industrias siderometalúrgicas de Valladolid para el año 2024, en el correspondiente Registro de este Organismo, con notificación a la Comisión Negociadora.
Segundo. Disponer su publicación en el Boletín Oficial de la Provincia.
Tercero. Depositar un ejemplar en esta Entidad.
De conformidad con lo establecido en los artículos 121 y 122 de la Ley 39/2015, de 1 de octubre, del Procedimiento Administrativo Común de las Administraciones Públicas (BOE núm. 236, de 02 de octubre de 2015), frente a la presente Resolución, que no pone fin a la vía administrativa, podrá presentarse Recurso de Alzada, en el plazo de un mes, ante la Delegada Territorial de la Junta de Castilla y León en Valladolid.
En Valladolid, a 26 de enero de 2024.- La Jefa de la Oficina Territorial de Trabajo de Valladolid.
Fdo.: María Belén de la Iglesia Freile.
ACTA DE LA COMISION NEGOCIADORA DE VEINTIUNO DE DICIEMBRE DE DOS MIL VEINTITRÉS DEL CONVENIO COLECTIVO DE LA INDUSTRIA, LA NUEVAS TECNOLOGÍAS Y LOS SERVICIOS DEL SECTOR DEL METAL DE VALLADOLID Y PROVINCIA DE LOS AÑOS 2023, 2024 Y 2025.
En Valladolid, siendo las doce y media del día veintiuno de diciembre del dos mil veintitrés, en el domicilio de la Asociación de Empresarios del Metal de Valladolid y Provincia, sito en la calle Castelar 2-1º de Valladolid, se reúnen los señores que a continuación se relacionan en la representación que consta y que integran la Comisión Negociadora del Convenio Colectivo de la Industria, las Nuevas Tecnologías y los Servicios del Sector del Metal de Valladolid y Provincia de los años 2023, 2024 y 2025.
REPRESENTACIÓN EMPRESARIAL:
POR LA ASOCIACIÓN EMPRESARIAL METALÚRGICA DE VALLADOLID Y PROVINCIA (VAMETAL): DOÑA M. R M., DON. E. S. V.
POR LA ASOCIACIÓN DE EMPRESARIOS INSTALADORES ELÉCTRICOS Y TELECOMUNICACIONES DE VALLADOLID (APREMIE): DOÑA M. J. G. R, DON. A R. C.
REPRESENTACIÓN SINDICAL:
POR U.G.T. FICA: DON. J. C.L. P. y DON. J. A. S. Z.
POR CC.OO: DON. E. I. H .y DON. F. S. C.
La reunión tiene por objeto la subsanación interesada en la comunicación de la OTT de Valladolid del día 18 de los corrientes, en relación con el calendario laboral subsidiario de señalado convenio para el año 2024 (artículo 31), y a señalados efectos establecen:
PRIMERO.- Que por las representaciones de U.G.T. FICA, VAMETAL, APREMIE, se ha llegado al siguiente acuerdo en la confección del calendario laboral subsidiario del sector para el año 2024 (artículo 31):
1º.- Jornada de trabajo en 2024: 1.744 horas de trabajo efectivo.
2º.- Vacaciones: 22 días laborables.
3º.- Descanso semanal: Sábados y Domingos.
4º.- Fiestas Laborales: Las 12 autonómicas-nacionales más dos locales, total 14 de las cuales 2 caen en sábado.
5º.- Días de descanso en 2024: Los días 22 de abril, 16 de agosto, 24 y 31 de diciembre más el día de libre elección regulado en el último párrafo del art.31 del convenio; a los que se sumarán las tardes de la semana de ferias de la localidad donde radique la empresa.
6º.- La empresa que se rija por el calendario subsidiario, respetará su jornada habitual.
7º.- Las empresas que tengan calendario propio, no se verán afectadas por el calendario subsidiario del metal.
SEGUNDO.- Que CCOO ha manifestado su disconformidad con citado acuerdo alcanzado por U.G.T. FICA, VAMETAL Y APREMIE. Habiendo presentado una propuesta al efecto.
TERCERO.- Que se aprueba el calendario subsidiario del sector para el año 2024 más arriba reflejado en el ordinal primero, dada la condición mayoritaria de U.G.T. FICA, VAMETAL y APREMIE.
CUARTO.- Finalmente, se acuerda remitir la presenta acta a la autoridad laboral a efectos de su registro y publicación en el Boletín Oficial de la Provincia.
Por todo ello, y en prueba de conformidad de cuanto antecede, suscriben la presente acta en el lugar y fecha indicados por cuadruplicado ejemplar.
REVISIÓN SALARIAL (BOP Número 2024/50 – Lunes, 11 de marzo de 2024)
RESOLUCIÓN DE 1 DE MARZO DE 2024 DE LA OFICINA TERRITORIAL DE TRABAJO DE LA DELEGACIÓN TERRITORIAL DE LA JUNTA DE CASTILLA Y LEÓN EN VALLADOLID, POR LA QUE SE DISPONE EL REGISTRO, DEPÓSITO Y PUBLICACIÓN DEL ACUERDO DERIVADO DEL CONVENIO SOBRE TABLAS SALARIALES DEL SECTOR DE LAS INDUSTRIAS SIDEROMETALURGICAS DE VALLADOLID Y PROVINCIA PARA EL AÑO 2024.
Vista la documentación relativa al Acuerdo derivado del convenio sobre tablas salariales del sector de las industrias siderometalúrgicas de Valladolid y provincia para el año 2024, acordada el día 7 de febrero de 2024 por la Comisión Negociadora del Convenio Colectivo, con fecha de entrada en este Organismo a través del Registro Telemático de Convenios el día 13 de febrero de 2024, de conformidad con lo dispuesto en el artículo 90 del Real Decreto Legislativo 2/2015, de 23 de octubre, por el que se aprueba el Texto Refundido de la Ley del Estatuto de los Trabajadores, el artículo 2.1.a) del Real Decreto 713/2010, de 28 de mayo, sobre registro y depósito de convenios y acuerdos colectivos de trabajo, y Real Decreto 831/1995, de 30 de mayo, sobre traspaso de funciones y servicios de la Administración del Estado a la Comunidad de Castilla y León en materia de trabajo (ejecución de legislación laboral) y la Orden PRE/813/2022, de 1 de julio, por la que se desarrolla la estructura orgánica y se definen las funciones de las Oficinas Territoriales de Trabajo, con relación a lo dispuesto en el Decreto 33/2016, de 22 de septiembre, en materia de elaboración y aprobación de estructuras orgánicas de la Administración de la Comunidad de Castilla y León, esta Oficina Territorial de Trabajo Acuerda:
Primero. Inscribir el mencionado Acuerdo en el correspondiente Registro de este Organismo, con notificación a la Comisión Negociadora.
Segundo. Disponer su publicación en el Boletín Oficial de la Provincia.
Tercero. Depositar un ejemplar en esta Entidad.
De conformidad con lo establecido en los artículos 121 y 122 de la Ley 39/2015, de 1 de octubre, del Procedimiento Administrativo Común de las Administraciones Públicas (BOE núm. 236, de 02 de octubre de 2015), frente a la presente Resolución, que no pone fin a la vía administrativa, podrá presentarse Recurso de Alzada, en el plazo de un mes, ante la Delegada Territorial de la Junta de Castilla y León en Valladolid.
En Valladolid, a 1 de marzo de 2024. -La Jefa de la Oficina Territorial de Trabajo de Valladolid. -Fdo.: María Belén de la Iglesia Freile.
ACTA REVISIÓN CONVENIO COLECTIVO DE LA INDUSTRIA, LA NUEVAS TECNOLOGÍAS Y LOS SERVICIOS DEL SECTOR DEL METAL DE VALLADOLID Y PROVINCIA PARA EL AÑO 2024.
En Valladolid, siendo las doce horas día siete de febrero del dos mil veinticuatro, en el domicilio de la Asociación de Empresarios del Metal de Valladolid y Provincia, sito en la calle Castelar 2 -1º de Valladolid, se reúnen los señores que a continuación se relacionan en la representación que consta y que integran la Comisión Negociadora del Convenio Colectivo de la Industria, las Nuevas Tecnologías y los Servicios del Sector del Metal de Valladolid y Provincia de los años 2023, 2024 y 2025.
REPRESENTACIÓN EMPRESARIAL:
POR LA ASOCIACIÓN EMPRESARIAL METALÚRGICA DE VALLADOLID Y PROVINCIA (VAMETAL): DOÑA M. M .R, D. E.S.V.
POR LA ASOCIACIÓN DE EMPRESARIOS INSTALADORES ELÉCTRICOS Y TELECOMUNICACIONES DE VALLADOLID (APREMIE): DOÑA M. J .G.R, D. A.R.C..
REPRESENTACIÓN SINDICAL:
POR U.G.T. FICA: D. J.C.L.P. y D. C.M.S.
POR CC.OO: D. E.I.HJ y D. F.S.C.
Por parte de CCOO se manifiesta que, en cuanto no han sido firmantes de señalado convenio colectivo, tampoco entran a valorar la revisión de las tablas salariales del año 2024
La reunión tiene por objeto la revisión para el año 2024, de las tablas salariales y demás conceptos salariales que procedan del vigente convenio colectivo de la industria, las nuevas tecnologías y los servicios del sector del metal de Valladolid; y a señalados efectos establecen:
PRIMERO.
– Por las representaciones mayoritarias firmantes de citado convenio, U.G.T. FICA, VAMETAL, APREMIE, se aprueban las nuevas tablas salariales con efectos de 1º de enero del año 2.024, calculadas en los términos pactados en el artículo 15 del Convenio, las que se adjuntan a la presente acta como Anexos I y II.
Fijando el valor de las horas extraordinarias en la cuantía establecida en señaladas tablas salariales, con los mismos efectos de 1º de enero del año 2.024.
Igualmente, aprueban la revisión de los siguientes conceptos salariales con entrada en vigor el 1º de enero de 2024, en los términos que siguen:
PLUS DE TURNICIDAD.
– El artículo 22 del Convenio queda modificado en el sentido de fijar el Plus de Turnicidad en el año 2.024 en 37,67 euros mensuales.
TRABAJOS ORDINARIOS EN DOMINGOS Y FESTIVOS.
– El artículo 23 del Convenio queda modificado en el sentido de fijar el incremento de la retribución por trabajos ordinarios en domingos y fiestas en el año 2.024 en la cantidad de 30,90 euros.
DIETAS.
– El artículo 27 del Convenio queda modificado en el sentido de fijar para el año 2.024 la dieta entera en 57,20 euros y la media dieta en la cantidad 16,34 euros.
KILOMETRAJE.
– El artículo 28 del Convenio queda modificado en el sentido de fijar para el año 2.024 el kilometraje en 0,37 euros /kilometro.
AYUDA EMPRESARIAL.
– El artículo 50 del Convenio queda modificado en el sentido de fijar la cantidad única para el año 2024 en 31,72 euros, a abonar a los trabajadores que acrediten haber suscrito una póliza de seguro de accidentes de trabajo que garantice un capital mínimo en señalado año 2.024 de 21.221,09 euros para los riesgos de muerte y de 31.831,12 euros para los de invalidez absoluta
SEGUNDO.
– Finalmente y aprobada la revisión del convenio para el año 2024 en los términos contenidos en el ordinal primero, se acuerda remitir la presenta acta con sus anexos a la autoridad laboral a efectos de su registro y publicación en el Boletín Oficial de la Provincia.
Por todo ello y en prueba de conformidad de cuanto antecede, suscriben la presente acta en el lugar y fecha indicados por cuadruplicado ejemplar.
CALENDARIO 2025 (BOP Número 2024/250 – Martes, 31 de diciembre de 2024)
Resolución de 19 de diciembre de 2024 de la Oficina Territorial de Trabajo de la Delegación Territorial de la Junta de Castilla y León en Valladolid, por la que se dispone el registro, depósito y publicación del Acuerdo sobre el calendario laboral del sector de la siderometalurgia de Valladolid y provincia, para el año 2025. Código: 47000455011981.
Vista la documentación relativa al Acuerdo sobre el calendario laboral del sector de la siderometalurgia de Valladolid y provincia, para el año 2025, acordada el día 16-12-2024 por la Comisión Negociadora del Convenio Colectivo, con fecha de entrada en este Organismo a través del Registro Telemático de Convenios el día 18-12-2024, de conformidad con lo dispuesto en el artículo 90 del Real Decreto Legislativo 2/2015, de 23 de octubre, por el que se aprueba el Texto Refundido de la Ley del Estatuto de los Trabajadores, el artículo 2 del Real Decreto 713/2010, de 28 de mayo, sobre registro y depósito de convenios y acuerdos colectivos de trabajo, y Real Decreto 831/1995, de 30 de mayo, sobre traspaso de funciones y servicios de la Administración del Estado a la Comunidad de Castilla y León en materia de trabajo (ejecución de legislación laboral) y la Orden PRE/813/2022, de 1 de julio, por la que se desarrolla la estructura orgánica y se definen las funciones de las Oficinas Territoriales de Trabajo, con relación a lo dispuesto en el Decreto 33/2016, de 22 de septiembre, en materia de elaboración y aprobación de estructuras orgánicas de la Administración de la Comunidad de Castilla y León, esta Oficina Territorial de Trabajo
Acuerda:
Primero. Inscribir el mencionado Acuerdo en el correspondiente Registro de este Organismo, con notificación a la Comisión Negociadora.
Segundo. Depositar un ejemplar en esta Entidad.
Tercero. Disponer su publicación en el Boletín Oficial de la Provincia.
En Valladolid, a 19 de diciembre de 2024. – La Jefa de la Oficina Territorial de Trabajo. – Fdo.: María Belén de la Iglesia Freile.
ACTA DE LA COMISION NEGOCIADORA DE DIECISEIS DE DICIEMBRE DE DOS MIL VEINTICUATRO DEL CONVENIO COLECTIVO DE LA INDUSTRIA, LA NUEVAS TECNOLOGÍAS Y LOS SERVICIOS DEL SECTOR DEL METAL DE VALLADOLID Y PROVINCIA DE LOS AÑOS 2023, 2024 Y 2025.
En Valladolid, siendo las doce y media del día dieciséis de diciembre del dos mil veinticuatro, en el domicilio de la Asociación de Empresarios del Metal de Valladolid y Provincia, sito en la calle Castelar 2-1º de Valladolid, se reúnen los señores que a continuación se relacionan en la representación que consta y que integran la Comisión Negociadora del Convenio Colectivo de la Industria, las Nuevas Tecnologías y los Servicios del Sector del Metal de Valladolid y Provincia de los años 2023, 2024 y 2025.
REPRESENTACIÓN EMPRESARIAL:
POR LA ASOCIACIÓN EMPRESARIAL METALÚRGICA DE VALLADOLID Y PROVINCIA (VAMETAL): DOÑA MARÍA RODRIGUEZ MANCHADO, D. EDUARDO SANTAMARÍA VALLE.
POR LA ASOCIACIÓN DE EMPRESARIOS INSTALADORES ELÉCTRICOS Y TELECOMUNICACIONES DE VALLADOLID (APREMIE): DOÑA MARÍA JOSÉ GONZALEZ ROMO, D. ÁNGEL REINOSO CERNUDA.
REPRESENTACIÓN SINDICAL:
POR U.G.T. FICA: D. JUAN CARLOS LÓPEZ PORTELA y D. CONSTANTINO MOSTAZA SAAVEDRA POR CC. OO: D. EMILIO IZQUIERDO HERAS y D. FERNANDO SANTOS CABEZA.
La reunión tiene por objeto establecer el calendario laboral subsidiario del sector para el año 2025, en cumplimiento de lo pactado en el artículo 31° del Convenio y tal fin se señala:
PRIMERO. – Tras un amplio cambio de impresiones, se aprueba el calendario laboral subsidiario del sector para el año 2025 en los siguientes términos:
1º.- Jornada de trabajo en 2025: 1.744 horas de trabajo efectivo.
2º.- Vacaciones: 22 días laborables.
3º.- Descanso semanal: sábados y Domingos.
4º.- Fiestas Laborales: Las 12 autonómicas-nacionales más dos locales, total 14 de las cuales 2 caen en sábado.
5º.- Días de descanso en 2025: Los días 2 y 12 de mayo, 24, 26 y 31 de diciembre más el día de libre elección regulado en el último párrafo del art.31 del convenio; a los que se sumarán las tardes de la semana de ferias de la localidad donde radique la empresa.
6º.- La empresa que se rija por el calendario subsidiario, respetará su jornada habitual.
7º.- Las empresas que tengan calendario propio, no se verán afectadas por el calendario subsidiario del metal.
SEGUNDO. – Finalmente, se acuerda remitir la presenta acta a la autoridad laboral a efectos de su registro y publicación en el Boletín Oficial de la Provincia.
Por todo ello, y en prueba de conformidad de cuanto antecede, suscriben la presente acta en el lugar y fecha indicados por cuadruplicado ejemplar.
REVISIÓN SALARIAL (BOP Número 2025/29 – Miércoles, 12 de febrero de 2025)
Resolución de la Oficina Territorial de Trabajo de la Delegación Territorial de la Junta de Castilla y León en Valladolid, por la que se dispone el registro, depósito y publicación del Acuerdo salarial del sector de las industrias siderometalúrgicas de Valladolid para el año 2025. Código: 47000455011981.
Vista la documentación relativa al Acuerdo salarial del sector de las industrias siderometalúrgicas de Valladolid para el año 2025, acordada por la Comisión Negociadora del Convenio Colectivo, con fecha de entrada en este Organismo a través del Registro Telemático de Convenios el día 22-01-2025, de conformidad con lo dispuesto en el artículo 90 del Real Decreto Legislativo 2/2015, de 23 de octubre, por el que se aprueba el Texto Refundido de la Ley del Estatuto de los Trabajadores, el artículo 2 del Real Decreto 713/2010, de 28 de mayo, sobre registro y depósito de convenios y acuerdos colectivos de trabajo, y Real Decreto 831/1995, de 30 de mayo, sobre traspaso de funciones y servicios de la Administración del Estado a la Comunidad de Castilla y León en materia de trabajo (ejecución de legislación laboral) y la Orden PRE/813/2022, de 1 de julio, por la que se desarrolla la estructura orgánica y se definen las funciones de las Oficinas Territoriales de Trabajo, con relación a lo dispuesto en el Decreto 33/2016, de 22 de septiembre, en materia de elaboración y aprobación de estructuras orgánicas de la Administración de la Comunidad de Castilla y León, esta Oficina Territorial de Trabajo.
Acuerda:
Primero. Inscribir el mencionado Acuerdo en el correspondiente Registro de este Organismo, con notificación a la Comisión Negociadora.
Segundo. Depositar un ejemplar en esta Entidad.
Tercero. Disponer su publicación en el Boletín Oficial de la Provincia.
En Valladolid, a 4 de febrero de 2025.- La Jefa de la Oficina Territorial de Trabajo.- Fdo.: María Belén de la Iglesia Freile.
ACTA DE LA COMISION NEGOCIADORA DEL VEINTE DE ENERO DE DOS MIL VEINTICINCO DEL CONVENIO COLECTIVO DE LA INDUSTRIA, LA NUEVAS TECNOLOGÍAS Y LOS SERVICIOS DEL SECTOR DEL METAL DE VALLADOLID Y PROVINCIA DE LOS AÑOS 2023, 2024 Y 2025.
En Valladolid, siendo las trece horas del día veinte de enero del dos mil veinticinco, en el domicilio de la Asociación de Empresarios del Metal de Valladolid y Provincia, sito en la calle Castelar 2-1º de Valladolid, se reúnen los señores que a continuación se relacionan en la representación que consta y que integran la Comisión Negociadora del Convenio Colectivo de la Industria, las Nuevas Tecnologías y los Servicios del Sector del Metal de Valladolid y Provincia de los años 2023, 2024 y 2025.
REPRESENTACIÓN EMPRESARIAL:
POR LA ASOCIACIÓN EMPRESARIAL METALÚRGICA DE VALLADOLID Y PROVINCIA (VAMETAL): DOÑA MARÍA RODRIGUEZ MANCHADO, D. EDUARDO SANTAMARÍA VALLE.
POR LA ASOCIACIÓN DE EMPRESARIOS INSTALADORES ELÉCTRICOS Y TELECOMUNICACIONES DE VALLADOLID (APREMIE): DOÑA MARÍA JOSÉ GONZALEZ ROMO, D. ÁNGEL REINOSO CERNUDA.
REPRESENTACIÓN SINDICAL:
POR U.G.T. FICA: D. JUAN CARLOS LÓPEZ PORTELA y D. CONSTANTINO MOSTAZA SAAVEDRA POR CC. OO: D. EMILIO IZQUIERDO HERAS y D. FERNANDO SANTOS CABEZA.
Por parte de CCOO se manifiesta que, en cuanto no han sido firmantes de señalado convenio colectivo, tampoco entran a valorar la revisión de las tablas salariales del año 2025.
La reunión tiene por objeto la revisión para el año 2025, de las tablas salariales y demás conceptos salariales a actualizar del vigente convenio colectivo de la industria, las nuevas tecnologías y los servicios del sector del metal de Valladolid; y a señalados efectos acuerdan:
PRIMERO. – Aprobar las nuevas tablas salariales con efectos de 1º de enero del año 2.025, calculadas en los términos pactados en el artículo 15 del Convenio, las que se adjuntan a la presente acta como Anexos I y II.
Fijando el valor de las horas extraordinarias en la cuantía establecida en señaladas tablas salariales, con los mismos efectos de 1º de enero del año 2.025.
SEGUNDO. – Igualmente, aprueban la revisión de los siguientes conceptos salariales con entrada en vigor el 1º de enero de 2025, en los términos que siguen:
PLUS DE TURNICIDAD. – El artículo 22 del Convenio queda modificado en el sentido de fijar el Plus de Turnicidad en el año 2.025 en 38,80 euros mensuales.
TRABAJOS ORDINARIOS EN DOMINGOS Y FESTIVOS. – El artículo 23 del Convenio queda modificado en el sentido de fijar el incremento de la retribución por trabajos ordinarios en domingos y fiestas en el año 2.025 en la cantidad de 31,83 euros.
DIETAS. – El artículo 27 del Convenio queda modificado en el sentido de fijar para el año 2.025 la dieta entera en 58,92 euros y la media dieta en la cantidad 16,83 euros.
KILOMETRAJE. – El artículo 28 del Convenio queda modificado en el sentido de fijar para el año 2.025 el kilometraje en 0,38 euros/kilómetro.
AYUDA EMPRESARIAL. – El artículo 50 del Convenio queda modificado en el sentido de fijar la cantidad única para el año 2025 en 32,67 euros, a abonar a los trabajadores que acrediten haber suscrito una póliza de seguro de accidentes de trabajo que garantice un capital mínimo en señalado año 2.025 de 21.857,72 euros para los riesgos de muerte y de 32.786,05 euros para los de invalidez absoluta.
TERCERO. – Finalmente y aprobada la revisión del convenio para el año 2025 en los términos indicados, se acuerda remitir la presenta acta con sus anexos a la autoridad laboral a efectos de su registro y publicación en el Boletín Oficial de la Provincia.
Por todo ello y en prueba de conformidad de cuanto antecede, suscriben la presente acta en el lugar y fecha indicados por cuadruplicado ejemplar.
CALENDARIO 2026 (BOP Número 2026/17 – Martes, 27 de enero de 2026)
Resolución de la Oficina Territorial de Trabajo de la Delegación Territorial de la Junta de Castilla y León en Valladolid, por la que se dispone el registro, depósito y publicación del Acuerdo sobre calendario laboral subsidiario para el año 2026, de la industria, nuevas tecnologías y servicios del sector del metal de Valladolid y provincia. Código: 47000455011981.
Vista la documentación relativa al Acuerdo sobre calendario laboral subsidiario para el año 2026, de la industria, nuevas tecnologías y servicios del sector del metal de Valladolid y provincia, acordado el 24-11-2025 por la Comisión Negociadora del convenio colectivo, con fecha de entrada en este Organismo a través del Registro Telemático de Convenios el día 25-11-2025, una vez subsanado, de conformidad con lo dispuesto en el artículo 90 del Real Decreto Legislativo 2/2015, de 23 de octubre, por el que se aprueba el Texto Refundido de la Ley del Estatuto de los Trabajadores, el artículo 2 del Real Decreto 713/2010, de 28 de mayo, sobre registro y depósito de convenios y acuerdos colectivos de trabajo, y Real Decreto 831/1995, de 30 de mayo, sobre traspaso de funciones y servicios de la Administración del Estado a la Comunidad de Castilla y León en materia de trabajo (ejecución de legislación laboral) y la Orden PRE/813/2022, de 1 de julio, por la que se desarrolla la estructura orgánica y se definen las funciones de las Oficinas Territoriales de Trabajo, con relación a lo dispuesto en el Decreto 33/2016, de 22 de septiembre, en materia de elaboración y aprobación de estructuras orgánicas de la Administración de la Comunidad de Castilla y León, esta Oficina Territorial de Trabajo
Acuerda:
Primero. – Inscribir el mencionado Acuerdo sobre calendario laboral en el correspondiente Registro de este Organismo, con notificación a la Comisión Negociadora.
Segundo. – Depositar un ejemplar en esta Entidad.
Tercero. – Disponer su publicación en el Boletín Oficial de la Provincia.
En Valladolid, a 15 de enero de 2026.- La Jefa de la Oficina Territorial de Trabajo.- Fdo.: María Belén de la Iglesia Freile.
ACTA DE LA COMISION NEGOCIADORA DE VEINTICUATRO DE NOVIEMBRE DE DOS MIL VEINTICINCO PARA LA FIRMA DEL CALENDARIO LABORAL SUBSIDIARIO 2026 DEL CONVENIO COLECTIVO DE LA INDUSTRIA, LA NUEVAS TECNOLOGÍAS Y LOS SERVICIOS DEL SECTOR DEL METAL DE VALLADOLID Y PROVINCIA DE LOS AÑOS 2023, 2024 Y 2025.
En Valladolid, a veinticuatro de noviembre de dos mil veinticinco, siendo las trece horas, en el domicilio de la Asociación de Empresarios del Metal de Valladolid y Provincia, sito en la calle Castelar 2-1º de Valladolid, se reúnen los miembros de la Comisión Negociadora del Convenio Colectivo de referencia, que a continuación se relacionan:
REPRESENTACIÓN EMPRESARIAL:
POR LA ASOCIACIÓN EMPRESARIAL METALÚRGICA DE VALLADOLID Y PROVINCIA (VAMETAL): DOÑA MARÍA RODRIGUEZ MANCHADO, D. EDUARDO SANTAMARÍA VALLE, JAVIER VALLES DE LA HUERTA.
POR LA ASOCIACIÓN DE EMPRESARIOS INSTALADORES ELÉCTRICOS Y TELECOMUNICACIONES DE VALLADOLID (APREMIE): DOÑA MARÍA JOSÉ GONZALEZ ROMO, D. ÁNGEL REINOSO CERNUDA.
REPRESENTACIÓN SINDICAL:
POR U.G.T. FICA: D. JUAN CARLOS LÓPEZ PORTELA y D. CONSTANTINO MOSTAZA SAAVEDRA POR CC. OO: D. EMILIO IZQUIERDO HERAS y D. FERNANDO SANTOS CABEZA.
Ambas partes se reconocen mutua capacidad y legitimación para negociar y suscribir el presente acuerdo en la representación que ostentan, y EXPONEN:
I.- Que el objeto de la presente reunión es establecer el calendario laboral de carácter subsidiario que regirá en el sector del Metal de Valladolid y provincia para el año 2026, en cumplimiento de lo dispuesto en el artículo 31 del Convenio Colectivo vigente.
II.- Que, tras las deliberaciones y negociaciones correspondientes, las partes han alcanzado un consenso y, en consecuencia, adoptan los siguientes ACUERDOS:
PRIMERO. – APROBACIÓN DEL CALENDARIO LABORAL SUBSIDIARIO PARA 2026.
Se aprueba por unanimidad el calendario laboral subsidiario para las empresas del sector del Metal de Valladolid y provincia para el año 2026, que se regirá por las siguientes condiciones:
1º.- Jornada de trabajo en 2026: 1.744 horas de trabajo efectivo.
2º.- Vacaciones: 22 días laborables.
3º.- Descanso semanal: Sábados y Domingos.
4º.- Fiestas Laborales: Las 12 autonómicas-nacionales más dos locales, total 14 de las cuales 1 cae en sábado.
5º.- Días de descanso en 2026: Los días 2 y 5 de enero, 24 de abril, y 24 y 31 de diciembre; más el día de libre elección regulado en el último párrafo del art.31 del convenio; a los que se sumarán las tardes de la semana de ferias de la localidad donde radique la empresa.
6º.- La empresa que se rija por el calendario subsidiario, respetará su jornada habitual.
7º.- Las empresas que tengan calendario propio, no se verán afectadas por el calendario subsidiario del metal.
SEGUNDO. – REGISTRO Y PUBLICACIÓN.
Finalmente, acuerdan presentar esta acta ante la autoridad laboral competente, a los efectos de su registro, depósito y posterior publicación en el Boletín Oficial de la Provincia de Valladolid.
Y sin más asuntos que tratar, en prueba de conformidad con todo lo aquí expuesto y acordado, las partes firman la presente acta por cuadruplicado en el lugar y fecha indicados en el encabezamiento.
