CONVENIO COLECTIVO (BOP Núm. 26, 7-2-2023)
Anuncio de la Conselleria de Economía Sostenible, Sectores Productivos, Comercio y Trabajo sobre el texto del convenio colectivo sectorial de Hostelería. Código:46001285011982.
Resolución de la Dirección de Economía Sostenible, Sectores Productivos, Comercio y Trabajo de Valencia, por la que se dispone el registro, depósito y publicación del convenio colectivo intersectorial de Hostelería de la provincia de Valencia 2022-2025.
Vista la solicitud de registro, depósito y publicación del convenio colectivo referido cuyo texto definitivo fue suscrito el día 23 de enero de 2023 por la comisión negociadora formada, de una parte, por la Federación de Servicios, Movilidad y Consumo FeSMC-PV UGT y la Federación de Servicios de CC.OO. del País Valenciano, y por otro, por la Confederación de Empresarios Turísticos de la Comunidad Valenciana (CET-CV), la Asociación Empresarial de Hospedaje Provincial Valenciano, Media y Pequeña empresa, la Asociación Valenciana de Empresarios de Restaurantes Federados (AVERF), la Asociación Empresarial de Cafés-Bares y Cafeterías de Valencia y Provincia, Asociación Empresarial de Pubs de Valencia y Provincia, Asociación de Estaciones Termales y Balnearios, la Asociación Empresarial de Discotecas de Valencia, la Asociación Valenciana de Empresas de Restauración Organizada, la Asociación de Empresarios de Hotelería y Turismo de Cullera y la Ribera Baja, la Asociación Empresarial Hotelera de Gandía y la Safor, la Asociación Empresarial de Salones de Banquetes y Catering de Valencia, la Asociación Empresarial Hotelera y Turística de la Comunidad Valenciana (HOSBEC) y la Federación Empresarial de Hostelería de Valencia (FEHV), y de acuerdo a lo que dispone el artículo 90 del texto refundido de la Ley del Estatuto de los Trabajadores, aprobado por Real Decreto Legislativo 2/2015, de 23 de octubre (en adelante Estatuto de los Trabajadores), los artículos 2.1 a) y 8.3 del Real Decreto 713/2010, de 28 de mayo, sobre registro y depósito de convenios colectivos, acuerdos colectivos de trabajo y planes de igualdad y los artículos 3 y 4 de la Orden 37/2010, de 24 de septiembre, de la Conselleria de Economía, Hacienda y Empleo por la que se crea el Registro de la Comunitat Valenciana de convenios y acuerdos colectivos de trabajo.
Esta Dirección Territorial de Economía Sostenible, Sectores Productivos, Comercio y Trabajo, conforme a las competencias legalmente establecidas en el artículo 51.1.1 del vigente Estatuto de Autonomía de la Comunidad Valenciana, y en el artículo 13.3 de la Orden 10 /2022, de 26 de septiembre, de la Consejería de Economía Sostenible, Sectores Productivos, Comercio y Trabajo, mediante la cual se desarrolla el Decreto 175/2020, del Consell, de 30 de octubre, por el que se aprueba el Reglamento orgánico y funcional de la Conselleria de Economía Sostenible, Sectores Productivos, Comercio y Trabajo, con la advertencia de que el artículo 18 – horario nocturno – que, pese a ser requerido para su subsanación las partes no han considerado procedente su adaptación , deberá interpretar de acuerdo con lo dispuesto en el artículo 36.2 del Estatuto de los Trabajadores,
RESUELVE:
Primero: Ordenar el depósito y la inscripción del convenio colectivo en este registro de convenios colectivos, acuerdos colectivos de trabajo y planes de igualdad.
Segundo: Disponer su publicación en el Boletín Oficial de la Provincia de Valencia.
Valencia, a 25 de enero de 2023. El director territorial de Economía Sostenible, Sectores Productivos, Comercio y Trabajo, Santiago García Gallego.
CONVENIO COLECTIVO INTERSECTORIAL DE HOSTELERIA DE VALENCIA Y SU PROVINCIA PARA LOS AÑOS 2022 a 2025.
PREÁMBULO.
Las entidades firmantes del presente Convenio declaran su intención de cumplir y hacer cumplir todas aquellas disposiciones legales y reglamentarias de aplicación en el sector, en materia de prevención de riesgos laborales, cuidando -a su vez- de aquellos aspectos relativos al acoso sexual, acoso laboral (mobbing), y cualquier otra conducta que trate de vulnerar los derechos fundamentales de la persona y que se produzcan como consecuencia de las relaciones laborales.
En particular, las partes firmantes del presente convenio suscriben la definición de la Directiva 2006/54/CE de «acoso sexual», en cuanto a aquel que se produce ante cualquier comportamiento verbal, no verbal o físico no deseado de índole sexual con el propósito o efecto de atentar contra la dignidad de una persona, en particular cuando se crea un entorno intimidatorio, hostil o degradante, humillante y ofensivo.
Los/as empresarios/as, conscientes de la necesidad de procurar el derecho a la intimidad y a la libertad sexual de las personas, velarán por el respeto de los derechos fundamentales de las personas empleadas a su cargo.
También con carácter especial, las partes suscriben el contenido de la Ley Orgánica 1/2004 de medidas de protección integral contra la violencia de género, así como las medidas específicas de lucha contra este tipo de violencia que en ella se especifican.
Todo ello, con independencia de lo previsto en el V ALEH de obligada atención por las partes suscriptoras del presente Convenio en materia de igualdad de trato y de oportunidades entre mujeres y hombres, y en materia de prevención de riesgos laborales y seguridad y salud en el trabajo.
CAPÍTULO PRIMERO. ÁMBITOS DE APLICACIÓN.
ARTÍCULO PRELIMINAR. PARTES FIRMANTES.
Son partes otorgantes del presente Convenio Colectivo de ámbito intersectorial supraempresarial, por la representación empresarial: la Confederación de Empresarios Turísticos de la Comunidad Valenciana (CET-CV), la Asociación Empresarial de Hospedaje Provincial Valenciano, Mediana y Pequeña Empresa, la Asociación Valenciana de Empresarios de Restaurantes Federados (AVERF), la Asociación Empresarial de Cafés-Bares y Cafeterías de Valencia y Provincia, Asociación Empresarial de Pubs de Valencia y Provincia, Asociación de Estaciones Termales y Balnearios, la Asociación Empresarial de Discotecas de Valencia, la Asociación Valenciana de Empresas de Restauración Organizada, la Asociación de Empresarios de Hotelería y Turismo de Cullera y la Ribera Baja, la Asociación Empresarial Hotelera de Gandía y la Safor, la Asociación Empresarial de Salones de Banquetes y Catering de Valencia, la Asociación Empresarial Hotelera y Turística de la Comunidad Valenciana (HOSBEC) y la Federación Empresarial de Hostelería de Valencia (FEHV) y por la representación sindical: la Federación de Servicios, Movilidad y Consumo FeSMC-PV U.G.T., y la Federación de Servicios de CC.OO. del País Valenciano.
ARTÍCULO 1º ÁMBITO TERRITORIAL.
El presente Convenio Colectivo es de aplicación obligatoria en todas las empresas comprendidas en el ámbito funcional del mismo ubicadas en todo el territorio de la provincia de Valencia.
ARTÍCULO 2.º ÁMBITO FUNCIONAL.
Se regirán por este Convenio Colectivo las empresas que ejerzan actividades propias de la industria de hostelería: hoteles, hostales, hoteles- residencias, hostales-residencias, albergues, apartamentos que presten algún servicio hostelero, moteles, alojamientos rurales, hoteles en estaciones termales, balnearios, ciudades de vacaciones, campings, pensiones, fondas, casas de huéspedes, posadas, viviendas comercializadas con fines turísticos, apartamentos que presenten algún servicio hostelero y, en general, todos aquellos establecimientos que presten servicios de hospedaje a clientes; restaurantes, establecimientos de comidas para llevar, caterings, tabernas con y sin comidas, empresas de comida rápida, restauración organizada/moderna, pizzerías, hamburgueserías, creperías, croisanterías, heladerías, cafeterías, cafés, cafés-bares, cafés-teatro, cyber-cafés, salones de té, bares americanos, whisquerías, cervecerías, chocolaterías, zumerías, los salones lounge y la parte de restauración/cafetería/bar de las salas socioculturales, salas de conciertos, ludotecas y establecimientos infantiles, ambigús, salones recreativos, billares, casinos no de juego, salas de fiestas, discotecas, tablaos flamencos, salones de baile y pubs; relación de carácter enunciativa y no limitativa, facultándose a la Comisión Paritaria del Convenio para dictar la correspondiente resolución decisoria, en cuanto a la inclusión en su ámbito de otras actividades no citadas propias de hostelería.
Respecto a los elaboradores de productos cocinados para su venta a domicilio, no se tratará de venta de productos, sino que será servicio de comidas todo ofrecimiento de comida elaborada y lista para su consumo, tanto en establecimiento como fuera de él. Estarán excluidos del presente ámbito de aplicación aquellas empresas cuyo objeto o actividad económica principal sea la de preparación y elaboración de productos cocinados para su posterior reparto a domicilio.
Igualmente estará incluido el servicio de reparto de comidas elaboradas o preparadas y bebidas, a pie o en cualquier tipo de vehículo que no precise autorización administrativa establecida por la normativa de transporte, como prestación de servicio propio del establecimiento o por encargo de otra empresa, incluidas las plataformas digitales o a través de las mismas.
Asimismo, se regirán por el presente Convenio los Casinos de Juego y las Salas de Bingo en cuanto al personal que realice actividades de hostelería. También será de aplicación a cualquier otra empresa o actividad de hostelería que se recoge en el ámbito funcional del Acuerdo Laboral Estatal de Hostelería vigente, o que se incluya o pueda incluir en modificaciones posteriores de este mismo acuerdo.
En relación a aquellas empresas cuyos centros de trabajo puedan acogerse a la clasificación que realiza el artículo 4º (ámbito funcional) del V Acuerdo Laboral de Ámbito Estatal para el sector de Hostelería, como empresas de Restauración Moderna o de Comida Rápida, deberán solicitar a la Comisión Paritaria del Convenio Colectivo su reconocimiento como tal, mediante resolución vinculante, a efectos de aplicación de lo previsto en el apartado A) del artículo 16, relativo al complemento funcional Asistente Restauración Moderna.
ARTÍCULO 3.º ÁMBITO PERSONAL.
El presente Convenio es de aplicación a las relaciones laborales de las empresas con sus trabajadores/as, que prestan sus servicios en aquéllas mediante contrato de trabajo, conforme dispone el artículo 1.1 del Estatuto de los Trabajadores.
En la relación laboral regulada en el presente convenio, los/as trabajadores/as tienen derecho a no ser discriminados/as para el empleo o una vez empleados/as, por razones de sexo, estado civil, edad dentro de los límites marcados por la Ley y el presente convenio, raza, condición social, ideas religiosas o políticas, afiliación o no a un sindicato. Tampoco podrán ser discriminados/as por razón de disminuciones físicas, psíquicas y sensoriales, siempre que se hallasen en condiciones de aptitud para desempeñar el trabajo o empleo de que se trate.
ARTÍCULO 4.º ÁMBITO TEMPORAL Y VIGENCIA.
El presente Convenio tendrá una vigencia de cuatro años, iniciándose la misma el día 1 de enero del 2022, una vez publicado en el Boletín Oficial de la Provincia y finalizando el día 31 de diciembre del 2025.
No obstante, la vigencia será de cinco años para el acuerdo de homogeneización de tablas salariales y cambios del nivel retributivo, que se llevará a efecto en los términos regulados en el régimen transitorio recogido en el artículo 51.
El artículo 16 apartado B) del presente Convenio entrará en vigor a los tres meses de la publicación del Convenio Colectivo en el BOP. Por su parte, el artículo 24 del presente Convenio entrará en vigor al mes de su publicación en el BOP.
CAPÍTULO SEGUNDO. CONTRATACIÓN.
ARTÍCULO 5.º CONTRATACIÓN.
La contratación de los/as trabajadores/as integrados/as en el presente Convenio se realizará mediante las modalidades contractuales legalmente previstas con carácter general, con las salvedades que seguidamente se concretan:
El salario de aplicación cualquiera que fuese la modalidad contractual utilizada será como mínimo el previsto en el presente Convenio para el grupo y categoría profesional que se le contrate, en proporción al número de horas de prestación de sus servicios profesionales.
A) CONTRATO FORMATIVO
En cuanto al citado contrato, se estará a lo previsto en el artículo 11 del Real Decreto Legislativo 2/2015, de 23 de octubre, por el que se aprueba el texto refundido de la Ley del Estatuto de los Trabajadores o norma que lo desarrolle o sustituya.
El contrato formativo para la obtención de la práctica profesional adecuada al nivel de estudio tendrá una retribución del 75 por ciento del salario base o garantizado fijado en este Convenio para un/a trabajador/a que ocupe el mismo o equivalente puesto de trabajo. Esta retribución no podrá ser inferior al SMI vigente en cada momento.
A la finalización de los contratos formativos, salvo que la persona trabajadora se incorpore como fijo de plantilla a la empresa, percibirá una indemnización de 8 días por año de servicio efectivo, prorrateándose los períodos de tiempo inferiores al año.».
B) CONTRATOS DE DURACIÓN DETERMINADA.
En cuanto a estos contratos se estará a lo previsto en el artículo 15 del Real Decreto Legislativo 2/2015, de 23 de octubre, por el que se aprueba el texto refundido de la Ley del Estatuto de los Trabajadores o norma que lo desarrolle o sustituya.
Cuando el contrato de duración determinada se celebre para supuestos en que se produzca un incremento ocasional e imprevisible de la actividad, y oscilaciones que, aun tratándose de la actividad normal de la empresa, generan un desajuste temporal entre el empleo estable disponible y el que se requiere, siempre que no respondan a los supuestos incluidos en el artículo 16.1, los contratos podrán tener una duración máxima de doce meses, contados a partir del momento en que se produzcan dichas causas.
A la finalización de dicho contrato, excepto en el contrato de duración determinada por causa de sustitución y salvo que la persona trabajadora se incorpore como fijo de plantilla a la empresa, percibirá una indemnización de 12 días por año de servicio efectivo, prorrateándose los períodos de tiempo inferiores al año.
C) CONTRATOS A TIEMPO PARCIAL POR TIEMPO INDEFINIDO.
El número de horas complementarias con posibilidad de pactar entre la empresa y la persona trabajadora en esta modalidad contractual, no podrá exceder del 60 por ciento de las horas ordinarias contratadas y, en todo caso, del límite legal de trabajo a tiempo parcial. Los contratos celebrados con anterioridad a la vigencia del presente convenio podrán modificar el límite de horas complementarias mediante acuerdo de las partes hasta el límite previsto en el presente apartado.
D) CONTRATOS FIJOS-DISCONTÍNUOS.
El contrato fijo discontinuo se regirá por lo dispuesto en el artículo 16 del Real Decreto Legislativo 2/2015, de 23 de octubre, por el que se aprueba el texto refundido de la Ley del Estatuto de los Trabajadores o norma que lo desarrolle o sustituya.
El contrato por tiempo indefinido fijo-discontinuo se concertará para la realización de trabajos de naturaleza estacional o vinculados a actividades productivas de temporada, o para el desarrollo de aquellos que no tengan dicha naturaleza pero que, siendo de prestación intermitente, tengan periodos de ejecución ciertos, determinados o indeterminados.
LLAMAMIENTO. – El personal fijo discontinuo será llamado por orden de antigüedad dentro de cada especialidad en el puesto de trabajo y grupo profesional, atendiendo a la necesidad del servicio, siempre y cuando haya trabajo que justifique tal llamamiento. Por lo tanto, analizada la necesidad del servicio a prestar y la especialización del servicio, cualificación y/o especialidad que la persona trabajadora debe reunir, se hará el llamamiento por orden de antigüedad.
En caso de incumplimiento del llamamiento el trabajador o la trabajadora podrán ejercer las acciones que procedan, iniciándose el plazo para ello desde el momento de la falta de este o desde el momento en que la conociesen.
En las interrupciones del contrato, se seguirá el orden inverso de antigüedad, dentro de cada grupo profesional, atendiendo a la necesidad de la empresa, puesto de trabajo a ocupar y la especialidad de la persona trabajadora.
El llamamiento del personal fijo discontinuo se efectuará con una antelación mínima de cinco días naturales cuando se trate de prestar servicios con una duración superior a un mes, y de dos días naturales cuando se trate de ocupaciones inferiores a dicho plazo.
El llamamiento se podrá realizar por cualquier medio válido que deje constancia escrita de su realización y de su recepción por parte del trabajador. Para ello, la persona trabajadora indicará de forma fehaciente a la empresa el medio por el que prefiere recibir el llamamiento. En caso de no indicar tal preferencia, será la empresa la que decida el medio de comunicación.
Entre otros, se considerará válido:
El correo electrónico remitido a la dirección que la persona trabajadora haya facilitado a la empresa.
El correo postal certificado con acuse de recibo que la persona trabajadora haya facilitado a la empresa.
El mensaje por SMS o WhatsApp al teléfono móvil que la persona trabajadora haya facilitado a la empresa.
Si el personal fijo discontinuo debidamente llamado no se presentara al llamamiento en la fecha indicada sin haber comunicado causa justificada alguna, se entenderá extinguido su contrato de trabajo por dimisión del mismo.
Sin perjuicio de lo dispuesto en el párrafo anterior, para supuestos de llamamiento de aquellos fijos-discontinuos que no realicen trabajos estacionales, sino de prestación intermitente cuyos periodos estén establecidos en contrato, podría realizarse un segundo llamamiento siempre que la persona trabajadora justifique con el primero que tiene una causa de impedimento por motivos de hospitalización o relación laboral vigente, de duración superior a la de dicho llamamiento, con una empresa que no realice una actividad incluida en el ámbito funcional de este convenio.
TRABAJO A TIEMPO PARCIAL DEL CONTRATO FIJO DISCONTINUO
Dadas las particularidades de la actividad propia del sector, el contrato se podrá formalizar a tiempo parcial, tanto para horas al día como días a la semana o al mes, sin que pierdan la condición de fijos-discontinuos.
E) CONTRATOS PARA EL FOMENTO DE LA CONTRATACIÓN INDEFINIDA.
Podrán concertarse contratos de trabajo para el fomento de la contratación indefinida, así como acordar la conversión de contratos de duración determinada a dicha modalidad, de acuerdo con las normas legales y reglamentarias que se dicten en esta materia.
Los/as trabajadores/as sin experiencia, contratados mediante contrato indefinido, a tiempo completo o parcial por una jornada mínima de 30 horas semanales, incluidos los fijosdiscontinuos, percibirán durante los 9 primeros meses de duración del contrato, el salario fijado en el ANEXO II BIS para la calificación ESPECIAL SIN EXPERIENCIA, pasando a percibir el salario fijado en el Anexo II al día siguiente de finalizar este período.
Para las contrataciones que se realicen de esta forma en el nivel profesional V, se percibirá el salario fijado en el Anexo II BIS durante los 6 primeros meses de duración del contrato.
Se entenderá que carece de experiencia, si han trabajado menos de 9 meses en el área funcional para la que se le contrata.
La persona trabajadora aportará aquellos documentos que acrediten, el cumplimiento de las condiciones establecidas en el presente artículo. En caso contrario, la empresa deberá ratificar que la persona trabajadora cumple con los requisitos para acceder a este nivel retributivo especial. Si la persona trabajadora contratada no cumple con los requisitos de forma inmediata pasara a percibir el salario correspondiente a su categoría con efectos retroactivos desde el día de su contratación.
En el caso de despido producido en el periodo de los nueve meses iniciales que se declare improcedente, la persona trabajadora tendrá derecho a percibir el importe correspondiente a la tabla salarial del Anexo II correspondientes al periodo de tiempo en que ha prestado servicio, siempre y cuando la persona trabajadora no haya falseado los datos consignados según lo dispuesto en el párrafo anterior.
En los centros de trabajo de más de 10 trabajadores/as no podrá haber más del 10% de la plantilla contratadas en estas condiciones de forma simultánea. Así mismo, en los centros de 10 o menos trabajadores/as, solamente podrá haber un trabajador o trabajadora contratado/a en estas condiciones de forma simultánea.
El presente apartado entrará en vigor a partir de la fecha de publicación en el BOP.
F) PLANTILLAS FIJAS.
Se fijan los siguientes criterios para determinar la relación entre el volumen de plantilla fija y fija-discontinua con la plantilla total de la empresa, durante la vigencia del presente Convenio:
a) En los centros de trabajo de hasta 10 trabajadores/as el 55 por ciento de plantilla fija o fija- discontinua.
b) En los centros de trabajo entre 11 y 30 trabajadores/as el 65 por ciento de plantilla fija o fija- discontinua.
c) En los centros de trabajo de más de 30 trabajadores/as el 70 por ciento de plantilla fija o fija- discontinua.
Dicha adecuación del volumen de la plantilla fija en relación con la plantilla total de la empresa, se ha hecho al amparo de lo previsto en el artículo 15.8 del Estatuto de los Trabajadores, teniendo en cuenta los ciclos productivos en el Sector de Hostelería en el ámbito geográfico del presente Convenio, de forma que las partes signatarias del presente Convenio consideran que dicha proporción guarda el necesario equilibrio, evitando que las fluctuaciones de la demanda afecten innecesariamente al empleo estable.
El compromiso que se adquiere es que las empresas mantendrán en sus centros de trabajo el porcentaje de plantilla fija o fija-discontinua expresado, calculado como media en cómputo anual, de forma que, para alcanzar los porcentajes indicados, se haga teniendo en cuenta el número total de horas anuales trabajadas correspondiente a la plantilla de cada centro de trabajo.
Se computarán dentro de los citados promedios los/as trabajadores/as autónomos/as o por cuenta propia dependientes de la empresa, que presten su actividad en la misma. Por el contrario, no se computarán como plantilla absoluta del centro laboral los/as trabajadores/as contratados/as como interinos y los contratados para realizar servicios extras (banquetes, recepciones, cócteles, etc.).
Quedan excluidos de la aplicación de este apartado los centros de trabajo durante el primer año de su actividad, y aquellos de carácter de temporada con cierre de al menos dos meses consecutivos, donde las oscilaciones de la plantilla varíen significativamente de encontrarse en temporada o fuera de ella.
En relación con el contenido de este artículo, también le será de aplicación las diferentes disposiciones transitorias establecidas en el Real Decreto-ley 32/2021, de 28 de diciembre, de medidas urgentes para la reforma laboral, la garantía de la estabilidad en el empleo y la transformación del mercado de trabajo.
ARTÍCULO 6.º PERÍODO DE PRUEBA Y CESE.
La contratación prevista en el artículo anterior estará sometida a los períodos de prueba establecidos en el artículo 20 del V ALEH o norma que lo sustituya.
La empresa deberá realizar la liquidación de partes proporcionales de pagas extras y vacaciones, así como de los salarios devengados, el último día de trabajo efectivo de la persona trabajadora que cese en la empresa. La empresa, si la persona trabajadora lo solicitase, facilitará al mismo, con tres días de antelación a la fecha del cese en el trabajo, una propuesta del documento de liquidación de las cantidades adeudadas, de conformidad con lo dispuesto a este efecto en el art. 49.2 del Estatuto de los Trabajadores.
Tanto la empresa como la persona trabajadora, en los casos en que no exista obligación legal o convencional de preavisar a la otra parte la resolución del contrato de trabajo, deberán comunicarse recíprocamente con una antelación mínima de 15 días naturales la intención de extinguir la relación laboral que les une. No obstante, los/as trabajadores/as de los niveles Primero y Segundo deberán preavisar a la empresa con una antelación de 30 días. Se exceptúa de tal obligación los ceses realizados por despido disciplinario y no superación del período de prueba. La falta de dicho preaviso acreditará a favor de la persona trabajadora una indemnización igual al salario de los días no preavisados, y, a favor de la empresa una indemnización de igual cuantía a deducir de la liquidación de haberes a practicar a favor de la persona trabajadora.
ARTÍCULO 7.º EMPRESAS DE TRABAJO TEMPORAL Y EMPRESAS DE SERVICIOS.
Las empresas que contraten la realización de servicios con empresas de trabajo temporal, garantizarán a los/as trabajadores/as contratados/as por dichas empresas que presten su trabajo para las mismas, los derechos reconocidos en la Ley 14/1994 y normativa de desarrollo.
Las empresas afectadas por el presente Convenio que contraten con empresas de servicios, deberán cuidar del cumplimiento estricto de lo previsto en el artículo 43 del Estatuto de los Trabajadores, en evitación de incurrir en cesión ilegal de trabajadores; la cual se producirá cuando se dé una sola de las causas que seguidamente se concretan: que el objeto del servicio se limite a una mera puesta a disposición de los trabajadores de la empresa cedente a la empresa cesionaria, que la empresa cedente carezca de una actividad o de una organización propia y estable, que no cuente dicha empresa con los medios necesarios para el desarrollo de su actividad, o no ejerza las funciones inherentes a su condición de empresario.
CAPÍTULO TERCERO MODIFICACIÓN DEL CONTRATO DE TRABAJO.
ARTÍCULO 8.º TRABAJOS DE NIVEL RETRIBUTIVO SUPERIOR.
La realización de trabajos de categoría profesional de nivel retributivo superior al que ostente la persona trabajadora, derivada de necesidades técnicas u organizativas, una vez acreditada la cualificación profesional o académica para su realización, deberá ser comunicada a la persona trabajadora y a la RLT de forma escrita y con la antelación que correspondiese, devengando el salario correspondiente a dicho nivel retributivo por el tiempo de duración de tales trabajos.
Transcurridos cuatro meses ininterrumpidos, a la persona trabajadora se le respetará su salario en dicho grupo y/o categoría profesional superior, ocupando la vacante, si le correspondiese de acuerdo con las normas sobre ascensos o, en caso contrario, reintegrándose a su puesto de trabajo primitivo, ocupándose aquella vacante por quien corresponda.
No regirá plazo máximo alguno a efectos de consolidación de categoría y salario, cuando tal realización de trabajos de categoría y/o grupo profesional superior tengan su causa en la sustitución de trabajadores/as ausentes con reserva de plaza, que tengan su contrato legalmente suspendido o interrumpido, en cuyo caso tal sustitución tendrá la vigencia de la causa origen de la ausencia.
En lo no previsto en este artículo se estará a lo dispuesto en el artículo 39 del Real Decreto Legislativo 2/2015, de 23 de octubre, por el que se aprueba el texto refundido de la Ley del Estatuto de los Trabajadores.
ARTÍCULO 9.º ASCENSOS.
Los ascensos a categoría profesional de nivel retributivo superior los efectuará la empresa mediante convocatoria entre el personal de categoría de nivel retributivo inferior a la vacante existente, teniendo en cuenta su formación, capacitación profesional y antigüedad en la empresa.
Los ascensos a puestos de trabajo de categorías del nivel retributivo primero de este Convenio, así como los de Primer Conserje y Encargado/a General, son de exclusiva decisión de la empresa. Para los demás puestos de trabajo, la formación y la capacitación profesional serán evaluadas por una Comisión «ad hoc» que estará integrada por el/la empresario/a o su representante, el/la jefe/a de la sección correspondiente, un representante legal de los/as trabajadores/as y la persona trabajadora del mismo grupo y/o categoría profesional a ocupar con mayor antigüedad en la empresa.
En las empresas con cafeterías y/o bares, siempre y cuando exista vacante, los/las Ayudantes de Camarero/a en bares y cafeterías, ascenderán pasado un año en el desempeño de dicha categoría profesional, a ostentar la categoría de Camarero/a. A tal efecto, la distribución organizativa de las categorías profesionales de Camarero/a y Ayudante de Camarero/a se fija de la forma siguiente:
a) 20 por ciento de Camareros/as.
b) 80 por ciento de Ayudantes de Camareros/as.
CAPÍTULO CUARTO. JORNADA DE TRABAJO.
ARTÍCULO 10.º JORNADA SEMANAL.
La jornada de trabajo se establece en 40 horas semanales de trabajo efectivo y equivalentes a 1.794 horas anuales efectivas.
La jornada diaria se computará desde el momento de la toma efectiva del servicio, en ropa de trabajo, finalizando su cómputo en el lugar de prestación de servicios.
Para la aplicación de lo pactado en el punto anterior, y en cumplimiento de lo dispuesto en el artículo 34.9 del Estatuto de los Trabajadores, la empresa garantizará el registro diario de jornada, que deberá incluir el horario concreto de inicio y finalización de la jornada de trabajo de cada persona trabajadora, sin perjuicio de la flexibilidad horaria que esté establecida o se pueda establecer en el futuro en la empresa.
Este registro podrá efectuarse por cualquiera de los medios mecánicos, visuales o electrónicos que libremente establezca la empresa.
El registro de jornada sea cual sea el medio utilizado, debe incluir:
a. El nombre de la empresa.
b. La dirección del centro de trabajo.
c. El día de la prestación de servicios.
d. Identificación de la persona trabajadora e. La hora de inicio de jornada: Se deberá registrar la hora concreta en la que la persona trabajadora comience su jornada laboral, encontrándose en su puesto de trabajo (artículo 34.5 del Estatuto de los Trabajadores) o a disposición de la empresa (cuando la persona trabajadora esté autorizada por la empresa para iniciar su prestación de servicios desde otra ubicación física).
f. La hora de finalización: Se deberá registrar la hora concreta en la que la persona trabajadora finalice su jornada laboral, encontrándose en su puesto de trabajo (artículo 34.5 del Estatuto de los Trabajadores) o a disposición de la empresa (cuando la persona trabajadora esté autorizada por la empresa para iniciar su prestación de servicios desde otra ubicación física).
A efectos de lo previsto en los apartados e y f, si el medio de registro utilizado refleja un desajuste entre la hora de entrada/inicio al centro de trabajo y la de salida/finalización de la jornada efectiva de trabajo, deberá ser tenida en cuenta esta circunstancia a los efectos previsto en el párrafo segundo de este artículo. A tal efecto, se deberá establecer como hora de inicio y finalización aquella que coincida con jornada efectiva.
Los/as trabajadores/as cuya jornada exceda de seis horas, tendrán derecho a un descanso de treinta minutos diarios (con destino a la comida o al bocadillo), de los que quince minutos tendrán la consideración de jornada efectiva y se retribuirá como tal y los otros quince minutos no computarán a ningún efecto como jornada efectiva. La organización de dicho descanso y los turnos para hacerlo efectivo corresponde a la empresa.
Los/as trabajadores/as cuya jornada sea inferior a las seis horas, tendrán derecho a un descanso de quince minutos diarios (con destino a la comida o al bocadillo), no retribuido, que no computarán a ningún efecto como jornada efectiva.
En ambos casos, el derecho al descanso tendrá que ser disfrutado por la persona trabajadora en uno solo de los turnos que realice al día. La organización de dicho descanso y los turnos para hacerlo efectivo corresponde a la empresa.
La empresa, al objeto de adecuar su capacidad productiva a los imprevistos que se puedan originar, podrá distribuir de manera irregular 145 horas/año de la jornada de trabajo. A esos efectos, la jornada máxima diaria podrá verse ampliada por necesidades del servicio a prestar (incremento de la ocupación, incremento de la actividad, banquetes, etc.), hasta un total de diez horas diarias de trabajo efectivo, mediante la comunicación escrita a la persona trabajadora con una antelación mínima de cinco días. A su vez, el número de horas ordinarias de trabajo efectivo citado podrá verse reducido por necesidades acreditadas del servicio a prestar (reducción de la ocupación, reducción de la actividad, menor número de banquetes, etc.), hasta un total de 6 horas diarias de trabajo efectivo, mediante la comunicación escrita a la persona trabajadora en igual plazo.
Las horas trabajadas de más o de menos, que no superarán las 145 horas/año, integrarán una bolsa personal de la persona trabajadora, que deberá regularizarse a lo largo del año, mediante el descanso sustitutorio o mediante la recuperación oportuna de las horas dejadas de realizar.
Para el caso de que se compensen mediante descanso sustitutorio, éste se realizará acumulando las horas trabajadas de más, para concentrar en días completos el referido descanso. Las fechas para el disfrute del descanso sustitutorio se establecerán de mutuo acuerdo y teniendo en cuenta las necesidades de los servicios a realizar. En caso de no realizarse tal regularización en el plazo previsto, las horas trabajadas de más deberán retribuirse como extraordinarias en la nómina correspondiente al mes de diciembre del año en curso; y, en caso de que el saldo de la bolsa de horas sea negativo, se trasladará al año siguiente. En ningún caso este sistema de flexibilidad horaria producirá alteración en las retribuciones previsibles de la persona trabajadora en el mes en que se produzcan las alteraciones citadas. La representación legal de los/as trabajadores/as tendrá acceso a la información relativa a la bolsa de horas de los/as trabajadores/as del centro de trabajo.
Se establece como límite semanal en los casos de prolongación de la jornada un máximo de 50 horas, sin que pueda realizarse dicha prolongación más de tres semanas consecutivas, y teniendo como límite semanal en los casos de reducción de la jornada un mínimo de 30 horas, sin que pueda realizarse dicha reducción más de dos semanas consecutivas.
Tales ampliaciones afectarán exclusivamente a aquellos/as trabajadores/as a los que por turno les corresponda prestar sus servicios en tales fechas.
Si una persona trabajadora causa baja voluntaria en la empresa, teniendo pendiente la regularización o compensación de su bolsa personal de horas, esta circunstancia deberá ser tenida en cuenta en la liquidación del finiquito, de tal manera que si la persona trabajadora tiene un saldo positivo de horas (es decir, horas trabajadas de más) le deberán ser retribuidas en la forma anteriormente estipulada, y si tiene un saldo negativo de horas (es decir, horas realizadas de menos) le deberán ser descontadas.
ARTÍCULO 11.º DISTRIBUCIÓN DE LA JORNADA.
La jornada diaria de trabajo no podrá dividirse en más de dos períodos. En los casos en que la jornada diaria sea de 4 o menos horas, ésta no podrá ser partida, salvo pacto expreso en sentido contrario o acuerdo expreso o tácito vigente con anterioridad a la vigencia del presente convenio.
En caso de realizarse en dos períodos, entre la primera y la segunda parte de la misma habrá un período mínimo de descanso de una hora, si se realiza la comida en el centro de trabajo, y de dos horas si se hace fuera de él. El descanso máximo entre la primera y la segunda parte de la jornada será de cuatro horas, que se fijará de común acuerdo.
Entre la finalización de una jornada y el inicio de la siguiente, deberá existir un descanso de doce horas. Entre el inicio y el final de la jornada partida no podrán transcurrir más de doce horas.
En las empresas cuyos centros de trabajo estén abiertos al público durante dieciséis o más horas continuadas, en aquellas secciones que funcionen ininterrumpidamente, se procurará realizar la jornada de trabajo de forma continua y rotativa, siempre con especial atención a las necesidades del servicio a prestar.
La distribución anual de la jornada de trabajo, debe realizarse de modo que en ningún caso se supere la jornada de trabajo establecida en este Convenio, de forma que cuando el disfrute de las vacaciones anuales o del descanso semanal coincida con festivos abonables previstos en el calendario anual, tal incidencia deberá tenerse en cuenta en cuanto al estricto cumplimiento de las 1.794 horas anuales, de forma que la persona trabajadora deberá disfrutar los 14 festivos anuales, con independencia de las vacaciones y descansos semanales.
ARTÍCULO 12.º DESCANSO SEMANAL.
El descanso semanal se establece en dos días consecutivos, salvo para los centros de trabajo con día fijo de cierre, donde el descanso semanal podrá ser no consecutivo. Las empresas que no tengan fijado día o días de cierre semanal, organizarán turnos rotativos que permitan el descanso de todo/a trabajador/a en un domingo de cada cuatro transcurridos. Como máximo, se podrán trabajar tres domingos seguidos y el cuarto descansar.
No obstante, cuando a la persona trabajadora le corresponda descansar un domingo, los días de descanso semanal podrán ser no consecutivos.
A su vez, las empresas y la representación legal de los/as trabajadores/as podrán establecer pactos a nivel de centros de trabajo, con regímenes de descanso -en cuanto a la consecutividad o no del descanso semanal- adaptados a las propias necesidades del mismo.
ARTÍCULO 13.º HORAS EXTRAORDINARIAS.
Las horas extraordinarias, mientras persista la situación de empleo actual, tendrán el siguiente tratamiento:
a) Horas extraordinarias habituales: supresión.
b) Horas extraordinarias por fuerza mayor: realización.
c) Horas extraordinarias coyunturales, períodos punta, ausencias imprevistas, ensamblaje de turnos, trabajos de reparación con carácter de urgencia: realización voluntaria.
La dirección de la empresa informará mensualmente a la representación legal de los/as trabajadores/as y/o delegados/as sindicales, sobre el número de horas realizadas, sus causas, y distribución por secciones. Ambas partes determinarán el carácter y naturaleza de las horas realizadas.
Las horas extraordinarias se abonarán con independencia del porcentaje de servicio que pudiera devengar la persona trabajadora que las. realizase, en aquellas empresas que dicho sistema retributivo esté establecido. Estas horas extraordinarias tendrán el valor salarial que se especifica en el anexo II del Convenio.
El número de horas extraordinarias que puede realizar la persona trabajadora en términos anuales no será superior a ochenta.
Mediante acuerdo de empresa o en su defecto contrato individual de trabajo, se podrá establecer la compensación de las horas extraordinarias realizadas por tiempos equivalentes de descanso retribuido. Dichas horas deberán ser compensadas con dicho descanso dentro de los cuatro meses siguientes a su realización y no computarán a efectos del número máximo de horas extraordinarias permitidas. Las horas extraordinarias realizadas por fuerza mayor, igualmente no computarán a efectos del número máximo permitido.
A efectos del cómputo de horas extraordinarias, la jornada individual se registrará día a día, totalizándose mensualmente y entregando copia de dicho resumen a la persona trabajadora que las haya realizado.
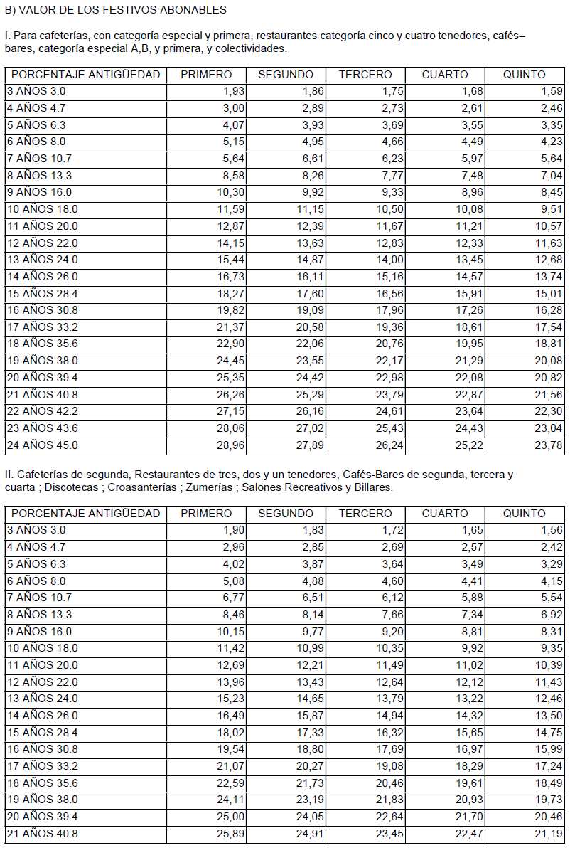
ARTÍCULO 14.º FIESTAS ABONABLES.
Cuando la persona trabajadora tenga que trabajar en día señalado como festivo, por razones de la actividad empresarial, tendrá derecho a la correspondiente compensación, en metálico o en descanso, opción que deberá efectuar la persona trabajadora al inicio de la relación laboral y en el mes de diciembre en relación con las fiestas del año siguiente. En caso de no efectuarse la opción en el citado mes de diciembre, se entenderá que la opción ejercitada es la correspondiente al año anterior, manteniéndose la misma durante todo el año natural.
A tal efecto se establecen las siguientes opciones:
a) Caso de optarse por la compensación en metálico, cada día festivo se abonará según las cuantías que se fijan en el anexo II del Convenio. En estos casos, el importe anual correspondiente a los festivos por los que hubiese optado la persona trabajadora podrá prorratearse en términos mensuales.
b) Si la opción fuera en tiempo de descanso acumulado lo será a razón de un día de descanso por cada día festivo trabajado, al que se sumarán los correspondientes días de descanso semanal.
c) A la opción en tiempo de descanso aislado, en la fecha que fije la empresa, que nunca será más tarde de los cuarenta y cinco días siguientes a la fecha de la fiesta, abonando además el equivalente al 50 por ciento de salario de un día. La persona trabajadora deberá conocer la fecha del descanso correspondiente dentro de los cinco días siguientes a la fiesta trabajada.
Cuando un festivo abonable coincida con un día de descanso semanal o vacaciones de un/a trabajador/a, esta circunstancia se deberá tener en cuenta a efectos del cumplimiento de la jornada global anual señalada en el presente Convenio, de forma que en todo caso la persona trabajadora disfrute los 14 festivos anuales, salvo que hubiese optado por su compensación en metálico.
Seguirán siendo de aplicación aquellos pactos expresos de empresa que pudieran existir sobre la materia regulada en este artículo celebrados con anterioridad a la vigencia del presente Convenio.
ARTÍCULO 15.º VACACIONES.
El período de vacaciones anuales retribuidas, no sustituible por compensación económica, será de 30 días naturales que se disfrutarán de forma ininterrumpida, salvo acuerdos tomados en contrario. Caso de que la persona trabajadora no llevara un año de prestación de servicios en la empresa, tendrá derecho al disfrute de la parte proporcional de días de vacaciones.
En caso de interrumpirse o extinguirse la relación laboral anticipadamente a la fecha prevista, la empresa podrá descontar a la persona trabajadora el importe salarial de los días disfrutados de más.
Las empresas afectadas por el presente convenio colectivo fijarán entre la dirección y los/as representantes legales de los/as trabajadores/as el preceptivo calendario de disfrute de las vacaciones, de forma que cada persona trabajadora conocerá las fechas que le correspondan dos meses antes, al menos, del comienzo del disfrute.
Para fijar la distribución de las vacaciones anuales de la plantilla se tendrán en cuenta las circunstancias de la actividad desarrollada, de forma que:
– Los centros de trabajo que cierren por las vacaciones anuales fijarán el disfrute de las vacaciones durante el cierre del centro.
– Los centros de trabajo que sean de temporada, y/o que concentren la mayor parte de su actividad en un período del año, fijarán entre la dirección de la empresa y los/as representantes legales de los/as trabajadores/as el preceptivo calendario de disfrute, excluyendo de disfrute aquellos meses de mayor actividad.
– Los centros de trabajo no contemplados en los apartados anteriores fijarán entre la dirección de la empresa y los/as representantes legales de los/as trabajadores/as el preceptivo calendario, cuyo disfrute se establecerá durante todo el año, sin que quede excluido ningún mes del año.
Estas condiciones se aplicarán a partir de su publicación para aquellas empresas que no hayan establecido aún su calendario laboral. Para aquellas empresas que, en el momento de su publicación ya lo hubieran acordado, estas condiciones se aplicarán a partir del 1 de enero de 2023.
Cuando el periodo de vacaciones fijado en el calendario de vacaciones de la empresa al que se refiere el párrafo anterior coincida en el tiempo con una incapacidad temporal derivada del embarazo, el parto o la lactancia natural o con el periodo de suspensión del contrato de trabajo previsto en los apartados 4, 5 y 7 del artículo 48, se tendrá derecho a disfrutar las vacaciones en fecha distinta a la de la incapacidad temporal o a la del disfrute del permiso que por aplicación de dicho precepto le correspondiera, al finalizar el periodo de suspensión, aunque haya terminado el año natural a que correspondan.
La concurrencia de I.T. por contingencias distintas a las señaladas en el párrafo anterior, que imposibilite a la persona trabajadora disfrutarlas total o parcialmente, durante el año natural a que corresponden, suspenderá el cómputo de las vacaciones anuales por el tiempo que dure la contingencia, en cuyo caso los días coincidentes no computados deberán disfrutarse en la fecha posterior que se convenga y siempre que no transcurran más de dieciocho meses a partir del final del año en que se hubieran originado.
Al objeto de computar correctamente el período de disfrute vacacional, se deberá observar el disfrute del descanso semanal correspondiente con carácter previo al inicio de las vacaciones.
CAPÍTULO QUINTO. CONDICIONES SALARIALES.
ARTÍCULO 16.º TABLAS SALARIALES.
Las tablas salariales para los años comprendidos en el periodo del 2022 al 2025 serán las que se indican en el Anexo II del presente Convenio. En dichas tablas se establece la retribución mínima garantizada o salario base fijada por niveles retributivos según la clasificación de los establecimientos y actividades de las empresas y los grupos y/o categorías profesionales de las personas trabajadoras.
El incremento total acumulado en dicho/s periodo/s será del 8%, cuyo porcentaje anual en esos cuatro años será variable según la tabla salarial correspondiente:
2022: Del 1 de enero al 30 de junio el incremento salarial para todas las tablas calculado sobre las tablas del 2014 vigentes es el siguiente:
Tabla I y III a VIII: 1%.
Tabla II: 2%.
Tablas IX a XI: 1,25 %.
Tabla XII: adecuación a lo indicado en la propuesta balnearios.
Del 1 de julio al 31 de diciembre el incremento salarial será del 3,5% para todas las tablas calculado sobre las tablas del 2014 vigentes (31 de diciembre de 2013)
Los atrasos generados por la aplicación de estos incrementos se abonarán dentro del mes siguiente de la publicación del convenio.
Si el IPC del 2022 superara el 3,5% se abonará una única paga no consolidable del 0,5%, en el primer trimestre de 2023.
2023: 2,5%. Si el IPC del 2023 superara el 2,5% se abonará una única paga no consolidable del 0,5%, en el primer trimestre de 2024.
2024:
Tabla I y III a VIII: 1,62%.
Tabla II: 1,37%.
Tablas IX a XI: 1,56 %.
Tabla XII: adecuación a lo indicado en la propuesta balnearios.
2025:
Tabla I y III a VIII: 1,62%.
Tabla II: 1,37%.
Tablas IX a XI: 1,56 %.
Tabla XII: adecuación a lo indicado en la propuesta balnearios.
En relación con la tabla XII correspondiente a los balnearios (Hotel-Balneario con termalismo social), se hace necesario el reconocimiento explícito de la singularidad de aquellas empresas cuya actividad empresarial se encuentra, en un porcentaje del 80%, supeditada a los programas de termalismo social (IMSERSO y GV), y particularmente su precio fijado unilateralmente por la administración.
Por ello, el incremento salarial para los años 2022-2025 será el que se recoge en la tabla correspondiente del Anexo II.
Para acogerse a esta tabla, las empresas deberán aportar justificación suficiente ante la comisión paritaria de que su actividad principal está condicionada mayoritariamente por los programas de termalismo social. Esta condición deberá demostrarse anualmente con datos objetivos.
A) COMPLEMENTO FUNCIONAL ASISTENTE/A RESTAURACIÓN MODERNA.
De conformidad con la descripción de la prestación laboral, actividades, puestos de trabajo y tareas que realiza el artículo 17. C), apartado p) y t) del V Acuerdo Laboral de Ámbito Estatal para el sector de Hostelería referidos, respectivamente, al Preparador/a y Asistente/a de Restauración Moderna, la diferencia prevalente entre ambas áreas funcionales en lo referente a las tareas del proceso de manipulación, montaje y preparación de productos que se elaboran en el centro de trabajo, estriba en la autonomía y responsabilidad de las tareas a realizar.
A tal fin, y en lo referente a la flexibilidad interna y como respuesta a las necesidades de las empresas cuyos centros de trabajo sean reconocidos como centros de trabajo de Empresas de Restauración Moderna, o de Comida Rápida conforme a lo establecido en el artículo 4º (ámbito funcional) del V Acuerdo Laboral de Ámbito Estatal para el sector de Hostelería, el Asistente/a de Restauración Moderna encuadrado en el nivel retributivo quinto del convenio colectivo de trabajo del sector de Hostelería de la provincia de Valencia, deberá ejecutar los trabajos de elaboración, preparación y entrega de productos básicos, siempre, bajo la supervisión del Preparador/a de Restauración moderna o de cualquier otro empleado/a de categoría superior.
Al objeto de establecer un criterio en la empresa respecto del porcentaje que hay que tener de Asistentes/as en relación con los de Preparadores/as u otros empleados/as de categorías superiores, se determina que el porcentaje en computo de horas anuales de los Asistentes/as será, como máximo de un 80% y el de los Preparadores/as o de categorías superiores de un 20%.
Se acuerda que los Asistente/a de Restauración Moderna que a uno de enero de 2022 tengan una antigüedad en esta categoría y también para los de nuevo ingreso de 4 meses, percibirán un complemento salarial para el año 2022, denominado PLUS FUNCIONAL POR EXPERIENCIA, consistente en veinte euros mensuales (20 € por doce pagos) para la persona trabajadora a tiempo completo y la parte proporcional que corresponda a su jornada para el que trabaje a tiempo parcial. A partir del 2023, cada año este importe se incrementará con el tanto por cien que suba el convenio colectivo.
B) PLUS DE FORMACION.
En aras a conseguir un sector moderno y competitivo, es necesario contar con empresarios/as y trabajadores/as con una formación adecuada y permanentemente actualizada. En consecuencia, la participación activa en aquellos modelos que garanticen el desarrollo de una formación de calidad es una apuesta necesaria para el desarrollo y mantenimiento de un sector hostelero competitivo y para la consecución de un empleo estable y de calidad.
Por ello, las partes signatarias del presente convenio acuerdan que, a partir del tercer mes de publicación del convenio, aquellas empresas de restauración de los códigos CNAE 56 (servicios de comidas y bebidas) que no estén vinculados a establecimientos hoteleros u otras empresas de alojamiento del código CNAE 55 y a los que sea de aplicación la tabla nº1 de salarios del Anexo II del convenio colectivo deberán abonar a sus trabajadores/as un Plus Compensatorio de Formación, de naturaleza salarial, en cuantía de 20 euros por 12 pagas, durante la vigencia del presente convenio, que:
1. No acrediten su participación en una organización empresarial representativa del sector, que colabore activamente en el desarrollo formativo de este sector, a través del impulso de planes de formación, dirigidos a trabajadores/as afectados/as por este convenio, entendida como aquella que tiene por objeto facilitar una formación ajustada a las necesidades del mercado de trabajo que atienda a los requerimientos de competitividad de las empresas de este sector, y que a la vez satisfaga las aspiraciones de promoción profesional y desarrollo personal de los/as trabajadores/as, capacitándoles para el desempeño cualificado de las diferentes profesiones.
2. O bien no acrediten el desarrollo de planes individuales de formación continua.
3. O no acrediten la participación en planes agrupados de formación permanente y/o continua en materia de hostelería desarrollados por los sindicatos más representativos del sector.
Para quedar excluido de esta obligación se establecen estas opciones de acreditación:
1) Mediante certificación expedida por organización empresarial representativa del sector y que partícipe o promueva la formación específica para hostelería, que acredite su adhesión a la misma. Dando traslado de copia a la comisión Paritaria.
2) Mediante certificación expedida por la empresa que acredite el desarrollo de planes individuales de formación continua. Dando traslado de copia a la comisión Paritaria Dichas certificaciones tendrán validez anual, pudiendo ser renovadas automáticamente si se mantiene el cumplimiento de los requisitos tenidos en cuenta para su expedición, o revocadas en cualquier momento si se dejasen de cumplir.
3) Mediante certificación expedida por una organización sindical que acredite la participación de la empresa en algún plan agrupado de formación continua en materia de hostelería desarrollado por ellos. Dando traslado de copia a la comisión Paritaria.
En todo caso los/as trabajadores/as afectados/as por el presente convenio podrán recabar información de la Comisión Paritaria referente a la vigencia y validez de la certificación invocada por la empresa, a los efectos de reclamar el Plus de Formación si hubiere lugar a ello.
ARTÍCULO 17.º COMPLEMENTOS DE ANTIGÜEDAD Y PORCENTAJE DE SERVICIO.
Los complementos salariales denominados antigüedad y porcentaje de servicio, consolidados al amparo de los Convenios Colectivos de los años 1995-1997 y 1998-2000, para las empresas encuadradas en la Asociación Empresarial Hotelera de la Provincia de Valencia y para el resto de las empresas afectadas por el presente Convenio, respectivamente, mantendrán sus importes en las mismas condiciones que se pactaron en los citados Convenios; es decir, deberán seguir retribuyendo estos complementos sólo a los/as trabajadores/as que los tuvieran reconocidos/as, como cantidad consolidada y a título «ad personam» y en las cuantías congeladas en su momento, siendo las mismas no absorbibles, ni compensables por los aumentos del presente Convenio.
ARTÍCULO 18.º TRABAJO NOCTURNO.
Se considera trabajo nocturno el realizado entre las diez de la noche y las seis de la mañana.
El importe de los salarios que se pactan en el presente Convenio se efectúa teniendo en cuenta que la jornada habitual se extiende hasta las 00:30 horas de la madrugada.
Las horas trabajadas entre 00:30 horas y las 06:00 horas, devengarán a favor de la persona trabajadora el pago de un complemento a razón de aplicar un 20 por ciento sobre el salario garantizado o base diario correspondiente a las horas trabajadas en dicho período horario nocturno. No será de aplicación tal porcentaje a los/as trabajadores/as que desempeñen funciones de Conserje de noche, ni a aquellos otros cuya retribución se haya establecido teniendo en cuenta la condición de nocturnidad del servicio a prestar.
La base de cálculo de dicho complemento será:
Se respetará como condición individual más beneficiosa aquellos importes que resultaran para la persona trabajadora por el citado complemento una cuantía superior a la expresada en el párrafo primero, ya sea por aplicación de un horario, un porcentaje o una base de cálculo más favorable para el mismo.
ARTÍCULO 19.º PAGAS EXTRAORDINARIAS.
Los/as trabajadores/as afectados/as por el presente Convenio percibirán tres pagas extraordinarias al año, consistentes en treinta días; de percepción mínima garantizada o salario base más antigüedad, en su caso.
Las de Junio y Navidad se abonarán los días 30 de junio y 20 de diciembre, respectivamente, de cada año, y la de Marzo se abonará entre el día 1 de enero y el 15 de marzo del año siguiente al de su devengo, calculándose esta paga sobre la percepción mínima garantizada y antigüedad en su caso, devengadas por la persona trabajadora en el mes de diciembre del año anterior a su liquidación. En caso de liquidación de esta paga con posterioridad al 15 de marzo, la base de cálculo de la misma será la percepción mínima garantizada y antigüedad en su caso, devengadas por la persona trabajadora en el mes de marzo del año en curso.
Para una correcta liquidación de estas pagas, se concreta como períodos de devengo de las mismas los siguientes:
Paga de Junio: desde el día 1 de julio al 30 de junio del año siguiente.
Paga de Navidad: desde el día 1 de enero al 31 de diciembre del mismo año.
Paga de Marzo: desde el día 1 de enero al 31 de diciembre de cada año.
Los/as trabajadores/as que no hayan completado un año de servicios correspondiente al período de devengo de cada paga percibirán las mismas en proporción al tiempo de trabajo.
Los períodos de incapacidad temporal no se computarán para el devengo y cálculo de las pagas extraordinarias, al percibir la persona trabajadora durante dichos procesos la prestación y en su caso el complemento correspondiente, calculado sobre la base reguladora donde ya se haya incluida la prorrata de estas pagas extras.
Las pagas establecidas en el presente artículo podrán prorratearse, en cuanto a su liquidación, por períodos mensuales.
ARTÍCULO 20º MANUTENCIÓN, ALOJAMIENTO Y PLUS DE TRANSPORTE.
En las empresas que dispensen comidas, los/as trabajadores/as que presten sus servicios en horarios coincidentes con las horas de almuerzo/comida y cena, tiene derecho a percibir a cargo de la empresa como complemento salarial en especie, la manutención. Aquellas personas trabajadoras que no hagan uso del servicio de comida no podrán exigir su compensación en metálico.
La valoración del coste medio de la manutención, para aquellas personas trabajadoras que hagan uso del servicio de comedor conforme a los módulos de cuantificación establecidos en la letra b), del apartado 1, del artículo 23 del Reglamento general sobre cotización y liquidación de otros derechos de la Seguridad Social, aprobado por el Real Decreto 2064/1995, de 22 de diciembre, modificado por el Real Decreto 637/2014, de 25 de julio o norma que lo sustituya, queda fijada durante toda la vigencia del presente convenio en la cuantía de 25 euros mensuales.
En cuanto al concepto de alojamiento sólo se deberá mantener su retribución en cuanto a los/as trabajadores/as que lo tuvieran reconocido, como cantidad consolidada y a título «ad personam».
y en las cuantías congeladas en su momento, siendo las mismas no absorbibles, ni compensables por los aumentos del presente Convenio.
El importe a satisfacer en concepto de plus transporte, al objeto de compensar el gasto, parcial o totalmente originado por el desplazamiento desde el domicilio de la persona trabajadora al centro de trabajo y viceversa, serán los que se fijan en las tablas salariales del anexo IV-1 y IV2 del Convenio, que se devengarán con independencia de la duración de la jornada. Dichos importes se revisarán en los mismos términos previstos en el artículo 16º del presente Convenio.
ARTÍCULO 21.º ÚTILES Y HERRAMIENTAS.
Los útiles y herramientas necesarios para la prestación del servicio de que se trate, correrán a cargo de la empresa, quien los aportará. No obstante, cuando a requerimiento de la empresa o acuerdo entre las partes dichos útiles y herramientas sean aportadas por la persona trabajadora, que percibirá la compensación en metálico prevista en el anexo IV-1 y IV-2 de este Convenio.
CAPÍTULO SEXTO. CONDICIONES ASISTENCIALES.
ARTÍCULO 22.º COMPLEMENTOS POR INCAPACIDAD TEMPORAL (I.T.).
Se establecen los siguientes complementos a cargo de la empresa, de aplicación a todos/as los/as trabajadores/as afectados/as por este Convenio, que reúnan los requisitos establecidos en la L.G.S.S., para el abono de las prestaciones por I.T. derivadas de enfermedad común o accidente de trabajo.
a) En caso de enfermedad justificada con o sin baja inferior a 4 días, y con aviso a la empresa, la persona trabajadora percibirá el 50% de su salario diario por un espacio máximo de 4 días al año.
b) CONTINGENCIAS PROFESIONALES.
En caso de accidente de trabajo la persona trabajadora percibirá un complemento por la diferencia existente entre la prestación económica que abone la entidad gestora y el 100 por ciento de la base reguladora de dicha prestación, excluyéndose de dicha base en todo caso las retribuciones que se hayan abonado por la realización de horas extraordinarias. Dicho complemento se percibirá durante todo el período de baja.
c) CONTINGENCIAS COMUNES.
En caso de enfermedad común la persona trabajadora percibirá un complemento por la diferencia existente entre la prestación que abone la entidad gestora y el 75 por ciento de la base reguladora por dicha prestación. Dicho complemento se percibirá desde el cuarto al vigésimo día, ambos inclusive. Transcurrido el plazo antedicho, en caso de permanecer en situación de baja por enfermedad se percibirá dicho complemento por la diferencia existente entre la prestación y el 100 por ciento de la base reguladora, desde el vigésimo primer día y durante el resto del período de baja.
El complemento previsto en el apartado a) y el apartado c) son compatibles entre sí cuando se superpongan ambos.
En caso de hospitalización y/o intervención quirúrgica el complemento, en las mismas condiciones del párrafo anterior, será del 100 por ciento de la base reguladora durante todo el período de baja.
En todo caso, agotados los 12 meses de baja, finalizará el devengo de tales complementos.
El pago de los complementos por l.T. establecidos en este artículo, quedarán condicionados al estricto cumplimiento de los plazos de entrega por la persona trabajadora de los partes de baja y confirmación reglamentariamente establecidos, de forma que la entrega fuera de dichos plazos implique la no percepción del complemento correspondiente.
No obstante lo anterior, desde el día 1/01/2003 el derecho a tales complementos I.T. derivada de enfermedad común o accidente no laboral -salvo en los casos de contratos en formación, para los que rige su casuística específica- quedará condicionado a la no superación de los índices de absentismo resultantes según los ratios establecidos en el párrafo siguiente, en los términos y condiciones allí indicados A tal fin, se establece como límites de absentismo al objeto de devengar el complemento por l.T., derivado de enfermedad común o accidente no laboral, el correspondiente al 14% para centros de trabajo hasta 10 trabajadores/as; al 9% para centros de trabajo de 11 a 30 trabajadores/as; y al 7% para centros de trabajo de más de 30 trabajadores/as, calculado mediante la siguiente fórmula:
Considerando a tal fin 5,70 horas por día natural en jornadas a tiempo completo. lo que es igual a 5 horas y 45 minutos.
(1) No se computan a estos efectos las horas no trabajadas derivadas por nacimiento y cuidado del menor, riesgo durante el embarazo, o riesgo durante la lactancia natural; las no trabajadas por intervenciones quirúrgicas y/o hospitalización con o sin baja médica; las derivadas de los casos de enfermedad grave (es decir aquellas en que exista riesgo evidente para la vida o incapacidad permanente de la persona trabajadora, o, precisen de un tratamiento prolongado en el tiempo). Tampoco computan otras ausencias previstas legal o convencionalmente hasta sus límites.
De esa forma, la empresa abonará el complemento a mes vencido, una vez efectuada la necesaria comprobación del ratio, trasladando en su defecto a la representación legal de los/as trabajadores/as o a la persona trabajadora afectada – en caso de no existir dicha representacióncopia del documento RNT (Relación Nominal de Trabajadores) del mes que proceda, al objeto de comprobar las razones de su impago; requisito éste imprescindible para consolidar su no abono.
La Comisión Paritaria de este Convenio, entenderá de las cuestiones que derivadas del contenido de este artículo se le formulen, emitiendo informe al respecto, con independencia de la libertad de las partes para acudir a los órganos jurisdiccionales competentes.
ARTÍCULO 23.º COMPLEMENTOS POR INCAPACIDAD TEMPORAL (I.T.) PARA CONTRATOS DE FORMACIÓN EN ALTERNANCIA.
Se establecen los siguientes complementos de aplicación a todos/as los/as trabajadores/as afectados/as por el Convenio anterior, que hubieran sido contratados mediante contrato de formación:
En caso de enfermedad común, se percibirá un complemento por importe igual al 100 por ciento del salario que le corresponda, con inicio de su devengo el noveno día de la baja y finalización al 120 de la I.T.
En caso de accidente de trabajo, se percibirá un complemento por la diferencia existente entre la prestación que abone la entidad gestora y el 100 por ciento del salario que le corresponda, con inicio de su devengo el noveno día de la baja y finalización el 120 día de la I.T.
Este complemento lo percibirá el/la aprendiz/a durante una sola vez al año.
ARTÍCULO 24.º SEGUROS DE ACCIDENTES.
Las empresas contratarán una póliza de seguro con un capital de 25.000,00 euros, que cubra los riesgos de muerte y extinción del contrato de trabajo por invalidez permanente en los grados de incapacidad permanente total para la profesión habitual, absoluta para todo trabajo o gran invalidez, derivado de accidente ocurrido a la persona trabajadora durante las veinticuatro horas del día y se cumplan las condiciones de dicha póliza.
Para el año 2023 esta cantidad tendrá que estar asegurada a partir del mes de la publicación del convenio.
Cuando, a juicio del órgano de calificación, la situación de incapacidad de la persona trabajadora vaya a ser previsiblemente objeto de revisión por mejoría que permita su reincorporación al puesto de trabajo, y que por lo tanto subsiste la suspensión de la relación laboral en virtud del art. 48.2 del Estatuto de los Trabajadores, dicha indemnización sólo se abonará una vez transcurridas dichas circunstancias.
Serán beneficiarios de dicha póliza en primer lugar la propia persona trabajadora y en su defecto sus herederos legales.
Las empresas que no concierten estas pólizas resultarán directamente obligadas al abono de las cuantías aseguradas, salvo que el accidente se produzca por imprudencia temeraria del accidentado.
La renovación de las pólizas existentes para modificar el capital asegurado con motivo del incremento realizado en el presente convenio deberá efectuarse con anterioridad al día primero de enero de cada uno de los años referidos en el presente artículo.
ARTÍCULO 25.º LICENCIAS, EXCEDENCIAS, REDUCCIÓN DE JORNADA POR MOTIVOS FAMILIARES Y PERMISOS NO RETRIBUIDOS.
Las licencias, excedencias y reducciones de jornada por motivos familiares se regirán de la forma siguiente:
A) LICENCIAS.
Las licencias o permisos a que tienen derecho las personas trabajadoras comprendidos en el ámbito funcional y personal de este Convenio, serán las siguientes:
a) Dieciséis días naturales en caso de matrimonio.
b) Cuatro días por nacimiento de hijo, ampliable a cinco días en caso de desplazamiento a provincia distinta de la de prestación de servicios, siempre que tal desplazamiento esté situado a más de 250 kilómetros del domicilio del centro de trabajo. El disfrute de este permiso es incompatible y excluyente con el permiso de nacimiento de hijo de manera que, si se disfruta de éste, no se tendrá derecho a los tres días contemplados en este apartado.
c) Dos días más uno natural en caso de fallecimiento de parientes hasta el segundo grado de consanguinidad o afinidad, ampliable a cuatro días en caso de precisarse desplazamiento a provincia distinta de la de prestación de sus servicios.
d) Dos días por traslado del domicilio habitual.
e) Dos días naturales en caso de matrimonio de padres, hijos o hermanos, ampliable a tres días en caso de desplazamiento superior a 250 kilómetros del domicilio del centro de trabajo, y ampliable a cuatro días en caso de desplazamiento superior a 500 kilómetros.
f) Tres días por enfermedad grave, accidente u hospitalización, de los parientes indicados en el apartado 3 del presente artículo y hasta un máximo de días igual al de duración de la citada hospitalización de ser ésta menor. En caso de precisarse desplazamiento a provincia distinta de la de prestación de sus servicios, dicho permiso podrá ampliarse a cuatro días.
De tratarse de una intervención quirúrgica sin hospitalización que precise reposo domiciliario referida a los mismos familiares, el permiso retribuido será de dos días. Cuando con tal motivo la persona trabajadora necesite hacer un desplazamiento al efecto, el plazo será de cuatro días.
g) Por el tiempo indispensable, para el cumplimiento de un deber inexcusable de carácter público y personal, comprendido el ejercicio de sufragio activo.
h) Por concurrencia a exámenes, el tiempo indispensable para la realización de los mismos, siempre que la asistencia se justifique por la persona trabajadora.
i) Dos días al año de libre disposición, a fijar de mutuo acuerdo entre la empresa y la persona trabajadora. Estos días se devengarán de forma proporcional al tiempo de alta en la empresa, de forma que, si el período de alta en cada año natural es inferior a 6 meses, la persona trabajadora tendrá derecho a un solo día, y si el tiempo de alta en la empresa es igual o superior a 6 meses, la persona trabajadora tendrá derecho a los dos días citados. Aquel o aquellos días de libre disposición que la persona trabajadora solicite dentro del año natural, y no pudieran ser disfrutados, por causa ajena a la persona trabajadora, podrán acumularse a las vacaciones del año siguiente.
j) Las trabajadoras embarazadas tendrán derecho a ausentarse del trabajo, con los requisitos y las condiciones establecidas en el art. 26.4 de la Ley de Prevención de Riesgos Laborales, siempre que esta disposición no sea derogada.
k) El permiso por lactancia de un hijo menor de 9 meses establecido legalmente podrá realizarse de forma acumulada, computándose a tal efecto una hora por día.
Los permisos que se indican en el presente artículo son extensibles a quienes acrediten la condición de pareja de hecho, debidamente registrada, salvo en cuanto a los referidos a la condición de matrimonio.
Los permisos que se indican en los apartados: b), c), d), f) y g), podrán efectuarse de forma no consecutiva.
B) EXCEDENCIAS.
Las excedencias a que tienen derecho los/as trabajadores/as comprendidos/as en el ámbito funcional y personal de este convenio, son las siguientes:
a) Excedencia voluntaria. La persona trabajadora con al menos una antigüedad en la empresa de un año tiene derecho a situarse en excedencia voluntaria por un plazo no menor de 4 meses y no mayor de 5 años, mediando necesariamente un preaviso por escrito de 15 días para todo el personal salvo para el personal adscrito a los Niveles I y II, para los que el citado preaviso será de 30 días. Este derecho sólo podrá ejercitarse de nuevo si han transcurrido cuatro años desde el final de la anterior excedencia. El reingreso deberá solicitarse por escrito con una antelación mínima de 15 días a la fecha de su vencimiento para todo el personal y de 30 días para el personal adscrito a los Niveles I y II; causando baja definitiva quien no lo formalizase en dicho plazo.
b) Excedencia forzosa: La persona trabajadora que resulte designado o elegido para el ejercicio de un cargo público que imposibilite para la asistencia al trabajo, o ejerza funciones sindicales de ámbito provincial o superior, podrán situarse en excedencia forzosa por el tiempo que dure el ejercicio de dicho cargo o función sindical. El reingreso deberá solicitarse en un plazo máximo de treinta días tras el cese en dichas funciones.
c) Excedencia para el cuidado de hijo menor de tres años: Esta excedencia se regulará por lo dispuesto en el artículo 46.3 del Estatuto de los Trabajadores.
C) REDUCCIÓN DE JORNADA POR MOTIVOS FAMILIARES.
Cuando el disfrute de este derecho, previsto en los artículos 37.5 y 37.6 del Estatuto de los Trabajadores, haga coincidir a varios/as trabajadores/as del mismo departamento en la misma banda horaria, la empresa podrá proponer a la representación legal de los/as trabajadores/as las medidas de orden organizativo que sean necesarias para hacer posible el derecho establecido en dichos artículos y el mantenimiento del servicio a prestar. Dichas medidas -de adoptarse- no menoscabarán el derecho al disfrute previsto legalmente.
D) PERMISOS NO RETRIBUIDOS. – Los/as trabajadores/as podrán solicitar un permiso no retribuido en los siguientes términos:
a) Las trabajadoras podrán solicitar, con anterioridad a la fecha del parto, un permiso no retribuido de hasta 3 meses de duración. Para su concesión será necesario un preaviso de 15 días.
b) Los trabajadores con hijos menores de 8 años podrán solicitar un permiso no retribuido de hasta 3 meses para atender al menor. Para su concesión será necesario un preaviso de 15 días.
ARTÍCULO 26° JUBILACIÓN.
La persona trabajadora podrá acogerse a los beneficios de jubilación anticipada y jubilación parcial al amparo de lo previsto en la normativa vigente.
A petición de la persona trabajadora y previa comunicación a la empresa, los/as trabajadores/as podrán acceder a la jubilación parcial, obligándose a la empresa a concertar con la persona trabajadora un contrato a tiempo parcial por las horas que resten y a suscribir el correspondiente contrato de relevo con otra persona trabajadora en los términos establecidos legalmente.
ARTÍCULO 27.º AUXILIO POR DEFUNCIÓN.
En caso de fallecimiento de un/a trabajador/a con al menos diez años de antigüedad en la empresa, derivado de una situación de enfermedad común, ésta abonará al cónyuge, hijos o derechohabientes del fallecido una ayuda para paliar los gastos derivados del fallecimiento, equivalente al importe de la percepción mínima garantizada mensual más el complemento de antigüedad, en su caso.
ARTÍCULO 28.º ROPA DE TRABAJO.
Las empresas afectadas por el presente Convenio están obligadas a proporcionar a su personal la uniformidad de trabajo establecida por la misma de acuerdo con los usos y costumbres del sector en el ámbito geográfico de este Convenio. En su defecto, la persona trabajadora tendrá derecho a una compensación en metálico en concepto de suplido por el desgaste de su propia vestimenta, por importe detallado en el Anexo IV-1 y IV-2 de este Convenio. No obstante, dada la unificación llevada a cabo entre las dos tablas preexistentes, los/as trabajadores/as que viniesen percibiendo una cantidad superior a la indicada en el anexo citado, mantendrán el importe superior, sin que éste se vea actualizado de acuerdo con lo previsto en el artículo 16º del presente Convenio.
La empresa proporcionará a la persona trabajadora los equipos de protección individual adecuados para el desempeño de sus funciones cuando por la naturaleza de los trabajos realizados sea necesario, de conformidad con lo dispuesto en el artículo 17 de la Ley de Prevención de Riesgos Laborales, siempre y cuando esta disposición no sea derogada.
Cuando entre las prendas citadas en el Anexo IV-1 y IV-2 de este Convenio se exija expresamente la utilización de un determinado tipo de calzado y calcetín/media, la persona trabajadora devengará a su favor el importe indicado en dicho anexo.
En la citada compensación se incluyen los gastos en los que pudiera incurrir la persona trabajadora para su mantenimiento adecuado. Dichos importes se corresponden con una jornada de trabajo a tiempo completo, proporcionándose los citados importes en función de la jornada de trabajo contratada en cada caso.
CAPÍTULO SÉPTIMO. DERECHOS Y GARANTÍAS SINDICALES.
ARTÍCULO 29.º SINDICATOS.
Las partes firmantes de este Convenio ratifican de nuevo su condición de interlocutores válidos, reconociéndose mutuamente como tales en orden a instrumentar por medio de sus organizaciones unas relaciones laborales basadas en el respeto mutuo y tendentes a facilitar la resolución de cuantos conflictos se susciten en el ámbito funcional y geográfico del presente Convenio.
Las organizaciones empresariales firmantes de este Convenio admiten la conveniencia de que todas las empresas afiliadas a sus organizaciones consideren a los sindicatos implantados en el sector como elementos básicos y consubstanciales para afrontar las relaciones laborales entre trabajadores/as y empresarios/as.
ARTÍCULO 30.º DERECHOS SINDICALES.
Los derechos sindicales reconocidos en la Constitución, Ley Orgánica de Libertad Sindical y Estatuto de los Trabajadores, serán de aplicación en el ámbito de este Convenio.
Las empresas con plantilla de treinta o más trabajadores/as dispondrán de tablones de anuncios en los que los sindicatos implantados en el sector puedan insertar comunicaciones de carácter sindical. Previamente a su publicación, el sindicato que desee ejercer tal derecho deberá dirigir a la dirección de la empresa copia del contenido de la comunicación a publicar.
ARTÍCULO 31.º DELEGADOS Y DELEGADAS SINDICALES.
En aquellos centros de trabajo y empresas con una plantilla superior a cincuenta trabajadores/as, los sindicatos que posean una afiliación superior al 15 por ciento de la misma, la representación del sindicato será ostentada por un delegado sindical.
En el resto de centros de trabajo y empresas, con una plantilla de treinta o más trabajadores/as, los sindicatos que posean una afiliación superior al 25 por ciento de la misma, la representación del sindicato será ostentada por un delegado sindical.
El sindicato que alegue poseer tal derecho, deberá acreditarlo ante la empresa de modo fehaciente, reconociendo ésta, acto seguido, al citado delegado en su condición de representante del sindicato.
El delegado o la delegada sindical deberá ser trabajador/a en activo en el centro de trabajo y preferentemente miembro del comité de empresa.
ARTÍCULO 32.º FUNCIONES DEL DELEGADO O DE LA DELEGADA SINDICAL.
Serán funciones del delegado o delegada sindical las siguientes:
1. Representar y tutelar los intereses del sindicato a quien represente y de los/as afiliados/as del mismo en la empresa, sirviendo de instrumento de comunicación entre el sindicato y la empresa.
2. Asistir a las reuniones del comité de empresa, comité de Salud y seguridad y a cualquier otro órgano paritario que se cree, con voz, pero sin voto.
3. Acceder a la misma información y/o documentación que la empresa esté obligada a poner a disposición del comité de empresa, de acuerdo con lo establecido legalmente sobre la materia.
En cuanto a la información y/o documentación a que tenga acceso, deberán guardar el debido sigilo profesional.
4. Ser oídos por la empresa en cuantos asuntos de carácter colectivo afecten a los/as trabajadores/as de la empresa y en particular a los/as afiliados/as de su sindicato.
5. Ser informados y oídos por las empresas, con carácter previo, en las siguientes materias:
a) Sobre despidos y sanciones disciplinarias que afecten a los/as afiliados/as a su sindicato.
b) En materia de reestructuraciones de plantilla, regulaciones de empleo, traslado de trabajadores/as de carácter colectivo, y, traslado de la empresa o proyecto empresarial que pueda afectar substancialmente los intereses de los/as trabajadores/as.
c) Implantación o revisión de sistemas de organización del trabajo y repercusión entre sus afectados/as.
6. Los/as delegados/as sindicales gozarán de las garantías que les reconoce la Ley Orgánica de Libertad Sindical.
ARTÍCULO 33.º CUOTA SINDICAL.
A requerimiento de los/as trabajadores/as afiliados/as a organización sindical, las empresas descontarán en la nómina mensual de sus trabajadores/as el importe de la cuota sindical correspondiente. A tal fin, la persona trabajadora deberá remitir a la empresa, escrito en el que conste su autorización, el sindicato al que se encuentre afiliado, la cuantía de la cuota, y el número de la cuenta corriente o cuenta de ahorros a la que debe ser transferida la cantidad indicada. Las empresas realizarán la deducción citada, remitiendo copia de la transferencia mensual a la representación sindical en la empresa.
ARTÍCULO 34.º PARTICIPACIÓN EN LA NEGOCIACIÓN COLECTIVA.
Los/as delegados/as sindicales y otros cargos sindicales a nivel provincial o superior, de aquellos sindicatos que ostenten la representación prevista en el artículo 34 del presente Convenio, que formen parte de la Comisión negociadora del presente Convenio Colectivo, les serán concedidos los permisos retribuidos necesarios para desarrollar su labor como negociadores durante el transcurso de la negociación del citado Convenio, siempre que la empresa esté afectada por la negociación en cuestión.
ARTÍCULO 35.º COMITÉS DE EMPRESA.
Con independencia de los derechos establecidos legalmente a los comités de empresa, de forma expresa se reconoce a los mismos en el ámbito del presente Convenio los derechos siguientes:
1. Ser informado por la dirección de la empresa y con la periodicidad que se indica, de las siguientes materias:
a) Trimestralmente: Sobre la evolución general del sector económico en el que se encuentra encuadrada la empresa, evolución del negocio y del probable nivel de empleo en la empresa.
b) Anualmente: Conocer y tener a su disposición el balance, la cuenta de resultados y la memoria anual -en caso de que la empresa revista la forma de sociedad mercantil- así como de cuantos documentos sean del preceptivo conocimiento de los socios.
c) Con carácter previo: Sobre la ejecución por parte de la empresa de reestructuraciones de plantilla, suspensiones de la actividad, reducción de la jornada de trabajo, traslado total o parcial de las instalaciones empresariales, y, cierre de la empresa. Igualmente, sobre los planes de formación profesional en la empresa.
d) Sobre implantación o revisión de sistemas de organización del trabajo, como establecimiento de primas o incentivos, valoración de puestos de trabajo y valoración de rendimientos.
e) Sobre la fusión o absorción de la empresa y sobre la modificación del «status» jurídico de la misma, si ello supone incidencia alguna sobre el volumen de empleo.
f) Sobre el modelo o modelos de contratos de trabajo que habitualmente utilice la empresa para efectuar contrataciones.
g) Sobre sanciones disciplinarias por faltas muy graves o despido.
h) Sobre ratios de absentismo, accidentes de trabajo, ingresos y ceses en la empresa, así como en materia de ascensos.
2. Ejercer una labor de vigilancia sobre las siguientes materias; a) Sobre cumplimiento de las normas vigentes en materia laboral y de la Seguridad Social, tanto legales como convencionales o consuetudinarias.
b) Sobre contenidos, calidad y eficacia de la formación profesional que imparta la empresa.
c) Sobre las condiciones de salud y seguridad laborales en la empresa.
d) Sobre los procesos de selección de personal, en especial en cuanto a cualquier fórmula de discriminación laboral, en lo relativo al cumplimiento de la legalidad vigente o paccionada.
3. Participar con la empresa en la forma en que se determine, en la gestión de obras sociales, implantación de medidas conducentes al incremento de la productividad, así como cualquier otra acción empresarial de carácter social y laboral.
Los/as miembros/as del comité de empresa observarán el debido sigilo profesional en todo lo referente en lo indicado en el apartado 1 de este artículo, incluso tras su cese como miembro de dicho comité.
ARTÍCULO 36.º GARANTÍAS DE LOS REPRESENTANTES LEGALES DE LOS/LAS TRABAJADORES/AS.
Los/as integrantes del comité de empresa o delegados/as de personal, gozarán con independencia de las garantías establecidas legalmente, de las siguientes:
1. No ser despedido ni sancionado durante el ejercicio de sus funciones de representación ni dentro del año siguiente a su cese, salvo que éste se produzca por revocación o dimisión, siempre que el despido o sanción se base en la actuación de la persona trabajadora en el ejercicio de su representación legal.
2. Tramitación de expediente contradictorio previo a la imposición de sanciones por faltas graves, muy graves o despido, en el que deberán ser oídos el interesado o la interesada, el comité de empresa o el resto de los/as delegados/as de personal, y el delegado o la delegada sindical del sindicato al que esté afiliada la persona trabajadora.
3. Prioridad de permanencia en la empresa o en el centro de trabajo, respecto a los/as demás trabajadores/as, en los supuestos de suspensión o extinción contractual por causas técnicas, productivas, organizativas y económicas.
4.No ser discriminados/as en su promoción y/o profesional como consecuencia del desempeño del derecho de representación.
5. Ejercicio de la libertad de expresión en la empresa en las materias propias de su labor representativa, distribuyendo sin perturbar el normal desenvolvimiento del trabajo, aquellas publicaciones de interés social o laboral y publicando aquellas noticias de igual contenido en la forma legalmente establecida, previa comunicación a la empresa.
6. Disposición con carácter general del crédito de horas mensuales retribuidas previstas en el artículo 68 e) del Estatuto de los Trabajadores en función de la plantilla del centro de trabajo.
No obstante, en aquellas empresas de más de treinta trabajadores/as, el crédito de horas citado se incrementará en la cantidad de cinco horas mensuales.
ARTÍCULO 37.º ACUMULACIÓN DE HORAS DE REPRESENTACIÓN.
Las horas de representación previstas en el artículo anterior podrán acumularse en uno/a o varios/as de los/as miembros/as del comité de empresa o delegados/as de personal, sin rebasar el máximo previsto legalmente o establecido convencionalmente en este Convenio, quedando parcial o totalmente relevado(s) de sus obligaciones laborales sin perjuicio en su remuneración.
El exceso del uso de las horas de representación que supere el máximo establecido, que se produzcan como consecuencia a la designación como miembros de la Comisión negociadora del presente Convenio, tendrán carácter retribuido y no computará a efectos de su tope.
ARTÍCULO 38º DERECHO DE REUNION Y PUBLICACION.
El derecho de reunión se regulará por lo previsto en los artículos 77 a 80, ambos inclusive, del Estatuto de los Trabajadores. No obstante, la empresa facilitará el desarrollo de dicho derecho dentro de las horas de actividad empresarial de forma que no se perturbe la misma.
A su vez, las empresas facilitarán a las personas trabajadoras la exposición de comunicados de interés general y laboral en lugar idóneo predeterminado por la empresa.
CAPÍTULO OCTAVO. CONDICIONES GENERALES.
ARTÍCULO 39.º RECLAMACIONES DE CANTIDADES.
El interés por mora previsto en el artículo 29.3 del Estatuto de los Trabajadores será el 15 por ciento más dos puntos del principal reconocido en sentencia. Dicho interés será de aplicación incluso cuando la empresa abonase los salarios debidos con anterioridad a la fecha señalada para el correspondiente juicio.
No obstante, si la empresa abonase los salarios dentro del plazo de quince días siguientes a la fecha de pago establecido, quedará exenta de abonar dicho interés por mora.
ARTÍCULO 40.º GLOBALIDAD, COMPENSACIÓN, ABSORCIÓN Y CONDICIONES MÁS BENEFICIOSAS.
Las condiciones establecidas en el presente Convenio forman un todo global indivisible y a efectos de su aplicación, deberán ser consideradas en términos anuales.
Las condiciones establecidas en el presente Convenio son compensables y absorbibles con aquellas otras que viniesen disfrutándose en la actualidad por motivos legales, reglamentarios o contractuales.
No obstante, las condiciones que viniesen disfrutándose con carácter personal y que en conjunto y cómputo anual superasen las establecidas en el presente Convenio, continuarán manteniéndose con carácter exclusivamente personal.
ARTÍCULO 41.º LA SUCESIÓN DE EMPRESA.
En estos supuestos el o la nuevo/a titular estará obligado/a a subrogarse en los derechos y obligaciones del anterior para con sus trabajadores/as.
La empresa que cesa en la prestación del servicio o concesión administrativa deberá informar a los/as trabajadores/as al subrogar la razón social del nuevo titular, con la mayor antelación posible, y deberá informar a la nueva empresa sobre el número de personal a subrogar y sus condiciones (categoría, antigüedad y salarios), con un mes de antelación, y de dos meses de antelación a los/as delegados/as de personal.
En el momento de efectuar la subrogación, el o la cesante librará una liquidación individual por subrogación a cada uno de los subrogados/as. En el supuesto de que la persona trabajadora tuviera vacaciones pendientes, al momento del cese de prestación de servicios, se garantizará por ambas empresas el derecho a su disfrute.
El número máximo de personas que puede subrogarse no puede exceder de los puestos de trabajo efectivamente cubiertos durante los últimos cuatro meses. Se entenderá por efectivamente cubiertos, los que hayan sido cada uno de ellos al menos en un 85 por ciento de los días de servicio durante los mencionados cuatro meses, salvo, los derivados de incremento de tareas contrastadas.
Esta cobertura puede haber sido realizada por los/as trabajadores/as subrogados/as interinos/as u otros/as trabajadores/as de la misma empresa cesante.
En el supuesto de que, por baja, ausencias, etc., hubiera sido hecha la sustitución por trabajador/a interino/a, el nuevo/a concesionario/a subrogará a ambos en idénticas condiciones, es decir, que una vez resuelta la causa que dio origen a la sustitución, el interino causará baja definitiva en la empresa.
En el supuesto de que la sustitución hubiese sido efectuada por personal no interino de la empresa y entre sustituido/a y sustitutos/as hayan cubierto al menos el 85 por ciento de los días de servicio, se subrogará el titular del puesto de trabajo, entendiéndose por titular aquel que, no habiendo sido trasladado a otro puesto de forma definitiva, lo haya desempeñado durante mayor tiempo desde que la empresa saliente se hizo cargo de la concesión.
ARTÍCULO 42. EXTERNALIZACIÓN DE SERVICIOS.
Las empresas incluidas en el ámbito de aplicación del presente convenio colectivo que contraten o subcontraten con otras empresas actividades o servicios de las áreas de comedor, restaurante, bar, cocina, recepción y pisos y limpieza, deberán incluir en el contrato mercantil con los/as contratistas que presten tales actividades o servicios, que estos cumplirán con los/as trabajadores/as prestadores/as de los mismos, al menos, con todas las obligaciones de naturaleza salarial establecidas en el presente convenio colectivo, además de cumplir con los demás deberes previstos en los artículos 42 y 64 ET.
Además, a estos/as trabajadores/as les será de aplicación lo dispuesto en el primer párrafo del artículo 10º (jornada semanal de 40 horas y jornada anual efectiva de 1.794 horas) así como el descanso, en la forma establecida en el presente convenio.
La entrada en vigor de este artículo será a partir de los seis meses siguientes a su publicación, con el fin de que los contratos existentes vayan adaptándose progresivamente.
No se aplicará el presente artículo a la limpieza específica extraordinaria relativa a elementos comunes o generales de los establecimientos. A título orientativo, pero no limitativo, se entiende por limpieza extraordinaria la que afecte a elementos tales como piscinas, jardines, fachada o cristales.
CAPÍTULO NOVENO. FORMACIÓN PROFESIONAL.
ARTÍCULO 43º RECICLAJE Y PERFECCIONAMIENTO.
Teniendo en cuenta la nueva tecnología que se está implantando en nuestro sector, se acuerda, para todas aquellas personas trabajadoras que lleven trabajando al menos dos años en la misma empresa, un total de quince días naturales remunerados para poder asistir a un curso de formación y/o reciclaje en relación con el cargo o actividad que desarrolla en la empresa, al objeto de conseguir su perfeccionamiento profesional.
La persona trabajadora podrá usar de este derecho como máximo una vez mientras trabaje en la misma empresa cada cinco años, debiendo avisar a la misma al menos con tres meses de antelación a la celebración del curso. No podrán utilizar este derecho al mismo tiempo dos trabajadores/as o más que ocupen similar cargo en la empresa.
A la finalización del curso de formación la persona trabajadora tendrá que acreditar su asistencia al mismo, para tener derecho al cobro de los salarios de este permiso formativo retribuido.
De este derecho se exceptúa a aquellos/as trabajadores/as que en sus empresas dispongan de planes de formación para su cargo o actividad, los cuales no tendrán necesidad de usar el permiso formativo al que nos venimos refiriendo.
Si la persona trabajadora que hiciese uso de este permiso formativo pidiese la baja voluntaria en la empresa en el período de los dos años posteriores a la celebración del curso, se le detraerá de su liquidación por finiquito el equivalente al salario devengado durante el período de realización del curso.
La persona trabajadora se compromete a solicitar de la Fundación Tripartita para la Formación en el Empleo la devolución del salario anticipado, en su caso, por la empresa, en el bien entendido de que, si el salario correspondiente al permiso hubiese sido adelantado por la empresa, la persona trabajadora deberá proceder al reintegro a la misma si lo hubiera percibido.
CAPÍTULO DÉCIMO. COMISIÓN PARITARIA, DESPIDO COLECTIVO, DENUNCIA, DERECHO SUPLETORIO, CLÁUSULA DE DESCUELGUE Y PREVENCIÓN DE RIESGOS LABORALES.
ARTÍCULO 44.º COMISIÓN PARITARIA.
Comisión Paritaria:
Se acuerda designar una Comisión paritaria de la representación de las partes negociadoras que entenderá del conocimiento y resolución de los conflictos derivados de la aplicación e interpretación con carácter general del convenio, de la vigilancia de su estricto cumplimiento, la de resolución voluntaria de los conflictos colectivos que se produzcan en el ámbito funcional del Convenio, de la cláusula de descuelgue en su caso, así como de todas aquellas materias que le sean específicamente conferidas en el presente Convenio o en la legislación vigente.
Una vez firmado el presente Convenio, y en un período de tiempo no superior a dos meses desde su publicación, las partes se reunirán para constituir formalmente dicha Comisión.
Domicilio:
El domicilio de la Comisión paritaria será el de la Federación Empresarial de Hostelería de Valencia y Provincia, sito en la calle Onteniente, nº 3 y 5 bajo, de Valencia.
Composición:
La Comisión paritaria estará compuesta por cinco titulares por cada una de las partes, empresarial y sindical, y sus correspondientes suplentes que en caso de necesidad nombraría la representación correspondiente.
La Comisión paritaria se entenderá válidamente constituida cuando a ella asista la mayoría de cada una de las dos representaciones que la componen.
La Comisión elegirá entre sus miembros a un/a Presidente y a un/a Secretario/a. El Presidente/a tendrá carácter moderador/a y será elegido/a de común acuerdo por las partes. Su elección será comunicada a la Autoridad Laboral competente. A él/ella corresponde presidir y moderar las reuniones, sin que su actuación desnaturalice en ningún caso el carácter paritario del órgano.
El/La Secretario/a será designado/a por los reunidos/as para cada sesión.
Funcionamiento:
La Comisión paritaria se reunirá cuando lo solicite una de las partes El plazo para reunirse, instada la reunión por cualquiera de las partes, será como máximo de diez días naturales contados a partir de la fecha de la solicitud en los casos que la parte considere de índole ordinaria, y a los tres días hábiles, en los que la parte convocante considere de índole extraordinaria el asunto a tratar.
Podrán convocarse reuniones extraordinarias de interés general siempre que sea convocada por alguna de las partes con una antelación mínima de dos días y por escrito.
De las reuniones celebradas por la Comisión se levantará acta en la que figurarán las decisiones tomadas, debiendo ser firmadas las mismas por la totalidad de los miembros asistentes a ella.
La Comisión Paritaria emitirá Dictamen sobre las cuestiones controvertidas que le sean planteadas en relación con la interpretación y aplicación del Convenio. El plazo para la emisión del dictamen no podrá ser superior a quince días desde que le fuera planteada la cuestión, entendiéndose por tal la fecha de la última reunión de la Comisión para abarcar dicho tema.
Los acuerdos se tomarán por mayoría de cada una de las partes, con la salvedad de que cuando sus intervención o decisiones puedan afectar al ámbito de aplicación de las empresas encuadradas el subsector de hoteles, será preciso que los acuerdos que en su caso se adopten estén expresamente aprobados por la representación de las Asociaciones firmantes de este ámbito, ya que en caso contrario no afectaría a las empresas encuadradas en las mismas.
Las resoluciones o acuerdos adoptados por esta Comisión paritaria, con los requisitos y condiciones establecidos en este artículo, tendrán la misma fuerza de obligar que si se hubiesen establecido en el Convenio, debiéndose publicar las mismas por la Autoridad Laboral en el «Boletín Oficial» de la provincia.
ARTÍCULO 45.º DENUNCIA.
El presente Convenio deberá ser denunciado por cualquiera de las partes con una antelación mínima a cada uno de sus vencimientos, de sesenta días naturales.
Bastará para entender denunciado el mismo, un escrito dirigido y recepcionado por las partes con indicación expresa de su intencionalidad.
Una vez denunciado el mismo, perderán su vigencia todas las cláusulas obligacionales, manteniéndose la misma en cuanto a las cláusulas normativas, hasta la entrada en vigor del Convenio que lo sustituya. Serán competentes para denunciar este Convenio, las organizaciones sindicales y empresariales firmantes del mismo.
ARTÍCULO 46.º DERECHO SUPLETORIO
Será de aplicación al presente Convenio el Acuerdo Laboral de ámbito Estatal para el Sector de Hostelería (ALEH) vigente en cada momento, en particular las materias reservadas a dicho Acuerdo Estatal.
En lo no previsto en el presente Convenio y en el ALEH, salvo remisión expresa a otra norma, se estará a lo dispuesto en el Real Decreto Legislativo 2/2015, de 23 de octubre, por el que se aprueba el texto refundido de la Ley del Estatuto de los Trabajadores, o norma que lo sustituya.
No obstante, dicho derecho supletorio, serán de aplicación los acuerdos específicos establecidos en el presente convenio en materia de clasificación profesional a efectos retributivos, que complementen lo establecido en el citado Acuerdo Laboral Estatal.
En materia de concurrencia de convenios, se estará a lo dispuesto en el artículo 84 del Estatuto de los Trabajadores.
ARTÍCULO 47.º INAPLICACION DE CONDICIONES DE TRABAJO.
1. De acuerdo con lo previsto en los artículos 82.3 y 85.3 e) del Estatuto de los Trabajadores, por acuerdo entre la Empresa y la Representación Legal de los Trabajadores/as, cuando concurran causas económicas, técnicas, organizativas o de producción, se podrá proceder a inaplicar en la empresa las condiciones de trabajo previstas en este convenio, que afecten a las siguientes materias:
a) Jornada de trabajo.
b) Horario y distribución del tiempo de trabajo.
c) Régimen de trabajo a turnos.
d) Sistema de remuneración y cuantía salarial.
e) Sistema de trabajo y rendimiento.
f) Funciones, cuando excedan de los límites que para la movilidad funcional prevé el artículo 39.
g) Mejoras voluntarias de la acción protectora de la Seguridad Social.
2. En los supuestos de ausencia de Representación Legal de los Trabajadores/as en la empresa, éstos podrán atribuir una representación a una Comisión designada conforme a lo dispuesto en el artículo 41.4 del Estatuto de los Trabajadores.
3. El acuerdo deberá determinar con exactitud las nuevas condiciones de trabajo aplicables en la empresa y su duración, que no podrá prolongarse más allá del momento en que resulte aplicable un nuevo convenio en dicha empresa.
4. El acuerdo de inaplicación no podrá dar lugar al incumplimiento de las obligaciones establecidas en convenio relativas a la eliminación de las discriminaciones por razones de género o de las que estuvieran previstas, en su caso, en el plan de igualdad aplicable en la empresa.
5. El acuerdo deberá ser notificado a la Comisión paritaria del convenio colectivo.
6. En caso de desacuerdo durante el periodo de consultas, cualquiera de las partes podrá someter la discrepancia a la Comisión Paritaria del Convenio.
7. Cuando no se hubiera solicitado la intervención de la comisión o esta no hubiera alcanzado un acuerdo las partes deberán recurrir a los procedimientos de conciliación mediación y/o en su caso arbitraje a través de la Fundación Tribunal de Arbitraje Laboral de la Comunidad Valenciana (TAL), teniendo en cuenta la integración en el mismo de los órganos específicos de mediación y arbitraje en el ámbito sectorial de hostelería, de acuerdo con lo establecido en el Acuerdo sobre Solución Extrajudicial de Conflictos Laborales de la Comunidad Autónoma de Valencia.
8. En caso de continuar el desacuerdo se estará a lo establecido en la legislación vigente.
ARTÍCULO 48.º LEY DE PREVENCION DE RIESGOS LABORALES.
Prevención de riesgos laborales y vigilancia de la salud Las partes firmantes del presente Convenio se comprometen, a fomentar con el máximo rigor la aplicación práctica de la Ley 31/1995, de 8 de noviembre, de Prevención de Riesgos Laborales, normativa que la desarrolle y sustituya, así como deberán cumplirse en materia de Prevención y Salud Laboral lo establecido en el Acuerdo Laboral de Ámbito Estatal para el Sector de Hostelería (ALEH), vigente en cada momento. El objetivo no sólo es el cumplimiento de las obligaciones legales y responsabilidades, sino también fomentar una cultura preventiva dentro de la empresa.
A tal efecto, adoptarán aquellas iniciativas que mejoren la salud y seguridad en el trabajo de los/as trabajadores/as, impulsando de este modo las medidas para que decrezca el número de accidentes en las empresas, actuando de forma conjunta, a fin de interpretar y aplicar con los mejores resultados dicha normativa.
A tal fin, con independencia de los reconocimientos médicos establecidos en la citada Ley, las empresas colaborarán con las Autoridades Sanitarias competentes en materia de manipulación de alimentos, en la línea fijada en el Real Decreto 109/2010, de 5 de febrero, en especial en cuanto a las medidas que se consideren oportunas para proteger la salud de los/as consumidores/as.
En ese sentido, todos/as los/as trabajadores/as afectados/as por el presente Convenio, que por su actividad laboral tenga contacto directo o indirecto con los productos alimenticios, recibirán una formación adecuada en materia de higiene alimentaria, que garantice una correcta política higiénica en la elaboración, envasado, almacenamiento, transporte, distribución, manipulación, venta, suministro y servicio de dichos productos. Esta formación se realizará mediante las acciones formativas que la empresa programe directamente o a través de otras programaciones impartidas por terceros en las que la empresa decida participar.
Los/as trabajadores/as tienen derecho a una protección eficaz en materia de seguridad y salud en el trabajo, que supone la existencia de un correlativo deber del o de la empresario/a de protección frente a los riesgos laborales.
La ropa de trabajo y EPI’s adecuados a dichos trabajos será proporcionados por la empresa a sus trabajadores/as, de acuerdo con la evaluación de riesgos laborales realizada en la empresa.
En el marco de sus responsabilidades, el empresario o la empresaria adoptará cuantas medidas sean necesarias para la protección de la seguridad y salud de los/as trabajadores/as, y en particular en materia de evaluación de riesgos, información, consulta y participación y formación de los/as trabajadores/as, actuación en casos de emergencia de riesgo grave e inminente, así como de vigilancia de la salud, atendiendo de forma especial a la salud de las personas especialmente sensibles, así como a las mujeres embarazadas.
Acoso.
En materia de acoso sexual y por razón de sexo se estará a lo dispuesto en el Acuerdo Laboral de Ámbito Estatal para el Sector de Hostelería (ALEH), vigente en cada momento y, en concreto, al protocolo de actuación de las empresas de hostelería en los casos de acoso sexual y acoso por razón de sexto, que se incorporará en el Anexo VI de este convenio.
Delegado/a de prevención de Riesgos Laborales Sectoriales Las organizaciones sindicales y las organizaciones empresariales firmantes de este convenio podrán nombrar en un número máximo de 2 delegados/as de prevención de Riesgos Laborales Sectorial por cada una ellas.
Entre otras, los/as delegados/as de prevención de Riesgos Laborales Sectorial podrán realizar alguna de las siguientes funciones:
– Colaborar en la vigilancia del cumplimiento de la normativa de prevención de riesgos laborales.
– Proponer acciones generales para la mejora de la prevención de riesgos laborales en el sector.
– Desarrollar actividades concretas para impulsar la integración de las acciones de prevención de riesgos laborales en las empresas del sector.
Para el ejercicio de estas funciones se podrán reunir en forma de comisión de trabajo.
CAPÍTULO UNDÉCIMO. PLANES DE IGUALDAD, ASIGNACIÓN DE NIVELES RETRIBUTIVOS, UNIFICACIÓN DE TABLAS, CARNÉ PROFESIONAL, CONTRATO DE COLABORACIÓN EMPRESARIAL
ARTÍCULO 49.º IGUALDAD EFECTIVA ENTRE HOMBRES Y MUJERES.
Las empresas incluidas en el ámbito de aplicación del presente Convenio fomentarán la aplicación y cumplimiento de la Ley Orgánica 3/2007, de 22 de marzo, para la igualdad efectiva de mujeres y hombres y de cualquier normativa complementaria o en desarrollo de la misma que se apruebe en un futuro.
Se respetará el principio de igualdad de trato y oportunidades en el trabajo y no discriminaciones entre hombres y mujeres, tal y como se recoge en la Ley Orgánica 3/2007, de 22 de marzo, para la igualdad efectiva de mujeres y hombres, y de cualquier norma complementaria o sustitutiva que se apruebe en el futuro; especialmente en el acceso al empleo; en la formación profesional; en la promoción profesional; en las condiciones de trabajo, incluidas las retributivas y las de despido; en los permisos y derechos relacionados con el nacimiento de hijos, adopción, cuidado del lactante y de menores y familiares; Así como cualquier otra vigente o de futuro desarrollo referida a la materia.
Los sujetos vinculados por el presente convenio llevarán a cabo todas las medidas que resulten necesarias para evitar cualquier tipo de discriminación en el seno de las Empresas.
Del mismo modo, vendrán obligados a cumplir con las disposiciones del Real Decreto 901/2020, de 13 de octubre, por el que se regulan los planes de igualdad y su registro y se modifica el Real Decreto 713/2010, de 28 de mayo, sobre registro y depósito de convenios y acuerdos colectivos de trabajo; y del Real Decreto 902/2020, de 13 de octubre, de igualdad retributiva entre mujeres y hombres, o por la norma que las sustituya, mientras dicha normativa se encuentre vigente.
El sistema de Clasificación Profesional regulado en el Anexo I del presente convenio colectivo se basa en criterios comunes para los/as trabajadores/as de ambos sexos y se ha establecido excluyendo discriminaciones por razón de sexo.
ARTÍCULO 50.º ASIGNACIÓN DE NIVELES RETRIBUTIVOS.
Las tablas de clasificación del personal a efectos retributivos, tomando como referencia la Clasificación Profesional del vigente ALEH, son las que se recogen en el Anexo I del presente convenio.
Además, al mero efecto retributivo, la categoría de Camareros/as de Pisos de hoteles de tres o más estrellas pasarán al Nivel III de la tabla del anexo I, asignándoles el salario correspondiente a dicho nivel. Esta transición se producirá en el marco del Plan de Etapas regulado en el artículo 51 del presente convenio.
Los hoteles de dos estrellas, hostales de tres estrellas y categorías inferiores y para el resto de los establecimientos de categoría inferior en hospedaje, así como balnearios, mantendrán para la categoría profesional de Camareros/as de Pisos el Nivel IV.
ARTÍCULO 51.º REGIMEN TRANSITORIO EMPRESAS ALOJAMIENTO AFECTADAS POR EL PLAN DE ETAPAS.
Para aquellas empresas de alojamiento (hoteles de tres estrellas y categorías inferiores, hostales de tres estrellas y categorías inferiores y para el resto de los establecimientos de categoría inferior en hospedaje, así como balnearios) que a la publicación del presente convenio estaban afectadas por la asignación de niveles retributivos y el plan de etapas recogido en el convenio colectivo anterior, dispondrán de 5 años para su homogeneización y efectuar dichos ajustes, de acuerdo con el régimen transitorio establecido en el Anexo III.
Las tablas salariales de los ejercicios 2022, 2023, 2024 y 2025 recogidas en este régimen transitorio se han elaborado aplicando el Plan de Etapas del convenio anterior para conseguir su homogeneización y adaptación en el periodo de 5 años. En la negociación del siguiente convenio colectivo, y durante el primer año de su vigencia, quedará completada la unificación de tablas en los términos aquí pactados para las empresas que vienen obligadas por el Plan de Etapas.
Concluido el plan de etapas del régimen transitorio se estará a lo dispuesto en las tablas generales para los establecimientos de alojamiento que se publiquen en el siguiente convenio colectivo, manteniendo sus propias tablas de aplicación las empresas de alojamiento de la zona de Gandía y la Safor y a los hoteles-balneario con termalismo social.
ARTÍCULO 52.º TARJETA PROFESIONAL.
Las partes suscriptoras del mismo con el objetivo de garantizar la profesionalidad del sector, se comprometen a estudiar, negociar, crear y desarrollar las acciones necesarias para la implantación de una tarjeta profesional en el sector de hostelería, que permita adaptar la prestación profesional de los servicios propios de esta industria a las necesidades presentes y futuras del sector.
La conclusión de todo ello pasará a formar parte del texto del presente Convenio, lo cual deberá producirse durante la vigencia del mismo.
La Tarjeta Profesional de Hostelería será el documento que permitirá acreditar, entre otros datos, la formación específica recibida por la persona trabajadora del sector de hostelería, en materia de:
1. Prevención de Riesgos Laborales.
2. Formación específica en higiene de los alimentos.
3. Curso de conocimientos básicos del sector de Hostelería.
4. Titulaciones y Cursos realizados.
5. Categoría Profesional.
6. Periodos de ocupación en las distintas empresas en la que haya ejercitado su actividad del sector de Hostelería.
El Carné Profesional de Hostelería tiene las siguientes funciones:
a) Acreditar que su titular ha recibido, como mínimo, la formación inicial en materia de Prevención de Riesgos Laborales, de acuerdo con la normativa vigente sobre esta materia.
b) Acreditar la formación en materia de higiene de los alimentos si la categoría profesional requiere la misma.
c) Acreditar la formación de todo tipo recibida por su titular.
d) Acreditar su categoría profesional y la experiencia laboral.
Lo indicado en este artículo es un contenido mínimo que se completará con lo que se desarrolle y se recoja en el ALEH en relación con la tarjeta profesional.
DISPOSICIÓN FINAL. DEROGACIÓN.
El presente Convenio sustituye y deja sin efecto alguno el Convenio anterior.
ANEXO I. TABLAS DE CLASIFICACION DEL PERSONAL A EFECTOS RETRIBUTIVOS.
En materia de clasificación profesional se estará a lo dispuesto en el ALEH vigente en cada momento al ser materia reservada al ámbito del mismo. Atendiendo a las categorías profesionales, funciones y puestos ocupados, los/as trabajadores/as afectados/as por el presente Convenio quedarán clasificados a efectos retributivos en los niveles que a continuación se especifican con independencia de la clasificación profesional a efectos funcionales prevista en el V ALEH.
Esta clasificación, profesional a efectos retributivos ha tenido en cuenta, a su vez, lo establecido en el Artículo 51 del presente Convenio para el año 2022 y siguientes.
NIVEL PRIMERO. – Jefe/a de Recepción; Jefe/a de Administración; Jefe/a Comercial; Jefe/a de Cocina; Jefe/a de Servicios de Catering; Jefe/a de Operaciones de Catering; Jefe/a de Restaurante o Sala; Jefe/a de Catering; Gerente de Centro de Restauración Moderna; Responsable de Servicio (Termales y Balnearios); Técnico/a en prevención de Riesgos Laborales (Nivel Superior); Encargados/as generales; Encargados/as de Mantenimiento y servicios auxiliares.
NIVEL SEGUNDO. – Administrativo/a; Segundo/a Jefe/a de Restaurante o Sala; Segundo/a Jefe/a de Cocina; Segundo/a Jefe/a de Recepción; Primer/a Conserje; Encargado/a de Sección; Jefe/a de Partida; Jefe/a de Sala de Catering; Supervisor/a de Catering; Supervisor/a de Colectividades; Técnico/a de Servicios (Fisioterapeuta, Dietista y otros/as titulados/as en Ciencias de la Salud; Técnico/a en Prevención de Riesgos Laborales (Nivel Intermedio).
NIVEL TERCERO.- Camarero/a; Barman/Barwoman; Sumiller; Repostero/a; Conserje; Conserje de Noche en Hoteles de 4 o 5 Estrellas; Recepcionista; Telefonista; Cocinero/a; Encargado/a de Economato; Especialista de Mantenimiento y Servicios Auxiliares; Jefe/a de Sector; Relaciones Públicas; Conductor/a de Equipo en Catering; Comercial; Especialista de Servicios (Socorrista o Especialista de primeros auxilios, Animador/a turístico o de tiempo libre, Monitor/a deportivo, pinchadiscos, Masajista, Quiromasajista, Esteticista, Especialista Termal o de Balneario, Hidroterapeuta y Especialista en Atención al Cliente) Camarero/a de Pisos en Hoteles de Tres o más Estrellas; Supervisor/a de Restauración Moderna; Dependiente/a de casa de comidas para llevar.
NIVEL CUARTO.- Ayudante de Camero/a; Conserje de Noche en Hoteles de 3 Estrellas y categorías inferiores; Ayudante/a de Economato; Ayudante/a de Cocina; Preparador/a Montador/a de Catering; Ayudante/a Administrativo/a; Auxiliar de Colectividades; Ayudante/a de Equipo de Catering; Ayudante/a de Recepción y Conserjería; Camarero/a de Pisos en Hoteles de 2 Estrellas, Hostales de 3 Estrellas, Establecimientos de categoría inferior y Balnearios; Ayudante/a de dependiente/a de casa de comidas para llevar; Preparador/a de Restauración Moderna y Repartidor/a de comidas y bebidas.
NIVEL QUINTO. – Auxiliar de Recepción y Conserjería; Auxiliar de Cocina; Auxiliar de Pisos y Limpieza; Auxiliar de Mantenimiento y Servicios Auxiliares; Auxiliar/Asistente de Restauración Moderna; Monitor/a o Cuidador/a de Colectividades; Auxiliar de Preparador/a Montador/a de Catering; Auxiliar de Servicio (Auxiliar de atención al cliente y auxiliar de piscina o balneario).
NOTAS. – Esta clasificación se ha realizado tratando de asimilar las categorías profesionales a efectos retributivos con las previstas en el ALEH, respetando en sus propios términos aquellas otras no coincidentes y conservando el nivel retributivo anterior.
Las denominaciones indicadas deben considerarse todas ellas en términos femeninos cuando así sea posible gramaticalmente.
ANEXO II. TABLAS DE APLICACIÓN PARA TODAS LAS EMPRESAS COMPRENDIDAS EN EL ÁMBITO DE ESTE CONVENIO 2022.
ANEXO II. TABLAS DE APLICACIÓN PARA TODAS LAS EMPRESAS COMPRENDIDAS EN EL ÁMBITO DE ESTE CONVENIO 2023.
ANEXO II. TABLAS DE APLICACIÓN PARA TODAS LAS EMPRESAS COMPRENDIDAS EN EL ÁMBITO DE ESTE CONVENIO 2024.
ANEXO II. TABLAS DE APLICACIÓN PARA TODAS LAS EMPRESAS COMPRENDIDAS EN EL ÁMBITO DE ESTE CONVENIO 2025.
ANEXO II BIS (ESPECIAL SIN EXPERIENCIA) en aplicación del artículo 5.E) (Contrato para el fomento de la contratación indefinida). REGIMEN TRANSITORIO EMPRESAS DE ALOJAMIENTO AFECTADAS POR PLAN DE ETAPAS 2023 (aplicable los establecimientos de alojamiento de las categorías indicadas, en funcionamiento antes de la entrada en vigor del convenio colectivo).
ANEXO II BIS (ESPECIAL SIN EXPERIENCIA) en aplicación del artículo 5.E) (Contrato para el fomento de la contratación indefinida). REGIMEN TRANSITORIO EMPRESAS DE ALOJAMIENTO AFECTADAS POR PLAN DE ETAPAS 2024 (aplicable los establecimientos de alojamiento de las categorías indicadas, en funcionamiento antes de la entrada en vigor del convenio colectivo).
ANEXO II BIS (ESPECIAL SIN EXPERIENCIA) en aplicación del artículo 5.E) (Contrato para el fomento de la contratación indefinida). REGIMEN TRANSITORIO EMPRESAS DE ALOJAMIENTO AFECTADAS POR PLAN DE ETAPAS 2025 (aplicable los establecimientos de alojamiento de las categorías indicadas, en funcionamiento antes de la entrada en vigor del convenio colectivo).
ANEXO II BIS (ESPECIAL SIN EXPERIENCIA). TABLAS DE APLICACIÓN PARA TODAS LAS EMPRESAS COMPRENDIDAS EN EL ÁMBITO DE ESTE CONVENIO 2023.
ANEXO II BIS (ESPECIAL SIN EXPERIENCIA). TABLAS DE APLICACIÓN PARA TODAS LAS EMPRESAS COMPRENDIDAS EN EL ÁMBITO DE ESTE CONVENIO 2024.
ANEXO II BIS (ESPECIAL SIN EXPERIENCIA). TABLAS DE APLICACIÓN PARA TODAS LAS EMPRESAS COMPRENDIDAS EN EL ÁMBITO DE ESTE CONVENIO 2025.
ANEXO III. REGIMEN TRANSITORIO EMPRESAS DE ALOJAMIENTO AFECTADAS POR PLAN DE ETAPAS 2022 (aplicable los establecimientos de alojamiento de las categorías indicadas, en funcionamiento antes de la entrada en vigor del convenio colectivo).
ANEXO III. REGIMEN TRANSITORIO EMPRESAS DE ALOJAMIENTO AFECTADAS POR PLAN DE ETAPAS 2023 (aplicable los establecimientos de alojamiento de las categorías indicadas, en funcionamiento antes de la entrada en vigor del convenio colectivo).
ANEXO III. REGIMEN TRANSITORIO EMPRESAS DE ALOJAMIENTO AFECTADAS POR PLAN DE ETAPAS 2024 (aplicable los establecimientos de alojamiento de las categorías indicadas, en funcionamiento antes de la entrada en vigor del convenio colectivo).
ANEXO III. REGIMEN TRANSITORIO EMPRESAS DE ALOJAMIENTO AFECTADAS POR PLAN DE ETAPAS 2025 (aplicable los establecimientos de alojamiento de las categorías indicadas, en funcionamiento antes de la entrada en vigor del convenio colectivo).
ANEXO IV-1 2022. Importe de los conceptos no salariales (transportes, útiles y herramientas y uniformes), así como de los complementos salariales de manutención de aplicación general para todas las empresas comprendidas en el ámbito de este Convenio excepto para aquellas incluidas en las tablas específicamente confeccionadas para el subsector empresarial o zona geográfica de referencia.
ANEXO IV-2 2022. Importes de los conceptos no salariales (transportes, útiles, herramientas y uniformes) así como los complementos salariales de manutención de aplicación exclusiva a las empresas hoteleras afectadas por el presente Convenio.
ANEXO IV-1 2023. Importe de los conceptos no salariales (transportes, útiles y herramientas y uniformes), así como de los complementos salariales de manutención de aplicación general para todas las empresas comprendidas en el ámbito de este Convenio excepto para aquellas incluidas en las tablas específicamente confeccionadas para el subsector empresarial o zona geográfica de referencia.
ANEXO IV-2 2023. Importes de los conceptos no salariales (transportes, útiles, herramientas y uniformes) así como los complementos salariales de manutención de aplicación exclusiva a las empresas hoteleras afectadas por el presente Convenio.
ANEXO IV-1 2024. Importe de los conceptos no salariales (transportes, útiles y herramientas y uniformes), así como de los complementos salariales de manutención de aplicación general para todas las empresas comprendidas en el ámbito de este Convenio excepto para aquellas incluidas en las tablas específicamente confeccionadas para el subsector empresarial o zona geográfica de referencia.
ANEXO IV-2 2024. Importes de los conceptos no salariales (transportes, útiles, herramientas y uniformes) así como los complementos salariales de manutención de aplicación exclusiva a las empresas hoteleras afectadas por el presente Convenio.
ANEXO IV-1 2025. Importe de los conceptos no salariales (transportes, útiles y herramientas y uniformes), así como de los complementos salariales de manutención de aplicación general para todas las empresas comprendidas en el ámbito de este Convenio excepto para aquellas incluidas en las tablas específicamente confeccionadas para el subsector empresarial o zona geográfica de referencia.
ANEXO IV-2 2025. Importes de los conceptos no salariales (transportes, útiles, herramientas y uniformes) así como los complementos salariales de manutención de aplicación exclusiva a las empresas hoteleras afectadas por el presente Convenio.
ANEXO V. Tablas de aplicación general para todas las empresas comprendidas en el ámbito de este convenio, referidas al valor de la hora extra y el día festivo trabajado, al estar calculados dichos conceptos sin el extinguido complemento por antigüedad que pueda tener consolidado el trabajador a raíz de la supresión de dicho concepto en el convenio precedente, de forma que a las cuantías anteriormente especificadas se sumarán, en su caso, los importes que a continuación se detallan, según sea el porcentaje de antigüedad que había alcanzado el trabajador al 31/12/1995 o 31/12/1997, según los criterios de aplicación del artículo 17 del convenio colectivo.
ANEXO VI. PROTOCOLO DE ACTUACIÓN DE LAS EMPRESAS DE HOSTELERÍA EN LOS CASOS DE ACOSO SEXUAL Y ACOSO POR RAZÓN DE SEXO.
Los principios en los que el protocolo de actuación se basa son la eficacia y efectividad de los procedimientos, así como la celeridad y la confidencialidad de los trámites.
a) PROCEDIMIENTO INFORMAL. En atención a que en la mayoría de los casos lo que se pretende simplemente es que la conducta indeseada cese, en primer lugar, y como trámite extraoficial, se valorará la posibilidad de seguir un procedimiento informal, en virtud del cual la propia persona interesada explique claramente a la persona que muestra el comportamiento indeseado, que dicha conducta no es bien recibida, que es ofensiva o incómoda, y que interfiere en su trabajo, a fin de cesar en la misma. Dicho trámite extraoficial podrá ser llevado a cabo, si la persona interesada así lo decide y, a su elección, por un representante de los/as trabajadores/as en la empresa, tanto del órgano unitario como, en su caso, del sindical, por el superior inmediato, o por un responsable del departamento de personal de la empresa.
El presente procedimiento podría ser adecuado para los supuestos de acoso laboral no directo sino ambiental, en los que lo que se ve afectado es el entorno laboral, creándose un ambiente de trabajo ofensivo, humillante, intimidatorio u hostil.
b) PROCEDIMIENTO FORMAL. En los supuestos en los que, por tratarse de un acoso directo, por las circunstancias del caso, o por haberse intentado sin éxito el procedimiento informal, éste no resulte adecuado, se iniciará un procedimiento formal.
1. El procedimiento formal se iniciará con la presentación de un escrito, en el que figurará el listado de incidentes, lo más detallado posible, elaborado por la persona interesada que sea objeto de acoso sexual. La persona a la que irá dirigida el escrito será, a elección del interesado, un responsable del departamento de personal, o a una persona de la dirección de la empresa.
Asimismo, si así lo decidiera el trabajador o la trabajadora, una copia del mismo será trasladada a la representación unitaria y sindical en la empresa.
2. La presentación del escrito dará lugar a la inmediata apertura de un expediente informativo, encaminado a la averiguación de los hechos, dándose trámite de audiencia a todos los intervinientes, incluidas las representaciones unitarias y, en su caso, sindical si no se opusiera la persona interesada, y practicándose cuantas diligencias se estimen necesarias a fin de dilucidar la veracidad de los hechos acaecidos.
3. Durante la tramitación de tales actuaciones se posibilitará a los implicados, si éstos así lo desean, el cambio en el puesto de trabajo, siempre que ello sea posible, hasta que se adopte una decisión al respecto.
4. La intervención de todos los actuantes, incluidos los posibles testigos y en su caso los representantes unitarios o sindicales del personal, deberá observar el carácter confidencial de las actuaciones, por afectar directamente a la intimidad, dignidad y honorabilidad de las personas. Se observará el debido respeto tanto a la persona que ha presentado la denuncia como a la persona objeto de la misma.
5. La constatación de la existencia de acoso sexual o por razón de sexo dará lugar a la imposición de las sanciones previstas en el artículo 40.13’del presente Acuerdo.
6. Cuando la constatación de los hechos no sea posible, y no se adopten por tanto medidas disciplinarias, en ningún caso se represaliará al denunciante, antes, al contrario, se supervisará con especial atención la situación para asegurarse que el acoso no se produce. Asimismo, y siempre que ello sea posible, se procurará una organización del trabajo que impida el contacto continuo de los afectados.
No obstante, si la conducta de acoso sexual o acoso por razón de sexo supone o implica por su evidencia, notoriedad o gravedad, un ataque directo o inmediato a la dignidad de la mujer o del hombre, la empresa adoptará las medidas disciplinarias que pudiera considerar oportunas, sin necesidad de acudir al presente procedimiento.
Anunci de la Conselleria d’Economia Sostenible, Sectors Productius, Comerç i Treball sobre l’acta de la comissió negociadora del conveni col·lectiu d’intersectorial d’hostaleria de la província de València. Codi: 46001285011982.
Resolució de la Direcció Territorial d’Economia Sostenible, Sectors Productius, Comerç i Treball de València, per la qual es disposa el registre, depòsit i publicació de l’acord subscrit per la comissió paritària del conveni col·lectiu intersectorial d’Hostaleria de la província de València.
Vista la sol·licitud d’inscripció de l’acord assenyalat anteriorment, subscrit el dia 31 de març de 2023, pel qual es dona resposta a diverses qüestions elevades a la comissió paritària del conveni, i de conformitat amb el que es disposa en l’article 90 del text refós de la Llei de l’Estatut dels Treballadors, aprovat per Reial decret legislatiu 2/2015, de 23 d’octubre, els articles 2.1 a) i 8.3 del Reial decret 713/2010, de 28 de maig, sobre registre i depòsit de convenis col·lectius, acords col·lectius de treball i plans d’igualtat i els articles 3 i 4 de l’Ordre 37/2010, de 24 de setembre, de la Conselleria d’Economia, Hisenda i Ocupació per la qual es crea el Registre de la Comunitat Valenciana de convenis i acords col·lectius de treball.
Aquesta Direcció Territorial d’Economia Sostenible, Sectors Productius, Comerç i Treball, conforme a les competències legalment establides en l’article 51.1.1a del vigent Estatut d’Autonomia de la Comunitat Valenciana, i l’article 13.3 de l’Ordre 10/2022, de 26 de setembre, de la Conselleria d’Economia Sostenible, Sectors Productius, Comerç i Treball, mitjançant la qual es desenvolupa el Decret 175/2020, del Consell, de 30 d’octubre, pel qual s’aprova el Reglament orgànic i funcional de la Conselleria d’Economia Sostenible, Sectors Productius, Comerç i Treball,
RESOL
Primer: Ordenar la seua inscripció i depòsit en aquest Registre de convenis col·lectius, acords col·lectius de treball i plans d’igualtat amb notificació a la representació de la comissió paritària.
Segon: Disposar la seua publicació en el Butlletí Oficial de la Província.
València, a 2 de maig de 2023. -El director territorial d’Economia Sostenible, Sectors Productius, Comerç i Treball, Santiago García Gallego.
ACTA 1/2023 DE LA COMISION PARITARIA DEL CONVENIO COLECTIVO INTERSECTORIAL DE HOSTELERÍA DE LA PROVINCIA DE VALENCIA DE 31 DE MARZO DE 2023.
ASISTENTES.
Por la parte sindical:
POR UGT – FeSMC:
Gonzalo Aranda Hermoso.
Miguel Ángel Rodriguez Gomez.
Sara Cabrera Bello.
POR CC. OO – Servicios:
Salvador Mejías Sahuquillo.
Yolanda Beltrán Fernández.
Por la parte empresarial:
Por la Asociación Empresarial.
Hotelera de Gandia y la Safor:
Maite Soriano Hidalgo.
Por HOSBEC:
Javier Vallés Sales.
Por la Asociación de Balnearios y Estaciones Termales:
Encarnación Tomás Ruano.
Por CET-CV:
Luis Martí Borderá (delega).
Por la Federación Empresarial de Hostelería de Valencia y sus asociaciones miembros:
Rafael Ferrando Martínez.
En Valencia a 31 de Marzo de 2023, se reúnen a las 9.00 horas en la calle Onteniente nº 3 y 5 (bajo) de la ciudad de Valencia, los/as Sres/as. consignados/as al margen en representación de la parte empresarial y, de otra, los igualmente reseñados en representación de la parte sindical ACUERDAN:
Ambas partes se reconocen su capacidad de obrar y representatividad, procediendo a tratar sobre los diversos aspectos del siguiente
Orden del Día:
1º.- Constitución de la Comisión Paritaria.
De acuerdo con lo dispuesto en el artículo 44 del convenio colectivo se procede a la constitución de la Comisión Paritaria con la designación de su composición, formada por 5 titulares por cada una de las partes, empresarial y sindical, siendo los siguientes:
Por la parte sindical:
Gonzalo Aranda Hermoso.
Miguel Ángel Rodriguez Gomez.
Sara Cabrera Bello.
Salvador Mejías Sahuquillo.
Yolanda Beltrán Fernández.
Por la parte empresarial:
Maite Soriano Hidalgo.
Javier Vallés Sales.
Encarnación Tomás Ruano.
Luis Martí Borderá.
Rafael Ferrando Martínez.
Así mismo, cada una de las partes designara a sus correspondientes suplentes, en caso de necesidad y ante la imposibilidad de asistencia de los titulares.
A continuación, se procede a la elección de común acuerdo por las partes como Presidenta de la Comisión a Yolanda Beltrán Fernández y como Secretario a Rafael Ferrando Martínez, por un periodo de un año.
Según se indica con el referido artículo del convenio colectivo el domicilio de la comisión paritaria será la Federación Empresarial de Hostelería de Valencia y Provincia, sito en la calle Onteniente, nº 3 y 5 bajo, de Valencia.
2º.- Estudio y resolución de las consultas efectuadas a la Comisión Paritaria.
Dentro de las funciones atribuidas a la Comisión Paritaria por el convenio colectivo para el conocimiento y resolución de los conflictos derivados de la aplicación e interpretación con carácter general del convenio, se proceden a revisar las diferentes consultas efectuadas a la Comisión Paritaria por orden cronológico de su recepción.
Carlos García Pallas (22/09/2022).
En primer lugar, se indica por los miembros de la comisión paritaria que, por la fecha de recepción de esta consulta, ésta es anterior a la publicación del texto actualmente vigente del convenio colectivo, advirtiéndose que algunos de los artículos a los que se hacen referencia han sufrido modificación en su redacción y, que se les dará respuesta a las consultas según el nuevo texto publicado el 7 de febrero de 2023.
Respecto de las consultas que realiza sobre el derecho al descanso (Artículo 10. Jornada Semana), los miembros de la comisión consideran que las cuestiones planteadas no obedecen a la necesidad de interpretación del articulado del Convenio, sino que se trata de dudas de tipo jurídico, siendo la redacción de este artículo suficientemente clara para dar contestación a la pregunta.
En relación con la consulta planteada sobre el Artículo 22. (Complementos por Incapacidad Temporal), el referido artículo recoge de forma precisa respecto a qué contingencias se aplica la mejora convencional, no precisando, por lo tanto, interpretación alguna.
Respecto de la consulta sobre tablones de anuncios en centros de trabajo (Artículo 30. Derechos Sindicales), se interpreta que cada centro de trabajo debe disponer de un tablón de anuncios. Y si dispone de varios centros de trabajo en otra/s provincia/s, hay que manifestar que el ámbito territorial de este convenio colectivo de hostelería es la provincia de Valencia por lo que no es aplicable en otra/s provincia/s y habrá que estar a las previsiones convencionales que sean de aplicación en cada provincia.
Sobre la consulta de delegados sindicales (Artículo 31), se indica que la categoría del delegado sindical se encuentra regulada en la LOLS, mejorando este artículo la regulación de la legislación general.
José Antonio Castro Delgado (24/02/2023).
Sobre esta consulta, dado que la misma está incompleta al no identificarse adecuadamente su remitente y tampoco indicar forma de comunicación a la que poder dirigirle la respuesta, los miembros de la comisión paritaria concluyen no entrar a su examen, quedando a la espera de que pudiera volver a formularse en forma.
Judith Cervera Barberà – Zapater Asesores 24/02/2023).
En relación con las consultas realizadas sobre las tablas aplicables a una empresa que tiene dos actividades (camping y restaurante) se interpreta por los miembros de la comisión lo siguiente:
A las dos trabajadoras de la empresa dadas de alta en la actividad de camping desde el año pasado, les será de aplicación las tablas del Anexo III Régimen Transitorio Empresas alojamiento afectadas por el Plan de Etapas 2023.
Para las trabajadoras que serán dadas de alta en el mes de mayo de 2023 en la actividad de restaurante del camping, les será de aplicación el Anexo II Tablas de aplicación para todas las empresas comprendidas en el ámbito de este convenio 2023, concreto la Tabla I Para cafeterías con categoría especial, primera o segunda; restaurantes con categoría de cinco, cuatro, tres, dos y un tenedor; cafés-bares con categoría especial (A, B), primera, segunda, tercera y cuarta; colectividades; empresas de restauración moderna; establecimientos de comidas para llevar, discotecas; salas de baile; cruasanterías; zumerías, bingos; salones recreativos y billares; pizzerías; hamburgueserías; bocadillerías; creperías; cervecerías; tabernas; freidurías; chiringuitos de playa; pubs; terrazas de veladores; quioscos; heladerías; chocolaterías; salones de té; ambigús; cafés-teatro; tablaos; casinos; y cibercafés.
Ana Nebot (25/02/2023).
Respecto de las consultas que realiza sobre el cálculo del absentismo (Artículo 22), los miembros de la comisión manifiestan que es competencia de la comisión paritaria la interpretación del convenio colectivo y no el asesoramiento, por lo que se considera por sus miembros que con esta consulta nos encontramos en el segundo supuesto, siendo, además, la redacción de este artículo lo suficientemente clara para dar contestación a la pregunta.
Andrés González – AG&AG Auditores y Consultores Laborales SLP (09/03/2023).
Respecto de las diferentes consultas realizadas, la Comisión Paritaria responde lo siguiente:
1.- Sobre el artículo 20, y en cuanto al concepto «manutención»:
Sobre la consulta relacionada con las empresas que no dispensan comida, del apartado a), se le remite a la redacción del artículo 20.
Sobre la consulta de coincidencia de los horarios con almuerzos/comida y cena, del apartado b), la Comisión Paritaria interpreta que la redacción de este artículo establece que es necesaria la coincidencia de uno de ellos.
Sobre la consulta de las empresas que dispensa comida y la obligación de proveer la manutención, del apartado c), la comisión paritaria realiza la siguiente interpretación:
Este artículo recoge diferentes supuestos sobre diferentes formas de manutención de los trabajadores que prestan sus servicios en horarios coincidentes con las horas de almuerzo/comida y cena:
– Si no se da manutención en especie, se abonará el importe correspondiente del complemento de manutención del Anexo IV del año correspondiente y se cotizará por dicho importe.
– Si se da manutención en especie, para su valoración a efectos de cotización se estará a lo dispuesto en el Reglamento general sobre cotización y liquidación de otros derechos de la Seguridad Social, aprobado por el Real Decreto 2064/1995, de 22 de diciembre, modificado por el Real Decreto 637/2014, de 25 de julio, en relación con la valoración de las percepciones en especie satisfechas por los empresarios vendrá determinada por el coste medio que suponga para los mismos la entrega del bien, derecho o servicio objeto de percepción, especificando el artículo 20 del convenio colectivo que está valoración del coste medio de la manutención no podrá ser inferior a 25 euros.
– Si se ofrece manutención en especie al trabajador y, éste no hace uso del servicio de comida, no se podrá exigir su compensación en metálico.
2.- Sobre el artículo 16, y en cuanto a la «paga única no consolidable de 0,5%», en relación con el IPC de 2022, que se abonará si supera éste el 3,5%, la comisión paritaria responde de forma conjunta a sus diferentes apartados:
Como se indica en el artículo 16 se trata de una paga única adicional no consolidable de 0,5%, que se abona en pago único en el primer trimestre del 2023. Considerando que el redactado del art. 16 pudiera admitir diversas interpretaciones, la Comisión Paritaria considera aclarar los extremos que configuran dicha paga única, y que formaron parte del espíritu de la negociación de este artículo, que son los siguientes:
– El 0,5% se calcula sobre los importes de salario base, pagas extras, manutención y plus de transporte de las tablas correspondientes al 2022 (Anexo II), de cada uno de los dos semestres, y en proporción al periodo efectivamente trabajado en 2022.
– La cotización se realiza a su fecha de abono.
– Tienen derecho a percibir esta paga única aquellos trabajadores que estén de alta en la empresa a fecha 31 de marzo de 2023 y que hubieran prestado servicios durante el 2022.
– Los trabajadores fijos discontinuos que, en el mes de marzo de 2023 se encuentren dentro del periodo de inactividad, tendrán derecho a su abono cuando se reincorporen a la empresa.
Susana Frejo – Segrelles Asesores (17/03/2023)..
Sobre la consulta realizada, la comisión paritaria responde que, en la redacción del artículo 10 sobre, y en concreto respecto al redactado «cualquiera de los medios mecánicos, visuales o electrónicos que libremente establezca la empresa», consideramos incluido cualquier otro medio, incluso manual, que esté permitido por la legislación vigente, tratándose por lo tanto de una lista enunciativa, y no limitativa.
Blanca Chueca – Staff asesores (22/03/23).
En relación con las consultas realizadas sobre el apartado B del artículo 16 relativo al plus de formación, se responde los siguiente:
– Se establece, como una de las formas de acreditación para exonerar su pago, el certificado de adhesión a la organización empresarial representativa del sector, la Federación Empresarial de Hostelería de Valencia, al colaborar activamente en el desarrollo formativo del sector, a través del impulso de planes de formación, dirigidos a trabajadores/as afectados/as por este convenio.
– La formación a facilitar tiene que ser específica y transversal ajustada a las necesidades del mercado de trabajo, que atienda a los requerimientos de competitividad de las empresas de este sector, y que a la vez satisfaga las aspiraciones de promoción profesional y desarrollo personal de los/as trabajadores/as, capacitándoles para el desempeño cualificado de las diferentes profesiones, siendo posible incluir la realización de cursos formativos de inglés.
– En el artículo, que lo regula, no se indica que pueda ser proporcional a la jornada.
Alvaro Tormo – Asesoría la Creu (24/03/203).
Dado que la consulta efectuada se refiere a diferentes cuestiones sobre la paga única no consolidable del 0,5%, cuando el IPC del 2022 supera el 3,5%, se da aquí por reproducida la respuesta dada a la consulta anterior realizada por Andrés González – AG&AG Auditores y Consultores Laborales SLP.
Oscar García Pérez – Asesor del sector de hostelería de UGT (28/03/2023).
Respecto de la consulta sobre cuál es el convenio colectivo de aplicación a las actividades de casas de comidas para llevar, la comisión paritaria interpreta que, conforme al párrafo segundo del artículo 2 del convenio, las casas de comidas para llevar están incluidas en su ámbito funcional («establecimientos de comidas para llevar») y, por tanto, les es de aplicación el Convenio Colectivo de Hostelería de la provincia de Valencia.
3º.- Diferentes aspectos del convenio colectivo de hostelería a someter a la Comisión Paritaria: plus formación, reconocimiento restauración organizada y justificación termalismo social.
Plus de Formación. La representación de la Federación Empresarial de Hostelería de Valencia en la comisión paritaria expone que el artículo 16 letra B regula el plus de formación con el objetivo de conseguir un sector moderno y competitivo, es necesario contar con empresarios/as y trabajadores/as con una formación adecuada y permanentemente actualizada.
Este complemento deberá ser abonado a los trabajadores por aquellas empresas que no acrediten su participación en una organización empresarial representativa del sector, como el caso de la Federación Empresarial de Hostelería de Valencia, al ser una entidad que colabora activamente en el desarrollo formativo de este sector, a través del impulso de planes de formación, dirigidos a trabajadores/as afectados/as por este convenio, así como la realización de acciones formativas para facilitar una formación ajustada a las necesidades del mercado de trabajo, lo que se ajusta a lo regulado en este artículo.
Además, esta formación se puede acreditar también por el desarrollo de planes individuales de formación continua o la participación en planes agrupados de formación permanente y/o continua en materia de hostelería desarrollados por los sindicatos más representativos del sector. En este sentido, la parte empresarial y sindical de la Comisión Paritaria consideran conveniente concretar las condiciones y requisitos que debe tener esta formación, especialmente para aquellas empresas del sector que realicen formación o tengas planes formativos y los trasladen a la comisión paritaria.
Sobre esta cuestión, se comentan los diferentes modelos de concreción de los requisitos de esta formación que se han adoptado en otros convenios colectivos provinciales que también tienen regulado un artículo similar. En ellos se ha observado que la principal diferencia se encuentra en el número de horas que se exigen para su cumplimiento, pudiendo ser tanto en formato presencial como on-line.
Tras un debate de esta cuestión, se acuerda recopilar la información sobre las acciones formativas susceptibles de incluirse en el contenido de este plus de formación y mantener una reunión de trabajo monográfica entre representantes sindicales y empresariales, en la concretar sus requisitos.
Reconocimiento restauración organizada. En relación a aquellas empresas cuyos centros de trabajo puedan acogerse a la clasificación que realiza el artículo 4º (ámbito funcional) del V Acuerdo Laboral de Ámbito Estatal para el sector de Hostelería, como empresas de Restauración Moderna o de Comida Rápida, se acuerda que cada empresa que quiera tener su reconocimiento deberá de realizar solicitud a la Comisión Paritaria del Convenio Colectivo para su resolución, a efectos de aplicación de lo previsto en el apartado A) del artículo 16, relativo al complemento funcional Asistente Restauración Moderna.
A este respecto, examinada la solicitud efectuada por la empresa RED CUP BURGUER CLUB se resuelve no efectuar su reconocimiento.
Justificación termalismo social. En relación con la forma de aportar la justificación suficiente a la Comisión Paritaria por parte de las empresas de balnearios, de que su actividad principal está condicionada mayoritariamente por los programas de termalismo social para su reconocimiento explícito, se acuerda por la Comisión Paritaria que la organización más representativa del sector de balnearios presente una declaración responsable en la que se indique que la empresa correspondiente que quiera obtener dicho reconocimiento cumple las condiciones que se recogen en el artículo 16: por un lado, que su actividad empresarial se encuentra, en un porcentaje del 80%, supeditada a los programas de termalismo social (IMSERSO y GV), y particularmente su precio fijado unilateralmente por la administración.
4º.- Constitución Mesa Técnica contratos fijos-discontinuos.
Según el acuerdo de los negociadores del convenio recogido en el documento de Anexo al preacuerdo de fecha 2 de agosto de 2022, en este momento, las partes constituyen mesa técnica de contratos fijos-discontinuos, acordando, asimismo, que su composición sea la misma que tiene esta Comisión Paritaria.
A continuación, se proponen dos fechas alternativas para convocar la primera reunión de esta mesa técnica: 26 de abril o 3 de mayo, según mejor disponibilidad de los asistentes para su confirmación.
5º.- Ruegos y preguntas.
No se producen.
Finalmente, se faculta a D. RAFAEL FERRANDO MARTÍNEZ, con D.N.I. 24.370.482 – G para que realice en nombre y representación de la comisión paritaria todos los trámites necesarios para proceder al registro, depósito, inscripción y publicación de la presente acta ante la Administración Laboral y posterior publicación en el correspondiente boletín/diario oficial, así como, expresamente efectuar los trámites necesarios para la comunicación de la elección de la presidenta y secretario de la Comisión Paritaria.
Y en prueba de todo lo antedicho firman las partes aquí representadas a los efectos oportunos, a las once horas y veinte minutos, en lugar y fecha en el encabezamiento indicados.
ACUERDO (BOP Núm. 176, 11-9-2023)
Anunci de la Conselleria d’Economia Sostenible, Sectors Productius, Comerç i Treball sobre l’acta de la comissió negociadora del conveni col·lectiu d’hostaleria de la província. Codi: 46001285011982.
Resolució de la Direcció Territorial d’Economia Sostenible, Sectors Productius, Comerç i Treball de València, per la qual es disposa el registre, depòsit i publicació de l’acord subscrit per la comissió paritària del conveni col·lectiu d’Hostaleria de la província de València.
Vista la sol·licitud d’inscripció de l’acord assenyalat anteriorment, subscrit el dia 5 de juliol de 2023, pel qual respon a diferents consultes efectuades a aquesta comissió paritària, i de conformitat amb el que es disposa en l’article 90 del text refós de la Llei de l’Estatut dels Treballadors, aprovat per Reial decret legislatiu 2/2015, de 23 d’octubre, els articles 2.1 a) i 8.3 del Reial decret 713/2010, de 28 de maig, sobre registre i depòsit de convenis col·lectius, acords col·lectius de treball i plans d’igualtat i els articles 3 i 4 de l’Ordre 37/2010, de 24 de setembre, de la Conselleria d’Economia, Hisenda i Ocupació per la qual es crea el Registre de la Comunitat Valenciana de convenis i acords col·lectius de treball.
Aquesta Direcció Territorial d’Economia Sostenible, Sectors Productius, Comerç i Treball, conforme a les competències legalment establides en l’article 51.1.1a del vigent Estatut d’Autonomia de la Comunitat Valenciana, i en la Disposició Transitòria Primera i en la Disposició derogatòria única del Decret 136/2023, de 10 d’agost, del Consell d’aprovació del Reglament orgànic i funcional de la Conselleria d’Educació, Universitats i Ocupació, d’acord amb l’estructura orgànica establida en el Decret 112/2023, de 25 de juliol, del Consell pel qual estableix l’estructura orgànica bàsica de la Presidència i de les Conselleries de la Generalitat,
RESOL
Primer: Ordenar el seu depòsit i inscripció en aquest Registre de convenis col·lectius, acords col·lectius de treball i plans d’igualtat amb notificació a la representació de la comissió paritària.
Segon: Disposar la seua publicació en el Butlletí Oficial de la Província.
València, a 28 d’agost de 2023.- El director territorial d’Economia Sostenible, Sectors Productius, Comerç i Treball, Santiago García Gallego.
ACTA 2/2023 DE LA COMISION PARITARIA DEL CONVENIO COLECTIVO INTERSECTORIAL DE HOSTELERÍA DE LA PROVINCIA DE VALENCIA DE 5 DE JULIO DE 2023.
ASISTENTES.
Por la parte sindical:
POR UGT – FeSMC:
Gonzalo Aranda Hermoso.
Miguel Ángel Rodriguez Gomez.
POR CC. OO – Servicios:
Yolanda Beltrán Fernández.
(Presidenta de la Comisión).
Por la parte empresarial:
Por la Asociación Empresarial.
Hotelera de Gandia y la Safor:
Maite Soriano Hidalgo.
Por HOSBEC:
Javier Vallés Sales (delega).
Por la Asociación de Balnearios y Estaciones Termales:
Encarnación Tomás Ruano.
Por CET-CV:
Luis Martí Borderá (delega).
Por la Federación Empresarial de Hostelería de Valencia y sus asociaciones miembros:
Rafael Ferrando Martínez.
(Secretario de la Comisión).
En Valencia a 5 de Julio de 2023, se reúnen a las 9.30 horas en la sede de la Comisión Paritaria en la calle Onteniente nº 3 y 5 (bajo) de la ciudad de Valencia, los/as Sres/as. consignados/as al margen en representación de la parte empresarial y, de otra, los igualmente reseñados en representación de la parte sindical, en reunión de la Comisión Paritaria del Convenio Colectivo Intersectorial de Hostelería de la provincia de Valencia, para tratar los siguientes puntos del ORDEN DEL DÍA:
Antes de empezar la revisión de los asuntos de la convocatoria de la reunión, los miembros de la comisión paritaria manifiestan la necesidad de realizar la adaptación del texto del convenio colectivo de hostelería de la provincia de Valencia a las modificaciones en materia laboral introducidas en dicha normativa por el Real Decreto-ley 5/2023, de 28 de junio, que se abordará en el momento en que se convoque reunión de la Mesa Negociadora del Convenio Colectivo.
A continuación, efectuada esta manifestación, se procede a la revisión de los diferentes puntos del orden del día de la reunión.
1º.- Estudio y resolución de las consultas efectuadas a la Comisión Paritaria.
Dentro de las funciones atribuidas a la Comisión Paritaria por el convenio colectivo para el conocimiento y resolución de los conflictos derivados de la aplicación e interpretación con carácter general del convenio, se proceden a revisar las diferentes consultas efectuadas a la Comisión Paritaria.
Para podar dar una mejor respuesta a dichas consultas, se han agrupado las mismas por bloques de materias según su objeto.
En este sentido, en primer lugar, dado que se han traslado varias consultas sobre la aplicación del plus de formación regulado en el artículo 16B), en aras a dar respuesta conjunta a todas ellas y recogiendo el compromiso de la anterior reunión sobre esta cuestión en la que se acordó recopilar la información sobre las acciones formativas susceptibles de incluirse en el contenido de este plus de formación y concretar sus requisitos, la comisión paritaria realiza la siguiente interpretación:
CRITERIOS PARA LA ACREDITACION FORMACIÓN (ARTÍCULO 16 B).
Para la acreditación de la formación y la realización de acciones formativas relativas al plus de formación recogido en el artículo 16 letra B) del Convenio Colectivo de Hostelería de la provincia de Valencia, por parte de las empresas de restauración de los códigos CNAE 56 (servicios de comidas y bebidas), se tomará como referencia las Áreas Funcionales que se recogen en el Acuerdo Laboral Estatal de Hostelería (ALEH), vigente en cada momento, para el contenido de las acciones formativas a realizar:
AREAS FUNCIONALES.
Área funcional de Gestión.
Área funcional de Cocina y Economato.
Área funcional de Restaurante, Sala, Bar y similares.
La formación que se realice, en cualquiera de estas áreas funcionales, por las empresas de restauración de los códigos CNAE 56 (servicios de comidas y bebidas) tendrá que ser, al menos, de 30 horas al año para aquellas empresas cuya plantilla media del año anterior sea de 5 trabajadores o inferior y de 50 horas al año para aquellas cuya plantilla media sea superior a 5 trabajadores, a repartir entre dichas áreas, como se considere por dichas empresas según sus necesidades y prioridades, pudiendo éstas realizarse tanto en modalidad presencial como online.
En este sentido, las empresas velarán por mantener una prioridad para la formación de aquellas personas trabajadoras no cualificadas o con menor cualificación.
Se excluyen como acciones formativas que se puedan computar a efectos del cumplimiento de este plus, las correspondientes a la prevención de riesgos laborales y manipulador de alimentos y alergenos, al ser ambas de realización obligatoria por ley.
Con esta interpretación se da respuesta a las consultas trasladadas sobre el plus de formación por: Antonio Pedro Aranda (26/04/2023), Vicente Ferris Domingo (24/04/2023), Restaurante Taberna Galicia SL (06/06/2023), y Cami Als Castellets SLU (24/04/2023) y Centros de Estudios Albanta (29/06/2023). De la documentación presentada a esta comisión de planes de formación por algunas de estas empresas, la comisión paritaria manifiesta expresamente que, solamente respecto de la documentación presentada por escrito de fecha 24 de abril de Alba Grancha Bordanova, en representación de la mercantil Cami Als Castellets SLU, se considera por la comisión paritaria que su plan de formación presentado cumpliría con los criterios arriba indicados de acreditación a los efectos del artículo 16B) del convenio colectivo de hostelería de la provincia de Valencia.
En segundo lugar, se han presentado 2 consultas por la mercantil GALAC CORP, S.L. y COMPAÑ SANTAS, S.L., en las que se solicita el reconocimiento como empresas de restauración moderna o de comida rápida.
En virtud de lo establecido en los artículos 2 y 16 del Convenio Colectivo de Hostelería de la provincia de Valencia y del artículo 4 del Acuerdo Laboral Estatal de Hostelería vigente, la comisión paritaria, tras revisar la documentación aportada por ambas empresas, resuelve el reconocimiento como empresas de restauración moderna o de comida rápida de las empresas: GALAC CORP, S.L. y COMPAÑ SANTAS, S.L.
A continuación, en tercer lugar, se da respuesta a las siguientes consultas planteadas sobre cuestiones individuales:
VICENTE ESTEVE BY ALGESTIÓ & CECOFI (05/05/2023).
En relación con la consulta realizada, la comisión paritaria manifiesta que la cuestión que se nos traslada no requiere una interpretación del texto del convenio colectivo, sino que se hace referencia a una cuestión jurídica en materia de prelación de normas. A esta comisión no le corresponde resolver dudas jurídicas, debiendo ser la persona/empresa que se dirige a esta Comisión quien debe resolver qué norma es de aplicación en materia salarial.
SUSANA FREJO DE SEGRELLES ASOCIADOS (10/05/2023).
En relación con la consulta efectuada sobre el plus de transporte (Artículo 20. Manutención, alojamiento y plus de transporte), la comisión paritaria interpreta que en su regulación no se realiza ninguna distinción en cuanto su aplicación a las personas trabajadoras según su jornada, por lo que este plus se abonará con independencia del número de horas y días trabajados.
OSCAR GARCÍA PÉREZ – ASESOR DEL SECTOR DE HOSTELERÍA DE UGT (23/05/2023).
Respecto de la consulta sobre la aplicación del complemento por incapacidad temporal (Artículo 22 letras a) y c), la comisión paritaria manifiesta que el redactado de este artículo no es nuevo, y ha permanecido inalterado desde que se alcanzó el acuerdo, fruto de la negociación colectiva, hace más de 15 años.
La evolución de este artículo ha sido la siguiente: inicialmente, el acuerdo era completar la prestación que el organismo público abonaba en concepto de incapacidad temporal en caso de enfermedad justificada. Posteriormente, los negociadores acordaron que se debía articular también un complemento para los tres primeros días de este periodo de baja, que carecía de prestación por parte de la Seguridad Social, siendo fruto de ese acuerdo la incorporación de la letra a) de este artículo.
La mejora regulada en la letra a) del artículo 22 es compatible con la mejora de la letra c) en el caso de que se superpongan debido a que la baja tenga una duración mayor. Y así se dispone expresamente en el propio artículo 22: «El complemento previsto en el apartado a) y el apartado c) son compatibles entre sí cuando se superpongan ambos».
Así pues, con independencia de la duración de la incapacidad temporal por enfermedad común, siempre que sea superior a 4 días, durante los tres primeros días se aplicará el complemento regulado en la letra a) del artículo 22 y a partir del 4º día se aplicará seguidamente el complemento de la letra c) en los términos y por el periodo establecido en el mismo.
RAFAEL APARISI DIAZ (25/05/2023).
En relación con la consulta efectuada sobre la interpretación de los términos almuerzo/comida referidos a la manutención (Artículo 20. Manutención, alojamiento y plus de transporte) de aquellas empresas que dispensen comidas a las personas trabajadoras que prestan sus servicios coincidentes con las horas de almuerzo/comidas y cena, la comisión paritaria interpreta, por cuanto ese fue el espíritu de la negociación cuando se alcanzó dicho acuerdo, que la referencia que este artículo hace a almuerzo/comida se debe entender como un único concepto referido al turno de comidas exclusivamente con carácter general.
2º.- Información de los acuerdos de inaplicación de condiciones de trabajo trasladados por las empresas a la Comisión Paritaria.
Se han presentado a la comisión paritaria 2 escrito con sendos acuerdos de inaplicación del convenio colectivo de hostelería de la provincia de Valencia notificados por las empresas: Antonia González Jiménez y José Ramón Martínez Castellanos.
De acuerdo con lo dispuesto en el artículo 47.5 del convenio colectivo de hostelería de la provincia de Valencia, la comisión paritaria se da por notificada de ambos acuerdos, realizando respecto a la documentación presentada por la empresa José Ramón Martínez Castellanos, la siguientes advertencia: se ha observado que, en la documentación presentada no figura referencia a que dicho acuerdo se haya alcanzado, respecto a la parte social, con los legitimados para ello en virtud de lo dispuesto en el artículo 47 del texto del convenio colectivo de hostelería de la provincia de Valencia y su remisión expresa al artículo 82 del Estatuto de los Trabajadores.
Siendo la comisión paritaria garante del cumplimiento del presente Convenio Colectivo, advertimos a la empresa José Ramón Martínez sobre este extremo, a los efectos de que revise los extremos indicados que podrían afectar a la validez del acuerdo trasladado.
3º.- Ruegos y preguntas.
No se producen.
Finalmente, se faculta a D. RAFAEL FERRANDO MARTÍNEZ, con D.N.I. *****482 – G para que realice en nombre y representación de la comisión paritaria todos los trámites necesarios para proceder al registro, depósito, inscripción y publicación de la presente acta ante la Administración Laboral y posterior publicación en el correspondiente boletín/diario oficial, así como, expresamente efectuar los trámites necesarios para la comunicación de la elección de la presidenta y secretario de la Comisión Paritaria.
Y en prueba de todo lo antedicho firman las partes aquí representadas a los efectos oportunos, a las once horas, en lugar y fecha en el encabezamiento indicados.
Anuncio de la Conselleria de Educación, Universidades y Empleo sobre el acta de la comisión negociadora del convenio colectivo de hostelería de la provincia. Código: 46001285011982.
Vista la solicitud de inscripción del acuerdo señalado anteriormente, suscrito el día 23 de enero de 2024, por el que responde a diferentes consultas efectuadas a dicha comisión paritaria, y de conformidad con lo dispuesto en el artículo 90 del texto refundido de la Ley del Estatuto de los Trabajadores, aprobado por Real Decreto Legislativo 2/2015, de 23 de octubre, los artículos 2.1 a) y 8.3 del Real Decreto 713/2010, de 28 de mayo, sobre registro y depósito de convenios colectivos, acuerdos colectivos de trabajo y planes de igualdad y los artículos 3 y 4 de la Orden 37/2010, de 24 de septiembre, de la Conselleria de Economía, Hacienda y Empleo por la que se crea el Registro de la Comunitat Valenciana de convenios y acuerdos colectivos de trabajo.
Esta Dirección Territorial, conforme a las competencias legalmente establecidas en el artículo 51.1.1ª del vigente Estatuto de Autonomía de la Comunitat Valenciana, y en la Disposición Transitoria Primera y en la Disposición derogatoria única del Decreto 136/2023, de 10 de agosto, del Consell de aprobación del Reglamento orgánico y funcional de la Conselleria de Educación, Universidades y Empleo, de acuerdo con la estructura orgánica establecida en el Decreto 112/2023, de 25 de julio, del Consell por el que establece la estructura orgánica básica de la Presidencia y de las Consellerias de la Generalitat,
RESUELVE
Primero: Ordenar su depósito e inscripción en este Registro de convenios colectivos, acuerdos colectivos de trabajo y planes de igualdad con notificación a la representación de la comisión paritaria.
Segundo: Disponer su publicación en el Boletín Oficial de la Provincia.
València, a 24 de abril de 2024. -La directora territorial de Educación, Universidades y Empleo, Inmaculada Beatriz Murgui Muñoz.
ACTA 1/2024 DE LA COMISION PARITARIA DEL CONVENIO COLECTIVO INTERSECTORIAL DE HOSTELERÍA DE LA PROVINCIA DE VALENCIA DE 23 DE ENERO DE 2024.
En Valencia a 23 de Enero de 2024, se reúnen a las 10.00 horas en la sede de la Comisión Paritaria en la calle Onteniente nº 3 y 5 (bajo) de la ciudad de Valencia, los/as Sres/as. consignados/as al margen en representación de la parte empresarial y, de otra, los igualmente reseñados en representación de la parte sindical, en reunión de la Comisión Paritaria del Convenio Colectivo Intersectorial de Hostelería de la provincia de Valencia, para tratar los siguientes puntos del ORDEN DEL DÍA:
Con carácter previo al análisis de las consultas remitidas a esta Comisión Paritaria, dado que los cargos de presidente y secretario de la Comisión Paritaria fueron designados por un año, según lo dispuesto en el artículo 44 del convenio colectivo, se procede a la elección de común acuerdo por las partes como Presidenta de la Comisión a Yolanda Beltrán Fernández y como Secretario a Rafael Ferrando Martínez, por un periodo de un año.
A continuación, efectuada esta designación, se procede a la revisión de los diferentes puntos del orden del día de la reunión.
1º.- Estudio y resolución de las consultas efectuadas a la Comisión Paritaria.
Dentro de las funciones atribuidas a la Comisión Paritaria por el convenio colectivo para el conocimiento y resolución de los conflictos derivados de la aplicación e interpretación con carácter general del convenio, se proceden a revisar las diferentes consultas efectuadas a la Comisión Paritaria.
Para podar dar una mejor respuesta a dichas consultas, se han agrupado las mismas por bloques de materias según su objeto.
ASISTENTES.
Por la parte sindical:.
POR UGT – FeSMC:.
Gonzalo Aranda Hermoso.
Miguel Ángel Rodriguez Gomez.
Sara Cabello Bello.
POR CC. OO – Servicios:.
Yolanda Beltrán Fernández.
(Presidenta de la Comisión).
Salvador Mejías Sahuquillo.
Por la parte empresarial:.
Por la Asociación Empresarial.
Hotelera de Gandia y la Safor:.
Maite Soriano Hidalgo.
Por HOSBEC:.
Javier Vallés Sales (delega).
Por la Asociación de Balnearios y.
Estaciones Termales:.
Encarnación Tomás Ruano.
Por CET-CV:.
Luis Martí Borderá (delega).
Por la Federación Empresarial de.
Hostelería de Valencia y sus.
asociaciones miembros:.
Rafael Ferrando Martínez.
(Secretario de la Comisión).
1. Consulta Plus Transporte (artículo 20).
La consulta se realiza por Gestoría Payá en relación con el plus transporte regulado en el artículo 20 y la interpretación efectuada en la anterior acta de esta comisión paritaria sobre esta cuestión. En la consulta se realiza una exposición donde se recoge el texto de la publicación de la respuesta a consulta efectuada sobre este mismo artículo en el acta de la comisión paritaria de 5 de julio de 2023 (publicada en el BOPV nº 176 de 11-9-2023) y el texto de la respuesta a una consulta efectuada en 2005 del sector de colectividades en relación con este complemento.
Además, se aporta diferente jurisprudencia del Tribunal Supremo y la Audiencia Nacional sobre el reconocimiento del derecho a los trabajadores que realizan jornada a tiempo parcial o reducida a percibir el plus transporte de modo proporcional a los días que acuden al trabajo mensualmente en relación con los trabajadores que prestan sus servicios todos los días laborales Tras realizar esta exposición, se consulta si el plus transporte regulado en el artículo 20 del convenio colectivo, se tiene que abonar de manera íntegra independientemente que un trabajador preste servicios 1 días o 5 días a la semana.
Respuesta: los miembros de la comisión resuelven que esta consulta se abordará de forma individual y monográfica en próxima reunión de la comisión paritaria que se convocará al efecto.
2. Consulta Plus Nocturnidad (artículo 18).
La consulta se realiza por la empresa HFS Salamandra SL, que se dedica a la actividad de ocio nocturno en horario de 23 horas hasta las 7.00 horas, preguntando que: como realiza esta actividad en esta franja horaria, si deberíamos aplicar dicho plus de nocturnidad o no. Además, pone el ejemplo del convenio colectivo provincial de Madrid, en el que no se considera el plus nocturno en la actividad de discoteca por ser condición nocturna el servicio que se realiza.
Respuesta: la comisión paritaria resuelve que no puede valorar ni interpretar lo regulado en otros convenios, por lo que hay que estar a lo que se recoge en el artículo 18 del convenio colectivo de hostelería de la provincia de Valencia, en el que se indica literalmente: «(…) No será de aplicación tal porcentaje a los/as trabajadores/as que desempeñen funciones de Conserje de noche, ni a aquellos otros cuya retribución se haya establecido teniendo en cuenta la condición de nocturnidad del servicio a prestar (…)».
Dicho esto, esta comisión paritaria considera que el artículo 18 del convenio colectivo regula de forma clara las excepciones al abono del Plus de Nocturnidad, no siendo necesaria la interpretación del mismo. Además, la consulta planteada no es de interpretación, sino de aplicación, y esta Comisión Paritaria no tiene facultades para asesorar jurídicamente a las empresas sobre cómo deben aplicar el convenio colectivo.
3. Consulta Fiestas abonables (artículo 14).
Se expone la consulta presentada por Antonio Pedro Aranda sobre la aclaración de la aplicación de este plus festivo sobre el importe a abonar en la nómina mensual en el supuesto concreto plantado.
Respuesta: la comisión paritaria resuelve que no se trata de una consulta de interpretación del articulado del Convenio, sino que se trata de dudas de tipo jurídico, siendo la competencia de esta comisión la interpretación del texto del convenio colectivo y no el asesoramiento o la resolución de casos particulares, concluyéndose que la redacción de este artículo es suficientemente clara, no requiriendo interpretación.
4. Consulta Días libres disposición (artículo 25).
El Sr. Ferrando (FEHV) cede la palabra al Sr. Gonzalo (UGT) para que explique la consulta remitida, dado que fue presentada por él, en su condición de secretario sectorial de hostelería de la organización sindical UGT, sobre la interpretación de la aplicación de los días de libre disposición a los trabajadores durante el año 2022, ante el cambio de redacción del artículo 25 A) letra i) efectuada en el convenio colectivo actualmente vigente y publicado en el BOPV de 7 de marzo de 2023, en comparación con el texto que regulaba esta misma cuestión en el anterior convenio colectivo de hostelería (2008-2011).
Tras debatir la cuestión, las partes de la comisión paritaria no alcanzan un acuerdo en la interpretación de la cuestión planteada.
5. Reconocimiento restauración organizada (artículo 2 párrafo 4º).
Se solicita por la empresa la empresa MONTAHERON SL el reconocimiento de la clasificación de restauración moderan o comida rápida en atención al párrafo 4 del artículo 2 del convenio colectivo de hostelería de la provincia de Valencia.
El Sr. Ferrando recuerda que, sobre esta cuestión ya se resolvió en la anterior reunión de la comisión paritaria de 5 de julio de 2023, en la que se otorgó el reconocimiento como empresa de restauración moderna o de comida rápida a empresas con establecimientos del mismo nombre comercial y pertenecientes a la misma franquicia que ésta, en virtud de lo establecido en los artículos 2 y 16 del Convenio Colectivo de Hostelería de la provincia de Valencia y del artículo 4 del Acuerdo Laboral Estatal de Hostelería vigente.
Respuesta: la comisión paritaria, tras revisar la documentación aportada por la empresa, resuelve el reconocimiento como empresa de restauración moderna o de comida rápida de la empresa a: MONTAHERON, S.L.
2º.- Otras cuestiones interpretativas.
Por parte de los miembros de la comisión paritaria se hace una consideración con ocasión de la reciente publicación del IPC correspondiente al 2023, que se ha situado en un 3,1% y lo dispuesto en el artículo 16 del convenio colectivo, en cuanto a la «paga única no consolidable de 0,5%». En este artículo se indica que si el IPC del 2023 superara el 2,5% se abonará una única paga no consolidable del 0,5%, en el primer trimestre de 2024.
Respuesta: Sobre esta cuestión, como ya fue resuelta en la reunión de la comisión paritaria de 31 de marzo de 2023, la comisión paritaria concluye que se tiene que proceder a su aplicación en los términos indicados en el acta de aquella reunión: paga única adicional no consolidable de 0,5%, que se abona en pago único en el primer trimestre del 2024, calculado sobre los importes de salario base, pagas extras, manutención y plus de transporte de las tablas correspondientes al 2023 (Anexo II), y en proporción al periodo efectivamente trabajado en 2023. La cotización se realiza a su fecha de abono y tienen derecho a percibir esta paga única aquellos trabajadores que estén de alta en la empresa a fecha 31 de marzo de 2024 y que hubieran prestado servicios durante el 2023. Los trabajadores fijos discontinuos que, en el mes de marzo de 2024 se encuentren dentro del periodo de inactividad, tendrán derecho a su abono cuando se reincorporen a la empresa.
3º.- Información de los acuerdos de inaplicación de condiciones de trabajo trasladados por las empresas a la Comisión Paritaria (artículo 47.5).
Se ha presentado a la comisión paritaria un escrito con acuerdo de inaplicación del convenio colectivo de hostelería de la provincia de Valencia notificado por la empresa: PALAMI GESTION, SL.
Respuesta: De acuerdo con lo dispuesto en el artículo 47.5 del convenio colectivo de hostelería de la provincia de Valencia, la comisión paritaria se da por notificada de este acuerdo y tiene por recibida la documentación presentada por la referida empresa.
4º.- Información de los certificados de acreditación formación a la Comisión Paritaria (artículo 16 b).
Se han presentado a la comisión paritaria certificados de 3 empresas de hostelería (LA CATRINA CAFÉ ROCK, S.L, MULTISERVICIOS LA PERLA, S.L. y GISELA E HIJOS, S.L.), en los que se indica que, cada una de ellas, han implantado durante 2023 un Plan de Formación propio destinado a los trabajadores en función de media de empleados.
Respuesta: A este respecto, la comisión paritaria recuerda que la interpretación de algunos de los aspectos de aplicación de este Plus de Formación del artículo 16 B) han sido clarificados en las dos reuniones anteriores de esta comisión. En relación con los escritos presentados, esta comisión recuerda que este artículo establece varias opciones para la acreditación de la formación y quedar excluido de la obligación de abonar este plus de formación, entre la que se encuentra: «2) Mediante certificación expedida por la empresa que acredite el desarrollo de planes individuales de formación continua. Dando traslado de copia a la comisión Paritaria.» A la vista de este redactado, la comisión paritaria considera que el certificado expedido por la empresa, al que se refiere el apartado 2), debe de acreditar de forma clara que se ha efectuado esta formación, en concreto, el desarrollo de planes individuales de formación continua. La comisión paritaria considera que este apartado 2) pone el acento en la acreditación de dicha formación como condición fundamental y que la misma sea real y efectiva, por lo que se interpreta que la certificación, al que hace referencia el artículo apartado 2) precitado, debe acreditar de forma concreta que se ha desarrollado dicha formación, a los efectos de poder desplegar los efectos excluyentes indicados en esta norma, en base a la interpretación según el sentido propio de sus palabras y atendiendo fundamentalmente al espíritu y finalidad de este artículo, según los criterios de interpretación de las normas recogidos en el artículo 3 del Código Civil (publicado por Real Decreto de 24 de julio de 1889) En este sentido, de acuerdo con estos criterios de interpretación, se toma como referencia el diccionario de la Real Academia Española (RAE) que define «acreditar» como: «Dar seguridad de que alguien o algo es lo que representa o parece». Así pues, de acuerdo con la interpretación de este artículo por la comisión paritaria en los términos expuestos, se considera que la acreditación a la que se refiere este apartado 2) del artículo 16 B) se puede entender efectuada de forma clara en los términos de este artículo, con la aportación de documentación o medios probatorios de la misma, similares a los que se indican a continuación, a modo de ejemplo y sin tener carácter exhaustivo, tales como: la certificación de la entidad formativa que ha realizado la formación o las acciones formativas en la empresa o documentación correspondiente a la concreción de las actuaciones formativas de dicho Plan Formativo de la empresa por entidad formativa, que permita acreditar de forma clara que se han desarrollado los planes individuales de formación continua en la empresa en los términos que se recogen en este apartado 2) del artículo 16 B), entre otros, que realmente permitan apreciar dicha acreditación de la formación efectuada por la empresa que presenta el certificado, según interpreta esta comisión.
Este acuerdo adoptado por la comisión paritaria se trasladará individualmente a cada una de las 3 empresas que han aportado los certificados, a los efectos de que puedan subsanar y efectuar dicha acreditación del articulo 16 B) apartado 2), según la interpretación realizada por la comisión paritaria en esta reunión.
5º.- Ruegos y preguntas.
No se producen.
Finalmente, se faculta a D. RAFAEL FERRANDO MARTÍNEZ, con D.N.I. 24******G para que realice en nombre y representación de la comisión paritaria todos los trámites necesarios para proceder al registro, depósito, inscripción y publicación de la presente acta ante la Administración Laboral y posterior publicación en el correspondiente boletín/diario oficial, así como, expresamente efectuar los trámites necesarios para la comunicación de la elección de la presidenta y secretario de la Comisión Paritaria.
Y en prueba de todo lo antedicho firman las partes aquí representadas a los efectos oportunos, a las once horas y quince minutos, en lugar y fecha en el encabezamiento indicados.
ACTA (BOP Núm. 192, 3-10-2024)
Anuncio de la Conselleria de Educación, Cultura, Universidades y Empleo sobre el acta de la comisión negociadora del convenio colectivo intersectorial de hostelería de la provincia de València.
Resolución de la Dirección Territorial de Trabajo y LABORA de Valencia, por la que se dispone el registro, depósito y publicación del acuerdo suscrito por la comisión paritaria del convenio colectivo del sector de Hostelería de la Provincia de Valencia.
Vista la solicitud de inscripción del acuerdo señalado anteriormente, suscrito el día 8 de marzo de 2024, por el que responde a la consulta planteada sobre el plus transporte regulado en el convenio colectivo, y de conformidad con lo dispuesto en el artículo 90 del texto refundido de la Ley del Estatuto de los Trabajadores, aprobado por Real Decreto Legislativo 2/2015, de 23 de octubre, los artículos 2.1 a) y 8.3 del Real Decreto 713/2010, de 28 de mayo, sobre registro y depósito de convenios colectivos, acuerdos colectivos de trabajo y planes de igualdad y los artículos 3 y 4 de la Orden 37/2010, de 24 de septiembre, de la Conselleria de Economía, Hacienda y Empleo por la que se crea el Registro de la Comunitat Valenciana de convenios y acuerdos colectivos de trabajo.
Esta Dirección Territorial de Empleo y LABORA, conforme a las competencias legalmente establecidas en el artículo 51.1.1ª del Estatuto de Autonomía de la Comunitat Valenciana, y en el artículo 41.2 f) de la Orden 9/2024, de 25 de abril, de la Conselleria de Educación, Universidades y Empleo, por la que se desarrolla el Decreto 136/2023, de 10 de agosto, del Consell, de aprobación del Reglamento orgánico y funcional de la Conselleria de Educación, Universidades y Empleo.
RESUELVE
Primero: Ordenar su depósito e inscripción en este Registro de convenios colectivos, acuerdos colectivos de trabajo y planes de igualdad con notificación a la representación de la comisión paritaria.
Segundo: Disponer su publicación en el Boletín Oficial de la Provincia.
València, a 23 de septiembre de 2024. -La directora territorial de Educación, Universidades y Empleo, Inmaculada Beatriz Murgui Muñoz.
ACTA 2/2024 DE LA COMISION PARITARIA DEL CONVENIO COLECTIVO INTERSECTORIAL DE HOSTELERÍA DE LA PROVINCIA DE VALENCIA DE 8 DE MARZO DE 2024.
ASISTENTES.
Por la parte sindical:
POR UGT – FeSMC:
Gonzalo Aranda Hermoso.
Miguel Ángel Rodriguez Gomez.
POR CC. OO – Servicios:
Yolanda Beltrán Fernández.
(Presidenta de la Comisión).
Salvador Mejías Sahuquillo.
Por la parte empresarial:
Por la Asociación Empresarial.
Hotelera de Gandia y la Safor:
Maite Soriano Hidalgo.
Por HOSBEC:
Javier Vallés Sales.
Por la Asociación de Balnearios y Estaciones Termales:
Encarnación Tomás Ruano.
Por CET-CV:
Luis Martí Borderá (delega).
Por la Federación Empresarial de Hostelería de Valencia y sus asociaciones miembros:
Rafael Ferrando Martínez.
(Secretario de la Comisión).
Sonia Morales Ballester, asesora laboral.
En Valencia a 8 de Marzo de 2024, se reúnen a las 9.30 horas en la sede de la Comisión Paritaria en la calle Onteniente nº 3 y 5 (bajo) de la ciudad de Valencia, los/as Sres/as. consignados/as al margen en representación de la parte empresarial y, de otra, los igualmente reseñados en representación de la parte sindical, en reunión de la Comisión Paritaria del Convenio Colectivo Intersectorial de Hostelería de la provincia de Valencia, para tratar los siguientes puntos del ORDEN DEL DÍA:
1º.- Lectura y, en su caso, aprobación del acta de la sesión anterior.
En este punto, se procede a la lectura del acta de la sesión anterior, la cual previamente fue remitida telemáticamente a los miembros de la comisión, sin que se hayan producido observaciones ni consideraciones sobre su contenido, procediéndose a su aprobación y firma.
2º.- Estudio y resolución de la consulta efectuada a la Comisión Paritaria: plus transporte.
El Sr. Ferrando comenta que el objeto de esta reunión, tal y como se acordó en la anterior sesión celebrada de la comisión paritaria, es revisar de forma monográfica y realizar un estudio más detallado de la consulta planteada por la Gestoría Payá, en relación con el plus transporte regulado en el artículo 20 y la interpretación efectuada anteriormente por esta comisión paritaria sobre esta cuestión.
Para ilustrar y argumentar de forma más detallada esta consulta, el Sr. Ferrando comenta que se remitió a los miembros de la comisión paritaria un informe efectuado por la asesora laboral de Hostelería Valencia, Sonia Morales, en la que se realiza un exposición de la redacción del plus de transporte y se analiza la respuesta a consulta efectuada sobre este mismo artículo en el acta de la comisión paritaria de 5 de julio de 2023, junto con el texto de la respuesta a una consulta efectuada en 2005 del sector de colectividades en relación con este complemento. Además, se aporta diferente jurisprudencia del Tribunal Supremo y la Audiencia Nacional sobre el reconocimiento del derecho a los trabajadores que realizan jornada a tiempo parcial o reducida a percibir el plus transporte de modo proporcional a los días que acuden al trabajo mensualmente en relación con los trabajadores que prestan sus servicios todos los días laborales ya que si no se realizara distinción, se podría estar produciendo una penalización, al abonarse igualmente al que realizar una mayor jornada respecto al que solamente acude a trabajar un número menor de días, poniéndose diferentes ejemplos para ilustrar esta situación de posible inequidad o desigualdad.
Tras realizar esta exposición de la Sra. Morales se produce un debate por los miembros de la comisión paritaria sobre la interpretación expuesta del abono del plus transporte a los días efectivamente trabajados y la consulta de si el plus transporte regulado en el artículo 20 del convenio colectivo, se tiene que abonar de manera íntegra independientemente que un trabajador preste servicios 1 días o 5 días a la semana.
Respuesta: Los miembros que integran la Comisión Paritaria hemos analizado el redactado del artículo (que sólo hace referencia a su abono con independencia de la duración de la jornada), así como las sentencias referenciadas y, tras un extenso debate analizando la cuestión desde la perspectiva de los pronunciamientos que sobre la materia está realizando el Tribunal Supremo, no se ha alcanzado un acuerdo entre las partes para dar respuesta consensuada a la pregunta realizada.
3º.- Ruegos y preguntas.
No se producen.
Finalmente, se faculta a D. RAFAEL FERRANDO MARTÍNEZ, con D.N.I. 24.37*.*** – * para que realice en nombre y representación de la comisión paritaria todos los trámites necesarios para proceder al registro, depósito, inscripción y publicación de la presente acta ante la Administración Laboral y posterior publicación en el correspondiente boletín/diario oficial, así como, expresamente efectuar los trámites necesarios para la comunicación de la elección de la presidenta y secretario de la Comisión Paritaria.
Y en prueba de todo lo antedicho firman las partes aquí representadas a los efectos oportunos, a las diez horas y veinte minutos, en lugar y fecha en el encabezamiento indicados.
ACTA (BOP Núm. 192, 3-10-2024)
Anuncio de la Conselleria de Educación, Cultura, Universidades y Empleo sobre el acta de la comisión negociadora del convenio colectivo intersectorial de hostelería de la provincia de Valencia.
Resolución de la Dirección Territorial de Trabajo y LABORA de Valencia, por la que se dispone el registro, depósito y publicación del acuerdo suscrito por la comisión paritaria del convenio colectivo del sector de Hostelería de la Provincia de Valencia.
Vista la solicitud de inscripción del acuerdo señalado anteriormente, suscrito el día 5 de julio de 2024, por el que responde a diferentes consultas efectuadas a dicha comisión paritaria, y de conformidad con lo dispuesto en el artículo 90 del texto refundido de la Ley del Estatuto de los Trabajadores, aprobado por Real Decreto Legislativo 2/2015, de 23 de octubre, los artículos 2.1 a) y 8.3 del Real Decreto 713/2010, de 28 de mayo, sobre registro y depósito de convenios colectivos, acuerdos colectivos de trabajo y planes de igualdad y los artículos 3 y 4 de la Orden 37/2010, de 24 de septiembre, de la Conselleria de Economía, Hacienda y Empleo por la que se crea el Registro de la Comunitat Valenciana de convenios y acuerdos colectivos de trabajo.
Esta Dirección Territorial de Empleo y LABORA, conforme a las competencias legalmente establecidas en el artículo 51.1.1ª del Estatuto de Autonomía de la Comunitat Valenciana, y en el artículo 41.2 f) de la Orden 9/2024, de 25 de abril, de la Conselleria de Educación, Universidades y Empleo, por la que se desarrolla el Decreto 136/2023, de 10 de agosto, del Consell, de aprobación del Reglamento orgánico y funcional de la Conselleria de Educación, Universidades y Empleo.
RESUELVE.
Primero: Ordenar su depósito e inscripción en este Registro de convenios colectivos, acuerdos colectivos de trabajo y planes de igualdad con notificación a la representación de la comisión paritaria.
Segundo: Disponer su publicación en el Boletín Oficial de la Provincia.
València, a 23 de septiembre de 2024. -La directora territorial de Educación, Universidades y Empleo, Inmaculada Beatriz Murgui Muñoz.
ACTA 3/2024 DE LA COMISION PARITARIA DEL CONVENIO COLECTIVO INTERSECTORIAL DE HOSTELERÍA DE LA PROVINCIA DE VALENCIA DE 5 DE JULIO DE 2024.
ASISTENTES.
Por la parte sindical:
POR UGT – FeSMC:
Gonzalo Aranda Hermoso.
Miguel Ángel Rodriguez Gomez.
POR CC. OO – Servicios:
Salvador Mejías Sahuquillo.
Por la parte empresarial:
Por la Asociación Empresarial.
Hotelera de Gandia y la Safor:
Maite Soriano Hidalgo.
Por HOSBEC:
Javier Vallés Sales.
Por la Asociación de Balnearios y Estaciones Termales:
Encarnación Tomás Ruano.
Por CET-CV:
Luis Martí Borderá (delega).
Por la Federación Empresarial de Hostelería de Valencia y sus asociaciones miembros:
Rafael Ferrando Martínez.
(Secretario de la Comisión).
En Valencia a 5 de Julio de 2024, se reúnen a las 10.00 horas en la sede de la Comisión Paritaria en la calle Onteniente nº 3 y 5 (bajo) de la ciudad de Valencia, los/as Sres/as. consignados/as al margen en representación de la parte empresarial y, de otra, los igualmente reseñados en representación de la parte sindical, en reunión de la Comisión Paritaria del Convenio Colectivo Intersectorial de Hostelería de la provincia de Valencia, para tratar los siguientes puntos del ORDEN DEL DÍA:
1º.- Lectura y, en su caso, aprobación del acta de la sesión anterior.
En este punto, se procede a la lectura del acta de la sesión anterior, la cual previamente fue remitida telemáticamente a los miembros de la comisión, sin que se hayan producido observaciones ni consideraciones sobre su contenido, procediéndose a su aprobación y firma.
2º.- Estudio y resolución de las consultas efectuadas a la Comisión Paritaria.
Dentro de las funciones atribuidas a la Comisión Paritaria por el convenio colectivo para el conocimiento y resolución de los conflictos derivados de la aplicación e interpretación con carácter general del convenio, se proceden a revisar las diferentes consultas efectuadas a la Comisión Paritaria.
Para podar dar una mejor respuesta a dichas consultas, se han agrupado las mismas por bloques de materias según su objeto.
Informe solicitado por Juzgado de lo Contencioso Administrativo de Valencia: plus nocturnidad.
Se ha recibido notificación por el Letrado de la Administración de Justicia de Juzgado de lo Contencioso Administrativo de Valencia, en la que se solicita a esta comisión la emisión de informe sobre: como debe calcularse la nocturnidad de 22.00 a 00.30 horas y de 00.30 a 6.00 horas y, en su caso, si es correcto aplicar el complemento del 20% solo para las horas entre las 00.30 horas y las 6.00 horas en el periodo de diciembre de 2017 a junio de 2022.
Respuesta: De acuerdo con la facultad de la comisión paritaria de emitir dictamen sobre las cuestiones controvertidas que le sean planteadas en relación con la interpretación y aplicación del Convenio Colectivo, en los términos del artículo 44, resuelve que la interpretación de este artículo 18 del convenio colectivo de hostelería de la provincia de Valencia, en relación a la forma de efectuar el cálculo de la nocturnidad de 22.00 a 00.30 horas, en los siguientes términos:
Desde las 22.00 horas hasta las 00.30 horas, las horas nocturnas se retribuyen al mismo valor de la hora ordinaria, ya que el importe de los salarios que se pactaron en el Convenio se efectúa teniendo en cuenta que la jornada habitual en el sector, por especiales características del mismo, se extiende hasta las 00.30 horas de la madrugada. Así mismo, se resuelve que es correcta la aplicación del complemento del 20% solo para las horas entre las 00.30 horas y las 6.00 horas en el periodo de diciembre de 2017 y junio de 2022.
Esta interpretación ya fue realizada anteriormente en el acta de esta comisión paritaria de fecha 1 de julio de 2022 para el periodo temporal indicado de diciembre de 2017 a 1 de enero de 2022; y en el acta de la mesa negociadora del convenio colectivo de hostelería de la provincia de Valencia de fecha 11 de enero de 2023 (Quinta alegación) para el periodo temporal de 1 de enero a junio de 2022.
La comisión paritaria acuerda la remisión al Juzgado de lo Contencioso Administrativo de Valencia de este dictamen junto con el texto de sendas actas anteriormente citadas como la respuesta a la consulta efectuada sobre la interpretación del plus de nocturnidad, en aplicación de la facultad de interpretación recogida en el artículo 44 del convenio colectivo.
Justificación termalismo social.
La Asociación Valenciana de Estaciones Termales ha presentado a esta comisión certificado de empresa del Balneario de Cofrentes dedicada a programas de termalismo social, a los efectos de cumplir con lo dispuesto en el artículo 16 del convenio colectivo de hostelería de la provincia de Valencia y, concretamente, para dar reconocimiento que el Balnearios de Cofrentes dedica sus actividades a dar cobertura a los programas de termalismo social, estatal y autonómico, y demás requisitos que se establecen el citado artículo de la norma convencional.
En este sentido, se recuerda que, en el acta de esta comisión paritaria celebrada el 31 de marzo de 2023 se acordó la forma de aportar la justificación suficiente a la Comisión Paritaria por parte de las empresas de balnearios, de que su actividad principal está condicionada mayoritariamente por los programas de termalismo social para su reconocimiento explícito.
Respuesta: Examinada la documentación presentada a esta Comisión Paritaria y comprobada que cumple con los requisitos recogidos en el artículo 16 y en el acta de esta misma comisión de 31 de marzo de 2023, se resuelve su aceptación a los efectos de lo dispuesto en el mencionado precepto de reconocimiento del Balneario de Cofrentes del reconocimiento de termalismo social.
La documentación aportada por la Asociación Valenciana de Estaciones Termales se acompañará a la presenta acta en el Anexo I.
Plus de formación (artículo 16 B).
Se presenta documentación relacionada con los criterios de acreditación de formación del artículo 16 B) del convenio colectivo de hostelería de la provincia de Valencia por las empresas:
HOSTELEROS BODEGA LA PASCUALA S.L. y MULTISERVICIOS LA PERLA S.L.
Respuesta: Examinada la documentación presentada por ambas empresas, la comisión paritaria acuerda tener por recibida la documentación de la empresa MULTISERVICIOS LA PERLA, S.L. a los efectos del artículo 16 B) del convenio colectivo de hostelería.
Por otra parte, revisada la documentación de la empresa HOSTELEROS BODEGA LA PASCUALA S.L. se le trasladará recordatorio del acuerdo adoptado por esta comisión, en el acta de la reunión de fecha 5 de julio de 2023 (publicada en el BOP boletín oficial de la provincia de Valencia, núm. 176 de 11-9-2023), sobre la acreditación formativa relativas al plus de formación, en la que se indicaba literalmente que: «Se excluyen como acciones formativas que se pueden computar a efectos del cumplimiento de este plus, las correspondientes a la prevención de riesgos laborales y manipular de alimentos y alergenos, al ser ambas de realización obligatoria por ley».
Manutención (artículo 20).
Se realizan 2 consultas sobre este artículo 20 del convenio colectivo de hostelería de la provincia de Valencia. Dada la similitud de ambas consultas se van a resolver conjuntamente.
Respuesta: Esta consulta ya fue tratada y resuelta en el acta de la reunión de esta comisión paritaria del 31 de marzo de 2023 y que publicada en el BOP boletín oficial de la provincia de Valencia núm. 91 de 12-5-2023, en la que se recogen los diferentes supuestos sobre las formas de manutención de los trabajadores que prestan sus servicios en horarios coincidentes con las horas de almuerzo/comida y cena en las empresas que dispensan comidas, por lo que se acuerda remitirse a la literalidad del texto de la referida acta para dar respuesta a ambas consultas.
Flexibilidad horaria (Artículo 10) Sobre este artículo se realiza una consulta sobre la forma de proceder de empresa en caso de aplicación del artículo 10 flexibilidad horaria y bolsa de horas en caso de despido de trabajador y fin de contrato.
Respuesta: En relación con la consulta traslada la comisión paritaria resuelve que en el supuesto de flexibilidad horaria y bolsa de horas de este artículo no se realiza diferencia en cuanto a la tipología de contrato por lo que se puede aplicar a todo tipo de contratación. Así mismo, dentro de la facultad interpretativo de esta comisión se indica que la redacción de este supuesto es clara en el citado artículo es clara en cuanto a la casuística de aplicación por lo que se remite a la literalidad del artículo 10 último párrafo para dar respuesta a esta consulta.
3º.- Ruegos y preguntas.
No se producen.
Finalmente, se acuerda que el acta sea suscrita por un representante o asesor de cada una de las organizaciones participantes en la comisión paritaria y se faculta a D. RAFAEL FERRANDO MARTÍNEZ, con D.N.I. 24.37*.*** – * para que realice en nombre y representación de la comisión paritaria todos los trámites necesarios para proceder al registro, depósito, inscripción y publicación de la presente acta ante la Administración Laboral y posterior publicación en el correspondiente boletín/diario oficial.
Y en prueba de todo lo antedicho firman las partes aquí representadas a los efectos oportunos, a las once horas y veinticinco minutos, en lugar y fecha en el encabezamiento indicados.
ACUERDO (BOP Núm. 215, 10-11-2025)
Anuncio de la Dirección Territorial de Trabajo y Labora sobre la la resolución por la que se dispone el registro, depósito y publicación del acuerdo de la comisión paritaria del convenio colectivo intersectorial de hostelería de la provincia de Valencia.
Resolución de la Dirección Territorial de Trabajo y Labora de Valencia, por la que se dispone el registro, depósito y publicación del Acuerdo-Acta 1/2025 suscrito el día 1 de abril de 2025, por la comisión paritaria del Convenio Colectivo Intersectorial de Hostelería de la provincia de Valencia.
Vista la solicitud de inscripción del acuerdo señalado anteriormente, suscrito el día 1 de abril de 2025 en el cual se da respuesta a diversas cuestiones elevadas a la comisión paritaria del convenio, y de conformidad con lo dispuesto en el artículo 90 del texto refundido de la Ley del Estatuto de los Trabajadores, aprobado por Real Decreto Legislativo 2/2015, de 23 de octubre, los artículos 2.1 a) y 8.3 del Real Decreto 713/2010, de 28 de mayo, sobre registro y depósito de convenios colectivos, acuerdos colectivos de trabajo y planes de igualdad y los artículos 3 y 4 de la Orden 37/2010, de 24 de septiembre, de la Conselleria de Economía, Hacienda y Empleo por la que se crea el Registro de la Comunitat Valenciana de convenios y acuerdos colectivos de trabajo.
Esta Dirección Territorial de Trabajo y Labora, conforme a las competencias legalmente establecidas en el artículo 51.1. 1ª del Estatuto de Autonomía de la Comunitat Valenciana, y en el artículo 49.2 f) de la Orden 6/2025, de 9 de abril, de la Conselleria de Educación, Cultura, Universidades y Empleo, por la que se desarrolla el Decreto 38/2025, de 4 de marzo, de 2025, del Consell, de aprobación del Reglamento orgánico y funcional de la Conselleria de Educación, Cultura, Universidades y Empleo,
Resuelve
Primero: Ordenar el depósito y la inscripción del acuerdo en este Registro de convenios colectivos, acuerdos colectivos de trabajo y planes de igualdad.
Segundo: Disponer su publicación en el Boletín Oficial de la Provincia.
València, 29 de octubre de 2025.-La directora territorial de Trabajo y Labora, María Lurueña Ruiz.
ACTA 1/2025 DE LA COMISION PARITARIA DEL CONVENIO COLECTIVO INTERSECTORIAL DE HOSTELERÍA DE LA PROVINCIA DE VALENCIA DE 1 DE ABRIL DE 2025.
ASISTENTES.
Por la parte sindical:
POR UGT – FeSMC:
Gonzalo Aranda Hermoso.
Sara Cabrera Bello.
POR CC. OO – Servicios:
Salvador Mejías Sahuquillo.
Patricia Carrillo Sevilla.
Por la parte empresarial:
Por la Asociación Empresarial.
Hotelera de Gandia y la Safor:
Maite Soriano Hidalgo.
Por HOSBEC:
Javier Vallés Sales.
Nuria Montés de Diego.
Por la Asociación de Balnearios y.
Estaciones Termales:
Encarnación Tomás Ruano.
Por CET-CV:
Luis Martí Borderá (delega).
Por la Federación Empresarial de.
Hostelería de Valencia y sus.
asociaciones miembros:
Sonia Morales Ballester.
Rafael Ferrando Martínez.
(Secretario de la Comisión).
En Valencia a 1 de Abril de 2025, se reúnen a las 10.00 horas en la sede de la Comisión Paritaria en la calle Onteniente nº 3 y 5 (bajo) de la ciudad de Valencia, los/as Sres/as. consignados/as al margen en representación de la parte empresarial y, de otra, los igualmente reseñados en representación de la parte sindical, en reunión de la Comisión Paritaria del Convenio Colectivo Intersectorial de Hostelería de la provincia de Valencia, para tratar los siguientes puntos del
ORDEN DEL DÍA:
1º.- Estudio y resolución de consulta efectuada a la Comisión Paritaria.
Dentro de las funciones atribuidas a la Comisión Paritaria por el convenio colectivo para el conocimiento y resolución de los conflictos derivados de la aplicación e interpretación con carácter general del convenio, se proceden a revisar las diferentes consultas efectuadas a la Comisión Paritaria.
A continuación, se expone la consulta efectuada por la UGT en relación con el artículo 22 del Convenio Colectivo de Hotelería de la provincia de Valencia y que se divide en 4 cuestiones. El Sr. Ferrando (FEHV) cede la palabra al Sr. Gonzalo (UGT) para que explique la consulta remitida, dado que fue presentada por él, en su condición de secretario sectorial de hostelería de la organización sindical UGT, sobre la interpretación de los complementos prestacionales IT.
El Sr. Gonzalo realiza una exposición de las cuatro cuestiones sobre las que se ha trasladado la consulta y las problemáticas de cada una de ellas, procediéndose a su estudio por parte de los miembros de la comisión paritaria que llegan a las siguientes conclusiones:
Respecto de la PRIMERA cuestión: ¿Debe interpretarse el precepto como que, en caso de producirse un ingreso hospitalario o una intervención quirúrgica, bien al inicio de la IT o durante el curso de ésta, la prestación deberá completarse hasta el 100% mientras dure la misma y hasta el límite de los doce meses?.
Respuesta: los miembros de la comisión manifiestan que la redacción de este artículo es lo suficientemente clara para dar contestación a la pregunta, en concreto, la literalidad del mismo recoge que: «En caso de hospitalización y/o intervención quirúrgica el complemente, en las mismas condiciones del párrafo anterior, será del 100 por ciento de la base reguladora durante todo el periodo de baja «.
Respecto de la SEGUNDA cuestión: ¿Cómo debe interpretarse el precepto citado, en cuanto a la fijación de la ratio de absentismo, en un escenario de desconocimiento de los diagnósticos o causas concretas de los procesos que generan las situaciones de horas no trabajadas en la empresa?.
Respuesta: los miembros de la comisión manifiestan que es competencia de la comisión paritaria la interpretación del convenio colectivo, y no la resolución de dudas sobre la aplicación del mismo. Entendiendo que con esta consulta nos encontramos en el segundo supuesto, no procede realizar interpretación alguna sobre el artículo indicado, al ser clara la redacción del mismo.
Respecto de la TERCERA cuestión: ¿Cómo debe interpretarse la expresión «tratamiento prolongado» tanto en cuanto al significado de «tratamiento», como del calificativo «prolongado»?.
¿Cuánto lapso temporal se estima como significativo de que el tratamiento merece la consideración de «prolongado»?.
Respuesta: los miembros de la comisión consideran que las cuestiones planteadas no obedecen a la necesidad de interpretación del articulado del Convenio Colectivo, sino a una necesidad de asesoramiento para la aplicación práctica del mismo, cuestión que excede de la competencia de esta comisión paritaria.
Respecto de la CUARTA cuestión: Las «horas no trabajadas» computables al efecto de fijar la ratio de absentismo de la que depende la procedencia del complemento prestacional en las IT derivadas de contingencia común, ¿deben incluir las dejadas de trabajar como consecuencias de procesos de IT derivados de accidente laboral o enfermedad profesional, o éstas deben entenderse como «no computables»?.
Respuesta: los miembros de la comisión manifiestan que la redacción de este artículo no requiere interpretación, siendo su redacción literal lo suficientemente clara para dar contestación a la pregunta.
Finalmente, sobre este artículo del convenio todos los miembros de la comisión paritaria coinciden en manifestar la necesidad de abordar su análisis y modificación en la próxima apertura del proceso de negociación colectiva, ante la actual situación del absentismo en España.
2º.- Información certificado acreditación formación a la Comisión Paritaria (artículo 16 B).
Se ha presentado a la comisión paritaria certificado de la empresa ZHOU WOK ALFAFAR SL, en los que se indica que ha implantado durante 2024 un Plan de Formación propio destinado a los trabajadores en función de media de empleados.
Respuesta: A la vista de la documentación presentada por la empresa y revisada la misma, en atención a la interpretación efectuada de este artículo 16 B) del convenio por esta comisión en sus actas de fecha 31 de marzo de 2023 y 5 de julio de 2023, respectivamente, se procede a tener por efectuada por la empresa el traslado del certificado acreditativo de formación correspondiente a 2024 en los términos de dicho artículo.
3º. – Justificación termalismo social.
La Asociación Valenciana de Estaciones Termales ha presentado a esta comisión certificado de empresa del Balneario de Cofrentes dedicada a programas de termalismo social, a los efectos de cumplir con lo dispuesto en el artículo 16 del convenio colectivo de hostelería de la provincia de Valencia y, concretamente, para dar reconocimiento que el Balnearios de Cofrentes dedica sus actividades a dar cobertura a los programas de termalismo social, estatal y autonómico, y demás requisitos que se establecen el citado artículo de la norma convencional.
En este sentido, en el acta de esta comisión paritaria celebrada el 31 de marzo de 2023 se acordó la forma de aportar la justificación suficiente a la Comisión Paritaria por parte de las empresas de balnearios, de que su actividad principal está condicionada mayoritariamente por los programas de termalismo social para su reconocimiento explícito.
Respuesta: Examinada la documentación presentada a esta Comisión Paritaria y comprobada que cumple con los requisitos recogidos en el artículo 16 y en el acta de esta misma comisión de 31 de marzo de 2023, se resuelve su aceptación a los efectos de lo dispuesto en el mencionado precepto de reconocimiento del Balneario de Cofrentes del reconocimiento de termalismo social.
La documentación aportada por la Asociación Valenciana de Estaciones Termales se acompañará a la presenta acta en el Anexo I.
4º.- Ruegos y preguntas.
No se producen.
Finalmente, se faculta a D. RAFAEL FERRANDO MARTÍNEZ, con D.N.I. ***7048** para que realice en nombre y representación de la comisión paritaria todos los trámites necesarios para proceder al registro, depósito, inscripción y publicación de la presente acta ante la Administración Laboral y posterior publicación en el correspondiente boletín/diario oficial, así como, expresamente efectuar los trámites necesarios para la comunicación de la elección de la presidenta y secretario de la Comisión Paritaria.
Y en prueba de todo lo antedicho firman las partes aquí representadas a los efectos oportunos, a las once horas y quince minutos, en lugar y fecha en el encabezamiento indicados.
