CONVENIO COLECTIVO (BOP Nº 192 – Viernes, 04 de Octubre de 2024)
Código de Convenio: 14000355011982.
Visto el Texto del Convenio Colectivo para el Sector de Hostelería de la Provincia de Córdoba (2024-26), suscrito el día 16 de septiembre de 2024, y de conformidad con lo dispuesto en el artículo 90, apartados 2 y 3, de la Ley del Estatuto de los Trabajadores, texto refundido aprobado por Real Decreto Legislativo 2/2015, de 23 de octubre, y en el Real Decreto 713/2010, de 28 de mayo, sobre registro y depósito de convenios y acuerdos colectivos de trabajo, modificado por el Real Decreto 901/2020, de 13 de octubre, por el que se regulan los planes de igualdad y su registro y se modifica el Real Decreto 713/2010, de 28 de mayo, sobre registro y depósito de convenios y acuerdos colectivos de trabajo, esta Autoridad Laboral, sobre la base de las competencias atribuidas en el Real Decreto 4043/1982, de 29 de diciembre, sobre Traspaso de Funciones y Servicios de la Administración del Estado a la Junta de Andalucía en materia de trabajo, la Ley 9/2007, de 22 de octubre, de la Administración de la Junta de Andalucía (BOJA nº 215 de 31 de octubre), el Decreto 226/2020, de 29 de diciembre, por el que se regula la Organización Territorial Provincial de la Administración de la Junta de Andalucía (BOJA Ext. nº 90, de 30 de diciembre), modificado por el Decreto 300/2022, de 30 de agosto (BOJA Ext. nº 29, de 30 de agosto), el artículo 5 del Decreto del Presidente 10/2022, de 25 de julio, sobre Reestructuración de Consejerías, en relación con el artículo 11 del Decreto del Presidente 6/2024, de 29 de julio, sobre Reestructuración de Consejerías, y el Decreto 155/2022, de 9 agosto, por el que se regula la Estructura Orgánica de la Consejería de Empleo, Empresa y Trabajo Autónomo (BOJA Ext. nº 28, de 11 de agosto),
A C U E R D A
PRIMERO. Ordenar su inscripción en el Registro de Convenios y Acuerdos Colectivos de trabajo, y Planes de Igualdad con funcionamiento a través de medios electrónicos de este Centro Directivo, con notificación a la Comisión Negociadora del Convenio.
SEGUNDO. Disponer su publicación en el Boletín Oficial de la Provincia.
Córdoba, 26 de septiembre de 2024.- La Delegada Territorial de Empleo, Empresa y Trabajo Autónomo en Córdoba, María Dolores Gálvez Páez.
CONVENIO COLECTIVO PARA EL SECTOR DE HOSTELERIA DE LA PROVINCIA DE CORDOBA 2024 – 2026.
CAPÍTULO I NORMAS GENERALES.
ARTÍCULO 1.- ÁMBITO TERRITORIAL.
El presente Convenio será de aplicación en todo el territorio de la provincia de Córdoba, sea cual fuere el domicilio social de la empresa.
ARTÍCULO 2.- ÁMBITO FUNCIONAL.
Se regirán por el presente Convenio Colectivo las empresas, establecimientos, instalaciones y empresarios cuya actividad, tanto de manera permanente como ocasional, total o parcialmente esté o pueda estar afectada por el ámbito funcional del Acuerdo Laboral Estatal de Hostelería. Se incluyen en este ámbito clubes sociales y deportivos, como en anteriores convenios. Si no hubiere impedimento legal, también se incluyen las viviendas comercializadas con fines turísticos y apartamentos que presten algún servicio hostelero.
ARTÍCULO 3.- ÁMBITO PERSONAL.
Este convenio colectivo regula las relaciones laborales entre las empresas y la totalidad de los trabajadores que prestan sus servicios en las actividades citadas en el artículo 2.
A las actividades desarrolladas por el personal de los departamentos de pisos, restaurante, bar, cocina y recepción, cualquiera que sea la empresa para la que presten sus servicios, les serán de aplicación las condiciones previstas en el presente convenio colectivo.
Las empresas hosteleras que contraten o subcontraten con otras los servicios de los departamentos de pisos, restaurante bar, cocina y recepción, incluirán en el contrato que lo sustente la obligación del contratista de respetar las condiciones del presente convenio. En caso de no hacerlo, si no se aplicara el convenio, recaerá sobre la empresa principal la responsabilidad solidaria de las diferencias salariales.
Aquellas empresas que tuviesen externalizado los servicios relacionados en los párrafos anteriores y aplicaran otro convenio colectivo, tendrán que adaptar las condiciones de los trabajadores al presente convenio.
ARTÍCULO 4.- ÁMBITO TEMPORAL.
El presente convenio tendrá vigencia desde el 01 de enero de 2024 hasta el 31 de diciembre de 2026.
ARTÍCULO 5.- DENUNCIA, PRÓRROGA Y ULTRAACTIVIDAD.
Llegado a su vencimiento, el presente convenio se prorrogará de año en año, salvo que fuese denunciado expresamente por cualquiera de las partes legitimadas legalmente para ello.
La denuncia se podrá producir con, al menos, dos meses de antelación al final de su vigencia o de cualquiera de sus prórrogas, de forma expresa por cualquiera de las partes legitimadas para la negociación del mismo, dirigiéndose por escrito al resto de partes negociadoras y procediéndose a su inscripción en el registro de Convenios Colectivos de la autoridad laboral.
Denunciado el convenio colectivo, permanecerá vigente el presente, tanto en sus cláusulas normativas como en las obligacionales hasta tanto se acuerde un nuevo convenio colectivo.
ARTÍCULO 6.- CONDICIONES MÁS BENEFICIOSAS.
Las empresas vienen obligadas a respetar las condiciones particulares que, con carácter global y en cómputo anual, excedan de las condiciones pactadas en el presente convenio, manteniéndose estrictamente «Ad personam».
Todas las condiciones, tanto económicas como de trabajo, establecidas en el presente convenio, tienen la consideración de mínimas siendo por lo tanto nulos los acuerdos que impliquen situaciones más perjudiciales para los trabajadores afectados por el mismo.
ARTÍCULO 7. – COMPENSACIÓN Y ABSORCIÓN.
Las mejoras, por encima de las mínimas vigentes en este convenio, que se vengan aplicando por las empresas, serán compensables y absorbibles con las que hayan de abonarse según lo pactado en el presente convenio, atendiendo al principio de homogeneidad de las mismas, (salario base, complementos personales, complementos de puesto de trabajo y complementos por cantidad o calidad del trabajo). Las mejoras, adquiridas en subrogación, con independencia de su naturaleza y denominación, que a la firma del presente convenio, se viniesen percibiendo durante más de 2 años, se consolidarán en el valor que las mismas tenían.
Cualquier incremento salarial que se haya abonado hasta la publicación del convenio, a cuenta de la subida del mismo, será compensado o absorbido, según el caso, para adecuarse a los valores finalmente pactados.
Se garantiza «Ad personam» que el trabajador al aplicarse las modificaciones económicas de este convenio, en conjunto, y en computo mensual, no recibirá menos de lo que hubiera percibido por todos los conceptos, excepción hecha de lo percibido por porcentaje de servicio, en el mes de que se trate.
ARTÍCULO 8.- VINCULACIÓN A LA TOTALIDAD.
Las condiciones pactadas en este convenio colectivo configuran un todo orgánico e indivisible. En el supuesto de que la jurisdicción competente declarase nulo alguno de sus artículos las partes se comprometen a actuar según los siguientes compromisos:
i) La comisión negociadora de este convenio colectivo deberá reunirse dentro de los diez días siguientes al de la firmeza de la resolución correspondiente al objeto de resolver el problema planteado. Dispondrá de un periodo de seis meses para intentar negociar una redacción alternativa a la anulada por la resolución judicial.
ii) Transcurrido dicho periodo sin acuerdo sobre la nueva redacción a dar al artículo anulado, la discrepancia se someterá a la mediación del SERCLA.
iii) De persistir el desacuerdo, las partes acuerdan asumir el laudo que se emitiera en sede de arbitraje.
ARTÍCULO 9.- LEGISLACIÓN SUPLETORIA.
En lo no previsto en este Convenio, será de aplicación el ALEH vigente en cada momento y, con carácter supletorio, lo dispuesto en la legislación laboral y demás disposiciones complementarias y concordantes.
ARTÍCULO 10.- INAPLICACIÓN DEL CONVENIO.
En el caso de que una empresa pueda ver dañada su estabilidad económica a consecuencia de la aplicación del presente convenio, podrá procederse a su inaplicación en los aspectos que marca el artículo 82.3 del ET, siempre que concurran causas económicas, técnicas y organizativas o de producción debidamente justificadas y siguiendo el procedimiento regulado en el presente artículo.
La empresa que pretenda iniciar un proceso de inaplicación de convenio deberá informar a la Comisión Mixta Paritaria sobre la intención de inaplicación en los mismos términos y plazos que a la Representación Legal de los Trabajadores de la empresa o a la plantilla si no existiera aquella.
El acuerdo de inaplicación, de existir, deberá contener la forma y plazos de recuperación de los derechos afectados de los trabajadores y trabajadoras, en caso de desaparición o superación de las causas que motivaron el proceso de inaplicación.
Del acuerdo de inaplicación se dará traslado a efectos informativos a la Comisión Mixta Paritaria.
Cuando no se hubiera alcanzado acuerdo, las partes deberán recurrir al Servicio Extrajudicial de Resolución de Conflictos Laborales en Andalucía (SERCLA).
Si el periodo de consultas finaliza sin acuerdo y los procedimientos a que se refieren los párrafos anteriores no hubieran solucionado la discrepancia, cualquiera de las partes podrá someter la misma al Consejo Andaluz de Relaciones Laborales, de acuerdo con lo establecido en la disposición adicional única del Decreto 69/2013, de 2 de julio, por el que se modifica el Decreto 149/2012, de 5 de junio.
ARTÍCULO 11.- COMISIÓN MIXTA PARITARIA.
Queda constituida una Comisión Mixta Paritaria para el control, la interpretación, estudio y vigilancia del presente Convenio Colectivo de Hostelería.
Estará compuesta por 4 miembros, 2 personas de la representación social y 2 de la representación empresarial.
Las partes podrán nombrar y utilizar los servicios permanentes u ocasionales de asesores/as que tendrán voz, pero no voto.
Será presidida trimestralmente de forma alternativa por los representantes de los trabajadores, el primer trimestre, y de los empresarios, en el segundo, y así sucesivamente.
Para el ejercicio de sus funciones, la Comisión paritaria se reunirá siempre que sea requerida su intervención por cualquiera de las organizaciones firmantes, o por las asociaciones o sindicatos integrados en las mismas, previa comunicación escrita al efecto indicando los puntos a tratar en el orden del día.
.
Las reuniones de la Comisión paritaria se celebrarán dentro del término que las circunstancias aconsejen en función de la importancia del asunto, que en ningún caso excederá de los quince días siguientes a la recepción de la solicitud de intervención o reunión. Si transcurrido dicho plazo la Comisión no se hubiera reunido, se entenderá agotada la intervención de la misma, pudiendo el solicitante ejercitar las acciones que considere oportunas. Lo expuesto, sin perjuicio de otros plazos que estén establecidos legalmente o provengan de requerimientos legales.
Los acuerdos de la Comisión Paritaria se adoptarán en todos los casos por mayoría de cada parte y, aquellos que interpreten el presente Convenio, tendrán la misma eficacia que la norma que haya sido interpretada.
La comisión paritaria del Convenio será un órgano de interpretación, arbitraje, conciliación y vigilancia de su contenido.
Sus funciones serán las siguientes:
1. El conocimiento y resolución de las cuestiones derivadas de la aplicación e interpretación del presente Convenio Colectivo, así como la intervención con carácter previo al planteamiento formal de conflicto colectivo en el ámbito de los procedimientos no judiciales derivados de la aplicación e interpretación del Convenio o ante el órgano judicial competente. La vigilancia y el seguimiento del cumplimiento de lo pactado.
2. Tendrá control sobre contratos formativos.
3. Cuantas cuestiones de mutuo acuerdo le sean sometidas por las partes.
4. La creación de subcomisiones de trabajo que estime necesarias.
5. Conocer de las controversias colectivas, sirviendo de órgano de mediación-conciliación con carácter previo al ejercicio de acciones colectivas ante la jurisdicción social, fomentando la utilización de los procedimientos de mediación y arbitraje como vía de solución dialogada de los conflictos laborales.
6. La Comisión Mixta deberá recibir información sobre la intención de inaplicación del convenio en el mismo momento que se notifique a la autoridad laboral y del eventual acuerdo o prórroga.
7. La Comisión Paritaria se constituye, también, como órgano de discusión y seguimiento de las contratas de servicios efectuadas por los establecimientos de hospedaje y de las condiciones de trabajo de los trabajadores de las mismas en el sector de la hostelería, pudiendo encomendar trabajos y realizar estudios tendentes a que se cumpla el principio a igual trabajo igual salario y evite la utilización abusiva de la contratación temporal, la externalización y la subcontratación de obras y servicios.
8. Tendrá las competencias en relación a materias formativas que le reconoce el Capítulo V del presente convenio.
9. Cualquier otra competencia que le sea atribuida en este convenio colectivo.
Domicilios de la comisión. A efectos de notificaciones, solicitudes y convocatorias, queda fijado como domicilio de la Comisión paritaria cada una de las sedes de las organizaciones empresariales y sindicales firmantes de este Acuerdo, las cuales se indican a continuación:
HOSTECOR: C/ Menéndez Pelayo 7 bajo 2 (esquina calle Uceda) – 14008- Córdoba.
AEHCOR: Avda. Gran Capitán nº46-5º-4 – 14006 -Córdoba.
CC.OO: Avda. Gran Capitán nº12 – 14008 – Córdoba.
UGT: Avda. Agrupación Córdoba – 14007 – Córdoba.
Tanto las empresas como las representaciones unitarias o sindicales de los trabajadores y trabajadoras podrán dirigir comunicaciones y solicitudes a la Comisión paritaria siempre que lo hagan a través de alguna de las organizaciones firmantes de este Convenio.
A efectos de entender de las cuestiones atribuidas a la Comisión paritaria, la misma actuará como comisión única, compuesta por dos representantes de la parte empresarial y dos representantes de la parte sindical, los cuales serán designados, respectivamente, por las organizaciones firmantes, con la composición que seguidamente se detalla:
HOSTECOR: 1 REPRESENTANTE.
AEHCOR: 1 REPRESENTANTE.
UGT: 1 REPRESENTANTE.
CC.OO.: 1 REPRESENTANTE.
CAPÍTULO II CONTRATACIÓN.
ARTÍCULO 12.- REQUISITOS MÍNIMOS Y COMPROMISO PARA EL EMPLEO ESTABLE Y SU FOMENTO.
1.- Las partes firmantes del presente Convenio comparten que la defensa del empleo es una prioridad, por lo que se comprometen a trabajar con el fin de mantener la mayor estabilidad posible de los puestos de trabajo considerando que la mejor garantía para ello será tratar de mejorar la fortaleza y solidez de la empresa, manteniendo su nivel de competitividad, de modo que sean capaces de aportar valor de manera recurrente y de adaptarse permanentemente al entorno, en función de las exigencias del mercado en cada momento.
La contratación de los trabajadores afectados por el presente convenio será de conformidad con lo establecido en el presente convenio, el ALEH, el Estatuto de los Trabajadores y demás disposiciones legales en vigor.
2.- Se establece que en las empresas de 1 a 3 trabajadores, al menos uno deberá ostentar la condición de fijo o plantilla, en las empresas de 4 a 20 trabajadores al menos 30% deberán ostentar la condición de fijo o plantilla, en las empresas de 21 a 30 trabajadores al menos el 35% deberán ostentar la condición de fijo o plantilla, en las empresas entre 31 y 50 trabajadores al menos el 40% deberán ostentar la condición de fijo o plantilla, en las empresa de más de 50 trabajadores al menos el 50% deberán ostentar la condición de fijo o plantilla. Las fracciones desde 0,5 debería ser un trabajador más. Estos porcentajes de trabajadores fijos o de plantilla no se aplicarán en aquellas empresas de nueva creación durante el primer año de su funcionamiento.
3º.- Con el objetivo del mantenimiento del empleo, en los procesos de reestructuración que puedan acometerse en el ámbito de la empresa, se recomienda la utilización preferente de medidas de flexibilidad interna tales como la suspensión de contratos de trabajo y excedencias, la reducción de jornada, la movilidad funcional y geográfica y la modificación de condiciones de trabajo.
Para conseguir los objetivos enunciados en el párrafo anterior, el periodo de consulta para los procedimientos colectivos se establece en 15 días hábiles.
4º.- Las empresas procurarán, dentro de su autonomía organizativa, respetar los siguientes criterios de prioridad en la contratación:
a) A quienes hubieran desempeñado o desempeñasen funciones de carácter temporal en la empresa con cualquiera de las modalidades de contratación dentro de su grupo profesional por contratación directa o a través de empresa de trabajo temporal o de servicios externos.
b) Los que hubiesen participado en cursos de contratos programa de la Fundación tripartita para la formación en el empleo del sector de hostelería, los trabajadores vinculados o que hayan tenido alguna vinculación con la empresa, y los inscritos en el en la correspondiente oficina de empleo como trabajadores de la hostelería y los procedentes de centros de formación del sector de Hostelería, como Escuelas de turismo, escuelas de hostelería u otros.
ARTÍCULO 13.- CONTROL DE LA CONTRATACIÓN.
El Comité de Empresa o Delegados de Personal tendrá derecho a recibir copia básica del Contrato de trabajo u orden de servicio del personal que preste su servicio en la Empresa, tanto de esta como si lo es de empresa de trabajo temporal o empresa de servicios externos, así como de la documentación acreditativa de estar en dicha empresa y respecto de estos trabajadores/as al corriente de sus obligaciones salariales, conforme a las estipuladas en el presente convenio, y de Seguridad Social.
El trabajador recibirá una copia del contrato, debidamente diligenciado por la oficina de empleo, en el plazo de quince días desde la fecha de inicio de la relación laboral.
En el acto de la firma estará presente algún representante de los trabajadores en la empresa.
ARTÍCULO 14.- CONTRATACIÓN TEMPORAL.
En esta materia se estará a lo que en cada momento fije la legislación laboral Y el ALEH.
ARTÍCULO 15.- CONTRATO A TIEMPO PARCIAL.
En el contrato de trabajo deberá figurar la jornada de trabajo a realizar diaria y semanalmente, y su distribución. En el recibo de salario el porcentaje de ésta, sobre la jornada ordinaria establecida en este convenio.
Tendrán los mismos derechos que tengan establecidos los trabajadores con contrato a jornada completa, así como los pluses establecidos en el presente convenio.
Se establece que la jornada mínima bajo esta modalidad de contratación será de dos horas diarias. No se podrá partir una jornada inferior a 4 horas diarias.
Se podrán realizar horas complementarias en las condiciones establecidas legalmente, en un porcentaje máximo que en ningún caso podrá exceder del 55% de las horas contratadas.
Se amplía hasta el 30% el número de horas complementarias de carácter voluntario que podrán realizar los trabajadores con contratos indefinidos a tiempo parcial.
ARTÍCULO 16.- CONTRATO INDEFINIDO DE FIJOS-DISCONTINUOS.
Cuando se trate de realizar trabajos fijos y periódicos en la actividad de la empresa, pero de carácter discontinuo, los trabajadores/as contratados para tales trabajos tendrán la consideración de fijos de carácter discontinuo ya sean a tiempo completo o parcial.
Dentro de la garantía de ocupación se computan tanto el tiempo efectivo de servicios como los descansos computables como de trabajo, tales como vacaciones, fiestas, permisos y las suspensiones legales del contrato de trabajo.
Todos los trabajadores fijos de carácter discontinuo deberán ser llamados cada vez que vayan a llevarse a cabo las actividades para las que fueron contratados. Se establecen las siguientes condiciones de llamamiento:
1. La empresa deberá preavisar al trabajador con una antelación minima de quince días, previa a su incorporación al centro de trabajo.
2. No obstante, la empresa podrá retrasar el llamamiento hasta más allá de los quince días establecidos en el párrafo anterior, siempre y cuando lo comunique por escrito al trabajador antes de que transcurran los quince días desde la fecha habitual de llamamiento y con indicación de la fecha concreta en que se producirá la reincorporación al trabajo. El ejercicio por parte de la empresa de las facultades establecidas en los párrafos anteriores, en ningún caso supondrá merma ni perjuicio a la garantia de periodos mínimos de ocupación antes regulados.
3. Se presumirá no efectuado legalmente el llamamiento:
a) Una vez transcurridos treinta días naturales desde la fecha comunicada al SEPE de convocatoria sin que se haya producido el llamamiento ni la comunicación al trabajador..
b) Si llegada la fecha para la reincorporación, no se produjera ésta.
e) Cuando la empresa comunique fehacientemente la decisión de extinguir el contrato de trabajo.
En tales supuestos y a partir de las fechas en que deba producirse el llamamiento, o se comunicase la decisión extintiva, según los casos, el trabajador podrá reclamar en procedimiento por despido ante la jurisdicción competente.
La empresa entregará a la representación legal de los trabajadores una copia del llamamiento de los trabajadores fijos discontinuos remitido al Servicio Público de Empleo.
La fijación del periodo de vacaciones y festivos de los fijos discontinuos se regirá por lo establecido en el presente Convenio y, en caso de coincidencia del periodo de inactividad con el establecido en el calendario de vacaciones, estas se disfrutarán de común acuerdo entre la empresa y la representación de los trabajadores, y en su defecto, del trabajador/a, siempre respetando las necesidades de producción. Se podrán disfrutar las vacaciones con anticipación al devengo del derecho de las mismas, tanto de forma continuada, como fraccionada, en las condiciones establecidas en el convenio con carácter general. El periodo de vacaciones y fiestas laborales no previsto, total o parcialmente durante el periodo de ocupación, pasará a disfrutarse coincidiendo con el último tramo temporal del llamamiento.
Tendrán preferencia para ocupar puestos de trabajo a tiempo completo o a ampliar jornada, de forma temporal o indefinida, quienes estén trabajando como fijos discontinuos en la misma función profesional en el mismo centro de trabajo . Así mismo, los trabajadores a tiempo parcial podrán novar de común acuerdo con la empresa la prestación de sus servicios a tiempo completo.
No será de aplicación el presente artículo a los casos de trabajadores contratados por interinidad para cubrir vacantes con reserva de puesto de trabajo.
ARTÍCULO 17.- CONTRATOS FORMATIVOS.
Para este tipo de contratos será de aplicación lo dispuesto en el ALEH vigente en cada momento.
No podrán realizar trabajo a turnos ni trabajar en horario nocturno.
Los contratos formativos serán retribuidos en función de la categoría profesional para la que se formaliza el contrato, con el porcentaje de trabajo efectivo que corresponda legalmente en cada momento.
Respecto al número de trabajadores con contratos de formación en alternancia en las empresas se estará a lo señalado en la siguiente escala, en función del número de trabajadores del centro de trabajo:
· Desde 1 hasta 5 trabajadores: 1 contrato.
· Desde 6 hasta 10 trabajadores: 2 contratos.
· Desde 11 hasta 25 trabajadores: 3 contratos.
· Desde 26 hasta 40 trabajadores: 4 contratos.
· Desde 41 hasta 50 trabajadores: 5 contratos.
· Desde 51 en adelante: 8 contratos.
El número de trabajadores por centro de trabajo no incluirá para su determinación a los vinculados a la empresa por contrato en formación.
ARTÍCULO 18.- CONTRATACIÓN DE PERSONAL CON DISCAPACIDAD.
Las empresas que empleen a un número de 50 o más trabajadores/as, vendrán obligadas a que, de entre ellos, el 2% sean trabajadores/as con discapacidad. El cómputo mencionado anteriormente se realizará sobre la plantilla total de la empresa correspondiente, cualquiera que sea el número de centros de trabajo de aquella y cualquiera que sea la forma de contratación laboral que vincule a los trabajadores y trabajadoras de la empresa.
Son objetivos, promover el empleo y lograr la mayor integración de las personas con discapacidad con especiales dificultades para acceder al mercado de trabajo.
Se entenderá cumplido el requisito de contratación de persona con discapacidad tanto si se realiza de forma directa por la empresa como aplicando las medidas alternativas reguladas en la legislación vigente.
ARTÍCULO 19. – NOMINA, CESE Y FINIQUITO.
a) Las nóminas mensuales y pagas extraordinarias se abonarán nunca más tarde de 5º día posterior a la finalización del mes de que se trate o de la fecha prevista para el abono de las pagas extraordinarias.
b) Una copia del recibo de liquidación y finiquito se entregará al trabajador con tres días hábiles de antelación de la fecha de terminación de su contrato, al objeto de que pueda proceder a la comprobación del mismo.
e) Todos los finiquitos que se suscriban con ocasión del cese de un trabajador se harán por escrito, ante la presencia de un representante de los trabajadores de la empresa o del centro de trabajo, salvo renuncia expresa del trabajador.
d) Por lo que se refiere a los trabajadores fijos de carácter discontinuo, la liquidación al finalizar su período anual deberá hacerse en el último recibo de salarios que perciba; esto no supondrá en ningún caso la desvinculación laboral y económica con la empresa.
e) De no ajustarse a lo regulado en el presente artículo, no tendrá carácter liberatorio.
ARTÍCULO 20. – CIERRE POR REFORMA.
Llegado este caso de que algún establecimiento haya de cerrar por reforma, será preceptivo y previo que al trabajador/a le quede garantizado por el tiempo que dure el cierre, la percepción de las cantidades que para este supuesto establece la ley. El periodo de cierre por reforma no afectará a las partes proporcionales de las pagas extras establecidas por el presente convenio. Finalizada la misma, se integrará a su puesto de trabajo en las mismas condiciones en que estuviera antes del cierre considerándole a efectos de antigüedad dichos periodos. Todo ello sin perjuicio de estar a la legislación vigente en esta materia
ARTÍCULO 21.- PERIODO DE PRUEBA Y DE PREAVISO.
El periodo de prueba se regirá por el Capítulo V del ALEH.
Se establece un periodo de preaviso para la extinción de la relación laboral de 20 días tanto por parte del trabajador que pretenda rescindir unilateralmente su contrato como por parte empresarial, salvo cuando tal extinción obedezca a sanción disciplinaria o despido.
CAPÍTULO III TIEMPO DE TRABAJO.
ARTÍCULO 22. – JORNADA DE TRABAJO.
La jornada de trabajo se establece en 40 horas semanales.
Los contratos a tiempo parcial vigentes a la publicación del presente convenio conservarán el porcentaje de jornada que tuviesen con anterioridad hasta la extinción del mismo.
La distribución de la jornada se efectuará de común acuerdo entre empresa y los representantes legales de los trabajadores o con los trabajadores/as en su defecto.
El calendario anual se expondrá en el tablón o en sitio visible, recogiendo horario de trabajo diario, vacaciones, entradas y salidas, descanso. Todo esto será supervisado por la empresa y representantes legales de los trabajadores o trabajadores en su defecto.
Entre la terminación de una jornada y el comienzo de la siguiente deben transcurrir 12 horas como mínimo, computándose a todos los efectos las trabajadas en jornada normal, extraordinaria, irregulares o complementarias.
La jornada se podrá partir una única vez y observar como mínimo una interrupción de dos horas.
ARTÍCULO 23.- JORNADA IRREGULAR.
Las empresas tendrán la posibilidad de flexibilizar la jornada laboral durante ocho semanas en cada año (un máximo de 30 días de trabajo efectivo), manteniendo como jornada máxima diaria 10 horas, y como jornada máxima semanal 50 horas.
Las empresas lo comunicarán con un preaviso escrito, al trabajador y a los representantes legales de este con una antelación mínima de 6 días a la fecha de la modificación, haciendo constar en el mismo preaviso la fecha en que se recuperara el exceso de jornada.
La distribución irregular de la jornada, cuando se aplique, solo podrá ser realizada por el personal a tiempo completo, debiendo respetarse en todo caso los periodos mínimos de descanso diario y semanal, así como la duración máxima y mínima prevista en este artículo.
Para el caso de los fijos discontinuos, el número de días con jornada flexible que podrán realizar irá en proporción al tiempo que están en activo.
En cuanto a la compensación del exceso de la jornada irregular, salvo acuerdo entre empresa y trabajador, se llevará a efecto siempre de manera acumulada por días completos de descanso o, en su caso, su fracción si no se completase una jornada. Dicha compensación se realizará en un plazo de tres meses desde el momento de su realización adicionándose a los descansos semanales, a las vacaciones o como reducción de jornada. El trabajador podrá elegir la forma de compensación que prefiera y podrá proponer fechas concretas de su compensación que se pactarán de mutuo acuerdo.
ARTÍCULO 24. – DESCANSO SEMANAL.
El descanso semanal mínimo será con carácter general de dos días naturales dentro de la misma semana (de lunes a domingo). Se respetarán los derechos adquiridos a aquellos trabajadores y trabajadoras que a la entrada en vigor de este Convenio estén descansando dos días continuados a la semana.
Todos los trabajadores/as, que no tengan otra condición más beneficiosa, disfrutarán cuanto menos durante una semana de cada cuatro del descanso semanal continuado.
El descanso semanal será rotativo y se garantiza que el descanso semanal de sábados y domingos sea al menos una vez cada cuatro semanas, excepto en aquellas empresas que cierren dos días a la semana por descanso del personal.
Se respetarán los derechos adquiridos a aquellos trabajadores y trabajadoras que a la entrada en vigor de este Convenio estén descansando dos días continuados a la semana.
Los días de descanso asignados a cada trabajador o trabajadora, habrán de serles respetados salvo necesidades especiales de servicio, en cuyo caso será necesario el acuerdo entre la empresa y trabajador o trabajadora con 48 horas de antelación como mínimo
ARTÍCULO 25.- DESCANSO DIARIO.
Durante la jornada de trabajo habrá un descanso de 20 minutos que computará como tiempo de trabajo efectivo y se abonara como tal, se mantendrán el uso y costumbres como derechos adquiridos.
ARTÍCULO 26. – DÍAS FESTIVOS.
Los días festivos trabajados se pactará con la intervención de los representantes de los trabajadores, pondrán de mutuo acuerdo:
a) Ser disfrutados como descanso continuado en período distinto al de vacaciones.
b) Ser acumulados al período normal de vacaciones.
e) Ser disfrutados en otros días distintos.
d) Si el descanso semanal coincidiera con una fiesta se compensará dicha fiesta como establecen los apartados A, B, C.
En caso de desacuerdo se acumularán a los días de vacaciones.
Cuando se disfruten de forma continuada las fiestas se incrementarán con los días libres correspondientes al periodo de disfrute de las mismas; es decir, por cada cinco fiestas trabajadas se concederán dos días más de descanso, o su parte proporcional computándose en su totalidad 20 días.
En caso de que se disfruten de forma continuada la totalidad de los días festivos, se concederán seis días de descanso
ARTÍCULO 27. – VACACIONES ANUALES.
Todos los trabajadores afectados por el presente convenio disfrutaran de 31 días naturales de vacaciones. Las vacaciones no podrán ser compensadas en metálico.
Las vacaciones, con la intervención de los representantes legales de los trabajadores podrán de mutuo acuerdo:
– Ser disfrutadas en un solo periodo – Ser disfrutadas en dos periodos distintos, los cuales no podrán sobrepasar el 60% como máximo y el 40% como mínimo del total de los días vacacionales que a cada uno le corresponda. En caso de desacuerdo tendrá absoluta preferencia el primer apartado sobre el segundo.
No obstante, lo anterior, las empresas y los representantes de los trabajadores o, en su defecto, los trabajadores podrán de mutuo acuerdo acordar otros sistemas de disfrute de las vacaciones.
Los trabajadores que en la fecha determinada para el disfrute de las vacaciones no hubiesen completado un año de servicio en la empresa, disfrutaran de un mínimo de días proporcional al tiempo trabajado.
Empresarios y trabajadores mediante acuerdo de empresa podrán acordar el disfrute del 60% del periodo de vacaciones, desde el 1 de junio al 30 de septiembre, y el 40% restante en el resto del año.
El derecho de disfrute de vacaciones no se limitará por el hecho de que el trabajador haya estado en situación de IT.
El período de vacaciones comenzará a continuación de los días de descanso y festivos no recuperables.
Todas las empresas afectadas por el presente convenio establecerán de mutuo acuerdo con los representantes legales de los trabajadores, un calendario vacacional en los dos primeros meses del año o en los de apertura de su establecimiento que deberá de ser rotativo para todos los trabajadores dentro de cada departamento.
En el período de lactancia de un hijo, la trabajadora o trabajador tendrá derecho a elegir las vacaciones anuales tras el período de baja por maternidad.
CAPÍTULO IV CLASIFICACIÓN PROFESIONAL, MOVILIDAD Y ASCENSOS.
ARTÍCULO 28.- CLASIFICACIÓN PROFESIONAL.
Para la clasificación profesional y movilidad funcional será de aplicación el Acuerdo laboral de ámbito estatal para el sector de hostelería (ALEH) vigente en cada momento.
ARTÍCULO 29.- MOVILIDAD FUNCIONAL Y GEOGRÁFICA
a movilidad funcional se regirá por lo estipulado en el ALEH.
Las empresas en caso de necesidad y por el tiempo mínimo indispensable podrán destinar a los trabajadores/as a realizar trabajos de categoría superior, con el salario que corresponda a dicha categoría superior.
Este cambio no puede ser de duración superior a 90 días ininterrumpidos en un año, debiendo el trabajador al cabo de este tiempo volver a su antiguo puesto de trabajo o categoría.
Cuando el trabajador/a realice funciones de categoría superior durante más de 90 días consecutivos en un año, o más 180 días alternos durante dos años, consolidará el salario de dicha categoría a partir de ese momento sin que ello suponga necesariamente la creación de un nuevo puesto de trabajo de esta categoría.
Estas consolidaciones no son aplicables a los casos de sustitución por enfermedad, accidente de trabajo, permisos u ocupación de puestos oficiales, en dichos casos la situación comprenderá todo el tiempo que dure la circunstancia que lo ha motivado.
Si por necesidades perentorias o imprevisibles de la actividad productiva, el empresario precisa destinar a un trabajador a tareas correspondientes a categoría profesional inferior a la suya, sólo podrá hacerlo por el tiempo imprescindible, que nunca será superior a 15 días consecutivos o 35 alternativos dentro del año natural, manteniéndole la retribución y demás derechos derivados de su categoría profesional de origen. En este supuesto, no podrá realizarse ninguna contratación ni movilidad con otro trabajador para cubrir las funciones que venía realizando el trabajador al que se le ha aplicado la movilidad. Una vez finalizado el plazo fijado o el límite máximo, el trabajador volverá a su puesto de trabajo y funciones de origen.
En todo caso, se respetará en lo posible el orden jerárquico profesional para adscribir al personal a trabajos de categoría inferior.
Movilidad Geográfica:
La movilidad geográfica requerirá la concurrencia de causas organizativas, económicas o técnicas o de producción. Dicha decisión deberá ser notificada al trabajador, así como a sus representantes legales, con una antelación mínima de treinta días a la fecha de su efectividad. En la notificación deberá ir detallada tanto las razones del traslado, la duración del mismo, así como las facilidades y compensaciones para la realización del mismo.
Cuando, por cualquiera de las circunstancias a la que alude el artículo 40 del E.T., se susciten traslados que requieran cambios de residencia, la empresa abonará al trabajador, además del salario y pluses, los gastos de traslado de su familia, gastos de mudanza y el abono de los dos primeros meses del alquiler de la vivienda, así como una licencia con sueldo de cinco días para el traslado, colegios, y demás gestiones precisas para su establecimiento definitivo.
CAPÍTULO V FORMACIÓN.
ARTÍCULO 30.- FORMACIÓN DECLARACIÓN DE FINES Y OBJETIVOS.
Las partes firmantes reconocen que la formación, es tanto un derecho de los trabajadores como un deber de las empresas y se configura como un elemento básico y fundamental para contribuir al desarrollo profesional de los trabajadores y a la competitividad en el sector. A tal efecto la política formativa en las empresas se atendrá a los fines y principios establecidos con carácter general en la Ley 30/2015, de 9 septiembre, por la que se regula el Sistema de Formación Profesional para el empleo en el ámbito laboral.
En lo no previsto en este Capitulo se estará a lo dispuesto en el ALEH vigente en cada momento.
ARTÍCULO 31.- FUNCIONES DE LA COMISIÓN PARITARIA EN MATERIA DE FORMACIÓN.
Se encomienda a la Comisión Mixta Paritaria de este convenio colectivo la llevanza de las siguientes funciones en materia de formación:
1. Esta Comisión se encargará de realizar la detección de necesidades y el diagnóstico en materia de carencias formativas o adaptaciones permanentes a las necesidades de cada momento, elaborará propuestas de formación a los ámbitos que correspondan, tanto en los criterios de ejecución, colectivos prioritarios, y formación estratégica.
2. Establecerá un mapa de funciones vinculado a la clasificación profesional que relacione los puestos de trabajo con Unidades de Competencia o Cualificaciones completas con el objetivo de propiciar la obtención de Certificados de Profesionalidad para los trabajadores y trabajadoras adscritos a este convenio.
3. Solicitará a la administración pública competente que ponga en marcha los procedimientos de acreditación pertinentes vinculados a las cualificaciones del citado mapa y propiciará el desarrollo de acuerdos específicos para las empresas y sus trabajadores.
6.- Esta Comisión abordará la negociación de los aspectos relativos a jornadas, permisos y excedencias vinculados a la formación, y dará traslado de sus conclusiones a la Comisión Negociadora para su toma en consideración.
ARTÍCULO 32.- DEL DERECHO A LA FORMACIÓN.
Los trabajadores/as con antigüedad superior a un año tendrán derecho a un permiso retribuido de 20 horas anuales de formación profesional para el empleo, vinculada a la actividad de la empresa, que podrán ser acumuladas por periodos de cinco años, en el seno de la empresa o en una entidad externa debidamente acreditada.
CAPÍTULO VI LICENCIAS, EXCEDENCIAS, REDUCCIONES DE JORNADA, EMBARAZO, MATERNIDAD Y PATERNIDAD.
ARTÍCULO 33.- LICENCIAS RETRIBUIDAS.
El trabajador/a podrá ausentarse del trabajo con derecho a remuneración, por algunos de los motivos y por el tiempo siguiente:
a) Por matrimonio:
-Del propio trabajador o constitución de pareja de hecho debidamente inscrita en el correspondiente registro, quince días naturales.
-De un hijo o hermano del trabajador/a o padre o madre, 2 días.
b) Por el tiempo indispensable para asistir a:
b.1-Las pruebas prenatales y de preparación al parto siempre que deban tener lugar dentro de la jornada de trabajo.
b.2- Las preceptivas sesiones de información y preparación, así como para la realización de los informes psicológicos y sociales previos a la declaración de idoneidad en los casos de adopción y acogimiento, o guarda con fines de adopción, por el tiempo indispensable para la asistencia, siempre que deban tener lugar dentro de la jornada de trabajo y en el ámbito geográfico de este convenio.
b.3-Para la asistencia a exámenes reglados.
b.4-Para asistir a consulta médica o tratamiento psicológico en caso de situaciones de violencia de género, si así lo determinan los servicios sociales de atención o servicios de salud.
b.5- Por el tiempo preciso, y con justificación del mismo, cuando por razón de enfermedad el trabajador o trabajadora, precise la asistencia a consultorio médico en horas coincidentes con su jornada laboral.
b.6-Para el cumplimiento de un deber inexcusable de carácter público o personal incluido el derecho a sufragio activo. Cuando conste en una norma legal o convencional un periodo determinado, se estará a lo que disponga en cuanto a la duración de la ausencia y su compensación económica.
e) Por nacimiento de hijos, adopción o acogimiento, cuatro días. En caso de partos múltiples, se añadirán dos días más por hijo.
d) Por fallecimiento:
-De hijos, cónyuge, ascendientes o persona con la que conviva, 4 días.
-De parientes hasta el 2º grado de consanguinidad o afinidad, 2 días.
e) Por accidente, enfermedad graves, hospitalización o intervención quirúrgica, con hospitalización o sin ella precisando reposo domiciliario, de parientes hasta el segundo grado de consanguinidad o afinidad, incluido el familiar consanguíneo de la pareja de hecho, así como de cualquier otra persona distinta de las anteriores, que conviva con la persona trabajadora en el mismo domicilio y que requiera el cuidado efectivo de aquella, cinco días.
Esta licencia se podrá ejercer a lo largo de todo el hecho causante de forma continua o interrumpida por días completos.
f) Dos días por el traslado de su domicilio habitual.
G.- Para realizar funciones sindicales o en representación del personal en los términos establecidos legalmente.
h. Desde la reincorporación de la trabajadora que ha sido madre a su centro de trabajo hasta el día en el que el bebé cumple nueve meses de edad, madre o padre pueden hacer uso del permiso de lactancia, optando a su elección por una de las siguientes posibilidades:
a) Ausentarse una hora diaria de su puesto de trabajo.
b) Incorporarse a su puesto media hora después del inicio de su jornada de trabajo, o ausentarse media hora antes de la finalización de la misma.
e) Acumular el permiso de lactancia en jornadas de trabajo completas. En el caso de beneficiarse de esta opción, el cálculo se realizará de la siguiente forma:
1 Se cuentan las jornadas en las que la trabajadora acudiría efectivamente a su puesto desde la reincorporación tras el parto hasta los nueve meses de edad del descendiente menor de nueve meses.
2 El número de jornadas que resulta es equivalente al número de horas de lactancia que la trabajadora va a acumular.
3 El cociente que resulta de dividir las horas de lactancia totales acumuladas por la duración de la jornada diaria de la trabajadora, establecida según su contrato, proporciona el número de días completos que la trabajadora retrasará su reincorporación a cuenta del permiso de lactancia, contando esos días uno a uno de aquellas jornadas en las que la trabajadora acudiría efectivamente a su puesto de no haber optado por esta acumulación.
I.- Los trabajadores, siempre que acrediten más de seis meses de contratación en la empresa, podrán ausentarse del trabajo, con derecho a remuneración, un día al año para atender personalmente asuntos propios.
Para su disfrute, el trabajador deberá ponerlo en conocimiento de la empresa, con una antelación de, al menos, 72 horas. No podrá coincidir este día de asuntos propios en festivos ni puentes. Solo podrá hacer uso al mismo tiempo hasta del 20% de personas dentro de cada departamento en la empresa, en departamentos de 5 trabajadores o más o un solo trabajador por departamento en aquellos en los que haya menos de 5 trabajadores.
J.- En los casos de nacimientos de hijos prematuros o que, por cualquier causa, deban permanecer hospitalizados a continuación del parto, la madre o el padre tendrán derecho a ausentarse del trabajo durante una hora. Para el disfrute de este permiso se estará a lo previsto en el apartado 5 del artículo 37 del ET.
Las ausencias o faltas de puntualidad de la trabajadora motivadas por la situación física o psicológica derivada de la violencia de género, se considerarán justificadas y retribuidas.
Los permisos establecidos en las letras a), b) 1,2,3 y f) serán notificados a la empresa con una antelación mínima de 72 horas.
A efectos de lo estipulado en este artículo se considerará desplazamiento aquel que requiera la realización de más de 75 km desde el domicilio del trabajador. En los supuestos de los párrafos a.2) c), d) y e) las licencias se ampliarán en dos días cuando se requiera desplazamiento.
k.- La persona trabajadora tendrá derecho a ausentarse del trabajo por causa de fuerza mayor cuando sea necesario por motivos familiares urgentes relacionados con familiares o personas convivientes, en caso de enfermedad o accidente que hagan indispensable su presencia inmediata, a la equivalencia de cuatro días al año.
Las personas trabajadoras tendrán derecho a que sean retribuidas las horas de ausencia por las causas previstas en el presente apartado, conforme a lo establecido en convenio colectivo o, en su defecto, en acuerdo entre la empresa y la representación legal de las personas trabajadoras aportando las personas trabajadoras, en su caso, acreditación del motivo de ausencia.
l.- Cualquier otra establecida o que se establezca en el futuro por la legislación en materia laboral.
ARTÍCULO 34.- LICENCIAS NO RETRIBUIDAS.
Las personas trabajadoras tendrán derecho a ausentarse de su puesto de trabajo con la obligación de recuperar el tiempo empleado, en el periodo y forma acordado con el empresario/a, en los siguientes casos:
1. Hasta 3 meses al año, dividido, como máximo, en periodos no inferiores a 7 días por motivos personales o familiares que impliquen situación de enfermedad o accidente grave de pariente de familiares hasta el segundo grado de consanguinidad o afinidad. La petición habrá de hacerse por escrito con una antelación mínima de 7 días.
2. Por el tiempo indispensable en los casos de adopción o acogimiento, o guarda con fines de adopción, para la asistencia a las preceptivas sesiones de información y preparación y para la realización de los informes psicológicos y sociales previos a la declaración de idoneidad, siempre, en todos los casos, que deban tener fuera del ámbito geográfico de este convenio.
3. Para la realización del examen para la obtención del carnet de conducir.
4. Para asistir al médico con hijos menores de 14 años, familiar dependiente de primer grado o acompañar a parientes hasta primer grado de consanguinidad o afinidad.
ARTÍCULO 35. – EXCEDENCIAS ESPECIALES.
Tienen derecho a excedencias especiales:
A. Los trabajadores/as que sean elegidos para cargos públicos de carácter político podrán acogerse a esta excedencia especial que comporta la reserva del puesto de trabajo para el momento que concluya la situación que lo motive.
B. Los trabajadores/as que sean elegidos para cargos sindicales de ámbito estatal, regional o provincial, gozarán de los mismos derechos reconocidos en el apartado a). El aviso para el reintegro en la empresa se efectuará dentro de los 15 días siguientes al de la fecha del mismo.
C. Aquellos trabajadores/as que tengan acreditado como mínimo dos años de antigüedad en la empresa, podrán disfrutar de una excedencia especial por el tiempo no superior a un año, con reserva del puesto de trabajo y con la garantía de reincorporación al término de la misma. Esta excedencia especial se concederá siempre que no sea para trabajo en la industria de hostelería de la misma localidad, pudiendo hacerlo en otra localidad diferente en la que se encuentre su empresa donde prestaba sus servicios. La empresa estará obligada a conceder dicha excedencia, siempre que el trabajador/a cumpla los requisitos establecidos en este artículo, en el plazo, máximo de 30 días a partir de su notificación. Una vez notificado el reingreso, este deberá reintegrarse a la empresa dentro de los 15 días siguientes a la fecha prevista del término.
D. Aquellos trabajadores/as a partir del momento que tengan acreditado como mínimo cinco años de antigüedad en la empresa, podrán disfrutar de una excedencia especial por el tiempo no superior a tres años, con reserva del puesto de trabajo y con la garantía de reincorporación al término de la misma Esta excedencia especial se concederá siempre que no sea para trabajo en la industria de hostelería de la misma localidad, pudiendo hacerlo en otra localidad diferente en la que se encuentre su empresa donde prestaba sus servicios. La empresa estará obligada a conceder dicha excedencia, siempre que el trabajador/a cumpla los requisitos establecidos en este artículo, en el plazo, máximo de 30 días a partir de su notificación. Una vez notificado el reingreso, este deberá reintegrarse a la empresa dentro de los 15 días siguientes a la fecha prevista del término.
E. Aquellos trabajadores/as que tengan acreditado como mínimo dos años de antigüedad en la empresa, podrán disfrutar de una excedencia especial por el tiempo no superior a tres años para cuidado de hijos, con reserva del puesto de trabajo y con la garantía de reincorporación al término de la misma.
La excedencia regulada en los apartados C) y D) sólo podrá ser ejercitado otra vez por el mismo trabajador si han trascurrido dos años desde el final de la anterior excedencia en el caso C) y tres años desde el final de la anterior excedencia en el caso D). En caso de que la excedencia se hubiera concertado por una duración inferior al plazo máximo previsto en los párrafos anteriores, podrá prorrogarse, por una sola vez, siempre que se preavise a la empresa con tres meses de antelación a la fecha de vencimiento del periodo inicialmente acordado.
No obstante, si dos o más trabajadores de la misma empresa solicitasen hacer uso de este derecho en periodos coincidentes el empresario podrá limitar su ejercicio simultáneo por razones justificadas de funcionamiento de la empresa.
ARTÍCULO 36.- TRABAJADORES/AS CON HIJOS MENORES.
Se procurará que los trabajadores/as que tengan a su cuidado la educación de hijos/as con edad inferior a cinco años, tengan el turno de trabajo adaptado a los horarios de la guardería o colegio, previa justificación del mismo.
ARTÍCULO 37.- REDUCCIÓN DE JORNADA.
El nivel de protección para cada una de las situaciones relacionadas en el presente artículo será el que le corresponda por ley.
A. Quien por razones de guarda legal tenga a su cuidado directo, algún menor de 12 años o minusválido físico o psíquico que no desempeñe otra actividad retribuida, tendrá derecho a una reducción de jornada de trabajo con la disminución proporcional del salario, entre, al menos, un octavo y un máximo de la mitad de la duración de aquella.
B. Por cuidado de un menor afectado por enfermedad grave: El progenitor, adoptante o acogedor de carácter pre adoptivo o permanente, tendrá derecho a una reducción de la jornada de trabajo, con la disminución proporcional del salario de, al menos, la mitad de la duración de aquélla, para el cuidado, durante la hospitalización y tratamiento continuado, del menor a su cargo afectado por cáncer (tumores malignos, melanomas y carcinomas), o por cualquier otra enfermedad grave, que implique un ingreso hospitalario de larga duración y requiera la necesidad de su cuidado directo, continuo y permanente, acreditado por el informe del Servicio Público de Salud u órgano administrativo sanitario de la Comunidad Autónoma Andaluza y, como máximo, hasta que el menor cumpla los 18 años.
C. Por violencia de género: Las personas trabajadoras que tengan la consideración de víctimas de violencia de género, podrán hacer efectivo su derecho a la asistencia social integral, a la reducción de la jornada de trabajo con disminución proporcional del salario. La reordenación del tiempo de trabajo, a través de la adaptación del horario, de la aplicación del horario flexible o de otras formas de ordenación, se hará de mutuo acuerdo con el empresario.
D. De manera adicional a la licencia reconocida en el artículo 37, 4 bis) del Estatuto de los Trabajadores, tendrán derecho a reducir su jornada de trabajo hasta un máximo de 2 horas (o su parte proporcional en caso de contratos a tiempo parcial), con la disminución proporcional del salario. En este caso tal permiso deberá de disfrutarse bien al inicio, bien al final de la jornada laboral, y es compatible con la hora de licencia retribuida.
El trabajador/a, salvo fuerza mayor, deberá preavisar al empresario con una antelación de quince días, precisando la fecha en que iniciará y finalizará la reducción de jornada.
ARTÍCULO 38.- PATERNIDAD (NACIMIENTO).
En relación a la suspensión del contrato por paternidad se estará en cada caso a lo regulado en el Estatuto de los Trabajadores.
ARTÍCULO 39.- EMBARAZO.
La evaluación de los riesgos deberá comprender la determinación de la naturaleza, el grado y la duración de la exposición de las trabajadoras en situación de embarazo o parto reciente a agentes, procedimientos o condiciones de trabajo que puedan influir negativamente en la salud de las trabajadoras o del feto, en cualquier actividad susceptible de presentar un riesgo específico. Si los resultados de la evaluación revelasen un riesgo para la seguridad y la salud o una posible repercusión sobre el embarazo o la lactancia de las citadas trabajadoras, el empresario adoptará las medidas necesarias para evitar la exposición a dicho riesgo, a través de una adaptación de las condiciones o del tiempo de trabajo de la trabajadora afectada.
Dichas medidas incluirán, cuando resulte necesario, la no realización de trabajo nocturno o de trabajo a turnos.
Cuando la adaptación de las condiciones o del tiempo de trabajo no resultase posible o, a pesar de tal adaptación, las condiciones de un puesto de trabajo pudieran influir negativamente en la salud de la trabajadora embarazada o del feto, y así lo certifiquen los Servicios Médicos del Instituto Nacional de la Seguridad Social o de las Mutuas, en función de la Entidad con la que la empresa tenga concertada la cobertura de los riesgos profesionales, con el informe del médico del Servicio Andaluz de Salud que asista facultativamente a la trabajadora, ésta deberá desempeñar un puesto de trabajo o función diferente y compatible con su estado. El empresario deberá determinar, previa consulta con los representantes de los trabajadores, la relación de los puestos de trabajo exentos de riesgos a estos efectos.
El cambio de puesto o función se llevará a cabo de conformidad con las reglas y criterios que se apliquen en los supuestos de movilidad funcional y tendrá efectos hasta el momento en que el estado de salud de la trabajadora permita su reincorporación al anterior puesto.
En el supuesto de que, aun aplicando las reglas señaladas en el párrafo anterior, no existiese puesto de trabajo o función compatible, la trabajadora podrá ser destinada a un puesto no correspondiente a su grupo o categoría equivalente, si bien conservará el derecho al conjunto de retribuciones de su puesto de origen.
Si dicho cambio de puesto no resultara técnica u objetivamente posible, o no pueda razonablemente exigirse por motivos justificados, podrá declararse el paso de la trabajadora afectada a la situación de suspensión del contrato por riesgo durante el embarazo, contemplada en el artículo 45.1.d) del Estatuto de los Trabajadores, durante el período necesario para la protección de su seguridad o de su salud y mientras persista la imposibilidad de reincorporarse a su puesto anterior o a otro puesto compatible con su estado.
CAPÍTULO VII RETRIBUCIONES Y ESTRUCTURA SALARIAL.
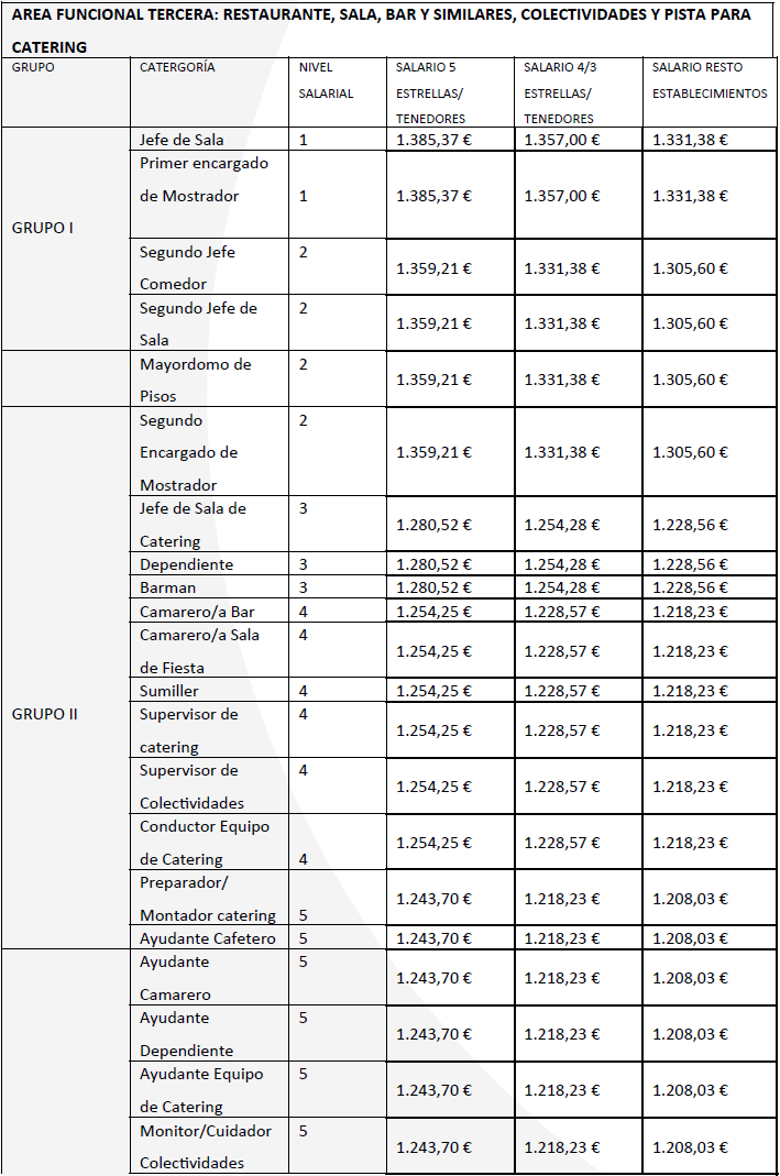
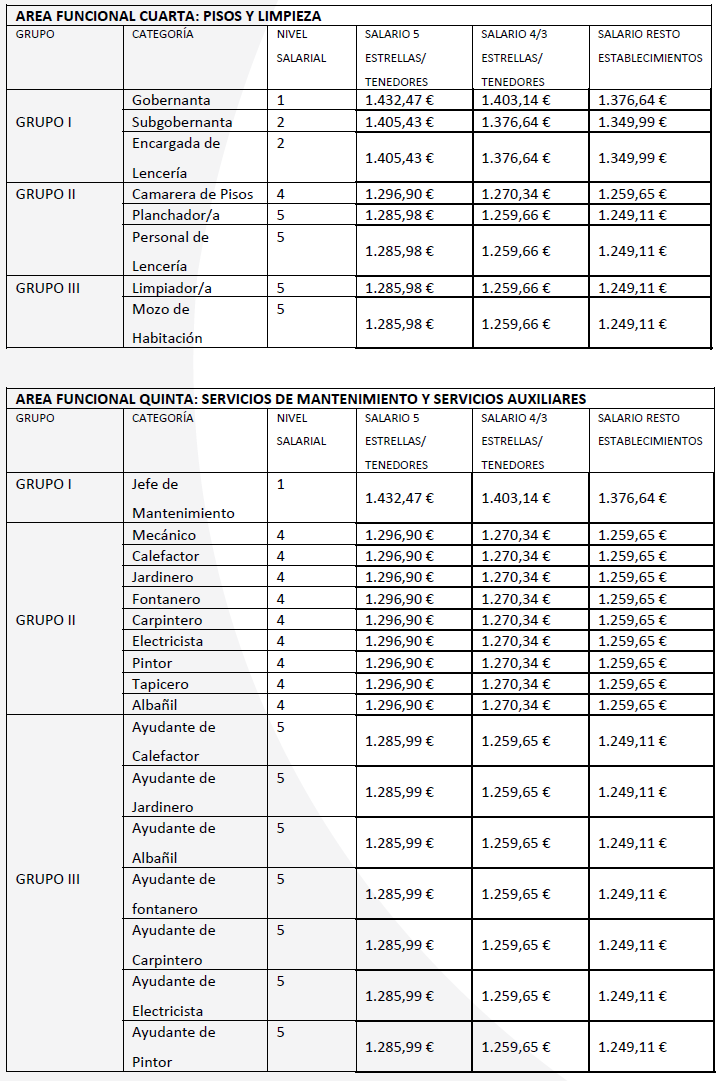
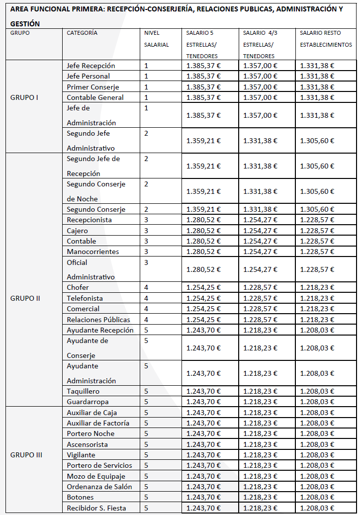
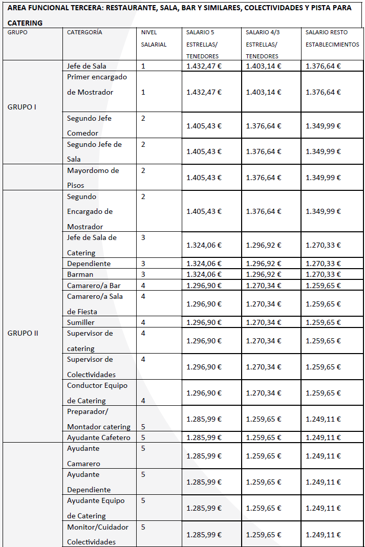
ARTÍCULO 40.- SALARIO BASE.
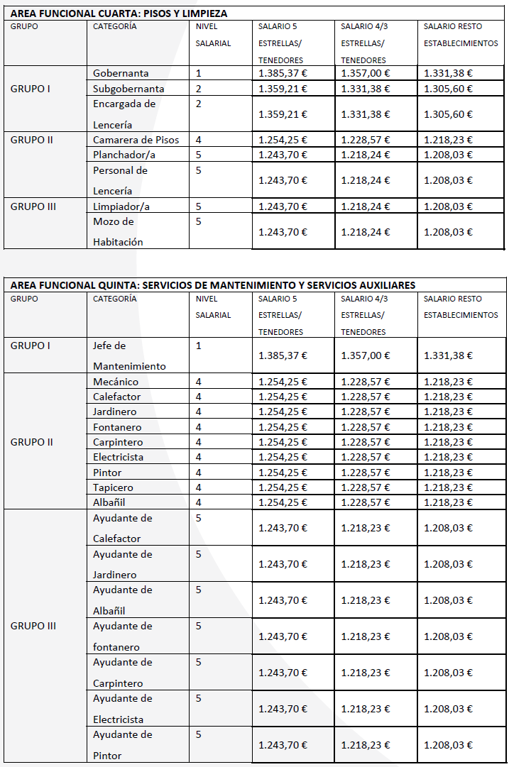
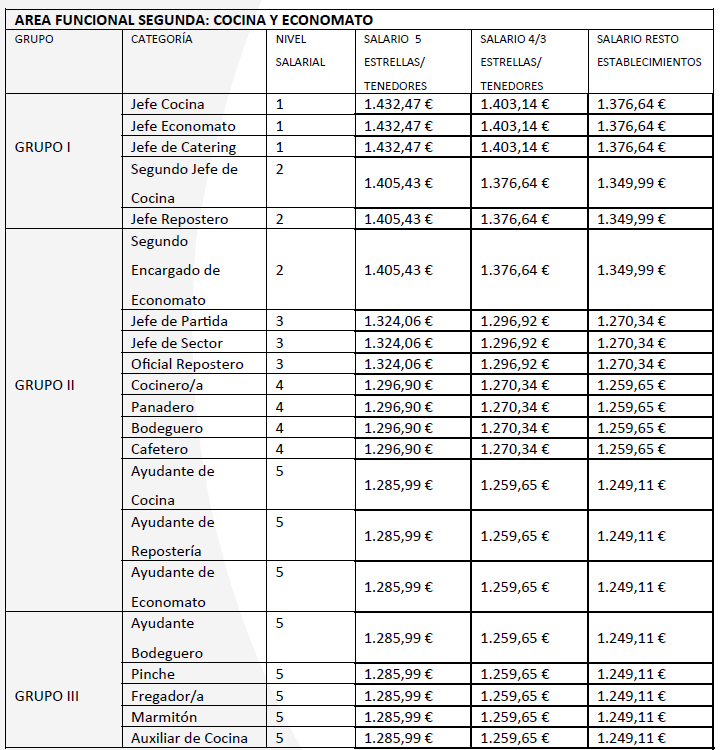
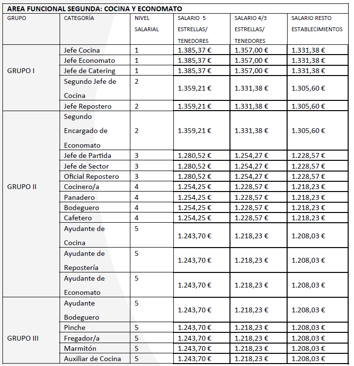
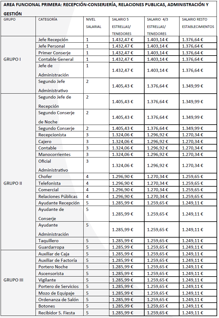
La retribución salarial del personal afectado por el presente convenio consistirá en un salario base mensual para cada grupo profesional y tipo de establecimiento según se señala en el anexo I.
ARTÍCULO 41.-. REVISIÓN SALARIAL.
Desde el 1 de enero de 2024 se incrementarán todos los conceptos económicos de este convenio aplicando un incremento del 3,3% sobre las cuantías vigentes a 01/01/2024. El abono de los atrasos producidos se realizará en los 30 días siguientes a la publicación en el BOP.
Desde el 1 de enero de 2025 se incrementarán todos los conceptos económicos de este convenio aplicando un incremento del 3,4% sobre las cuantías vigentes a 31/12/2024.
Desde el 1 de enero de 2026 se incrementarán todos los conceptos económicos de este convenio aplicando un incremento del 3,4% sobre las cuantías vigentes a 01/01/2025.
ARTÍCULO 42.- ANTIGÜEDAD.
Con la intención de que todos los trabajadores/as puedan tener algún aumento del salario como promoción económica, se deja vigente un aumento del 3% sobre el salario base al cumplir el trabajador/a tres años en la empresa.
Los porcentajes consolidados o en vías de consolidación tendrán la consideración de condición más beneficiosa y a título de «Ad personam» teniendo el carácter de no absorbibles ni compensables por futuros aumentos salariales quedando por tanto su porcentaje inalterable.
ARTÍCULO 43.- GRATIFICACIONES EXTRAORDINARIAS.
Se establecen dos gratificaciones extraordinarias por el importe de una mensualidad de los salarios acordados en la tabla salarial del anexo I y la antigüedad correspondiente si la hubiere, excluida la manutención.
Las referidas gratificaciones serán satisfechas los días 15 de junio y 15 de diciembre.
Se establecen dos gratificaciones extraordinarias por el importe de 15 días de salario base, tabla salarial del anexo I y antigüedad si la hubiere, excluyéndose la manutención, que se abonarán una con motivo del 1 de mayo (fiesta del trabajo) y otra el 15 de septiembre.
Quien empiece o termine la relación laboral en la empresa en el transcurso de un año, percibirá las gratificaciones extraordinarias correspondientes al tiempo de trabajo. Si el contrato de trabajo tuviera una duración inferior a tres días o superior a tres meses, la fracción de mes se computará como mes completo.
ARTÍCULO 44.- MANUTENCIÓN Y ALOJAMIENTO.
La asignación asistencial de manutención se fija para 2024, 2025 y 2026 en las cantidades reflejadas en las tablas salariales anexas.
El alojamiento lo facilitará la empresa a aquellos trabajadores/as que tengan derecho a dicho alojamiento.
Estos conceptos se abonarán en las empresas que mencionaba la antigua Ordenanza Laboral de Hostelería de 1974, en su Anexo III.
ARTÍCULO 45.- PLUS DE TRANSPORTE.
El plus de transporte al centro de trabajo, de carácter extrasalarial, se fija para 2024, 2025 y 2026 en las cantidades reflejadas en las tablas salariales anexas para todas las categorías profesionales.
ARTÍCULO 46.- DESGASTE DE HERRAMIENTAS.
Las empresas que no faciliten a sus trabajadores los útiles o herramientas de trabajo y fueran propiedad de estos, abonarán en compensación por su desgaste la cantidad reflejadas en las tablas salariales anexas para los años 2024, 2025 y 2026. Este plus no tendrá carácter salarial.
ARTÍCULO 47. – DESPLAZAMIENTO EXTRARRADIO.
En las empresas con más de dos centros de trabajo si alguno de ellos estuviera situado fuera del casco urbano la empresa incrementará a los trabajadores que presten sus servicios en el centro de trabajo fuera del casco urbano, el plus de transporte en un 50%, salvo que el salario de dicho trabajador se haya establecido específicamente entendiendo dicha circunstancia por encima de lo pactado en el presente convenio.
Cuando el lugar de trabajo esté situado fuera del casco urbano y el medio de transporte sea a cargo de la empresa, se fijará de común acuerdo entre ésta y los representantes de los trabajadores el lugar de salida y llegada. En caso de desacuerdo, coincidirá con la última parada de autobuses en la dirección del centro de trabajo. En este caso la Empresa no estará obligada al recargo por extrarradio
ARTÍCULO 48.- ANTICIPOS.
Todo trabajador/a tendrá derecho a anticipos a cuenta, hasta un máximo del 90 % de los salarios efectivamente devengados.
ARTÍCULO 49.- NOCTURNIDAD.
Este concepto es únicamente aplicable a los trabajadores/as de pub, bares musicales, discotecas, salas de fiestas, establecimientos de hostelería ubicados en Bingos y aquellos que desarrollen trabajos que por su propia naturaleza sean nocturnos.
Es periodo nocturno el comprendido entre las 22 horas y las 6 horas.
Aquella jornada que ocupe de este periodo más de 4 horas será considerada nocturna en su totalidad y será retribuida con un incremento del 25% sobre el salario base más antigüedad si la hubiere, de las tablas salariales anexas, calculadas conforme a lo establecido en el artículo 52 para el cálculo del valor de la hora ordinaria, con excepción de los complementos salariales, salvo que el salario se haya establecido atendiendo a que el trabajo sea nocturno por su propia naturaleza.
Se hace constar que en las tablas salariales anexas del presente convenio, no se ha previsto ningún salario especial por trabajo de noche en ninguna categoría profesional.
ARTÍCULO 50.- SERVICIOS EXTRAS.
Las empresas se comprometen a contratar este tipo de servicios a trabajadores/as en paro, registrados en la Oficina de Empleo e inscritos como profesionales de hostelería.
Las retribuciones de estos servicios son los que figuran en las tablas salariales anexas para los años 2024, 2025 y 2026.
ARTÍCULO 51.- PORCENTAJES.
El extinguido plus de porcentaje se mantendrá en los términos del convenio colectivo de 4 de mayo de 1995 para los que aún lo vinieran percibiendo, hasta que la cuantía del salario base de cada trabajador supere la suma de salario base más plus por supresión de porcentaje establecido en el convenio de 1995.
ARTÍCULO 52.- HORAS EXTRAS.
Ante la grave situación de paro existente y con el objeto de favorecer la creación de empleo, ambas partes acuerdan la conveniencia de suprimir al mínimo indispensable las horas extraordinarias, con arreglo a los siguientes criterios:
1 Horas extraordinarias habituales: Supresión.
2 Horas extraordinarias que vengan exigidas por la necesidad de reparar siniestros y otros daños extraordinarios o urgentes, así como en caso de riesgo de pérdidas de materia prima:
Realización.
3 Horas extraordinarias necesarias por pedidos o períodos puntas de producción, ausencias imprevistas, cambio de turno y otras circunstancias de carácter estructural, derivadas de la naturaleza de la actividad de que se trate: Mantenimiento, siempre que no quepa la utilización de las distintas modalidades de contratación temporal o parcial previstas por la Ley.
La Dirección de la empresa informará periódicamente a los representantes legales de los trabajadores sobre el número de horas extraordinarias realizadas, especificando las causas, y en su caso, la distribución por sesiones. Así mismo, en función de esta información y de los criterios más arriba señalados, la empresa y los representantes legales de los trabajadores en la misma determinarán el carácter y la naturaleza de las horas extraordinarias.
Los menores de 18 años, así como los trabajadores con contratos formativos, no podrán realizar en ningún caso horas extraordinarias, ni nocturnas.
El recargo de la primera hora extraordinaria semanal será del 50 % y el resto de horas extraordinarias se abonaran con un 75% de recargo o bien, si ambas partes así lo acuerdan (en ambos casos) serán compensadas por descanso retribuido en su respectiva proporción. La fórmula de cálculo para determinar el valor de la hora ordinaria será la siguiente:
– SHI =(( SBA X PA ) + ( CS X 12 ))/ 1.800 horas.
– SHI: Salario hora individual.
– SBA: Salario base con antigüedad.
– PA: Pagas anuales (15).
– CS: Complementos Salariales.
– 12: Meses al año.
– 1.800 horas de trabajo para los/as trabajadores/as que descansen 31 días y 1.752 horas para los trabajadores/as que descansen 51 días.
Sobre este valor se aplicará el porcentaje el recargo que corresponda.
CAPÍTULO VIII MEJORAS SOCIALES.
ARTÍCULO 53.- INCAPACIDAD TEMPORAL.
En los casos de IT causada por accidente de trabajo o enfermedad profesional, la empresa complementará al trabajador con los importes necesarios hasta percibir el 100% de su salario mensual, desde el primer día de baja médica y hasta la finalización del periodo de I.T.
En los casos de I.T causada por enfermedad común o accidente no laboral que conlleve hospitalización o intervención quirúrgica, la empresa complementará al trabajador con los importes necesarios hasta percibir el 100% de su salario mensual, desde el primer día de la baja médica y hasta la finalización del periodo de I.T.
En los casos de I.T. causada por enfermedad común o accidente no laboral no incluidos en el párrafo anterior, siempre que el trabajador afectado haya trabajado más de seis meses en la empresa y no sea sustituido durante el periodo de baja por un contrato de interinidad, se le complementará al trabajador con los importes necesarios hasta percibir el 100% del salario a partir del día 60 de baja y hasta la finalización del periodo de I.T.
ARTÍCULO 54. – SEGURO DE ACCIDENTE DE TRABAJO.
Las empresas se obligan a concertar una póliza de seguro para el caso de muerte por accidente, que tenga lugar durante la jornada de trabajo y 2 horas antes y después de dicha jornada por la cantidad que figura en la tabla salarial anexa para los años 2024, 2025 y 2026 y para el caso de invalidez permanente, total o absoluta, y que tenga lugar durante la jornada de trabajo y dos horas antes y después de dicha jornada por las cantidades que figuran en las tablas salariales anexas para los años 2024, 2025 y 2026 La cobertura de este seguro alcanza todo tipo de accidentes que puedan sufrir los asegurados con motivo y ocasión de los servicios que presten al contratante y que produzcan muerte, invalidez permanente total o absoluta para todo trabajo.
En caso de muerte tendrán derecho al cobro de este seguro:
1. Cónyuge o persona con la que conviva.
2. Hijos si los hubiese.
3. Madre o padre del fallecido/a.
4. Hermanos/as.
Las empresas que incumplan esta obligación, resultarán directamente obligadas al pago de la indemnización que determinará este seguro.
ARTÍCULO 55 – SUBSIDIO POR DEFUNCIÓN.
El subsidio de defunción para los trabajadores/as fijos en plantilla queda fijado en las cantidades que figuran en las tablas salariales anexas para los años 2024, 2025 y 2026, será percibido por los familiares del trabajador/a fallecido según el siguiente orden: viuda/o, hijos, y familiar que viviesen con él habitualmente, sea cualquiera el grado de parentesco.
ARTÍCULO 56.- ROPA DE TRABAJO.
Las empresas están obligadas a proporcionar a su personal, los uniformes, así como la ropa de trabajo que no sea de uso común en la vida ordinaria de sus empleados, o en caso contrario, a su compensación en metálico. La uniformidad constará, como mínimo, de dos uniformes de invierno y dos de verano. En el uniforme se incluirá como mínimo pantalón, camisa y un par de zapatos cuyas características serán las indicadas por la comisión paritaria.
La duración máxima de las prendas será la siguiente:
• Uniformes: dos años.
• Calzado: un año.
Los uniformes y ropa de trabajo sólo podrán utilizarse dentro de las instalaciones de la empresa y durante la jornada de trabajo. El personal cuidará con esmero el uniforme que le sea proporcionado.
En caso de que la uniformidad no se facilite por la Empresa o que sólo se facilite de manera parcial y siempre que no forme parte de los EPI obligatorios, ésta abonará por este concepto las cantidades que figuran en las tablas salariales anexas para los años 2024, 2025 y 2026.
Todo ello con independencia de aquellos uniformes o prendas que deba de proporcionar la empresa a los trabajadores en cumplimiento de la normativa de Prevención de riesgos laborales o cualquier otra.
ARTÍCULO 57. – INDEMNIZACIÓN POR VINCULACIÓN AL SECTOR.
Con el fin de premiar la permanencia y vinculación a la empresa, se establece una indemnización a favor de aquellos trabajadores que se jubilen anticipadamente al cumplir entre 60 y 65 años:
Este premio de vinculación seguirá el siguiente criterio:
1. Al cumplir los 64 o 65 años de edad, 2 meses de salario base más antigüedad.
2. Cese a los 63 años de edad, 4 meses de salario base más antigüedad.
3. Cese a los 62 años de edad, 5 meses de salario base más antigüedad.
4. Cese a los 61 años de edad, 6 meses de salario base más antigüedad.
5. Cese a los 60 años de edad, 7 meses de salario base más antigüedad.
En todos los casos, las cantidades antes citadas se incrementarán en un mes más por cada 5 años de servicio o fracción de 30 meses, que excedan de los 15.
Las citadas cantidades se entienden por un cese de las relaciones entre el trabajador o trabajadora y la empresa, en el supuesto de que el beneficiario o beneficiaria, por imperativo legal o personal volviese a la empresa deberá optar entre ser readmitido devolviendo la cuantía abonada o rescindir definitivamente la relación laboral. Igualmente deberían devolver la cuantía correspondiente si el beneficiario o beneficiaria iniciara actividad en la industria de la hostelería en la misma localidad.
CAPÍTULO IX IGUALDAD Y ACOSO LABORAL.
ARTÍCULO 58.- IGUALDAD Y ACOSO LABORAL.
Los firmantes del presente Convenio, con remisión expresa al ALEH vigente, se comprometen:
a ) A desarrollar y garantizar la Igualdad de oportunidades entre hombre y mujeres, así como la no discriminación por cuestiones de raza, religión o cualquier otra condición.
b) A detectar las distintas formas de discriminación o desigualdad, formulando y desarrollando las medidas correctoras.
e) En aras del principio fundamental de igualdad de trato, a cumplir los derechos fundamentales de respeto y dignidad de las personas y a crear y mantener unas relaciones de trabajo y un entorno laboral basados en el respeto mutuo donde se respete la dignidad y libertad sexual del conjunto de trabajadoras y trabajadores. Para ello se evitará todo tipo de intercambio verbal o de conducta de naturaleza sexual y cualquier tipo de discriminación, humillación o acoso.
CAPÍTULO X SALUD LABORAL.
ARTÍCULO 59.- PRINCIPIOS GENERALES.
En materia de Seguridad y salud se estará a lo dispuesto en la Ley 31/1995, de 8 de noviembre, de Prevención de Riesgos Laborales, a la reforma del marco normativo establecida en la Ley 54/2003, de 12 de diciembre, y sus desarrollos reglamentarios correspondientes, en especial a los RD 486, 487 y 488/1997, de 14 de abril, Guías técnicas y protocolo de desarrollo, así como a lo dispuesto en el presente Convenio Colectivo.
ARTÍCULO 60.- PARTICIPACIÓN EN MATERIA DE SEGURIDAD Y SALUD.
1. Consulta y participación de los trabajadores y trabajadoras.
El personal tiene derecho a participar en la formulación de la política de prevención en su centro de trabajo y en el control de las medidas adoptadas en el desarrollo de la misma. El derecho de participación mencionado se ejercerá a través de los representantes legales del personal, de los delegados y delegadas de prevención y de los comités de Seguridad y Salud, en los términos previstos en el Capítulo V de la Ley 31/1995, de 8 de noviembre, de Prevención de Riesgos Laborales.
2. Delegados/as de prevención.
Los delegados y delegadas de prevención son la base sobre la que se estructura la participación del personal en todo lo relacionado con la Salud Laboral en el ámbito de las empresas, y la figura especializada de representación en materia de Prevención de Riesgos laborales.
El nombramiento, las competencias y las facultades de los Delegados y Delegadas de Prevención serán las definidas en la Ley de Prevención de Riesgos Laborales.
Los Delegados y Delegadas de Prevención observarán el debido secreto profesional acerca de las informaciones a que tuviesen acceso como consecuencia de su actuación en la empresa, de conformidad con lo dispuesto en el Estatuto de los trabajadores.
Las empresas les proporcionarán los medios y la formación en materia preventiva que resulten necesarios para el ejercicio de sus funciones, bien por sus propios medios o mediante concierto con organismos o entidades especializadas debidamente acreditadas.
Mediante acuerdos, se podrá determinar que las competencias reconocidas a los Delegados y Delegadas de Prevención sean ejercidas por órganos específicos creados en el propio convenio o en los acuerdos citados.
En este caso, se procederá a la elección de los delegados y delegadas para todo el sector, por parte de las organizaciones sindicales según su representatividad, los cuales dispondrán de un crédito de treinta horas sindicales extraordinarias, para poder realizar todas las funciones propias referentes a la materia de Prevención de Riesgos Laborales y a trabajar de forma coordinada con todos los delegados y delegadas de Prevención de todas las empresas que componen el sector.
ARTÍCULO 61.- VIGILANCIA DE LA SALUD (RECONOCIMIENTO MÉDICO).
1. Las empresas promoverán las actividades preventivas necesarias para la conservación y promoción de la salud del personal acogido al presente convenio, y garantizará la vigilancia periódica de su estado de salud, con la periodicidad y especificidad que sea necesaria en función de los riesgos inherentes al trabajo.
2. Se dará carácter prioritario a las actuaciones y reconocimientos médicos específicos que se dirijan al personal que ocupa puestos de trabajo cuyas condiciones impliquen un mayor nivel de riesgo de enfermedad o accidente.
En todo caso, los reconocimientos se practicarán:
a) A todo el personal de nuevo ingreso, antes de incorporarse al puesto de trabajo.
b) Periódicos y específicos al personal que, por su actividad, se estime necesario por los servicios de Prevención.
e) Una vez al año, a todo el personal, en la forma y condiciones que se determinen, computándose las horas como tiempo de trabajo efectivo y no pudiendo suponer gasto alguno para el trabajador o trabajadora por desplazamiento.
ARTÍCULO 62.- PROTECCIÓN DE LA MATERNIDAD Y DE TRABAJADORES/AS ESPECIALMENTE SENSIBLES A DETERMINADOS.
1. Al objeto de garantizar la protección efectiva de la madre y el feto durante el embarazo, las evaluaciones de riesgos de los puestos de trabajo deberán comprender la determinación de la naturaleza, el grado y la duración de la exposición de las trabajadoras en situación de embarazo o parto reciente a agentes, procedimientos o condiciones de trabajo que puedan influir negativamente en la salud de las trabajadoras o del feto, en cualquier actividad susceptible de presentar un riesgo específico. Si los resultados de la evaluación, revelasen un riesgo para la seguridad y la salud o una posible repercusión sobre el embarazo o la lactancia, las citadas trabajadoras, desde las empresas se adoptarán las medidas necesarias para evitar la exposición a dicho riesgo, a través de una adaptación de las condiciones o del tiempo de trabajo de la trabajadora afectada.
Las empresas elaborarán un protocolo de actuación para embarazadas y lactantes que incluya un catálogo de riesgos por puesto y medidas preventivas.
Dichas medidas incluirán, cuando resulte necesario, la no realización de trabajo nocturno o de trabajo a turnos.
Cuando la adaptación de las condiciones o el tiempo de trabajo no resultasen posibles, la trabajadora deberá desempeñar un puesto de trabajo o función diferente y compatible con su estado. Las empresas deberán determinar, previa consulta con los representantes de los trabajadores y trabajadoras, la relación de los puestos de trabajo exentos de riesgos a estos efectos.
Si dicho cambio de puesto no resultara técnica u objetivamente posible, podrá declararse el paso de la trabajadora a la situación de suspensión del contrato por riesgo durante el embarazo, contemplada en el artículo 45.1 d) del Estatuto de los trabajadores.
Lo dispuesto anteriormente será también de aplicación en los períodos de lactancia.
2. Las empresas garantizarán de manera específica la protección de los trabajadores y trabajadoras que, por sus propias características personales o estado biológico conocido, incluidos aquellos que tengan reconocida la situación de discapacidad física, psíquica o sensorial, sean especialmente sensibles a riesgos derivados del trabajo. A tal fin, deberá tener en cuenta dichos aspectos en las evaluaciones de los riesgos y, en función de éstas, adoptará las medidas preventivas y de protección necesarias.
3- Las trabajadoras embarazadas tendrán derecho a ausentarse del trabajo, con los requisitos y las condiciones establecidas en el artículo 26.4 de la LPRL.
CAPÍTULO XI DERECHOS SINDICALES.
ARTÍCULO 63.- DERECHOS Y GARANTÍAS SINDICALES.
1º) Los miembros de los Comités de Empresas o Delegados de personal, dispondrán de una reserva de hasta 45 horas laborales al mes, para faltar al trabajo en donde presten sus servicios en los siguientes casos:
A. Asistencia a Congresos, asambleas y en general a cualquier clase de reuniones que fueran reglamentariamente convocados por las Centrales Sindicales o por órganos de la administración en atención a su condición sindical.
B. Participación en seminarios, cursos o actividades de carácter formativo, promovidos por las Centrales Sindicales a los que fueran convocados para su capacitación.
C. Actos de gestión que deban realizar por encargo de los órganos de gobierno sindicales o por obligaciones de sus actividades específicas. Con cargo a la reserva de horas antes citada, dispondrán de las facilidades necesarias para informar directamente y durante la jornada laboral a los trabajadores/as y técnicos de la categoría o grupo profesional que represente, sobre asuntos de interés directo laboral o sindical. Dicha comunicación se efectuará de modo que no perturbe la normalidad del proceso productivo y con conocimiento previo del Empresario. No se incluirán en el cómputo de las horas, las actuaciones y reuniones llevadas a cabo por iniciativa del Empresario o de la Dirección de la empresa.
Durante el periodo de Negociación de los Convenios de Hostelería, los representantes de los trabajadores/as (comités o Delegados de Personal) con el fin de facilitar la mayor información en Asamblea y reuniones por las centrales sindicales convocantes, dispondrán de las horas necesarias aunque excedan del número fijado en el primer párrafo de este artículo.
El tiempo de ausencia en las circunstancias señaladas, tendrán la consideración de cumplimiento de deberes inexcusables de carácter público y se abonará con la totalidad de los devengos que habría percibido de haber prestado su actividad laboral. En todo caso deberá justificarse ante el empresario el motivo de la falta y el tiempo empleado, anunciándolo con la posible antelación.
2º) Sin perjuicio de los derechos o facultades concedidos por las leyes se reconocen a los Comités o Delegados de Personal, las siguientes funciones:
A. Ser informados por la dirección de la empresa, sobre sanciones impuestas por faltas muy graves y en especial en el supuesto de despido.
B. Ejercer una labor de vigilancia sobre las condiciones de seguridad e higiene en el desarrollo del trabajo en la empresa.
C. Colaborar con la dirección de la empresa para conseguir el cumplimiento de cuantas medidas procuren el mantenimiento y el incremento de la productividad en la empresa.
Podrán pactarse en cada empresa la acumulación de horas entre los distintos miembros del Comité o Delegados de Personal, en uno o varios de sus componentes, sin rebasar el máximo total de horas, pudiendo quedar relevado o relevados del trabajo sin perjuicio de su remuneración.
Los trabajadores/as, sean o no miembros del Comité de Empresa o Delegados de Personal, que ostenten cargos de responsabilidad en la Comisión Ejecutiva, dispondrán de 30 horas laborales al mes, para faltar al trabajo donde prestan sus servicios, con un límite de dos trabajadores y en los casos y condiciones establecidas en este artículo.
Si por disposición legal se estableciera a favor de los Comités o Delegados de Personal de los trabajadores, facultades más amplias que las reconocidas en el presente convenio, dichas facultades se harán extensivas a las aquí convenidas.
ARTÍCULO 64.- DERECHO DE ASAMBLEA.
Siempre que sea solicitado por los miembros del Comité de Empresa o Delegados de personal o de la mayoría simple de la plantilla, avisando con la debida antelación, salvo casos de reconocida ausencia, las empresas facilitarán el derecho de asamblea en los locales de la misma, fuera de las horas de trabajo.
ARTÍCULO 65.- LOCAL SINDICAL.
En las empresas o centros de trabajo con un censo de 50 o más trabajadores/as se pondrá a disposición de estos y en concreto de los representantes legales de los trabajadores o trabajadores en su defecto, un local adecuado en el que puedan desarrollar sus actividades sindicales representativas, deliberar entre sí y comunicarse libremente con sus representantes.
ARTÍCULO 66.- SINDICATOS.
En aquellas empresas con un mínimo de 10 trabajadores/as en la que estén acreditados una afiliación mínima del 10% a un determinado sindicato, se reconocerá al mismo como elemento básico y constitucional para afrontar a través de él, las necesarias relaciones entre trabajador/a y empresario.
Las empresas respetarán el derecho de todos los trabajadores/as a sindicarse libremente: admitirán que todos los trabajadores/as afiliados a un sindicato, puedan realizar reuniones, recaudar cuotas y distribuir información sindical, fuera de las horas de trabajo sin perturbar la actividad normal de la empresa; no podrán sujetar el empleo de un trabajador/a a que se esté o no afiliado o renuncie a su afiliación sindical y tampoco despedir a un trabajador/a o perjudicarle de cualquier forma a causa de su afiliación o actividad sindical.
ARTÍCULO 67.- TABLÓN DE ANUNCIOS Y PUBLICIDAD.
Las empresas afectadas por el presente convenio deberán tenerlo expuesto en sus centros de trabajo en lugar visible y de fácil acceso. Igualmente permitirán, que junto al mismo puedan exponerse, por los representantes de los trabajadores/as, hojas que desarrollen, aclaren o expliquen todos o cada uno de los artículos del convenio.
También se dará publicidad a las nuevas contrataciones conforme estas se vayan publicando.
Se podrá dar publicidad a cualquier información de carácter laboral o sindical con conocimiento del empresario, por estos mismos representantes.
CAPÍTULO XII RÉGIMEN DISCIPLINARIO.
ARTÍCULO 68.- RÉGIMEN DISCIPLINARIO.
En esta materia se estará a lo regulado por el ALEH en su Capítulo VIII.
CAPÍTULO XIII DERECHO SUBROGACIÓN. GARANTÍA POR CAMBIO DE EMPRESARIO.
ARTÍCULO 69.-SUBROGACIÓN CONVENCIONAL. GARANTÍAS POR CAMBIO DE EMPRESARIO.
La regulación de las Sucesiones Empresariales, probablemente uno de los problemas más complejos de las relaciones laborales en la actualidad, ha tenido tratamiento en el ámbito de la Unión Europea, si bien sea con un mero afán armonizador. Mediante la Directivas 77/187/CEE, de 14 de febrero, y 98/50/CEE, de 29 de junio, que modifica la anterior, sobre aproximación de las legislaciones de los Estados miembros relativas al mantenimiento de los derechos de los trabajadores en caso de traspasos de empresas, de centros de actividad o de partes de centros de actividad; se ha intentado una doble finalidad, evitar la incidencia negativa de la sucesión empresarial al en el funcionamiento del mercado, así como establecer un mínimo de protección respecto a ciertos derechos de los trabajadores.
La doctrina legal del Tribunal Supremo, contenida en diversas Sentencias de su Sala de lo Social, ha venido exigiendo como requisito que ha de concurrir para que opere la subrogación empresarial prevista en el artículo 44 del Texto Refundido del Estatuto de los Trabajadores , que se produzca una simultánea transmisión efectiva de los elementos patrimoniales configurados de la infraestructura de la explotación, de modo que la mera sucesión en una actividad empresarial o de servicios no integra el supuesto de hecho del artículo 44 anterior, si no va acompañado de la transmisión de una estructura o soporte patrimonial dotado de autonomía funcional.
No obstante, es posible que mediante norma colectiva sectorial se produzca supuestos de subrogación empresarial, aun cuando no se transmita infraestructura patrimonial, tal como asimismo ha sentado la doctrina legal del Tribunal Supremo en diversas Sentencias. En estos casos al no aplicarse la norma legal, es necesario que la norma convencional establezca las concretas previsiones en relación con las responsabilidades económicas pendientes anteriores a la subrogación.
En coherencia con dicha doctrina legal y, en base a lo contemplado en dichas Directivas y la transposición realizada a nuestro derecho interno, artículos 44, complementado por lo que dispone el 51.1 y por el 49.1) g, así como también por el artículo 64 respecto de las competencias de los representantes unitarios o electos, todos ellos del Estatuto de los Trabajadores, y el artículo 10.3 de la Ley Orgánica de Libertad Sindical . El presente Acuerdo pretende adaptar dicha normativa a las necesidades y problemática específica del sector de la Hostelería y el Turismo, para una mejor y más correcta aplicación. De forma que las distintas situaciones que se producen queden bajo la cobertura del acuerdo suscrito entre las partes interesadas y sea de obligado cumplimiento en todo el territorio del Estado, quedando cerrado en este ámbito de negociación y por tanto no disponible en ámbitos inferiores, salvo el epígrafe referido a derechos de Información y consulta que constituye un mínimo de derecho indisponible.
El presente Capítulo del ALEH tiene por objeto garantizar la subrogación empresarial, con sus efectos, en supuestos de sucesión o sustitución de empresas de Colectividades, en las que no concurra el requisito de la transmisión patrimonial.
La absorción del personal entre quienes se sucedan mediante cualquier título en las actividades que se relacionan en el presente Capítulo, se llevará a cabo en los términos y condiciones aquí indicadas, de acuerdo con lo siguiente:
A. Cuando resulte de aplicación el artículo 44 del Real Decreto Legislativo 1/1995 , Texto Refundido del Estatuto de los Trabajadores, se estará al régimen y efectos que le son propios.
B. Cuando el cambio de titularidad no se encuadre en el ámbito de aplicación citado el artículo 44 del T.R.E.T., los efectos subrogatorios, en atención a las peculiares características de la actividad definida en el ámbito de aplicación, vendrán condicionados a los supuestos y reglas válidamente previstos en esta norma paccionada.
C. En todo caso, será de aplicación subsidiaria el artículo 44 del T.R.E.T. en todo lo no estipulado en el presente acuerdo. No obstante, en ambos casos, serán de aplicación las obligaciones formales y documentales que se establecen.
II. Ámbito de Aplicación.
1. Se entiende por servicio de Colectividades, aquel que realizado por una empresa interpuesta entre la empresa principal (cliente) y el comensal, procede a elaborar y transformar los alimentos mediante un sistema y organización propios, en las instalaciones de cocina del mismo » cliente » o en las suyas propias, sirviendo siempre con posterioridad y mediante personal propio, dichos alimentos en los comedores habilitados al efecto por los clientes y percibiendo por ello una contraprestación. Asimismo, se incluyen dentro del ámbito de aplicación de este capítulo los servicios de Bares, Cafeterías o restauración prestados en virtud de concesiones administrativas.
2. A los efectos del presente Acuerdo se entenderá por:
a) Trabajadores afectados o beneficiarios del contenido del presente Acuerdo, los trabajadores efectivamente empleados por la empresa principal o cedente en el momento de producirse la transmisión, cuyo vínculo laboral este realizado al amparo del artículo 1 del E.T. Sin que afecten las peculiaridades del vínculo contractual temporal o fijo, – ni las específicas del desarrollo de la relación laboral (respecto a jornada, categoría, etc.) en los términos señalados en el epígrafe 4.
En definitiva, serán trabajadores afectados por la subrogación, aquellos que estaban adscritos para desempeñar su tarea laboral en la empresa, centro de actividad o parte del mismo objeto de la transmisión.
b) En cuanto a las empresas afectadas, será toda persona física o jurídica, sea cual sea su revestimiento jurídico, por tanto, individual o societaria, pública o privada, con o sin ánimo de lucro.
Empresa Principal o Cliente: Cualquier persona física o jurídica (en los términos expresados en el párrafo b) responsable directo de la toma de decisión en cuanto a la dispensación, o no, del servicio; con independencia de que sea propietario o no de las instalaciones o enseres necesarios para la prestación del mismo.
Empresa Cedente: cualquier persona física o jurídica (en los términos expresados en el párrafo) que, por cualquiera de las causas previstas en el presente Capítulo, pierda la cualidad de empresario con respecto a la empresa, el centro de actividad o la parte de estos objeto del traspaso, transmisión, venta, arrendamiento o cesión.
Empresa Cesionaria: lo será cualquier persona física o jurídica (en los términos expresados en el párrafo b) que, por cualquiera de las causas previstas en el presente Capítulo, adquiera la cualidad de empresario con respecto a la empresa, el centro de trabajo o la parte de estos objeto del traspaso, transmisión, venta, arrendamiento o cesión.
Comensal: Sujeto al que van destinados los servicios de Hostelería objeto de la sucesión o sustitución.
III. Objeto y Supuestos de la Sucesión o Sustitución Empresarial.
Lo dispuesto en el presente Capítulo, será de aplicación en todos los supuestos de sucesión o sustitución de empresas, en los que no exista transmisión patrimonial, como consecuencia del cambio de titularidad de una empresa, centro de trabajo, de una unidad productiva autónoma, de una unidad de explotación, comercialización o producción de las actividades de Hostelería, o partes de las mismas en virtud entre otros supuestos de:
a) Transmisión derivada de la existencia de una manifestación contractual expresamente suscrita al efecto entre la empresa principal o cedente y cesionaria, entendiendo por tal, cualquier acto jurídicamente relevante que pueda entrañar una modificación de la titularidad de la empresa: contrato de arrendamiento o cualquier otro, ya sea mercantil o civil, resolución administrativa o sentencia firme, incluso la cesión » mortis causa » .
b) Sucesión de contratas, Concesión de la explotación de servicios y Concesiones Administrativas. En los supuestos de sucesión por concesiones Administrativas operará el presente Capítulo con independencia de lo contemplado en el pliego de condiciones.
e) Fusión o aparición de nueva personalidad jurídica derivada de la unión de dos o más empresas anteriormente existentes, que desaparecen para dar paso a una nueva sociedad.
d) Absorción empresarial en la que permanece la personalidad jurídica de la empresa absorbente, aunque desaparezca la de la absorbida.
e) Se incluyen, asimismo:
1. Supuestos de transmisión derivados de una intervención judicial, como puede ser una suspensión de pagos, o restitución de la empresa a su primitivo propietario como consecuencia de una decisión judicial que resuelve un contrato, ya sea mercantil o civil.
2. Supuestos de reversión, al término de contratos de arrendamiento o cualquier otro, mercantil o civil, por cualquier causa de extinción.
Si por decisión de la empresa principal o pacto con terceros se decidiese dejar de prestar los servicios subcontratados o alguno de ellos, de forma provisional o definitiva, no habiendo continuador de la actividad operará la reversión de la titularidad. Según lo previsto en el presente Capítulo o, en su caso, lo dispuesto en el artículo 44 del Texto Refundido del Estatuto de los Trabajadores aprobado por Real Decreto Legislativo 1/1995, de 24 de marzo . En estos supuestos, la empresa cedente que venga prestado servicio no deberá asumir el personal adscrito a dicho servicio.
Igualmente operará la reversión de la titularidad cuando la empresa principal o concesión contrate un servicio de comida transportada que no requiera personal en el centro. No obstante, si este servicio requiriese personal en el centro, si procederá la subrogación, en la proporción necesaria para garantizar la correcta dispensación del servicio.
3. La asunción de actividad por parte de la empresa principal, es aquella en la que como consecuencia de su propia decisión, se produzca el cese total y definitivo de la actividad de la empresa que venía prestando el servicio, siendo asumido este por la empresa principal. Del mismo modo, operará cuando la decisión se adopte por imposición de terceros, o una norma.
Todo ello, sin necesidad de que exista transmisión patrimonial de activos materiales.
IV. Adscripción del Personal.
1. Con la finalidad de garantizar el principio de estabilidad en el empleo de los trabajadores del Sector y la subrogación empresarial en las relaciones laborales del personal, por quien suceda a la empresa saliente en cualquiera de los supuestos previstos en el epígrafe III, los trabajadores de la empresa cedente pasarán a adscribirse a la empresa cesionaria o entidad pública que vaya a realizar el servicio, respetando esta los derechos y obligaciones económicas, sociales, sindicales y personales que se disfrutasen en la empresa cedente, siempre que se den algunos de los siguientes supuestos:
a) Trabajadores en activo que presten sus servicios en dicho centro de actividad con una antigüedad mínima de los cuatro últimos meses en el mismo, sea cual fuere la naturaleza o modalidad de su contrato de trabajo. A efectos de este cómputo se entenderá como tiempo trabajado los períodos de vacaciones, incapacidad temporal u otros supuestos de suspensión de contrato por causa legal o paccionada.
b) Trabajadores que en el momento de cambio de titularidad de la empresa, centro de trabajo, unidad productiva autónoma, unidad de explotación, comercialización o producción de la actividad o parte de la misma, se encuentren enfermos, accidentados, en maternidad, en excedencia, en servicio militar o prestación social sustitutoria o cualquier otra situación en la que el contrato se encuentre suspendido con base en cualquier norma que legal o convencionalmente lo establezca, siempre y cuando hayan prestado sus servicios en el centro objeto de la subrogación con anterioridad a la suspensión de su contrato de trabajo y que reúnan la antigüedad mínima establecida en el apartado anterior.
e) Trabajadores que, con contrato de interinidad, sustituyan a alguno de los trabajadores mencionados en el apartado anterior, y hasta que cese la causa de interinidad.
d) Trabajadores fijos discontinuos, con antigüedad mínima de 4 meses en el centro de trabajo, y que hubieran prestado servicio en el mismo.
2. No existirá subrogación alguna respecto del empresario individual o los socios accionistas con control efectivo de la empresa, administradores o gerentes de la misma, cónyuges de los citados anteriormente y trabajadores contratados como fijos o fijos discontinuos y que tengan relación de parentesco hasta 2º grado de consanguinidad o afinidad con los anteriores, salvo pacto en contrario.
Los trabajadores no afectados por la subrogación empresarial seguirán vinculados con la empresa cedente a todos los efectos.
V. Aspectos formales de la Subrogación.
De no cumplir los requisitos siguientes, la empresa cesionaria automáticamente y sin más formalidades, se subrogará en todo el personal que preste sus servicios en el centro de actividad objeto de la sucesión o sustitución, en los términos contemplados en el presente Acuerdo.
1. La empresa principal comunicará a la empresa cedente la designación de una nueva empresa cesionaria y la fecha en que se producirá de hecho la subrogación.
2. En el transcurso de los 5 días hábiles inmediatos siguientes a la fecha de la comunicación del empresario principal, la empresa cedente deberá acreditar a la cesionaria, documentalmente y de forma fehaciente todos los supuestos anteriormente contemplados mediante los documentos y en los plazos que seguidamente se relacionan:
– Certificación por descubiertos en la Tesorería General de la Seguridad Social.
– Certificación negativa de la Administración de Hacienda.
– Fotocopia de las cuatro últimas nóminas mensuales de los trabajadores afectados.
– Fotocopia de los TC-l, TC-2 y TC2/l de cotización a la Seguridad Social de los cuatro últimos meses.
– Relación de personal en la que se especifique: Nombre y apellidos, domicilio, número de afiliación a la Seguridad Social, antigüedad, jornada, horario, modalidad de su contratación, fecha del disfrute de sus vacaciones y especificación del período de mandato si el trabajador es representante sindical.
– Trabajadores que se encuentren en situación de suspensión de contrato de trabajo, indicando los datos a que se refiere el apartado anterior.
– Fotocopia de los contratos de trabajo escritos del personal afectado por la subrogación.
– Justificante de haber liquidado a todos los trabajadores afectados por la subrogación, la parte proporcional de haberes hasta el momento de la misma, no quedando pendiente cantidad alguna.
En este mismo plazo, se cumplimentarán los derechos de información y consulta de los trabajadores previsto en el epígrafe VIII.
3. En la fecha de la subrogación prevista y una vez cumplidos los requisitos establecidos en el presente acuerdo, la empresa cesionaria procederá a la incorporación de los trabajadores.
Simultáneamente a su incorporación, ambas partes procederán a la firma del documento previsto en la Disposición Adicional Segunda, en el que constará declaración de aquellos trabajadores que mantengan vínculo familiar o relación de parentesco hasta segundo grado de afinidad o consanguinidad, con el empresario cedente, si este es persona física, o con los socios accionistas, administradores o gerentes de la empresa saliente si se tratase de una persona jurídica, así como de los cónyuges de estos.
VI. Contenido de la Protección.
1. Las disposiciones aquí contempladas son imperativas para las partes a las que afecta, empresa principal, cedente, cesionaria y trabajador, sin que sea válida ninguna renuncia de derechos. No desaparecerá dicho carácter imperativo en el caso de que la empresa cesionaria suspendiese total o parcialmente el servicio.
2. La empresa entrante quedará subrogada en los derechos y obligaciones respecto de los trabajadores.
3. En lo que respecta al Convenio Colectivo de aplicación, se tendrán en cuenta las siguientes previsiones:
a) En el supuesto de que la actividad de la empresa principal sea la Hostelería, y ceda servicios, propios y característicos de ésta, y, por tanto, previstos dentro del contenido de la prestación laboral de las Categorías Profesionales reguladas en el ALEH, el convenio de aplicación para los trabajadores que desempeñen el servicio cedido, con independencia de cuál sea el objeto principal de la empresa cesionaria, será el Convenio Colectivo de Hostelería del ámbito correspondiente.
b) En los supuestos en que el objeto de la empresa principal no sea la Hostelería, pero se cedan servicios de comida y bebidas, aun cuando la comida no se elabore en la cocina del cliente sino en las instalaciones propias de la empresa cesionaria, se mantendrá a estos trabajadores el contenido normativo del convenio colectivo que regía las relaciones laborales de la empresa de procedencia, manteniendo las condiciones de trabajo de que venían disfrutando en la empresa cedente durante un período de 12 meses, en el que se llevarán a cabo las oportunas negociaciones con la representación de los trabajadores, al objeto de efectuar el cambio al marco normativo de aplicación general del Sector contemplado en el apartado anterior. Si transcurrido dicho periodo no existiese acuerdo, o durante el mismo a instancia de las partes, la Comisión Paritaria establecerá el convenio Colectivo que resulte de aplicación.
En cualquier caso, aquellos trabajadores que no se encuentren afectos por subrogación, y sean de nueva incorporación a la empresa, les será de aplicación el Convenio de Hostelería del ámbito correspondiente.
Las deudas salariales y extrasalariales que pudieran existir generadas por la empresa cedente serán satisfechas por la misma, respondiendo la empresa principal solidariamente de las mismas.
En relación con el ámbito de las prestaciones de la Seguridad Social:
a) La empresa cesionaria está obligada a subrogarse en las obligaciones empresariales relacionadas con los regímenes legales. En relación con los complementarios, ya estén regulados en norma legal o convencional, si procediera el pago de alguno de ellos jubilación, invalidez, pagos a favor de supervivientes o cualesquiera otros) la empresa que asuma dicho pago podrá reclamar a las empresas anteriores el pago de la parte proporcional que les pudiera corresponder.
b) En el caso de existir deudas a la Seguridad Social por descubiertos o por diferencias salariales generadas por la empresa cedente, será esta la que responda de las mismas, sin que exista responsabilidad alguna por parte de la empresa cesionaria.
VII. Garantías de los Representantes de los Trabajadores.
La nueva empresa deberá respetar la garantía sindical de aquellos Delegados de Personal o miembros del Comité de Empresa y Delegados Sindicales afectados por la subrogación hasta la finalización del mandato para el que fueron elegidos.
VIII. Derechos de Información y Consulta.
Tanto la empresa cedente, como la empresa cesionaria, deberán de informar, a los representantes legales de los trabajadores afectados por el traspaso, con anterioridad a la sucesión o sustitución empresarial, de las siguientes cuestiones:
– La fecha cierta o prevista del traspaso.
– Los motivos del mismo.
– Las consecuencias jurídicas, económicas y sociales para los trabajadores.
– Las medidas previstas respecto de los trabajadores.
– La relación nominal de la totalidad de trabajadores, incluidos aquellos en supuestos de suspensión del contrato, afectados por la subrogación empresarial con detalle de la modalidad del contrato del mismo.
– La relación nominal y motivada de trabajadores excluidos de la subrogación empresarial.
– TC2 de los 4 últimos meses.
En los casos en los que no existan representantes legales de los trabajadores, los afectados por el traspaso serán informados, individualmente y con carácter previo a la sucesión o sustitución empresarial del contenido en los cuatro primeros puntos anteriores, además de la situación personal del trabajador afectado respecto a su contrato individual.
Si por decisión administrativa o norma legal, en virtud de la aplicación del nuevo sistema educativo, se produjese un traslado o reubicación de comensales, en número importante (más del 75%), en centros distintos de aquellos en los que originalmente recibía el servicio de colectividades, las empresas podrán readaptar el número de trabajadores de los centros afectados por la redistribución, en 1.05 términos previstos en el presente acuerdo. De forma que la empresa de colectividades beneficiaria del incremento de comensales deberá incrementar su plantilla para dispensar el servicio con el personal excedente de la otra empresa. Si como consecuencia de lo anterior no se pudiera reubicar a todo el personal, los excedentes permanecerán en la empresa originaria, al objeto de mantener en todos los casos el número total de trabajadores entre los dos centros afectados, sin perjuicio de las medidas empresariales que puedan adoptarse en el marco legal vigente.
La interpretación y resolución de las discrepancias que se susciten en relación a la aplicación del presente Capitulo será competencia de la Subcomisión de Restaurantes, Cafeterías y Bares, emanada de la Comisión Paritaria del ALEH.
DISPOSICIÓN ADICIONAL ÚNICA.
La Comisión Paritaria elaborará un protocolo de actuación en materia de Prevención de Riesgos Laborales en caso de alerta sanitaria.
TABLA SALARIAL 2024.
ANEXO II – TABLA SALARIAL 2025.
ANEXO II – TABLA SALARIAL 2026.
Hay varias firmas ilegibles.
