CONVENIO COLECTIVO (BOP NÚMERO 241 – JUEVES, 22 DE DICIEMBRE DE 2022)
Resolución de inscrición e publicación do convenio colectivo da hostalería da provincia da Coruña.
O 29 de novembro de 2022 tivo entrada no REGCON a solicitude de inscrición e publicación do convenio colectivo da Hostalería da Provincia da Coruña.
De acordo co disposto no artigo 90 e concordantes do Real Decreto Lexislativo 2/2015, do 23 de outubro, polo que se aproba o texto refundido da Lei do estatuto dos traballadores (BOE núm 255, do 24 de outubro de 2015) e no artigo 2.1 e concordantes do Real Decreto 713/2010, do 28 de maio, sobre rexistro e depósito de convenios e acordos colectivos de traballo, (BOE núm.143, do 12 de xuño de 2010), así como na Orde do 29 de outubro de 2010 pola que se crea o rexistro de convenios e acordos colectivos de traballo na Comunidade Autónoma de Galicia (DOG núm 222, do 18 de novembro) modificada pola Orde do 14 de marzo (DOG núm. 60 de 26 de marzo de 2013).
Considerando que a Xefatura Territorial de Promoción do Emprego e Igualdade da Coruña é competente para resolver a inscrición e publicación deste convenio, ao abeiro do Decreto 58/2022, do 15 de maio, polo que se establece a estrutura orgánica da Xunta de Galicia (DOG núm. 94, de 16 de maio de 2022) e no Decreto 123/2022, do 23 de xuño, polo que se establece a estrutura orgánica da Consellería de Promoción do Emprego e Igualdade (DOG núm. 130, de 08 de xullo de 2022).
De acordo con todo o indicado, RESOLVO:
1. Inscribir o convenio colectivo da Hostalería da Provincia da Coruña no rexistro de convenios e acordos colectivos de traballo da Comunidade Autónoma de Galicia.
2. Ordenar a remisión do texto deste convenio colectivo ao Boletín Oficial da Provincia da Coruña para a súa publicación.
A Coruña, 16 de decembro de 2022.
A xefa territorial de Promoción do Emprego e Igualdade.
Judit Fontela Baro.
CONVENIO DE HOSTALERÍA DA PROVINCIA DE A CORUÑA.
Artigo 1.-Ámbito funcional.
Este convenio colectivo afectará a tódalas as empresas e establecementos encadrados no sector de hostalería, ós que lles sexa de aplicación o acordo laboral de ámbito estatal para o sector da hostalería.
Artigo 2.-Ámbito persoal.
Este convenio é de aplicación ás relacións laborais das empresas e persoas traballadoras que prestan os seus servicios naquelas encadradas no sector da hostalería, conforme ó que dispón o artigo 1.1 do Estatuto das persoas traballadoras.
Artigo 3.-Ámbito territorial.
O presente convenio é de ámbito provincial e aplicarase, polo tanto, ás empresas e as persoas traballadoras a que fan referencia os anteriores artigos, sempre que estean radicadas na provincia da Coruña.
Artigo 4.-Vixencia, duración e prórroga. Ultraactividade.
O presente convenio entrará en vigor no momento da súa publicación no Boletín Oficial da Provincia con efectos do día 1 de Xaneiro do 2019, Terá unha duración de 6 anos, ata o día 31 de decembro do ano 2024. En calquera caso o Convenio manterá a súa vixencia según o establecido na lexislación vixente.
Sen prexuízo dos períodos citados, poderase denunciar por calquera das partes cun mes de antelación, como mínimo, ó datado no seu vencemento. Se non fose denunciado, entenderase prorrogado por períodos dun ano sucesivamente.
No caso de prórroga por un ano, efectuarase un aumento salarial equivalente ó incremento do IPC.
Artigo 5.-Compensacións e melloras.
As melloras que se implantan neste convenio, así como as voluntarias que se establezcan no sucesivo, serán compensables e absorbibles ata onde acaden os aumentos, melloras ou condicións superiores de calquera natureza que, fixadas por disposición legal, contrato individual ou concesión voluntaria, poidan establecerse no sucesivo.
Artigo 6.-Retribucións.
Os salarios garantidos e fixos que corresponden ás diversas categorías profesionais serán, a partir da vixencia de este convenio, os que figuran para calquera clase e categoría nas táboas anexas.
As persoas traballadoras que tivesen xa recoñecido o dereito da manutención e aloxamento, este dereito será, durante o ano 2022 a 57.23 e 16.20 € mensuais, durante o ano 2023 a 59.37 e 16.81 € mensuais, durante o ano 2024 a 61.75 e 17.48 € mensuais, respectivamente, os salarios garantidos que figuran nas taboas citadas, sempre e cando non fagan uso de tal dereito.
A tódolos efectos entenderanse como salarios reais os garantidos establecidos nas táboas salariais anexas, incrementados co importe de aloxamento, manutención e antigüidade consolidada, en cada caso.
Estos salarios teránse en conta, a todolos efectos, nas pagas mensuais.
Os incrementos salariais de este convenio durante a súa vixencia serán os seguintes:
– Para o ano 2022: incremento do 4%.
– Para o ano 2023: incremento do 3.75%.
– Para o ano 2024: incremento do 4%.
Se o IPC acumulado dos anos 2022, 2023 e 2024 supera o 11.75% se actualizaran as taboas co 50% da diferencia do 11,75% e o IPC acumulado, con efectos automaticos a partir do 1 de xaneiro de 2025.
O aboamento dos atrasos desde o 1 de xaneiro de 2022 ata a signatura do Convenio colectivo se faran efectivos a elección do empresario cunha paga lineal do 4% a aboar antes do mes de marzo de 2023 ou mediante ou mediante o prorrateo de dita paga o longo de 12 mensualidades a partir do mes de xaneiro de 2023 en concepto de Sinatura do Convenio.
Artigo 7.-Condicións mais beneficiosas.
Tódalas condicións económicas establecidas neste convenio teñen a condición de mínimas, polo que os actos, cláusulas, condicións e situacións actuais implantadas que impliquen condicións mais beneficiosas ás aquí convidas subsistirán para aqueles productores que as viñesen gozando.
Artigo 8.-Antigüidade.
A partir do 1 de xaneiro de 1999, este incluido, quedou abolido este concepto, sin que desde enton se houbesen reportado novos dereitos polo mesmo.
Non obstante, os que tiveran xerado antes de dita data contías en concepto de antigüidade manterán a cantidade consolidada na devandita data. Dita contía reflictirase na nómina como complemento «ad personam» baixo o concepto de «antigüidade consolidada», non sendo compensable ni absorbible.
A cantidade consolidada de esa forma, sofrirá un incremento anual igual ao que experimente ó Indice de Prezos ó Consumo, durante a vixencia do presente convenio.
Artigo 9.-Gratificacións extraordinarias.
As gratificacións extraordinarias serán tres:
Nadal, xullo e setembro que se aboarán a razón de salario garantido, incrementado coa antigüidade consolidada, manutención e aloxamento no seu caso respectivo.
O abono destas pagas realizarase antes do día 15 do mes correspondente a cada paga, aínda que poderán ser prorrateadas nas doce mensualidades a elección da empresa.
Artigo 10.-Quebranto de moeda.
A partires do 1 de Xaneiro de 2007, este concepto queda abolido, sen que dende entón se reporten novos dereitos polo mesmo. Nembargantes, as persoas traballadoras que tivesen cerrado antes de dita data, contías por este concepto, manterán a cantidade consolidada na devandita data. A antedita contía reflictirase na nómina como «Quebranto de Moeda Consolidada», non sendo compensable nin absorvible.
A contía consolidada nesta forma, sufrirá un incremento igual ó que experimente o índice de prezos ó consumo, durante a vixencia do presente convenio.
Artigo 11.-Horas extraordinarias.
Cada hora de traballo que se realice sobre a duración máxima da semana ordinaria de traballo aboarase cun incremento que nunca será inferior ó 25% sobre o salario que corresponda a cada hora ordinaria, podendo compensarse en tempo de descanso, neste caso, cada hora de traballo equivalerá a unha hora e quince minutos de descanso, sendo a opción de cobrala ou descansala, decisión da empresa en función da carga de traballo e das previsións laborais da mesma. As horas extraordinarias realizadas e que se compensen por descanso, deberán ser compensadas dentro dos 4 meses seguintes a sua realización.
A efectos do cómputo de horas extraordinarias, a xornada de cada traballador rexistrarase diariamente, e totalizarase no período fixado para o abono das retribucións, entregando copia do resumen ao traballador e o recibo correspondente.
Artigo 12.-Servicios extraordinarios.
O persoal alleo á empresa que realice servicios extraordinarios percibirá as seguintes retribucións durante o ano 2022.
Cando o persoal extra realice a faena de montaxe, percibirá por iso a cantidade de 6.28€ durante o ano 2022, de 6.52€ durante o ano 2023, de 6.78€ durante o ano 2024, O servicio corrente de restaurante ou limoada será retribuído con 2,53 € de soldo inicial e tanto por cento correspondente garantido de 55.53 € diarios durante o ano 2022. Con 2,63 € de soldo inicial e tanto por cento correspondente garantido de 57.61 € diarios durante o ano 2023. Con 2,73 € de soldo inicial e tanto por cento correspondente garantido de 59.91 € diarios durante o ano 2024.
Os servicios de esta índole fóra da localidade producirán un aumento do 15% correspondente, e sendo a cargo da empresa os portes de desplazamento, manutención e aloxamento a que houbere lugar.
Artigo 13.-Vacacións.
Tódolas persoas traballadoras terán dereito a 30 días naturais de vacacións anuais, podéndose gozar en bloque ou fraccionadas (en períodos minimos de 7 días cada un).
O período ou períodos do seu disfrute, así como a decisión de gozalas en un período ou máis, fixarase de mutuo acordo entre a empresa e o traballador. Calquera das dúas partes poderá requerir a presenza dos representantes. O acordo acadado se comunicará á representación das persoas traballadoras a efectos de control e garantía dun sistema equitativo e igualitario. A empresa poderá negociar coa representación das persoas traballadoras un sistema de asignación colectiva de vacacións.
No caso de desacordo entre as partes, a xurisdicción competente fixará a data que para o seu disfrute corresponda e a sua decisión será irrecorrible.
Con independencia das vacacións, as persoas traballadoras gozarán dos días non laborais legalmente establecidos.
Artigo 14.-Xornada laboral.
A duración máxima da xornada de traballo será de 1.792 horas anuais de traballo efectivo, distribuídas en 40 horas semanais de promedio. Tódolas persoas traballadoras terán dereito, como mínimo, a día e medio ininterrompido de descanso semanal, si a sua xornada e continuada. No caso das persoas traballadoras que realicen a sua labor en xornada partida, o descanso será de dous días, sendo o seu disfrute en una xornada minima de 1 dia e medio ininterrumpido ou de dous días ininterrumpidos a conveniencia do traballador, sempre que as necesidades do servizo o permitan. No caso das persoas traballadoras menores de idade o descanso será de dous días ininterrumpidos. Será xornada, continuada nos departamentos de recepción, conserxería, teléfonos, pisos, lencería, administración e contabilidade, sempre en centros de traballo de máis de 50 traballadores. En xornadas de traballo de 5 horas ou máis establécese un descanso de 15 minutos que non terá consideración de traballo efectivo.
As horas traballadas durante o período comprendido entre as 10 da noite e as 12 da noite, terán unha retribución específica incrementada nun 1% sobre o salario base, asimismo as horas traballadas entre as 12 da noite e as 6 da mañan, terán unha retribución específica incrementada nun 25% sobre o salario base, salvo que o salario se establecese atendendo a que o traballo sexa nocturno pola súa natureza ou cando exista acordo entre a empresa e o traballador sobre este concepto, ou se acordase a compensación de este traballo por descansos. A xornada das persoas traballadoras nocturnos non poderá exceder de 8 horas diarias de promedio nun período de 15 días. As persoas traballadoras menores de idade non poderán traballar xornadas de máis de 8 horas de traballo efectivo e non poderán realizar traballo nocturno.
A empresa establecerá un sistema de control e rexistro horario onde se establecerá a hora de entrada e saída diaria, que quedará a disposición e entrega do traballador e/ou a representación das persoas traballadoras cando o soliciten.
Artigo 15.-Calendario laboral.
As empresas e establecementos regulados polo presente convenio deberán contar cun calendario laboral no que figuren as quendas de traballo, descansos semanais, quendas de vacacións para cada traballador e festas anuais.
Este calendario laboral será realizado pola representación da empresa e os representantes das persoas traballadoras, tendo que quedar fixado antes do 31 de decembro do ano anterior ó que se trate das vacacións, salvo as persoas traballadoras que as disfruten nos meses de xaneiro e febreiro que se fixarán dous meses antes o seu disfrute. Mentras que os descansos semanais e demais serán realizados de forma mensual, sendo este calendario susceptible de cambios por necesidades imperiosas da empresa ou por cambios previamente consensuados entre os propios compañeiros de traballo.
Permitiránse cambios de quenda previamente consensuados entre as persoas traballadoras que se comunicarán con 24 horas de antelación.
Se establece un banco de horas trimestral dun máximo de 42 horas que se poderá distribuir de forma irregular ó longo deste periodo, debendo preavisar o empresario ao traballador con cinco días de antelación.
Os empresarios deberán facer unha copia, asinada convenientemente polas representacións respectivas, expoñendoo nun lugar visible do centro de traballo, para coñecemento de tódolas persoas traballadoras, así como copia ós representantes.
Artigo 16.-Día da patrona.
Os días 29 e 30 de Xullo, consideraranse festivos, para os efectos laborais, con opción por parte da empresa, para poder sustituilo por pagamento metálico ou compensar con outra data, basándonos na carga de traballo, co fin de mantenelo normal funcionamento da mesma; a sustitución en metálico será a que corresponda ó traballador polo seu salario garantido maila antigüidade dunha xornada normal.
Artigo 17.-Contratación.
a) Contrato de Formación:
Incorpórase ó texto do convenio ó disposto nesta materia no Acordo Laboral Estatal da Hostalería (ALEH). En canto a su retribución acordase que durante tódala duración deste contrato, aboarase ó traballador contratado desta maneira o 85% do salario fixado no convenio para o posto de traballo obxeto da contratación.
b) Contrato por circunstancias da proroducción acumulación de tarefas ou exceso de pedidos:
Para este tipo de contrato acordase que terá unha duración máxima de 12 meses nun período de 18 meses.
c) Fixo discontinuo tempo completo.
Período mínimo de chamamento 5 meses, salvo condición máis beneneficiosa recoñecida no contrato.
Chamamento cun mínimo de 10 días de antelación.
Deber de informar a RLPT ou no seu defecto de non existir, a Comisión Mixta do Convenio.
Elaboración dun censo de fixos discontínuos por empresa.
Si o tempo medio traballado nun intervalo de dous anos, supera 5 meses, consolidarase o 50% do incremento, para este computo non se terán en conta os anos Xacobeos.
d)Fixo discontinuo tempo parcial.
Período mínimo de chamamento 5 meses, salvo condición máis beneneficiosa recoñecida no contrato.
Chamamento cun mínimo de 10 días de antelación.
Deber de informar a RLPT ou no seu defecto de non existir, a Comisión Mixta do Convenio.
Elaboración dun censo de fixos dicontínuos por empresa.
Si o tempo medio traballado nun intervalo de dous anos, supera 5 meses, consolidarase o 50% do incremento, para este computo non se terán en conta os anos Xacobeos.
Xornada diaria mínima de 4h.
Xornada semanal mínima de 20h.
(*) Disposición adicionais terceira, cuarta e quinta.
Artigo 18.-Período de proba.
Nesta materia aplicarase o disposto no Acordo Laboral Estatal da Hostelería (ALEH).
Artigo 19.-Porcentaxe de fixos nas empresas.
Establecese como obligatorio nas empresas a seguinte porcentaxe de traballadores que deberán estar contratados como fixos naquelas, sempre e cando na empresa na que as persoas traballadoras no que exercen habitualmente a sua actividade laboral esté aberto ao público un ano, un porcentaxe de un 65% de persoas traballadoras fixas.
Cando por aplicación da porcentaxe resultase unha fracción, esta completarase ata a unidade tanto por exceso como por defecto. O tope será ata o 0,5 incluído, por defecto.
A vixilancia e o cumplimento do pactado en este artigo será función de comisión paritaria do convenio.
Artigo 20.-Conversión de contratos temporais en indefinidos.
De conformidade coa lexislación vixente acórdase que os contratos de duración determinada, incluídos os contratos formativos, poderán ser convertidos en contratos indefinidos suxeitos ó réxime xurídico establecido.
Artigo 21.-Incremento do período legal de descanso nos casos de maternidade, adopción ou acoximento.
Nos casos de maternidade, adopción ou acoximento, os periodos de descanso prescritos para tales supostos no artigo 48.4 do Estatuto das persoas traballadoras, incrementaranse a mayores, entodos eses casos, en duas semanas, o incremento destas duas semanas, as retribucións correrán a cargo das empresas.
Para ter dereito ó disfrute do beneficio reseñado no parágrafo anterior, seran necesarias duas condicións:
a) Solo poderá ser disfrutado polo traballador/a que leve como mínimo, dous anos de permanencia na empresa.
b) Unicamente poderá disfrutalo so un dos pais
Artigo 22.-Permisos retribuídos.
Sin perda de retribución ningunha, as empresas, sin aviso previo para os apartados 2, 3, 7 e 8, que a continuación se expoñen, e con un preaviso mínimo de 7 días para os restantes apartados por parte do traballador, con xustificación, concederanse licencias nos casos seguintes e coa seguinte duración que se dí a continuación:
1.- Matrimonio do traballador: 16 días.
2.- Enfermidade grave, hospitalización, accidente, intervención cirúrxica, morte do cónxuxe, pais, fillos ou familiares ata 2.º grao de consanguinidade ou afinidade: 4 días.
3.-Por nacemento de filla ou fillo, adopción ou acoximento: 4 días.
4.-Voda de fillos, irmáns, bautizos, e primerias comunións: 1 día, se é dentro da provincia, e 3 días se é fóra dela.
5.-Traslado de enderezo habitual: 1 día.
6.-Libre disposición, non acumulable vacacións: 2 días.
7.- Polo tempo necesario e con xustificación do mesmo, naqueles casos nos que sexa precisa a asistencia médica do traballador/a por parte dun especialista da Seguridade Social e coincida o horario de consulta coa sua xornada de traballo, debendo estar prescrita a devandita consulta polo facultativo de medicina xeral, estando obrigado o traballador/a a xustificar diante da empresa a devandita prescripción.
8.- As persoas traballadoras afectados polo presente convenio terán dereito a acompañar ó consultorio, tanto da Seguridade Social coma de Centro de Saude privada aos fillos/as menores de 12 anos polo tempo indispensable da consulta, debendo en calquera caso aportar á empresa o xustificante médico de dita asistencia, no que se fará constar a hora de entrada e de saída. Este dereito sólo poderá ser exercido ata un máximo de 12 horas anuais.
9.- As traballadoras embarazadas, poderán ausentarse do traballo polo tempo preciso para a realización de exámenes prenatais e técnicas de preparación ó parto, sempre que xustifiquen a imposibilidade de asistir a ditas probas fora do horario de traballo.
10.- As traballadoras por lactancia do fillo menor de nove meses, terán dereito a unha hora de ausencia do traballo, que poderán dividir en dúas fraccións. A muller, pola súa vontade, poderá sustituir este dereito pola reducción da xornada normal en unha hora coa mesma finalidade. Este permiso poderá ser disfrutado indistintamente polo pai ou pola nai no caso de que ámbolos dous traballen.
A traballadora poderá optar por acumular este permiso de lactancia nun período de 15 días.
Artigo 23.-Excedencia.
O traballador cunha antigüidade na empresa, polo menos, de un ano, terá dereito a que se lle recoñeza a situación de excedencia voluntaria por un período máximo de 5 anos, sen que en ningún caso se poida producir tal situación nos contratos de duración determinada.
Reunirá o traballador as condicións seguintes:
a) Contar cunha antigüidade na empresa superior a un ano. b) A excedencia terá unha duración mínima de catro meses e máxima de cinco anos, concedéndose polo tempo solicitado, en proporción ao tempo de antiguedade do traballador na empresa, é decir, un traballador que leve un ano na empresa podera solicitar o tempo máximo de excedencia, é decir, catro meses.
c) O traballador que desexa incorporarse ó seu posto de traballo, notificarao á empresa con tres meses de anticipación á data en que remate o plazo.
d) Perderá o dereito a incorporación ó seu posto de traballo todo aquel excedente que, en tal período de tempo, preste os seus servicios por conta propia ou allea en calquera posto de traballo, dentro do territorio nacional, en empresas comprendidas no ámbito estatal para o sector da hostelería.
e) Se a empresa dese emprego a outro traballador para sustituí-lo excedente, aquel tería a condición de interino, causando baixa ó reincorporarse o sustituído. Se este no se incorporase no plazo e condicions sinaladas, quedaría destituído definitivamente na empresa, adquirindo o interino a condición de fixo.
f) As persoas traballadoras terán dereito a un período de excedencia non superior a tres anos para atende-lo coidado de cada fillo, tanto cando o sexa por natureza como por adopción ou nos supostos do acollemento, tanto permanente como preadoptivo, a contar desde a data de nacemento ou no seu caso da resolución xudicial ou administrativa. Tamén terán dereito a un período de excedencia, non superior a dous anos, para atende-lo coidado dun familiar, ata o segundo grao de consanguinidade ou afinidade que por razóns de idade, accidente, enfermidade ou discapacidade, non poidan valerse por sí mesmos, e non desempeñen actividade retribuida.
g) Asemade poderán solicita-la situación de excedencia as persoas traballadoras que exerzan funcións sindicais de ámbito provincial ou superior, e mentres dure o exercicio do seu mandato.
h) Para acollerse a outra excedencia voluntaria, o traballador terá que cubrir un novo período de, polo menos, 4 anos de servicios efectivos na empresa.
i) A excedencia concederase sen ningún dereito a retribución, e o tempo que dure será computable a efectos de antigüidade. O traballador que estea nesta situación terá dereito á asistencia a cursos de formación profesional, para cuia participación haberá de ser solicitado pola sua parte a empresa, en especial con ocasión da sua reincorporación.
Asemade, durante o primeiro ano de excedencia terá dereito á reserva do seu posto de traballo.
Pasado dito prazo, a reserva referirase exclusivamente a un posto de traballo do mesmo grupo profesional ou categoría equivalente.
j) A concesión outorgarase dentro do plazo dun mes a partir da data da súa petición.
Artigo 24.-Enfermidade
No caso de incapacidade temporal derivada de enfermidade común ou accidente non laboral, computada en periodos anuales, na primeira baixa percibirase o 100% do salario desde o primeiro día de baixa.
Igualmente, se aboará o 100% do salario desde o primeiro día da baixa, cando esta sexa superior a 10 días.
Estas prestacións manteranse por un período máximo de 12 meses.
Na segunda e sucesivas baixas, caso de producirse e ser inferiores a 11 días, non serán aboados ós tres primeiros días da baixa. A partir do carto día se aboará o 100% do salario.
No caso de accidente de traballo, a baixa aboarase co 100% do salario desde o primeiro día durante 12 meses.
Asemade os períodos de enfermidade ou accidente de traballo non se terán en conta para deduci-lo período de vacacións.
Artigo 25.-Xubilación.
A xubilación realizarase dacordo coa lexislación vixente.
Artigo 26.-Póliza de seguro de accidentes.
As empresas contratarán, para todo persoal afectado por este convenio, un seguro de accidentes durante a prestación do traballo ou «in itinere», de morte ou invalidez permanente dos graos de total, absoluta ou grande invalidez, pola cantidade de 24.000 € para cada un dos casos mencionados anteriormente.
Artigo 27.-Póliza colectiva de seguro de vida.
As empresas afectadas por este convenio, virán obligadas a suscribir unha póliza colectiva de seguro de vida en favor dos seus traballadores, por valor de 12.000 € Esta póliza cubrirá toda-las circunstancias do falecemento do traballador salvo a morte por suicidio.
As devanditas empresas terán un prazo de 4 meses para suscribir este seguro, contados a partir da publicación do convenio no Boletín Oficial correspondente.
Artigo 28.-Prazo de preaviso.
Os prazos de preaviso nos casos de cesamento voluntario das persoas traballadoras serán os seguintes: xefe de recepción, Xefe de administración, encargado do economato e adega, eccargado de traballo, xefe de Cociña, 1.º conserxe de dia, encargado xeral ou gobernanta, Xefes de restaurante ou sala, cafés- bares, bares americanos, salas de festa: 30 días.
Resto do persoal: 20 días.
O incumplimento deste plazo por parte das persoas traballadoras dará lugar á perda de tantos días de salario e cargas inherentes ao mesmo, como deixe de preavisar
Artigo 29.-Dereitos sindicais.
As garantías sindicais que no artigo 68 do Estatuto das persoas traballadoras se establece para os membros do Comité de empresa e delegados do persoal electos enténdense ós candidatos a estes postos durante os seis meses seguintes de celebradas as eleccións as que se presentaron na calidade ou condición de candidatos. Recoñecerase a existencia de seccións sindicais das empresas de máis de 50 persoas traballadoras así como dos delegados das seccións sindicais que terán os mesmos dereitos e garantías cós membros do comité de empresa.
As persoas traballadoras terán dereito a celebrar as asambleas con carácter ordinario, unha vez ó mes, fóra da xornada laboral e cunha duración dunha hora naquelas empresas que dispoñan dun espacio para o desenvolvemento das mesmas sen interrompe-la actividade dos servicios. Nos demais dereitos estarase ó disposto no Acordo Laboral Estatal de Hostelería (ALEH), Estatuto das persoas traballadoras, Lei Orgánica de Liberdade Sindical e demais normas complementarias.
O total das horas sindicais mensuales retribuidas recoñecidas legalmente á representación das persoas traballadoras, poderá ser acumulado para o seu disfrute por un ou varios representantes, sen rebasar o máximo total, sempre que medie acordo ó respecto da sección sindical afectada, debidamente comunicado á Dirección da empresa, e non supoña grave alteración do réxime laboral da mesma.
Artigo 30.-Roupa de traballo.
Naquelas empresas onde se esixe uniformidade, estas facilitarán a todo persoal un mínimo de dous uniformes anuais (inverno e verán), aboandolles unha cantidade, en concepto de limpeza e mantemento; no caso de non ser obrigatorio o uso do uniforme, facilitaráselle a tódolas persoas traballadoras roupa de traballo axeitada para as funcións que desempeñan.
Artigo 31.-Recoñecementos médicos.
Realizaráselles unha revisión médica anual o máis completa posible, e que incluirá análises, exploración radiolóxica, auditiva e visual a tódolas persoas traballadoras. Dos resultados de dita revisión médica entregaraselle copia ó traballador.
Artigo 32.-Comisión mixta paritaria de vixilancia, interpretación e aplicación.
Para interpretación, aplicación, arbitraxe e vixilancia deste convenio, crease unha comisión paritaria integrada polos representantes dos sindicatos UGT e CC.OO, e os representantes das asociacións empresariais de hostalería da Coruña, Santiago de Compostela, Ferrol, HOSPECO e Unión Hotelera Compostela.
A citada comisión está obligada a reunirse cantas veces sexa necesario, sendo a sede da mesma nos locais da Asociación Hostaleria Compostela, sita na rúa Salvadas, 29, Santiago de Compostela. A devandita comisión reunirase unha vez cada seis meses, e no plazo improrrogable de 10 días, a requerimiento de calquera dos seus membros, ou ben por recibir comunicacións previstas no artigo 35 do convenio sobre aplicación da cláusula de descolgue.
No caso de non comparecer algunhas das partes (pese a estar notificadas), para dictaminar sobre requerimientos do artigo 35, será válida a resolución dictada pola maioría dos membros asistentes, seguindo os trámites do mencionado artigo ata a resolución definitiva, que será comunicada ó requerimiento no prazo máximo fixado.
Artigo 33.-Resolución de conflictos.
As partes asinantes do presente convenio, axeitándose ó establecido na recomendación número 92 da OIT e no seu artigo número 6 da Carta Social Europea, sobre conciliación, mediación e arbitrase voluntario, acordan, no caso de conflictos non individuais xurdidos como consecuencia da aplicación e interpetración deste convenio colectivo, someterse ós procedementos extraxudiciais de solución de conflictos de traballo establecidos no Acordo Interprofesional (AGA), suscrito entre a Confederación de Empresarios de Galicia (CEG) e as centrais sindicais Comisións Obreiras de Galicia (CC.OO.), Unión Xeral de Traballadores (UXT) e a Confederación Intersindical Galega (CIG), nos propios termos nos que no mesmo están formulados.
Este precedemento utilizaráse tamén nas discrepancias xurdidas pola aplicación dos artigos 40.2, 41.4 e 51 do texto refundido dos Estatuto das persoas traballadoras.
Artigo 34.-Cláusula de descolgue.
Os convenios colectivos regulados pola Lei do Estatuto das persoas traballadoras obligan a todos os empresarios e traballadores incluídos dentro do seu ámbito de aplicación e durante todo o seu tempo de vixencia.
Sen perxuício do anterior, cando concurran causas económicas, técnicas, organizativas ou de producción, por acuerdo entre a empresa e os representantes das persoas traballadoras lexitimados para negociar un convenio colectivo conforme ó previsto no artigo 87.1 do ET, poderase proceder, previo desarrollo dun periodo de consultas nos térmos do artigo 41.4, a inaplicar na empresa as condicións de traballo previstas no convenio colectivo aplicable, sea de este sector ou da empresa, que afectan as seguintes materias:
A) Xornada de traballo.
B) Horario e a distribución do tempo de traballo.
C) Réximen de traballo a turnos.
D) Sistema de remuneración e cuantía salarial.
E) Sistema de traballo e rendemento.
F) Funcións, cando excedan dos límites que para a movilidade funcional prevé o artigo 39 do ET.
G) Melloras voluntarias de acción protectora da Seguridade Social.
Entendese que concurren causas económicas, cando dos resultados da empresa desprendese unha situación económica negativa, en casos tales como la existencia de perdidas actuales ou previstas, ou a disminución persistente do seu nivel de ingresos ou ventas. En todo caso, entenderase que a disminución é persistente do seu nivel de ingreses ou ventas. En todo caso, entenderase que a disminución e persistente si se producise durante dous trimestres consecutivos.
Entendese que concurren causas técnicas cando se produzcan cambios, entre outros, no ámbito dos medios ou instrumentos de producción: causas organizativas cando se produzan cambios, entre outros, no ámbito dos sistemas e métodos de traballo do personal ou na forma de organizar a producción e causas productivas cando se produzan cambios, entre outros, na demanda dos productos ou servicios que a empresa pretende colocar no mercado.
Nos supostos de ausencia de representación legal das persoas traballadoras na empresa, éstos poderán atribuir a sua representación a unha comisión designada conforme ao disposto no art. 41.4.
Cando no periodo de consultas finalice con acordo presumirase que concurren as causas xustificativas as que alude o parágrafo segundo, e sólo poderá ser impugnado ante a xurisdicción social pola existencia de fraude, dolo, coacción ou abuso de dereito na sua conclusión. O acordo deberá determinar con exactitude as novas condicións de traballo aplicables na empresa e a sua duración, que non poderá prolongarse máis alá do momento no que resulte aplicable o novo convenio en dita empresa. Asimismo, o acordo, deberá ser notificado á comisión paritaria do convenio colectivo e a autoridade laboral.
No caso de desacordo durante o periodo de consultas calquera das partes podra someter a discrepancia á Comisión paritaria do convenio que, disporá dun plazo máximo de sete días para pronunciarse, a contar dende que a discrepancia foi plantexada. Cando ésta non alcanzará un acordo, as partes poderán recurrir os procedementos que deben establecerse nos supostos interprofesionais do ámbito estatal ou autónomico, previstos no art. 83 da presente Lei, para solventar de maneira efectiva as discrepancias surxidas na negociación dos acordos a que se refire este apartado, incluido o compromiso previo de someter as discrepancias a un arbitraxe vinculante, en este caso o laudo arbitral terá a mesma eficacia que os acordos en periodos de consulta e soamente será recurrible conforme o procedemento e en base os motivos establecidos no art. 91.
Cando o periodo de consultas finalice sen acordo e as partes non se someteran os procedementos mencionados os que se refire o parágrafo anterior ou éstes non solucionaran a discrepancia, calquera das partes poderá someter a solución das discrepancias á Comisión Consultiva Nacional de Convenios Colectivos cando a inaplicación das condicións de traballo afectase a centros de traballo da empresa situados no territorio de máis dunha comunidade autónoma, ou os órganos correspondentes das comunidades autónomas nos demais casos. A decisión destes órganos, que poderá ser adoptada no seu propio seno ou por un árbitro designado ao efecto a contar desde a data de sometemento do conflicto ante ditos órganos. Tal decisión terá a eficacia dos acordos alcanzados no periodo de consultas e soamente será recurrible conforme o procedemento e en base os motivos establecidos no art.91 do ET.
Artigo 35.-Formación profesional.
As partes asinantes deste convenio remítense á regulación que desta materia fai o acordo laboral de ámbito estatal do sector de hostalería.
En aras de conseguir un sector moderno e competitivo, é necesario contar cas empresas e traballadores cunha formación adecuada e permanentemente actualizada. En consecuencia, a participación activa naqueles modelos que garantan o desenvolvemento dunha formación de calidade é unha aposta necesaria para o desenvolvemento e mantemento dun sector competitivo e para a consecución dun emprego estable e de calidade dentro do sector. Por iso, as partes signatarias do presente convenio acordan que deberán abonar as persoas traballadoras un Plus Compensatorio de Formación, de natureza salarial, en contía de 20 euros por 15 pagas durante a vixencia do presente convenio, aquelas empresas que:
1.- Non acrediten a súa participación nunha organización empresarial representativa do sector, entendendo por tal aquela que represente polo menos ao 15% das persoas traballadoras do sector, que colabore activamente no desenvolvemento formativo deste sector, a través do impulso de plans de formación, dirixidos a persoas traballadoras do sector, a través do impulso de plans de formación, dirixidos a traballadores afectados por este convenio, entendida como aquela que ten a súa finalidade é facilitar unha formación axustada ás necesidades do mercado laboral que satisfaga as esixencias competitivas das empresas deste sector, e que ao mesmo tempo satisfaga as aspiracións de promoción profesional e desenvolvemento persoal das persoas traballadoras, formándoos para o desempeño cualificado das distintas profesións.
2.- Ou non acreditan o desenvolvemento de plans individuais de formación continua.
3.- Ou non acreditar a participación en plans colectivos de formación permanente ou continua na hostalería desenvolvidos polos sindicatos máis representativos do sector.
Para quedar excluídos desta obriga, establécense as seguintes opcións de acreditación:
1) Mediante certificación expedida por unha organización empresarial representativa do sector e que participe e promova formación específica para a hostalería, que acredite a súa adhesión a ela. Transferir copia á Comisión Paritaria.
Artigo 36.-Adscrición ó acordo laboral de ámbito estatal para o sector da hostalería.
O acordo laboral de ámbito estatal para o sector da hostalería pasa a formar parte integrante do presente convenio en todas aquelas materias que o mesmo regula.
Asinan o presente convenio en representación da parte empresarial: Asociación de Hostelería de Compostela, Hospeco, Asociación Provincial de Empresarios de Hostalería da Coruña, Unión Hotelera Compostela, Asociación de Hostelería de Ferrol e Comarca, e en representación sindical por UGT e CC.OO.
A Comisión negociadora habilita expresamente ao funcionario do Consello Galego de Relacións Laborais, don Ignacio Bouzada Gil ao efecto da realización dos trámites de rexistro, depósito e publicación ante a Autoridade laboral.
Artigo 37.-Desconexión dixital.
Os asinantes deste convenio coinciden na necesidade de promover o dereito á desconexión dixital unha vez rematada a xornada laboral. As empresas comprométense, salvo casos de urxencia xustificada, a non enviar correos electrónicos ou mensaxes profesionais fóra do horario laboral, e recoñecen o dereito das persoas traballadoras a non responder.
Non se poderá adoptar ningunha medida disciplinaria ou despedimento por non atención ás comunicacións fóra do horario laboral, vulnerando así o dereito á desconexión dixital das persoas traballadoras.
Artigo 38.- Externalización.
A partir do 1 de abril do 2023 se aplicará a categoría de camareira de pisos a regulación establecida no artigo 42.6 do Estatuto dos Traballadores.
Artigo 39.- Mobilidade voluntaria no contrato a tempo parcial
De acordo co indicado no artigo. 12.4, apartado e) parágrafos segundo e terceiro do Estatuto das persoas traballadoras, para posibilitar a mobilidade voluntaria no traballo a tempo parcial, antes de realizar novas contratacións, o empresario deberá comunicar as persoas traballadoras da empresa a existencia de postos de traballo vacantes, fixos ou temporais cuxa duración previsible esténdese máis aló dos 20 días, para que as persdoas traballadoras do cadro de persoal poidan formular solicitudes de conversión voluntaria dun traballo a tempo parcial en contrato a tempo completo polo tempo que dure a dita vacante.
Para estes efectos, o empresario deberá informar á representación sindical ou, se é o caso, aos membros do persoal a través de correo electrónico ou calquera outro medio que permita informar as persoas traballadoras do cadro de persoal da existencia dunha vacante, indicando se a mesma é definitiva ou interina, indicando a duración previsible da praza, a categoría profesional e o horario, para que as persoas traballadoras poidan optar á conversión do seu contrato a tempo parcial en tempo completo.
Realizada a comunicación, as persoas traballadoras deberán comunicar ao empresario a súa vontade de cubrir a vacante e proceder á transformación do seu contrato a tempo parcial en xornada completa, no prazo de 3 días hábiles desde que se produza a comunicación. Rematado o dito prazo, o empresario deberá tomar en consideración estas solicitudes, sendo o empresario na sua facultade de dirección quen elixa a persoa traballadora que accederá o aumento de xornada, este deberá notificarlles a todas as persoas solicitantes a súa resolución por escrito e motivada.
Realizada a dita comunicación, a persoa traballadora que incremente a xornada deberá aceptar de xeito inmediato, voluntario e por escrito a conversión do seu contrato, incluíndo as modificacións funcionais, xeográficas, horarias e/ou retributivas que supoña a aceptación da vacante.
Entenderase por VACANTE INDEFINIDA aquel posto sen cobertura como consecuencia do incremento da carga de traballo que ocasione a contratación de máis traballadores, a apertura de novos locais, as incapacidades definitivas sen revisión, os despedimentos procedentes e improcedentes, os ceses voluntarios, a xubilación total e o falecemento da persoa traballadora.
Entenderase por VACANTE TEMPORAL aquela que se xere como consecuencia de atoparse un contrato suspendido temporalmente por causa disciplinaria, redución de xornada, permisos retribuídos, períodos de descanso do persoal e períodos de reserva de posto de traballo, sempre e en todo caso que a súa duración supere os 20 días. .
Non se entenderá VACANTE a situación de risco por embarazo ou maternidade.
DISPOSICIÓN ADICIONAL PRIMEIRA. -Repartidores.
Aquelas empresas nas que a distribución de alimentos se realice en vehículo, sempre que estean adscritas ao convenio de hostalería, deberán aplicar este convenio o persoal con categoría de repartidor. A cal salarialmente situarase na area funcional 6, grupo III.
ff
DISPOSICIÓN ADICIONAL SEGUNDA.
En aquelas funcións nas que non estea definido o salario, será de aplicación o salario máis alto da sección onde sí estea definida esa función. De non estar definido, se aplicaría o máis alto do grupo profesional ao que pertenza en base á clasificación do Acordo laboral Estatal de Hostalería (ALEH).
DISPOSICIÓN ADICIONAL TERCEIRA. Fixos discontinuos extras.
Como excepción ó establecido no artigo 17 deste Convenio, para os contratos de fixo discontinuo, dadas as especiais circunstancias do sector no caso dos ata o de agora denominados «extras», habilitarase a posibilidade de celebrar contratos fixos discontinuos para a celebración de eventos, definindo como tales a prestación de servizos extras de hostalería demandados por empresas, entidades ou particulares, para calquer tipo de eventos, deportivos, banquetes, convites, festas, celebracións, cáterin, conmemoracións e similares, normalmente de puntual e curta duración, tanto a xornada a tempo parcial como completa e nas categorías expostas na DISPOSICIÓN ADICIONAL CUARTA deste Convenio, e nas seguientes condicións:
– Período mínimo de chamamento 180 horas.
– Posibilidade de renunciar a 5 chamamentos anuais, sen perxuicio de que dita renuncia sexa computada ós efectos do cómputo do periodo mínimo de chamamento establecido , ós efectos do mínimo de chamamento e da rotación equitativa equitativa e proporcional por categoría entre as persoas traballadoras con este tipo de contrato.
– Os chamamentos para servizos de menos de 4 horas serán voluntarios con posibilidade de número ilimitado de renuncias, sen perxuicio de que dita renuncia sexa computada ós efectos do cómputo do periodo mínimo de chamamento establecido, ós efectos do mínimo de chamamento e da rotación equitativa equitativa e proporcional por categoría entre as persoas traballadoras con este tipo de contrato.
– Chamamento cun mínimo de 48 horas de antelación e nos casos de urxencia xustificada con 24 horas.
– Como mínimo garantízanse 2 horas por servizo.
– Rotación equitativa e proporcional por categoría entre as persoas traballadoras con este tipo de contrato.
– Preferencia para este colectivo a hora de cubrir vacantes permanentes discontinuas a tiempo parcial ou completo.
– Deber de informar a RLPT ou no seu defecto a Comisión Mixta do Convenio.
DISPOSICIÓN ADICIONAL CUARTA. Categorías Incluidas na Disposición Adición Adicional Terceira.
Única e exclusivamente nas categorías reflexadas nesta disposición adicional poderase concertar o contrato de Fixo discontinuo nas condicions establecidas na Disposición Adicional Terceira:
– Cociñeiro/a.
– Axudante/a de cocina.
– Camareiro/a.
– Axudante/a de camarero/a.
– Asistente/a, preparador/a, montador/a de catering.
– Limpador/a.
– Asistente de colectividades Para que o contrato se poida acoller ás condicións especiais establecidas na Disposición Adicional Terceira deste convenio, deberase engadir a categoría especificada no contrato de traballo a denominación «de extras», por exemplo: camareiro/a de extras, cociñeiro/a de extras…etc.
O salario será o establecido nas táboas salariais para cada categoría.
DISPOSICIÓN ADICIONAL QUINTA. Comedores Escolares.
Como excepción ó establecido no artigo 17 deste Convenio, para os contratos de fixo discontinuo, dadas as especiais circunstancias do sector no caso das persoas que traballan nos comedores escolares, habilitarase a posibilidade de celebrar contratos fixos discontinuos para as colectividades en xornada a tempo parcial como completa e nas categorías expostas na DISPOSICIÓN ADICIONAL CUARTA deste Convenio, e nas seguientes condicións:
Período mínimo de chamamento de octubre a maio, salvo condición máis beneneficiosa recoñecida no contrato.
Chamamento cun mínimo de 15 días de antelación.
Deber de informar a RLPT ou no seu defecto de non existir, a Comisión Mixta do Convenio.
Elaboración dun censo.
Xornada diaria mínima de 2h.
Xornada semanal mínima de 10h.
Para que o contrato se poida acoller ás condicións especiais establecidas nesta Disposición Adicional, deberase engadir a categoría especificada no contrato de traballo a denominación «de comedor escolar», por exemplo: camareiro/a de comedor escolar, cociñeiro/a de comedor escolar…etc.
O salario será o establecido nas táboas salariais para cada categoría.
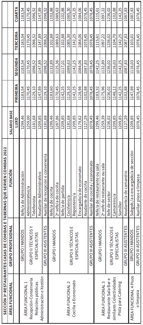
TABOAS SALARIAIS.
ACUERDO (BOP NÚMERO 99 – JUEVES, 23 DE MAYO DE 2024)
Resolución pola que se inscribe e se ordena publicar o acordo do 7 de maio de 2024 da comisión paritaria do convenio colectivo do sector da hostalería da provincia da Coruña.
O 10 de maio de 2024 tivo entrada no rexistro de acordos e convenios colectivos de traballo da Comunidade Autónoma de Galicia (REGCON) o acordo da comisión paritaria do convenio colectivo do sector da hostalería da Coruña, mediante o que se dá resposta ás distintas consultas formuladas.
No escrito asinado coa mesma data pola secretaria do Consello Galego de Relacións Laborais, explicítase que o 7 de maio do 2024 se asinara o referido acordo, que se presentaba diante da autoridade laboral para os efectos de rexistro, depósito e publicación oficial para dar cumprimento ao Real Decreto 713/2010, de 28 de maio, sobre rexistro e depósito de convenios e acordos colectivos de traballo e á Orde do 20 de outubro de 2010 pola que se crea o Rexistro de Convenios e Acordos Colectivos de Traballo da Comunidade Autónoma de Galicia.
A Dirección Territorial de Emprego, Comercio e Emigración da Coruña é competente para resolver en materia de rexistro de convenios e acordos colectivos de traballo e plans de igualdade, segundo o disposto no Decreto 42/2024, do 14 de abril, polo que se establece a estrutura orgánica da Xunta de Galicia (DOG núm. 73, de 14 de abril de 2024) e o Decreto 49/2024, do 22 de abril, polo que se fixa a estrutura orgánica das consellerías da Xunta de Galicia (DOG núm. 81, de 24 de abril de 2024) de xeito que, de acordo con todo o indicado, RESOLVO:
1. Inscribir o acordo de 7 de maio de 2024 da comisión paritaria do convenio colectivo do sector da hostalería da Coruña, no rexistro de convenios e acordos colectivos de traballo da Comunidade Autónoma de Galicia.
2. Ordenar que se remita, para a súa publicación, ao boletín oficial da provincia da Coruña.
A Coruña, 16 de maio de 2024.
Director Territorial.
Pedro Pablo Lorenzo Díaz.
ACTA DE LA COMISIÓN PARITARIA DEL CONVENIO COLECTIVO DEL SECTOR DE HOSTALERÍA DE LA PROVINCIA DE A CORUÑA.
En Santiago de Compostela, a 7 de mayo de 2024 a las 11.00 h, en la sede del Consello Galego de Relacións Laborais, se reúnen las personas a continuación mencionadas, y que forman la Comisión Paritaria del Convenio Colectivo del Sector de Hostalería de la provincia de A Coruña
Parte Empresarial:
Carlos Cruzado Maqueda (Hospeco y Unión Hotelera de Compostela).
Esteban Iglesias Martínez (Unión Hotelera de Compostela).
Carlos Rodríguez Núñez (Asociación provincial de Empresarios de Hostalería da Coruña).
Andrea Díaz Rodríguez (Asociación provincial de Empresarios de Hostalería da Coruña).
Emilio Vázquez Rey (Asociación de Hostalería de Ferrol e Comarcas).
Ramón García Seara (Asociación de Hostelería de Santiago de Compostela).
Agustín Collazos Martín (Hospeco).
Parte Sindical:.
UGT-Galicia.
Juan Manuel Carreira García.
Elena Martínez López.
SN de CC.OO. de Galicia.
José Francisco Mirás Pérez.
Tras el oportuno debate y exposición de posturas por todas y cada una de las representaciones presentes, sobre las consultas efectuadas a esta Comisión y que son objeto de la presente reunión, procede reflejar en Acta lo siguiente.
1º.- Consulta sobre cómo se debe calcular el pago de atrasos en el caso de incapacidad temporal durante parte o todo el año 2022 en caso de que el hecho causante de incapacidad temporal sucediese durante ese año.
La comisión paritaria alcanza el siguiente acuerdo: Sólo a los que se les aplicaba el convenio de hostelería de A Coruña en el año 2022.
2º.-Consulta sobre el Art. 35 de convenio. Pregunta si dando un curso de formación al trabajador ya no tiene que abonar el plus y si el trabajador se niega a recibir la formación, si necesita un documento firmado donde conste.
La comisión paritaria alcanza el siguiente acuerdo: No tiene que abonar el plus si imparte la formación prevista en el art. 35.
No es necesario que conste la negativa documentada si acredita la puesta a disposición de la formación.
3º.- Consulta sobre si se tienen que abonar atrasos a los trabajadores de reparto que hasta la fecha de publicación el convenio estaban incluidos en el convenio de Prodelivery.
La comisión paritaria alcanza el siguiente acuerdo: Sólo se aplicarán atrasos a aquellos trabajadores que ya estaban en el convenio de Hostelería de A Coruña.
4º.- Consulta: Debido a las características especiales de apertura del establecimiento (3 meses) solicitan información de modalidades de contratación por no poder respetar los 5 meses de llamamiento de fijos discontinuos.
La comisión paritaria no llega a acuerdo.
5º.-Consulta sobre si la formación a la que hace referencia en el convenio puede ser impartida por cualquier centro de forma privada o a través de FUNDAE o la podrán impartir exclusivamente la representación empresarial y sindical.
La comisión paritaria alcanza el siguiente acuerdo: No, salvo que la empresa acredite el desenvolvimiento de planes de formación continua.
6º.- Consulta sobre el art 17 sobre fijos discontinuos, pues entienden que la temporada de trabajo en verano es menor al llamamiento mínimo establecido y aclaración sobre el incremento de 50% de consolidación, si se hace en dos años naturales o desde el inicio de la actividad.
La comisión paritaria alcanza el siguiente acuerdo: Se tendrá que aplicar lo establecido en el convenio colectivo de A Coruña y la legislación vigente en materia de contratación.
7º.- Consulta sobre el punto 2 del artículo 35 del convenio, en concreto si la empresa cuenta con trabajadores que forman a otros trabajadores, cuando causan alta a lo largo de la relación laboral, están dentro del punto 2 del artículo 35 del convenio?.
La comisión paritaria alcanza el siguiente acuerdo: Sí estarían dentro del supuesto del artículo 35.2 si la empresa acredita que tiene un plan de formación continua anual.
8º.-Consulta sobre si los reconocimientos médicos que establece el art. 31 son obligatorios para el trabajador.
La comisión paritaria alcanza el siguiente acuerdo: No es obligatorio para el trabajador salvo en los supuestos en que lo establezca la normativa legal.
9º.-Consulta sobre el supuesto en que un trabajador causa baja médica y tiene menos de 180 días cotizados, sobre si la empresa tiene que complementar el 100% del salario o solo el 25%.
La comisión paritaria no llega a acuerdo.
Las partes acuerdan delegar en el personal habilitado del Consello Galego de Relacións Laborais para llevar a cabo los trámites de depósito, registro y publicación de este acuerdo ante la Autoridad Laboral.
No teniendo más asuntos que tratar, se levanta la reunión, siendo las 14.00 h del día señalado en el encabezado, extendiéndose al efecto la presente Acta que firman todos los asistentes en prueba de conformidad.
ACUERDO (BOP NÚMERO 60 – VIERNES, 28 DE MARZO DE 2025)
Resolución pola que se inscribe e se ordena publicar o acordo da comisión paritaria do convenio colectivo do sector da hostalería da Coruña (código 15000745011981) polo que se dá resposta a distintas consultas formuladas diante desa comisión.
O 19 de marzo de 2025 tivo entrada no rexistro de acordos e convenios colectivos de traballo da Comunidade Autónoma de Galicia (REGCON) o acordo da comisión paritaria do convenio colectivo do sector da hostalería da Coruña (código 15000745011981) polo que se dá resposta a distintas consultas formuladas diante desa comisión.
No escrito asinado coa mesma data pola secretaria do Consello Galego de Relacións Laborais, explicítase que o 6 de marzo do 2025 se asinara o referido acordo na sede de dito órgano e que se presentaba diante da autoridade laboral para os efectos de rexistro, depósito e publicación oficial para dar cumprimento ao Real Decreto 713/2010, de 28 de maio, sobre rexistro e depósito de convenios e acordos colectivos de traballo e á Orde do 20 de outubro de 2010 pola que se crea o Rexistro de Convenios e Acordos Colectivos de Traballo da Comunidade Autónoma de Galicia.
Consonte o Real Decreto 713/2010, do 28 de maio, sobre rexistro e depósito de convenios e acordos colectivos de traballo, así como a Orde do 29 de outubro de 2010 pola que se crea o rexistro de convenios e acordos colectivos de traballo na Comunidade Autónoma de Galicia e ao abeiro do Decreto 147/2024, do 20 de maio, polo que se establece a estrutura orgánica da Consellería de Emprego, Comercio e Emigración, pode atenderse á solicitude, de xeito que
RESOLVO:
1. Inscribir o referido acordo da comisión paritaria do convenio colectivo do sector da hostalería da Coruña no rexistro de convenios e acordos colectivos de traballo da Comunidade Autónoma de Galicia.
2. Ordenar que se remita, para a súa publicación, ao Boletín Oficial da Provincia da Coruña.
A Coruña, 24 de marzo de 2025.
O director do Departamento Territorial da Coruña.
Juan José Couce Prego.
ACTA DE LA COMISIÓN PARITARIA DEL CONVENIO COLECTIVO DEL SECTOR DE HOSTALERÍA DE LA PROVINCIA DE A CORUÑA.
En Santiago de Compostela, a 6 de marzo de 2025 a las 12.15 h, en la sede del Consello Galego de Relacións Laborais, se reúnen las personas a continuación mencionadas, y que forman la Comisión Paritaria del Convenio Colectivo del Sector de Hostalería de la provincia de A Coruña.
Parte empresarial:
Esteban Iglesias Martínez (Unión Hotelera Compostela).
Carlos Cruzado Maqueda (Unión Hotelera Compostela – HOSPECO. Asesor).
Agustín Collazos Martín (Asociación Empresarial de Hospedaxe da Coruña – HOSPECO).
Emilio Vázquez Rey (Asociación de Empresarios de Hostalería de Ferrol e Comarcas).
Carlos Rodríguez Nuñez (Asociación Provincial de Empresarios de Hostelería de A Coruña).
Andrea Díaz Rodríguez (Asociación Provincial de Empresarios de Hostelería de A Coruña).
Parte Sindical:
Noelia Amor Santiago (UGT).
Juan Manuel Carreira García (UGT).
José Francisco Mirás Pérez (CCOO).
Iván Cordeiro Fernández-Noriega (CCOO).
Juan Zas Candame (CCOO).
Tras el oportuno debate y exposición de posturas por todas y cada una de las representaciones presentes, sobre las consultas efectuadas a esta Comisión y que son objeto de la presente reunión, procede reflejar en Acta lo siguiente :
1º.- Consulta sobre el artículo 17 del convenio.
La comisión paritaria alcanza el siguiente acuerdo: La Comisión Mixta será informada a través de la siguiente dirección de correo electrónico: soluciondeconflitos.cgrl@xunta.gal.
El censo se podrá enviar en formato Excel.
Las contrataciones deberán cumplir la legalidad vigente y lo establecido en el Convenio colectivo.
2º.-Consulta sobre el artículo 24 del convenio.
La comisión paritaria alcanza el siguiente acuerdo: En la segunda y sucesivas bajas del año no se abonará el complemento en los tres primeros días.
3º.- Consulta sobre el artículo 6 del Convenio.
La comisión paritaria alcanza el siguiente acuerdo: Como no se ha llegado al IPC acumulado no procede el ajuste.
4º.- Consulta sobre el articulo 35 y el plus de formación.
La comisión paritaria alcanza el siguiente acuerdo: Todas las empresas, asociadas o no, deben cumplir con lo establecido en el artículo 35.
Las partes acuerdan delegar en el personal habilitado del Consello Galego de Relacións Laborais para llevar a cabo los trámites de depósito, registro y publicación de este acuerdo ante la Autoridad Laboral.
No teniendo más asuntos que tratar, se levanta la reunión, siendo las 13.30 h del día señalado en el encabezado, extendiéndose al efecto la presente Acta que firman todos los asistentes en prueba de conformidad.
ACUERDO (BOP NÚMERO 231 – MARTES, 2 DE DICIEMBRE DE 2025)
Resolución pola que se inscribe e se ordena publicar o acordo da comisión paritaria do convenio colectivo do sector da hostalería da Coruña (código 15000745011981) polo que se dá resposta a distintas consultas formuladas diante desa comisión.
O 17 de novembro de 2025 tivo entrada no rexistro de acordos e convenios colectivos de traballo da Comunidade Autónoma de Galicia (REGCON) o acordo da comisión paritaria do convenio colectivo do sector da hostalería da Coruña (código 15000745011981) polo que se dá resposta a distintas consultas formuladas diante desa comisión.
No escrito asinado pola secretaria do Consello Galego de Relacións Laborais o 14 de novembro de 2025, explicítase que o día anterior se asinara o referido acordo na sede de dito órgano e que se presentaba diante da autoridade laboral para os efectos de rexistro, depósito e publicación oficial para dar cumprimento ao Real Decreto 713/2010, de 28 de maio, sobre rexistro e depósito de convenios e acordos colectivos de traballo e á Orde do 20 de outubro de 2010 pola que se crea o Rexistro de Convenios e Acordos Colectivos de Traballo da Comunidade Autónoma de Galicia.
Consonte o Real Decreto 713/2010, do 28 de maio, sobre rexistro e depósito de convenios e acordos colectivos de traballo, así como a Orde do 29 de outubro de 2010 pola que se crea o rexistro de convenios e acordos colectivos de traballo na Comunidade Autónoma de Galicia e ao abeiro do Decreto 147/2024, do 20 de maio, polo que se establece a estrutura orgánica da Consellería de Emprego, Comercio e Emigración, pode atenderse á solicitude, de xeito que
RESOLVO:
1. Inscribir o referido acordo da comisión paritaria do convenio colectivo do sector da hostalería da Coruña no rexistro de convenios e acordos colectivos de traballo da Comunidade Autónoma de Galicia.
2. Ordenar que se remita, para a súa publicación, ao Boletín Oficial da Provincia da Coruña.
A Coruña, 26 de novembro de 2025.
O director do Departamento Territorial da Coruña.
Juan José Couce Prego.
ACTA DE LA COMISIÓN PARITARIA DEL CONVENIO COLECTIVO DEL SECTOR DE HOSTALERÍA DE LA PROVINCIA DE A CORUÑA.
En Santiago de Compostela, a 13 de noviembre de 2025 a las 11.00 h, en la sede del Consello Galego de Relacións Laborais, se reúnen las personas a continuación mencionadas, y que forman la Comisión Paritaria del Convenio Colectivo del Sector de Hostalería de la provincia de A Coruña.
Parte empresarial:
Esteban Iglesias Martínez (Unión Hotelera Compostela).
Carlos Cruzado Maqueda (Unión Hotelera Compostela – HOSPECO. Asesor).
Emilio Vázquez Rey (Asociación de Empresarios de Hostalería de Ferrol e Comarcas).
Carlos Rodríguez Nuñez (Asociación Provincial de Empresarios de Hostelería de A Coruña).
Natalia Ferreiro Martínez (Asociación Provincial de Empresarios de Hostelería de A Coruña).
Andrea Díaz Rodríguez (Asociación Provincial de Empresarios de Hostelería de A Coruña).
Marcos Castro Santa Cruz (Asociación Provincial de Empresarios de Hostelería de A Coruña).
Héctor Cañete de Campo (Asociación Provincial de Empresarios de Hostelería de A Coruña).
Parte Sindical:
Ángel Fernández Pintor (UGT).
Carme Fernández López (UGT).
José Francisco Mirás Pérez (CCOO).
David Vázquez Díaz (CCOO).
Tras el oportuno debate y exposición de posturas por todas y cada una de las representaciones presentes, sobre las consultas efectuadas a esta Comisión y que son objeto de la presente reunión, procede reflejar en Acta lo siguiente:
1º.- Consulta sobre el artículo 17 del convenio.
La comisión paritaria alcanza el siguiente acuerdo: La Comisión Mixta será informada a través de la siguiente dirección de correo electrónico: soluciondeconflitos.cgrl@xunta.gal.
El censo se podrá enviar en formato Excel.
El censo se enviará en el mes de enero de cada año recogiendo el censo del año anterior, siendo suficiente la relación nominal de las personas trabajadoras fijas-discontinuas.
2º.-Consulta sobre el artículo 24 del convenio.
La comisión paritaria alcanza el siguiente acuerdo:
Si es recaída no tiene derecho a complemento.
Si la baja es por causa diferente a la baja anterior, se ha dicho en la comisión paritaria anterior que en la segunda y sucesivas bajas del año no se abonará el complemento en los tres primeros días.
3º.- Consulta sobre el articulo 35 y el plus de formación.
Sobre si son válidos los cursos bonificados a través de la fundación tripartita esta Comisión indica que podrían serlo siempre que acrediten que la formación se imparte por organizaciones que cumplen con los requisitos del artículo 35.1, al que se remiten para el cumplimiento de dichos requisitos.
Sobre la consulta sobre los planes individuales de formación continua, esta Comisión Paritaria no es competente en este asunto.
4º.- Delegación no CGRL.
Las partes acuerdan delegar en el personal habilitado del Consello Galego de Relacións Laborais para llevar a cabo los trámites de depósito, registro y publicación de este acuerdo ante la Autoridad Laboral.
No teniendo más asuntos que tratar, se levanta la reunión, siendo las 11.40 h del día señalado en el encabezado, extendiéndose al efecto la presente Acta que firman todos los asistentes en prueba de conformidad.
