CONVENIO COLECTIVO (BOP Número 157 – Lunes, 12 de agosto de 2024)
Convenio Colectivo para el sector de la Hostelería de la Provincia de Jaén 2023-2025.
Referencia: Relaciones Colectivas/Convenios Colectivos.
Expediente: 23/01/0096/2024.
Código Convenio: 23000425011983.
Visto el texto del Convenio Colectivo de Trabajo para el sector de la Hostelería de la Provincia de Jaén 2023-2025, recibido en esta Delegación Territorial con fecha 02 de agosto de 2024, habiendo sido suscrito por la Comisión Negociadora el día 31/07/2024, constituida con fecha 25/11/2022, y de conformidad con lo establecido en el artículo 90 apartados 2 y 3 del Real Decreto Legislativo 2/2015, de 23 de octubre, por el que se aprueba el Texto Refundido de la Ley del Estatuto de los Trabajadores, Real Decreto 713/2010, de 28 de mayo, sobre registro y depósito de convenios colectivos, acuerdos colectivos de trabajo y planes de igualdad; sobre la base de las competencias atribuidas a esta Delegación Territorial por el Real Decreto 4043/82, de 29 de diciembre, sobre Traspaso de Funciones y Servicios de la Administración del Estado a la Junta de Andalucía en materia de Trabajo, Decreto del Presidente 10/2022, de 25 de julio, sobre reestructuración de Consejerías (BOJA extraordinario núm. 25, de 26 de julio), modificado por Decreto del Presidente 13/2022, de 8 de agosto (BOJA extraordinario número 27, de 08 de agosto), en relación con el Decreto 155/2022, de 9 de agosto, por el que se regula la estructura orgánica de la Consejería de Empleo, Empresa y Trabajo Autónomo (BOJA extraordinario número 28, de 11 de agosto), y Decreto 300/2022, de 30 de agosto, por el que se modifica el Decreto 226/2020, de 29 de diciembre, por el que se regula la organización territorial provincial de la Administración de la Junta de Andalucía (BOJA extraordinario número 29, de 30 de agosto), esta Delegación Territorial, Acuerda:
Primero. Ordenar su inscripción en el Registro de Convenios colectivos, Acuerdos colectivos de trabajo y Planes de igualdad de este Centro Directivo con funcionamiento mediante procedimientos electrónicos, con notificación a la Comisión Negociadora.
Segundo. Disponer su publicación en el BOLETÍN OFICIAL de la Provincia.
Jaén, 06 de agosto de 2024.
La Delegada Territorial.
Ana Belén Mata Soria.
CONVENIO COLECTIVO PARA EL SECTOR DE LA HOSTELERÍA DE LA PROVINCIA DE JAÉN 2023- 2025 ACTA DE REUNIÓN DE LA MESA DE NEGOCIACIÓN DEL CONVENIO PARA LA HOSTELERÍA DE LA PROVINCIA DE JAÉN.
Presidente:
Manuel Jesús Colmenero López.
En representación de los/as Trabajadores/as:
Juan Carlos Sánchez Molero (CCOO).
José Antonio Frejo Bolado (CCOO).
Javier Fernando Lacarra Rodríguez (UGT).
Teresa del Arco Cruz (UGT).
Jesus Dueñas Ortega (UGT).
En representación de los/as Empresarios/as:
Pedro Antonio García Rodríguez (Turjaen).
Eufemio Mansilla García (Turjaen).
Alejandro Mansilla Royo (Turjaen).
Luis Carlos Martínez Torrero (Turjaen).
Antonio Lechuga Parras (HosturJaén).
Ramón Calatayud Lerma (Asesor HosturJaén).
Esperanza Macarena Calatayud Chamorro (Asesora HosturJaén).
En la ciudad de Jaén siendo las 11:00 horas del día 31 de julio del 2024 se reúnen las personas relacionadas anteriormente en las dependencias de la Delegación de Empleo de Jaén.
Las partes realizan una relectura detenida del texto preacordado en la reunión anterior para la corrección de posibles errores gramaticales, léxicos, de contenidos o de actualización normativa.
En consecuencia, las partes que conforman la Mesa Negociadora del Convenio Provincial de Hostelería para la Provincia de Jaén, acuerdan proceder a la firma definitiva del texto que se anexa.
Las partes acuerdan facultar a D. Manuel Cruz Liébanas, con D.N.I. ***9220**para tramitar la presentación del convenio ante la autoridad laboral competente, para su inscripción en el Registro de Convenio Colectivos.
Siendo las 12:00, no habiendo más asuntos que tratar, se levanta la reunión aprobándose la presente acta.
Capítulo I. Normas Generales.
Artículo 1. Ámbito Territorial.
El presente Convenio será de aplicación en todo el territorio de la provincia de Jaén, sea cual fuere el domicilio social de la empresa.
Artículo 2. Ámbito Funcional.
Se regirán por el presente Convenio Colectivo las empresas, establecimientos, instalaciones y empresarios cuya actividad, tanto de manera permanente como ocasional, esté o pueda estar afectada por el ámbito funcional del Acuerdo Laboral Estatal de Hostelería. Se incluirá asimismo las empresas y empresarios que ofrezcan o gestionen las Viviendas Turísticas de Alojamientos Rural, Viviendas de Uso Turístico, o cualquier actividad que ofrezca servicio de alojamiento.
Artículo 3. Ámbito Personal.
Se regirán por el presente convenio, la totalidad de trabajadores/as y trabajadoras que, con independencia de la actividad o actividades de la empresa para la que prestan sus servicios, desarrollan su labor en el seno de las empresas y establecimientos comprendidos en el Artículo precedente, realizando cualquiera de las funciones y puestos de trabajo propias del sector descritas en el ALEH.
Este convenio colectivo vincula a todas las empresas y personas trabajadoras incluidas en su ámbito, no pudiendo ser dejado sin efecto por acuerdos inferiores o contratos individuales, en aquellas materias no contempladas expresamente por el Artículo 84.2 del Estatuto de los Trabajadores.
Las empresas hosteleras que tengan contratado o subcontratado, así como aquellas que contraten o subcontraten, con otras empresas, personal que realice los servicios o funciones propias del sector, descritas en el ALEH, incluirán en el contrato que lo sustente la obligación del contratista o subcontratista de respetar las condiciones del presente convenio.
Artículo 4. Ámbito Temporal.
El presente convenio entrará en vigor a la firma del mismo y tendrá vigencia desde el 01 de enero de 2023 hasta el 31 de diciembre de 2025.
Los efectos económicos acordados tendrán carácter retroactivo desde el 01 de enero de 2024 así como para cada año de vigencia.
Para el año 2024, las diferencias producidas en la aplicación del incremento salarial que se deriva de lo pactado deberán ser abonadas obligatoriamente, dentro de los tres meses siguientes a la fecha de publicación en el BOP y, como máximo, a fecha de 31 de octubre de 2024.
Para el año 2025, las tablas salariales con el incremento pactado y publicadas en este Convenio, se aplicarán desde el día 01 de enero de dicho año.
Artículo 5. Denuncia, Prórroga y Ultraactividad.
Llegado a su vencimiento, el presente convenio se prorrogará de año en año, salvo que fuese denunciado expresamente por cualquiera de las partes legitimadas legalmente para ello.
La denuncia se podrá producir con, al menos, dos meses de antelación al final de su vigencia o de cualquiera de sus prórrogas, de forma expresa por cualquiera de las partes legitimadas para la negociación del mismo, dirigiéndose por escrito al resto de partes negociadoras y procediéndose a su inscripción en el registro de Convenios Colectivos de la autoridad laboral.
Denunciado el convenio colectivo, e inclusive habiendo transcurrido más de un año desde la citada denuncia, permanecerá vigente el presente, tanto en sus cláusulas normativas como en las obligacionales hasta que se apruebe y entre en vigor uno nuevo.
Ambas partes se comprometen a que en octubre de 2025 se inicien las negociaciones del Convenio del año 2026 y siguientes, constituyéndose la comisión negociadora.
Artículo 6. Condiciones más beneficiosas.
Las empresas se comprometen a respetar las condiciones más beneficiosas que, sobre las que se fijan en el presente acuerdo, pudieran tener establecidas con sus trabajadores y trabajadoras.
Artículo 7. Compensación y Absorción.
Las condiciones establecidas en el presente acuerdo, consideradas en su conjunto, no podrán ser compensadas con las ya existentes en el momento de entrar en vigor, cualquiera que sea el origen o causa de las mismas.
Asimismo no podrán ser absorbidas por otras condiciones superiores fijadas por disposición legal, contrato individual, concesiones voluntarias, etc.
Artículo 8. Legislación Supletoria.
En lo no previsto en este Convenio, será de aplicación el ALEH vigente en cada momento y, con carácter supletorio, lo dispuesto en la vigente legislación laboral y demás disposiciones complementarias y concordantes.
Artículo 9. Inaplicación del Convenio.
En el caso de que una empresa pueda ver dañada su estabilidad económica a consecuencia de la aplicación del presente convenio, podrá procederse a su inaplicación en los aspectos que marca el art. 82.3 del ET, siempre que concurran causas económicas, técnicas y organizativas o de producción debidamente justificadas y siguiendo el procedimiento regulado en el presente artículo.
La empresa que pretenda iniciar un proceso de inaplicación de convenio, deberá informar a la Comisión Mixta Paritaria sobre la intención de inaplicación en los mismos términos y plazos que a la Representación Legal de los Trabajadores/as de la empresa o a la plantilla si no existiera aquella.
El acuerdo de inaplicación, de existir, deberá contener la forma y plazos de recuperación de los derechos afectados de los trabajadores y trabajadoras, en caso de desaparición o superación de las causas que motivaron el proceso de inaplicación.
Del acuerdo de inaplicación se dará traslado a efectos informativos a la Comisión Mixta Paritaria.
La inaplicación tendrá una duración máxima de un año, tras la que, si no se han superado las causas, se podrá solicitar una prórroga o revisión del procedimiento de inaplicación, previa notificación a la Comisión Mixta Paritaria, que emitirá un informe no vinculante.
Los plazos anteriores se entienden sin menoscabo de establecer como límite absoluto a los procedimientos de inaplicación la finalización de la vigencia del presente convenio.
En caso de desacuerdo durante el periodo de consultas, cualquiera de las partes podrá someter la discrepancia a la comisión paritaria, que dispondrá de un plazo máximo de siete días para pronunciarse, a contar desde que la discrepancia fuera planteada.
Cuando no se hubiera solicitado la intervención de la comisión, o esta no hubiera alcanzado acuerdo, las partes deberán recurrir a lo establecido en el Acuerdo Interprofesional para la constitución del Servicio Extrajudicial de Resolución de Conflictos laborales en Andalucía (SERCLA) y sus reglamentos de desarrollo.
Si el periodo de consultas finaliza sin acuerdo y los procedimientos a que se refieren los párrafos anteriores no hubieran solucionado la discrepancia, cualquiera de las partes podrá someter la misma al Consejo Andaluz de Relaciones Laborales, de acuerdo con lo establecido en la disposición adicional única del Decreto 69/2013 de 2 de julio por el que se modifica el decreto 149/2012 de 5 de junio.
Artículo 10. Comisión Mixta Paritaria.
Se constituye una Comisión Mixta Paritaria para la interpretación, estudio y vigilancia del presente Convenio Colectivo de Hostelería, que estará compuesta por 12 miembros, 6 personas de la representación social y 6 de la representación empresarial.
La Comisión estará Presidida por el Presidente/a del Convenio Colectivo, que levantará la correspondiente acta de las reuniones que celebre esta Comisión, y las partes podrán nombrar y utilizar los servicios permanentes u ocasionales de asesores/as, que tendrán voz pero no voto, en las materias que sean de su competencia.
La primera sesión constitutiva, deberá celebrarse en el plazo máximo de un mes desde la publicación del Convenio Colectivo en el BOLETÍN OFICIAL de la Provincia de Jaén.
Serán competencias de la Comisión Mixta Paritaria, las siguientes:
a) El conocimiento y resolución de las cuestiones derivadas de la aplicación e interpretación del presente Convenio, así como la intervención con carácter previo al planteamiento formal de conflicto colectivo.
b) La vigilancia y el seguimiento del cumplimiento de lo pactado.
c) Cuantas cuestiones de mutuo acuerdo, sean sometidas por las partes.
d) Proponer a la Comisión Negociadora, alternativas a la redacción declarada nula, para el caso en que la autoridad laboral o judicial declare ilegal algún aspecto de este convenio.
e) Capacidad de proponer a la comisión negociadora la renovación, prórroga o modificación parcial del convenio, durante su vigencia así como la adaptación a los cambios normativos y legislativos.
f) La creación de las Subcomisiones de trabajo que estime necesarias.
g) Conocer de las controversias colectivas, sirviendo de órgano de mediación- conciliación con carácter previo al ejercicio de acciones colectivas ante la jurisdicción social, fomentando la utilización de los procedimientos de mediación y arbitraje como vía de solución dialogada de los conflictos laborales.
h) Participar en la determinación de los programas de formación que se vayan a desarrollar con carácter general en el sector.
i) Redactar el reglamento de funcionamiento interno.
j) Las discrepancias en el seno de la comisión o la imposibilidad de alcanzar acuerdos, podrán someterse al Sistema Extrajudicial de Resolución de Conflictos, teniendo en cuenta los plazos fijados en los Art. 41.6 y 86.3 del E. T.
k) La Comisión Mixta deberá recibir información sobre el inicio de cualquier procedimiento colectivo, en especial los regulados en los artículos 40, 41, 47, 51 y 82 del E.T., al mismo tiempo que se comunica a las personas trabajadores o a su representación legal así como del proceso de negociación y del eventual acuerdo o prorroga.
l) Seguimiento para la correcta aplicación de las medidas y Planes de Igualdad acordados, así como en cualquier otro aspecto que se pacte con el fin de evitar discriminaciones de cualquier tipo.
m) Cualquier otra competencia que le sea atribuida en este convenio colectivo.
n) Planificar acciones de información, formación y asesoramiento en materia de Planes de igualdad y Protocolo para la prevención del acoso por razón de sexo, y/o sexual, e identidad sexual en el trabajo.
o) Planificar acciones de información, formación y asesoramiento en materia de Prevención de Riesgos Laborales y de Protocolo por acoso laboral.
La Comisión Mixta Paritaria se reunirá a petición de cualquiera de las partes mediante la convocatoria por escrito a la Presidencia y resto de miembros de la misma con una antelación mínima de 15 días. En la convocatoria deberá expresarse el orden del día previsto. A efectos de notificaciones, solicitudes y convocatorias se señalan los siguientes domicilios:
Por la representación empresarial:
– Asociación de Empresarios de Hostelería y Turismo de la provincia de Jaén (HosturJaén) en Paseo de la Estación 30, 4ª planta, 23003 de Jaén, Correo Electrónico:
hosturjaen@hosturjaen.es.
– Asociación de Empresas de Alojamientos de la Provincia de Jaén, Paseo de la Estación, 30, 4ª planta, 23003 de Jaén. Correo electrónico: gerencia@turjaen.es.
Por la representación social:
– Sindicato Provincial de la Federación de Servicios de Comisiones Obreras de Andalucía (Servicios- CCOO- Jaén), C/ Castilla nº 8, 2ª planta, 23007 Jaén, Correo Electrónico: servicios-ja@servicios.ccoo.es.
– Sindicato Provincial de la Federación de Servicios para la Movilidad y el Consumo de la Unión General de Trabajadores (FESMC- UGT) de Jaén, Paseo de la Estación 30 – 2ª planta, 23003 de Jaén. Correo Electrónico: jaen@fesmcugt.org.
La Comisión se entenderá válidamente constituida cuando asistan de forma presente o representada la mayoría de cada parte que la componen, pudiendo asistir cada una de ellas con los asesores y o asesoras que estimen conveniente.
Las decisiones de la Comisión Mixta deben requerir para su validez, del voto favorable de la mayoría de cada una de las representaciones, y los acuerdos que interpreten este Convenio, tendrán la misma eficacia que la norma interpretada.
Del contenido de lo acordado se levantará acta que será custodiada por quien ostente la Presidencia, y se entregará copia a cada parte.
Las cuestiones que se promuevan ante la Comisión Mixta se realizarán por escrito, con una redacción clara y suficiente para que se pueda examinar y analizar el problema con el necesario conocimiento de causa, debiendo tener como contenido obligatorio:
a) Exposición sucinta y concreta del asunto.
b) Razones y fundamentos que asistan al proponente.
c) Propuesta, solución o petición concreta que se formule a la Comisión. Al escrito se acompañarán cuantos documentos se entiendan necesarios para la mejor comprensión y resolución del problema.
Los acuerdos, serán comunicados a los interesados mediante copia del acta de la reunión.
De no existir acuerdo en el seno de la Comisión Mixta Paritaria quedará abierta la vía administrativa o jurisdiccional competente. Las partes acuerdan establecer como órgano de mediación y arbitraje para resolver las discrepancias al Sistema Extrajudicial de Resolución de Conflictos Colectivos Laborales de Andalucía, (SERCLA).
Capítulo II. Organización del Trabajo.
Artículo 11. Organización del Trabajo.
La organización del trabajo es facultad de la dirección de la empresa o de las personas en quien ella delegue. Dichas facultades tendrán en su caso las limitaciones impuestas por las normas legales de obligada obediencia y por el respeto debido a la dignidad del trabajador y trabajadora.
La organización del trabajo tiene por objeto alcanzar en la empresa un nivel adecuado de productividad, basado en la utilización óptima de los recursos humanos y materiales. Sin merma de la facultad empresarial a que se refiere el apartado primero, los representantes de los trabajadores y trabajadoras, tendrán funciones de orientación, propuesta y emisión de informes, en lo relacionado con la organización y racionalización del trabajo, en los términos previstos en el artículo 64 del E.T., y en este convenio.
Artículo 12. Jornada Laboral.
Se entiende por jornada laboral el tiempo de trabajo efectivo del empleado o empleada.
El tiempo de trabajo efectivo se computará de modo que, tanto al comienzo como al final de la jornada diaria, el trabajador se encuentre en su puesto de trabajo, en condiciones de realizar sus funciones profesionales.
Entre la finalización de una jornada y el comienzo de la siguiente, deberá trascurrir un mínimo de doce horas.
La duración de la jornada ordinaria general de trabajo será de 1764 horas anuales de trabajo efectivo que se corresponderán, en general, con 40 horas semanales y 8 horas diarias como máximo, tanto en horario partido como continuado.
La distribución de la jornada se podrá realizar en cómputo mensual, trimestral y anual.
No se admitirá el fraccionamiento de la jornada de trabajo en más de dos partes.
Se establece una bolsa de trabajo irregular de 200 anuales que se podrán aplicar, en jornadas de 9 horas ordinarias como máximo y 45 horas semanales en prolongación de jornada con la excepción contemplada en el párrafo siguiente.
Dichas horas irregulares se controlarán por escrito, a fin de que empresas y, trabajadores y trabajadoras, puedan computarlas y habrán de ser comunicadas previamente y por escrito a la persona trabajadora, y a la representación legal de aquel/la si la hubiera con un mínimo cinco días de antelación.
No podrán realizar jornada irregular las personas que tengan reconocida una concreción horaria por cuidado de hijos o de familiar hasta el segundo grado.
Las horas realizadas en jornada irregular se compensarán de mutuo acuerdo entre las partes bien por reducción de jornada o descanso. Y se compensarán como máximo dentro de las cuatro semanas siguientes a su realización.
La bolsa de horas será incompatible con las fiestas abonables.
Con objeto de que, las empresas que se dedican a servicios de bodas, banquetes, bautizos, etc., vayan cubriendo sus necesidades, con personal vinculado a estas empresas, evitando con ello la contratación de extras, y de tal modo que puedan acudir a los demás tipos de contratación legalmente existentes, se dejan si efecto, respecto a estas empresas, las limitaciones establecidas en el presente artículo. La citada eliminación lo será sin perjuicio de las limitaciones horarias que vienen establecidas con carácter obligatorio en el Estatuto de los Trabajadores y en el resto de la normativa que lo desarrolla.
Artículo 13. Horarios de Trabajo.
La fijación de los horarios de trabajo, así como el calendario laboral y vacacional, anual, será negociado entre la dirección de la empresa y los representantes de los trabajadores y trabajadoras antes del 31 de diciembre o de la finalización de la temporada en el caso de establecimiento que no permanezcan abiertos todo el año.
En el caso de que el computo de la jornada sea inferior al trimestral, el trabajador deberá conocer con una antelación mínima de 14 días el cuadrante de turnos, horarios y descansos que solo podrá variarse si existe común acuerdo con la empresa y con un preaviso mínimo de 10 días. Así como con comunicación previa a la representación legal de los trabajadores/as si la hubiera.
En caso de no existir representación legal de los trabajadores/as, será con estos mismos.
La empresa dispondrá de los mecanismos necesarios para que quede constancia de los horarios de entrada y salida de cada uno de sus trabajadores/as bien por medios mecánicos o manuales, facilitando mensualmente copia al empleado/a que lo solicite.
Las empresas garantizarán el registro diario de jornada, que deberá incluir el horario concreto de inicio y finalización de la jornada de trabajo de cada persona trabajadora, sin perjuicio de la flexibilidad horaria que se establece en este artículo.
Mediante negociación colectiva o acuerdo de empresa con los representantes legales de los trabajadores en la empresa, se organizará y documentará este registro de jornada.
La empresa conservará los registros a que se refiere este precepto durante cuatro años y los entregará mensualmente a las personas trabajadoras, a sus representantes legales.
Artículo 14. Descanso Semanal.
Todos los trabajadores/as afectados por este Convenio disfrutarán de un descanso ininterrumpido de dos días semanales.
Por acuerdo entre la empresa y los representantes de los trabajadores/as, si los hubiere, y caso de no tenerlos con la plantilla directamente, y dentro de los límites de la legislación vigente, por razones técnicas, organizativas o de producción, se podrá pactar un descanso distinto al enunciado en el párrafo anterior, con la obligación expresa para que este entre en vigor, de remitir a la Comisión Mixta Paritaria, mediante correo electrónico, conforme al anexo 4 de este convenio, el acuerdo alcanzado respecto a dicho descanso y el motivo que lo justifica.
El acuerdo tendrá validez máxima de un año, quedando excluidos los siguientes colectivos:
a) Camareras/os de piso.
b) Personal de office.
c) Personal de cocina.
d) Personal de limpieza.
Una vez recibido el acuerdo alcanzado por la Comisión Paritaria, esta comunicará a la empresa la recepción del mismo, para que pueda entrar en vigor.
Antes de que venza el año de efectividad del acuerdo alcanzado, será obligatorio volver a alcanzar el mismo acuerdo u otro diferente, y comunicarlo a la Comisión Mixta Paritaria del Convenio, para su entrada en vigor, conforme a lo prescrito en este artículo.
Los días festivos y no recuperables de cada año natural, siempre que el empleado/a los trabaje o coincidan con descanso semanal, en relación con su abono o disfrute se realizará de común acuerdo con la empresa. Dichos festivos se abonarán con el 75% de recargo junto con la mensualidad correspondiente, o se compensarán como descanso continuo en periodo distinto, siendo el número de días de descanso el resultado de multiplicar por 1,4 el número de días festivos.
En caso de desacuerdo en relación al sistema de compensación anterior, la decisión será tomada alternativamente por empresario/a y trabajador/a, siendo este el que tendrá la primera posibilidad de elección.
Artículo 15. Descanso Diario.
1º Para los contratos de jornada a tiempo completo, se dispondrán de un único tiempo de descanso de 30 minutos.
2º. Para los contratos de jornada superior a 5 horas se establecen 15 minutos de descanso.
3º. Para los contratos con jornada igual o inferior a cinco horas no se disfruta de descanso.
Ello no obstante, en aquellas empresas pertenecientes a la CNAE de Hospedaje y/o Alojamientos que dispongan de una sola persona para cubrir el puesto de recepción durante el horario nocturno, el tiempo de descanso establecido en este artículo deberá realizarse en el puesto de trabajo.
Artículo 16. Vacaciones.
El personal sujeto a este Convenio disfrutará de un periodo de vacaciones anuales de treinta días naturales, ininterrumpidos pudiendo fraccionarse en dos períodos, a solicitud del/a trabajador/a o el/la empresario/a, no sustituibles por compensación económica.
Todo aquél/la que no lleve trabajando en la empresa el año necesario para el disfrute pleno de este derecho, le corresponderá la parte proporcional.
Las vacaciones serán retribuidas a razón del salario base, antigüedad, y plus de vinculación si procede.
Las vacaciones se disfrutarán dentro del año natural, indicándose los periodos de descanso en que se concrete su disfrute, comenzando siempre el disfrute de las mismas en lunes, salvo pacto en contrario.
Para aquellos/as trabajadores/as con contrato anual, al menos quince días de vacaciones se disfrutarán durante los meses de julio, agosto y septiembre, salvo pacto en contrario. Los quince días restantes se disfrutarán sometidos al correspondiente acuerdo entre persona trabajadora y empresa.
El/la trabajador/a deberá conocer con una antelación mínima de tres meses, las fechas definitivas de disfrute de sus vacaciones.
Queda total y absolutamente prohibida la sustitución del disfrute de las vacaciones por su remuneración o compensación en metálico.
Capítulo III. Clasificación Profesional, Movilidad y Ascensos.
Artículo 17. Clasificación Profesional.
Para la clasificación profesional y movilidad funcional será de aplicación el Acuerdo laboral de ámbito estatal para el sector de hostelería (ALEH) vigente en cada momento.
Artículo 18. Movilidad.
a) Geográfica entre centros de trabajo de la misma localidad: Si por necesidades técnicas, económicas u organizativas fuese necesario desplazar al/a trabajador/a a otro centro de trabajo de la misma empresa en idéntica localidad, esta circunstancia se mantendrá en su caso por el tiempo estrictamente necesario para cubrir la vacante que haya motivado dicho desplazamiento, nunca con carácter reiterativo o habitual y cíclico, de tal modo que se pretendiere por el empresario cubrir momentos punta de un centro con trabajadores/as de otro centro, todo ello sin perjuicio de los acuerdos a que pudieran llegar empresa y trabajadores/as
b) Funcional para el caso en que un trabajador/a tenga trabajos correspondientes a un grupo profesional inferior: por exigencias de la actividad, siempre con carácter transitorio, urgente y no reiterativo, no superando en ningún caso los dos meses, conservando en dicha situación la retribución correspondiente a su categoría.
c) Funcional para el caso del que el/a trabajador/a hubiese de realizar trabajos correspondientes a un grupo profesional superior al que ostente: percibirá la retribución correspondiente a la categoría superior en todos sus conceptos. Transcurrido un período de cuatro meses ininterrumpidos, o seis alternos, dentro de un período de ocho meses consolidará la categoría. Ello, claro está, salvo que el/la empresario, el/a trabajador/a, o sus representantes legales, pongan en marcha el proceso de ascenso recogido en el artículo siguiente.
Artículo 19. Ascensos y Vacantes.
Los ascensos se efectuarán siguiendo las siguientes normas.
Las vacantes que se produzcan en cada categoría profesional serán cubiertas atendiendo a criterios de conocimiento y preparación para el cargo, prevaleciendo la antigüedad en igualdad de condiciones. Se entenderá que existe vacante cuando un/a trabajador/a hubiese cesado en la empresa por cualquier causa y no se hubiese amortizado su plaza o cuando un/a trabajador/a viniese realizando funciones de categoría superior más de cuatro meses dentro del año, en cuyo caso se entenderá que dicho puesto debe ser cubierto con carácter definitivo, estando facultados los representantes de los trabajadores/as para instar la convocatoria para cubrir la vacante. La plaza dejada vacante por el /la trabajador/a ascendido deberá ser cubierta por el mismo sistema, salvo que sea amortizada.
Existirá igualmente vacante y se estará igualmente obligado a su cobertura, aunque de forma temporal, cuando se produzca la ausencia por periodo superior a 6 meses de un/a trabajador/a por causas tales como I.T., embarazo, lactancia, excedencias, etc.
Capítulo IV. Contratación.
Artículo 20. Conversión de Contratos Temporales en Fijos.
En este artículo las partes se remiten a la normativa vigente en cada momento.
Artículo 21. Contrato a Tiempo Parcial.
El contrato a tiempo parcial se entenderá celebrado cuando se haya acordado la prestación de servicios durante un número de horas al día, a la semana, al mes o al año, inferior a la jornada de trabajo de un/a trabajador/a a tiempo completo comparable.
A tales efectos se entenderá por trabajador/a a tiempo completo comparable, un/a trabajador/a con el mismo tipo de contrato de trabajo, que tenga jornada a tiempo completo, preste servicios en la misma empresa y centro de trabajo y que realice un trabajo idéntico o similar. Si en la empresa no hubiera ningún trabajador a tiempo completo comparable, se considerará la jornada a tiempo completo prevista en este convenio colectivo.
Cuando el contrato a tiempo parcial conlleve una jornada diaria inferior a la de los contratos a tiempo completo, esta jornada no podrá ser inferior a:
– Si el contrato tiene una duración de hasta 4 días de trabajo efectivo en una semana natural, la jornada mínima será de 4 horas diarias.
– Si el contrato es de 5 o 6 días en una semana natural, la jornada mínima será de 20 o 24 horas respectivamente.
– 80 horas en contratos computados mensualmente La prestación deberá realizarse de forma continuada.
La prestación podrá realizarse de forma partida, con un mínimo de tres horas, para aquellos contratos con jornada igual o superior a seis horas.
Este contrato podrá concertarse por tiempo indefinido o por duración determinada, regulándose, en lo no contemplado en este artículo, conforme al artículo 12 ET, y por la normativa de desarrollo vigente en cada momento.
El empresario sólo podrá exigir la realización de horas complementarias cuando así lo hubiera pactado expresamente con el trabajador.
El pacto sobre horas complementarias podrá acordarse en el momento de la celebración del contrato a tiempo parcial o con posterioridad al mismo, pero constituirá, en todo caso, un pacto específico respecto al contrato.
El pacto se formalizará necesariamente por escrito y sólo se podrá formalizar un pacto de horas complementarias en el caso de contratos a tiempo parcial permitidos por la legislación vigente. El pacto de horas complementarias deberá recoger el número de horas cuya realización podrá ser requerida por el empresario. Estas no podrán ser inferior al 30 por 100 ni exceder del 60 por 100 de las horas ordinarias de trabajo objeto del contrato.
El trabajador deberá conocer el día y la hora de realización de las horas complementarias pactadas con un preaviso mínimo de 5 días.
El pacto de horas complementarias podrá quedar sin efecto por renuncia del trabajador, mediante un preaviso de quince días, una vez cumplido un año desde su celebración, cuando concurra alguna de las siguientes circunstancias:
1. La atención de las responsabilidades familiares enunciadas en el artículo 37.5 de esta Ley.
2. Por necesidades formativas, siempre que se acredite la incompatibilidad horaria.
3. Por incompatibilidad con otro contrato a tiempo parcial.
El pacto de horas complementarias y las condiciones de realización de las mismas estarán sujetos a las reglas previstas en las letras anteriores. En caso de incumplimiento de tales reglas, la negativa de la persona trabajadora a la realización de las horas complementarias, pese a haber sido pactadas, no constituirá conducta laboral sancionable.
La negativa del/a empleado/a a la realización de estas horas no constituirá conducta laboral sancionable.
Estas horas complementarias no se computarán a efectos de los porcentajes de horas complementarias pactadas.
La jornada de los trabajadores/as a tiempo parcial se registrará día a día y se totalizará mensualmente, entregando copia a la persona trabajadora, junto con el recibo de salarios, del resumen de todas las horas realizadas en cada mes, tanto las ordinarias como las complementarias a que se refiere el apartado 5.
El/la empresario/a deberá conservar los resúmenes mensuales de los registros de jornada durante un periodo mínimo de cuatro años.
En caso de incumplimiento de las referidas obligaciones de registro, el contrato se presumirá celebrado a jornada completa, salvo prueba en contrario que acredite el carácter parcial de los servicios.
La realización de horas complementarias habrá de respetar, en todo caso, los límites en materia de jornada y descansos establecidos en el presente convenio y la legislación vigente.
Las horas complementarias efectivamente realizadas se retribuirán como ordinarias, computándose a efectos de bases de cotización a la Seguridad Social y períodos de carencia y bases reguladoras de las prestaciones. A tal efecto, el número y retribución de las horas complementarias realizadas se deberá recoger en el recibo individual de salarios y en los documentos de cotización a la Seguridad Social.
El/a trabajador/a tendrá derecho a consolidar el 50% de las horas complementarias pactadas y voluntarias que haya realizado en el año natural. Dicha consolidación se llevará a cabo a través de una modificación del contrato de trabajo que se realizará en el mes donde se cumpla el año.
Artículo 22. Contrato por Circunstancias de la Producción.
La aplicación de esta modalidad contractual seguirá la regulación legal existente en cada momento.
Artículo 23. Contrato Indefinido de Fijos- Discontinuos.
Cuando se trate de realizar trabajos fijos y periódicos en la actividad de la empresa, pero de carácter discontinuo, los trabajadores/as contratados para tales trabajos tendrán la consideración de fijos/as de carácter discontinuo:
Para realizar trabajos de naturaleza estacional o vinculado a actividades productivas de temporada.
Para el desarrollo de trabajos que no tengan naturaleza estacional pero que son de prestación intermitente con periodos de ejecución ciertos, determinados o indeterminados.
Para prestar servicios en el marco de ejecución de contratas mercantiles o administrativas que, siendo previsibles, formen parte de la actividad ordinaria de la empresa.
También se podrá concertar entre las E.T.T. y las personas contratadas para ser cedidas, incluso para la cobertura de necesidades temporales de diversas empresas usuarias coincidiendo los periodos de inactividad con el plazo de espera entre dichos contratos.
Las empresas podrán acogerse a este tipo de contratos que habrán de formalizarse por escrito en el modelo oficial que en cada momento se disponga, y que en todo caso habrá de contener:
– La duración mínima estimada de la actividad.
– La forma y el orden del llamamiento – La jornada laboral y su distribución horaria con carácter estimado A los trabajadores/as fijos/as discontinuos se les garantizará un periodo de actividad en relación al número de llamamientos que las empresas puedan utilizar para cumplir con dicho periodo y que será: 120 días de actividad: 4 llamamientos 180 días de actividad: 5 Llamamientos El periodo mínimo de actividad por anualidad, no será exigible si existe rechazo de algún llamamiento por parte de la persona trabajadora fija discontinua.
Dentro de la garantía de ocupación se computan tanto el tiempo efectivo de servicios como los descansos computables como de trabajo, tales como vacaciones, fiestas, permisos y las suspensiones legales del contrato de trabajo.
Todos los trabajadores/as fijos/as de carácter discontinuo deberán ser llamados cada vez que vayan a llevarse a cabo las actividades para las que fueron contratados. Se establecen las siguientes condiciones de llamamiento:
a) La empresa deberá preavisar a la persona trabajadora con una antelación mínima de seis días, previa a su incorporación al centro de trabajo.
b) Si el trabajador/a no respondiera al llamamiento en un plazo máximo de 24 horas desde la comunicación de la empresa, se entiende que desiste del llamamiento y la empresa podrá llamar a otro trabajador/a. En este caso, de desistimiento, el nuevo llamamiento no tendrá que respetar el preaviso de seis días y con un mínimo de 48 horas.
c) Se efectuará por cualquier medio admitido, que permita dejar constancia de la debida notificación a la persona interesada con las indicaciones precisas, preferentemente, según la forma acordada entre empresa y representación legal de las personas trabajadoras y en defecto de ésta, mediante carta certificada, burofax, email, sms, whatsapp, o cualquier otro medio.
d) Las personas contratadas como fijas discontinuas, dentro de su categoría profesional y por orden de antigüedad, podrán optar de forma prioritaria a la hora de cubrir vacantes como personal fijo ordinario siempre que cumplan los requisitos establecidos como necesarios para la cobertura de la vacante.
Contratación a tiempo parcial de trabajadores fijos discontinuos: Los contratos suscritos bajo la modalidad de fijo discontinuo, que no se repitan en fechas ciertas, podrán realizar la jornada a tiempo parcial, tanto para horas al día como días a la semana o al mes. Así mismo, cabrá la contratación fija discontinua a jornada reducida o a tiempo parcial durante toda la vigencia del contrato. Esta posibilidad deberá figurar pactada por escrito en el correspondiente contrato de trabajo, debiendo constar las horas a prestar bajo esta modalidad de a tiempo parcial y su distribución.
Con las personas trabajadoras que ya tuvieran la condición contractual de fijo discontinuo, esta realización deberá pactarse, en su caso, de común acuerdo y por escrito.
Tendrán preferencia para ocupar puestos de trabajo a tiempo completo, de forma temporal o indefinida, quienes estén trabajando como fijos/as discontinuos en el mismo centro de trabajo mediante un contrato de trabajo a tiempo parcial.
Asimismo, los/as trabajadores/as fijos/as discontinuos contratados a tiempo parcial podrán novar temporalmente y de común acuerdo con la empresa la prestación de sus servicios a tiempo completo. No será de aplicación el presente artículo a los casos de trabajadores contratados por interinidad para cubrir vacantes con reserva de puesto de trabajo.
Artículo 24. Contratos Formativos (en Prácticas y para la Formación en Alternancia)
Para este tipo de contratos será de aplicación lo dispuesto en el E.T. y el ALEH vigente en cada momento.
Los contratos para la formación en alternancia tendrán una duración mínima de seis meses y máxima de dos años.
La remuneración mensual de los trabajadores/as con contratos para la formación en alternancia, será la siguiente:
a) El primer año, será el 70% del salario base que le corresponda por el puesto de trabajo que ocupe, siempre que no sea inferior al salario mínimo interprofesional vigente, más el plus de transporte por día efectivo de trabajo.
b) Para el segundo año, será el 85% del salario base que le corresponda por el puesto de trabajo que ocupe, siempre que no sea inferior al salario mínimo interprofesional vigente, más el plus de transporte por día efectivo de trabajo.
Los contratos en prácticas tendrán una duración mínima de seis meses y máxima de un año.
La remuneración mensual de los trabajadores/as con contratos en prácticas, será la siguiente el 90% del salario base que le corresponda por el puesto de trabajo que ocupe, siempre que no sea inferior al salario mínimo interprofesional vigente, más el plus de transporte por día efectivo de trabajo.
Artículo 25. Contratación de Personal con Discapacidad.
Las empresas que empleen a un número de 50 o más trabajadores/as, vendrán obligadas a que de entre ellos/as, el 2% sean trabajadores/as con discapacidad.
El cómputo mencionado anteriormente se realizará sobre la plantilla total de la empresa correspondiente, cualquiera que sea el número de centros de trabajo de aquella y cualquiera que sea la forma de contratación laboral que vincule a los trabajadores y trabajadoras de la empresa.
Son objetivos, promover el empleo y lograr la mayor integración de las personas con discapacidad con especiales dificultades para acceder al mercado de trabajo.
Artículo 26. Contratos de Relevo.
En los supuestos en que una persona trabajadora decida acogerse a la modalidad de jubilación parcial prevista en la Ley General de la Seguridad Social por reunir los requisitos exigidos por la legislación vigente en cada momento, deberá acordar con su empresa una reducción de jornada y de salario dentro de los márgenes previsto por la norma, y la empresa deberá concertar simultáneamente un contrato de relevo con objeto de sustituir la jornada de trabajo dejada vacante por el trabajador/a que se jubila parcialmente.
No obstante, la reducción de jornada y salario podrá alcanzar el 75%, o el porcentaje máximo establecido en la normativa legal en cada momento, mediante la concertación de un contrato de relevo a jornada completa y con duración indefinida. Igualmente se podrá concertar el contrato de relevo para sustituir a los trabajadores/as que se jubilen parcialmente después de haber cumplido su edad ordinaria de jubilación.
Artículo 27. Servicios Extras.
El servicio extra se cotizará a la Seguridad Social, por el total de horas de trabajo realizadas.
Los precios de estos servicios, por niveles y hora de trabajo, serán los reflejados en las tablas salariales de este convenio.
Artículo 28. Derecho a la Información.
Las empresas están obligadas a entregar una copia básica del contrato que firme el/la trabajador/a, en un plazo no superior a diez días en cada centro de trabajo, al trabajador o la trabajadora, que firmará el recibí, a efectos de acreditar que se ha producido la entrega.
La contratación se hará por medio del Servicio Andaluz de Empleo presentando las empresas los contratos en dichas oficinas, dentro de los veinte días siguientes al inicio de la relación laboral. Los contratos se sujetarán, en cuanto sea posible al modelo oficial, especificándose claramente sus condiciones.
Artículo 29. Preaviso en caso de extinción del contrato de trabajo.
Los/as trabajadores/as que deseen cesar voluntariamente, vendrán obligados a ponerlo en conocimiento de la empresa, por escrito, con una antelación mínima de 15 días naturales. El incumplimiento por parte del empleado/a de la obligación de preavisar con la antelación indicada, dará derecho a la empresa a descontar de la liquidación salarial el importe equivalente a un día de salario por cada día de retraso en el aviso.
Cuando se trate de personal contratados temporalmente, el plazo de preaviso nunca podrá ser superior al tiempo de duración que les restare para finalizar el contrato, si éste fuera inferior al plazo de preaviso.
Artículo 30. Finalización de la relación laboral.
1. La acreditación de la finalización de la relación laboral entre empresa y trabajador/a para que surta efectos liberatorios, deberá ser conforme al modelo que figura como Anexo 5 de este Convenio.
2. El recibo de acreditación de finalización de la relación laboral, con validez para quince días desde la fecha de su expedición, certificará la fecha real de la finalización de la relación laboral, debiendo ser retirado, o remitido «on line», debidamente sellado y fechado dependiendo del tipo de actividad, respectivamente en las sedes de las organizaciones empresariales firmantes del presente Convenio:
– Asociación Empresarial de Hostelería y Turismo de la Provincia de Jaén (HOSTURJAÉN), en Paseo de la Estación nº 30 4ª planta, 23003 de Jaén, Correo Electrónico: hosturjaen@hosturjaen.es, como organización más representativa del sector de Restaurantes, Cafeterías, Bares, Discotecas, Pubs y empresas análogas a nivel provincial.
– Asociación de Empresas de Alojamientos de la Provincia de Jaén, en Paseo de la Estación, nº 30, (4ª planta, 23003 de Jaén) correo electrónico gerencia@turjaen.es, como organización más representativa del sector de Hoteles, Alojamientos y empresas análogas a nivel provincial.
Las representaciones empresariales, vendrán obligadas a llevar un registro informatizado que contenga los datos anteriormente expresados.
3. El/la trabajador/a podrá estar asistido por un representante de los trabajadores/as o, en su defecto, un representante sindical de los sindicatos firmantes del presente Convenio, en el acto de la firma del recibo de acreditación de finalización de la relación laboral, debiendo constar de forma expresa en dicho documento la renuncia a este derecho.
Capítulo V. Formación.
Artículo 31. Formación declaración de fines y objetivos.
Las partes firmantes reconocen que la formación, es tanto un derecho de las personas trabajadoras como un deber de las empresas y se configura como un elemento básico y fundamental para contribuir al desarrollo profesional de los/as trabajadores/as y a la competitividad en el sector. A tal efecto la política formativa en las empresas se atendrá a los fines y principios establecidos con carácter general en la legislación vigente.
En lo no previsto en este Capítulo se estará a lo dispuesto en el ALEH vigente en cada momento.
Artículo 32. Comisión de Formación.
Para el cumplimiento de los objetivos en materia de Formación profesional, las partes firmantes del presente convenio acuerdan la constitución de la Comisión de Formación. Esta Comisión estará compuesta por ocho miembros, cuatro por la parte social y cuatro aportados por las patronales sectoriales. Y se reunirán al menos 4 veces al año en reuniones ordinarias.
Los componentes de la parte social, dos del sector de alojamientos y dos del sector de restauración, que participen en esta comisión, dispondrán del crédito horario necesario para las actividades relacionadas con la misma. Los representantes de la parte social no podrán pertenecer a la misma empresa.
Artículo 33. Funciones de la Comisión Paritaria Sectorial de Formación.
1. Esta Comisión se encargará de realizar la detección de necesidades y el diagnóstico en materia de carencias formativas o adaptaciones permanentes a las necesidades de cada momento. Y propondrá propuestas plurianuales y anuales de formación en los ámbitos que correspondan, bien sea a las entidades bipartitas estatales o en el ámbito autonómico. Y orientará tanto la formación para desempleados/as, como la formación bonificada.
Propondrá el diseño de la oferta formativa que realicen las administraciones públicas pertinentes en el ámbito de aplicación de este Convenio tanto en los criterios de ejecución, colectivos prioritarios, y formación estratégica.
2. En aras de la paulatina profesionalización del sector, esta Comisión establecerá un mapa de funciones vinculado a la clasificación profesional que relacione los puestos de trabajo con Unidades de Competencia o Cualificaciones completas con el objetivo de propiciar la obtención de Certificados de Profesionalidad para los trabajadores y trabajadoras adscritos a este convenio, así como para propiciar la contratación de jóvenes cualificados con el título correspondiente a las citadas cualificaciones. En ningún caso el desarrollo de dicho mapa podrá poner en peligro ni los puestos de trabajo existentes ni los contratos de las personas que desarrollan estos trabajos en la actualidad.
3. Esta Comisión solicitará a la administración pública competente que ponga en marcha los procedimientos de acreditación pertinentes vinculados a las cualificaciones del citado mapa y propiciará el desarrollo de acuerdos específicos para las empresas y sus trabajadores/as.
4. Esta Comisión propiciará los convenios entre partes para el desarrollo de la formación dual. Mediando ante la administración educativa en las prácticas de empresa de los ciclos formativos, los prácticum de las titulaciones o grados universitarios y la formación dual.
Estableciendo por una parte qué puestos de trabajo o tareas no son relevantes ni apropiados para el aprendizaje y que puestos o tareas si son pertinentes. Funcionando como un verdadero organismo mediador al servicio del aprendizaje de las personas y de la inserción laboral de las personas jóvenes o en formación.
5. Esta Comisión valorará conforme a sus criterios las empresas acreditadas e inscritas por los servicios públicos de empleo que realicen formación de oferta o de demanda en su ámbito de aplicación. Así mismo valorará conforme a sus criterios las entidades que gestionen el llamado cheque de formación con objeto de que los/as trabajadores/as y los empresarios/as tengan una información cualitativa de la oferta que les rodea. Esta valoración y los criterios que se utilicen serán públicos y estarán suficientemente publicitados.
6. Esta Comisión abordará la negociación de los aspectos relativos a jornadas, permisos y excedencias vinculados a la formación, y dará traslado de sus conclusiones a la Comisión Negociadora para su consideración.
Artículo 34. Del derecho a la Formación.
Las personas trabajadoras tendrán derecho a 20 horas anuales de formación en el seno de la empresa o en una entidad externa debidamente acreditada de libre elección del trabajador.
En caso de que las 20 horas se realicen fuera de la empresa, el empresario/a deberá facilitar al trabajador/a los criterios de la Comisión Sectorial de Formación en cuanto a valoración de empresas acreditadas e inscritas y la valoración de dicha empresa.
Capítulo VI. Licencias, Excedencias, Reducciones de Jornada, Embarazo, Maternidad y Paternidad.
Artículo 35. Licencias.
El/la trabajador/a, podrá ausentarse del trabajo con derecho a remuneración por alguno de los motivos y por el tiempo siguiente:
A) Quince días naturales en caso de matrimonio o constitución de pareja de hecho que se inscriba en el Registro creado al efecto.
B) Dos días en caso de nacimiento o adopción de hijo/a, Cuando por tal motivo el/a trabajador/a necesite desplazarse fuera de la provincia se dispondrá de cuatro días.
C) Cinco días por accidente o enfermedad graves, hospitalización o intervención quirúrgica sin hospitalización que precise reposo domiciliario del cónyuge, pareja de hecho o parientes hasta el segundo grado por consanguineidad o afinidad, incluido el familiar consanguíneo de la pareja a de hecho, así como de cualquier otra persona distinta de las anteriores, que conviva con la persona trabajadora en el mismo domicilio y que requiera el cuidado efectivo de aquella.
D) Dos días por el fallecimiento del cónyuge, pareja de hecho o parientes hasta el segundo grado de consanguinidad o afinidad. Cuando con tal motivo la persona trabajadora necesite hacer un desplazamiento al efecto, el plazo se ampliará en dos días.
E) Un día por traslado de domicilio habitual.
F) En cada uno de los años de vigencia del Convenio, los trabajadores dispondrán de 16 horas laborables de descanso por asuntos propios, para los contratos a jornada completa, y siendo proporcional en los contratos a tiempo parcial. Los días de asuntos propios no serán adicionables a vacaciones, ni a días festivos abonables y no recuperables. Se exigirá el preaviso, que se establece en siete días, no siendo necesaria la justificación del mismo, no pudiendo coincidir con el de otros/as trabajadores/as del mismo centro de trabajo, a fin de evitar perjuicios en el normal funcionamiento empresarial.
G) Por matrimonio o constitución de pareja de hecho de un/a hijo/a, padre o madre, o hermano/a del trabajador, un día si la ceremonia se celebra en su lugar de residencia o en una localidad dentro de la provincia y dos días si se celebra fuera de los límites de la provincia.
H) Por asistencia a consulta médica, el tiempo indispensable con posterior justificación I) Para realizar funciones sindicales o de representación del personal, en los términos establecidos legal o convencionalmente J) En los supuestos de nacimiento, adopción, guarda con fines de adopción o acogimiento, de acuerdo con el artículo 45.1.d), las personas trabajadoras tendrán derecho a una hora de ausencia del trabajo, que podrán dividir en dos fracciones, para el cuidado del lactante hasta que este cumpla nueve meses. La duración del permiso se incrementará proporcionalmente en los casos de nacimiento, adopción, guarda con fines de adopción o acogimiento múltiples.
Quien ejerza este derecho, por su voluntad, podrá sustituirlo por una reducción de su jornada en media hora con la misma finalidad o acumularlo en jornadas completas. La reducción de jornada contemplada en este apartado constituye un derecho individual de las personas trabajadoras sin que pueda transferirse su ejercicio a la otra persona progenitora, adoptante, guardadora o acogedora. No obstante, si dos personas trabajadoras de la misma empresa ejercen este derecho por el mismo sujeto causante, podrá limitarse su ejercicio simultáneo por razones fundadas y objetivas de funcionamiento de la empresa, debidamente motivadas por escrito, debiendo en tal caso la empresa ofrecer un plan alternativo que asegure el disfrute de ambas personas trabajadoras y que posibilite el ejercicio de los derechos de conciliación.
K) Cuando ambos progenitores, adoptantes, guardadores o acogedores ejerzan este derecho con la misma duración y régimen, el periodo de disfrute podrá extenderse hasta que el lactante cumpla doce meses, con reducción proporcional del salario a partir del cumplimiento del noveno mes.
L) En caso de hospitalización de hijos menores de edad, los días que dure la hospitalización, siempre que se recuperen con posterioridad los días que excedan de la licencia establecida en el presente artículo. En caso de no existir la posibilidad de recuperar los días de exceso de licencia, este permiso se considerará no retribuido.
M) Por el tiempo indispensable para el cumplimiento de un deber inexcusable de carácter público y personal.
N) Se establece una licencia retribuida de 20 horas anuales para consulta médica cuando el trabajador/a tenga que acompañar a un familiar, hasta segundo grado de consanguinidad, a consulta o especialidad médica por el tiempo indispensable, aportando la justificación correspondiente y, de ser posible, avisar con la antelación suficiente.
Para los apartados B), C), D) y K) debido a las necesidades personales y familiares que acarrean este tipo de situaciones, el trabajador podrá elegir disfrutar de esta licencia tanto de forma continuada como fraccionada, alternando los días de disfrute en fechas distintas, siempre que esté en vigor el hecho causante.
Artículo 36. Excedencias.
Las excedencias se regirán por el presente artículo, y en lo no previsto en él, por el Estatuto de los Trabajadores, y demás disposiciones concordantes que le sean de aplicación.
Las excedencias pueden ser: Voluntarias, forzosas por cargo público o electivo sindical, por nacimiento, adopción o acogimiento, por cuidado de familiar y por pacto entre partes.
a) Excedencia voluntaria: Es aquella, que el/la trabajador/a tiene derecho a que se le conceda, sin más requisitos que acreditar una antigüedad en la empresa de un año. Su duración será como mínimo de 4 meses, y como máximo de 5 años, pudiendo el trabajador pedir dos prórrogas de la misma, siempre que el cómputo total de lo solicitado no exceda de los 5 años. Concluida esta excedencia, deberán pasar 4 años para generar derecho a solicitar otra.
Deberá solicitarse por escrito, con una antelación mínima de 15 días, viniendo obligado el empresario a concederla, también por escrito en el plazo de 15 días desde la recepción de la solicitud.
Al finalizar el período de excedencia, el trabajador, previa solicitud con una antelación mínima de 30 días a la fecha de finalización de la excedencia, tendrá derecho preferente a reincorporarse en una vacante igual o similar a la que tenía. De no haberla, mantendrá esta expectativa de derecho, hasta que se produzca.
Si el trabajador optara voluntariamente por incorporarse en una categoría inferior a la suya, teniendo la cualificación para ello, en este caso tendrá las funciones, retribuciones y demás temas de esta categoría inferior.
Tendrá preferencia a cubrir la primera vacante que se produzca en su categoría original durante un año desde su reincorporación a la empresa.
Esta excedencia no computará a efectos de antigüedad.
Si en algún momento quedara constancia de que el trabajador o la trabajadora, utiliza dicha excedencia para hacer la competencia en otra empresa del mismo sector de actividad económica, será sancionable conforme al ALEH vigente.
b) Excedencia por nacimiento, adopción o acogimiento: Los/as trabajadores/as tendrán derecho a un periodo de excedencia de duración no superior a tres años para atender al cuidado de cada hijo, tanto cuando lo sea por naturaleza, como por adopción, o en los supuestos de guarda con fines de adopción o acogimiento permanente, a contar desde la fecha de nacimiento o, en su caso, de la resolución judicial o administrativa.
También tendrán derecho a un periodo de excedencia, de duración no superior a dos años, salvo que se establezca una duración mayor por negociación colectiva, los/as trabajadores/as para atender al cuidado de un familiar hasta el segundo grado de consanguinidad o afinidad, que por razones de edad, accidente, enfermedad o discapacidad no pueda valerse por sí mismo, y no desempeñe actividad retribuida.
La excedencia contemplada en el presente apartado, cuyo periodo de duración podrá disfrutarse de forma fraccionada, constituye un derecho individual de los trabajadores, hombres o mujeres. No obstante, si dos o más trabajadores/as de la misma empresa generasen este derecho por el mismo sujeto causante, el/la empresario/a podrá limitar su ejercicio simultáneo por razones justificadas de funcionamiento de la empresa.
Cuando un nuevo sujeto causante diera derecho a un nuevo periodo de excedencia, el inicio de la misma dará fin al que, en su caso, se viniera disfrutando.
El periodo en que el/la trabajador/a permanezca en situación de excedencia conforme a lo establecido en este artículo será computable a efectos de antigüedad y el trabajador/a tendrá derecho a la asistencia a cursos de formación profesional, a cuya participación deberá ser convocado por el/la empresario/a, especialmente con ocasión de su reincorporación.
Durante el primer año tendrá derecho a la reserva de su puesto de trabajo. Transcurrido dicho plazo, la reserva quedará referida a un puesto de trabajo del mismo grupo profesional o categoría equivalente.
No obstante, cuando el/la trabajador/a forme parte de una familia que tenga reconocida oficialmente la condición de familia numerosa, la reserva de su puesto de trabajo se extenderá hasta un máximo de quince meses cuando se trate de una familia numerosa de categoría general, y hasta un máximo de dieciocho meses si se trata de categoría especial.
c) Excedencia forzosa por cargo público: Para tener derecho a esta excedencia, es necesario que el trabajador/a acceda a un cargo público, ya sea por designación, ya sea por elección, que lleve aparejado el desempeño de una actividad política. La duración de esta excedencia, será igual al tiempo en que el trabajador desempeñe dicho cargo, incluido el que esté en funciones, en espera de la toma de posesión, por quién corresponda, tras el proceso electoral.
Durante el tiempo que dure esta excedencia, el/la trabajador/a seguirá devengando antigüedad y tendrá derecho, a la finalización de la misma, a ocupar el puesto que venía desempeñando. El empresario viene obligado a reservárselo, pudiendo cubrir la vacante durante la excedencia con un contrato temporal de interinidad.
Si se hubiera procedido a amortizar el puesto por causa justa, el empresario deberá asignarle, dentro de los límites de la movilidad funcional, un puesto similar, sin menoscabo de los derechos profesionales y económicos.
La presente excedencia computará a efectos de antigüedad del trabajador/a, que permanecerá en situación asimilada al alta frente a la Seguridad Social.
d) Excedencia forzosa por cargo electivo sindical: El/a trabajador/a que acceda a un puesto sindical, de carácter electivo, de ámbito provincial o superior, mientras se mantenga en el desempeño de dicho puesto, tendrá derecho a que se le reconozca por la empresa, la situación de excedencia, que durará el tiempo que dure el cargo sindical. Terminada la excedencia, el/la trabajador/a tendrá derecho a reincorporarse a su puesto de trabajo en los mismos términos que en la excedencia por cargo público.
e) Excedencia por pacto entre partes: Las partes, podrán establecer, bien con carácter colectivo en las empresas, bien a título individual, otros tipos de excedencias en las condiciones que libremente acuerden.
f) Excedencias especiales:
– En caso de fallecimiento de cónyuge o pareja de hecho del trabajador o trabajadora, quedando huérfano un hijo menor de 18 años a su cargo, dicho trabajador o trabajadora tendrá derecho a una excedencia especial no retribuida con reserva del puesto de trabajo.
Esta excedencia deberá ser justificada y tendrá una duración máxima de 12 meses, contados a partir de la finalización de la licencia retribuida, según proceda, del fallecimiento y deberá ser solicitada al empresario por el beneficiario/a mediante el correspondiente escrito, en el que deberá aparecer la fecha de reincorporación a su puesto de trabajo, que será automática.
– Por tratamiento personal de toxicomanía o alcoholismo bajo vigilancia médica. El plazo máximo de excedencia en este supuesto es de un año, pudiendo prorrogarse otro año más.
El trabajador o trabajadora cuando cesen las causas que motivaron la excedencia deberá comunicar por escrito a la empresa su reincorporación al puesto de trabajo.
Estas situaciones de excedencia sólo se computarán a efectos de antigüedad cuando así esté establecido por ley, permaneciendo mientras tanto el contrato de trabajo suspendido con arreglo a lo legalmente establecido.
Reincorporación tras la excedencia: Como regla común a todas las excedencias, los/as trabajadores/as, deberán solicitar de forma expresa, su reincorporación al trabajo en el plazo mínimo de un mes anterior a la terminación de la misma.
Para los apartados A, E y G será necesario un preaviso con quince días de antelación.
Artículo 37. Trabajadores/as con Hijos Menores.
Se procurará que los/as trabajadores/as que tengan a su cuidado la educación de hijos/as con edad inferior a cinco años, tengan el turno de trabajo adaptado a los horarios de la guardería o colegio, previa justificación del mismo.
Artículo 38. Reducción de Jornada y Concreción Horaria.
A) Quien por razones de guarda legal tenga a su cuidado directo algún menor de doce años o una persona con discapacidad que no desempeñe una actividad retribuida tendrá derecho a una reducción de la jornada de trabajo diaria, con la disminución proporcional del salario entre, al menos, un octavo y un máximo de la mitad de la duración de aquella. Tendrá el mismo derecho quien precise encargarse del cuidado directo del cónyuge o pareja de hecho, o un familiar hasta el segundo grado de consanguinidad y afinidad, incluido el familiar consanguíneo de la pareja de hecho, que por razones de edad, accidente o enfermedad no pueda valerse por sí mismo, y que no desempeñe actividad retribuida.
B) El progenitor, guardador con fines de adopción o acogedor permanente tendrá derecho a una reducción de la jornada de trabajo, con la disminución proporcional del salario de, al menos, la mitad de la duración de aquella, para el cuidado, durante la hospitalización y tratamiento continuado, del menor a su cargo afectado por cáncer (tumores malignos, melanomas y carcinomas), o por cualquier otra enfermedad grave, que implique un ingreso hospitalario de larga duración y requiera la necesidad de su cuidado directo, continuo y permanente, acreditado por el informe del servicio público de salud u órgano administrativo sanitario de la comunidad autónoma correspondiente y, como máximo, hasta que el hijo o persona que hubiere sido objeto de acogimiento permanente o de guarda con fines de adopción cumpla los veintitrés años. En consecuencia, el mero cumplimiento de los dieciocho años de edad por el hijo o el menor sujeto a acogimiento permanente o a guarda con fines de adopción no será causa de extinción de la reducción de la jornada, si se mantiene la necesidad de cuidado directo, continuo y permanente. No obstante, cumplidos los 18 años, se podrá reconocer el derecho a la reducción de jornada hasta que el causante cumpla 23 años en los supuestos en que el padecimiento de cáncer o enfermedad grave haya sido diagnosticado antes de alcanzar la mayoría de edad, siempre que en el momento de la solicitud se acrediten los requisitos establecidos en los párrafos anteriores, salvo la edad. Asimismo, se mantendrá el derecho a esta reducción hasta que la persona cumpla 26 años si antes de alcanzar 23 años acreditara, además, un grado de discapacidad igual o superior al 65 por ciento.
Por convenio colectivo, se podrán establecer las condiciones y supuestos en los que esta reducción de jornada se podrá acumular en jornadas completas.
C) En los supuestos de nulidad, separación, divorcio, extinción de la pareja de hecho o cuando se acredite ser víctima de violencia de género, el derecho a la reducción de jornada se reconocerá a favor del progenitor, guardador o acogedor con quien conviva la persona enferma, siempre que cumpla el resto de los requisitos exigidos. Cuando la persona enferma que se encuentre en los supuestos previstos en el párrafo tercero y cuarto de este apartado contraiga matrimonio o constituya una pareja de hecho, tendrá derecho a la reducción de jornada quien sea su cónyuge o pareja de hecho, siempre que acredite las condiciones para acceder al derecho a la misma. Las reducciones de jornada contempladas en este apartado constituyen un derecho individual de los trabajadores, hombres o mujeres.
No obstante, si dos o más trabajadores de la misma empresa generasen este derecho por el mismo sujeto causante, el empresario podrá limitar su ejercicio simultáneo por razones fundadas y objetivas de funcionamiento de la empresa, debidamente motivadas por escrito, debiendo en tal caso la empresa ofrecer un plan alternativo que asegure el disfrute de ambas personas trabajadoras y que posibilite el ejercicio de los derechos de conciliación. En el ejercicio de este derecho se tendrá en cuenta el fomento de la corresponsabilidad entre mujeres y hombres y, asimismo, evitar la perpetuación de roles y estereotipos de género.
D) La concreción horaria y la determinación de los permisos y reducciones de jornada, corresponderán a la persona trabajadora dentro de su jornada ordinaria. No obstante, los convenios colectivos podrán establecer criterios para la concreción horaria de la reducción de jornada, en atención a los derechos de conciliación de la vida personal, familiar y laboral de la persona trabajadora y las necesidades productivas y organizativas de las empresas.
E) Las personas trabajadoras que tengan la consideración de víctimas de violencia de género o de víctimas del terrorismo tendrán derecho, para hacer efectiva su protección o su derecho a la asistencia social integral, a la reducción de la jornada de trabajo con disminución proporcional del salario o a la reordenación del tiempo de trabajo, a través de la adaptación del horario, de la aplicación del horario flexible o de otras formas de ordenación del tiempo de trabajo que se utilicen en la empresa. También tendrán derecho a realizar su trabajo total o parcialmente a distancia o a dejar de hacerlo si este fuera el sistema establecido, siempre en ambos casos que esta modalidad de prestación de servicios sea compatible con el puesto y funciones desarrolladas por la persona. Estos derechos se podrán ejercitar en los términos que para estos supuestos concretos se establezcan en los convenios colectivos o en los acuerdos entre la empresa y los representantes legales de las personas trabajadoras, o conforme al acuerdo entre la empresa y las personas trabajadoras afectadas. En su defecto, la concreción de estos derechos corresponderá a estas, siendo de aplicación las reglas establecidas en el apartado anterior, incluidas las relativas a la resolución de discrepancias.
Artículo 39. Embarazo.
Las empresas, a las trabajadoras embarazadas a partir del cuarto mes de gestación o antes por prescripción facultativa, cambiarán el puesto de trabajo de las mismas, por otro en el que puedan desarrollar su embarazo en condiciones óptimas para su salud y la del gestante, sin que este cambio pueda afectar a las percepciones económicas que las trabajadoras vinieran percibiendo. Las trabajadoras embarazadas podrán solicitar excedencias de entre 3 meses y un año con reserva de su puesto de trabajo y reincorporación inmediata, pudiendo acogerse a una nueva excedencia por maternidad tras la baja maternal y vacaciones en su caso. La petición se formulará con un mínimo de quince días de antelación. El ingreso se notificará con un mes de antelación a la finalización de la excedencia y se producirá de forma automática.
Capítulo VII. Retribuciones y Estructura Salarial.
Artículo 40. Retribuciones.
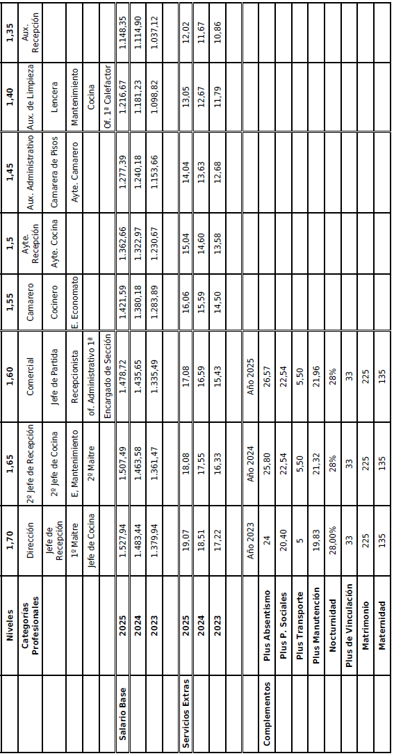
Las partes acuerdan los siguientes incrementos salariales para cada año de vigencia del convenio colectivo:
– Año 2023: se mantendrán las tablas salariales vigentes a 31/12/2022
– Año 2024: se aplicará un incremento del 7,5% sobre todos los conceptos económicos y con fecha de efectos retroactiva del 01/01/2024.
– Año 2025: se aplicará un incremento del 3% sobre todos los conceptos económicos y con fecha de efectos retroactiva del 01/01/2025.
A efectos del presente convenio, se entiende por Salario Base la retribución mensual establecida en la correspondiente tabla salarial multiplicada por 14 mensualidades.
Artículo 41. Antigüedad.
La antigüedad para los ejercicios 2023, 2024, 2025 queda consolidada en la cuantía que se venía percibiendo al 31 de diciembre de 1998.
Las nuevas contrataciones no devengarán este complemento.
Artículo 42. Horas Extras.
1. Tendrán la consideración de horas extraordinarias aquellas horas de trabajo que se realicen sobre la duración máxima de la jornada ordinaria de trabajo fijada en este convenio.
2. La iniciativa para realizar horas extraordinarias corresponderá a la empresa y será libremente aceptada por el trabajador.
3. La compensación por la realización de horas extraordinarias, dentro de los límites normales, se establece que, con carácter prioritario el tiempo de trabajo será compensado fundamentalmente con tiempo de descanso, o cualquier otra compensación que acuerden las partes, si bien, se observará la no acumulación de dichos descansos en más de cuatro semanas, dándose conocimiento, previo a la aplicación de dicho acuerdo, a la representación legal de los trabajadores/as.
4. La realización de horas extraordinarias se reducirá al mínimo indispensable.
5. Las organizaciones empresariales recomiendan que por la realización durante un año del número de horas extraordinarias equivalente a la jornada de trabajo de un trabajador a tiempo completo, en el conjunto de la empresa, se cree un nuevo puesto de trabajo.
Artículo 43. Gratificaciones Extraordinarias.
Todos los trabajadores/as afectados por este convenio percibirán las siguientes pagas extraordinarias:
a) Paga de Verano pagadera antes del día 16 de julio de cada año.
b) Paga de Navidad pagadera antes del día 22 de diciembre de cada año.
La remuneración de ambas pagas, consistirá en una mensualidad de salario base, y si procede, antigüedad y plus de vinculación personal.
Artículo 44. Plus Absentismo.
Coincidiendo ambas partes en la conveniencia de reducir el absentismo y como estímulo para dicho logro, se establece una prima mensual que, para el año 2023, mantiene el mismo importe del 2022 (24 euros mensuales por 12 pagas), y que cobrará cada persona trabajadora siempre que no tenga ausencia total o parcial en jornada laboral alguna en el mes de referencia.
Para el año 2024 el importe de dicha prima será de veinticinco euros y ochenta céntimos (25.80 €) mensuales, y para el año 2025 de veintiséis y cincuenta y siete céntimos (26.57€) mensuales.
Este plus se abonará durante los doce meses del año, incluido el mes de vacaciones.
A los efectos exclusivos del presente artículo no se considerarán ausencias las debidas a las causas siguientes:
a) Las comprendidas en el Artículo 35 del presente Convenio.
b) Las bajas por enfermedad profesional o accidente laboral.
c) Hasta 3 horas mensuales para acudir a consulta de médico.
d) Vacaciones y festivos.
Aquellas empresas que por las mismas circunstancias y concepto tuvieran establecidas similares primas podrán absorberlas o compensarla según proceda.
En caso de que por acuerdo entre empresario y trabajador se recupere el tiempo perdido no se perderá la prima de absentismo.
Asimismo, en el caso de la finalización del contrato, se acuerda abonarlo proporcionalmente a los días del contrato en el mes.
Artículo 45. Plus de Transporte.
Durante la vigencia del presente convenio, todas las personas trabajadoras afectadas por el mismo, percibirán un Plus de Transporte en cuantía definitiva y no revisable de cinco euros con cincuenta céntimos (5,50 €) diarios por cada día efectivo de trabajo del trabajador/a, tanto si se realiza a tiempo completo como a tiempo parcial.
Así mismo, este plus extra salarial no se abonará a los trabajadores/as que tengan concedido el derecho al alojamiento y hagan uso del mismo dentro del centro de trabajo en que presten sus servicios.
Artículo 46. Plus de Nocturnidad.
Las horas trabajadas en el período comprendido entre las 12 de la noche y las 6 de la mañana, salvo que el salario se haya establecido atendiendo a que el trabajo sea nocturno por su propia naturaleza, en todo o en parte, tendrán una retribución específica incrementada en el 28% sobre el salario base.
Artículo 47. Complemento de Manutención.
Los/as trabajadores/as percibirán en concepto de manutención durante el año 2023 la cuantía será de 19.83 €) mensuales a partir de la firma del presente convenio. Para los años 2024 y 2025 el incremento será igual al que se pacte para las tablas salariales.
Este complemento lo percibirán aquellos trabajadores/as que, dentro de su jornada laboral, coincida con ella la totalidad del horario de almuerzo o cena, siempre que la empresa ofrezca servicio de restauración y que la misma no les ofrezca almuerzo a sus trabajadores en sus propias instalaciones. Si la empresa no presta servicio de restauración, no se devengará el citado complemento.
Artículo 48. Plus Compensatorio para el desarrollo de Políticas Sociales.
Desarrollar determinadas políticas sociales en la empresa contribuye a conseguir un sector empresarial más avanzado y competitivo.
La búsqueda de soluciones en el marco de las relaciones laborales a problemas sociales que se generan también en la actividad empresarial – igualdad, conciliación, discapacidad, prevención… debe ser una actividad a tener en cuenta igualmente en la negociación colectiva.
Así, se conseguirá generar una cultura de implantación efectiva de políticas sociales en las empresas a través de la negociación colectiva.
Para ello, las partes firmantes del presente convenio se comprometen, conforme al contenido en este artículo, a la realización de un «Programa o Plan de actividades de información, formación y asesoramiento en materia de Políticas Sociales» dirigido a los empresarios y trabajadores incluidos en su ámbito funcional, sectorial y territorial para que puedan desarrollar esas actividades.
Este Programa de actividades, diseñado, supervisado y/o visado por la Comisión Paritaria, consistirá en el siguiente contenido mínimo:
a) Respecto de la actividad de Información: Ésta habrá de ser periódica y deberá realizarse un mínimo de 12 comunicaciones informativas por escrito anuales indicándose la vía o modo de difusión a los trabajadores.
b) Respecto de las actividades formativas: Habrá de realizarse un mínimo de 4 acciones formativas al año, que podrán presentar el formato de curso, seminario, charla…, indicándose las principales características de cada una de ellas: temario, modalidad, fecha y horario de realización, duración y la persona o entidad que la imparte.
c) Respecto de las actividades de asesoramiento: Consistirá en la puesta a disposición de un servicio de asesoramiento permanente.
Estas acciones informativas, formativas y de asesoramiento se podrán desarrollar a través de dos vías a elección de las empresas:
a) Asociativamente y de forma colectiva en sus respectivos ámbitos, por la Asociación Empresarial de Hostelería y Turismo de la Provincia de Jaén (HOSTURJAÉN) como organización empresarial más representativa del sector de Hostelería a nivel provincial y por la Asociación de Empresas de Alojamientos de la Provincia de Jaén, como Organización Empresarial más representativa del sector de Alojamientos de la Provincia de Jaén, y por las centrales sindicales Unión General de Trabajadores (UGT) y Comisiones Obreras (CCOO)., como organizaciones sindicales más representativas de los trabajadores a nivel provincial. Cada organización dispondrá de sus propios medios para la difusión y puesta en marcha de las acciones de asesoramiento, informativas y formativas.
b) Directa e individualmente por la empresa. En este caso deberán acreditar la realización del Plan de Políticas Sociales que anualmente diseñe la Comisión Paritaria de acuerdo al siguiente procedimiento:
1) Acreditación de la existencia de una persona de la plantilla que cuente con la titulación suficiente a criterio de la Comisión Paritaria del presente Convenio y que dispondrá obligatoriamente, de un crédito horario mensual de 5 horas para dedicarlo a las tareas anteriormente descritas.
2) Presentación a la Comisión Paritaria en el plazo máximo de 2 meses desde la publicación del Convenio en el BOP del Programa o Plan de actividades que vaya a realizar, quien resolverá sobre la suficiencia del mismo con su visado, que tendrá validez anual.
3) Semestralmente, y para aquellos planes o programas de actividades que hayan sido visados por la Comisión Paritaria, la empresa presentará a la referida Comisión informe por escrito de las actividades ejecutadas del Plan, acompañadas de aquellos documentos que acrediten de modo indubitado de la realización de las actividades descritas.
4) Respecto a las actividades de asesoramiento: Consistirá en la puesta a disposición de un servicio de asesoramiento permanente, debiendo indicarse la persona de la plantilla de la empresa, que prestará el asesoramiento en materia de políticas sociales, así como su cualificación y el mecanismo establecido para la formulación de consultas y la emisión de las respuestas de las mismas.
5) Las empresas que realicen las actividades de información, asesoramiento y formación en materia de políticas sociales de forma directa e individual, permitirán a la Comisión Paritaria la realización de visitas y mantener entrevistas con el personal o su representante a los efectos de comprobación de las actividades realizadas.
En caso que las empresas no acrediten la realización del «Programa o Plan de actividades de información, formación y asesoramiento en materia de Políticas Sociales», diseñado por la Comisión Paritaria, bien a través de su adhesión en la organización empresarial más representativa del sector a nivel provincial, bien a través de la acreditación de la planificación y ejecución de las referidas actividades realizadas directa e individualmente por ella, se acuerda que las empresas deberán abonar a su personal laboral un Plus Compensatorio de naturaleza extrasalarial, no compensable ni absorbible, para el desarrollo de estas actividades, en cuantía de 20.40 euros mensuales para el 2023 y para el 2024 y 2025, el importe de 22.54 euros mensuales y sea cual sea la jornada laboral del trabajador.
Las organizaciones empresariales remitirán a la Inspección de Trabajo trimestralmente, mediante certificación, la relación nominal de las empresas que, por alguna de las dos vías indicadas anteriormente, hayan implementado la realización de las Políticas Sociales y, en consecuencia, no vengan obligadas al abono del Plus Compensatorio de Políticas Sociales.
Las empresas de nueva constitución dispondrán igualmente de un plazo de 2 meses desde el inicio de su actividad para presentar su Plan o programación para solicitar el visado de la Comisión Paritaria, previo cumplimiento de todos los puntos del apartado 2 del presente Artículo.
Artículo 49.Ayudas por Matrimonio.
Todo trabajador/a que contraiga matrimonio percibirá de la empresa durante la vigencia del convenio la cantidad de 225,00 € euros, siempre que lleve como mínimo un año de antigüedad en la empresa. Dicha cantidad podrá ser fraccionada por el empresario en dos plazos. Esta ayuda será extensiva para las parejas de hecho inscritas en el Registro correspondiente.
Artículo 50. Ayuda por nacimiento y/o adopción de hijos/as.
Las empresas abonarán a sus trabajadores/as, durante la vigencia del presente convenio, la cantidad de 135,00 € euros por cada hijo/a nacido o adoptado por los mismos, siempre que reúnan como mínimo un año de antigüedad de servicio en la empresa. En caso de parto múltiple, se fraccionará el pago en dos plazos.
Artículo 51. Plus de Vinculación.
Todo aquel/la trabajador/a que a la firma del presente Convenio, tenga menos de sesenta y tres años y con veinte años de antigüedad en la empresa, devengará en concepto de plus de vinculación personal en cuantía definitiva y no revisable de 33€ mensuales, durante los doce meses del año, incluidas las pagas extraordinarias.
Los/as trabajadores/as que a la firma del presente Convenio, tengan cumplidos sesenta y tres años y tengan veinte años de antigüedad en la empresa, o cumplan los veinte años de antigüedad durante el periodo de vigencia del presente Convenio, percibirán en concepto de indemnización la cantidad de 4.000€ en el momento de su jubilación.
Capítulo VIII. Mejoras Sociales.
Artículo 52. Incapacidad Laboral.
1. En la incapacidad temporal por accidente de trabajo o enfermedad profesional, debidamente acreditada por los servicios médicos pertinentes, las empresas complementarán, a su cargo, y desde el primer día de la baja la diferencia existente entre la prestación correspondiente a la IT que abona la entidad gestora o en su caso la mutua, y el 100% del importe salarial que hubiera correspondido cobrar al trabajador de haber estado en activo. El citado complemento va referido tanto al salario base, como a los demás complementos o pluses salariales establecidos en el presente convenio, excepto el plus de transporte.
2. Incapacidad temporal por enfermedad común o accidente no laboral, debidamente justificadas:
a) Las empresas vendrán obligadas, a satisfacer al trabajador/a que lleve como mínimo 60 días de servicio en la empresa y durante un periodo máximo de 12 meses, en las dos primeras bajas por enfermedad común o accidente no laboral, dentro de un periodo de un año, siempre que no sea sustituido por otro trabajador , el complemento necesario para que computando lo que perciba con cargo a la Seguridad Social por prestación económica de Incapacidad Temporal, alcance el 100% del salario base de este convenio.
b) La sustitución deberá realizarse:
1. Mediante la forma que legalmente esté establecida, en las mismas condiciones de jornada y puesto de trabajo, que el trabajador sustituido.
2. Se dará comunicación, mediante el anexo 6º que se adjunta al presente Convenio, al trabajador que se sustituya por baja, así como a la representación social de los trabajadores/as si la hubiera.
c) No tendrán efecto las condiciones económicas previstas por la sustitución en la Incapacidad temporal por enfermedad común o accidente no laboral:
1. En el sector de alojamientos: a las camareras de piso, 2. En todos los sectores al personal de cocina, 3. a las embarazadas y a las personas con una enfermedad que ponga en riesgo la vida de quien la padezca.
d) A partir de la tercera baja, dentro de un año, no se producirá ningún tipo de complemento empresarial durante dichos procesos de baja, percibiendo los trabajadores, durante los días que duren aquellos, únicamente el importe correspondiente a la prestación que abona la entidad gestora o en su caso la mutua.
3. El complemento de incapacidad temporal se extingue por la extinción de la relación laboral, siendo inherente a la vigencia del contrato.
Artículo 53. Seguro de Accidentes.
Las empresas vendrán obligadas a abonar a sus trabajadores/as las siguientes cantidades cuando, como consecuencia de un accidente de trabajo, sea declarado por la Autoridad Administrativa o sentencia firme de la Jurisdicción laboral con alguno de los grados de invalidez que más adelante se señalan:
– Invalidez total: 10.500€.
– Invalidez absoluta: 15.000€.
– Gran invalidez: 30.000€.
– Igualmente la empresa abonará a sus derecho habientes la cantidad de 24.000€ en el supuesto de muerte.
A tales efectos, la empresa podrá contratar la cobertura de este riesgo con una compañía aseguradora.
Artículo 54. Ropa de Trabajo.
Las empresas vendrán obligadas a proporcionar a su personal los uniformes, así como la ropa de trabajo que no sea de uso común en la vida ordinaria de sus empleados/as, o, en caso contrario a su compensación económica.
Se entregarán dos prendas de trabajo que como norma general tendrá una duración de un año. En el caso de que aún no habiendo llegado el momento de su reposición se produzca un manifiesto deterioro, se procederá a sustituirlas por las necesarias.
Igualmente, si llegado el momento de su entrega, por la calidad de la prenda, ésta se mantuviera en condiciones de uso, no se sustituirá hasta que se produzca su deterioro.
Capítulo IX. Conciliación, Igualdad y Acoso Laboral.
Artículo 55. Igualdad y Acoso Laboral.
Los firmantes del presente Convenio, con remisión expresa al ALEH vigente, a través de la Comisión sobre Políticas Sociales, se comprometen:
a) A desarrollar y garantizar la Igualdad de oportunidades entre hombres y mujeres, así como la no discriminación por cuestiones de raza, religión o cualquier otra condición.
b) A detectar las distintas formas de discriminación o desigualdad, formulando y desarrollando el correspondiente Plan de Igualdad para todo el sector.
c) En aras del principio fundamental de igualdad de trato, a cumplir los derechos fundamentales de respeto y dignidad de las personas y a crear y mantener unas relaciones de trabajo y un entorno laboral basados en el respeto mutuo donde se respete la dignidad y libertad sexual del conjunto de trabajadoras y trabajadores. Para ello se evitará todo tipo de intercambio verbal o de conducta de naturaleza sexual y cualquier tipo de discriminación, humillación o acoso.
Siguiendo con este compromiso, aquellas empresas con más de 50 trabajadores afectados por el presente convenio, deberán negociar, elaborar y aplicar un Plan de Igualdad según se recoge en el Capítulo III de la Ley de Igualdad 3/2007.
Del mismo modo, habrá que adecuar el procedimiento de elaboración, negociación y registro de los planes de igualdad en base al R.D. 901/2020 de 14 de octubre, en los términos y plazos previstos en el mismo.
Así mismo y siguiendo lo establecido en el apartado 2, del art. 46 de la Ley Orgánica 3/2007, de 22 de marzo, para la igualdad efectiva de mujeres y hombres los planes de Igualdad y serán negociados con la RLT para lo cual, la dirección de la empresa facilitará todos los datos e información necesaria para elaborar el diagnóstico en relación con las materias enumeradas en este apartado, así como los datos del Registro regulados en el artículo 28, apartado 2 del Estatuto de los Trabajadores.
Para las empresas que elaboren un plan de igualdad deberán tener una auditoría retributiva en base al R.D. 902/2020 de 14 de octubre, en los términos y plazos previstos en el mismo.
Los planes de igualdad contendrán medidas evaluables y un contenido mínimo según recoge el art. 46.2 de la Ley Orgánica 3/2007, de 22 de marzo, para la igualdad efectiva de mujeres y hombres con medidas específicas, entre otras, para prevenir el acoso sexual y por razón de género según lo establecido en el artículo 48 de dicha Ley, el cual se transcribe literalmente.
Las empresas negociarán y aplicarán un Plan de Igualdad en materia de integración de las personas LGTBIQ+, conforme a la normativa vigente.
Artículo 56. Suspensión del contrato por nacimiento y cuidado de menor.
Sin perjuicio de la legislación vigente, el nacimiento, que comprende el parto y el cuidado de menor de doce meses, suspenderá el contrato de trabajo de la madre biológica durante 16 semanas, de las cuales serán obligatorias las seis semanas ininterrumpidas inmediatamente posteriores al parto, que habrán de disfrutarse a jornada completa, para asegurar la protección de la salud de la madre.
El nacimiento suspenderá el contrato de trabajo del progenitor distinto de la madre biológica durante 16 semanas, de las cuales serán obligatorias las seis semanas ininterrumpidas inmediatamente posteriores al parto, que habrán de disfrutarse a jornada completa, para el cumplimiento de los deberes de cuidado previstos en el artículo 68 del Código Civil.
Capítulo X. Salud Laboral.
Artículo 57. Protección y vigilancia de la salud.
1. Suspensión del Contrato por Riesgo durante el embarazo y la lactancia. En el supuesto de riesgo durante el embarazo, en los términos previstos en el artículo 26 de la LPRL, la suspensión del contrato finalizará el día en que se inicie la suspensión del contrato por maternidad o cuando desaparezca la imposibilidad de la trabajadora de reincorporarse a su puesto anterior o a otro compatible con su estado.
En los mismos términos podrá declararse el pase de la trabajadora afectada a la situación de suspensión del contrato si existe riesgo durante la lactancia natural de hijos menores de nueves meses y hasta la fecha en que el menor cumpla la edad de 9 meses. Incluyendo la ampliación del derecho contemplada en el Real Decreto ley 6/2019, de 1 de marzo, de medidas urgentes para garantía de igualdad de trato y de oportunidades entre mujeres y hombres en el empleo y la ocupación, que modifica el art. 48 del Estatuto de los Trabajadores, así como incluye su aplicación paulatina conforme a la disposición transitoria decimotercera del Estatuto de los Trabajadores.
2. Reconocimiento médico. Todas las personas trabajadoras del sector tienen derecho a un reconocimiento médico anual, voluntario, con cargo a la empresa, adecuado para prevenir y comprobar su estado de salud. Los resultados del reconocimiento serán comunicados al trabajador por escrito. El tiempo empleado en su práctica será a cargo de la jornada laboral y no podrá suponer gasto alguno para el empleado por desplazamiento.
El/la trabajador/a está obligado especialmente a comunicar a la empresa cualquier incidencia que pueda suponer el padecer una enfermedad de transmisión alimentaria o que esté afectada entre otras patologías, de infecciones cutáneas o diarrea, que puedan causar la contaminación directa o indirecta de los alimentos con microorganismos patógenos, para lo cual, deberá informar sobre la enfermedad o sus síntomas al responsable del establecimiento, con la finalidad de valorar conjuntamente la necesidad de someterse a examen médico y, en caso necesario, su exclusión de la manipulación de productos alimenticios.
3. Protección de trabajadores/as especialmente sensibles. El empresario garantizará de manera específica la protección de los trabajadores que, por sus propias características personales o estado biológico conocido, incluidos aquellos que tengan reconocida la situación de discapacidad física, psíquica o sensorial, sean especialmente sensibles a los riesgos derivados del trabajo. A tal fin, deberá tener en cuenta dichos aspectos en las evaluaciones de los riesgos y, en función de éstas, adoptará las medidas preventivas y de protección necesarias.
Artículo 58. Delegados/as de Prevención.
Son los delegados/as de los trabajadores/as con funciones específicas en materia de prevención de riesgos laborales en el trabajo. Los delegados de prevención serán designados por y entre los representantes del personal, en el ámbito de los órganos de representación previstos en las normas a que se refiere el artículo 34 de la Ley, que regula los derechos de participación y de representación.
En las empresas de hasta treinta trabajadores/as el/a Delegado/a de prevención será el/a Delegado/a de personal. En cuanto al número de Delegados de prevención, su designación se realizará de acuerdo con la escala establecida en la Ley 31/1995. Mediante acuerdos a que se refiere el artículo 83, apartado 3, del Estatuto de los Trabajadores podrá acordarse que las competencias reconocidas en esta Ley a los Delegados de Prevención sean ejercidas por órganos específicos creados en el propio convenio o en los acuerdos citados.
Se procederá a la elección de los delegados para todo el sector, los cuales dispondrán de un crédito de treinta horas sindicales para poder realizar todas las funciones propias referentes a la materia de Prevención de Riesgos Laborales y a trabajar de forma coordinada con todos los delegados de Prevención de todas las empresas que componen el sector.
Si el/a Delegado/a de Prevención coincidiera en la misma empresa con un/a miembro de una comisión ejecutiva con derecho al disfrute de las sesenta horas que se recogen en este convenio perderá el derecho a las treinta horas recogidas en el párrafo anterior.
Artículo 58.bis. Delegado de Medio Ambiente.
El Delegado de Medio Ambiente es una figura de nueva creación unido al Delegado de Prevención de riesgos y el servicio que este presta, que contara con los medios humanos y materiales puestos a su disposición para realizar las actividades previstas en la actividad que desarrollara en el marco de las empresas donde esté presente.
El Delegado de Medio Ambiente cumplirá las funciones de vigilancia, control y tendrá información de los planes que las empresas en materia de medio ambiente y legislación vigente en materia medio ambiental y la seguridad de los trabajadores/as en sus puestos de trabajo con las funciones siguientes:
1. Diseño y aplicación de planes de medio ambientales en materia de seguridad y formación para trabajadores/as.
2. Elaboración y determinación de planes para evaluar riesgos medio ambientales que puedan afectar a la manipulación de sustancias contaminantes y emisión de materia nociva.
3. Información a los trabajadores/as referente a la seguridad medio ambiental de los puestos de trabajo.
4. Colaboración con las empresas para la creación de espacios seguros en los lugares de trabajo con la intervención, si fuese preciso, en la prestación de servicios y planes de emergencia.
5. La vigilancia de la salud de los trabajadores/as en relación con los riesgos medio ambientales y contaminantes que se deriven del trabajo que se realiza.
6. Aplicación de la ley vigente, su vigilancia y adecuación a los puestos de trabajo y medios necesarios para que se creen puestos de trabajo seguros en materia medio ambiental, contaminación y manipulación d productos químicos y derivados.
Capítulo XI. Régimen Disciplinario Laboral.
Artículo 59. Régimen Disciplinario.
Se estará íntegramente a lo dispuesto en el ALEH vigente.
Capítulo XII. Derechos Sindicales.
Artículo 60. Derechos de las Secciones Sindicales.
Se aplicará íntegramente lo prescrito en la Ley Orgánica de Libertad Sindical 11/1985 de 2 de agosto.
Artículo 61. Derecho de Reunión.
Los/as Trabajadores/as de una misma empresa o centro de trabajo tienen derecho a reunirse en asamblea. La asamblea podrá ser convocada por los Delegados de personal, Comité o de centro de trabajo, o por un número de trabajadores/as no inferior al 30% de la plantilla.
La asamblea será presidida, en todo caso, por el Comité de empresa o por los delegados/as de personal, mancomunadamente, que serán responsables del normal desarrollo de la misma, así como de la presencia en la asamblea de personas no pertenecientes a la empresa.
Solo podrán tratarse en ella asuntos pertenecientes a la empresa que figuren previamente incluidos en el orden del día.
La presidencia comunicará al/a empresario la convocatoria y los nombres de las personas no pertenecientes a la empresa que vayan a asistir para evitar perjuicios en la actividad normal de la empresa.
Cuando por trabajarse en turnos, por insuficiencia de los locales, o por cualquier otra circunstancia, no pueda reunirse simultáneamente toda la plantilla, sin perjuicio o alteración en el normal desarrollo de la producción, las diversas reuniones parciales que hayan de celebrarse se considerarán como una sola fechada en el día de la primera.
Artículo 62. Lugar de reunión.
1. El lugar de reunión será en el centro de trabajo, si las condiciones del mismo lo permiten, y la misma tendrá lugar fuera de las horas de trabajo, salvo acuerdo con la empresa.
2. La empresa deberá facilitar el centro de trabajo para la celebración de la asamblea, salvo en los siguientes casos.
a) Si no se cumplen las disposiciones de esta Ley.
b) Si hubiesen transcurrido menos de dos meses desde la última reunión celebrada.
c) Si aún no se hubiesen resarcido o afianzado el resarcimiento por los daños producidos en alteraciones ocurridas en alguna reunión anterior.
d) Cierre legal de la empresa. Las reuniones informativas sobre Convenios Colectivos que le sean de aplicación, no estarán afectadas por el apartado b).
Artículo 63. Información.
El comité dispondrá de un tablón de anuncios y un local dentro de la empresa para reunirse si la empresa dispusiera del referido local. Las reuniones promovidas por la empresa se excluirán del conjunto de las horas que legalmente se estipulen para el Comité de Empresa o sección sindical.
Artículo 64. Horas Sindicales.
Los/as delegados/as de personal y miembros del Comité de empresa gozarán de treinta horas mensuales para el desarrollo de su labor. Si son miembros de Comisiones Ejecutivas de los sindicatos, dispondrán de sesenta horas mensuales. Los miembros de una comisión ejecutiva, con independencia de ser o no delegados de personal, gozarán de sesenta horas mensuales para el desarrollo de sus funciones. Este beneficio sólo se aplicará a una única persona por cada uno de los sindicatos firmantes de este convenio. Dicho miembro será determinado por cada sindicato y éste lo comunicará a la Comisión Paritaria. Caso de que coincidieran en una misma empresa dos o más miembros de comisión ejecutiva, solo podrán hacer uso de dichas horas, uno por sindicato.
Artículo 65. Acumulación de Horas.
Se establece la acumulación de horas sindicales en los siguientes términos:
a) Podrá acumularse un máximo del 60 por ciento de las horas a cada representante a excepción del período de vacaciones.
b) Dicha Acumulación no puede recaer en más de dos trabajadores/as por centro de trabajo.
c) Los nombres de los beneficiarios de esa acumulación, así como los que ceden las horas, deberán se comunicados a la Dirección en el mes inmediatamente anterior.
Artículo 66. Descuentos en nómina de la Cuota Sindical.
En aquellas empresas afectadas por el presente convenio cuya plantilla sea igual o superior a seis trabajadores/as, se procederá al descuento en nómina de la cuota sindical cuando así lo solicite por escrito el/a trabajador/a en el que se hará constar la cuantía de la cuota y la central sindical a la que corresponda el ingreso.
Artículo 67. Derechos de las Secciones Sindicales.
Los sindicatos que dispongan de afiliados podrán constituir secciones sindicales en el seno de las mismas. Siempre que éste cuente con al menos cincuenta trabajadores/as dispondrá de un tablón de anuncios dentro de la empresa cada sección sindical constituida, designando un/a representante y comunicándolo a la empresa. En empresas a partir de cincuenta trabajadores/as, el/a delegado de la Sección Sindical de las centrales sindicales firmantes de este convenio, tendrán los derechos y garantías que los miembros del comité de empresa.
Artículo 68. Derecho a la información en relación a la externalización de servicios.
Sin perjuicio de la información sobre previsiones en materia de subcontratación a la que se refiere el artículo 64 ET, cuando el empresario concierte un contrato de prestación de servicios con una empresa contratista o subcontratista deberá informar a la representación legal de sus trabajadores y a la Comisión Paritaria sobre los siguientes extremos:
a) Nombre o razón social, domicilio y número de identificación fiscal de la empresa contratista o subcontratista.
b) Objeto y duración de la contrata.
c) Lugar de ejecución de la contrata.
d) En su caso, número de trabajadores que serán ocupados por la contrata o subcontrata en el centro de trabajo de la empresa principal.
e) Medidas previstas para la coordinación de actividades desde el punto de vista de la prevención de riesgos laborales.
f) Cláusula de obligación de la contratista o subcontratista de aplicación de las condiciones del presente convenio cuando se trate personal que realice los servicios o funciones propias del sector, descritas en el ALEH.
La empresa deberá informar a la representación legal de los trabajadores de la celebración de la contrata o subcontrata con suficiente antelación respecto del inicio de la ejecución de la contrata y siempre con, al menos, un plazo de siete días.
DISPOSICIÓN ADICIONAL.
Primera. Las partes se comprometen, dentro del primer año de vigencia de este convenio, a la constitución de un Observatorio Sectorial para la Hostelería de la Provincia de Jaén que podrá tener, entre otras, las siguientes funciones:
– Creación de la Mesa Sectorial de Trabajo para la Hostelería compuesta por los agentes sociales como elemento propositivo al conjunto del sector de medidas que promuevan un turismo sostenible, viable y no estacional.
– La modernización, propuesta de profesionalización e impulsos de proyectos que permitan un mejor servicio así como el mantenimiento y creación de empresas y de empleo de calidad.
Segunda. Artículo 51- Bis: Dotación Fondo Salarial.
Las empresas podrán crear un fondo salarial. Este fondo no es obligatorio, pero podrá ser creado o eliminado por la empresa.
La dotación y la cuantía aportar por cada empresa será en base al cálculo realizado para poder responder a responsabilidades futras a los trabajadores por insolvencias, quebrantos, litigios en curso, indemnizaciones. Este fondo podrá crearse de forma nominativa e individualizado por cada trabajador.
El fondo no podrá ser superior al importe del 100% de la cuantía que suponga los derechos adquiridos por cada uno de los trabajadores.
Una vez recibida la consulta vinculante por parte de la AEAT se añadirá al texto del convenio.
Tercera. Las referencias establecidas en este Convenio en cuanto al concepto «días» se entenderán como naturales cuando así se refleje en el articulado y laborables en caso contrario.
TABLAS SALARIALES
Jaén, 7 de agosto de 2024.- El Jefe del Servicio de Administración Laboral, MANUEL JESÚS COLMENERO LÓPEZ.
REVISIÓN SALARIAL Y ANEXOS (BOP Número 203 – Miércoles, 16 de octubre de 2024)
Acta de la Comisión Negociadora del Convenio colectivo de Hostelería de la provincia de Jaén, por la que se acuerda la publicación de los Anexos I a VII del citado Convenio.
Código Convenio: 23000425011983.
Vista el Acta de la Comisión Negociadora del Convenio colectivo para la Hostelería de la Provincia de Jaén de fecha 05/09/2024, con entrada el día 10/10/2024 en el registro de Convenios colectivos, Acuerdos colectivos de trabajo y Planes de igualdad de esta Autoridad Laboral con funcionamiento mediante procedimientos electrónicos, por medio de la cual se acuerda la publicación de los Anexos I al VII del citado Convenio, y de conformidad con lo establecido en el artículo 90 apartados 2 y 3 del Real Decreto Legislativo 2/2015, de 23 de octubre, por el que se aprueba el Texto Refundido de la Ley del Estatuto de los Trabajadores, Real Decreto 713/2010, de 28 de mayo, sobre registro y depósito de convenios colectivos, acuerdos colectivos de trabajo y planes de igualdad; sobre la base de las competencias atribuidas a esta Delegación Territorial por el Real Decreto 4043/82, de 29 de diciembre, sobre Traspaso de Funciones y Servicios de la Administración del Estado a la Junta de Andalucía en materia de Trabajo, Decreto del Presidente 10/2022, de 25 de julio, sobre reestructuración de Consejerías (BOJA extraordinario núm. 25, de 26 de julio), modificado por Decreto del Presidente 13/2022, de 8 de agosto (BOJA extraordinario número 27, de 08 de agosto), en relación con el Decreto 155/2022, de 9 de agosto, por el que se regula la estructura orgánica de la Consejería de Empleo, Empresa y Trabajo Autónomo (BOJA extraordinario número 28, de 11 de agosto), y Decreto 300/2022, de 30 de agosto, por el que se modifica el Decreto 226/2020, de 29 de diciembre, por el que se regula la organización territorial provincial de la Administración de la Junta de Andalucía (BOJA extraordinario número 29, de 30 de agosto), esta delegación territorial, acuerda:
Primero. Ordenar su inscripción en el Registro de Convenios colectivos, Acuerdos colectivos de trabajo y Planes de Igualdad de este Centro Directivo, con funcionamiento mediante procedimientos electrónicos, con notificación a la Comisión Negociadora.
Segundo. Disponer su publicación en el BOLETÍN OFICIAL de la Provincia.
Jaén, 11 de octubre de 2024.
La Delegada Territorial, Ana Belén Mata Soria.
ACTA DE REUNIÓN DE LA MESA DE NEGOCIACIÓN DEL CONVENIO PARA LA HOSTELERÍA DE LA PROVINCIA DE JAÉN.
Acuerdo derivado de su convenio.
Presidente.
Manuel Jesús Colmenero López.
En representación de los/as Trabajadores/as.
Juan Carlos Sánchez Molero (CCOO).
José Antonio Frejo Bolado (CCOO).
Javier Fernando Lacarra Rodríguez (UGT).
Teresa del Arco Cruz (UGT).
Jesús Dueñas Ortega (UGT).
En representación de los/las Empresarios/as.
Ramón Calatayud Lerma (Hosturjaén).
Esperanza Macarena Calatayud Chamorro (Hosturjaén).
Luis Carlos Martínez Torrero (Turjaén).
En la ciudad de Jaén, siendo las 9.00 del día 5 de septiembre de 2024, se reúnen las personas relacionadas anteriormente en las dependencias de la Delegación de Empleo de Jaén con el siguiente:
Orden del día:
– Acuerdo derivado de su Convenio.
A estos, efectos las partes acuerdan publicar los Anexos (I al VII) al Convenio Provincial de Hostelería para la provincia de Jaén, publicado en el BOP del día 12 de agosto de 2024, una vez firmadas por las partes que componen la Mesa Negociadora.
– Anexo I y II: Tablas salariales 2024.
– Anexo III: Tablas salariales 2025.
– Anexo IV: Comunicación acuerdo descanso semanal.
– Anexo V: Acreditación de la finalización de la relación laboral.
– Anexo VI: Comunicación de contratación por enfermedad común o accidente no laboral.
– Anexo VII: Tablas de asignación de nivel a cada categoría.
Asimismo se faculta a Manuel Cruz Liébanas con DNI ***9220** para tramitar la presentación de los Anexos del Convenio ante la autoridad laboral competente, para su inscripción en el Registro de Convenios Colectivos, así como el depósito y publicación en el BOLETÍN OFICIAL de la Provincia de Jaén.
Siendo las 11:00 horas, no habiendo más asuntos que tratar, se levanta la reunión, aprobándose la presente acta.
Jaén, 13 de octubre de 2024.- El Jefe del Servicio de Administración Laboral, MANUEL JESÚS COLMENERO LÓPEZ.
