CONVENIO COLECTIVO (DOGC Núm. 8876 – 16.3.2023)
RESOLUCIÓN EMT/848/2023, de 3 de marzo, por la que se dispone la inscripción y la publicación del III Convenio colectivo de trabajo de los hospitales de agudos, centros de atención primaria, centros sociosanitarios y centros de salud mental, concertados con el Servicio Catalán de la Salud (código de convenio núm. 79100135012015).
Visto el texto del III Convenio colectivo de trabajo de los hospitales de agudos, centros de atención primaria, centros sociosanitarios y centros de salud mental, concertados con el Servicio Catalán de la Salud, suscrito en fecha 17 de enero de 2023 y subsanado en fecha 27 de febrero de 2023, por la parte de la representación social por Comissions Obreres (CCOO), Unió General de Treballadors (UGT) i el Sindicat d’Enfermeria (SATSE), y por la parte empresarial por la Unió Catalana d’Hospitals (La Unió), el Consorci Associació Patronal Sanitària i Social (CAPSS), y la Associació Catalana d’Entitats de Salut (ACES), de acuerdo con lo que disponen el artículo 90.2 y 3 del Texto Refundido de la Ley del Estatuto de los trabajadores, aprobado por el Real decreto legislativo 2/2015, de 23 de octubre; el artículo 2.1) del Real decreto 713/2010, de 28 de mayo, sobre registro y depósito de convenios colectivos, acuerdos colectivos de trabajo y planes de igualdad; el Decreto 35/2022, de reestructuración del Departamento de Empresa y Trabajo, y el artículo 6 de la Ley 26/2010, de 3 de agosto, de régimen jurídico y de procedimiento de las administraciones públicas de Cataluña,
Resuelvo:
–1 Disponer la inscripción del convenio mencionado en el Registro de convenios colectivos, acuerdos colectivos de trabajo y planes de igualdad de la Dirección General de Relaciones Laborales, Trabajo Autónomo, Seguridad y Salud, con notificación a la Comisión negociadora.
–2 Disponer su publicación en el Diari Oficial de la Generalitat de Catalunya, con el cumplimento previo de los trámites pertinentes.
Barcelona, 3 de marzo de 2023
Òscar Riu Garcia
Director general de Relaciones Laborales, Trabajo Autónomo, Seguridad y Salud Laboral
TERCER CONVENIO COLECTIVO DE TRABAJO DE LOS HOSPITALES DE AGUDOS, CENTROS DE ATENCIÓN PRIMARIA, CENTROS SOCIOSANITARIOS Y CENTROS DE SALUD MENTAL, CONCERTADOS CON EL SERVICIO CATALÁN DE LA SALUD
Capítulo 1 Disposiciones generales
Artículo 1 Partes que lo conciertan y ámbito funcional
1.1. El presente Convenio ha sido concertado por las organizaciones empresariales y sindicales que a continuación se relacionan, que ostentan la legitimación necesaria establecida en el artículo 87 del Real Decreto Legislativo 2/2015, de 23 de octubre, por el cual se aprueba el texto refundido de la Ley del Estatuto de los trabajadores.
Por parte de las representaciones sindicales: CCOO, UGT y SATSE.
Por parte de las representaciones patronales: Unión Catalana de Hospitales (La Unión), Consorcio Asociación Patronal Sanitaria y Social (CAPSS) y Asociación Catalana de Entidades de la Salud (ACES).
1.2. El presente Convenio será de aplicación:
a. En los centros sociosanitarios y en los centros de salud mental, concertados con el Servicio Catalán de la Salud, siempre que no tengan Convenio colectivo propio y que acrediten unos ingresos habituales y continuados superiores al 50% de su facturación provenientes de la actividad concertada y/o contratada con el Servicio Catalán de la Salud.
b. En los hospitales de agudos que forman parte de la red de internamiento del SISCAT, y en los centros de atención primaria, concertados con el Servicio Catalán de la Salud, y que no tengan Convenio colectivo propio.
Artículo 2 Ámbito personal
2.1. Quedan comprendidos dentro del ámbito del Convenio todas las personas trabajadoras que presten sus servicios en los centros o instituciones a los que sea de aplicación.
2.2. El personal en régimen de formación por el sistema de residencia regulará su relación laboral especial por lo que dispone el Real Decreto 1146/2006, de 6 de octubre, por el que se regula la relación laboral especial de residencia para la formación de especialistas en ciencias de la salud, de acuerdo con lo que establecen los programas nacionales para cada especialidad.
Las condiciones de trabajo del personal en formación para el sistema de residencia serán las correspondientes a su grupo profesional y sus retribuciones serán las establecidas en las tablas salariales. En todo caso quedan excluidos de su retribución los siguientes conceptos salariales: complemento de responsabilidad, supervisión o mando (artículo 31), complemento de atención programada (artículo 33), complemento de adscripción en el SIPDP (artículo 33), complemento de adscripción en el SIP (artículo 33), complemento de atención continuada (artículo 33), complemento de dispersión territorial (artículo 33), la retribución variable en función de objetivos (artículo 36), complemento de productividad asociado al régimen de especial dedicación voluntaria de las enfermeras y enfermeros del grupo profesional 2.2 (artículo 36) y el complemento SIPDP y SIP (artículo 75)
Artículo 3 Ámbito territorial
El ámbito territorial del Convenio colectivo es la comunidad autónoma de Cataluña y, por lo tanto, afecta a todos los centros de trabajo comprendidos dentro de su ámbito funcional, aunque la sede central de la empresa o su domicilio social radique fuera de la comunidad autónoma.
Artículo 4 Vigencia
El presente Convenio entrará en vigor el día 1 de enero de 2021, excepto en aquellas materias en que se indica otra fecha de entrada en vigor.
Artículo 5 Duración
Los efectos de este Convenio se extinguirán el 31 de diciembre de 2024.
Artículo 6 Denuncia
6.1. La denuncia para la revisión del Convenio se efectuará por escrito y dentro de los tres meses anteriores a la fecha de su vencimiento inicial o en la de cualquiera de sus prórrogas. La denuncia se podrá efectuar por cualquier organización sindical o empresarial con legitimación inicial para la negociación del Convenio y se tendrá que comunicar a las representaciones empresariales y sindicales que también tengan esta legitimación inicial y a la autoridad laboral.
6.2. Una vez denunciado, el presente Convenio mantendrá su vigencia mientras que no se firme un nuevo Convenio que lo sustituya. En caso de no haber llegado a un acuerdo de Convenio después de un año desde la denuncia, las partes se comprometen a un proceso de mediación ante la autoridad laboral y, en caso de desacuerdo, a los procedimientos de resolución extrajudicial de conflictos ante el Tribunal Laboral de Cataluña (u organismo que lo sustituya en sus funciones) a que hace referencia el Acuerdo Interprofesional de Cataluña.
Artículo 7 Prórroga
El Convenio quedará automáticamente prorrogado al finalizar su vigencia y en sus propios términos, por el periodo de un año, si ninguna de las representaciones procede a su denuncia de conformidad con aquello que establece el artículo 6.
Artículo 8 Comisión negociadora
La Comisión negociadora del nuevo Convenio colectivo se constituirá formalmente en el plazo máximo de un mes a partir de la fecha en que el Convenio sea denunciado. Ostentarán la presidencia y la secretaría las personas que los miembros de la comisión, por mayoría de cada una de las representaciones, acuerden.
Artículo 9 Prelación de normas
Las normas que contiene el presente Convenio regularán con carácter preferente las relaciones entre las instituciones comprendidas en su ámbito y sus personas trabajadoras.
En aquello que no está previsto, se ajustará a lo dispuesto el Real Decreto Legislativo 2/2015, de 23 de octubre, por el cual se aprueba el texto refundido de la Ley del Estatuto de los trabajadores y otras disposiciones de aplicación, y en particular en la Ley 55/2003, de 16 de diciembre, del Estatuto Marco del personal estatutario de los servicios de salud en lo referente al régimen de jornada y descansos del personal de los grupos profesionales 1, 2 y 3.
Artículo 10 Absorción y compensación
El conjunto de pactos que contiene el presente Convenio colectivo sustituye, íntegramente, las condiciones, tanto económicas como de trabajo, existentes en su entrada en vigor en cualquiera de los centros o instituciones afectados que sean; por lo cual, estas y cualesquiera otras quedan comprendidas y compensadas con la nueva regulación convenida, y eso independientemente de su origen, carácter, naturaleza, denominación y cuantía.
En cuanto a las disposiciones futuras que se puedan promulgar durante la vigencia del Convenio, sólo tendrán eficacia práctica cuando, consideradas en su conjunto y cómputo anual, superen las condiciones del presente Convenio, consideradas así en su conjunto y en cómputo anual.
Artículo 11 Vinculación a la totalidad
Las condiciones pactadas forman un todo orgánico e indivisible y, a efectos de su aplicación práctica, serán consideradas globalmente.
Artículo 12 Garantías
12.1. Con carácter estrictamente personal se respetarán las situaciones personales que, en conjunto y en cómputo anual, superen las condiciones establecidas en el presente Convenio, también consideradas en su conjunto y cómputo anual.
12.2. Asimismo, se respetarán los acuerdos alcanzados entre las empresas y la representación del personal, siempre que, en conjunto y en cómputo anual, superen las condiciones establecidas en el presente Convenio, también consideradas en su conjunto y cómputo anual. En la condición de que estos acuerdos se respetarán en los estrictos términos y plazos en que se acordaron.
No obstante lo establecido en el párrafo anterior, y respetando en todo caso la autonomía de gestión de las empresas incluidas en el ámbito de aplicación del Convenio en relación a las condiciones de trabajo pactadas en cada una de ellas, es voluntad manifiesta de las partes firmantes que la aplicación del Convenio no suponga un empeoramiento de las condiciones de trabajo pactadas colectivamente en el seno de las empresas y globalmente consideradas, sin perjuicio, en su caso, de los mecanismos de los artículos 41 y 82.3 del Real Decreto Legislativo 2/2015, de 23 de octubre, por el que se aprueba el texto refundido de la Ley del Estatuto de los trabajadores. En este sentido, los acuerdos alcanzados entre las empresas y la representación del personal podrán ser objeto de extensión en el tiempo (prórroga) si así se acuerda expresamente por las partes a nivel de cada centro.
Esta extensión, si se produce, se tendrá que hacer por escrito, y tendrá que expresar:
a. Términos de la extensión, que podrán ser los mismos o diferentes.
b. Duración de la extensión.
Artículo 13 Comisión paritaria
13.1. Como órgano para la interpretación y vigilancia del Convenio colectivo, se crea una Comisión paritaria que tendrá las funciones específicas siguientes:
1. Interpretación del Convenio, incluyendo la materia de grupos profesionales.
2. Funciones de conciliación, mediación y arbitraje en aquellos casos en que las partes, de común acuerdo, lo sometan a su consideración.
3. Todas aquellas que se le atribuyen en el presente Convenio o en la ley.
4. Resolver las discrepancias que puedan surgir en la negociación para la modificación sustancial de condiciones de trabajo establecidas en el Convenio colectivo de conformidad con el establecido en el artículo 41.6 del Real Decreto Legislativo 2/2015, de 23 de octubre, por el cual se aprueba el texto refundido de la Ley del Estatuto de los trabajadores, así como en la negociación para la no aplicación de las condiciones de trabajo pactadas en el Convenio a que se refiere el artículo 82.3 de la misma norma legal.
5. Valorar y autorizar, si procede, la sustitución del disfrute de los días de vacaciones que establece el premio de fidelización, por una compensación económica equivalente al salario base, en caso de que se den circunstancias excepcionales.
13.2. Cualquiera de las partes puede someter la discrepancia a la Comisión paritaria, que dispone de un plazo máximo de siete días para pronunciarse, a contar desde el momento en que la discrepancia le sea planteada. Cuando no se haya solicitado la intervención de la comisión o esta no haya llegado a un acuerdo, las partes tienen que recurrir a los procedimientos que se hayan establecido en los acuerdos interprofesionales de ámbito autonómico vigentes en cada momento.
13.3. Cualquiera de las discrepancias que se planteen a la Comisión paritaria, a excepción de las relacionadas en el punto 5 del apartado anterior, que disponen de un régimen especial, la comisión tendrá que pronunciarse en el plazo de 15 días, excepto que las partes, de mutuo acuerdo, decidan un plazo superior.
13.4. La comisión será paritaria y estará integrada por 13 miembros en representación de la parte sindical (5 miembros de CCOO, 5 miembros de UGT y 3 miembros de SATSE) y 13 miembros de la parte empresarial, firmantes de este Convenio.
Podrán asesorar con voz pero sin voto, a las personas que las partes designen.
13.5. En la primera reunión, la Comisión paritaria escogerá entre sus miembros a las personas que ostentarán la presidencia y secretaría.
13.6. La Comisión paritaria se reunirá siempre que lo solicite cualquiera de las organizaciones sindicales o empresariales en ella representadas. La solicitud se formulará por escrito y dirigida a la presidencia, en la que se indicará con claridad y precisión el tema que se someta a consideración de la comisión. La convocatoria se hará por escrito, con una antelación mínima de 5 días, con indicación del orden del día y la fecha de la reunión, adjuntando la documentación necesaria. Sólo en caso de urgencia, reconocida por ambas partes, el plazo podrá ser inferior.
13.7. La comisión se reunirá con carácter ordinario una vez al mes, y con carácter extraordinario, cada vez que lo pida alguna de las organizaciones, sindical o patronal, que haya firmado el Convenio.
13.8. De lo que se haya tratado en las reuniones de la Comisión paritaria se redactará un acta que firmará una persona designada por organización. Los acuerdos se tomarán por mayoría simple de voto, dentro de cada una de las representaciones. Para poder adoptar acuerdos, tendrán que asistir a la reunión de la comisión un mínimo del 50% de cada una de las dos partes, social y empresarial y adicionalmente tendrá que estar presente el 50% de cada una de las organizaciones representadas.
Ambas partes se someten a los procedimientos de conciliación y mediación en el Tribunal Laboral de Cataluña (u órgano que lo sustituya) con el fin de dirimir las discrepancias en el momento de adoptar acuerdos que se puedan producir en el seno de la comisión paritaria, en cumplimiento del artículo 85.3 del Real Decreto Legislativo 2/2015, de 23 de octubre, por el cual se aprueba el texto refundido de la Ley del Estatuto de los trabajadores.
13.9. El domicilio de la comisión paritaria, a efectos de comunicaciones, estará en Barcelona (08009), en la calle València, 333, bajos, aunque se reunirá donde la presidencia designe, previa consulta en las partes.
A efectos de comunicación se implementarán dos direcciones de correo electrónico, una será gestionada por la secretaría y la otra por la presidencia, que se identificarán en la primera reunión de la Comisión paritaria.
Capítulo 2 Organización del trabajo, clasificación profesional, ingresos, ceses, cambio de puesto de trabajo
Artículo 14 Organización del trabajo
La organización práctica del trabajo, con respecto a las normas que contiene el presente Convenio y con las limitaciones establecidas por las leyes, es facultad exclusiva de la dirección, sin perjuicio del deber de información que tiene hacia el Comité de empresa o, si procede, hacia la representación legal y sindical de las personas trabajadoras.
Las empresas incluidas en el ámbito funcional del presente Convenio colectivo podrán aplicar las previsiones de los artículos 8.2 y 9.4 de la Ley 44/2003, de 21 de noviembre, de ordenación de las profesiones sanitarias.
Artículo 15 Grupos profesionales y puestos de trabajo
A partir del 1 de enero de 2023, el personal afectado por el presente Convenio se integrará en uno de los siete grupos profesionales y en los puestos de trabajo y niveles o equivalentes, que se señalan a continuación:
La adscripción del personal en cualquiera de los grupos profesionales anteriores se indicará en los recibos de salarios y se realizará sin perjuicio de establecer, a cada uno de los grupos, los niveles que se consideren convenientes de acuerdo con los usos y costumbres de cada centro o institución incluidos en este Convenio.
El contenido funcional de los diferentes puestos de trabajo es el que se detalla al anexo 1 del Convenio, de manera sucinta y no excluyente.
La clasificación profesional establecida en este Convenio será objeto de revisión por la Comisión negociadora para su adecuación, si procede, cuando la Comisión de Recursos Humanos del Consejo Interterritorial del Sistema Nacional de Salud publique su clasificación. Todo eso sin perjuicio de lo que dice la Disposición adicional cuarta del presente Convenio.
Artículo 16 Ingresos
16.1. Los ingresos de personal, cualquiera que sea la modalidad contractual utilizada, se considerarán hechos a modo de prueba y su plazo no será superior a los períodos siguientes:
a) Grupos 1 y 2: 4 meses
b) Resto de grupos: 1 mes
16.2. Como excepción a la regla anterior, en los contratos temporales que tengan, desde el inicio, una fecha cierta de finalización, el período de prueba no podrá ser superior a un tercio del período total pactado.
16.3. El período de prueba se tendrá que pactar por escrito y, durante este, se podrá rescindir el contrato sin obligación de avisar previamente ni indemnizar.
Artículo 17 Ceses
17.1. El personal que cese voluntariamente tendrá que comunicarlo por escrito a la dirección; en este sentido se establecen los plazos de preaviso siguientes:
a. Grupos 1 y 2: 1 mes
b. Resto del personal: 2 semanas
17.2. A quien incumpla los plazos de preaviso convenidos, la empresa le podrá deducir de la liquidación de partes proporcionales y salarios pendientes, el equivalente diario de su retribución por cada día no dado por el preaviso pactado.
Artículo 18 Cambio de puesto de trabajo. Cambio de turno. Ascensos
18.1. La dirección está facultada para acordar los cambios de puesto de trabajo que hagan falta, sin otras limitaciones que las exigidas por las titulaciones académicas o profesionales necesarias para exigir la prestación laboral y la pertenencia al grupo profesional, según quedan establecidos al artículo 15 del presente Convenio.
18.2. Cuando el cambio comporte una modificación sustancial de las condiciones de trabajo, uno se ajustará a lo que dispone el artículo 41 del Real Decreto Legislativo 2/2015, de 23 de octubre, por el cual se aprueba el texto refundido de la Ley del Estatuto de los trabajadores.
18.3. A igualdad de condiciones y aptitudes, se establece la preferencia en la antigüedad en el grupo profesional para el cambio de turno, siempre respetando, sin embargo, las preferencias establecidas en preceptos de derecho necesario (ejemplo: estudios).
18.4. Para cubrir las vacantes que se produzcan en los diferentes grupos profesionales que no impliquen funciones de dirección, mando o supervisión, tendrá preferencia en igualdad de condiciones, el personal de la empresa debidamente capacitado, según exija la necesidad de la vacante a cubrir, y aplicando el criterio de antigüedad en esta capacitación, y todo ello independientemente del grupo de procedencia.
Capítulo 3 Jornada, horarios, descanso diario, semanal y anual (vacaciones), festivos intersemanales y permisos
Artículo 19 Jornada ordinaria
19.1. La jornada efectiva de trabajo es la siguiente:
Jornada grupo 1: 1.688 horas efectivas
Jornada turno de día grupos 2 al 7: 1.620 horas efectivas.
Jornada turno de noche grupos 2 al 7: 1.562 horas efectivas.
19.2. No se regula en este Convenio el régimen de jornada (que incluye la jornada complementaria de atención continuada) y descansos del personal de los grupos profesionales 1, 2 y 3, con el fin de garantizar la aplicación de la regulación que en esta materia establece la sección primera del capítulo X de la Ley 55/2003, de 16 de diciembre, del Estatuto marco del personal estatutario de los servicios de salud, mediante su disposición adicional 2ª
Cualquier modificación empresarial del régimen de descansos que las personas trabajadoras disfrutaban, con anterioridad a la entrada en vigor de este Convenio y/o de los acuerdos parciales que se alcancen durante la negociación, necesitará que previamente a su implantación sea fiscalizada por la Comisión paritaria del Convenio.
19.3. En aquellos centros que tengan una jornada anual máxima inferior a la establecida en el presente Convenio, le será respetada aquella jornada, en los términos y plazos que tengan pactados, como jornada máxima completa a todos los efectos. Las reducciones de jornadas correspondientes a los ejercicios 2019 y 2020 se seguirán haciendo en jornadas enteras, tal como establecía el Convenio en aquellos ejercicios.
19.4. Las empresas implementarán un sistema de registro diario de jornada que refleje de forma fidedigna la jornada diaria de cada persona trabajadora y en lo que, al menos, se incluirá el inicio y la finalización de la jornada de trabajo. El sistema de registro se tiene que organizar y documentar mediante negociación colectiva o acuerdo de empresa o, en su defecto, decisión del empresario previa consulta con la representación legal de las personas trabajadoras, en los términos legalmente establecidos y se atenderá a las características de cada empresa y de las condiciones de la prestación del trabajo.
El sistema, que facilitará la empresa, tendrá que permitir el registro en los supuestos de personas trabajadoras que no tengan un puesto físico en el centro de trabajo, formen parte de su jornada fuera del centro de trabajo o el puesto de trabajo no esté en el centro de trabajo al que esté adscrito y a las personas trabajadoras que trabajen en el centro de trabajo al que estén adscritas; en supuestos de aplicación de las diferentes formas de flexibilidad del tiempo de trabajo cuando se trate de personas trabajadoras con adaptaciones de la duración y distribución de la jornada de trabajo, en la ordenación del tiempo de trabajo y en la forma de prestación, incluida la prestación de su trabajo a distancia.
El sistema utilizado será el menos invasivo posible y garantizará el derecho de las personas trabajadoras a su intimidad, a la protección de datos de carácter personal y a los derechos digitales reconocidos en la normativa vigente. Este registro tendrá que ser validado por la persona trabajadora que, en caso de que no se encontrara conforme con este, podrá efectuar la reclamación oportuna ante el departamento correspondiente de la empresa. Las empresas conservarán los registros durante cuatro años y quedarán a disposición de las personas trabajadoras, de su representación legal y de la Inspección de Trabajo y Seguridad Social.
Artículo 20 Distribución de la jornada (Grupos profesionales 4, 5, 6 y 7)
20.1. Durante la vigencia del Convenio, la distribución irregular de la jornada a lo largo del año se limitará a un 5% de la jornada anual contratada (proporcional al tiempo de prestación de servicio durante el año), en los términos siguientes:
a. La distribución irregular de la jornada estará limitada exclusivamente por los períodos mínimos de descanso diario, semanal y anual que vengan establecidos por la ley en cada momento, sin que sea aplicable ninguna otra limitación.
b. Al personal que esté disfrutando de reducción de jornada por cuidado de familiares, no se lo podrá efectuar ningún tipo de flexibilidad, excepto acuerdo entre las partes.
c. El personal tendrá que conocer con un preaviso mínimo de cinco días el día y la hora de la prestación de trabajo.
20.2. Respetando el cómputo anual, la jornada se podrá distribuir, según acuerden en cada centro o institución sanitaria, conjuntamente la dirección y el comité de empresa o delegados y delegadas de personal, aunque se superen las nueve horas diarias, de acuerdo con aquello que establece el artículo 34.3 del Real Decreto Legislativo 2/2015, de 23 de octubre, por el cual se aprueba el texto refundido de la Ley del Estatuto de los trabajadores.
20.3. Cuando se practique horario continuo de doce horas, el personal tendrá derecho a cuarenta minutos de descanso. Si el horario continuo supera las nueve horas, el descanso será de veinticinco minutos. Si el horario continuo supera las cinco horas, el descanso será de quince minutos. El descanso se tendrá que conceder dentro de la jornada de trabajo y se considerará como de trabajo efectivo, por lo que se tendrá que computar dentro de la jornada pactada en el artículo 19. El personal con horario de trabajo partido no tendrá derecho a ningún tipo de descanso excepto si alguno de los dos bloques de jornada supera las cinco horas, en las que tendrá un descanso de quince minutos.
Artículo 21 Descanso diario y semanal del personal de los grupos 4, 5, 6 y 7
21.1. Entre jornada y jornada de trabajo tendrá que haber un descanso ininterrumpido de doce horas, como mínimo.
21.2. Asimismo, el personal tendrá derecho a un descanso mínimo semanal de 36 horas ininterrumpidas.
21.3. La jornada pactada en el artículo 19 se distribuirá de tal forma que las personas trabajadoras disfruten de un mínimo de dos domingos de descanso al mes.
Artículo 22 Descanso periódico anual (vacaciones) del personal de los grupos 4, 5, 6 y 7
22.1. Las vacaciones serán de 30 días naturales por año trabajado y, preferentemente, se realizarán en los meses comprendidos entre mayo y septiembre.
22.2. Cuando por necesidades del servicio no fuera posible de disfrutar dentro de los meses indicados en el número anterior, el personal tendrá derecho a 34 días naturales, si realiza todas las vacaciones fuera del período preferente. En el supuesto de que sólo una parte de las vacaciones se realicen fuera del período preferente, los días suplementarios de vacaciones se calcularán a proporción.
22.3. Para el personal de nuevo ingreso se creará el derecho al disfrute de la parte proporcional de las vacaciones que les corresponda cuando lleven, cuando menos, seis meses ininterrumpidos de trabajo en la empresa, salvo pacto en contra en el contrato individual.
22.4. El calendario de vacaciones se establecerá anualmente y tendrá que estar elaborado, al menos, con dos meses de anticipación a la fecha en que se inicien. La solicitud de vacaciones por parte de la persona trabajadora tendrá que ser contestada de forma expresa por parte de la empresa en un plazo máximo de dos meses. El incumplimiento de este plazo implicará la aceptación por parte de la empresa del período solicitado, siempre y cuando la solicitud no contravenga la reglamentación interna de la empresa.
22.5. Cuando el período de vacaciones coincida con una incapacidad temporal derivada de embarazo, parte o lactancia natural o con el período de suspensión por nacimiento, por adopción, por guarda con fines de adopción y de acogimiento, suspensión por riesgo durante el embarazo o la lactancia natural, la persona trabajadora tendrá derecho a disfrutar de las vacaciones en una fecha diferente al finalizar el período de suspensión, aunque haya finalizado el año natural a que correspondan.
22.6. En el supuesto de que el período vacaciones coincida con una incapacidad temporal por contingencias diferentes a las señaladas en el párrafo anterior, que imposibilite a la persona trabajadora su disfrute, total o parcialmente, durante el año natural a que correspondan, la persona trabajadora lo podrá hacer una vez finalice su incapacidad, y siempre que no hayan transcurrido más de 18 meses a partir del final del año en que se hayan originado.
Artículo 23 Festivos intersemanales del personal de los grupos 4, 5, 6 y 7
Con independencia de los 14 días festivos intersemanales fijados en el calendario oficial del Departamento de Empresa y Trabajo, todo el personal de los grupos 4, 5, 6 y 7 dispondrá, por aplicación de Convenio, de dos días más de fiesta, un día por Semana Santa y el otro por Navidad, que también se podrán disfrutar dentro de las dos semanas anteriores y posteriores, en la que coincida con la de Semana Santa o con la de Navidad (a disfrutar en jornadas enteras).
Uno de estos dos días tendrá la consideración de jornada efectivamente trabajada.
Artículo 24 Días de trabajo y descanso del personal de los grupos 4, 5, 6 y 7
24.1. De acuerdo con lo que se ha pactado en los artículos anteriores se garantiza que todo el personal de los grupos 4, 5, 6 y 7 tiene que tener como mínimo los siguientes días de descanso:
a. 30 días naturales de vacaciones (artículo 22 del Convenio).
b. 1 día y medio de descanso semanal (artículo 21.2 del Convenio).
c. 14 días festivos intersemanales del calendario oficial (artículo 37.2 del Real Decreto Legislativo 2/2015, de 23 de octubre, por el cual se aprueba el texto refundido de la Ley del Estatuto de los trabajadores) que, de no poder disfrutarse, tendrán descanso compensatorio.
d.2 días festivos (artículo 23 del Convenio).
24.2. Las empresas tienen que garantizar que, de estos días de descanso, dos de cada mes, tienen que coincidir en domingos (artículo 21.3 del Convenio).
24.3. Todos los descansos podrán ser acumulables en los términos y supuestos que legalmente proceda.
Capítulo 4 Condiciones retributivas
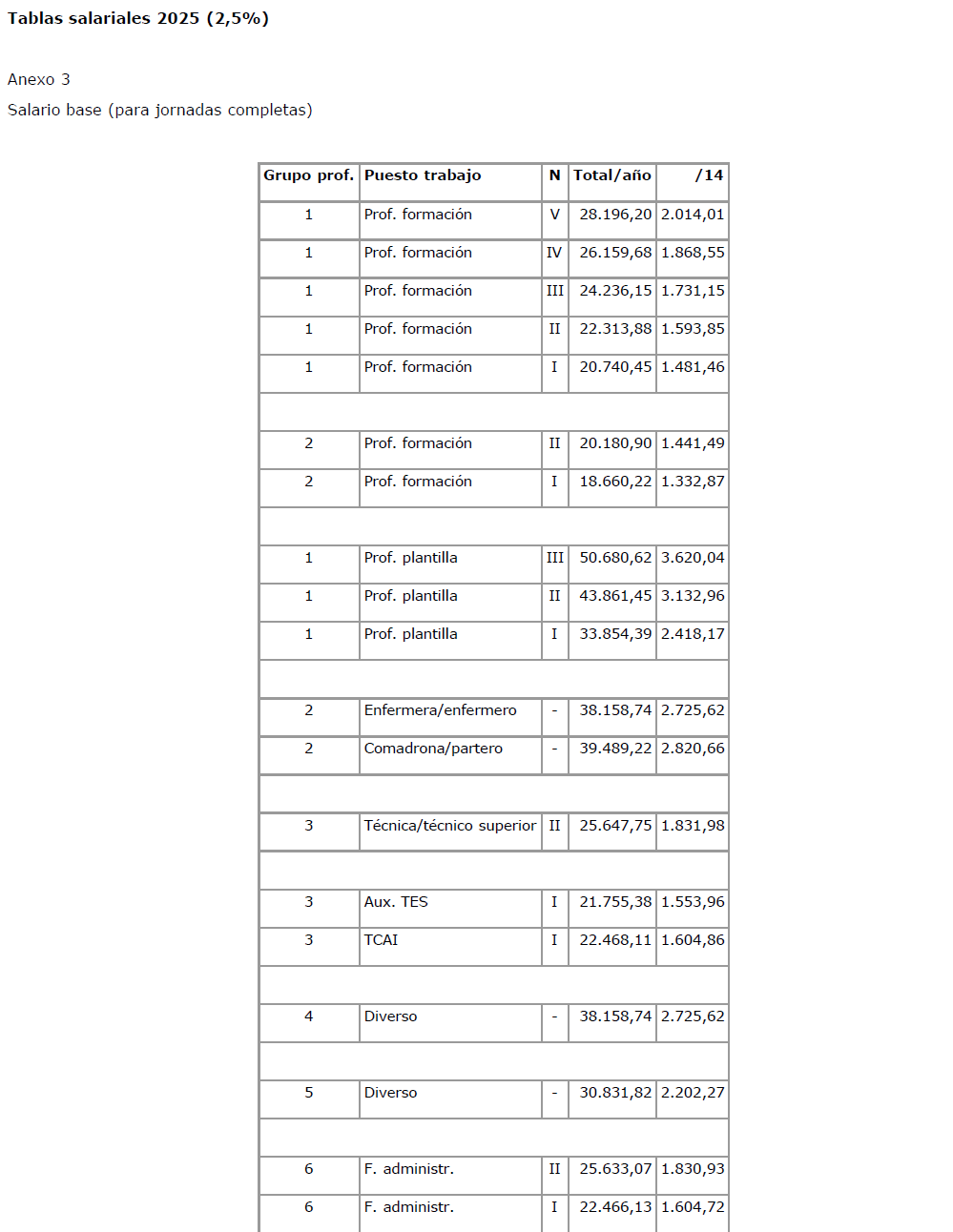
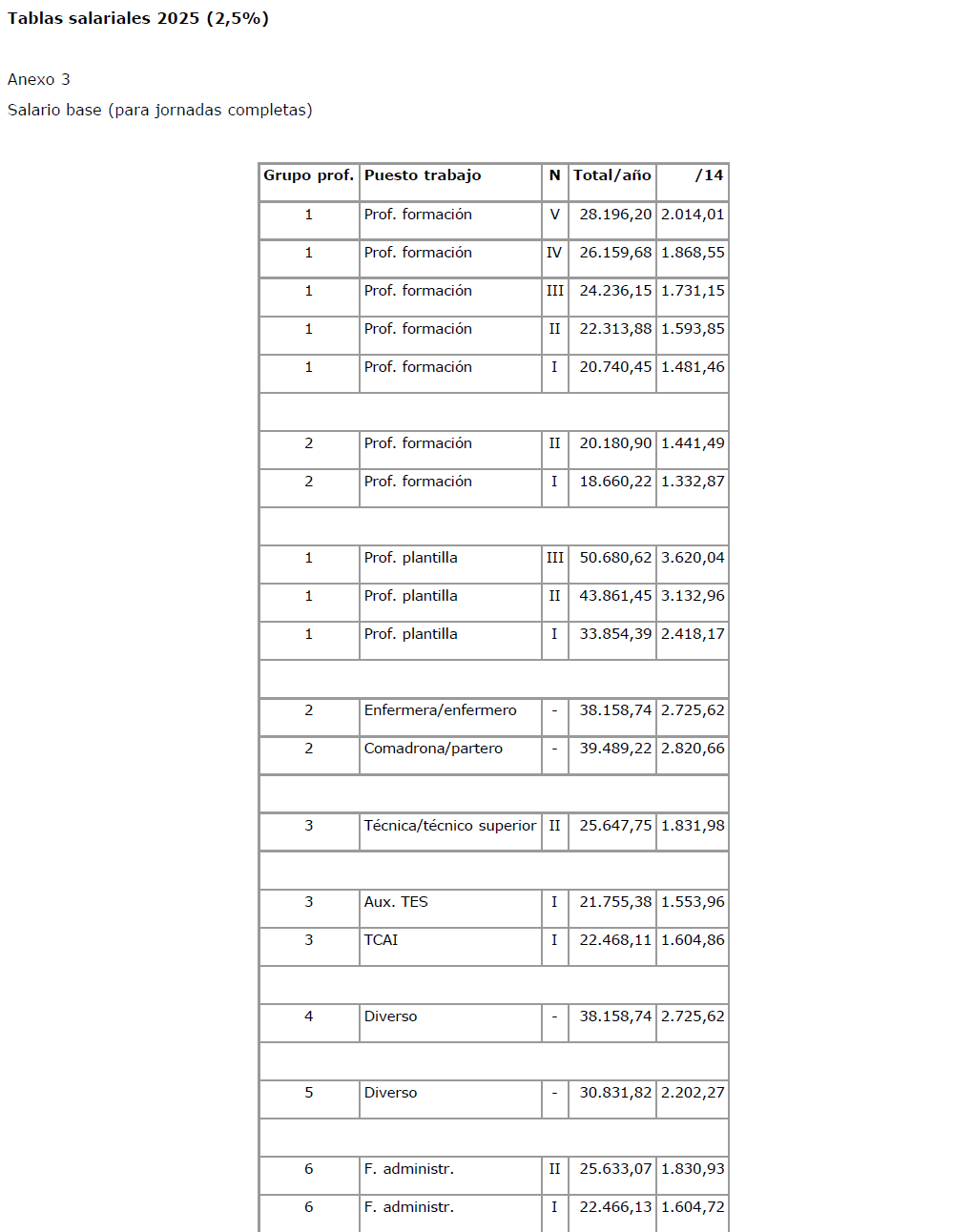
Artículo 25 Salario base mensual
Es la parte de la retribución de la persona trabajadora fijada por unidad de tiempo y en función de su Grupo profesional, con independencia de la remuneración que corresponda por puesto de trabajo específico o cualquier otra circunstancia.
Su cuantía viene fijada en el anexo 3.
Artículo 26 Retribuciones Convenio y jornada máxima
El importe de las retribuciones pactadas en este Convenio hacen referencia a la jornada anual establecida en el artículo 19 o la considerada como jornada máxima ordinaria en cada empresa, si fuera más ventajosa. Con respecto al personal que realice jornadas inferiores, tendrá derecho a cobrar los diferentes conceptos salariales en proporción a la jornada realizada.
Artículo 26.bis Retribución vacaciones
Las vacaciones se retribuirán, con la periodicidad que se esté aplicando a cada centro en el momento de la entrada en vigor de este Convenio, incluyendo los siguientes conceptos retributivos:
a. Salario base mensual (artículo 25), plus de vinculación (artículo 29), plus nocturnidad (artículo 30), complemento de responsabilidad, supervisión o mando (artículo 31), complemento para la atención programada (artículo 33), complemento adscripción al SIPDP y al SIP (artículo 33), complemento de dispersión territorial (artículo 33) y nivel de SIPDP y SIP (artículo 75).
b. También se incluirá la undécima parte del complemento para la atención continuada (artículo 33) y una undécima parte de los importes percibidos en concepto de guardias presenciales y guardias localizables (artículo 35), plus sábado, plus domingo y plus festivo (artículo 32), excepto el plus festivo especial del artículo 32.5.
Artículo 27 Retribución graduados en odontología
Los graduados y graduadas en odontología verán equiparada su retribución al personal del grupo profesional 1.2 no especialista.
Artículo 28 Gratificaciones extraordinarias de junio y diciembre
28.1. El personal tendrá derecho a la percepción de dos gratificaciones extraordinarias que se recibirán entre los días 15 y 20 de los meses de junio y diciembre de cada año.
28.2. Cada una de las gratificaciones extraordinarias será el importe de la suma del salario base (artículo 25), plus vinculación (artículo 29), complemento de responsabilidad, supervisión o mando (artículo 31), plus nocturnidad (artículo 30), complemento para la atención programada (artículo 33) y complemento de adscripción al SIPDP y al SIP (artículo 33).
28.3. En el ámbito de la atención primaria de salud se incorporará a las pagas extras el concepto de dispersión territorial (artículo 33).
28.4. Las gratificaciones extraordinarias se devengarán de fecha a fecha y en proporción al tiempo efectivamente trabajado.
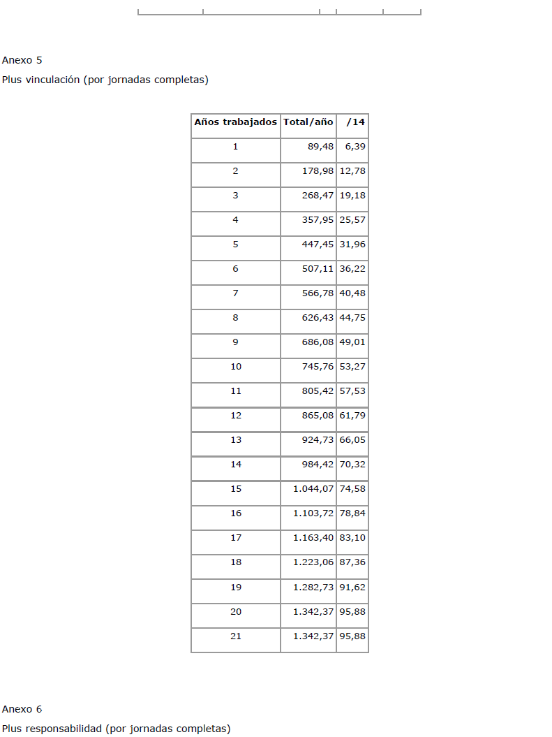
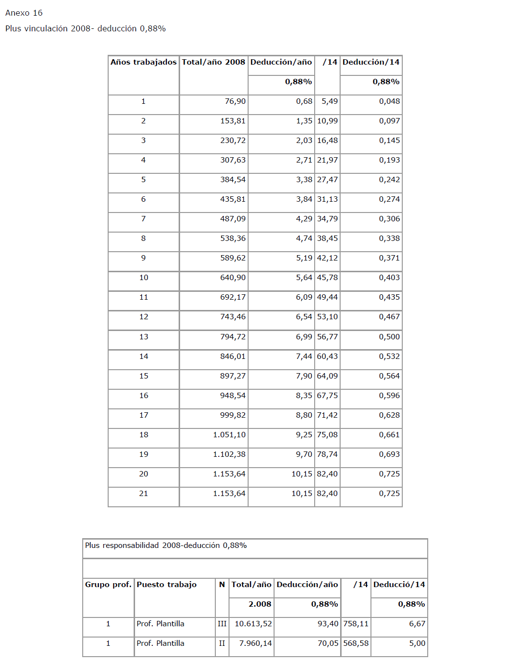
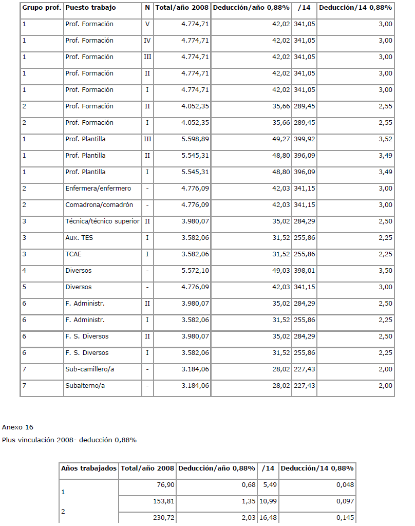
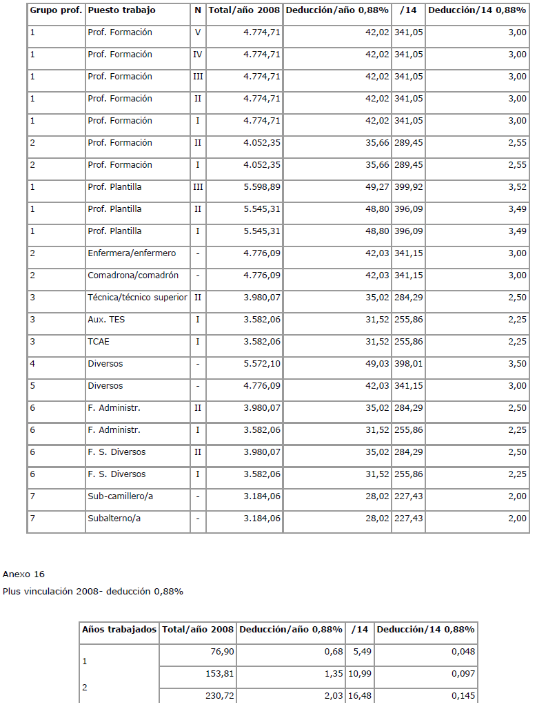
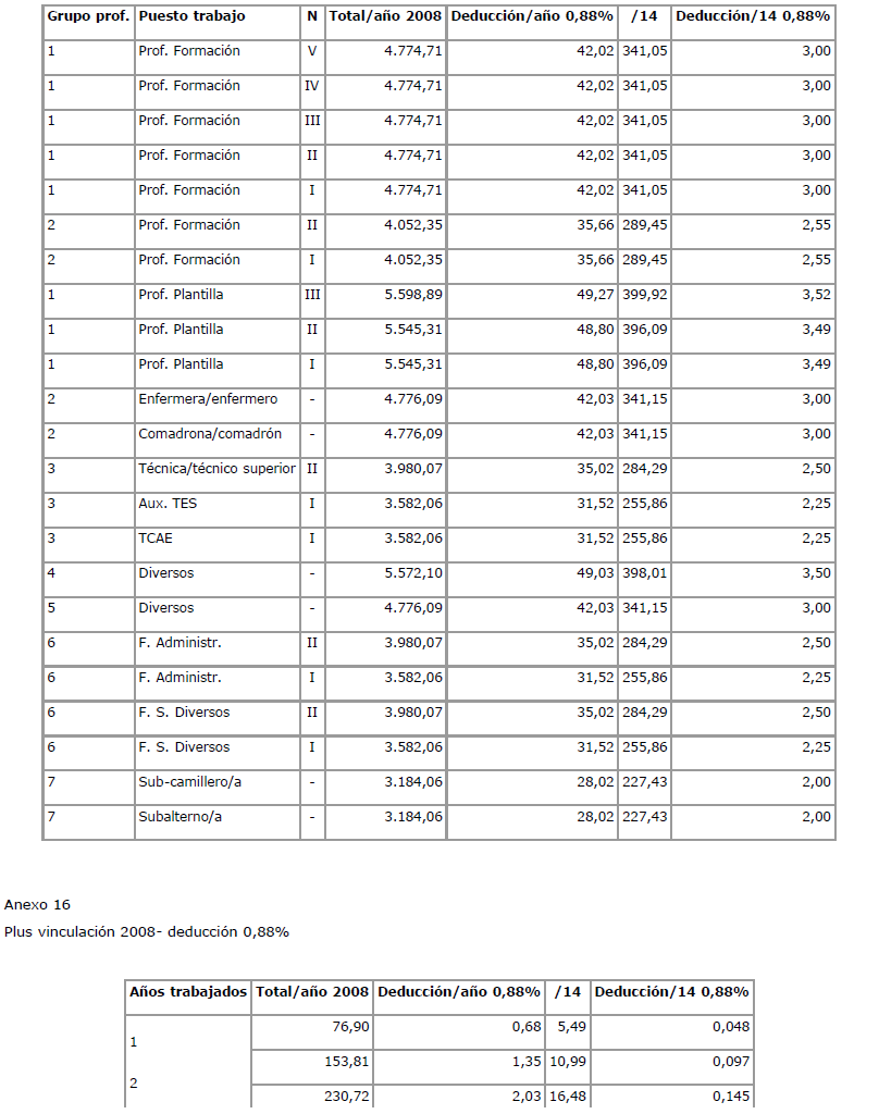
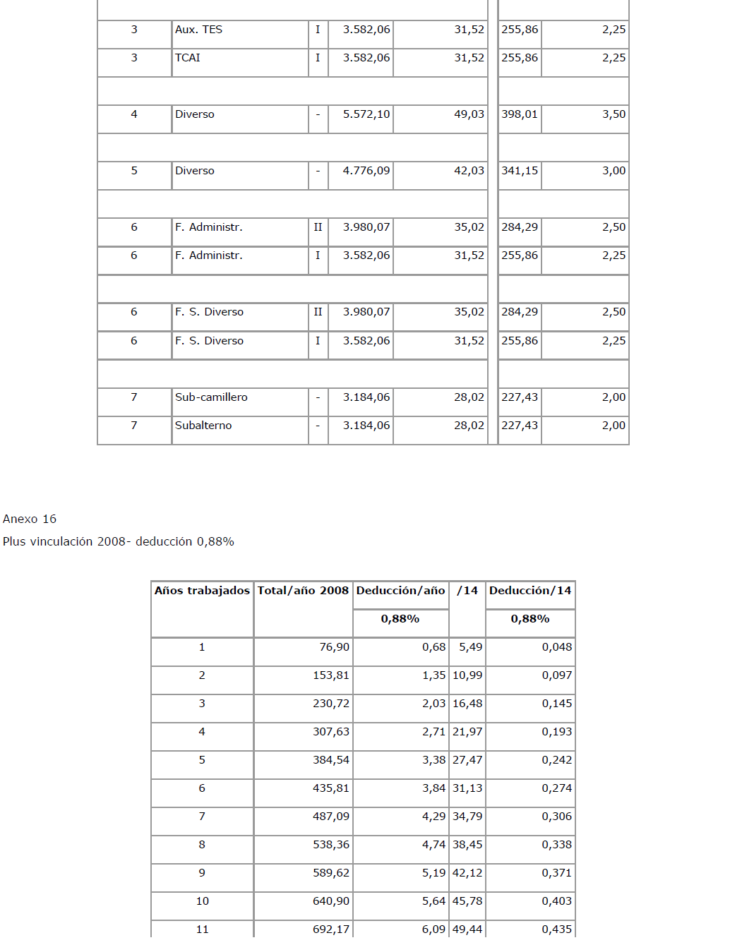
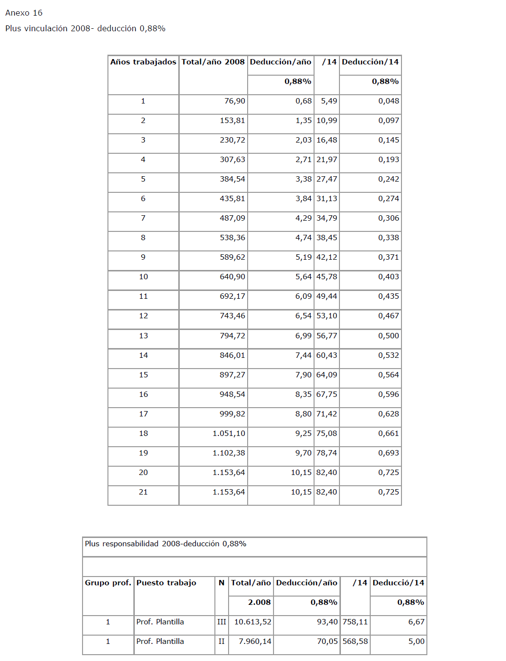
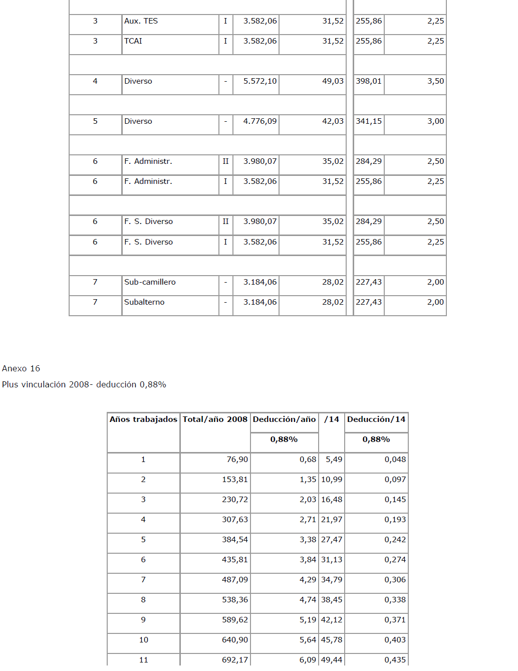
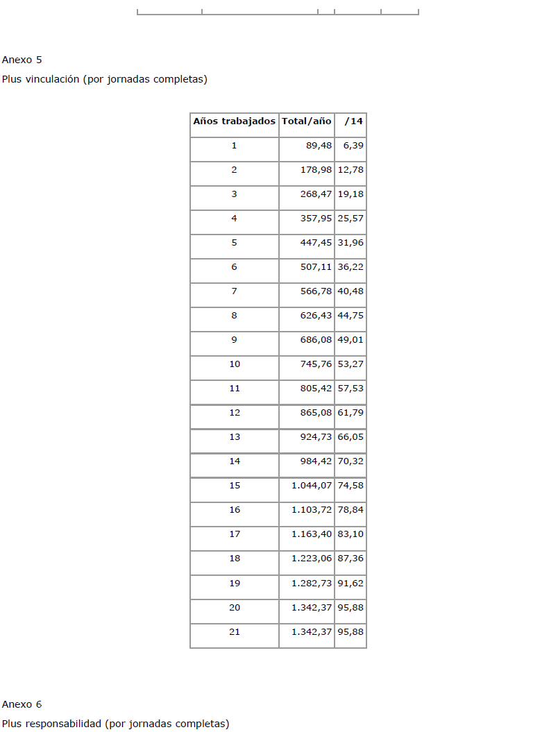
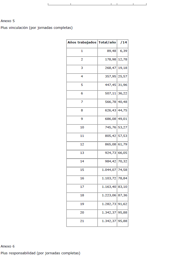
Artículo 29 Plus de vinculación
29.1. Por cada año de prestación efectiva de servicios en la empresa, el personal percibirá un plus de vinculación en la cuantía que establece el anexo 5 del presente Convenio cuando se realice la jornada pactada en el artículo 19. Cuando se contraten jornadas inferiores se percibirá en la proporción que corresponda.
29.2. A partir del 20º año no se generará más plus de vinculación, si bien se respetarán, a aquellas personas trabajadoras que a la firma del VII Convenio colectivo de los Hospitales de la XHUP y de los Centros de Atención Primaria concertados tienen más de 20 años de antigüedad, las cantidades que tienen reconocidas en la actualidad.
A los exclusivos efectos del abono del plus de vinculación, el cómputo del tiempo de prestación efectiva de servicios se iniciará el día de ingreso del personal en la empresa, con independencia de la modalidad contractual convenida.
Se entenderá que ha existido en todo caso prestación efectiva de servicios en los siguientes supuestos:
1. Suspensión del contrato en caso de nacimiento, adopción, guarda con hasta de adopción o acogimiento, de conformidad con el Código Civil o las leyes civiles de las Comunidades Autónomas que lo regulen.
2. Suspensiones del contrato por incapacidad temporal, riesgo durante el embarazo y riesgo durante la lactancia natural de un menor de nueve meses
3. Disfrute de los permisos retribuidos (artículo 42 Convenio).
4. Disfrute de los permisos establecidos en el Real decreto legislativo 2/2015, de 23 de octubre, por el cual se aprueba el texto refundido de la Ley del Estatuto de los trabajadores y resto de normativa que sea de aplicación.
5. Disfrute de los días de descanso (artículo 24 Convenio).
6. Excedencia especial por nacimiento o adopción legal de hijo o en los supuestos de guarda con finalidades de adopción o acogimiento permanente o por cuidado de familiares (artículo 44 Convenio) y la excedencia especial por transición de género (artículo 44.bis Convenio).
7. Excedencia especial para el ejercicio de funciones sindicales (artículo 45 Convenio).
8. Excedencia forzosa por nombramiento de cargo público (artículo 46 Convenio).
9. Suspensión del contrato por fuerza mayor temporal
10. Suspensión del contrato por causas económicas, técnicas, organizativas o de producción.
11. Suspensión del contrato por ejercicio del derecho a huelga.
12. Suspensión del contrato por la decisión de la trabajadora que se vea obligada a dejar su puesto de trabajo como consecuencia de ser víctima de violencia de género o de violencia sexual.
13. Uso del crédito sindical.
Para el devengo de cada año de prestación efectiva se computarán los días de alta en la empresa con independencia del porcentaje de dedicación.
Si bien por regla general no se tendrán en cuenta por el cómputo del tiempo de prestación efectiva de servicios los períodos no trabajados entre los diferentes contratos de trabajo, se exceptúan las personas trabajadoras fijas-discontinuas que tendrán derecho a que el plus vinculación se calcule teniendo en cuenta toda la duración de la relación laboral y no el tiempo de servicios efectivamente prestados.
No se devengarán diferencias retributivas derivadas de la aplicación del nuevo régimen establecido en este artículo.
29.3. Premio de fidelización. El personal que preste servicios de forma efectiva en la empresa durante 25 años tendrá derecho por una sola vez en consolidar esta antigüedad, a un premio que consiste en un mes de vacaciones adicional en lo que tendrán derecho en disfrutar a partir de aquel año, y que no se podrá sustituir por una compensación en metálico, excepto casos excepcionales, que tendrán que ser autorizados por la Comisión paritaria del Convenio. En caso de que sea autorizada, la compensación será equivalente al importe de una mensualidad del salario base.
Todas las personas trabajadoras con un tiempo de prestación efectiva de servicios en la empresa de más de 10 años, en caso que sean objeto de despido declarado o reconocido como improcedente, o por despido objetivo, que determine la extinción de su contrato de trabajo, tendrán derecho a que se les compense este premio en la parte proporcional al tiempo transcurrido con referencia al módulo de 25 años, establecido con carácter general.
En el caso de las personas jubiladas parcialmente, si la Comisión paritaria con carácter excepcional autoriza el pago del premio de fidelización en metálico, se aplicará la siguiente proporcionalidad: se pagará el 100% del importe del premio reduciendo el período que haya sido a tiempo parcial, en virtud de la jubilación parcial, en el porcentaje de la reducción de jornada. Si el disfrute del premio es en tiempo de vacaciones el período será de un mes completo.
Artículo 30 Plus nocturnidad
30.1. La cantidad mensual del plus nocturnidad viene fijada en el anexo 4.
30.2. Se retribuirá en proporción a las horas trabajadas en el período comprendido entre las 22 y las 6 horas, a no ser que las horas de coincidencia tengan el carácter de extraordinarias o correspondan a jornada complementaria de atención continuada (guardias), caso en lo que se retribuirán exclusivamente a razón de las cantidades subidas convenidas, sin ningún recargo. No obstante, el personal adscrito al turno de noche que realice más de la mitad de su jornada en horario nocturno de 22 horas a 6 horas percibirá el plus nocturnidad por la totalidad de las horas trabajadas desde el inicio hasta la finalización de su turno.
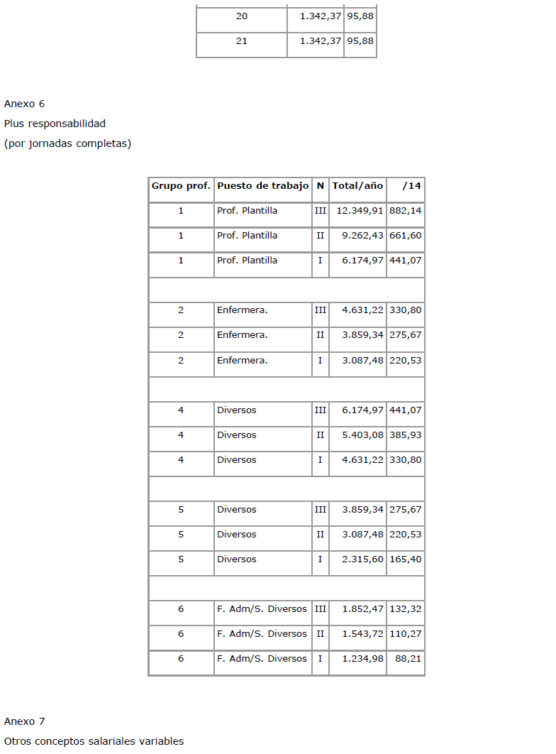
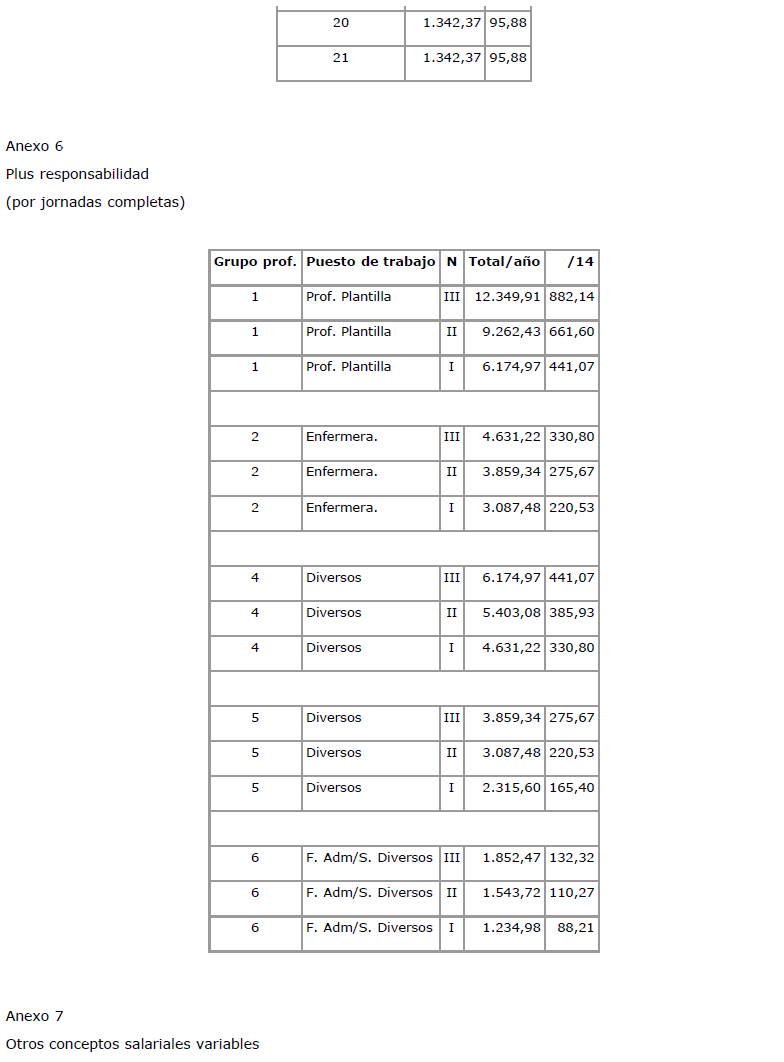
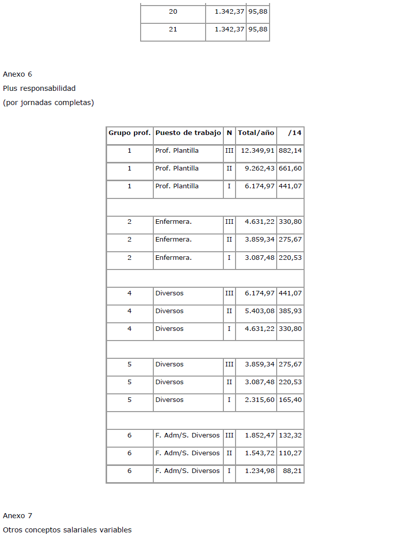
Artículo 31 Complemento de responsabilidad, supervisión o mando
31.1. Se define como un complemento funcional o de puesto de trabajo de carácter no consolidable y destinado a remunerar las condiciones particulares de algunos puestos de trabajo de confianza, que realicen tareas de especial responsabilidad, mando, supervisión o coordinación.
31.2. Este complemento se percibirá mientras se desarrolle la tarea correspondiente de especial responsabilidad, mando, supervisión o coordinación y se dejará de percibir cuando se dejen de ejercitar, por cualquier causa, las funciones mencionadas.
31.3. Las cuantías de este complemento vienen fijadas en el anexo 7.
Artículo 32 Plus sábado, plus domingo y plus festivo
32.1. Plus sábado
por cada hora del sábado que se trabaje, además del salario ordinario, se recibirá la cantidad prevista en el anexo 10. Las cantidades que se perciban por este concepto se recogerán en el recibo de salarios bajo el concepto de plus sábado. Cuando un festivo trabajado coincida en sábado el plus festivo absorberá el plus el sábado. El plus el sábado es incompatible con las guardias y las horas extraordinarias.
32.2. Plus domingo
Por cada hora del domingo que se trabaje, además del salario ordinario, se percibirán las cantidades previstas en el anexo 10. Las cantidades que se perciban por este concepto se recogerán en el recibo de salarios bajo el concepto de plus domingo. Esta retribución será incompatible con las guardias y con las horas extraordinarias.
32.3. Plus festivo
Por cada hora de festivo intersemanal oficial en que, porque se tiene descanso compensatorio, no se perciban las horas trabajadas con el recargo establecido en el párrafo siguiente, se percibirán, además del salario ordinario, las cantidades previstas en el anexo 10. El festivo considerado como recuperable también se tiene que remunerar con el plus festivo.
Las cantidades que se perciban por este concepto se recogerán en el recibo de salarios bajo el concepto de plus festivo. Esta retribución será incompatible con las guardias y con las horas extraordinarias.
32.4. Vistas las características de los centros o instituciones sanitarias, donde se prestan servicios todos los días del año, las horas trabajadas en día festivo intersemanal oficial que no tenga descanso compensatorio, se abonarán con un incremento del 75% sobre el valor retributivo resultante de dividir el salario base entre la jornada de la persona trabajadora.
32.5. Pluses festivos especiales
Por su especial significación, se consideran festivos especiales, Navidad y Fin de año. A aquel personal que le toque trabajar desde el inicio del turno de noche del día 24 al 25 hasta la finalización del turno de tarde del día 25 y desde el inicio del turno de noche del día 31 al 1 hasta la finalización del turno de tarde del día 1, tendrá un incremento del 100% del plus festivo por las horas trabajadas en estos períodos.
En atención a las características de los festivos especiales (Navidad y Fin de año), el personal que preste servicios en jornada ordinaria en estas fechas (independientemente del día en que caigan) recibirá una cantidad subida bruta prevista en el anexo 10, adicional al plus regulado en el párrafo anterior, por día trabajado, igual para todos los grupos profesionales. Esta cantidad se percibirá también cuando este festivo sea considerado como recuperable.
El personal que tenga que trabajar en día festivo especial y que no disfrute de día compensatorio, de acuerdo con lo que establece este artículo del Convenio colectivo de aplicación, tendrá que recibir la retribución siguiente:
a) Valor retributivo resultando de dividir el salario base entre la jornada de la persona trabajadora, más
b) 75% del valor retributivo anterior, más
c) El doble del plus festivo que le corresponda, de acuerdo con lo que establece el artículo 32.3.
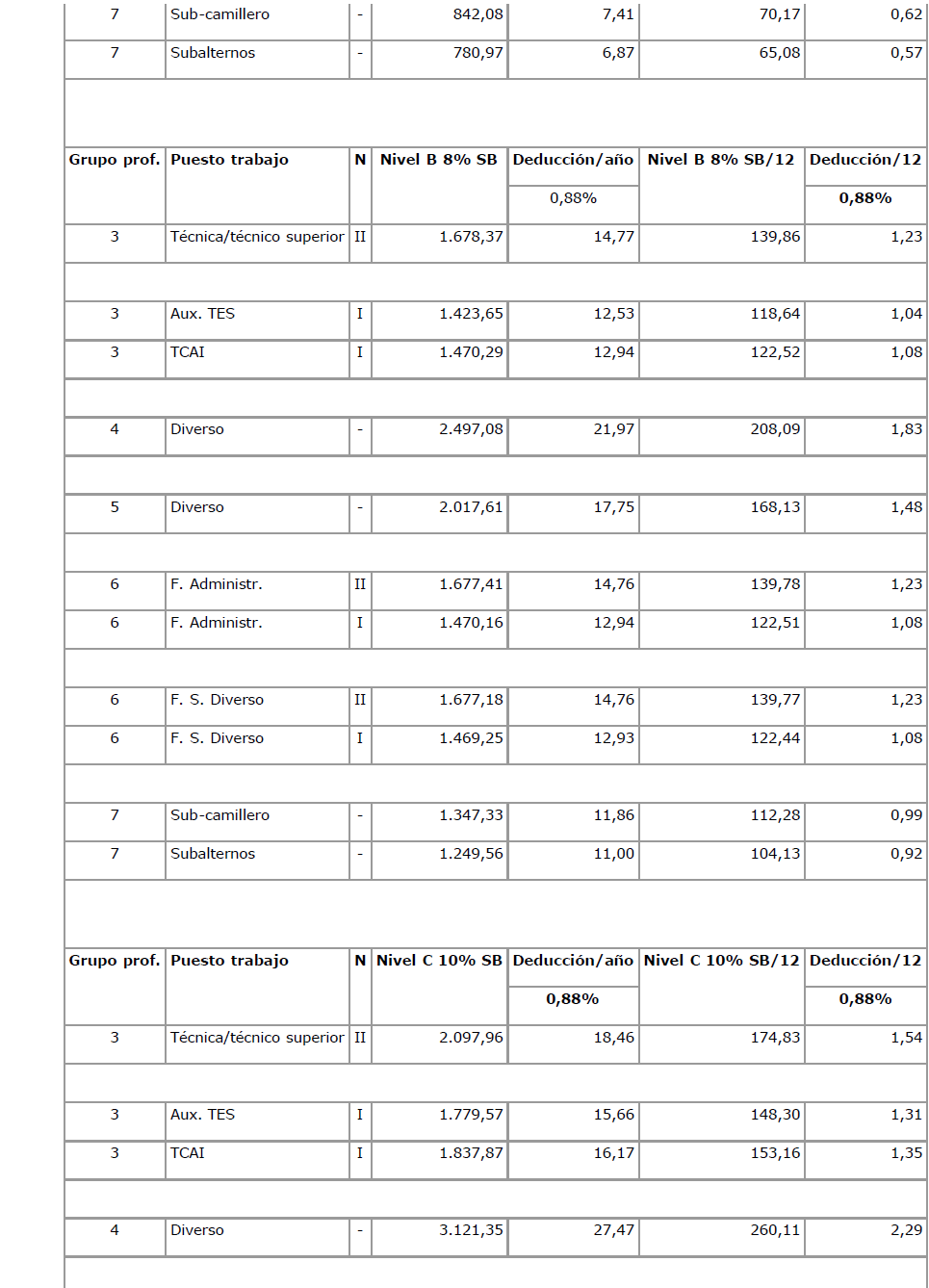
Artículo 33 Retribución anual complementaria
33.1. Retribución anual complementaria del personal del grupo profesional 1.2.
Percibirán esta retribución, proporcionalmente a su jornada, todo el personal del grupo profesional 1.2 con más de un año de prestación efectiva de servicios en la empresa, excepto el complemento de dispersión territorial recogido en el punto 4 que se percibirá desde el inicio en que se realice la atención domiciliaria en el ámbito de la atención primaria.
Se incluye el personal de refuerzo contratado específicamente para desarrollar sus funciones en módulos de atención continuada que no puedan ser realizados por el personal de la plantilla ordinaria que habitualmente da cobertura a la atención programada.
La retribución anual complementaria incluye 4 complementos con los importes que se indican en el anexo 13 y en el anexo 14. Cada uno de estos 4 complementos se percibirá si se reúnen los requisitos que se indican a continuación:
1. Complemento para la atención programada
Lo percibirá todo el personal del grupo profesional 1.2 con más de un año de prestación efectiva de servicios en la empresa.
2. Complemento de adscripción al SIPDP.
Lo percibirá de manera automática todo el personal del grupo profesional 1.2 que esté incluido en cualquier nivel del SIPDP.
3. Complemento para la atención continuada
Lo percibirá proporcionalmente aquel personal del grupo profesional 1.2 que, además de su jornada ordinaria, realice una jornada complementaria de atención continuada (guardias de presencia física) igual o superior al 75% de la máxima jornada complementaria de atención continuada exigible. El importe completo de este plus, que se percibirá una sola vez en el año dentro del primer trimestre natural, lo percibirá aquel personal facultativo que al año natural anterior haya realizado la máxima jornada complementaria de atención continuada exigible.
4. Complemento de dispersión territorial
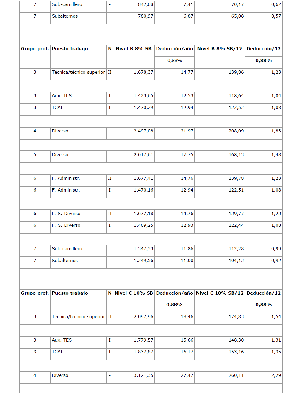
El complemento de dispersión territorial es el complemento que retribuye las diferentes características del ámbito territorial donde el personal del grupo profesional 1.2 de atención primaria tiene que desarrollar su actividad de atención domiciliaria. Este complemento tendrá cuatro niveles (T1, T2, T3 y T4). El importe establecido compensa tanto la dispersión territorial como los gastos que se derivan para el personal por, en su caso, uso de vehículo propio para realizar los desplazamientos desde el centro de atención primaria en los domicilios de los pacientes. Su importe viene fijado en el anexo 14.
33.2. Retribución anual complementaria del personal del grupo 2.2
1. Complemento de adscripción en el SIPDP del grupo 2.2
Este complemento lo percibirá de forma automática el personal de este grupo profesional a partir del primer año de prestación efectiva de servicios. Su importe viene fijado al anexo 18 y se percibirá en 14 mensualidades, sin que pueda ser absorbido por los importes estipulados en el anexo 8 por cada nivel de desarrollo.
2. Complemento de dispersión territorial
El complemento de dispersión territorial es el complemento que retribuye las diferentes características del ámbito territorial donde el personal del grupo profesional 2.2 de atención primaria tiene que desarrollar su actividad de atención domiciliaria. Este complemento tendrá cuatro niveles (T1, T2, T3 y T4). El importe establecido compensa tanto la dispersión territorial como los gastos que se derivan para el personal por, en su caso, uso de vehículo propio para realizar los desplazamientos desde el centro de atención primaria en los domicilios de los pacientes. Su importe viene fijado en el anexo 14.
33.3 Complemento de adscripción al SIP de los grupos 3 al 7
A partir del 1 de enero de 2023, este complemento lo percibirá de forma automática el personal de estos grupos profesionales que acredite al menos un año de prestación efectiva de servicios. Su importe viene fijado al anexo 13 y se percibirá en 14 mensualidades, sin que pueda ser absorbido por los importes estipulados en el anexo 9 por cada nivel de desarrollo.
Artículo 34 Horas extraordinarias
34.1. En los centros del ámbito de este Convenio, las horas extraordinarias se realizarán para la cobertura de eventualidades extraordinarias.
34.2. Son horas extraordinarias las que sobrepasen la jornada anual pactada en este Convenio y en el caso de realización voluntaria del régimen de especial dedicación regulado en el artículo 36.4, las horas que lo excedan.
34.3. Las horas extraordinarias se retribuirán con un valor no inferior al valor de la hora ordinaria.
34.4. La empresa y el personal afectado por el presente Convenio tendrán que tener presente el límite legalmente establecido de 80 horas extraordinarias anuales por persona trabajadora.
Artículo 35 Jornada complementaria de atención continuada (guardias presenciales) y guardias localizables
Se retribuirán según las cuantías establecidas en el anexo 11 y el anexo 12.
Referente al precio/hora de la jornada complementaria de atención continuada del personal en régimen de formación por el sistema de residencia será el establecido en los anexos 11 y 12 del presente convenio, según el siguiente escalonado:
a. Para el personal residente de primer año, el 50% del precio de la hora de jornada complementaria de atención continuada de un médico adjunto sin nivel o de nivel A o en su caso de la enfermera o comadrona.
b. Para el personal residente de segundo año, el 60% del precio de la hora de jornada complementaria de atención continuada de un médico adjunto sin nivel o de nivel A o en su caso de la enfermera o comadrona.
c. Para el personal residente de tercer año, el 70% del precio de la hora de jornada complementaria de atención continuada de un médico adjunto sin nivel o de nivel A.
d. Para el personal residente de cuarto y quinto año el 76% del precio de la hora de jornada complementaria de atención continuada de un médico adjunto sin nivel o de nivel A.
Artículo 36 Retribución variable en función de los objetivos (DPO)
36.1 Retribución variable en función de los objetivos para los profesionales de los grupos 1, 2 y 3 nivel II.
Consiste en un sistema de retribución variable para el colectivo de profesionales indicados, vinculado al cumplimiento de objetivos, que se configura como un instrumento de gestión, incentivación y motivación continua dentro de las organizaciones.
Se basará en la explicitación de los objetivos y la evaluación continuada de su cumplimiento, pretendiendo que cada profesional oriente su actividad a los objetivos estratégicos de la organización, así como desarrollar una cultura organizativa orientada hacia la mejora de los procesos y de los resultados.
Este complemento variable, no consolidable, retribuirá la consecución de los objetivos fijados en función de su grado de cumplimiento. Tendrán derecho a la incorporación en el sistema de retribución variable en función de los objetivos (DPO) todos aquellos y aquellas profesionales con una prestación de servicios o duración de contrato mínima de seis meses en el año natural que se trate, siempre que reúnan los requisitos de carácter general que se estipulan en este artículo.
Los objetivos a cumplir se establecerán periódicamente por acuerdo entre la dirección del centro y las personas responsables de cada unidad asistencial y los y las profesionales durante el primer trimestre del año en curso y se abonarán durante el primer trimestre del año siguiente.
En caso de que no se hayan fijado por causas imputables a la empresa en este plazo, se tendrán que fijar unos objetivos proporcionales y alcanzables en el período restante.
Asimismo, en caso de que no se fijen durante el año en curso, se producirán los efectos como si se hubieran alcanzado en su totalidad.
Entre los objetivos a cumplir se incluirán, necesariamente, la implicación efectiva de la persona trabajadora en la política de prevención de riesgos laborales. A pesar de reconocer que la determinación de los objetivos globales de cada institución forma parte de la competencia irrenunciable de sus órganos de gobierno y dirección en relación con su situación en el sistema sanitario y con las directrices que el Plan de Salud determine para su ámbito, de estos se informará a la representación legal de las personas trabajadoras, y se establecen los siguientes criterios generales orientadores en esta materia:
1. En relación al tipo de objetivos, estos podrán ser
a. Relacionados con resultados clínicos, asistenciales y de eficiencia
b. Del servicio o unidad asistencial.
c. Individuales.
En todo caso tendrán que ser alcanzables y en su ponderación tendrán que tener más peso los individuales, que tendrán que estar relacionados con las funciones que desarrollan los y las profesionales.
2. En relación a la evaluación:
Los objetivos se medirán mediante indicadores determinados previamente y que permitan medir los aspectos cuantitativos y cualitativos que se determinen.
Se determinará en el momento de la fijación el peso de cada objetivo en la determinación total de la evaluación.
3. En relación a la determinación de la retribución
Sin perjuicio de lo establecido en la Disposición transitoria primera del presente Convenio colectivo, se establecerá a cada centro el nivel de consecución que permita acreditar el 100% de la retribución individual.
Se establece el 35% como el nivel mínimo de consecución de los objetivos establecidos, a partir de la cual se puede percibir proporcionalmente la retribución variable individual prevista. Este porcentaje se aplica sobre el total de objetivos y no sobre cada uno de los objetivos fijados.
La retribución reconocida en un ejercicio no presupone ningún derecho para ejercicios siguientes.
El importe máximo a alcanzar individualmente será el establecido en el anexo 7.
36.2. Retribución variable en función de los objetivos para los profesionales de los grupos 3 al 7 (excepto el grupo 3 nivel II).
Se establece un sistema de retribución variable para el personal de plantilla de los grupos 3 al 7, excepto el grupo 3 nivel II, que consistirá en una paga cuyo importe viene fijado en el anexo 7 y que se percibirá en el mes de marzo de cada año, siempre y cuando la persona trabajadora haya alcanzado los siguientes objetivos:
1. Un objetivo de carácter individual. Con respecto a este objetivo, será de aplicación lo establecido en el punto 36.1.
2. La corresponsabilización en la correcta utilización de los equipos de protección individuales y en la aplicación de las medidas que, en materia de prevención de riesgos laborales, haya implantado la empresa en el centro de trabajo donde preste sus servicios y para la cual haya recibido la oportuna formación o información.
Se entenderá que no se ha cumplido el objetivo vinculado a la prevención de riesgos laborales cuando la persona trabajadora haya sido amonestada por escrito o sancionada por el incumplimiento de sus deberes en esta materia.
Cada uno de estos dos objetivos tendrá la siguiente ponderación con respecto al devengo de la retribución variable:
a. Objetivo de carácter individual: 50%
b. Corresponsabilización en la prevención de riesgos laborales: 50%
Para tener derecho a la percepción de la retribución variable se tienen que haber prestado servicios durante un mínimo de seis meses durante el año natural.
La percepción de estos importes será siempre proporcional al porcentaje de jornada contratada.
Se adjunta en el anexo 7 una tabla con los importes máximos por puesto de trabajo que corresponderían a la consecución del 100% de los objetivos.
36.3. Vinculación al equilibrio presupuestario y financiero
Exclusivamente para los años 2021 y 2022 se mantiene el redactado del artículo 36 del II Convenio colectivo de trabajo de los hospitales de agudos, centros de atención primaria, centros sociosanitarios y centros de salud mental, concertados con el Servicio Catalán de la Salud.
36.4 Complemento de productividad asociado al régimen de especial dedicación voluntaria de las enfermeras y enfermeros del grupo profesional 2.2
Vista la falta de enfermeras y la necesidad de mejorar la productividad de los centros, se considera necesario establecer un mecanismo que permita a estas profesionales incrementar su dedicación de manera voluntaria en el centro de trabajo en el cual ya desarrollan la jornada completa establecida en el artículo 19 (o la pactada a cada centro) y con el límite de 150 horas, que es inferior a la jornada máxima de trabajo legalmente establecida en el Real Decreto Legislativo 2/2015, de 23 de octubre, por el cual se aprueba el texto refundido de la Ley del Estatuto de los trabajadores. En consecuencia, las horas resultantes de este régimen de especial dedicación voluntaria no tendrán la consideración de jornada extraordinaria en tanto que en cómputo anual no exceden de la jornada máxima legal establecida en el Real Decreto Legislativo 2/2015, de 23 de octubre, por el cual se aprueba el texto refundido de la Ley del Estatuto de los trabajadores.
Con este mecanismo se consigue una mejora de la eficiencia y de la productividad tanto a nivel de centro como a nivel sectorial, en cuándo estas profesionales podrán focalizar voluntariamente su dedicación en el propio centro donde habitualmente prestan servicios, minimizando en la medida del posible la pluriactividad y pluriempleo. Con este mecanismo se evitarán una cantidad importante de desplazamientos entre centros, con ahorros de tiempo, de coste, e incluso mejora de la prevención de riesgos laborales, y con una posibilidad mucho más intensa de conseguir la necesaria conciliación de la vida laboral, familiar y personal. Todo ello, en más, con el refuerzo del sentimiento de pertenencia al centro y la mejora de la calidad y coordinación asistencial.
Las enfermeras y los enfermeros que estén interesadas al realizar el régimen de especial dedicación voluntaria remitirán un correo electrónico a la dirección de personas o recursos humanos, manifestando cuál es su disponibilidad a fin y efecto que la empresa pueda planificar las coberturas correspondientes. De la misma manera, las profesionales que dejen de estar interesadas podrán comunicar su renuncia libremente con 5 días de preaviso, excepto si ya ha estado objeto de planificación. En este caso se exigirá un preaviso de 15 días para facilitar la gestión de la cobertura, momento a partir del cual quedarían automáticamente fuera del sistema de productividad voluntaria sin ninguna consecuencia negativa, ni ninguna restricción por volver a inscribirse en el mismo si es de su interés.
A partir de la firma del presente Convenio, y exclusivamente durante la vigencia del mismo, y mientras haya déficit de personal, las entidades estarán facultadas para desarrollar una oferta de régimen de especial dedicación voluntaria, para proponer a las enfermeras del grupo 2.2, que no obstante tendrá que respetar los siguientes parámetros:
a. Con carácter previo a la oferta por parte de la entidad, habrá que garantizar que no hay ninguna persona trabajadora a tiempo parcial, del mismo grupo profesional, que haya solicitado una ampliación de jornada, y que sea compatible (por funciones, horario…) para cubrir las horas ofrecidas.
b. La aceptación por parte de la persona trabajadora será siempre voluntaria y esta podrá renunciar con el preaviso mencionado en los antecedentes.
c. El ofrecimiento de horas a realizar podrá ser hasta completar el máximo de 150 horas al año. En caso de que la oferta a una persona trabajadora supere el número de 100 horas anuales, hará falta previamente acuerdo con la representación legal de las personas trabajadoras.
d. Sólo se puede ofrecer a personas trabajadoras a jornada completa (jornada ordinaria establecida en el artículo 19 del Convenio o la pactada a cada centro).
e. En ningún caso se podrán planificar horas del régimen de especial dedicación voluntaria en el período de vacaciones de la persona trabajadora, ni estas horas podrán formar parte de las ofertas de trabajo, de los contratos o de las ofertas públicas de empleo ni imponerlas por vía del artículo 41 del Real Decreto Legislativo 2/2015, de 23 de octubre, por el cual se aprueba el texto refundido de la Ley del Estatuto de los trabajadores. Tampoco podrán comportar un cambio de jornada a 12 horas y se tendrán que respetar los descansos mínimos previstos a la legislación vigente.
f. El listado de horas efectuadas se entregará trimestralmente a la representación legal de las personas trabajadoras. En el listado constará el nombre y apellidos de la persona y el número de horas que ha realizado distribuidas para cada turno de trabajo.
Como compensación para incentivar el régimen de especial dedicación voluntaria se establece el presente complemento de productividad que estará compuesto por la suma de los siguientes conceptos
1. Precio hora del régimen de especial dedicación voluntaria que se calculará para cada caso como se establece en los apartados siguientes y excluyendo el plus sábado, el plus domingo, el plus festivo y el plus festivo especial:
a. El precio de cada hora del régimen de especial dedicación voluntaria de la enfermera o enfermero que trabaja de manera habitual en el turno de mañana o tarde y que haga dedicación especial voluntaria al turno de noche se obtendrá dividiendo la suma de su salario base, plus vinculación, complemento de adscripción al SIPDP, complemento SIPDP, complemento de dispersión territorial, complemento de responsabilidad y otras mejoras voluntarias para la jornada anual nocturna establecida en el artículo 19 del Convenio y se incrementará con el plus de nocturnidad establecido en el artículo 30 del Convenio.
b. El precio de cada hora del régimen de especial dedicación voluntaria de la enfermera o enfermero que trabaja de manera habitual al turno de noche y que haga dedicación especial voluntaria al turno de mañana o de tarde se obtendrá dividiendo la suma de su salario base, plus vinculación, complemento de adscripción al SIPDP, complemento SIPDP, complemento de dispersión territorial, complemento de responsabilidad y otras mejoras voluntarias para la jornada anual diurna establecida en el artículo 19 del Convenio. En este caso, tratándose de una jornada diurna, no corresponderá el abono del plus nocturnidad.
c. El precio de cada hora del régimen de especial dedicación voluntaria de la enfermera o enfermero que trabaja de manera habitual al turno de noche y que haga dedicación especial voluntaria también al turno de noche se obtendrá dividiendo la suma de su salario base, plus vinculación, complemento de adscripción al SIPDP, complemento SIPDP, complemento de dispersión territorial, complemento de responsabilidad y otras mejoras voluntarias para la jornada anual nocturna establecida en el artículo 19 del Convenio y se incrementará con el plus de nocturnidad establecido en el artículo 30 del Convenio.
d. El precio de cada hora del régimen de especial dedicación voluntaria de la enfermera o enfermero que trabaja de manera habitual en el turno de mañana o tarde que haga dedicación especial voluntaria también al turno de mañana o tarde se obtendrá dividiendo la suma de su salario base, plus vinculación, complemento de adscripción al SIPDP, complemento SIPDP, complemento de dispersión territorial, complemento de responsabilidad y otras mejoras voluntarias para la jornada anual diurna establecida en el artículo 19 del Convenio.
2. Adicionalmente, se percibirá como mínimo un complemento equivalente:
a. Al 30% del precio de la hora del régimen de especial dedicación voluntaria definido al apartado anterior cuando se trate de las primeras 75 horas.
b. Al 50% del precio de la hora del régimen de especial dedicación voluntaria definido al apartado anterior cuando se trate de las 76 horas y hasta las 150 horas.
3. Sólo en caso de que estas horas se trabajen efectivamente en sábado, el domingo, festivo y/o festivo especial, se percibirán los pluses establecidos en el artículo 32 del Convenio colectivo.
En ningún caso se podrán abonar estas horas a un precio inferior a la media de lo que se esté abonando por horas extras en los centros durante el año natural anterior si existe un pacto con la representación legal de las personas trabajadoras de retribución específica que supere el precio aquí establecido.
El abono del complemento de productividad se hará efectivo a mes vencido o como máximo el mes siguiente a su realización bajo el concepto complemento productividad.
Por acuerdo de la Comisión negociadora se podrán incorporar a este sistema otros colectivos cuando se evidencie una falta de profesionales que justifique esta ampliación y su correspondiente incentivo. En este caso será necesario establecer de forma expresa las siguientes circunstancias:
1. Colectivo afectado.
2. Justificación de la falta de profesionales que habilita esta ampliación.
3. Dinámica del complemento para este colectivo.
4. período temporal concreto en que estará vigente esta ampliación.
En el mismo sentido, la Comisión negociadora podrá decidir finalizar la incorporación a este sistema de algún colectivo, cuando se evidencie que ha finalizado la falta de profesionales que lo justificaba.
Artículo 37 Dietas y gastos
El personal que por necesidades del servicio tenga que desplazarse a una localidad diferente a la del centro de trabajo percibirá las dietas del anexo 10.
Si el desplazamiento requiere pernoctar fuera de su domicilio habitual percibirá, además, la cantidad establecida en el anexo 10. Asimismo, se les tendrán que retribuir los gastos de transporte que les suponga el medio utilizado y que previamente hayan convenido con la empresa. En el supuesto de utilización de vehículo propio, se les compensará a razón de 0,19 €/km, cantidad dentro de la cual quedan incluidos todos los gastos, incluso la amortización del vehículo.
Todo eso sin perjuicio del establecido a la disposición transitoria cuarta del Convenio.
Artículo 38 Comedores
Todas las empresas afectadas por el presente Convenio, sea cuál sea el número de sus personas trabajadoras, tendrán que disponer de un local habilitado adecuadamente para comer en el centro de trabajo. En este local se proporcionarán comidas o cenas al personal que tengan que hacerles en el centro de trabajo a causa de su horario de servicio. Además de este personal, también disfrutarán de este servicio las personas trabajadoras, cuya hora de inicio o de finalización de jornada coincida en media hora con el horario establecido por los centros para la comida o la cena, siempre que eso sea posible para que esté abierto el local.
El personal pagará como contraprestación por este servicio la cantidad máxima de 6,00 € para comer o cena, excepto para el personal con jornada partida, que será de 4,00 €. El personal en situación de guardia de presencia física no abonará ninguna cantidad.
Artículo 39 Ropa de trabajo
39.1. Los centros o instituciones tendrán que facilitar a su personal el equipo de trabajo necesario y también los uniformes, zapatos y complementos habituales. El mantenimiento del equipo y el lavado o planchado de la ropa de trabajo irá a cargo del centro o institución sanitaria. Los equipos, uniformes y calzado se renovarán periódicamente y según exija su estado de deterioro. Todo el personal, dentro del centro de trabajo, estará obligado a llevar su uniforme habitual, completo, y también los distintivos que el centro o institución haya establecido.
39.2. Las empresas dispondrán de vestuarios que estarán dotados de asientos y de armaritos individuales con llave, que tendrán la capacidad suficiente para guardar la ropa y el calzado. Los armaritos para la ropa de trabajo y para la de calle estarán separados para evitar la contaminación de la ropa de calle. Las dimensiones de los vestuarios, así como las respectivas dotaciones de asientos, armarios, perchas, lavabos, duchas e inodoros, tendrán que permitir la utilización de estos equipos e instalaciones sin dificultades o molestias, teniendo en cuenta en cada caso el número de personas trabajadoras que tengan que utilizarlos simultáneamente (Real decreto 486/1997, de 14 de abril, por el cual se establecen las disposiciones mínimas de seguridad y salud en los puestos de trabajo y Guía Técnica).
Artículo 40 Deducciones por manutención y alojamiento
Al personal afectado por el presente Convenio que tenga el beneficio de manutención y alojamiento, en régimen total o parcial, se le deducirá de sus percepciones, las cantidades recogidas en el anexo 10.
Artículo 41 Gastos de colegiación
Las partes firmantes de este Convenio consideran que la cuota colegial de aquellos y aquellas profesionales que actualmente se tienen que colegiar, con carácter obligatorio, para ejercer su profesión, no es un gasto que tenga que ser indemnizado por las empresas, a menos que una norma de rango superior a este Convenio o una condena expresa por sentencia firme establezca el contrario u obligue uno tercero.
Capítulo 5 Permisos, excedencias y otras mejoras sociales
Artículo 42 Permisos retribuidos
42.1. Las personas trabajadoras, avisando con la mayor antelación posible, y con la obligación de justificarlo, podrán disfrutar de los siguientes permisos retribuidos:
a. De 15 días naturales y consecutivos por matrimonio. Tendrán derecho igualmente a este permiso las uniones estables de pareja que se constituyan de acuerdo con la normativa de parejas estables recogida en el libro segundo del Código Civil de Cataluña.
Estos días se podrán disfrutar, a elección de la persona trabajadora, con posterioridad al hecho causante, durante como máximo doce meses después, y acumular al período de vacaciones, siempre que la persona trabajadora lo pida con dos meses de antelación como mínimo. La potestad de acumular el permiso y las vacaciones es únicamente de la persona trabajadora, sin ninguna otra condición que comunicarlo con dos meses de antelación a su disfrute.
En caso de disfrute posterior, el derecho a disfrutar del permiso decaerá en caso de ruptura de la pareja de hecho, divorcio, separación o nulidad de matrimonio antes de que se haya producido el disfrute.
La fecha de inicio de disfrute de estos permisos será el primer día laborable siguiente en el del hecho causante.
b. De 3 a 6 días naturales en los supuestos y distribución que se señalan
b.1. Supuestos
Muerte o enfermedad grave (que no es únicamente ingreso en la UCI) o accidente grave de parientes hasta el segundo grado por consanguinidad o afinidad. A estos efectos, se considerará dentro de este grupo la persona con quien conviva la persona trabajadora, formando una pareja de carácter estable.
b.2. Distribución
Tres días si los hechos ocurren en localidades catalanas.
Seis días si los hechos ocurren en localidades fuera de Cataluña.
b.3. Este permiso se podrá disfrutar, a elección de la persona trabajadora, durante todo el período que dure el proceso, y desde el inicio del hecho causante.
En caso de enfermedad grave, los días de disfrute pueden ser tanto consecutivos como de manera discontinúa.
En relación a los permisos por muerte de cónyuge, pareja de hecho o familiares hasta el 2º grado de consanguinidad o afinidad, la fecha de inicio de disfrute de estos permisos será el primer día laborable siguiente en el del hecho causante.
c. De dos días laborables por hospitalización (incluida la hospitalización domiciliaria) o cirugía mayor ambulatoria de parientes hasta el segundo grado por consanguinidad o afinidad, o de la persona con quien conviva la persona trabajadora, formando una pareja de carácter estable. Si los hechos ocurren en localidades fuera de Cataluña, el permiso será de cuatro días naturales.
La situación de intervención quirúrgica sin hospitalización que precise reposo domiciliario que recoge el artículo 37.3.b) del Real Decreto Legislativo 2/2015, de 23 de octubre, por el cual se aprueba el texto refundido de la Ley del Estatuto de los trabajadores, se tiene que entender comprendida dentro de este supuesto.
Este permiso se podrá disfrutar, a elección de la persona trabajadora, de forma fraccionada (fracciones mínimas de un día) mientras dure el proceso de hospitalización y hasta cuatro días inmediatamente posteriores al alta hospitalaria.
Se asimila a la hospitalización a efectos de este permiso, las estancias en urgencias de familiares de primer grado por consanguinidad o afinidad, por adopción y por guarda con hasta de adopción y de acogimiento, que sean superiores a 24 horas. En este caso el permiso se disfrutará mientras dure la estancia en urgencias y tendrá una duración máxima de dos días.
d. De hasta un máximo de 14 horas anuales para asistir a la visita de un especialista médico o la realización de una prueba diagnóstica en el ámbito del Servicio Catalán de la Salud, siempre que el horario de consulta o prueba coincida con el horario laboral y previa solicitud con la máxima antelación posible y justificación documental.
En caso de pruebas diagnósticas invasivas que requieran una preparación o convalecencia importantes, la persona trabajadora podrá hacer uso de este crédito de 14 horas anuales para cubrir estas circunstancias. También el personal del turno de noche tendrá derecho al uso de este crédito para cubrir estas circunstancias (visitas y pruebas), ya sea la noche anterior o posterior.
Además del horario de consulta o prueba también se contabilizará el tiempo indispensable de desplazamiento hasta el centro donde se tenga que realizar la atención, dentro del cómputo de las 14 horas.
e. Un día laborable por traslado de domicilio habitual.
f. Por el tiempo indispensable para el cumplimiento de un deber inexcusable de carácter público, comprendido el ejercicio del sufragio activo.
g. Hasta 10 días el año para asistir a exámenes para la obtención de un título académico o profesional. Dentro de este supuesto se incluyen los exámenes que realiza la Junta Permanente de catalán y el Consorcio para la Normalización Lingüística. Cuando la persona trabajadora preste servicio al turno de noche, disfrutará del permiso la noche anterior al examen. Este permiso se disfruta por días, no sólo por el tiempo indispensable. Para el disfrute de este permiso hace falta que coincida con la jornada de trabajo poro no hace falta que coincida con el horario laboral.
h. Las trabajadoras embarazadas tendrán derecho a ausentarse del trabajo, con derecho a remuneración, para la realización de exámenes prenatales y técnicas de preparación al parto y, en los casos de adopción, guarda con fines de adopción o acogimiento, para la asistencia a las preceptivas sesiones de información y preparación y para la realización de los preceptivos informes psicológicos y sociales previos a la declaración de idoneidad, siempre en todos los casos, previo aviso en la empresa y justificación de la necesidad de su realización dentro de la jornada de trabajo.
i. Las madres y padres, o tutores legales, con hijos o hijas con discapacidad tienen derecho, conjuntamente, a permisos de ausencia del puesto de trabajo para poder asistir a reuniones o visitas en los centros educativos o sanitarios donde reciban apoyo.
j. Para la realización de funciones sindicales o de representación del personal en los términos establecidos legal o convencionalmente.
El disfrute de los permisos correspondientes por afinidad también corresponde para los parientes hasta el segundo grado, si es hijo o hija del cónyuge o/y para el cónyuge del padre o la madre.
42.2 El personal afectado por este Convenio tendrá derecho a tres días laborables el año de libre disposición que tendrán la consideración de trabajo efectivo a todos los efectos y que no precisarán de justificación para su disfrute. Si la jornada de trabajo es regular, los 3 días serán de esta jornada. Si la persona trabajadora tiene una jornada irregular y realiza dos o tres modalidades de jornada, de los tres días de libre disposición se tendrán que disfrutar como mínimo 2 días en la jornada prevalente en cómputo días/año, y el día restante se escogerá entre cualquiera de las jornadas que haga, a su elección. Se entiende como días laborables, todos los días que la persona trabajadora tiene programados en su calendario, independientemente del día de la semana. Estos criterios se aplicarán también en el caso de contratos a tiempo parcial.
Artículo 43 Excedencia voluntaria
43.1 Las personas trabajadoras que acrediten un año de antigüedad en la empresa, podrán solicitar una excedencia voluntaria por un período que no será inferior a cuatro meses ni superior a los 5 años.
43.2 La excedencia se entenderá siempre sin derecho a ningún tipo de retribución. El tiempo de duración no se computará a efectos de antigüedad.
43.3 La excedencia se solicitará siempre por escrito, con una antelación mínima de 15 días naturales a la fecha de inicio. Asimismo, la empresa tendrá que comunicar su concesión, también por escrito, en el plazo de los cinco días naturales siguientes, identificando la fecha límite en la que la persona trabajadora tiene que solicitar el reingreso.
La persona trabajadora puede pedir el reingreso a la empresa antes de finalizar el período solicitado, pero la empresa no está obligada a valorar la posibilidad de reingreso hasta que finalice el período inicialmente solicitado, salvo acuerdo en contrario entre las partes.
43.4 La persona trabajadora en excedencia voluntaria conserva sólo un derecho preferente al reingreso en las vacantes de igual o similar categoría en la suya que se produzcan a la empresa una vez finalizado el período de disfrute inicialmente concedido o, en su caso, el de sus sucesivas prórrogas.
43.5 La persona trabajadora que haya hecho uso de su derecho a la excedencia voluntaria no podrá solicitar una nueva hasta transcurridos tres años de trabajo efectivo, una vez concluida la anterior.
Artículo 43 bis Excedencia por conciliación de la vida familiar y laboral
43.bis.1. Las personas trabajadoras con una antigüedad en la empresa de como mínimo un año podrán solicitar, por razones de conciliación de la vida familiar y laboral, una excedencia por un período que no será inferior a 1 mes ni superior a dos años.
43.bis.2. Esta excedencia se entenderá siempre sin derecho a ningún tipo de retribución. El tiempo de duración no se computará a efectos de antigüedad.
43.bis.3. La excedencia se solicitará siempre por escrito, con una antelación mínima de 15 días naturales a la fecha de inicio. Asimismo, si la empresa la concede, tendrá que comunicar su concesión, también por escrito, en el plazo de los cinco días naturales siguientes, identificando la fecha en la que la persona trabajadora tiene que reincorporarse. La persona trabajadora puede pedir el reingreso a la empresa antes de finalizar el período solicitado, poro la empresa no está obligada a valorar la posibilidad de reingreso hasta que finalice el período inicialmente solicitado, salvo acuerdo en contrario entre las partes.
43.bis.4. La persona trabajadora que haya hecho uso de su derecho a esta excedencia no podrá solicitar una nueva hasta transcurridos seis meses de trabajo efectivo, una vez concluida la anterior.
43.bis.5. A la finalización del período de esta excedencia, la persona trabajadora tendrá derecho a la reincorporación automática a su puesto de trabajo.
Artículo 44 Excedencia especial por nacimiento o adopción legal de hijo o hija o por cuidado de familiares
44.1. Las personas trabajadoras tendrán derecho a un período de excedencia de duración no superior a cuatro años para tener cuidado de cada hijo o hija, tanto cuando lo sea por naturaleza, como por adopción, o en los supuestos de guarda con finalidades de adopción o acogimiento permanente, aunque estos sean provisionales, a contar desde la fecha de nacimiento o, si procede, de la resolución judicial o administrativa. El cuarto año de excedencia tendrá que ser disfrutado de forma ininterrumpida.
También tendrán derecho a un período de excedencia, de duración no superior dos años, las personas trabajadoras para cuidar de un familiar hasta el segundo grado de consanguinidad o afinidad (incluye la pareja de hecho estable con independencia de su orientación sexual), que por razones de edad, accidente o enfermedad o discapacidad no pueda valerse por sí mismo, y no realice actividad retribuida.
La excedencia contemplada en el presente apartado constituye un derecho individual de las personas trabajadoras, hombres o mujeres. No obstante, si dos o más personas trabajadoras de la misma empresa generaran este derecho para el mismo sujeto causante, el empresario podrá limitar su ejercicio simultáneo por razones justificadas de funcionamiento de la empresa.
Cuando un nuevo sujeto causante diera derecho a un nuevo período de excedencia, el inicio de la misma dará fin al que, si procede, se viniera disfrutando.
El período en el cual la persona trabajadora permanezca en situación de excedencia conforme a lo establecido en este artículo será computable a efectos de antigüedad y la persona trabajadora tendrá derecho a la asistencia a cursos de formación profesional, a cuya participación deberá ser convocada por el empresario, especialmente con ocasión de su reincorporación. Durante el primer año tendrá derecho a la reserva de su puesto de trabajo. Transcurrido dicho plazo, la reserva quedará referida a un puesto de trabajo del mismo grupo profesional o equivalente.
Así mismo, cuando la persona trabajadora forme parte de una familia que tenga reconocida oficialmente la condición de familia numerosa, la reserva de su puesto de trabajo se extenderá hasta un máximo de 15 meses cuando se trate de una familia numerosa de categoría general, y hasta un máximo de 18 meses si se trata de categoría especial. Cuando la persona ejerza este derecho con la misma duración y régimen que el otro progenitor, la reserva de puesto de trabajo se extenderá hasta un máximo de 18 meses.
44.2. La excedencia se solicitará siempre por escrito con una antelación mínima de quince días naturales a la fecha de su inicio; asimismo, la empresa tendrá que comunicar su concesión, también por escrito, en el plazo de los cinco días naturales siguientes, indicando la fecha en la que la persona trabajadora tiene que reincorporarse, así como la necesidad de solicitar el reingreso con un mes de antelación a la fecha prevista de finalización y las consecuencias de no hacer la solicitud en tiempo y forma. El mismo régimen funcionará en caso de posibles prórrogas.
44.3 A la finalización del período de esta excedencia, la persona trabajadora tendrá derecho a la reincorporación automática.
44.4. La excedencia será sin derecho a retribución.
44.5 Esta excedencia no interrumpe la prestación efectiva de servicios según establece el artículo 29 y el artículo 75, segundo, g.
Artículo 44. bis Excedencia especial por transición de género
44.bis.1. La persona trabajadora que inicie un proceso de transición de género tendrá derecho a solicitar un período de excedencia no remunerado de duración no superior a dos años desde el inicio del proceso.
44.bis.2. La excedencia se tendrá que solicitar por escrito a la empresa con una antelación de dos meses anteriores a la fecha de inicio y se podrá prorrogar una única vez hasta el máximo de 2 años. La excedencia se tendrá que disfrutar de manera ininterrumpida excepto acuerdo entre las partes. Asimismo, la empresa tendrá que comunicar su concesión, también por escrito, en el plazo de los quince días naturales siguientes, indicando la fecha en la que la persona trabajadora tiene que reincorporarse, así como la necesidad de solicitar el reingreso con un mes de antelación a la fecha prevista de finalización y las consecuencias de no hacer la solicitud en tiempo y forma. El mismo régimen funcionará en caso de prórroga.
Junto con la solicitud se aportará certificado médico indicando el inicio de proceso de transición de género sin que tenga que constar ningún otro dato con respecto al procedimiento.
Cuando la persona trabajadora se acogiera a otra excedencia de las contempladas en el Convenio, el inicio de la misma dará fin a la que se venga disfrutando.
El período en el cual la persona trabajadora permanezca en situación de excedencia conforme a lo establecido en este artículo será computable a efectos de antigüedad y la persona trabajadora tendrá derecho a la asistencia a cursos de formación profesional, a cuya participación tendrá que ser convocado por el empresario, especialmente con ocasión de su reincorporación. Durante el primer año tendrá derecho a la reserva de su puesto de trabajo. Transcurrido dicho plazo, la reserva quedará referida a un puesto de trabajo del mismo Grupo profesional o equivalente.
La persona trabajadora puede pedir el reingreso a la empresa antes de finalizar el período solicitado, poro la empresa no está obligada a valorar la posibilidad de reingreso hasta que finalice el período inicialmente solicitado, salvo acuerdo en contrario entre las partes.
44.bis.3. A la finalización del período de esta excedencia, la persona trabajadora tendrá derecho a la reincorporación automática.
44.bis.4. Esta excedencia no interrumpe la prestación efectiva de servicios según establece el artículo 29 y el artículo 75, segundo, g).
Artículo 45 Excedencia especial para el ejercicio de funciones sindicales
45.1. Las personas trabajadoras que sean elegidas para un cargo sindical, de ámbito local o superior, tendrán derecho a una excedencia especial para todo el tiempo que dure su nombramiento.
45.2. La persona trabajadora en excedencia podrá reincorporarse a la empresa en el plazo de 30 días naturales contados a partir de aquel en que cese en el cargo, avisando previamente a la dirección al menos con quince días naturales de antelación a la fecha en que solicite la reincorporación. Si, cesada en el cargo, por cualquier causa, no solicitara su reingreso en el plazo de 30 días naturales, causará baja definitiva a la empresa.
45.3. El período de excedencia será sin derecho a retribución, si bien computará a efectos de antigüedad.
Artículo 46 Excedencia forzosa por nombramiento de cargo público
46.1. La persona trabajadora que sea elegida o designada para un cargo público que imposibilite su asistencia al trabajo podrá solicitar una excedencia forzosa para toda la duración del ejercicio del cargo.
46.2. Tan pronto como cese su cargo público podrá reincorporarse a la empresa en el plazo de los 30 días naturales siguientes a la fecha en que haya cesado, avisando previamente a la dirección al menos con quince días naturales de antelación a la fecha en que solicite la reincorporación. Si, concluido el ejercicio del cargo, por cualquier causa, no solicitara el reingreso en el plazo de 30 días naturales, causará baja definitiva a la empresa.
46.3. El período de excedencia será sin derecho a retribución, si bien se computará a efectos de antigüedad.
Artículo 47 Excedencia especial
47.1. Tendrá derecho a una excedencia especial de hasta 3 años, con reserva del puesto de trabajo durante los dos primeros años, y reserva de un puesto de trabajo de su grupo y subgrupo profesional en caso del tercer año y, por lo tanto, a la reincorporación inmediata a la finalización de la excedencia, el siguiente personal:
a. El personal que haga tareas de voluntario (retribuidas o no) a una ONG.
b. El personal que realice estudios, formación o docencia, vinculados a la actividad del centro.
47.2. Esta excedencia se entenderá siempre sin derecho a ningún tipo de retribución. El tiempo de duración no se computará a efectos de antigüedad.
47.3. La excedencia se solicitará siempre por escrito, con una antelación mínima de 15 días naturales a la fecha de inicio. Asimismo, la empresa tendrá que comunicar su concesión, también por escrito, en el plazo de cinco días naturales siguientes, identificando la fecha en la que la persona trabajadora tiene que reincorporarse. La persona trabajadora puede pedir el reingreso a la empresa antes de finalizar el período solicitado, poro la empresa no está obligada a valorar la posibilidad de reingreso hasta que finalice el período inicialmente solicitado, salvo acuerdo en contrario entre las partes.
Artículo 48 Pausas y reducción de jornada por lactancia o por nacimientos de hijos prematuros
48.1. Para la lactancia de hijo o hija menor de 9 meses, las personas trabajadoras tienen derecho a una pausa de una hora en el trabajo, que pueden dividir en 2 fracciones. La duración de la pausa se incrementará proporcionalmente en los casos de parte, adopción o acogimiento múltiples. La persona trabajadora puede sustituir este derecho por una reducción de la jornada normal en 1 hora con la misma finalidad, y se podrá otorgar a uno de los progenitores si los dos son personas trabajadoras de la misma empresa.
La persona trabajadora tendrá derecho a compactar el total de tiempo de lactancia a continuación del permiso de nacimiento, adopción y guarda con hasta adoptivos o acogimiento de acuerdo con la legislación civil catalana. Cualquier otro tipo de compactación requerirá la conformidad de la empresa. Si la persona trabajadora causara baja definitiva de la empresa antes de los nueve meses siguientes al parto, se le descontarán las cantidades indebidamente percibidas.
48.2. En el supuesto de nacimiento prematuro de hijo o hija, o que, por cualquier causa, tengan que continuar hospitalizados después del nacimiento, las personas trabajadoras tienen tiene derecho a ausentarse del trabajo durante una hora diaria. Asimismo, tendrán derecho a reducir su jornada de trabajo hasta un máximo de dos horas, con la disminución proporcional de salario. Si las dos personas trabajan en la misma empresa sólo una de ellas podrá ejercer estos derechos.
48.3. En caso de nacimiento prematuro de hijo o hija que tengan que ser hospitalizados a continuación del parto, se otorgará una excedencia voluntaria especial equivalente al tiempo de hospitalización, hasta un máximo de doce semanas, que se iniciará a partir de la finalización del permiso de nacimiento, adopción, guarda con hasta adoptivos o acogimiento de acuerdo con la legislación civil catalana o de la decimosexta semana posterior.
48.4. La concreción horaria y la concreción del período para disfrutar el permiso de lactancia y de la reducción de jornada para cuidar de un menor familiar de los previstos en este artículo corresponde a la persona trabajadora dentro de su jornada ordinaria. La persona trabajadora tiene que preavisar en la empresa con 15 días de antelación sobre cuál será la fecha de su reincorporación a la jornada ordinaria.
48.5 Previo acuerdo con la empresa, el permiso de nacimiento, adopción, guarda con hasta adoptivos o acogimiento de acuerdo con la legislación civil catalana se podrá disfrutar a tiempo parcial de forma ininterrumpida. En el caso de filiación biológica sólo se podrá disfrutar a tiempo parcial a partir de la sexta semana posterior al parto.
Artículo 49 Reducción de jornada para cuidar de un menor o disminuido físico, psíquico, sensorial o familiar
49.1. Quién por razones de guarda legal, guarda de hecho o acogimiento permanente, tenga a su cuidado directo, continúa y permanente algún menor de doce años o una persona con discapacidad física, psíquica o sensorial, que no realice una actividad retribuida, tendrá derecho a una reducción de la jornada de trabajo en los términos legalmente establecidos según la normativa vigente en cada momento.
Tendrá el mismo derecho quién precise encargarse del cuidado directo de un familiar, hasta el segundo grado de consanguinidad o afinidad, que por razones de edad, accidente o enfermedad no pueda valerse por sí mismo, y que no ocupe actividad retribuida. La reducción de jornada contemplada en el presente apartado constituye un derecho individual de las personas trabajadoras, hombres o mujeres. No obstante, si dos o más personas trabajadoras de la misma empresa generaran este derecho para el mismo sujeto causante, la empresa podrá limitar su ejercicio simultáneo por razones justificadas de funcionamiento de la empresa o necesidades del servicio.
El progenitor o progenitora, adoptante, guardador o guardadora con finalidades de adopción o acogedor o acogedora de carácter permanente, tendrá derecho a una reducción de la jornada de trabajo, con la disminución proporcional del salario de, al menos, la mitad de la duración de aquella, para el cuidado, durante la hospitalización y tratamiento continuado, del menor a su cargo afectado por cáncer (tumores malignos, melanomas y carcinomas), o por cualquier otra enfermedad grave, que implique un ingreso hospitalario de larga duración y requiera la necesidad de su cuidado directo, continuo y permanente, acreditado por el informe del servicio público de salud u órgano administrativo sanitario de la comunidad autónoma correspondiente y, como máximo, hasta que el menor cumpla los 23 años. Se considerará enfermedad grave a efectos de este párrafo las reguladas en el Real decreto 1148/2011, de 29 de julio, para la aplicación y desarrollo, en el sistema de la Seguridad Social, de la prestación económica por cuidado de menores afectados por cáncer u otra enfermedad grave, o cualquier otro que lo sustituya o actualice.
49.2. La concreción horaria y la determinación del período de disfrute de la reducción de jornada, corresponderá a la persona trabajadora, dentro de su jornada ordinaria. Esta tendrá que preavisar en la empresa con quince días de antelación a la fecha en que se reincorporará a su jornada ordinaria.
Artículo 50 Cambio de puesto de trabajo durante el embarazo y situación de parto reciente
Las trabajadoras en situación de embarazo o parto reciente que ocupen puestos de trabajos evaluados como de riesgo para la seguridad o salud o puedan repercutir negativamente sobre el embarazo o la lactancia tendrán derecho a que les sean adaptadas las condiciones de trabajo para evitar la exposición a los mencionados riesgos. Si no es posible la adaptación de las condiciones o del tiempo de trabajo, previa certificación del médico o médico de empresa o, en su defecto, del médico o médico de cabecera de que las condiciones de trabajo pueden influir negativamente en la salud de la trabajadora o del feto, la dirección tendrá que trasladar temporalmente a la trabajadora a un puesto de trabajo o función diferente compatible con su estado. Si no existe puesto o función compatible correspondiente a su grupo profesional, la trabajadora podrá ser destinada a uno de equivalente conservante la retribución de su puesto de procedencia.
En el supuesto de qué en razón de embarazo o parto reciente, la empresa destine a una trabajadora a un puesto de trabajo correspondiente a un grupo profesional superior a lo que ostentaba, percibirá el salario correspondiente a este grupo profesional. Esta trabajadora no tendrá derecho a consolidar este grupo profesional superior, aunque la destinación sea superior a 6 meses en un año o a 8 meses en dos años.
Artículo 51 Protección víctimas de terrorismo
Las personas trabajadoras que tengan la consideración de víctimas del terrorismo tendrán derecho para hacer efectiva su protección o su derecho a la asistencia social integral, a la reducción de la jornada de trabajo con disminución proporcional del salario o a la reordenación del tiempo de trabajo, a través de la adaptación del horario, de la aplicación del horario flexible o de otras formas de ordenación del tiempo de trabajo que se utilicen en la empresa. En ausencia de acuerdo, la concreción horaria del derecho corresponderá a la persona trabajadora.
Artículo 52 Medidas de apoyo a las personas trabajadoras responsables de personas con discapacidad
52.1. Las personas trabajadoras con hijos o hijas con una discapacidad física, psíquica o sensorial, reconocida por el departamento de la Generalitat u organismo competente en la materia, igual o superior a un 33%, que no realicen actividad retributiva alguna, percibirá la ayuda mensual de 70 euros. También lo percibirán los tutores o tutoras y guardadores o guardadoras con guarda legal.
52.2. Las personas trabajadoras con hijos o hijas con una discapacidad física, psíquica o sensorial, reconocida por el departamento de la Generalitat u organismo competente en la materia, igual o superior a un 33%, tendrá preferencia en los cambios de turno con el fin de conciliar sus horarios con los de los centros dónde el hijo o hija con discapacidad reciba atención. También lo percibirán los tutores o tutoras y guardadores o guardadoras con guarda legal.
Capítulo 6 Mejoras en la acción protectora de la seguridad social. Jubilación. Defunción.
Artículo 53 Regulación del régimen de mejora de la incapacidad temporal
53.1 En las situaciones de incapacidad temporal, ya sean derivadas de contingencias comunes como de contingencias profesionales, se percibirá, desde el primer día, un complemento de la prestación económica de la Seguridad Social, hasta el cien por cien de sus retribuciones fijas y periódicas que se percibían el mes anterior a aquel en que tuvo lugar la incapacidad. En caso de que haya cambios en la contratación de jornada en el mes anterior a aquel en que tuvo lugar la incapacidad, el cálculo del complemento será en base a la proporción de la jornada o jornadas del mes anterior al de inicio de la situación de incapacidad temporal.
En el caso de jubilación parcial, la empresa tiene que abonar el complemento de la prestación económica como cualquier otra persona trabajadora no jubilada.
53.2. La documentación médica aportada por las personas interesadas es confidencial y la empresa se tiene que sujetar a la normativa de protección de datos de carácter personal. En este sentido, una vez se acredite por la persona interesada y se haga constar por la unidad de gestión correspondiente que se cumplen los requisitos para tener derecho a la obtención de las mejoras establecidas normativamente, se tiene que devolver a la persona interesada la documentación aportada. Los datos médicos relativos a los motivos concretos de la incapacidad temporal no se tienen que inscribir ni registrar en ninguna base de datos. Las personas que intervienen en la tramitación del procedimiento de reconocimiento de mejoras voluntarias tienen el deber de guardar secreto.
Artículo 54 Nacimiento y otros supuestos de suspensión de contrato
En los supuestos de suspensión de contrato por nacimiento, adopción, guarda con finalidad de adopción y de acogimiento, riesgo durante el embarazo, riesgo durante la lactancia natural y en el supuesto de incapacidad temporal de las víctimas de violencia de género o de violencia sexual, previstos en el artículo 48.4, 5, 6, 7 y 8 del Real Decreto Legislativo 2/2015, de 23 de octubre, por el cual se aprueba el texto refundido de la Ley del Estatuto de los trabajadores, las empresas garantizarán a sus personas trabajadoras el complemento necesario para que sumado a la prestación reglamentaria de la Seguridad Social perciban la totalidad de su retribución en jornada ordinaria. A partir del 1 de enero de 2023 y con respecto a la jornada complementaria de atención continuada (guardias presenciales) y guardias localizables, plus sábado, plus domingo, plus festivo y plus festivo especial, se tendrá en cuenta la media de los importes percibidos los 12 meses anteriores al mes del inicio de la suspensión del contrato o los meses trabajados si estos son inferiores a 12 meses.
Artículo 55 Jubilación parcial
Las personas trabajadoras que cumplan los requisitos establecidos a la normativa legal vigente en cada momento, incluido el apartado 22 de la Disposición derogatoria única del Real Decreto Legislativo 8/20015, de 30 de octubre, por el que se aprueba el texto refundido de la Ley General de la Seguridad Social, por aquellos que resulten afectados por la misma, podrán acogerse a la jubilación parcial, en los términos que correspondan, estando la empresa obligada a cumplir con las obligaciones que establezca la normativa aplicable.
Artículo 56 Defunción
En caso de muerte de una persona trabajadora, el centro o institución pagará a las personas beneficiarias de esta la indemnización de una mensualidad del salario ordinario. Si la defunción se produjera en acto de servicio o como consecuencia suya, la indemnización que tendrán que recibir las personas beneficiarias será de tres mensualidades.
A falta de designación expresa de personas beneficiarias, tendrán derecho a cobrar la indemnización los herederos y las herederas. Si son más de una las personas beneficiarias o, en su caso, los herederos y las herederas, la indemnización que corresponda se distribuirá a partes iguales entre todas ellas.
Capítulo 7 Acción sindical
Artículo 57 Comités de empresa y Delegados y Delegadas de personal
57.1. La representación colectiva de las personas trabajadoras se efectuará a través de los Comités de empresa o, si procede, de los delegados y delegadas de personal que serán elegidos según establezcan las leyes.
57.2. Sus derechos, obligaciones y garantías se regirán por lo que establezca el título II del Real Decreto Legislativo 2/2015, de 23 de octubre, por el cual se aprueba el texto refundido de la Ley del Estatuto de los trabajadores y entre sus competencias se las reconocen las siguientes:
a. Ser informados por la dirección sobre la evolución profesional y económica del sector sanitario, situación del centro, evolución probable del empleo, conciertos con el Servicio Catalán de la Salud, etc.
b. Conocer el balance, cuenta de resultados y la memoria del ejercicio contable y, en caso de que la empresa revista la forma de sociedad por acciones o participaciones, ser informados de los otros documentos que se den a conocer a los socios.
c. Participar en la implantación y gestión del fondo social en caso de que la empresa, de acuerdo con el comité, decida hacerlo.
d. Conocer a los modelos de contrato de trabajo escrito que se utilicen en la empresa y también los documentos que justifiquen la terminación de la relación laboral, así como a recibir la copia básica y notificación de las prórrogas de los contratos y todo aquello que exija la ley.
e. Derecho a acumular en uno o varios miembros del Comité de empresa o Delegados de personal y delegados sindicales que sean de una misma sección sindical o sindicato, el sobrante de horas sindicales no utilizadas por los otros representantes de los trabajadores/as, de su crédito disponible. Si un miembro del Comité de empresa es, al mismo tiempo, Delegado o Delegada sindical podrá acumular las respectivas horas sindicales que le corresponderían por cada uno de los mencionados cargos. En todo caso se procurará que el uso del crédito horario no comporte la desatención del servicio.
f. Las horas utilizadas por los Comités de empresa o Delegados y Delegadas de personal, en reuniones convocadas por la dirección de empresa, estarán en cualquier caso retribuidas, sin ser computadas dentro del crédito de horas sindicales.
g. Los y las representantes sindicales que participen a la Comisión negociadora del presente Convenio colectivo tendrán derecho a la concesión de los permisos retribuidos que sean necesarios para el ejercicio adecuado de su tarea como negociadores.
h. La empresa no podrá denegar una salida sindical, de su puesto de trabajo cuando el/la representante sindical la haya solicitado con una antelación que como mínimo tendrá que ser dentro de su jornada laboral anterior a la salida. En el caso que el/la representante sindical haya agotado su crédito mensual de horas sindicales retribuidas, las que sobrepasen serán sin derecho a retribución.
i. En los Delegados y Delegadas de personal y miembros del Comité de empresa se les reconoce el derecho de expresar con absoluta libertad sus opiniones en materias concernientes a la esfera de la representación sindical, como también la libertad en el ejercicio del cargo, de acuerdo con lo que establece la legislación vigente.
j. Los Comités de empresa y Delegados y Delegadas de personal, serán informados, antes de la decisión empresarial definitiva, de las actividades que tengan que ser objeto de subcontratación.
k. En relación a la retribución variable por objetivos (DPO), los Delegados y Delegadas sindicales, de prevención, de personal y los miembros del Comité de empresa, que por razones del ejercicio de su cargo, no puedan alcanzar los objetivos establecidos, tendrán garantizado el cobro de la media del porcentaje de consecución de objetivos del puesto de trabajo en el cual pertenezcan.
Artículo 58 Secciones sindicales
58.1. En las empresas con plantilla superior a 150 personas trabajadoras se podrán constituir secciones sindicales y nombrar delegados y delegadas sindicales, que se regirán de acuerdo con lo que dispone el artículo 10 de la Ley Orgánica 11/1985, de 2 de agosto, de libertad sindical, con los derechos y competencias contenidos a la misma ley.
58.2. Para facilitar la participación de los sindicatos firmantes en las diferentes comisiones que han sido establecidas en este Convenio, el seguimiento de la implantación de las nuevas condiciones laborales y retributivas pactadas, estos sindicatos firmantes podrán designar, a cada uno de ellos, hasta 4 delegados o delegadas sindicales sectoriales siempre que este coste social para las empresas afectadas sea compensado debidamente en su concertación por el Servicio Catalán de la Salud y no repercuta directamente en sus cuentas de explotación.
Estos Delegados y Delegadas, tendrán la consideración de delegados y delegadas sindicales sectoriales y disfrutarán de todas las garantías sindicales establecidas legal y convencionalmente.
La identidad de las personas que tengan que realizar las funciones de Delegado o Delegada sindical sectorial se tendrá que comunicar a la dirección del centro en que presta sus servicios, y a las direcciones de las asociaciones empresariales firmantes.
Artículo 59 Retención de la cuota sindical
59.1. A petición escrita de los Delegados y Delegadas sindicales, o directamente de los sindicatos, la empresa descontará en el recibo mensual de salarios del personal afiliado, el importe de la cuota sindical fijada por el sindicato.
59.2. Para proceder a efectuar la retención mensual, será un requisito imprescindible que el personal lo autorice mediante un escrito dirigido a la dirección de la empresa, en la que se especificará el sindicato en el cual se tiene que hacer entrega, el importe de la cuota mensual, y también la especificación de que su importe sea entregado al Delegado o Delegada sindical de la empresa, o bien directamente al sindicato.
59.3. Las cuotas sindicales recaudadas por la empresa serán entregadas al Delegado o Delegada sindical o al sindicato dentro de los quince días naturales siguientes a la fecha en que se haya practicado la retención.
59.4. La solicitud y manera para la retención de la cuota sindical se efectuará por períodos de un año natural, aunque el descuento se haga mensualmente. En caso de que el personal afiliado no desee que se le siga practicando el descuento de la cuota antes de que finalice el año, lo tendrá que comunicar por escrito a la dirección con quince días de antelación.
Capítulo 8 Régimen disciplinario
Artículo 60 Faltas
60.1. Se considerará falta todo acto u omisión del personal que represente una infracción de los deberes y funciones que tenga encomendado o resulte contrario a lo que preceptúan las disposiciones legales vigentes.
60.2. Las faltas o infracciones laborales del personal se clasifican en leves, menos graves, graves y muy graves.
Artículo 61 Graduación de las faltas
De conformidad con la clasificación que contiene el artículo anterior, y sin carácter restrictivo, la enumeración de las faltas es la siguiente:
61.1. Faltas leves
a. Las de puntualidad injustificada en la asistencia al trabajo, superiores a diez minutos e inferiores a veinte, que no causen perjuicio irreparable.
b. La mera desatención o descortesía con las personas con que se relacione durante el servicio.
c. No cursar a su tiempo la baja por enfermedad, a no ser que se probara la imposibilidad de haberlo hecho.
d. No comunicar a la empresa el cambio de domicilio en el plazo máximo de cinco días después de haberlo realizado.
e. La inobservancia intranscendente de normas o medidas reglamentarias y de higiene.
61.2 Faltas menos graves
a. La reiteración o reincidencia en la comisión de faltas leves.
b. Ausentarse del trabajo durante la jornada laboral sin el permiso necesario o causa justificada, siempre que no se ocasione perjuicio irreparable. La prestación de auxilio a requerimiento justificado de uno tercero que suponga el abandono del puesto de trabajo no será motivo de sanción, siempre que esté en las inmediaciones de centro o institución.
c. No poner cuidado en la prestación del servicio con la diligencia que hace falta.
d. No comunicar a la empresa las vicisitudes familiares que puedan afectar los seguros sociales y pluses familiares dentro de los cinco días siguientes en su producción.
e. La mera desobediencia a los superiores en cualquier materia del servicio, siempre que la negativa no fuera manifestada expresamente, caso en que se calificará como falta grave.
f. La imprudencia en el trabajo respecto de lo que prevé cualquiera de las normas sobre seguridad e higiene, que no ocasione accidentes serios o daños al personal o elementos de trabajo.
61.3. Faltas graves
a. La reiteración o reincidencia en la comisión de faltas menos graves.
b. Faltar al trabajo un día sin causa justificada.
c. Mantener discusiones injustificadas o violentas durante el trabajo.
d. La simulación de enfermedad o accidente.
e. Falsear los datos aportados a las declaraciones formuladas a cualquiera de los efectos legales para los cuales se soliciten.
f. La embriaguez, siempre que no sea habitual, caso en que se considerará como falta muy grave.
g. Las de indiscreción, negligencia o de ética profesional, siempre que no motiven reclamación por parte de terceros o impliquen perjuicios irreparables, caso en que se calificarán como faltas mucho graves.
61.4. Faltas muy graves
a. Merecen esta consideración todas las que prevé el artículo 54 del Real decreto legislativo 2/2015, de 23 de octubre, por el cual se aprueba el texto refundido de la Ley del Estatuto de los trabajadores, y también el abuso de autoridad por parte de los jefes.
b. La negativa del personal a tiempo parcial a la realización de las horas complementarias pactadas siempre que se hubieran cumplido los requisitos y régimen jurídico que, para esta institución, establece el presente Convenio colectivo.
c. El acoso sexual, entendiendo como tal toda conducta de naturaleza sexual o cualquier otro comportamiento basado en el sexo que afecte a la dignidad de la mujer y el hombre en el trabajo, incluida la conducta de superiores y compañeros, siempre y cuando esta conducta sea no deseada, no razonable y ofensiva para el sujeto pasivo de la misma, o cree un entorno laboral intimidante, hostil o humillante para la persona que es objeto de la misma; o la negativa al sometimiento de una persona a esta conducta sea utilizada como base para una decisión que tenga efectos sobre el acceso de esta persona a la formación profesional o al empleo, sobre la continuación del empleo, sobre el salario o sobre cualquiera otra decisión relativa al contenido de la relación laboral.
d. El acoso moral o psicológico (mobbing), entendiendo como tal el comportamiento negativo entre compañeros o entre superiores e inferiores jerárquicos, a causa del cual la persona afectada es objeto de una hostilidad extrema de forma sistemática y durante un tiempo prolongado, sea cuál sea la expresión de las situaciones de acoso.
Artículo 62 Sanciones
Las sanciones que puedan imponerse al personal que haya incurrido en falta o faltas debidamente comprobadas serán las siguientes:
62.1 por faltas leves:
Amonestación verbal o por escrito; suspensión de sueldo y trabajo hasta dos días.
62.2 Por faltas menos graves:
Suspensión de sueldo y trabajo de a 10 días.
62.3 Por faltas graves:
Suspensión de sueldo y trabajo de 11 a 20 días.
62.4 Por faltas muy graves:
Suspensión de sueldo y trabajo de 21 a 60 días; traslado de departamento o servicio por un período de 3 meses hasta un año; inhabilitación para ascender de categoría durante tres años como máximo; despido.
Artículo 63 Procedimiento sancionador
63.1 Las sanciones se comunicarán a la persona interesada por escrito y de las graves, se dará conocimiento al Comité de empresa o Delegado y Delegada de personal.
63.2 Por la imposición de sanciones por falta muy grave se instruirá expediente sumario. El expediente se iniciará enviando a la persona trabajadora un pliego de cargos en que se expondrán sucintamente los hechos que se suponen constitutivos de falta. Acto seguido se enviará al Comité de empresa o Delegados y Delegadas de personal que, como la persona trabajadora afectada, dispondrá de cinco días hábiles por manifestar, por escrito que enviará a la dirección, lo que considere conveniente para la aclaración de los hechos.
La dirección, cerrado el plazo de cinco días hábiles, aunque la persona trabajadora afectada o los representantes sindicales no hayan hecho uso de su derecho a formular alegaciones escritas, podrá imponer a la persona trabajadora la sanción que considere procedente, de acuerdo con la gravedad de la falta y lo que se ha pactado en el presente Convenio.
La sanción se comunicará por escrito a la persona trabajadora y acto seguido se trasladará al comité de empresa o a los Delegados y Delegadas de personal.
Capítulo 9 Formación, salud laboral y solución de conflictos colectivos
Artículo 64 Formación
64.1. En todas las empresas se destinará a formación continuada de su personal (sesiones clínicas, programas y cursos específicos de formación…) recursos equivalentes, como mínimo, al 0,7% de la masa salarial de cada empresa. A estos efectos, se entenderá como demasiado salarial la suma de las retribuciones salariales y el importe de la cuota empresarial de la Seguridad Social.
Se entiende por formación continuada cualquier proceso de aprendizaje (conjunto de conocimientos, habilidades y actitudes) orientado a actualizar y/o mejorar las competencias de las personas trabajadoras. La formación continuada se hace a lo largo de toda la vida laboral y se inicia al finalizar los estudios por ejercer la actividad correspondiente de las profesiones sanitarias y no sanitarias.
La formación continuada se puede planificar mediante el plan anual de formación, y tendrá que responder a los objetivos y prioridades institucionales, así como tener en cuenta las necesidades de desarrollo profesional de las personas trabajadoras en el puesto de trabajo, con el fin de satisfacer las necesidades de salud de la ciudadanía que atienden de forma efectiva y con una calidad adecuada.
En esta formación continuada también se puede incluir aquella formación vinculada a la actividad de la empresa y que forme parte de los planes formativos recomendados por los colegios profesionales, sociedades científicas y universidades, así como otros organismos o instituciones que ofrezcan acreditaciones oficiales.
La realización de la formación continuada prevista se podrá llevar a cabo indistintamente dentro o fuera de la jornada laboral. La formación que se realice a instancias de la dirección se desarrollará preferentemente dentro del horario de trabajo.
64.2 La fuente de los recursos a aplicar a formación, no necesariamente tienen que provenir de la propia empresa sino que pueden ser debidos a subvenciones, conciertos con la Oficina de Trabajo de la Generalidad de Cataluña, donaciones de terceras personas, etc. por lo tanto, la empresa tiene que garantizar que, sea cuál sea su origen, se destinarán a formación recursos equivalentes, como mínimo, al 0,7% de la masa salarial.
64.3 Las personas trabajadoras con al menos un año de antigüedad en la empresa tienen derecho a un permiso retribuido de veinte horas anuales de formación profesional para el empleo, vinculado a la actividad de la empresa, acumulables para un período de hasta cinco años. El derecho al permiso de formación se entenderá cumplido en todo caso cuando la persona trabajadora pueda realizar las acciones formativas dirigidas a la obtención de la formación profesional para el empleo en el marco de un plan de formación desarrollado por iniciativa empresarial o comprometido por la negociación colectiva.
Sin perjuicio de lo anterior, no se puede incluir en el derecho a que se refiere este apartado la formación que obligatoriamente tenga que impartir la empresa a su cargo de conformidad con lo que prevén otras leyes. La concreción de la forma de disfrute del permiso se tiene que fijar de mutuo acuerdo entre la persona trabajadora y empresario.
Los permisos no disfrutados en cada año serán acumulables por un período máximo de hasta cinco años. Transcurridos los cinco años sin acceder a su disfrute, bien porque la persona trabajadora no lo ha solicitado o porque la empresa no ha propuesto un plan de formación, quedará limitada la acumulación a un máximo de 100 horas. A medida que se vayan disfrutando las horas de formación acumuladas se irán adicionando a razón de 20 horas anuales, sin que en ningún caso la acumulación pueda superar el máximo de las 100 horas.
A petición de la persona trabajadora se podrán acumular las 100 horas antes de devengarlas, para realizar una formación concreta y homologada entre el primero y el quinto año, siempre previa aceptación de la acción por parte de la empresa, que establecerá la compensación pertinente en caso de que la persona cause baja antes de la fecha indicada.
En el caso de planes de formación de empresa, se procurará que sea impartida dentro del horario laboral de la persona trabajadora con la finalidad de preservar el derecho a la conciliación de la vida laboral y familiar. En caso de que se programe la formación antes indicada fuera de la jornada laboral, se tendrá que compensar el tiempo dedicado.
Las 20 horas anuales de formación son un derecho individual de las personas trabajadoras, a solicitud del profesional y no es una bolsa de horas colectiva.
64.4. Cada centro o institución nombrará una comisión asesora de formación a la cual participarán también dos miembros del Comité de empresa. Las funciones de esta comisión serán las de hacer propuestas, evaluar la formación y, en general, todas aquellas que le delegue la empresa.
64.5. Se constituirá una comisión paritaria de formación continua en el ámbito del presente Convenio, formada por dieciocho miembros, nueve representantes de las organizaciones sindicales y nueve de las asociaciones empresariales firmantes del Convenio.
Esta comisión tendrá las siguientes competencias:
1. Velar por el cumplimiento de la normativa legal en materia de formación continua.
2. Establecer los criterios orientativos para la elaboración de los planes de formación correspondientes a este ámbito, prioridades de las iniciativas de formación que se tienen que desarrollar en el ámbito de este Convenio, orientación respecto de los colectivos destinatarios de las acciones formativas, criterios que faciliten la vinculación de la formación continua con el sistema de clasificación profesional, etc.
3. Proponer la realización de estudios para la detección de las necesidades formativas.
4. Promover la formación continua entre las empresas y las personas trabajadoras.
5. Favorecer el acceso a la formación de las personas trabajadoras para mejorar su calificación profesional.
6. Hacer el seguimiento y la evaluación de la formación continua realizada en su ámbito.
La Comisión paritaria de formación continua en el ámbito de este Convenio elaborará su propio reglamento de funcionamiento.
Artículo 65 Solución de discrepancias en procedimientos de inaplicación de condiciones de trabajo y otros conflictos colectivos
65.1. A los efectos de solucionar de manera efectiva las discrepancias que puedan surgir entre la empresa y las personas trabajadoras para la no aplicación de las condiciones de trabajo a que hace referencia el artículo 82.3 del Real Decreto Legislativo 2/2015, de 23 de octubre, por el cual se aprueba el texto refundido de la Ley del Estatuto de los trabajadores, ambas partes acuerdan que se estará a los procedimientos que se establezcan al Acuerdo Interprofesional de Cataluña vigente en cada momento.
65.2. Las partes firmantes del presente Convenio, en representación de las personas trabajadoras y las empresas comprendidas en su ámbito, pactan expresamente la sumisión a los procedimientos de conciliación y mediación del Tribunal Laboral de Cataluña, para la resolución de los conflictos laborales de índole colectiva o plural que pudieran suscitarse, así como los de carácter individual no excluidos expresamente de las competencias del mencionado tribunal, como trámite procesal previo obligatorio a la vía judicial, a los efectos del establecido en los artículos 63 y 156 de la Ley 36/2011, de 10 de octubre, reguladora de la jurisdicción social.
Artículo 66 Salud laboral
66.1. Planificación de la actividad preventiva
Las empresas tienen que adoptar un sistema de gestión preventiva. Hay que mencionar que estos sistemas de gestión preventiva no están desarrollados ni en el reglamento, ni en la Ley 31/1995, de 8 de noviembre, de prevención de riesgos laborales.
Con el fin de planificar la actividad preventiva, las empresas, tienen que basarse en metodologías que sean conocidas y que disfruten de un reconocido prestigio, previa la consulta y participación de las Delegadas y Delegados de prevención.
En este sistema de gestión preventiva tiene que constar entre otros:
Una definición de las funciones y responsabilidades en materia preventiva de todos los colectivos de la empresa (incluidos también los externos).
Una descripción del programa de actividades preventivas. Estas actividades preventivas, normalmente son de dos tipos:
1. Actividades destinadas a la localización de nuevos riesgos o variaciones de los ya detectados, por cambios en las condiciones de los puestos de trabajo, como inspecciones de seguridad, análisis de accidentes, análisis de procedimientos de trabajo, comunicados de riesgos, revisiones periódicas de puntos críticos de seguridad, estadísticas de accidentalidad, estudios epidemiológicos, estudios ergonómicos y evaluaciones de riesgos psicosociales.
2. Actividades destinadas a reducir riesgos o mantener bajo control su valor, como formación en materia de prevención, promoción de la seguridad y salud, redacción e implantación del plan de emergencia o de autoprotección según corresponda, redacción de normas de seguridad, controles higiénicos de contaminantes químicos y físicos, vigilancia de la salud de las personas trabajadoras especialmente sensibles, mantenimiento preventivo.
En función del nivel de riesgo y de su complejidad, la empresa establecerá el programa de técnicas que desarrollará.
Los programas se establecerán por períodos de duración anuales, y en función de su cumplimiento, se irán ampliando el número de técnicas de lo mismo (hasta el total de las necesidades de la empresa).
Para la implantación del programa, se tienen que establecer los protocolos de realización para cada una de las técnicas preventivas a realizar. Estos protocolos tienen que incluir:
a. La sistemática de la realización
b. Los plazos de ejecución
c. Los responsables de llevarlos a cabo
d. Control y seguimiento de implantación de las medidas preventivas y/o correctoras
e. Revisión y auditoría del programa de seguridad y salud, con el fin de comprobar el cumplimiento de los objetivos establecidos y detectar desviaciones, en base a las cuales se determinarán los nuevos objetivos de prevención.
f. Revisión de la evaluación de riesgos y el consecuente plan de prevención, cuando se producen cambios en la organización del trabajo y del tiempo de trabajo, cuando cambien las condiciones en materia de sistemas de trabajo y rendimiento, nuevas líneas de actividad empresarial e innovación tecnológica.
Este ciclo comporta una mejora continua en materia de prevención en la empresa.
66.2. Fases de la actividad preventiva a realizar en la empresa
1. Identificación de los puestos de trabajo.
2. Identificación de los riesgos existentes en cada uno de los puestos de trabajo de la empresa.
3. Eliminación de aquellos riesgos que pueden evitarse.
4. Evaluación de los riesgos que no hayan sido eliminados, con el fin de establecer cuáles tienen un potencial excesivo de provocar daño, y para priorizar entre ellos y establecer así un orden de actuación.
5. Planificación de la actividad preventiva a realizar en la empresa, según el resultado de la evaluación.
66.3. Objetivos de la planificación preventiva.
a. Proteger eficazmente a las personas trabajadoras en materia de seguridad y salud laboral.
b. Reducir y minimizar los riesgos que no se han podido eliminar.
c. Controlar las condiciones de trabajo a fin de que no surjan nuevos riesgos, o aumente el valor de los existentes.
66.4 Puntos a determinar respecto de la planificación preventiva.
a. Determinación del programa de actividades preventivas a desarrollar en la empresa, previa consulta y participación de las Delegadas y Delegados de prevención. El empresario consultará al personal y a sus representantes la elaboración del plan de prevención, una vez realizada la evaluación de riesgos de cada puesto de trabajo y del conjunto de la empresa.
b. Determinación de los sistemas organizativos de la actividad preventiva, es decir, las personas responsables de llevarla a cabo.
c. Determinación de la participación en todos los niveles en cada una de las actividades preventivas, en cumplimiento del principio básico de integración.
d. Determinación de los recursos necesarios para llevar a cabo los puntos anteriores.
Las empresas integrarán en sus políticas los planes necesarios para proteger y prevenir los riesgos, dotándose de los medios adecuados y suficientes para llevarlo a cabo.
En los programas de prevención de accidentes y enfermedades profesionales que realicen las empresas, se incluirán los reconocimientos de salud específicos en función de los diversos riesgos identificados en la evaluación de riesgos. El personal, previamente a la vigilancia de la salud, tiene que ser informado de los objetivos y del contenido de esta. La vigilancia de la salud se dirigirá hacia los riesgos específicos y sus protocolos contemplarán las orientaciones de las autoridades sanitarias. Los reconocimientos de salud se utilizarán como mecanismos preventivos para la detección precoz de las enfermedades profesionales y/o derivadas del trabajo.
66.5 Aspectos fundamentales de una evaluación de riesgos
1. Contenidos
Para puestos de trabajo (aquellos puestos expuestos a los mismos riesgos).
Dividir sistemáticamente la empresa en secciones y estas en puestos de trabajo.
Identificar a las personas expuestas a los riesgos de cada puesto de trabajo.
Identificar las fuentes de riesgo en base a la gravedad de sus posibles consecuencias y a la probabilidad. de que estas ocurran (teniendo en cuenta las medidas preventivas existentes).
Adoptar la decisión sobre las medidas preventivas adecuadas por cada caso.
Jerarquizar la urgencia de las medidas preventivas que se hayan decidido aplicar para eliminar o reducir el riesgo.
Establecer un control de eficacia de las medidas que se vayan adoptando.
Llevar un registro actualizado de los resultados de la evaluación de riesgos, donde figuren los riesgos detectados, las medidas preventivas adoptadas y la planificación de las medidas que se harán para cada puesto de trabajo. Este registro tiene que estar a disposición de la autoridad laboral competente y de las Delegadas y Delegados de prevención siempre que se requiera.
En cuanto al riesgo biológico, la empresa tendrá que desarrollar la guía de actuación para la prevención de riesgos laborales ante agentes biológicos peligrosos altamente transmisibles en centros sanitarios del Departamento competente de la Generalidad de Cataluña.
Se considerará como riesgo real, los riesgos de efecto estocástico en los casos de radiaciones ionizantes y productos cancerígenos, mutágenos y teratógenos.
Se aplicarán las actuaciones necesarias para desarrollar la Orden ESS/1451/2013, de 29 de julio, por la cual se establecen disposiciones para la prevención de lesiones causadas por instrumentos cortantes y punzantes en el sector sanitario y hospitalario, así como las actualizaciones de la guía técnica del Instituto Nacional de Seguridad y Salud en el Trabajo (INSST) para la actuación en las evaluaciones de riesgos relacionados con la exposición de riesgo biológico en el trabajo.
Todas las empresas tendrán que desarrollar un plan de prevención de agresiones a las personas trabajadoras.
Las empresas tendrán que tener en cuenta las recomendaciones que emita el Observatorio para las situaciones de violencia en el ámbito sanitario en Cataluña y colaborarán en las diferentes peticiones de información que le sean efectuadas.
2. Procedimientos.
Recopilar toda la información relativa a las condiciones de trabajo real por puesto de trabajo, tal como indica la ley, como por ejemplo:
Equipos y material utilizados.
Procedimientos de trabajo realizados.
Características personales del personal que realiza el trabajo.
Instalaciones donde está ubicado el puesto de trabajo.
Para obtener la información, se llevarán a cabo las visitas al puesto de trabajo, consultas al personal y mandos, mediciones, etc. que sean necesarias.
A partir de esta información, se plasmará el contenido de la evaluación de riesgos en el formato que se haya adoptado como documento por tal efecto.
3. Método de evaluación
En base a aquello establecido en el artículo 5.2 del Real Decreto 39/1997, de 17 de enero, por el cual se aprueba el Reglamento de los Servicios de Prevención, cuando la evaluación exija la realización de mediciones, análisis o ensayos, se podrán utilizar los métodos o criterios recogidos en
a. Normes UNE.
b. Guías del Instituto Nacional de Seguridad e Higiene en el Trabajo, del Instituto Nacional de Silicosis y protocolos y guías del Ministerio de Sanidad y Consumo, así como de instituciones competentes de las Comunidades Autónomas.
c. Normas internacionales.
Asimismo se podrán utilizar guías de otras entidades de reconocido prestigio en la materia u otros métodos o criterios profesionales descritos documentalmente que proporcionen confianza sobre el resultado. En caso de duda, se tendrán que adoptar las medidas preventivas más favorables, desde el punto de vista de la prevención.
4. personal que realiza la evaluación
La evaluación tendrá que ser realizada por los servicios de prevención y los técnicos, propios o ajenos, tienen que tener la especialidad correspondiente a la evaluación que se realice.
También participará el personal involucrado en el puesto de trabajo evaluado y los delegados y delegadas de prevención de la empresa.
5. Revisión
Cuando se realicen cambios en las condiciones de puesto de trabajo.
Cuando lo exija específicamente alguna normativa.
Al realizar las técnicas preventivas especificadas en el programa de actividades preventivas de la empresa.
Después de la investigación de un accidente, si procede.
66.6 El Comité de seguridad y salud
El Comité de seguridad y salud, como órgano de participación, paritario y colegiado, para la consulta regular y periódica sobre salud y seguridad, será informado en todas las cuestiones relacionadas con la política de prevención de la empresa y específicamente en las siguientes cuestiones:
a. La identificación de los riesgos que tengan que ser objeto de evaluación y control.
b. La identificación de los riesgos y procedimientos para la evaluación de los riesgos.
c. La elaboración, puesta en práctica, evaluación y revisión de los planes y programas de prevención.
d. El estudio previo del impacto en la salud laboral de los proyectos en materia de planificación, la organización del trabajo y la introducción de nuevas tecnologías.
e. Los procedimientos, contenido y organización de las actividades de información y formación del personal en materia de salud y seguridad.
f. Las iniciativas de mejora de las condiciones de trabajo o de corrección de las deficiencias existentes a propuesta de alguna de las partes.
g. La elección de la entidad y las condiciones de concertación en el caso de recurrir a servicios propios o mancomunados.
h. La selección de la modalidad, composición y número de técnicos necesarios para la constitución del servicio de prevención, así como para la planificación de las actividades que este tenga que desarrollar y la evaluación de su funcionamiento.
i. La contratación, sanción o despido de los miembros del servicio de prevención en caso de que se opte por un servicio propio o mancomunado.
j. La designación por el empresario de personas trabajadoras para ocuparse de las funciones preventivas, la determinación de estas funciones y la evaluación de su cumplimiento.
k. La asignación presupuestaria para la organización de los recursos de prevención.
l. El diseño de programas de vigilancia de salud adaptados a los riesgos y la evaluación de sus resultados con las limitaciones previstas en el artículo 22.4 de la Ley 31/1995, de 8 de noviembre de prevención de riesgos laborales.
m. Cualquier otra medida relacionada con la organización de la prevención.
Para el ejercicio de sus funciones el comité de seguridad y salud tiene las siguientes competencias y facultades:
a. Realizar las visitas a los puestos de trabajo que considere oportunas con el fin de conocer directamente la situación relativa a la prevención.
b. Acceder a toda documentación existente en la empresa sobre cuestiones relacionadas con las condiciones de trabajo y sus riesgos para la salud, así como cualquier otra que sea necesaria para el cumplimiento de sus funciones.
c. Conocer cuántos informes y estudios obtenga la empresa sobre cuestiones relacionadas con la prevención, provenientes de los servicios de prevención, de la Inspección de Trabajo o de otras entidades.
d. Conocer e informar de la programación anual de los servicios de prevención. Solicitar la intervención o el asesoramiento del servicio de prevención siempre que sea necesario.
e. Promover y participar en investigaciones sobre:
1. Evaluación y control de riesgos.
2. Incidencia de daños derivados del trabajo.
3. Evaluación de la eficacia de la acción preventiva.
f. Conocer y analizar los resultados estadísticos de las actividades de vigilancia y salud, así como los indicadores de absentismo por enfermedad, con el objetivo de identificar eventuales relaciones entre los riesgos y los daños.
g. Promover la participación y colaboración del personal en la prevención, recogiendo y estudiando sugerencias y propuestas.
h. Estudiar y dictaminar cuántas propuestas realice la empresa en orden a la prevención de riesgos
i. Proponer la ampliación, temporal o permanente del número de representantes en el Comité de seguridad y salud en función de las tareas y necesidades de la prevención.
j. Colaborar con la Inspección de Trabajo y Seguridad Social en sus visitas a los centros, acompañándolos durante las mismas y formulando las observaciones que estime oportunas.
Los Delegados y Delegadas de prevención tendrán que ser nombrados por el Comité de empresa entre sus miembros o entre el colectivo de personas trabajadoras que forman parte de la institución, con formación específica en salud laboral y prevención de riesgos. En cualquier caso, se tendrá que cumplir la Ley 31/1995, de 8 de noviembre, de prevención de riesgos laborales y normativa de desarrollo. Los Delegados y las Delegadas de prevención tendrán el mismo número de horas de crédito horario que los miembros del Comité de empresa.
El Comité de seguridad y salud se reunirá al menos cada tres meses de forma ordinaria, respetando en todo caso los usos y costumbres del centro de trabajo, con convocatoria por escrito. Se elaborará un calendario de reuniones anual y en caso de cambio de fecha, se comunicará con 72 horas de antelación. El Comité de seguridad y salud se reunirá en sesión extraordinaria cuando concurra alguna de las siguientes situaciones:
a. Accidentes o daños graves.
b. Incidentes con riesgo grave.
c. Sanciones por incumplimientos.
d. Alteración grave en la gestión de residuos dentro del centro.
e. Balance anual del plan de prevención e informe de la memoria y programación del servicio de prevención.
f. Convocatoria por una de las partes.
Se hará un acta de cada reunión recogiendo en ella todos los asuntos tratados y los acuerdos adoptados, así como los puntos a los que no se haya llegado a ningún acuerdo, argumentando ambas partes sus posiciones.
Tanto las convocatorias como los acuerdos del comité de seguridad y salud tendrán que ser objeto de publicidad entre las personas trabajadoras de la empresa, las cuales podrán hacer llegar sus quejas y propuestas, sin perjuicio de las diferentes competencias legales, mediante los Delegados y Delegadas de prevención o del servicio de prevención.
Trimestralmente y en reunión ordinaria la empresa presentará al Comité de seguridad y salud un informe que contenga al menos los siguientes aspectos:
1. Nivel de aplicación y resultados del plan de prevención.
2. Resultados de los eventuales controles ambientales (dentro los centros de trabajo) y actividades de vigilancia de la salud.
3. Evolución de la siniestralidad (accidentes de trabajo y enfermedades profesionales).
4. Bajas laborales derivadas de los accidentes de trabajo y enfermedades profesionales.
5. Los/las técnicos de prevención de la empresa, y los/las representantes de las empresas subcontratistas participarán con voz pero sin voto, a las reuniones del Comité de seguridad y salud en las cuales esté previsto tratar temas de su interés, y en todo caso a iniciativa de cualquiera de las representaciones. Se tendrá que establecer en los contratos con las empresas subcontratistas las obligaciones de estas en relación a la prevención de riesgos laborales, de acuerdo a lo establecido en la evaluación de riesgos. Se establecerá como causa de extinción específica de los contratos con las empresas subcontratistas, el incumplimiento de las normas de prevención de riesgos. La empresa titular del centro de trabajo tendrá que establecer los medios de coordinación necesarios con las empresas subcontratadas concurrentes. Se tendrán que hacer reuniones conjuntas de los Comité de seguridad y salud o técnicos de prevención de las diferentes empresas subcontratadas concurrentes que participarán en las reuniones del Comité de seguridad y salud de la empresa titular del centro. Los/las representantes de las personas trabajadoras de las empresas subcontratadas concurrentes participarán con voz pero sin voto, en las reuniones del comité de seguridad y salud de la empresa titular, en las cuales esté previsto tratar temas de su interés. Se tendrán que hacer reuniones periódicas entre los diversos miembros de los servicios de prevención de la empresa titular del centro y los servicios de prevención de las empresas subcontratadas concurrentes. Tiene que existir intercambio de información y de comunicación entre las empresas concurrentes.
La empresa se compromete a:
a. Hacer reuniones periódicas con las empresas subcontratadas.
b. Impartir instrucciones en esta materia.
c. Al establecimiento conjunto de medidas específicas de prevención de riesgos o de procedimientos o protocolos de actuación.
d. A la presencia en el centro de recursos preventivos de las empresas concurrentes.
e. A la designación de unas o más personas encargadas de coordinar las actividades preventivas.
A las reuniones del Comité de seguridad y salud podrán participar, por iniciativa propia y con voz, pero sin voto, los Delegados y las Delegadas sindicales y los responsables técnicos de prevención de la empresa que no estén incluidos en el Comité de seguridad y salud. En las mismas condiciones anteriores podrán participar las personas trabajadoras de la empresa que tengan una especial calificación o información respecto de cuestiones objetos de debate en este órgano y técnicos en prevención ajenos a la empresa, siempre que así lo solicite alguna de las representaciones en el comité. El tiempo de asistencia a las reuniones del Comité de seguridad y salud será considerado de trabajo efectivo cuando afecte a personas trabajadoras que no conforman el comité de seguridad y salud. Al resto de representaciones se le aplicará la normativa legal sobre crédito horario. Si las personas trabajadoras con una especial calificación o información respecto de cuestiones que se debatan en el Comité de seguridad y salud, fueran varios o adscritos al mismo servicio, la invitación se limitará, sea la representación que sea, a dos por reunión.
El Comité de seguridad y salud podrá constituir grupos de trabajo para abordar o hacer el seguimiento de problemas específicos. De acordarse su constitución se regirán por las normas que se establezcan, que en todo caso tendrá que fijar una duración limitada en el tiempo y la obligación de presentar por escrito conclusiones razonadas. La elección de los miembros de los Grupos de trabajo se hará en el comité de seguridad y salud.
El empresario tendrá que proporcionar a los Delegados y Delegadas de prevención los medios y la formación en materia preventiva que resulten necesarios para el ejercicio de sus funciones.
Dentro del Comité de seguridad y salud se discutirán los criterios de identificación de riesgos, la metodología y su evaluación. Las posturas de todas las partes serán motivadas, y en caso de acuerdo, vinculando para efectuar la evaluación. En todo caso, haya o no acuerdo, estará en el establecido a la Ley 31/1995, de 8 de noviembre de prevención de riesgos laborales y la normativa de desarrollo.
En el marco del Comité de seguridad y salud y en su caso, con los Delegados y Delegadas de prevención, se informará de la modalidad de organización de la prevención. Se constituirá un servicio de prevención, siendo propio en las empresas de más de 250 personas trabajadoras y con un mínimo de dos especialidades propias (artículo 15 del Real Decreto 39/1997, de 17 de enero, por el cual se aprueba el reglamento de los servicios de prevención) y en toda empresa con especial riesgo. La constitución o contratación del servicio de prevención de cada empresa se hará con la consulta previa de los Delegados y Delegadas de prevención. En todo caso se tendrá que informar de la disponibilidad del servicio de prevención para su consulta, intervención u otra actuación por parte de los Delegados y Delegadas de prevención. Los servicios de prevención tendrán que contar con las instalaciones y los medios humanos y materiales necesarios para la realización de las actividades preventivas. Las actividades preventivas que no sean asumidas a través del servicio de prevención tendrán que ser concertadas con unos o más servicios de prevención.
Será materia de una comisión de trabajo específico, el estudio de planes de prevención, asistencia y reinserción sobre alcoholismo y otras drogodependencias, problemas de salud mental, inspirados en los principios de confidencialidad y voluntariedad. Los Delegados y Delegadas de prevención de los centros emitirán un informe fundamentado no vinculante en relación a los planes que sobre esta materia se pudieran establecer en las empresas. Estos planes se abordarán, con una formación específica del comité de seguridad y salud y los Delegados y Delegadas de prevención.
Todas las actuaciones sobre materias relacionadas con el medio ambiente intracentro serán tratadas en el Comité de seguridad y salud.
66.7 Información y formación
Los empresarios facilitarán la formación continuada necesaria y adecuada en materia de seguridad y salud al personal y a sus representantes, dentro de la jornada laboral y a su cargo, por sus propios medios o mediante terceros.
a. Todos los Delegados y Delegadas de prevención tendrán una formación inicial de 50 horas (básico de prevención). La formación continuada de los Delegados y Delegadas de prevención se efectuará en función de las necesidades.
b. El plan de formación en materia de seguridad y salud tendrá que ser aprobado de acuerdo a las necesidades que señale el plan de prevención.
En materia de información al personal y a sus representantes, el empresario tendrá que adoptar los mecanismos adecuados de acuerdo a la Ley 31/1995, de 8 de noviembre, de prevención de riesgos laborales.
a. Facilitando directamente a cada persona trabajadora y por escrito los riesgos específicos que afecten a su puesto de trabajo o función y las medidas de protección y prevención aplicables al riesgo.
b. Se elaborará un manual de seguridad y salud que será entregado a cada persona trabajadora y a la incorporación de nuevas personas trabajadoras.
c. Cada centro de trabajo facilitará al personal un protocolo de actuación en caso de exposición accidental a un producto biopeligroso. Este protocolo tendrá que ser de utilidad práctica en caso de accidente, sea cuál sea el espacio, turno o puesto de trabajo. este protocolo tendrá que ser discutido en el comité de seguridad y salud.
d. Los Delegados y Delegadas de prevención tendrán a su disposición toda la información para el ejercicio de sus funciones, con las limitaciones previstas en la legalidad, y especialmente las de sigilo profesional, confidencialidad e intimidad.
66.8 Mutua colaboradora con la Seguridad Social
La elección de una mutua colaboradora con la Seguridad Social por parte de la empresa se efectuará previa consulta e informe de la representación unitaria de las personas trabajadoras.
a. Las Mutuas tendrán que garantizar la confidencialidad de los datos del personal, de manera que sólo tenga acceso a ellas la persona trabajadora interesada, así como el personal sanitario responsable del seguimiento del estado de salud.
b. Cuando a la persona trabajadora se le tenga que realizar pruebas clínicas se tendrá que seguir el procedimiento de consentimiento informado de acuerdo con las normas deontológicas de la profesión médica y según la legislación vigente.
c. Cuando la empresa otorga el control de la incapacidad temporal por enfermedad común, riesgo por el embarazo, etc, en las Mutuas, estas asumirán todos los gastos de desplazamientos de las personas trabajadoras.
66.9 Seguridad y salud laboral de la trabajadora embarazada, parto reciente o en período de lactancia natural
La seguridad y salud en el trabajo de la trabajadora embarazada, que haya dado a luz o en período de lactancia natural será de acuerdo en el establecido en el título III de la Ley 39/1999 de 5 de noviembre, para promover la conciliación de la vida familiar y laboral de las personas trabajadoras y al resto de normas que se incorporen al respecto.
La evaluación de los riesgos a que se refiere el artículo 16 de la Ley 31/1995, de 8 de noviembre, de prevención de riesgos laborales, tendrá que comprender la determinación de la naturaleza, el grado y la duración de la exposición de las trabajadoras en situación de embarazo o parto reciente a agentes, procedimientos o condiciones de trabajo que puedan influir negativamente en la salud de las trabajadoras o del feto, en cualquier actividad susceptible de presentar un riesgo específico. Si los resultados de la evaluación revelaran un riesgo para la seguridad y la salud o una posible reporcusión sobre el embarazo o la lactancia de las citadas trabajadoras, el empresario adoptará las medidas necesarias para evitar la exposición a este riesgo, mediante una adaptación de las condiciones o del tiempo de trabajo de la trabajadora afectada. Estas medidas incluirán, cuando resulte necesario, la no realización de trabajo nocturno, de trabajo a turnos en función de lo que diga la evaluación de riesgos.
Cuando la adaptación de las condiciones o del tiempo de trabajo no resultara posible o, a pesar de la adaptación, las condiciones de un puesto de trabajo pudieran influir negativamente en la salud de la trabajadora embarazada o del feto, y así lo certifiquen los servicios médicos del Instituto Nacional de la Seguridad Social o de las Mutuas colaboradoras de la Seguridad Social con el informe del médico del Servicio Nacional de la Salud que asista facultativamente a la trabajadora, esta tendrá que ocupar un puesto de trabajo o función diferente y compatible con su estado. La parte empresarial tendrá que determinar, previa consulta con la representación legal de las personas trabajadoras, el mapa con la relación de los puestos de trabajo exentos de riesgos a estos efectos. El cambio de puesto o función se llevará a cabo de conformidad con las reglas y criterios que se apliquen en los supuestos de movilidad funcional y tendrá efectos hasta el momento que el estado de salud de la trabajadora permita su reincorporación en el anterior puesto.
En caso de que, aun aplicando las reglas señaladas en el párrafo anterior, no existiera puesto de trabajo o función compatible, la trabajadora podrá ser destinada a un puesto no correspondiente a su grupo o equivalente, si bien conservará el derecho al conjunto de retribuciones de su puesto de origen.
Si este cambio de puesto no resultara técnica u objetivamente posible, o no pueda razonablemente exigirse por motivos justificados, podrá declararse el paso de la trabajadora afectada a la situación de suspensión del contrato por riesgo durante el embarazo, contemplada en el artículo 45.1.d) del Real decreto legislativo 2/2015, de 23 de octubre, por el cual se aprueba el texto refundido de la Ley del Estatuto de los trabajadores, durante el período necesario para la protección de su seguridad o de su salud y mientras persista la imposibilidad en reincorporarse a su puesto anterior o a otro puesto compatible con su estado.
Aquello dispuesto en los anteriores párrafos de este artículo será también de aplicación durante el período de lactancia, si las condiciones de trabajo pudieran influir negativamente en la salud de la mujer o del hijo o hija y así lo certificara el médico que, en el régimen de Seguridad Social aplicable, asista facultativamente a la trabajadora. Las trabajadoras embarazadas tendrán derecho a ausentarse del trabajo, con derecho a remuneración, para la realización de exámenes prenatales y técnicas de preparación al parto, previo aviso en la parte empresarial justificación de la necesidad de su realización dentro de la jornada de trabajo.
66.10 Exoneración de realizar jornada complementaria de atención continuada
Quedarán exoneradas de la obligación de realizar la jornada complementaria de atención continuada a las trabajadoras en situación de riesgo por embarazo y el personal cuya realización les sea contraindicada por razones de salud. En este último supuesto hará falta un dictamen favorable del médico de la entidad gestora y/o colaboradora que gestione las incapacidades temporales. En caso de que la causa de exoneración sea por problemas psíquicos y/o conductas adictivas el informe tendrá que ser emitido por el programa de atención integral del médico enfermo (PAIMM).
Las personas trabajadoras mayores de 50 años, podrán quedar voluntariamente exoneradas de realizar la jornada complementaria de atención continuada con un preaviso a la dirección del centro de 3 meses de antelación a la fecha prevista de efectividad de la exoneración. No obstante, la dirección del centro podrá prorrogar la obligatoriedad de realizar la mencionada jornada complementaria durante un máximo de un año si no es posible dar cobertura al vacío que quede en la programación de la atención continuada con la plantilla propia del centro, en tanto no sea posible la contratación de personal para cubrir los módulos de guardia de la persona trabajadora que tenga que ser relevada.
Excepcionalmente, siempre y cuando las necesidades del servicio lo justifiquen, la dirección del centro podrá prolongar la situación de prórroga hasta que sea posible la cobertura de los módulos de guardia que queden sin cubrir. Esta prolongación de la prórroga tendrá la consideración de modificación sustancial de las condiciones de trabajo y se tendrá que tramitar de acuerdo con lo que establece el artículo 41 del Real decreto legislativo 2/2015, de 23 de octubre, por el cual se aprueba el texto refundido de la Ley del Estatuto de los trabajadores y se aplicará el incremento en el precio/hora establecido para el personal que opte por no ejercer el derecho de exoneración. El personal que opte por no ejercer el derecho de exonerarse de las guardias en razón de edad verán incrementados los importes de la hora de guardia en un 10%.
66.11 Planes de emergencia o planes de autoprotección
a. En todas las empresas se elaborará un plan de emergencia o un plan de autoprotección en todas aquellas empresas afectadas por el Decreto 30/2015, de 3 de marzo, por el cual se aprueba el catálogo de actividades y centros obligados a adoptar medidas de autoprotección y se fija el contenido de estas medidas.
b. Los planes de emergencia o planes de autoprotección se difundirán de forma adecuada y suficiente de manera que cada profesional los conocerá y podrá actuar en consecuencia y en coordinación con el resto de personas trabajadoras de la empresa.
c. Se constituirán los equipos necesarios de primera y segunda intervención, si procede, entre el personal, con carácter interdisciplinario siempre que sea posible.
d. Se realizarán ejercicios prácticos de manera que se conozcan los sistemas de protección contra incendios.
e. Se efectuarán, de acuerdo con el plan de prevención, los simulacros de evacuación necesarios en función de la complejidad de los centros con presencia de los cuerpos de seguridad siempre que sea posible y necesario. Aquellas empresas afectadas por el Real Decreto 393/2007, de 23 de marzo, por el cual se aprueba la Norma Básica de Autoprotección de los centros, establecimientos y dependencias dedicados a actividades que puedan dar origen a situaciones de emergencia o el Decreto 30/2015, de 3 de marzo, por el cual se aprueba el catálogo de actividades y centros obligados a adoptar medidas de autoprotección, y se fija el contenido de estas medidas, o normativas que los sustituyan, habrán, con el fin de evaluar los planes de autoprotección y asegurar la eficacia y la operatividad de los planes de actuación en emergencias, de realizar simulacros de emergencia, con la periodicidad mínima que fije el plan, y en todo caso, al menos una vez al año evaluando los resultados.
La realización de simulacros, totales o parciales, podrá ser con movilización de medios personales propios o ajenos o bien de despacho, tal como se establece en el artículo 13 del Decreto 30/2015, de 3 de marzo, por el cual se aprueba el catálogo de actividades y centros obligados a adoptar medidas de autoprotección, y se fija el contenido de estas medidas.
66.12 Protección del personal especialmente sensible a determinados riesgos.
El empresario garantizará de manera específica la protección del personal que, por sus propias características personales o estado biológico conocido, incluidos aquellas personas trabajadoras que tengan reconocida la situación de discapacidad física, psíquica o sensorial, sean especialmente sensibles a los riesgos derivados del trabajo. A tal fin, tendrá que tener presente estos aspectos en las evaluaciones de los riesgos y, en función de estas, adoptará las medidas preventivas y de protección necesarias. Las personas trabajadoras no ocuparán aquellos puestos de trabajo en los cuales, a causa de sus características personales, estado biológico o por su discapacidad física, psíquica o sensorial debidamente reconocida, puedan ellas, las otras personas trabajadoras u otras personas relacionadas con la empresa ponerse en situación de peligro o, en general, cuando se encuentren manifiestamente en estados o situaciones transitorias que no respondan a las exigencias psicofísicas de los respectivos puestos de trabajo.
Igualmente, la parte empresarial tendrá que tener en cuenta en las evaluaciones los factores de riesgo que puedan incidir en la función de procreación de las personas trabajadoras, en particular por la exposición a agentes físicos, químicos y biológicos que puedan ejercer efectos mutagénicos o de toxicidad para la procreación, tanto en los aspectos de la fertilidad, como del desarrollo de la descendencia, con el fin de adoptar las medidas preventivas necesarias.
En base a lo establecido en el artículo 14.5 de la Ley 31/1995, de 8 de noviembre, de prevención de riesgos laborales, el coste de las medidas relativas a la seguridad y la salud en el trabajo no tendrá que recaer de ninguna manera sobre las personas trabajadoras.
66.13 Comisión paritaria sectorial de seguridad y salud
Se constituirá una Comisión paritaria sectorial de seguridad y salud en el ámbito del presente Convenio, compuesta por los representantes de las organizaciones sindicales y de las asociaciones empresariales firmantes del Convenio.
Esta comisión tendrá las siguientes competencias:
a. Realizar estudios, análisis y diagnósticos de las condiciones de trabajo, daños a la salud e implantación de la actividad y las gestiones preventivas en el ámbito del presente Convenio.
b. Elaborar propuestas de actuación para poder llevar a cabo acciones que actúen sobre los déficits y problemas detectados.
c. Elaborar planes de actuación para las empresas de alta accidentabilidad del sector.
d. Elaborar planes de formación específica para el personal.
e. Elaborar y difundir criterios para la evaluación de riesgos, la planificación de la prevención, la organización de la prevención, la vigilancia de la salud, los sistemas de información y formación y prevención de la salud reproductiva.
f. Mediar en las empresas en materia de seguridad y salud en el trabajo a petición de las partes.
g. Elaborar propuestas, desarrollar y gestionar la solicitud de ayudas económicas al Gobierno de la Generalitat para llevar a cabo planes de actuación.
h. En el marco del presente Convenio las partes se podrán dotar de asesores con la finalidad de poder llevar a cabo las funciones anteriormente indicadas.
i. Elaborar un estudio de las cargas de trabajo de cada uno de los Grupos profesionales de este Convenio.
j. Pedir los datos de siniestralidad del sector al departamento que corresponda.
Los miembros de esta comisión elaborarán un reglamento interno de funcionamiento.
Las entidades afectadas por este Convenio velarán por la aplicación con la máxima celeridad de aquellos protocolos establecidos por las autoridades competentes en vigilancia de la salud de las personas trabajadoras, especialmente en casos de pandemia o similares, actuando todas las personas trabajadoras con la máxima diligencia en su cumplimiento.
Capítulo 10 Contratación
Artículo 67 Contrato formativo en alternancia
El contrato formativo en alternancia, tendrá por objeto compatibilizar la actividad laboral retribuida con los correspondientes procesos formativos en el ámbito de la formación profesional, los estudios universitarios o el catálogo de especialidades formativas del Sistema Nacional de Empleo, y se revolvió por lo que dispone el artículo 11.2 del Real Decreto Legislativo 2/2015, de 23 de octubre, por el cual se aprueba el texto refundido de la Ley del Estatuto de los trabajadores, o la normativa que resulte aplicable en cada momento.
Artículo 68 Contratos formativos para la obtención de la práctica profesional adecuada al nivel de estudios
El contrato para la obtención de la práctica profesional adecuada al nivel de estudios se regirá por lo que dispone el artículo 11.3 del Real Decreto Legislativo 2/2015, de 23 de octubre, por el cual se aprueba el texto refundido de la Ley del Estatuto de los trabajadores, o la normativa que resulte aplicable en cada momento, con las siguientes particularidades:
a. La retribución será como mínimo el 80% del salario fijado en este Convenio para una persona trabajadora que realice el mismo o equivalente puesto de trabajo, en proporción al tiempo de trabajo efectivo.
b. No se podrá utilizar esta modalidad de contratación con personal que haya finalizado su período de formación especializada por el sistema de residencia.
c. La Comisión paritaria del presente Convenio podrá identificar los empleos susceptibles de esta modalidad contractual.
d. El personal contratado en prácticas no podrá superar el 20% del número de personas trabajadoras del grupo correspondiente, siempre y cuando el grupo profesional tenga 50 o más personas trabajadoras.
Artículo 69 Contratos por circunstancias de la producción
El contrato por circunstancias de la producción se revolvió por lo que dispone el artículo 15.2 del Real Decreto Legislativo 2/2015, de 23 de octubre, por el cual se aprueba el texto refundido de la Ley del Estatuto de los trabajadores, o la normativa que resulte aplicable en cada momento, con las siguientes particularidades:
a. En aquellos casos en los cuales las circunstancias de la producción se deban al incremento ocasional e imprevisible de la actividad y las oscilaciones, que incluso tratándose de la actividad normal de la empresa, generan un desajuste temporal entre el empleo estable disponible y la que se requiere y siempre que no respondan a los supuestos incluidos en el artículo 16.1 del Real Decreto Legislativo 2/2015, de 23 de octubre, por el cual se aprueba el texto refundido de la Ley del Estatuto de los trabajadores.
Se considerará que se producen estos desajustes en los supuestos de ausencias por vacaciones, permisos retribuidos o no retribuidos, licencias, compensaciones horarias y descansos que se tengan que cubrir.
La duración máxima de este contrato será de 1año en un período de referencia de 18 meses. En caso de que el contrato se hubiera concertado por una duración inferior, se podrá prorrogar, mediante acuerdo de las partes, por una única vez, sin que la duración total del contrato pueda exceder de esta duración máxima.
b. En caso de que el contrato se hubiera concertado para atender situaciones ocasionales, previsibles y que tengan una duración reducida y delimitada.
La duración máxima de este contrato será de 90 días al año natural independientemente de las personas trabajadoras que sean necesarias para atender en cada uno de estos días las concretas situaciones, que tendrán que estar debidamente identificadas en el contrato. Estos 90 días no podrán ser utilizados de manera continuada.
La empresa, en el último trimestre de cada año, tendrá que trasladar a la representación legal de las personas trabajadoras una previsión anual de uso de estos tipos de contratos.
c. Sin perjuicio de lo anterior, las personas trabajadoras que en un período de 24 meses hubieran sido contratadas durante un plazo superior a 18 meses, con o sin solución de continuidad, para en lo mismo o diferente puesto de trabajo con la misma empresa o Grupo de empresas, mediante dos o más contratos por circunstancias de la producción, sea directamente o a través de la suya puesta a disposición por empresas de trabajo temporal, adquirirán la condición de fijas.
d. Esta previsión también será aplicable cuando se produzcan supuestos de sucesión o subrogación empresarial conforme a lo que se dispone legal o convencionalmente. Asimismo, adquirirá la condición de fijo, la persona que ocupe un puesto de trabajo que haya estado ocupado con o sin solución de continuidad, durante más de 18 meses en un período de 24 meses mediante contratos de circunstancias de la producción, incluidos los contratos de puesta a disposición realizados con empresas de trabajo temporal.
Artículo 70 Contratos de sustitución
El contrato de sustitución se regirá por lo que dispone el artículo 15.3 del Real Decreto Legislativo 2/2015, de 23 de octubre, por el cual se aprueba el texto refundido de la Ley del Estatuto de los trabajadores, o la normativa que resulte aplicable en cada momento, con las siguientes particularidades:
a. Podrán celebrarse contratas de duración determinada para la sustitución de una persona trabajadora con derecho a reserva de puesto de trabajo. El contrato tendrá que identificar a la persona trabajadora sustituida y la causa de la sustitución, indicando si el puesto de trabajo a ejercer será el de la persona trabajadora sustituida o el de otra persona trabajadora de la empresa que pase a ejercer el puesto de aquella.
En tal supuesto, la prestación de servicios podrá iniciarse antes de que se produzca la ausencia de la persona sustituida, coincidiendo en el desarrollo de las funciones el tiempo imprescindible para garantizar el cumplimiento adecuado del puesto y, como máximo, durante quince días.
b. Asimismo, el contrato de sustitución podrá concertarse para completar la jornada reducida por otra persona trabajadora, cuando esta reducción se ampare en causas legalmente establecidas o reguladas en el Convenio colectivo y se especifique en el contrato el nombre de la persona sustituida y la causa de la sustitución.
c. El contrato de sustitución podrá ser también celebrado por las entidades privadas para la cobertura temporal de un puesto de trabajo durante el proceso de selección o promoción para su cobertura definitiva mediante contrato fijo, sin que su duración pueda estar en este caso superior a tres meses, ni pueda celebrarse un nuevo contrato con el mismo objeto una vez superada esta duración máxima.
d. Las entidades del sector público podrán suscribir contratos de sustitución para cubrir temporalmente un puesto de trabajo hasta que finalice el proceso de selección para su cobertura definitiva en los términos establecidos por la Ley 20/2021, de 28 de diciembre, de medidas urgentes para la reducción de la temporalidad en el empleo público.
Artículo 71 Disposiciones comunes en los contratos por circunstancias de la producción y a los contratos de sustitución
a. Los contratos realizados incumpliendo lo que establecen estos artículos del Convenio adquirirán la condición de fijas, o indefinidos no fijas si se trata de una entidad del sector público.
b. También adquirirán la condición de fijas las personas trabajadoras con contratos temporales que no hubieran sido dadas de alta en la Seguridad Social una vez transcurrido un plazo igual en lo que legalmente se hubiera podido fijar para el período de prueba.
c. La empresa tendrá que informar a las personas con contratos de duración determinada o temporales, incluidos los contratos formativos, sobre la existencia de puestos de trabajo vacantes, con el fin de garantizar las mismas oportunidades de acceder a puestos permanentes que a las otras personas trabajadoras. Esta información podrá facilitarse mediante un anuncio público en un lugar adecuado de la empresa o centro de trabajo, o mediante otros medios, que aseguren la transmisión de la información. Esta información será trasladada, además, a la representación legal de las personas trabajadoras.
d. A los efectos de aquello establecido en el artículo 42 del Real Decreto Legislativo 1/2013, de 29 de noviembre por el cual se aprueba el Texto Refundido de la Ley general de derechos de las personas con discapacidad y de su inclusión social, las empresas afectadas por este Convenio que estén obligadas a contratar personas con discapacidad, podrán acogerse, de forma total o parcial, a la aplicación de alguna de las medidas sustitutorias, alternativa o simultáneamente, que se regulan en el Real decreto 364/2005, de 8 de abril, por el cual se regula el cumplimiento alternativo con carácter excepcional de la cuota de reserva a favor de los trabajadores con discapacidad y al Decreto 86/2015, de 2 de junio, sobre la aplicación de la cuota de reserva del 2% a favor de personas con discapacidad en empresas de 50 o más personas trabajadoras y de las medidas alternativas de carácter excepcional a su cumplimiento, que regula el cumplimiento alternativo de la cuota de reserva en favor de los trabajadores con discapacidad, sin que en ningún caso este acogimiento pueda comportar, de forma directa o indirecta, la extinción de las relaciones laborales previamente existentes en la empresa.
e. Las empresas facilitarán el acceso efectivo de estas personas trabajadoras a las acciones incluidas en el sistema de formación profesional para el empleo, con el fin de mejorar su calificación y favorecer su progresión y movilidad profesionales.
Artículo 72 Contratos a tiempo parcial
72.1. El contrato de trabajo a tiempo parcial se regirá por las reglas siguientes
1. El personal a tiempo parcial tendrá los mismos derechos que el personal a tiempo completo y se lo respetarán los límites en materia de descansos y jornada establecidos al Convenio y a la ley. Cuando corresponda en atención a su naturaleza, estos derechos serán reconocidos de manera proporcional en función del tiempo trabajado. Naturalmente, si una persona trabajadora ha sido contratada para prestar servicios los fines de semana no podrá disfrutar del descanso mínimo de dos domingos en el mes previsto en el artículo 21.3 del Convenio.
2. Las empresas velarán por el acceso efectivo del personal a tiempo parcial a la formación profesional continua con la finalidad de favorecer su progresión y movilidad profesional en iguales condiciones que el personal a tiempo completo.
3. En caso de que la jornada diaria sea inferior a la del personal a tiempo completo y se realice de forma partida será posible efectuar como máximo dos interrupciones de la jornada. Si se pacta la segunda interrupción, será por causas organizativas razonables y se comunicará por escrito al comité de empresa.
4. Se establece que en el supuesto de que, de acuerdo con la empresa y la persona trabajadora, una persona trabajadora con contrato a tiempo parcial acceda temporalmente a una relación a tiempo completo o tiempo parcial superior al pactado, ya sea por una sustitución de una persona trabajadora que tiene derecho a reserva de puesto de trabajo o por cualquier otra causa que hubiera podido dar lugar a una nueva contratación temporal, su contrato a tiempo parcial de origen quedará en suspenso hasta que finalice la causa de temporalidad que le ha permitido pasar a tiempo completo o parcial superior y, en este momento, se reanudará el anterior contrato a tiempo parcial. Esta nueva jornada temporal en ningún caso tendrá la consideración de horas complementarias.
La persona trabajadora tendrá derecho a consolidar la ampliación de jornada en los mismos supuestos que se adquiere la condición de persona trabajadora fija en caso de haber estado prestando servicios mediante contratación temporal de acuerdo con el artículo 15.5 del Real Decreto Legislativo 2/2015, de 23 de octubre, por el cual se aprueba el texto refundido de la Ley del Estatuto de los trabajadores y siempre respetando un procedimiento que cumpla los principios de publicidad, concurrencia, mérito y capacidad en aquellos centros que, por su naturaleza jurídica, así venga establecido por Ley.
5. De conformidad con el artículo 12.4.e) del Real Decreto Legislativo 2/2015, de 23 de octubre, por el cual se aprueba el texto refundido de la Ley del Estatuto de los trabajadores, las personas trabajadoras a tiempo parcial indefinido, que quieran pasar de un contrato a tiempo parcial a uno a tiempo completo o viceversa, o ampliar su jornada, formularán solicitud a la empresa cada año natural siguiente. La empresa, durante el año natural siguiente, cuando exista una vacante a tiempo completo que comporte la necesidad de una nueva contratación, lo ofrecerá a aquella persona trabajadora que, dentro de los solicitantes, sea del mismo grupo profesional y reúna el perfil y las aptitudes y requisitos exigidos por la empresa para la nueva contratación, y lleve como mínimo, un año de antigüedad a la empresa, teniendo preferencia el personal de la empresa respecto del personal externo y respetándose en cualquier caso lo que establece el artículo 18 del Convenio colectivo. En este sentido, las solicitudes a que se refiere el párrafo anterior tienen que ser tomadas en consideración, en la medida en que sea posible, para el empresario. La denegación de la solicitud tendrá que ser notificada a la persona trabajadora por escrito y de manera motivada.
En aquellos centros que, para la cobertura de contratos indefinidos o por la movilidad de personas trabajadoras con contrato a tiempo parcial fijo, tengan establecido un procedimiento que cumpla los principios de publicidad, concurrencia, mérito y capacidad, el personal a tiempo parcial temporal que quiera acceder tendrá que concurrir a la correspondiente convocatoria pública y de acuerdo con sus bases.
6. Los cambios de jornada se comunicarán en la Oficina de Trabajo de la Generalidad de Cataluña y a la Tesorería de la Seguridad Social.
72.2. Con respecto a las horas complementarias se tendrán en cuenta las siguientes particularidades
1. Sólo se podrá formalizar un pacto de horas complementarias en el caso de contratos a tiempo parcial con una jornada de trabajo no inferior a 10 horas semanales por término medio en cómputo anual.
2. El número de horas complementarias que se pueden pactar en contrato no puede exceder del 60% del número de horas ordinarias objeto del contrato.
3. Las empresas sólo podrán exigir la realización de horas complementarias cuando así se haya pactado expresamente con la persona trabajadora de forma individual.
4. La persona trabajadora tendrá que conocer el día y la hora de realización de las horas complementarias pactadas, con un preaviso de 5 días, salvo perentoria e imprevisible necesidad.
5. El pacto de horas complementarias quedará sin efectos por renuncia de la persona trabajadora, mediante un preaviso de quince días, una vez cumplido un año desde su celebración, cuando concurra alguna de las siguientes circunstancias:
a. La atención de las responsabilidades familiares enunciadas en el artículo 37.6 del Real Decreto Legislativo 2/2015, de 23 de octubre, por el cual se aprueba el texto refundido de la Ley del Estatuto de los trabajadores.
b. Necesidades formativas, siempre que se acredite la incompatibilidad horaria.
c. Incompatibilidad con otro contrato a tiempo parcial.
6. Sin perjuicio del pacto de horas complementarias, la empresa podrá, en cualquier momento, ofrecer a la persona trabajadora la realización de horas complementarias de aceptación voluntaria, sin que pueda exceder del 30% de las horas ordinarias objeto del contrato, y que no computarán a efectos de los porcentajes de horas complementarias pactadas a que hace referencia el apartado anterior. En la condición de que la negativa de la persona trabajadora a la realización de estas horas no constituirá conducta laboral sancionable.
7. La suma de horas ordinarias y complementarias (ya sean las exigibles como las voluntarias) no puede exceder de la jornada máxima establecida en este Convenio.
8. La dirección del centro podrá distribuir las horas complementarias respetando las siguientes condiciones:
8.1. Dentro de cada año natural y primer trimestre del año siguiente, el total de horas complementarias pactadas podrán ser distribuidas por la Dirección en función de las necesidades del centro.
8.2. En ningún caso se podrán transferir más allá del primer trimestre del año siguiente las horas complementarias no realizadas dentro del correspondiente año natural.
9. El personal a tiempo parcial que realice horas complementarias, voluntarias y obligatorias, podrá solicitar la consolidación, a su jornada de trabajo ordinaria pactada, del 50% de la media anual de horas complementarias realizadas en un período de dos años, contados desde el inicio de la vigencia de su contrato, o en su caso, durante los últimos dos años anteriores a la solicitud de consolidación. La empresa tiene la obligación de consolidar esta jornada solicitada en un plazo no superior al mes de la solicitud de la persona trabajadora.
72.3. En la distribución de la jornada de los contratos indefinidos a tiempo parcial, las empresas tendrán que garantizar, en todo caso, la fijación en calendario de la totalidad de la jornada ordinaria contratada.
72.4. Mensualmente, las empresas facilitarán información al comité de empresa sobre la contratación a tiempo parcial y de la realización de horas complementarias por el personal contratado a tiempo parcial.
Artículo 72 bis El contrato fijo discontinuo
El contrato fijo discontinuo estacional y el de prestación intermitente se regirán por lo que dispone el artículo 16 del Real Decreto Legislativo 2/2015, de 23 de octubre, por el cual se aprueba el texto refundido de la Ley del Estatuto de los trabajadores, o la normativa que resulte aplicable en cada momento, con las siguientes particularidades:
a. El contrato será por escrito y tendrá que reflejar los elementos esenciales de la actividad laboral: la duración del período de actividad, la jornada y su distribución horaria, dentro de uno o diversos de los períodos en el contrato individual, sin perjuicio de su concreción en el momento del llamamiento.
b. Vistas las peculiaridades de las actividades incluidas en el ámbito funcional del presente Convenio se hace necesario regular la modalidad contractual de fijo discontinuo a jornada completa y a tiempo parcial en el sector de la sanidad concertada.
c. Las personas trabajadoras con contrato fijo discontinuo, ya sea estacional o de prestación intermitente, tengan períodos de ejecución ciertos, determinados o indeterminados, tendrán que ser llamadas en los períodos consignados en los respectivos contratos individuales, señalándose en cada uno de ellos los datos estimados de inicio y fin del llamamiento, pudiéndose de común acuerdo prorrogar el período originario hasta unos días después de la fecha fin señalado. Con 5 días de antelación al período de llamamiento, habrá que informar a la persona trabajadora de la fecha cierta en la que iniciará la actividad, a los efectos que pueda planificar y conciliar su vida laboral y familiar.
d. Todas las personas trabajadoras con contrato fijo discontinuo, independientemente de su fecha de ingreso en la empresa como tal, serán requeridas para prestar servicios, dentro del período o de los períodos establecidos en su contrato, en función de las cargas de trabajo y en las jornadas y/o horarios necesarios para la cobertura de estas.
A este efecto la empresa confeccionará el censo de llamamiento de las personas trabajadoras con contrato fijo discontinuo de cada centro de trabajo.
Por lo tanto, el llamamiento no se realizará al mismo tiempo para todas las personas trabajadoras, sino de manera gradual y en función de las necesidades de la empresa y de la actividad o función. El orden de llamamiento se revolvió dentro de cada grupo profesional y atendida la disponibilidad concertada al contrato de trabajo y según los criterios establecidos a cada centro de trabajo, que necesariamente tendrá que respetar la preferencia establecida en el artículo 18.4 del Convenio.
e. El llamamiento se efectuará mediante el correo electrónico de la empresa consignado debidamente al contrato individual y con una antelación mínima de cinco días a la dirección de correo electrónico facilitada por la persona trabajadora según los datos aportados en la contratación electrónica o por cualquier otro medio consensuado por las partes, que garantice que la notificación se ha realizado con suficientes garantías. Este llamamiento habrá de concretar la fecha de incorporación y la posible fecha fin, el centro de trabajo, el turno y el horario. La persona trabajadora es responsable de informar a la empresa de cualquier cambio en los datos de contacto para el envío de la citada comunicación.
f. En los casos de faltar a la convocatoria por causas debidamente justificadas ante la empresa, notificadas dentro del plazo y en la forma, conservarán su derecho de llamamiento hasta el próximo período de prestación de servicios según lo que se haya indicado en su contrato de trabajo.
La incapacidad temporal de la persona trabajadora no será un obstáculo para su contratación y alta en la empresa durante el período que se ha consignado en el contrato de trabajo como querido, siempre que el profesional conteste a la convocatoria e informe debidamente de la situación para hacer posible su contratación. No obstante, la persona trabajadora podrá optar por justificar su imposibilidad de incorporación a causa de la incapacidad temporal y conservar el derecho de llamamiento para el período siguiente.
Durante la vigencia de este Convenio la persona trabajadora no perderá el derecho a ser llamada para el siguiente período señalado en el contrato si justifica, en el plazo de respuesta al llamamiento, que está trabajando para otra empresa o entidad. Si la negativa persiste en los dos períodos siguientes de llamamiento que consta en el contrato y por el mismo motivo (prestación de servicios para uno tercero), se entenderá que desiste del contrato.
g. Las personas trabajadoras con contrato fijo discontinuo tendrán los mismos derechos que las personas con contratos de duración indefinida ordinaria, sin perjuicio de las particularidades específicas de la modalidad contractual en materia de suspensión y extinción del contrato. Tales derechos serán reconocidos de manera proporcional, en función del tiempo efectivamente trabajado, cuando sean de contenido económico, como las indemnizaciones derivadas de la finalización del contrato, o corresponda en atención a su naturaleza y/o jornada.
h. Las personas con contratos fijos discontinuos podrán ejercer las acciones que procedan en caso de incumplimientos relacionados con el llamamiento, iniciándose el plazo para la interposición de la demanda desde el momento que la conocieran o desde el momento que se produzca la falta de este, según los datos y compromisos alcanzados en cada uno desde contratos individuales de trabajo.
i. La empresa, por centro de trabajo, tendrá que trasladar a la representación legal de las personas trabajadoras de los citados centros, un calendario con las previsiones de llamamiento anual, presentado con la suficiente antelación, al inicio de cada año natural, o en su caso, semestral. Asimismo, tendrá que trasladar los datos de las altas efectivas de las personas con contrato fijo discontinuo una vez se produzcan.
j. La empresa tendrá que informar a las personas con contrato fijo discontinuo y a la representación legal de las personas trabajadoras sobre la existencia de puestos de trabajo vacantes de carácter fijo ordinario, de manera que aquellas puedan formular solicitudes de conversión voluntaria, de conformidad con los procedimientos que se establezcan en la empresa.
k. La Comisión de empleo analizará la aplicación práctica de la figura del contrato fijo discontinuo para proponer mejoras en su regulación a instancia de cualquiera de las partes.
Artículo 73 Procedimiento de acogida
A los efectos de favorecer la más rápida y correcta integración de las personas trabajadoras recién contratadas, cada institución o centro afectado por este Convenio elaborará un protocolo de acogida dirigido al personal de nueva incorporación que tendrá que contemplar un manual de acogida que, entre otros aspectos de carácter interno, tendrá que incluir información sobre:
1. Información y distribución física de los edificios, indicando los principales servicios e instalaciones en el puesto de trabajo.
2. Documentación relativa a la normativa interna general de prevención de riesgos laborales aprobada en el centro de trabajo.
3. Organigrama del centro.
4. Información específica de las funciones a desarrollar:
5. Descripción enunciativa y no limitativa de las funciones en el puesto de trabajo.
6. Manual de procedimientos, si hay.
7. Recogida de procedimientos operativos, si están, a utilizar para las personas trabajadoras para un correcto desarrollo de sus funciones (protocolos, planes de cuidados, etc.).
8. Relación de los Grupos de trabajo y comisiones en funcionamiento en cada servicio o área de referencia.
9. Recopilación de la normativa de funcionamiento interno (horarios, hojas informativas, etc.).
10. Información específica de prevención de riesgos laborales relativa a su grupo profesional.
El manual de acogida podría ser sustituido por cualquier otro instrumento de base tecnológica que alcance los mismos objetivos.
Información sobre el tratamiento de los datos personales de las personas trabajadoras.
La empresa informará a las personas trabajadoras:
1. De la existencia del fichero en el que quedarán recogidos sus datos personales.
2. De la obligatoriedad de facilitarlas y mantenerlas actualizadas.
3. De las consecuencias disciplinarias que puede comportar la falsedad de los datos suministrados.
4. De la posibilidad de ejercer los derechos de acceso, rectificación, supresión, oposición y transportabilidad en caso de cambio de empresa.
5. Del responsable del fichero.
6. La información que se facilitará en el momento de la contratación no exime en la empresa de solicitar el consentimiento expreso de la persona trabajadora cuando pretenda dar un tratamiento a los datos no relacionado con la prestación laboral.
El proceso de acogida incluirá la transmisión de toda la información que se establezca como a necesaria, con la finalidad que las personas trabajadoras tengan conocimiento de las características propias de la prestación de servicios en el sistema sanitario de responsabilidad pública de Cataluña, de la cultura y valores propios de la institución, su estructura y organización, y también la relativa a sus condiciones laborales y profesionales.
Capítulo 11 Condiciones y procedimientos para la no aplicación de las condiciones establecidas en el Convenio
Artículo 74 Procedimiento para la no aplicación de las condiciones establecidas en el Convenio
La inaplicación de las condiciones de trabajo previstas en el presente Convenio colectivo se tendrá que articular en función de lo que establezca la normativa vigente en cada momento, que actualmente viene contemplada en el artículo 82.3 del Real Decreto Legislativo 2/2015, de 23 de octubre, por el cual se aprueba el texto refundido de la Ley del Estatuto de los trabajadores, respetando las prescripciones que al respecto vienen señaladas en el presente Convenio y en concreto las que se establecen en el artículo 13.1.4 del presente Convenio, en relación a las funciones de la Comisión paritaria con respecto a esta materia.
Capítulo 12 Sistema para la incentivación, promoción y desarrollo profesional
Artículo 75 Sistema para la incentivación, promoción y desarrollo profesional
Primero
Introducción
Las entidades del SISCAT tienen en sus profesionales su capital principal. En consecuencia, con el fin de conseguir una mayor eficiencia, eficacia y calidad en la prestación de servicios de las empresas incluidas dentro del ámbito del Convenio colectivo y para conseguir empresas con visión de futuro, que alcancen la estabilidad de sus profesionales y la viabilidad económica en un horizonte competitivo, hay que dedicar una atención especial a la gestión de personas.
En este sentido el marco de incentivación, promoción y desarrollo profesional que se pacta tiene que permitir que las entidades del ámbito del Convenio colectivo incorporen a un modelo de gestión integrada de personas que se tiene que basar en el principio del reconocimiento de su importancia en la organización.
El marco de aplicación de este sistema de incentivación, promoción y desarrollo profesional recoge
a. Elementos de incentivación para el desarrollo de la tarea habitual y para la configuración de políticas salariales utilizando instrumentos de mejora de la formación en relación al puesto de trabajo y con instrumentos de mejora de la formación general.
b. Elementos de promoción profesional en el marco de la empresa que permitan, a través de la correspondiente evaluación, reconocer la aportación permanente que se vaya realizando con una traducción retributiva complementaria.
c. Elementos de desarrollo profesional en el marco de la empresa que permitan también, a través de la evaluación, reconocer el valor añadido aportado por sus profesionales, dotarse de instrumentos de promoción dinámica y proyección exterior con una retribución complementaria.
Dentro de este marco global, la dirección de los centros establecerá mecanismos facilitadores para el desarrollo de este sistema.
Segundo
Normas comunes para todo el sistema y para todos los grupos profesionales
a. Voluntariedad. El personal participará voluntariamente en el sistema a partir del acceso al nivel B y en los cambios de nivel, sin que, en ningún caso, tenga carácter obligatorio para la persona trabajadora, en los plazos establecidos a cada institución. El nivel A se aplicará automáticamente y de oficio para las empresas en el momento que la persona trabajadora acumule el tiempo mínimo de experiencia necesaria requerido a cada grupo profesional.
b. Evaluación. La persona trabajadora será evaluada cada vez que pida un cambio de nivel en función de los criterios que se puedan determinar a cada centro, en función de su compromiso (participación e implicación con los objetivos de su institución), la competencia profesional y la efectividad de la práctica profesional y la formación continuada. Se valorará de manera más alta los criterios basados en el compromiso y méritos asistenciales.
En cada centro o institución se establecerá una Comisión de evaluación con carácter paritario para todos los grupos profesionales nombrada por la dirección del centro y el Comité de empresa. En el caso de la representación del personal, las personas nombradas serán necesariamente personal del grupo 1.2 (cuando se evalúe al personal del grupo 1.2) y personal del grupo 2.2 (cuando se evalúe al personal del grupo 2.2) y personal de los grupos 3 al 7 (cuando se evalúe al personal de estos grupos).
Esta comisión procurará funcionar con consenso poro en caso de empate decidirá la dirección del centro, la cual vendrá obligada a razonar por escrito su decisión.
La previsión de que en caso de empate decida la dirección de la empresa hace referencia exclusivamente a la función de evaluación de las personas candidatas para acceder y/o progresar en el nivel de SIPDP.
La comisión de evaluación establecerá a cada centro los criterios específicos de la evaluación de acuerdo con el marco genérico definido en el Convenio.
Las personas integrantes de la comisión tendrán la obligación de confidencialidad y de secreto en relación a los comentarios y las valoraciones que puedan realizar los diferentes componentes de la comisión sobre las personas evaluadas.
Cada comisión se dotará de su reglamento de funcionamiento y su función es la evaluación de las personas candidatas para acceder y/o progresar en los niveles del SIPDP y SIP.
La Comisión evaluadora tendrá competencia para revisar los niveles profesionales alcanzados, salvo los que tienen la consideración de consolidables. Independientemente del carácter ejecutivo de la decisión de asignación a un determinado nivel, en el supuesto de que la persona trabajadora entendiera que la decisión no se ajusta a la legalidad o bien esté motivada por razones discriminatorias prohibidas podrá acudir al arbitraje de la Comisión paritaria del convenio, o en su caso a la jurisdicción social.
c. portabilidad
El nivel alcanzado de progreso en el SIPDP y el SIP en un determinado centro o nivel asistencial de origen será reconocido desde el momento inicial de su contratación por los otros centros de lo mismo u otro nivel asistencial de destino cuando contraten ex-novo a un/una profesional de acuerdo con los siguientes criterios:
1. Con carácter general el nivel de carrera alcanzado por la persona trabajadora en un hospital de un determinado nivel será reconocido por todos los hospitales de aquel mismo nivel y los hospitales de nivel inferior.
2. Adicionalmente cada hospital podrá establecer una tabla de portabilidad de forma que reconozca la carrera alcanzada a profesionales provenientes de hospitales de nivel inferior si considera que la exigencia para su obtención la hacen tributaria de la equiparación. Esta tabla de portabilidad de cada centro será pública poro tendrá carácter variable en función de las circunstancias y la inclusión o exclusión de centros que cada hospital determinación tienen carreras equiparables.
3. A estos efectos los centros monográficos (nivel 7) tendrán la consideración de hospital de nivel.
4. El nivel de carrera alcanzado en un centro de atención primaria, en un centro sociosanitario o en un centro de salud mental será reconocido por otros centros de estos mismos niveles asistenciales y/o complejidad que aplican el Convenio. El nivel alcanzado en el SIPDP/SIP en cualquier hospital del SISCAT o el sistema equivalente del Sistema Nacional de Salud, con independencia de su nivel, será reconocido por los centros de atención primaria, centros sociosanitarios o centros de salud mental, a menos que estos formen parte de una organización hospitalaria y su modelo de SIPDP o SIP aplicado sea lo mismo que el del hospital, caso en el cual se aplicará lo regimos general establecido en los apartados precedentes.
5. Los niveles de estructura y complejidad de los hospitales del SISCAT son los que constan a la memoria justificativa con respecto a los parámetros que tienen que regir la contratación de la atención hospitalaria y especializada, que se adjunta como anexo 2 al presente Convenio o, en su caso, las sucesivas actualizaciones.
6. En el caso de profesionales provenientes de centros del Sistema Nacional de Salud de otras comunidades autónomas, dado que no hay un sistema análogo de clasificación, el reconocimiento del nivel de carrera se consensuará entre las partes. En caso de discrepancia se elevará a la Comisión paritaria.
7. La portabilidad regulada en este artículo tendrá efectos para las contrataciones efectuadas a partir de la firma del Convenio.
En los casos en los que no se reconozca la portabilidad del nivel de carrera alcanzado en el centro de origen desde el momento inicial de la contratación, el acceso a aquel nivel se podrá solicitar por la persona interesada en los seis meses de su incorporación.
d. A todo el personal que cumpla los requisitos para acceder a cualquier nivel de la carrera se lo tiene que reconocer y retribuir, con independencia del tipo de contrato laboral que tenga (indefinido o temporal)
e. Permanencia. Los niveles A, B y C son consolidables. La consecución del nivel D no significa la permanencia definitiva en este nivel.
f. Retribución. Se establecerá un complemento retributivo específico para cada nivel.
g. Prestación efectiva de servicios. Se ha de considerar la prestación efectiva de servicios desarrollada durante toda la relación contractual, sin computar los períodos intermedios entre contratos, en los cuales no se ha desarrollado prestación de servicios.
En lo relativo al personal con contrato a tiempo parcial, se deberán contabilizar todos los períodos contratados y trabajados con independencia de la jornada que estuviese fijada en el contrato. Se considera que no interrumpen la prestación de servicios a que hace referencia el SIPDP y el SIP las situaciones siguientes:
1. Los permisos retribuidos regulados en el artículo 42 del Convenio.
2. La excedencia especial por nacimiento o adopción legal de hijos o en los supuestos de guarda con finalidades de adopción o acogimiento permanente o cuidado de familiares del artículo 44 del Convenio y la excedencia especial por transición de género del artículo 44.bis del Convenio.
3. La situación de incapacidad temporal.
4. La suspensión del contrato según las causas de los siguientes artículos del Real Decreto Legislativo 2/2015, de 23 de octubre, por el cual se aprueba el texto refundido de la Ley del Estatuto de los trabajadores:
a. 45.d Nacimiento, adopción, guarda con fines de adopción o acogimiento, de conformidad con el Código Civil o las leyes civiles de las comunidades autónomas que lo regulen, siempre que su duración no sea inferior a un año, de menores de seis años o de menores de edad mayores de seis años con discapacidad o que por sus circunstancias y experiencias personales o para provenir del extranjero, tengan especiales dificultades de inserción social y familiar debidamente acreditadas por los servicios sociales competentes.
b. 45.e Riesgo durante el embarazo y riesgo durante la lactancia natural de un menor de nueve meses.
c. 45.i Fuerza mayor temporal
d. 45.j Causas económicas, técnicas, organizativas o de producción.
e. 45.l Ejercicio del derecho a huelga
f. Decisión de la trabajadora que se vea obligada a dejar su puesto de trabajo como consecuencia de ser víctima de violencia de género o de violencia sexual.
h) Absorción y compensación. Con la excepción en que se hace referencia al párrafo siguiente, los complementos retributivos que se establecen para cada nivel absorberán y compensarán las mejoras económicas superiores a las establecidas en el Convenio colectivo que pueda tener cada persona trabajadora. Ello con independencia de la denominación, origen, carácter y cuantía de dichas mejoras e, incluso absorberán complementos de responsabilidad o mando no ligados a puestos de trabajo de responsabilidad o mando, que tuvieran como objeto el reconocimiento profesional.
Únicamente no serán absorbibles las mejoras que pueda tener la persona trabajadora referidas en aquellos complementos salariales tipificados en el Convenio que retribuyan condiciones especiales de puesto de trabajo y que son: plus sábado, plus domingo, plus festivo, plus festivo especial, plus nocturnidad, complemento de responsabilidad, supervisión o mando, guardias presenciales y guardias localizables y aquellas otras mejoras de complementos retributivos que hayan sido pactadas colectivamente por escrito con el Comité de empresa.
i. El sistema de promoción, incentivación y desarrollo pactado en este documento no será de aplicación en aquellos centros que tengan establecido otro con un mínimo de dos años de antigüedad.
j. El sistema tendrá carácter genérico adaptándose a la cultura organizativa de cada centro y al sistema de incentivación, promoción y desarrollo profesional ya existentes.
k. En caso de cambios ascendentes de grupo profesional, la persona mantendrá el complemento retributivo correspondiente al nivel alcanzado en el grupo profesional de procedencia hasta que alcance en el nuevo grupo profesional un determinado nivel que permita igualar o superar el complemento retributivo alcanzado en el grupo profesional de procedencia.
Tercero
Sistema de incentivación, promoción y desarrollo del grupo 1 y 2
1.1. Evaluación
La evaluación tendrá en cuenta, dependiendo de la tipología y la cultura de cada centro los siguientes ámbitos en relación a los objetivos de la institución:
a. Actividad asistencial.
b. Aportaciones desde la participación y la implicación.
c. Aptitudes.
d. Formación continuada.
e. Docencia y/o investigación.
Los méritos asistenciales y las aportaciones desde la participación y la implicación representarán porcentualmente la parte más destacada de la evaluación.
1.2. Estructura por niveles
Se establecerán 4 niveles con una denominación específica y una permanencia mínima, que permita al personal de los grupos 1.2 y 2.2 ser identificado tanto en el ámbito de su institución como en el ámbito social, profesional y científico. Los niveles en ningún caso supondrán una vinculación a puestos de trabajo. Se reconocerá la excelencia con un cuarto nivel (D).
1.3. Ámbito personal
1.3.1 Personal del grupo 1.2
Podrá participar en el sistema, con los requisitos que se puedan establecer, todo el personal del grupo 1.2. del Convenio colectivo (médicos y médicos, biólogos y biólogas, farmacéuticas y farmacéuticos, psicólogos y psicólogas, odontólogas y odontólogos…) de Nivel III y Nivel II con una experiencia en cualquier institución del SISCAT (Instituto Catalán de la Salud, empresas públicas y consorcios y resto de entidades concertadas) y/o del Sistema Nacional de Salud de cinco o más años en una misma tarea o servicio, en el caso del personal sin titulación de especialista.
Se incluye expresamente el personal de refuerzo contratado específicamente para desarrollar sus funciones en módulos de atención continuada que no puedan ser realizados por el personal de la plantilla ordinaria que habitualmente da cobertura a la atención programada.
1.3.2. Personal del grupo 2.2
Podrá participar en el sistema, con los requisitos que se puedan establecer, todo el personal del Grupo 2. 2 del Convenio colectivo (enfermeras y enfermeros, comadronas, fisioterapeutas, trabajadoras y trabajadores sociales, dietistas, optometristas…)
Se incluye expresamente el personal de refuerzo contratado específicamente para desarrollar sus funciones en módulos de atención continuada que no puedan ser realizados por el personal de la plantilla ordinaria que habitualmente da cobertura a la atención programada.
2. Componentes básicos del sistema.
2.1. Acceso general.
Vista la voluntariedad de este, el acceso a cada nivel será solicitado por el personal en los plazos establecidos a cada institución, excepto el nivel A, que se acreditará de manera automática sin que sea necesario tener que solicitar el acceso.
En el momento de la solicitud, el personal de los grupos 1.2 y 2.2, hará falta que reúna los requisitos adecuados para cada nivel y superar las evaluaciones que se determinen.
El acceso al nivel correspondiente a cada institución para los nuevos ingresos que no ostenten algún nivel de SIPDP se podrá solicitar por la persona interesada en los doce meses de su incorporación.
2.2. Características de los niveles.
2.2.1 Personal grupo 1.2
Los niveles se denominarán: A, B, C y D.
La permanencia mínima por nivel se establece en:
a. 1 año con título de especialista o 5 años de experiencia en cualquier institución del SISCAT (Instituto Catalán de la Salud, empresas públicas y consorcios y resto de entidades concertadas) y/o del Sistema Nacional de Salud, para acceder al nivel A.
b. 6 años de permanencia en el nivel A para acceder al nivel B.
c. 7 años de permanencia en el nivel B para acceder al nivel C.
d. 9 años de permanencia en el nivel C para acceder al nivel D.
2.2.2 Personal grupo 2.2
Los niveles se denominarán A, B, C y D.
La permanencia mínima por nivel se establece en
a. 6 años de experiencia en cualquier institución del SISCAT ((Instituto Catalán de la Salud, empresas públicas y consorcios y resto de entidades concertadas) y/o del Sistema Nacional de Salud, para acceder al nivel A.
b. 6 años de permanencia en el nivel A para acceder al nivel B.
c. 7 años de permanencia en el nivel B para acceder al nivel C.
d. 9 años de permanencia en el nivel C para acceder al nivel D.
No obstante lo anterior, la ostentación de una especialidad de enfermería, se ocupe o no un puesto de trabajo reservado a uno/a especialista, dará derecho, siempre que se cumplan el resto de requisitos que establece el Convenio:
a. En el acceso automático al nivel A del SIPDP, sin necesidad de tener que solicitar el acceso, por el transcurso de un año de prestación efectiva de servicios ininterrumpida en la institución en la cual la enfermera o el enfermero especialista estén contratados.
b. Para aquellas y aquellos profesionales que ya tengan acreditado un determinado nivel en el momento de obtener la especialidad, la permanencia para acceder a los siguientes niveles se rebajará en un año. Esta facultad es independiente del momento en que se obtenga la especialidad, poro sólo podrá utilizársela una sola vez por especialidad.
2.2.3 Permanencia en el nivel para los grupos 1.2 y 2.2.
La permanencia o no en el nivel se producirá:
Por evaluación ordinaria a la finalización del período mínimo de permanencia.
Por evaluación excepcional, solicitada por la empresa o por la representación unitaria de las personas trabajadoras.
2.3. Requisitos de acceso para cada nivel
2.3.1 personal grupo 1.2
A. Para el nivel A
Estar en posesión del título de especialista o acreditar cinco o más años de experiencia en cualquier institución del SISCAT (Instituto Catalán de la Salud, empresas públicas y consorcios y resto de entidades concertadas) y/o del Sistema Nacional de Salud.
a. Llevar un mínimo de un año de prestación efectiva de servicios en el centro evaluador, en caso de que no acrediten el nivel A concedido por otro centro con anterioridad.
B. Para el nivel B, C y D.
a. Tendrá acceso el personal especialista titulado que acredite la permanencia mínima por nivel establecida en el punto 2.2.1. A estos efectos, quedarán equiparados y equiparadas como especialistas titulados, los biólogos y las biólogas que hayan obtenido la calificación de biólogos especialistas en análisis clínicos, título aprobado por la Junta General del Colegio Oficial de Biólogos en fecha 26 de septiembre de 1992.
Excepcionalmente y, por causas razonadas, podrá exonerarse del requisito de permanencia mínima, para los niveles B y C.
2.3.2 Personal grupo 2.2
A. Para el nivel A
a. Acreditar 6 años de experiencia en cualquier institución del SISCAT (Instituto Catalán de la Salud, empresas públicas y consorcios y resto de entidades concertadas) y/o del Sistema Nacional de Salud.
b. Llevar un mínimo de un año de prestación efectiva de servicios en el centro evaluador, en caso de que no acrediten el nivel A concedido por otro centro con anterioridad.
B. Para los niveles B, C y D.
a. Tendrá acceso el personal del grupo 2.2 que acredite la permanencia mínima por nivel establecida en el punto 2.2.2. Excepcionalmente y, por causas razonadas, podrá exonerarse del requisito de permanencia mínima, para los niveles B y C.
2.4. Retribución
Cada nivel, por jornada completa, será retribuido con un complemento de carácter anual abonado en doce mensualidades según tablas del anexo 8. Las jornadas inferiores serán retribuidas proporcionalmente.
La aplicación de este sistema de niveles dentro de los Grupos profesionales 1.2 y 2.2 deroga cualquier otra denominación y sistema de niveles que pudieran existir en los centros afectados por este convenio.
Cuarto
Sistema de incentivación y promoción de los grupos 3, 4, 5, 6 y 7
Se establece un sistema de incentivación y promoción para los grupos 3, 4, 5, 6 y 7, con los siguientes niveles y requisitos
1. Niveles
Nivel A: se accederá automáticamente, sin necesidad de tener que solicitar el acceso, si la persona acredita 6 años de experiencia en cualquier institución del SISCAT (Instituto Catalán de la Salud, empresas públicas y consorcios y resto de entidades concertadas) y/o del Sistema Nacional de Salud. La retribución será en función del contrato vigente en el momento del reconocimiento.
Nivel B: para acceder a este segundo nivel la persona trabajadora tendrá que cumplir los requisitos siguientes
a. Solicitud de la persona interesada.
b. 6 años de permanencia en el nivel A
c. Acreditar la realización, con aprovechamiento, de un mínimo de horas de formación continuada relacionada con el puesto de trabajo y/o en materia de seguridad y salud laboral, planos de igualdad, participación en comités de redacción de protocolos y guías clínicas y realización de actividades docentes:
Grupos 3, 4, 5 y 6.1: 100 horas.
Grupos 6.2 y 7: 50 horas.
La formación tendrá que haber sido realizada durante el tiempo de permanencia en el nivel A y contará tanto la promovida por la empresa como la realizada por la persona trabajadora por su cuenta, siempre y cuando esta última haya sido cursada en centro de formación homologado oficialmente, impartida por una entidad patronal sanitaria, en una universidad, en un colegio profesional y la impartida por los centros colaboradores acreditados y subvencionados por los acuerdos estatales o autonómicos para la formación continua, y tenga relación directa con su puesto de trabajo y/o en materia de seguridad y salud laboral y/o en materia de igualdad. La formación realizada fuera de la empresa se tendrá que justificar mediante certificación del centro formador o de la unidad docente en la que conste la materia objeto del curso, el número de horas lectivas y, en su caso, de prácticas, el contenido curricular del curso. La formación podrá ser realizada tanto de manera presencial como a distancia, sin que exista ningún impedimento para el reconocimiento de las horas de formación del curso, siempre que la formación sea impartida y certificada por una entidad o institución con los requerimientos establecidos al anterior párrafo.
Nivel C: los requisitos de acceso a este nivel serán los siguientes:
a. Solicitud de la persona interesada.
b. Estar en posesión del título académico o certificado de profesionalidad requerido en su puesto de trabajo, que habilite para realizar las funciones propias del puesto de trabajo que ocupe.
c. 7 años de permanencia en el nivel B.
d. Acreditar la realización durante el período de permanencia en el nivel B, con aprovechamiento, de un mínimo de horas de formación continuada y/o en materia de seguridad y salud laboral y/o en materia de igualdad. Los requisitos de la formación realizada fuera de la empresa y de su acreditación serán los mismos que los establecidos para el nivel B.
Grupos 3, 4, 5 y 6.1: 100 horas.
Grupos 6.2 y 7: 80 horas.
Nivel D: Los requisitos de acceso a este nivel serán los siguientes:
a. Solicitud de la persona interesada.
b. Estar en posesión del título académico o certificado de profesionalidad requerido en su puesto de trabajo, que habilite para realizar las funciones propias del puesto de trabajo que ocupe.
c. 9 años de permanencia en el nivel C.
d. Acreditar la realización durante el período de permanencia en el nivel C, con aprovechamiento, de un mínimo de horas de formación continuada y/o en materia de seguridad y salud laboral y/o en materia de igualdad. Los requisitos de la formación realizada fuera de la empresa y de su acreditación serán los mismos que los establecidos para el nivel B.
Grupos 3, 4, 5 y 6.1: 120 horas.
Grupos 6.2 y 7: 100 horas.
Con carácter exclusivo para aquellos profesionales que no dispongan del título requerido para el ejercicio de las funciones del grupo profesional, se aceptarán que las horas de formación exigidas para cada nivel incluyan las necesarias para la consecución del título reglado habilitante o el certificado de profesionalidad. Estas horas sólo se podrán contabilizar por una sola vez en cada nivel.
2. Retribuciones
Cada nivel del SIP, por jornada ordinaria completa, será retribuido con el siguiente complemento de carácter anual, abonado en 12 mensualidades, según se establece en el anexo 9.
Nivel A: 5 por ciento del salario base
Nivel B: 8 por ciento del salario base
Nivel C: 10 por ciento del salario base
Nivel D: 12 por ciento del salario base
Los porcentajes de cada nivel absorben los de los anteriores. No son, por lo tanto, acumulables.
Capítulo 13
Artículo 76 Derechos laborales de las trabajadoras víctimas de la violencia de género y/o víctimas de violencias sexuales
Las personas trabajadoras que tengan la consideración de víctimas de violencia de género y/o víctimas de violencias sexuales tienen derecho:
a. A la reducción de su jornada con disminución proporcional del salario o a la reordenación del tiempo de trabajo, a través de la adaptación del horario, de la aplicación del horario flexible o de otras formas de ordenación del tiempo de trabajo que se utilizan en la empresa, para hacer efectiva su protección o su derecho a la asistencia social integral. También tendrán derecho a realizar su trabajo totalmente o parcialmente a distancia o a dejar de hacerlo si este fuera el sistema establecido, siempre en ambos casos que esta modalidad de prestación de servicios sea compatible con el puesto y las funciones desarrolladas por la persona. La concreción horaria de la reducción corresponderá a la trabajadora y, en caso de desacuerdo con la empresa, las discrepancias serán resueltas por el procedimiento establecido al artículo 139 de la Ley 36/2011, de 10 de octubre, reguladora de la jurisdicción social.
b. Derecho preferente a ocupar otro puesto de trabajo, del mismo grupo profesional o categoría equivalente, que la empresa tenga vacando en cualquier otro de sus centros de trabajo, cuando se vean obligadas a abandonar el puesto de trabajo a la localidad donde prestaban sus servicios, para hacer efectiva la protección o su derecho a la asistencia social integral.
En estos supuestos, la empresa está obligada a comunicar a las personas trabajadoras las vacantes existentes en este momento o las que se puedan producir en el futuro.
El traslado o el cambio de centro de trabajo tendrá una duración inicial entre seis y doce meses, durante los cuales la empresa tendrá la obligación de reservar el puesto de trabajo que ocupaban anteriormente las personas trabajadoras.
Acabado este período, las personas trabajadoras podrán optar entre la vuelta a su puesto de trabajo anterior, la continuidad en el nueve, decayendo en este caso la obligación de reserva, o la extinción del contrato, percibiendo una indemnización de veinte días de salario por año de servicio, prorrateándose por meses los períodos de tiempos inferiores a un año y con un máximo de doce mensualidades.
c. A la suspensión de su contrato de trabajo cuando se vea obligada a abandonar su puesto de trabajo como consecuencia de ser víctima de esta clase de violencia, por un período de una duración no superior a seis meses, a no ser que el juez prorrogue la suspensión, una o varias veces, con los límites establecidos por la normativa.
d. A declarar extinguido su contrato de trabajo cuando la trabajadora se vea obligada a abandonar definitivamente su puesto de trabajo como consecuencia de ser víctima de esta clase de violencia. Las bajas laborales motivadas por la situación física o psicológica derivada de la violencia de género, acreditada por los servicios sociales de atención o por los servicios de salud no se computarán como faltas de asistencia a efectos de absentismo laboral.
Las situaciones de violencia de género y violencias sexuales ejercidas sobre las trabajadoras que dan lugar a los derechos laborales regulados en este artículo se acreditarán mediante un informe de los servicios sociales, de los servicios especializados en igualdad y contra la violencia de género, o de los servicios de acogida destinados a las víctimas de violencias sexuales de la administración pública competente, o por cualquier otro título, o de la Inspección de Trabajo y de la Seguridad Social, en los casos objeto de actuación inspectora; por sentencia recaída en el orden jurisdiccional social o por cualquier otro título, siempre que ello esté previsto en las disposiciones normativas de carácter sectorial que regulen el acceso a cada uno de los derechos y recursos, de acuerdo con lo que dispone el artículo 37 de la Ley Orgánica 10/2022 de 6 de septiembre de garantía integral de la libertad sexual.
Los datos personales, tanto de las víctimas como de terceras personas, contenidas, en los documentos mencionados serán tratados con las garantías establecidas a la normativa de protección de datos personales.
Artículo 77 Derechos de las personas trabajadoras víctimas de violencia en el puesto de trabajo
Sin perjuicio de las medidas preventivas que se adopten con el fin de evitar situaciones de violencia en el puesto de trabajo contra el personal provocadas por los pacientes o usuarios de los servicios o por sus familiares o personas vinculadas, el personal víctima de episodios de violencia en el puesto de trabajo tiene derecho a recibir soporte jurídico y, si procede, psicológico a cargo de la empresa. No obstante, el asesoramiento y defensa jurídica cuando estén cubiertos por una póliza de defensa jurídica suscrita por la persona trabajadora o por su Colegio profesional, irán a cargo de esta póliza.
Las empresas elaborarán un protocolo de actuaciones ante los episodios de violencia o de existencia de riesgo que se puedan producir y darán difusión del protocolo a todo su personal. Este protocolo tendrá que contemplar los canales de comunicación de los episodios violentos y el sistema de registro de las incidencias. Los Comités de seguridad y salud laboral, o comisiones multidisciplinares creadas específicamente en cada centro para la prevención de la violencia en el puesto de trabajo, tienen que identificar los riesgos o amenazas potenciales de los puestos de trabajo, y de los pacientes/usuarios, y encargarse de su evaluación y proponer a la gerencia la cartera de medidas para reducir los riesgos de agresión.
Capítulo 14
Artículo 78 Igualdad de trato y oportunidades entre mujeres y hombres
El plan de igualdad, entendido como proceso de incorporación transversal de la perspectiva de género, constituye un instrumento clave para implementar medidas que garanticen la igualdad de trato y no discriminación por motivos de género.
La elaboración de planes de igualdad responde a la obligación de la Ley Orgánica 3/2007, de 22 de marzo, para la igualdad efectiva de mujeres y hombres, regulada de manera más extensa en el Real Decreto-ley 6/2019, de 1 de marzo, de medidas urgentes para la garantía de la igualdad de trato y de oportunidades entre mujeres y hombres en el trabajo y el empleo y en el Real decreto 901/2020, de 13 de octubre, por el cual se regulan los planes de igualdad y su registro, y se modifica el Real decreto 713/2010, 28 de mayo, sobre registro y depósito de convenios y acuerdos colectivos de trabajo.
En Cataluña, es la Ley 17/2015, del 21 de julio, de igualdad efectiva de mujeres y hombres, a su artículo decimoquinto donde se establece la obligatoriedad de los organismos públicos de aprobar un plan de igualdad de mujeres y hombres destinado al personal que presta servicios.
El proceso de elaboración del plan de igualdad se basa en tres fases irrenunciables:
1. Compromiso y constitución de la comisión de igualdad en cada empresa, donde se harán extensivos los objetivos del proceso, los principios orientadores y el marco conceptual.
2. Diagnosis, donde se analizarán los ámbitos definidos a la ley catalana y se trabajará la priorización de objetivos y medidas con la Comisión de igualdad.
3. Diseño, donde se elaborará el plan de igualdad y su plan de acción y seguimiento.
La Comisión de igualdad de cada empresa es un órgano paritario formado al 50% por representantes de las personas trabajadoras y al 50% por los representantes de la organización. Se velará para que la representación sea paritaria también en términos de género.
78.1. Todas las empresas incluidas en el ámbito de aplicación de este Convenio están obligadas a respetar la igualdad de trato y oportunidades en el ámbito de las relaciones laborales y, con esta finalidad, tendrán que adoptar las medidas necesarias con el fin de evitar cualquier tipo de discriminación laboral entre mujeres y hombres.
78.2. Todas las empresas que rigen sus relaciones laborales por el presente Convenio colectivo tienen la obligación de elaborar, con la ayuda de técnicos expertos en el tema si ocurre, y aplicar un plan de igualdad que se tendrá que negociar con la representación legal de las personas trabajadoras.
El plan de igualdad se publicará en la intranet de las empresas y se comunicará y será accesible a todo el personal.
El plan de igualdad será debidamente registrado en el organismo oficial competente y se entregará una copia a la representación de las personas trabajadoras. Una vez publicado en el registro correspondiente, se comunicará a la Comisión de igualdad del Convenio el número de registro, el título del plan, la vigencia y el nombre de la entidad, y esta comisión elaborará un listado con estos datos.
Cada empresa destinará los recursos que sean necesarios para desplegar las acciones del plan de igualdad.
78.3. Fases del plan de igualdad
Para elaborar el plan de igualdad se constituirá y se mantendrá en cada empresa una Comisión de igualdad con las competencias para el seguimiento del plan, el análisis de los ámbitos definidos que disponga la ley, priorizando los objetivos del proceso, los principios orientadores y el marco conceptual para las posteriores medidas de acción que la comisión decida. La comisión se procurará reunir un mínimo de 2 veces en el año de manera ordinaria. El plan se irá actualizando en los términos que las partes hayan decidido.
78.3.1 Las fases para la implantación del plan de igualdad son las siguientes
a. Constitución de la Comisión negociadora: en aquellos centros donde todavía no esté constituida la Comisión negociadora, esta se tendrá que constituir en el plazo máximo de un mes a contar desde la firma del presente Convenio.
Con respecto a la conformación de la Comisión negociadora, allí donde no hay representación legal de las personas trabajadoras, estará en aquello establecido en el artículo 5 del Real Decreto 901/2020, de 13 de octubre, por el cual se regulan los planes de igualdad y su registro y se modifica el Real Decreto 713/2010, de 28 de mayo, sobre registro y depósito de convenios y acuerdos colectivos de trabajo.
b) Diagnosis: es el análisis detallado, preciso y riguroso de la situación de la empresa en materia de igualdad de oportunidades entre mujeres y hombres, a partir de la recogida y examen de datos, indicadores cuantitativos y cualitativos relativos a las desigualdades, diferencias, desventajas, dificultades y obstáculos que pudieran existir para la consecución de la igualdad real y efectiva en el trabajo. La representación social y empresarial tendrán que emitir, de manera consensuada, un informe de diagnosis que formará parte del plan de igualdad.
En la fase de diagnosis, se podrá contar con la participación de las personas trabajadoras de la entidad mediante una encuesta o cualquier otro instrumento, con el fin de conocer la opinión con respecto a su situación en el puesto de trabajo y el cumplimiento de las normas en caso de ya existir un plan de igualdad anterior.
El diagnóstico será dinámico y según la periodicidad acordada por la Comisión negociadora del plan de igualdad se enviará a la representación legal de las personas trabajadoras, segregado por sexo la siguiente información:
1. Contratación de profesionales para grupos y categorías.
2. La finalización de contratos para grupos y categorías.
3. La formación impartida en materia de igualdad.
4. La estadística de peticiones en medidas de conciliación.
78.3.2. El contenido mínimo de la diagnosis plasmado en el informe de diagnosis tendrá que tratar las siguientes materias (artículo 7 y anexo del Real Decreto 901/2020, de 13 de octubre, por el cual se regulan los planes de igualdad y su registro y se modifica el Real Decreto 713/2010, de 28 de mayo, sobre registro y depósito de convenios y acuerdos colectivos de trabajo o normativa que lo sustituya):
a. Procesos de selección y contratación;
b. Clasificación profesional;
c. Formación;
d. Promoción profesional;
e. Condiciones de trabajo, incluida la auditoría salarial (vid. Real Decreto 901/2020, de 13 de octubre, por el cual se regulan los planes de igualdad y su registro y se modifica el Real Decreto 713/2010, de 28 de mayo, sobre registro y depósito de convenios y acuerdos colectivos de trabajo RD 902/2020);
f. Ejercicio de los derechos de conciliación de la vida personal, familiar y laboral;
g. Infrarrepresentación femenina;
h. Retribuciones;
i. Prevención del acoso sexual y en razón de sexo;
Todos los datos tendrán que estar desagregados por sexo y tendrán que abarcar todos los puestos de trabajo, distinguiendo por grupos, categorías y niveles.
La diagnosis tendrá que contener información básica sobre las características, la estructura organizativa y la actividad desarrollada por cada empresa, y en concreto:
a. Información sobre la dimensión de la empresa, historia, estructura organizativa y, en su caso, dispersión geográfica.
b. Información desagregada por sexo sobre
1. Distribución de la plantilla por edad, tipo de relación laboral, tipo de contratación, antigüedad, jornada,
departamento, nivel jerárquico, grupos profesionales, puestos de trabajo y nivel de responsabilidad, nivel de formación, y evolución de la promoción durante los últimos años.
2. Distribución por sexo de la representación de las personas trabajadoras en relación a la plantilla.
c. Información interna y externa sobre la publicidad, la imagen, la comunicación corporativa y el uso de lenguaje no sexista; así como del compromiso con la igualdad de empresas proveedoras, suministradoras o clientela.
d. Una referencia al proceso y metodología utilizada para llevarlo a cabo, a los datos analizados, las fechas de recogida de la información y de realización de la diagnosis y de las personas físicas o jurídicas que han intervenido.
78.3.3. Fase de negociación y adopción del plan de igualdad
Las partes negociadoras están obligadas a negociar de buena fe. Se levantará acta de cada sesión de la Comisión negociadora, que tendrá que ser aprobada y firmada por las partes. Los acuerdos se aprobarán por mayoría de la parte social y con la conformidad de la empresa.
El texto final del acuerdo tendrá que ser formalizado por escrito y firmado por ambas partes. Posteriormente se realizará la tramitación oficial ante la autoridad laboral con respecto al registro, depósito y publicación oficial.
78.3.4. Contenido mínimo del plan de igualdad
El plan de igualdad tendrá que establecer como contenido mínimo (artículo 8 del Real Decreto 901/2020, de 13 de octubre, por el cual se regulan los planes de igualdad y su registro y se modifica el Real Decreto 713/2010, de 28 de mayo, sobre registro y depósito de convenios y acuerdos colectivos de trabajo o normativa que lo sustituya):
a. La determinación de las partes que lo suscriben;
b. El ámbito personal, territorial y temporal del plan;
c. El informe de la diagnosis de situación de la empresa o, en su caso, de las empresas del Grupo;
d. Los resultados de la auditoría retributiva, con indicación de su vigencia y periodicidad;
e. La definición de los objetivos cualitativos y cuantitativos;
f. La descripción de las medidas concretas, del plazo de ejecución, la prioridad de las medidas, así como el diseño de los indicadores que permitan determinar la evolución de cada una;
g. La identificación de los medios y recursos, tanto materiales como humanos, necesarios para la implantación, seguimiento y evaluación de las medidas del plan de igualdad;
h. Calendario de actuaciones para la implementación, seguimiento y evaluación de las medidas del plan de igualdad.
i. El sistema de seguimiento, evaluación y revisión periódica;
j. La composición y funcionamiento de la comisión u órgano paritario encargado del seguimiento, evaluación y revisión del plan de igualdad;
k. El procedimiento de modificación, incluido el procedimiento para solucionar las posibles discrepancias que pudieran surgir cerca su aplicación.
Será obligatoria la elaboración de un protocolo específico para la prevención y el abordaje del acoso sexual y en razón de sexo.
78.3.5. Registro
El plan de igualdad tiene que ser siempre inscrito en registro público. La inscripción al registro permitirá el acceso público a su contenido.
78.3.6. Implantación y aplicación real
El plan de igualdad se tendrá que aplicar en los términos acordados por la comisión negociadora de cada empresa o centro de trabajo. Se tiene que garantizar el acceso de la representación legal de las personas trabajadoras y, en su defecto, de la propia plantilla, a la información contenida en el plan de igualdad (artículo 47 de la Ley Orgánica 3/2007, de 22 de marzo, para la igualdad efectiva de mujeres y hombres o normativa que lo sustituya).
78.3.7. Seguimiento, evaluación y revisión
En el calendario de actuaciones del plan de igualdad, en cada una de las empresas, tiene que constar la periodicidad de las evaluaciones sobre el cumplimiento de los compromisos adquiridos. Como mínimo tiene que haber dos evaluaciones durante la vigencia del plan, una a la mitad del plazo y la otra a la fase final.
La revisión del plan de igualdad, que implica la revisión de la diagnosis, puede tener plazos diferentes por materias o por bloques de materias, y se puede llevar a cabo en cualquier momento con el fin de añadir, reorientar, mejorar, corregir, intensificar, atenuar o, incluso, dejar de aplicar alguna medida. La revisión de la diagnosis vendrá determinada por los resultados del seguimiento y evaluación de cada plan de igualdad.
El plan de igualdad tendrá que ser revisado, en todo caso, cuando concurran las siguientes circunstancias (artículo 9 Real Decreto 901/2020, de 13 de octubre, por el cual se regulan los planes de igualdad y su registro y se modifica el Real Decreto 713/2010, de 28 de mayo, sobre registro y depósito de convenios y acuerdos colectivos de trabajo o normativa que lo sustituya).
a. Cuando sea necesario a tenor de los resultados del seguimiento y la evaluación del plan.
b. Cuándo se ponga de manifiesto la falta de adecuación de los requisitos legales y reglamentarios o su insuficiencia ante la actuación de la Inspección de Trabajo.
c. Cuando se modifique de manera sustancial la plantilla, los métodos de trabajo, la organización o los sistemas retributivos y/o otras condiciones de trabajo que hayan sido analizadas a la fase de diagnosis y que hayan vinculado la elaboración del plan.
d. Supuestos de fusión, absorción, transmisión o modificación del estatus jurídico de la empresa
e. Cuando una resolución judicial condene a la empresa por discriminación directa o indirecta en razón de sexo o cuando determine la falta de adecuación del plan de igualdad a los requisitos legales o reglamentarios.
El plan podrá ser modificado por acuerdo de la Comisión negociadora de cada centro de trabajo o empresa.
78.4 Objetivos de eliminación de desigualdad
78.4.1 Objetivos transversales para la eliminación de cualquier desigualdad en el seno de la empresa entre mujeres y hombres.
A tal efecto se establecerán medidas y acciones que permitan superar las actitudes y estereotipos sociales existentes sobre las mujeres, garantizando la igualdad en las condiciones de partida.
a. Incorporar la igualdad de oportunidades como principio vertebrador.
b. Eliminar todos aquellos obstáculos, discriminaciones directas o indirectas que puedan impedir o dificultar a las mujeres acceder a determinados puestos de trabajo en las mismas condiciones que los hombres (puestos de responsabilidad, grupos profesionales…), así como la eliminación de las barreras que puedan causar discriminación salarial.
c. Hacer de la igualdad uno de los ejes central del plan estratégico de recursos humanos, avanzando hacia una empresa socialmente responsable en materia de igualdad.
d. Promover la aplicación efectiva del principio de igualdad entre mujeres y hombres, y garantizar las mismas oportunidades de acceso, desarrollo profesional y condiciones laborales en todos los niveles y áreas de la organización.
e. Llevar a cabo acciones de mejora en todos los ámbitos de la empresa que garanticen la igualdad para todas las personas y su máximo desarrollo.
f. Establecer medidas que garanticen la dignidad personal y profesional de mujeres y hombres.
g. Asegurar que todos los procesos de gestión (comunicación, calidad, prevención de riesgos, entre otros) y muy especialmente, los procesos de gestión de recursos humanos, se realizan de acuerdo al principio de igualdad de trato y oportunidades.
h. Sensibilizar y concienciar a todo el personal de la necesidad de romper con viejos estereotipos de género y hacer ver la importancia que té para la sociedad, conseguirla.
i. Integrar la perspectiva de género en la gestión de la empresa.
78.4.2. Objetivos específicos para la eliminación de cualquier desigualdad en el seno de la empresa entre mujeres y hombres.
1. Igualdad en el acceso al empleo y promoción.
a. Evitar discriminaciones en el acceso a la empresa en razón de género, orientación sexual, etnia, religión, discapacitado o por cualquier otra condición o circunstancia personal o social.
b. Sensibilizar y formar en igualdad de oportunidades a las personas responsables de recursos humanos y especialmente de selección de personal.
c. Garantizar un lenguaje inclusivo en las ofertas. Diseñar formularios y entrevistas sin incluir aspectos personales irrelevantes, sino limitándolo a las cuestiones de experiencia y calificación demandadas para el puesto en cuestión, ajustando las exigencias formativas al requerimiento del cumplimiento del puesto.
d. Garantizar mecanismos de promoción libres de discriminación de cualquier tipo.
e. Garantizar que las convocatorias de ingreso en la empresa y los procesos de contratación no contienen elementos de discriminación directa o indirecta.
f. Sensibilizar y formar en materia de igualdad de oportunidades a las personas responsables de la selección, contratación y promoción de personal.
g. Garantizar que durante o después del disfrute de medidas de conciliación no se produzca ningún cambio discriminatorio en el retorno al puesto de trabajo.
2. Igualdad en materia de formación
a. Garantizar la formación en igualdad de oportunidades entre mujeres y hombres en la plantilla, prioritariamente y con mayor nivel de exigencia a las personas que componen al departamento de Recursos Humanos y a aquellas con cargos de responsabilidad.
b. Favorecer mediante la formación un marco conceptual común en torno a la igualdad de género en la organización.
c. Establecer mecanismos de difusión en la plantilla para informar del proceso del Plan de igualdad de oportunidades a la empresa.
d. Sensibilizar la plantilla en temas de equidad de género, especialmente en violencia de género, brecha salarial y corresponsabilidad de los hombres en las tareas de cuidar de las familias y de los hogares.
3. Inexistencia de discriminación retributiva
a. Garantizar una política retributiva neutra, sin sesgo de género.
b. Integrar el principio de no discriminación, tanto directa como indirecta en la política salarial.
c. Eliminar del sistema retributivo cualquier discriminación directa o indirecta en razón de género.
A modo de ejemplo se recomiendan las herramientas para la igualdad retributiva confeccionadas por el Consejo de Relaciones Laborales de Cataluña
https://trabajo.gencat.cat/ca/consell_relacions_laborals/ci/igualtatretributiva/
4. Criterios en la ordenación del tiempo de trabajo
a. Establecer medidas para la conciliación de la vida laboral con la personal y familiar de las personas trabajadoras, que también garantice óptimos niveles de productividad y eficiencia, y en equilibrio con las necesidades organizativas y asistenciales.
b. Garantizar, siempre que sea factible, que se facilite una distribución de la jornada laboral flexible, para conciliar la vida personal, familiar y laboral.
c. Fomentar el uso de medidas de conciliación por parte de los hombres que forman la plantilla.
d. Promover una ordenación del tiempo de trabajo que permita la conciliación de la vida personal, familiar y laboral de las personas trabajadoras, en equilibrio con las necesidades organizativas y asistenciales.
e. Sensibilizar sobre la importancia de la corresponsabilidad de los hombres en el cuidado de hijas e hijos y otras personas a cargo, el reparto equilibrado del tiempo y la conciliación de la vida personal, familiar y laboral.
f. Promover una cultura que facilite la conciliación y la corresponsabilidad, asegurando que el ejercicio de los derechos de conciliación no tenga consecuencias negativas en el ámbito profesional.
5. Lenguaje e imagen corporativa no sexista.
a. Garantizar a la empresa el uso no sexista del lenguaje y promover una imagen corporativa que evite los estereotipos sexistas.
b. Asegurar el uso de un lenguaje que no invisibilice a las mujeres en la comunicación interna y externa de la empresa así como la utilización de imágenes no estereotipadas de mujeres y hombres.
6. Salud laboral con perspectiva de género.
a. Introducir la perspectiva de género en el ámbito de la prevención de riesgos laborales.
b. Promocionar la salud laboral de las personas trabajadoras desde una perspectiva de género.
c. Proteger la salud de las trabajadoras embarazadas o en período de lactancia.
d. Se garantizará a todos los centros de trabajo un espacio adecuado para la lactancia
7. Prevención en materia de acoso sexual, en razón de sexo, orientación sexual o identidad de género.
a. Garantizar un entorno de trabajo seguro y respetuoso con la dignidad de las personas, libre de acoso y de discriminación.
b. Establecer medidas para la sensibilización, prevención y actuación en casos de acoso sexual, en razón de sexo, de la orientación sexual o identidad de género.
c. Garantizar el con respecto a la intimidad y la dignidad humana en el entorno de trabajo.
d. Asegurar que todas las personas trabajadoras están protegidas enfrente del acoso sexual, en razón de sexo, de orientación sexual o identidad de género, y que conocen las medidas que la empresa habilita para la prevención y eliminación de estas situaciones.
e. Articular un procedimiento ágil y respetuoso para la puesta en marcha de los derechos laborales de las personas trabajadoras víctimas de violencia de género.
f. Establecer medidas para que toda la plantilla conozca los derechos de las personas trabajadoras que sufren violencia de género.
g. Facilitar un entorno laboral de apoyo a la persona trabajadora víctima de violencia de género que permita la permanencia en su puesto de trabajo y su desarrollo profesional.
78.5. Igualdad colectivo LGTBIQ+
Las empresas tienen que respetar la igualdad de trato y de oportunidades de las personas LGTBIQ+. Por esta razón, adoptarán medidas dirigidas a evitar y prevenir cualquier tipo de discriminación laboral en razón de orientación sexual, identidad de género o expresión de género de este colectivo. Estas medidas tienen que ser objeto de consulta y, si procede, de acuerdo con la representación legal de las personas trabajadoras, llegando, siempre que sea posible, a la adopción en las empresas de códigos de conducta y de protocolos de actuación para la igualdad de oportunidades y la no discriminación de las personas LGTBIQ+.
En los contenidos de formación en materia de igualdad se incluirán actividades de información y sensibilización sobre la realidad LGTBIQ+.
Se recomienda que en las fechas conmemorativas LGTBIQ+ se promuevan actos y charlas de sensibilización en materia de derechos e historia de diversidad sexual.
78.6. Personas trans
a. Se garantizará la privacidad en los espacios comunes, como baños o vestuarios, para preservar la intimidad de todas las personas.
b. Se adaptarán el puesto de trabajo o la jornada cuando sea necesario mientras se hace el proceso de transición, por eso es importante recordar que en la ley de prevención de riesgos laborales se establece que para una adecuada actuación preventiva, la persona trabajadora tiene derecho a disponer de las medidas de protección específicas por sus propias características personales. En caso de que la persona trans necesite provisionalmente una adaptación del puesto o del horario, se trasladará al Comité de seguridad y salud o en su defecto al Delegado o Delegada de prevención, realizando si fuera necesaria una evaluación de riesgos laborales y psicosociales.
c. Se garantizará la privacidad de los datos sanitarios.
d. Las personas trans tienen que ser tratadas según su nombre elegido e identidad de género, siéndose importante que en cualquier documentación interna de la empresa se modifique el nombre y sexo de la persona aunque no se haya tramitado la rectificación legal en su DNI (se exceptúa aquella documentación en la cual sea necesaria la referencia expresa del nombre legal).
e. La persona trans decidirá a quien, cuando y como comunicar su proceso de transición y el momento en que quiere empezar a ser tratada conforme a su identidad de género.
78.7. Prevención de acoso sexual y en razón de sexo.
78.7.1. Constituye acoso sexual cualquier comportamiento verbal, o físico, de naturaleza sexual, que tenga el propósito o produzca el efecto de atentar contra la dignidad de una persona, en particular cuando se crea un entorno intimidatorio, degradante u ofensivo.
78.7.2. Se considera acoso en razón de sexo cualquier comportamiento realizado en función del sexo de una persona, con el propósito o el efecto de atentar contra su dignidad y de crear un entorno intimidatorio, degradante u ofensivo.
La Ley para la igualdad considera discriminatorios el acoso sexual o en razón de sexo, y también el de un derecho o de una expectativa de derecho a la aceptación de una situación de acoso sexual o en razón de sexo se considera un acto de discriminación en razón de sexo.
78.7.3 Con la finalidad de prevenir estas situaciones, la empresa velará por la consecución de un ambiente adecuado en el trabajo, libre de comportamientos inapropiados de carácter o connotación sexual, y adoptará las medidas oportunas a este efecto, arbitrando procedimientos específicos para su prevención.
Con esta misma finalidad, y con la finalidad de trabajar en el objetivo de erradicar cualquier tipo de acoso sexual o en razón de sexo en el ámbito laboral, las empresas negociarán con la representación legal de las personas trabajadoras protocolos de prevención y actuación enfrente del acoso sexual y en razón de sexo, cuya estructura se recomienda que contenga, como mínimo, los siguientes puntos:
a. Declaración de principios, objetivos y ámbito de aplicación.
b. Definiciones y ejemplos de situaciones de acoso sexual y en razón de sexo
c. Principios y garantías.
d. Derechos y obligaciones de la dirección, de la representación legal de las personas trabajadoras y de las personas trabajadoras.
e. Medidas generales y procedimientos de comunicación, asesoramiento, denuncia, actuación y resolución.
f. Seguimiento y evaluación.
g. Información y sensibilización (por ejemplo elaboración de campañas contra el acoso, elaboración código buenas prácticas…).
h. Faltas y sanciones.
i. Modelo de denuncia.
A título orientativo se facilita como documento de apoyo las herramientas para la prevención y abordaje del acoso sexual y en razón de sexo en la empresa confeccionadas por el Consejo de Relaciones Laborales de Cataluña: https://trabajo.gencat.cat/ca/consell_relacions_laborals/ci/eines-prevencio-acoso-sexual-empresa/
78.7.4. Con independencia de las acciones legales que puedan interponerse sobre este tema ante cualesquiera instancias administrativas o judiciales, el procedimiento interno e informal se iniciará con la denuncia de acoso sexual o en razón de sexo ante una persona de la dirección de la empresa.
La denuncia dará lugar a la inmediata aportura de expediente informativo por parte de la empresa, especialmente encaminado a averiguar los hechos e impedir la continuidad del acoso denunciado. A tal efecto, se articularán las medidas oportunas, quedando la empresa exonerada de la posible responsabilidad por vulneración de derechos fundamentales.
Se pondrá en conocimiento inmediato de la representación de las personas trabajadoras la situación planteada, si así lo solicita la persona afectada.
En las averiguaciones a efectuar no se observará más formalidad que la de dar trámite de audiencia a todas las personas intervinientes, practicándose cuántas diligencias puedan considerarse conducentes al esclarecimiento de los hechos ocurridos.
Durante este proceso, que tendrá que estar sustanciado en un plazo máximo de diez días, guardarán todos los actuantes una absoluta confidencialidad y reserva, para afectar directamente la intimidad y honorabilidad de las personas.
La constatación de la existencia de acoso sexual o en razón de sexo en el caso denunciado dará lugar, entre otras medidas, a la imposición de una sanción.
Se respetarán en todo caso los procedimientos y plazos acordados en cada empresa a pesar de no ser coincidentes con el anteriormente expuesto.
78.8 Comisión sectorial de igualdad
Se creará una comisión sectorial paritaria de igualdad formada por las organizaciones firmantes del Convenio colectivo. Se velará a fin de que en todos los ámbitos del convenio se garantice igualdad entre todas las personas trabajadoras.
Esta comisión elaborará un listado con el número de registro, el título del plan, la vigencia y el nombre de la entidad, una vez las entidades le hayan comunicado su publicación al registro correspondiente.
Se creará un observatorio de igualdad en el marco de la comisión con el objetivo de recoger buenas prácticas en materia de igualdad que se estén aplicando tanto a empresas del sector como a otras empresas si son de posible aplicación según las dinámicas de trabajo del sector.
El observatorio articulará mecanismos de difusión en empresas y personas trabajadoras a fin de que internamente valoren su aplicación en la empresa y en todo caso si pueden ser de aplicación general a las empresas del sector, dar traslado a la mesa negociadora del Convenio para su valoración y si ocurre incorporación en el Convenio.
78.9 Formación en materia de igualdad
Las empresas promoverán y garantizarán la formación en materia de igualdad a todas las personas trabajadoras.
A tal efecto, se incorporarán al plan de formación de la empresa todas aquellas actividades formativas en materia de igualdad de oportunidades entre mujeres y hombres que se acuerden en el plan de igualdad y que serán supervisadas por la Comisión de igualdad de las empresas. Esta formación se realizará dentro de la jornada laboral y será a cargo de las empresas.
Con respecto al protocolo de prevención y actuación enfrente del acoso sexual y en razón de sexo, las empresas garantizarán su difusión a todo el personal.
Disposición adicional primera
1. En el primer Convenio colectivo de trabajo de los hospitales de agudos, centros de atención primaria, centros sociosanitarios y centros de salud mental concertados con el Servicio Catalán de la Salud, se recuperaron las tablas salariales que estaban vigentes en el VII Convenio colectivo de los hospitales de la XHUP y de los centros de atención primaria a fecha 31/12/2008, articulándose en aquel momento el régimen de funcionamiento y que habrá que seguir contemplando durante la vigencia de este Convenio, a los efectos que ninguna persona trabajadora pueda dejar de disfrutar efectivamente los incrementos salariales que se pactan para los ejercicios 2021, 2022, 2023 y 2024.
En los centros que estén afectados por el Real Decreto-ley 8/2010, de 20 de mayo, por el cual se adoptan medidas extraordinarias para la reducción del déficit público y/o por el Decreto ley 3/2010, de 29 de mayo, de medidas urgentes de contención del gasto y en materia fiscal para la reducción del déficit público, ninguna persona trabajadora podrá cobrar una retribución, en cómputo global y anual, superior a la que tenía derecho a cobrar en aplicación del VII Convenio colectivo de la XHUP y/o I Convenio sociosanitario y salud mental, una vez deducido el 4’05%, con el objetivo de dar cumplimiento al mandato de la norma básica.
No obstante, las entidades del sector público afectadas por la mencionada deducción salarial del 4’05% o que sigan aplicando la deducción inicial del 5%, que hayan acreditado equilibrio presupuestario y financiero el ejercicio 2021, pasarán a aplicar una deducción del 0’88% con el objetivo de restablecer el nivel de retribución que los y las profesionales tendrían que haber alcanzado si las tablas salariales del VII Convenio colectivo de los hospitales de la XHUP y de los centros de atención primaria, en el período 2009-2010, se hubieran incrementado acumuladamente en el 3,3% que permitía la legislación presupuestaria de aquellos dos ejercicios. Esta aminoración de la deducción se tendrá que adecuar en aquellas entidades que aplicaron incrementos porcentuales a cuenta convenio a las retribuciones de sus empleados imputadas a aquel mismo período que se hayan consolidado. La reducción de la deducción tendrá efectos desde el 1 de enero de 2022.
A estos efectos, y en aplicación de la facultad establecida en el artículo 26 bis.4 de la Ley 25/2009, de presupuestos de la Generalidad de Cataluña para el 2010, en la redacción dada por el artículo 1 del Decreto ley 3/2010, de 29 de mayo, de medidas urgentes de contención del gasto y en materia fiscal para la reducción del déficit público, y artículo 1.dos.b.4, párrafo 3º del Real Decreto-ley 8/2010, de 20 de mayo, por el cual se adoptan medidas extraordinarias para la reducción del déficit público, que establecen que la distribución de la reducción prevista del 5% entre los diferentes conceptos retributivos podrá ser alterada por la negociación colectiva, la deducción del 0,88%, o la que proceda, sólo se podrá aplicar contra la retribución variable por objetivos (DPO), hasta el límite equivalente al 0,88%, o del porcentaje que proceda, de la retribución anual global de la persona trabajadora afectada, excepto aquellas que no devengan retribución variables por objetivos (DPO).
En este último caso se negociará entre empresa y representantes de las personas trabajadoras a nivel de cada institución qué condiciones laborales tendrán que quedar afectadas, sin que en ningún caso se pueda afectar a las tablas salariales. La negociación de los criterios a aplicar tendrá que estar terminada en un plazo no superior a los 2 meses a partir de la firma del Convenio.
Esta limitación sólo será vigente mientras esté en vigor la normativa básica de que se ha hecho mención en el apartado anterior.
2. Se mantiene en este Convenio el concepto RVOG y hasta el 31 de diciembre de 2022, en los mismos términos que se pactaron al acuerdo parcial de fecha 19/12/2017, publicado en el DOGC nº 7585, de 23/03/2018.
3. Los incrementos retributivos acordados hasta el 31 de diciembre de 2022 se abonarán bajo el concepto RVOG, con la particularidad que, tal como pasó al ejercicio 2017, no resta sujeto a ningún tipo de valoración o nivel mínimo de consecución de objetivos, ni a equilibrio presupuestario y financiero, ni a ninguna otra condición de cumplimiento.
A estos incrementos no se les aplicará la deducción del 5% ni del 4,05% ni del 0,88%, a los efectos de evitar una doble deducción.
4. A partir del 1 de enero de 2023, desaparece el concepto de RVOG y su importe queda integrado dentro de cada concepto salarial. Las entidades afectadas por el Real Decreto-ley 8/2010, de 20 de mayo, por el cual se adoptan medidas extraordinarias para la reducción del déficit público y/o por el Decreto ley 3/2010, de 29 de mayo, de medidas urgentes de contención del gasto y en materia fiscal para la reducción del déficit público, realizarán la aminoración salarial del 0,88% (o del porcentaje que corresponda), sobre las mesas salariales vigentes en el año 2008. Los importes a deducir correspondientes al 0,88% de cada concepto salarial quedan recogidos en los anexos 15, 16, 17, 18, 19, 20, 21, 22 y 23 de las tablas salariales de 2023.
Disposición adicional segunda
1. Los incrementos salariales para cada año son los siguientes
a. Año 2021, con efectos 1 de enero de 2021, un incremento del 0,9% con respecto a las tablas salariales vigentes a 31/12/2020.
Las tablas salariales y anexos del año 2021 son las que constan en la Resolución EMT/1099/2022, d’11 de abril, publicada en el DOGC de fecha 28/04/2022 https://portaldog.gencat.cat/utilsEADOP/PDF/8656/1903277.pdf
b. Año 2022, con efectos 1 de enero de 2022, un incremento del 3,5% con respecto a las tablas salariales vigentes en 31/12/2021.
c. Año 2023, con efectos 1 de enero de 2023, un incremento del 2,5% con respecto a las tablas salariales vigentes en 31/12/2022.
Adicionalmente el año 2023, si la suma de la variación del IPC armonizado del año 2022 y del IPC armonizado avanzado del mes de septiembre de 2023 superara el 6%, correspondiendo al incremento retributivo fijo acumulado de 2022 y 2023, se aplicará un incremento retributivo adicional máximo del 0,5%.
Este posible incremento adicional del año 2023, de carácter consolidable, tendría efectos desde el 1 de enero del 2023.
Además, si el incremento del PIB nominal de 2023 fuera igual o superior al querido por el Gobierno del Estado en el cuadro macroeconómico que acompaña a la Ley de presupuestos generales del Estado, se aplicará un incremento retributivo complementario del 0,5%. Este posible incremento retributivo complementario del año 2023, de carácter consolidable, tendría efectos desde el 1 de enero del 2023.
d. Año 2024, incremento del 2% con respecto a las tablas salariales vigentes en 31/12/2023.
Adicionalmente para el año 2024, si la suma de la variación del IPC armonizado de los años 2022, 2023 y 2024 supera el incremento retributivo fijo acumulado de 2022, 2023 y 2024, se aplicará un incremento retributivo adicional y consolidable del 0,5%. Este incremento adicional tendría efectos desde el 1 de enero del 2024.
2. Desvinculación del cobro de la retribución variable en función de los objetivos (DPO) del equilibrio presupuestario y financiero de las empresas.
Desde el 1 de enero de 2023 queda suprimido íntegramente lo redactado del artículo 36.3 del II Convenio Colectivo de trabajo de los hospitales de agudos, centros de atención primaria, centros sociosanitarios y centros de salud mental, concertados con el Servicio Catalán de la Salud (SISCAT).
3. Reducción de la aminoración salarial del 4,05% al 0,88%.
Se aplicarán los acuerdos de la Comisión de retribuciones y gastos de personal de fecha 22 de julio de 2022 y 5 de diciembre de 2022, desde la fecha que indique esta Comisión.
4. Retribución mínima garantizada IIR
Se aplicará la retribución mínima garantizada establecida para la enfermera y el enfermero residente en formación que sea aprobada al Acuerdo del Gobierno con las actualizaciones y fecha de efectos que se establezcan. En caso de que la retribución que la persona esté cobrando sea superior a la que sea aprobada en el correspondiente Acuerdo de Gobierno, la entidad respetará esta retribución superior.
5. Retribución variable en función de los objetivos (DPO) del grupo profesional 1.2
El importe máximo de la retribución variable en función de los objetivos del año 2023 (que se abona durante el primer trimestre del año 2024) para el grupo profesional 1.2 será de 6.313,78 euros.
Sobre estos importes se aplicarán los incrementos salariales correspondientes a los años 2023 y 2024 recogidos en el punto 1.
6. Jornada complementaria de atención continuada (guardias presenciales) y guardias localizables.
A partir del 1 de enero de 2023 la jornada complementaria de atención continuada (guardias presenciales) y las guardias localizables del Grupo profesional 1.2. se retribuirán según las cuantías siguientes (precio hora):
Sobre estos importes se aplicarán los incrementos salariales correspondientes a los años 2023 y 2024 recogidos en el punto 1.
7. Equiparación del salario base del grupo profesional 2.2 al salario base del grupo profesional 4.
Con el fin de alcanzar la equiparación del salario base del grupo profesional 2.2 al salario base del Grupo profesional 4, se aplicará el establecido en los siguientes puntos:
a. A partir del 1 de enero de 2023, se traspasará la cantidad de 1.300 euros de la retribución variable por objetivos (DPO) del grupo profesional 2.2 a su salario base.
b. A partir del 1 de enero de 2023 el salario base del grupo 2.2 será de 33.882,98 euros y la diferencia entre la parte de la DPO que se ha traspasado al salario base y el nuevo salario base (1.208,84 euros) se abonará ex novo por la empresa. Sobre este importe (33.882,98 euros) se aplicará el incremento salarial correspondiente al año 2023 recogido en el punto 1.
c. A partir del 1 de enero de 2024 el salario base del grupo 2.2 tendrá el mismo importe que el salario base del grupo 4. La diferencia entre el salario base de 2023 y 2024 del grupo 2.2 se abonará ex novo por la empresa. Sobre estos importes se aplicará el incremento salarial correspondiente al año 2024 recogido en el punto 1.
En todo caso se seguirá respetando la diferencia retributiva que el Convenio establece en relación a las comadronas.
8. Complemento de productividad asociado al régimen de especial dedicación voluntaria de las enfermeras y enfermeros del Grupo profesional 2.2 (artículo 36.4)
La compensación viene determinada en el artículo 36.4.
Sobre estos importes se aplicarán los incrementos salariales correspondientes a los años 2023 y 2024 recogidos en el punto 1.
9. Plus sábado, domingo, festivo y festivo especial
A partir del 1 de enero de 2023, se aplicarán los siguientes incrementos sobre el precio hora de 2022 de cada plus:
a. Plus sábado: 5%
b. Plus domingo: 5%
c. Plus festivo: 20%
d. Plus festivo especial: 25%
Sobre estos importes se aplicarán los incrementos salariales correspondientes a los años 2023 y 2024 recogidos en el punto 1.
10. Complemento de adscripción en el SIP para los grupos profesionales del 3 al 7.
A partir del 1 de enero de 2023 se establece un complemento de adscripción en el SIP para el personal de los grupos profesionales del 3 al 7 de 490 euros anuales (se percibirá por 14 pagas).
Sobre este importe se aplicarán los incrementos salariales correspondientes a los años 2023 y 2024 recogidos en el punto 1.
11. Nuevo nivel D de SIP (carrera profesional) para los grupos profesionales del 3 a 7.
A partir del 1 de enero de 2023 se establece un cuarto nivel D de SIP para los grupos profesionales del 3 al 7 qué importe será el 12% del salario base de cada grupo profesional.
Sobre este importe se aplicarán los incrementos salariales correspondientes a los años 2023 y 2024 recogidos en el punto 1.
12. Retribución variable por objetivos (DPO) para los grupos profesionales 3, 6 y 7.
A partir del 1 de enero de 2023, la retribución variable por objetivos (DPO) de los grupos profesionales 3, 6 y 7 se incrementará en el 20% y a partir del 1 de enero de 2024 se incrementará en el 5%.
Sobre estos nuevos importes se aplicarán los incrementos salariales correspondientes a los años 2023 y 2024 recogidos en el punto 1.
Disposición adicional tercera
Con el ánimo de mejorar la calidad y garantía del continuum asistencial y de seguridad del paciente, en cada centro existirá una comisión para tratar la casuística del solapamiento en los cambios de turnos de los profesionales de enfermería que ocupen puestos de trabajo de servicios continuados (UCI, planta, urgencias…). Se recomienda que el tiempo sea el adecuado en cada institución y dispositivo.
Esta comisión tendrá carácter paritario nombrada por la dirección del centro y el Comité de empresa. Mientras esta Comisión de centro o de institución no finalice su tarea, los centros no podrán alterar el régimen de solapamiento que tengan instaurado.
Cualquier alteración unilateral del régimen de solapamiento precisará que, antes de ser instaurada, sea fiscalizada por la Comisión paritaria sectorial del presente Convenio, a los efectos que esta pueda comprobar si, según su criterio, se dan las causas motivadoras de esta alteración.
En la comisión participarán las personas miembros que determinen las partes (sin limitarlo al grupo 2).
Disposición adicional cuarta
Durante la vigencia de este Convenio se mantienen las siguientes comisiones sectoriales reguladas en los anteriores Convenios
a. Comisión sectorial de la profesión médica.
b. Comisión sectorial de la profesión enfermera.
c. Comisión sectorial de clasificación profesional, que continuará con los trabajos iniciados con el objeto de alcanzar un acuerdo para establecer la nueva clasificación profesional.
d. Comisión sectorial de formación continua, según se establece en el artículo 64.
e. Comisión sectorial de salud laboral, según se establece en el artículo 66
f. Comisión sectorial de igualdad, según se establece en el artículo 78.
g. Comisión sectorial de empleo.
Disposición adicional quinta
Se constituye una comisión entre los firmantes del Convenio, de carácter paritaria, para desarrollar la carrera profesional en los casos que no exista la especialidad, o en caso de que esté pendiente de homologación siempre que, en este último caso, el o el profesional haya obtenido informe propuesta del comité de evaluación en el trámite de homologación del título regulado en el artículo 8.b), c) o d) del Real Decreto 459/2010, de 16 de abril, por el cual se regulan las condiciones para el reconocimiento de efectos profesionales a títulos extranjeros de especialista en Ciencias de la Salud, obtenidos en Estados no miembros de la Unión Europea.
Disposición adicional sexta
Las partes, conscientes de la próxima constitución de una mesa de armonización en el ámbito de los profesionales del SISCAT que ha sido anunciada por las autoridades sanitarias, procederán a consensuar las prioridades para los profesionales afectados por este Convenio colectivo, y en particular para los profesionales que prestan servicios en el turno de noche, así como para el tratamiento de los diferentes niveles de SIPDP y SIP.
Disposición adicional séptima
En relación a la modalidad contractual de fijo-discontinuo, y dado que esta modalidad no ha sido casi utilizada hasta ahora en el ámbito funcional de este Convenio, las partes firmantes acuerdan que las convocatorias de estabilización realizadas al amparo de la Ley 20/2021, de 28 de diciembre, de medidas urgentes para la reducción de la temporalidad en el sector público, no podrán ofrecer esta modalidad contractual.
Disposición adicional octava
Las referencias que hace el Convenio a la condición de fijo son exclusivamente para las entidades de titularidad privada. En las empresas públicas y consorcios habrá que aplicar los principios de acceso al empleo público de publicidad, igualdad, mérito y capacidad.
Disposición transitoria primera
Hasta el 9 de marzo de 2022 continuarán suspendidos los efectos económicos derivados de la progresión en el SIPDP (grupos profesionales 1.2 y 2.2) de los niveles C en D, del plan de carrera profesional. Esta suspensión del nivel D no generará efectos económicos retroactivos. A partir de la fecha indicada quedará sin efectos dicha suspensión.
Disposición transitoria segunda
Los centros que no tengan implementado el nivel D de SIPDP para los grupos profesionales 1.2 y 2.2 disponen de un plazo de 6 meses desde la firma del Convenio colectivo para su implementación. En caso de que no esté implementado dentro de este plazo, sólo se tendrá en cuenta la permanencia de 9 años en el nivel C para poder acceder al nivel D, hasta la definición de los criterios. Una vez definidos los criterios del nivel D se establecerá un período de 2 años de carencia para la evaluación y exigencia de los nuevos criterios para aquellas personas que hayan accedido al nivel D por el mero transcurso del tiempo.
Para las personas que ya alcanzaron el nivel D sin efectos retributivos en aplicación del establecido en los anteriores Convenios colectivos, el plazo para contabilizar la reevaluación, si de este nivel, empezará el día 9 marzo de 2022, fecha en la cual se alcanzó el acuerdo parcial.
Disposición transitoria tercera
En los centros que estén afectados por el Real Decreto-ley 8/2010, de 20 de mayo, por el cual se adoptan medidas extraordinarias para la reducción del déficit público y/o por el Decreto ley 3/2010, de 29 de mayo, de medidas urgentes de contención del gasto y en materia fiscal para la reducción del déficit público, y mientras estas normas sigan teniendo impacto efectivo, a partir del 1/01/2023 no se exigirá ninguna condición/requisito para su abono exclusivamente respecto del importe de la retribución variable en función de objetivos (DPO) que resulta afectado por la aplicación de la disposición adicional primera del presente Convenio (0,88% de las tablas salariales de cada persona trabajadora a partir del 1/01/2022). En los centros del sector público que resulta de aplicación esta disposición, los criterios y condiciones previstas por el devengo y abono de la retribución variable únicamente se aplicarán sobre la parte de la retribución de DPO o variable que exceda del mencionado 0,88% a partir del 1/01/2022 y del 4,05% anteriormente.
Disposición transitoria cuarta
La compensación económica establecida en el artículo 37 del Convenio para la utilización del vehículo propio, se incrementará automáticamente cuando la normativa actualice el importe fiscalmente exento, y hasta el máximo establecido para el personal de la Administración de la Generalidad de Cataluña.
Disposición transitoria quinta
Los compromisos económicos recogidos a la disposición adicional segunda de este Convenio se formalizarán una vez sean aprobadas anualmente por parte del CatSalut las tarifas o los mecanismos correspondientes que permitan la aplicación de los aspectos retributivos a que hace referencia el escenario global aprobado por el Consejo de Dirección del CatSalut fecha 28 de diciembre de 2022.
Una vez se publiquen las tarifas y/o otros mecanismos, la comisión paritaria procederá a la firma de las tablas salariales anuales, indicando la fecha máxima de aplicación de las mismas.
Disposición transitoria sexta
La aplicación práctica de los incrementos salariales que se han acordado en el presente Convenio colectivo para el año 2023 se hará como máximo en la nómina del mes de febrero de 2023.
Con respecto a los atrasos correspondientes a los incrementos salariales de los ejercicios 2022 y 2023, se abonarán durante el primer trimestre del año 2023.
Disposición transitoria séptima
Durante todo el año 2023 el personal de los Grupos profesionales del 3 al 7 que acrediten una permanencia en el nivel C del SIP de 9 años y que no puedan acreditar la realización, durante la permanencia en el nivel C del SIP, de las 120 horas o 100 horas de formación, podrán acceder al nivel D del SIP y dispondrán de un período de carencia de 2 años para poder realizar esta formación durante el cual se cobrará la cantidad correspondiente al nivel D.
ANEXO 1.- Definición y contenido funcional de los puestos de trabajo
Grupo 1
personal sanitario
Subgrupo 1.1 Profesionales en formación (médico y médico, farmacéutico y farmacéutica, biólogo y bióloga, químico y química, psicólogo y psicóloga, física y físico…).
Personal que se integra en los centros e instituciones del ámbito del Convenio para el seguimiento de planes de capacitación y formación, de contenido teórico-práctico, que tienen una duración de entre 3 y 5 años, según el caso. Estos planes se desarrollan mediante programas nacionales o del mismo centro.
Subgrupo 1.2. Profesionales en plantilla (médico y médico, farmacéutico y farmacéutica, biólogo y bióloga, químico y química, psicólogo y psicóloga, física y físico…).
Personal que provisto de su titulación correspondiente y con capacidad legal para el ejercicio de su profesión, es empleado por los centros e instituciones del ámbito del Convenio para ejercerla, y desarrolla con responsabilidad e iniciativa las actividades encomendadas al puesto de trabajo contratado.
Contenido funcional: estos puestos de trabajo tienen funciones de tipo asistencial, docente y/o investigadora, poro no necesitan descripción dado que quedan automáticamente señaladas en razón de la titulación necesaria para su desarrollo.
Grupo 2
Personal sanitario
Subgrupo 2.1. Profesionales en formación (enfermera y enfermero, comadrón/a).
Personal que se integra en los centros e instituciones para el seguimiento de planes de capacitación y formación, de contenido teórico-práctico, que tienen una duración por ley según el caso. Estos planes se desarrollan mediante programas nacionales o del mismo centro.
Subgrupo 2.2. Profesionales en plantilla (Enfermera y enfermero, comadrona y partero, fisioterapeuta, trabajadora y trabajador social, terapeuta ocupacional, educadora y educador social, logopeda, optometrista…).
Personal que provisto de su titulación correspondiente y con capacidad legal para el ejercicio de su profesión desarrolla con responsabilidad e iniciativa y con un alto nivel de capacitación y experiencia las actividades encomendadas al puesto de trabajo para el cual es contratado.
Contenido funcional: el contenido funcional de los respectivos puestos de trabajo englobados en este grupo profesional no se describe ya que las tareas a realizar quedan automáticamente señaladas en razón de la titulación necesaria para el desarrollo de cada una de ellas.
Grupo 3
Personal sanitario
Subgrupo 3.1. Personal asistencial con formación profesional de grado medio (técnica y técnico en cuidados auxiliares de Enfermería, técnica y técnico en farmacia, cuidadora y cuidador psiquiátrico…)
Es el personal que con una titulación de formación profesional de grado medio o equivalente y actuante bajo la supervisión y control del personal del grupo 1 o del grupo 2, a los cuales ayudan y de los cuales dependen, poseen los conocimientos y la experiencia necesarios para atender todas las necesidades asistenciales del enfermo, excepto aquellas que, por disposición legal, quedan reservadas al personal del grupo 1 y del grupo 2.
Las funciones de estos puestos de trabajo no necesitan descripción, dado que las tareas a realizar ya quedan señaladas por la titulación/formación requerida en cada caso.
Subgrupo 3.2. Personal con formación profesional de grado superior (Técnica y técnico superior, puericultora…)
Es el personal que con una titulación/formación profesional de grado superior o equivalente posee los conocimientos y la experiencia necesarios para atender todas las necesidades asistenciales del enfermo, excepto aquellas que, por disposición legal, quedan reservadas al personal del Grupo 1 y Grupo 2.
Desarrollan sus funciones de acuerdo con los criterios emanados de las Órdenes de 1 de septiembre de 1978 (BOE de 08/09/1978) del Ministerio de Educación y Ciencia, y de 14 de junio de 1984 (BOE de 08/06/1989) del Ministerio de Sanidad y Consumo.
Las funciones de estos puestos de trabajo no necesitan descripción, dado que las tareas a realizar ya quedan señaladas por la titulación/formación requerida en cada caso.
Grupo 4
Personal de gestión y servicios
Personal que desarrolla los puestos de trabajo de abogada y abogado, arquitecta y arquitecto, economista, ingeniera e ingeniero, informática e informático.
Es el personal que, provisto de su titulación correspondiente y con capacidad legal para el ejercicio de su profesión es empleado por el centro o institución para ejercerla y desarrolla, con responsabilidad e iniciativa las actividades encomendadas al puesto de trabajo contratado.
Contenido funcional. Estos puestos de trabajo no necesitan descripción dado que las tareas a realizar quedan automáticamente señaladas en razón de la titulación necesaria para su desarrollo.
Grupo 5
Personal de gestión y servicios
Personal que desarrolla los puestos de trabajo de aparejador y aparejadora, maestro y maestra, ingeniero e ingeniera técnico, graduado y graduada social, perito…
Es el personal que, provisto de su titulación correspondiente y con capacidad legal para el ejercicio de su profesión, desarrolla con responsabilidad e iniciativa y con un alto nivel de capacitación y experiencia las actividades encomendadas al puesto de trabajo por el cual son contratados.
Contenido funcional
A estos puestos de trabajo no necesitan descripción dado que las tareas a realizar quedan automáticamente señaladas en razón de la titulación necesaria para su desarrollo.
Grupo 6
Personal de gestión y servicios
Personal que, acreditando una titulación y/o formación profesional o técnica específica según la función, tiene los conocimientos y la experiencia necesarios y acreditados, para desarrollar, con responsabilidad e iniciativa, pero bajo supervisión, las actividades encomendadas al puesto de trabajo y a la función para los cuales fue contratado.
Contenido funcional
El contenido funcional de los respectivos puestos de trabajo englobados en este grupo profesional, que acto seguido se desarrolla, es meramente enunciativo, y puede estar limitado o ampliado con tareas de tipo similar a las encomendadas a cada uno, cuando así lo requieran las circunstancias y las necesidades del servicio.
El personal englobado en este grupo tiene que efectuar y/o colaborar en la realización de tareas técnicas de oficios diversos, de administración, de recepción, de servicios generales, etc. Actúa bajo control y supervisión directa del personal del cual depende. El diferente nivel queda determinado por el grado de responsabilidad e iniciativa y por el nivel de capacitación y experiencia acreditada en cada caso.
Dentro de este grupo hay:
6.1. Función administrativa.
Nivel I. Auxiliar administrativo.
Nivel II. Oficial administrativo.
6.2. Función oficios y servicios.
Nivel I. Auxiliares de oficios y servicios, conserjes-porteros u ordenanzas, telefonistas…
Nivel II. Oficiales de oficios o de servicios.
Grupo 7. Personal sanitario y de gestión y servicios
Personal que desarrolla los puestos de trabajo de camillero, mozo y moza (sanitario, de oficios o de servicios), peón (sanitario, de oficios o de servicios), limpiadora y limpiador.
Es el personal que, con una formación básica mínima académica y/o profesional, ejercita, por indicación del personal del cual dependen, las tareas encomendadas al puesto de trabajo y función para los cuales fue contratado.
ANEXO 2.- Clasificación de los centros hospitalarios por niveles de estructura
TABLAS SALARIALES 2022 (3,5%). Anexos 3-14.
TABLAS SALARIALES 2023 (2,5%). Anexos 3-14.
ANEXOS 15-23.
REVISIÓN SALARIAL Y ACUERDOS (DOGC Núm. 8897 – 18.4.2023)
RESOLUCIÓN EMT/1248/2023, de 4 de abril, por la que se dispone la inscripción y la publicación del Acuerdo de la Comisión paritaria del III Convenio colectivo de trabajo de los hospitales de agudos, centros de atención primaria, centros sociosanitarios y centros de salud mental, concertados con el Servicio Catalán de la Salud (código de convenio núm. 79100135012015).
Visto el texto del Acuerdo de la Acta de la Comisión paritaria del III Convenio colectivo de trabajo de los hospitales de agudos, centros de atención primaria, centros sociosanitarios y centros de salud mental, concertados con el Servicio Catalán de la Salud, suscrita en fecha 16 de febrero de 2023, para acordar temes diversos y dar respuesta a las consultes CP 1 a la CP 5, por parte de la representación social por Comisiones Obreras de Cataluña (CCOO), la Unión General de Trabajadores (UGT) y el Sindicato de Infermeria (SATSE), y por parte de la representación empresarial por la Unió Catalana d’Hospitals (La Unió), el Consorci Associació Patronal Sanitària i Social (CAPSS) i l’Associació Catalana d’Entitats de Salut (ACES), y, de acuerdo con lo que disponen el artículo 90.2 y 3 del Texto Refundido de la Ley del Estatuto de los Trabajadores, aprobado por el Real Decreto Legislativo 2/2015, de 23 de octubre; el artículo 2.1) del Real Decreto 713/2010, de 28 de mayo, sobre registro y depósito de convenios colectivos, acuerdos colectivos de trabajo y planes de igualdad; el Decreto 35/2022, de reestructuración del Departamento de Empresa y Trabajo, y el artículo 6 de la Ley 26/2010, de 3 de agosto, de régimen jurídico y de procedimiento de las administraciones públicas de Cataluña,
Resuelvo:
–1 Disponer la inscripción de la Acta mencionada en el Registro de convenios colectivos, acuerdos colectivos de trabajo y planes de igualdad de la Dirección General de Relaciones Laborales, Trabajo Autónomo, Seguridad y Salud Laboral, con notificación a la Comisión paritaria.
–2 Disponer su publicación en el Diario Oficial de la Generalitat de Catalunya, con el cumplimento previo de los trámites pertinentes.
Barcelona, 4 de abril de 2023.
Òscar Riu Garcia.
Director general de Relaciones Laborales, Trabajo Autónomo, Seguridad y Salud Laboral.
ACTA 1 DE LA COMISIÓN PARITARIA DEL III CONVENIO COLECTIVO DE TRABAJO DE LOS HOSPITALES DE AGUDOS, CENTROS DE ATENCIÓN PRIMARIA, CENTROS SOCIOSANITARIOS Y CENTROS DE SALUD MENTAL, CONCERTADOS CON EL SERVICIO CATALÁN DE LA SALUD.
Asistentes.
Organizaciones sindicales.
Comisiones Obreras (CCOO).
Cristina Martínez Nieto.
José Maria Yagüe Polo.
Francisca Cruz Cortés.
Manel Abia Ortiz.
Xavier Pallàs García.
Asesores.
Paco Pareja Montañés.
Jesús González Comabella.
Unión General de Trabajadores (UGT).
Rosa Pérez Bernalte.
Alex Trullàs Manonelles.
Judith Extremera Ortega.
Juan Sanchez González.
Jose Martínez Beltran.
Silvia Franco Mas.
Silvia Castaño Gómez.
Raül Gisbert Barrué.
Asesor.
Joan Barrachina Casals.
Sindicato de Enfermería (SATSE).
Anabel Torres Egeo.
Miquel Oliveras Gisbert.
Rosa M. Famadas Lifante.
Maria Jesús Figueroa Pena.
Asesor.
Jesús Carlos Garcia Reig.
Organizaciones patronales.
Unión Catalana de Hospitales (La Unión).
Jordi Nonell Gregori.
Carles García Hernández.
Antoni Llamas Losilla.
Joan Mª Adserà Gebellí.
Ramon Massaguer Meléndez.
Elena de la Campa Alonso.
Asesores.
Paco Carretero Palomares.
Alda Mumbrú López.
Consorci Asociació Patronal Sanitària i Social (CAPSS).
Rafael Lledó Rodríguez.
Pilar Rol Miguel.
Antonio Rodríguez Nieto.
Asesora.
Abigail Blanco Cumplido.
Associació Catalana d’Entitats de Salut (ACES).
Titulares: Pedro Ayesa Guix.
Asesores: Joan Diez i Cano.
Presidenta: Cristina Martínez Nieto.
En Barcelona, a 16 de febrero de 2023 a las 11.30 horas se reúnen los componentes de la Comisión paritaria del III Convenio colectivo de trabajo de los Hospitales de Agudos, Centros de Atención Primaria, Centros Sociosanitarios y Centros de Salud Mental, concertados con el Servicio Catalán de la Salud para tratar los temas siguientes:
Orden del día
– Constitución de la Comisión paritaria del III Convenio de la sanidad concertada del SISCAT, elección del presidente/a y del calendario de reunión 2023 y de las comunicaciones a la Comisión paritaria.
– Formalización de las tablas salariales del personal enfermero/a residente, relacionadas con el Acuerdo de Gobierno de fecha 31/01/2023.
– Aprobación de los premios de fidelidad comunicados.
– Tratamiento de las consultas recibidas hasta el 7 de febrero de 2023.
Acuerdos
Primero. – Constitución de la Comisión paritaria del III Convenio de la sanidad concertada del SISCAT, elección del presidente/a y del calendario de reunión 2023.
Se acuerda la constitución de la Comisión paritaria del III Convenio Colectivo de trabajo de los Hospitales de agudos, Centros de atención Primaria, Centros Sociosanitarios y Centros de Salud Mental, concertados con el Servicio Catalán de la Salud, prevista en el artículo 13 del mencionado Convenio colectivo.
La Comisión, según el Convenio, estará formada por 13 miembros de la representación social (5 por CCOO, 5 por UGT y 3 por SATSE) y por 13 miembros de la representación patronal (6 por La Unió, 6 por CAPSS y 1 por el ACES).
La relación nominal de miembros correspondiendo a cada una de las partes es la siguiente:
Organizaciones sindicales.
Por Comisiones Obreras de Cataluña (CCOO).
Titulares.
Cristina Martínez Nieto.
José Maria Yagüe Polo.
Nuria Paradeda Cobos.
Juan Carlos Delgado Mesa.
Francisca Cruz Cortés.
Suplentes.
Ramon Alarcón Fernández.
Manel Abia Ortiz.
Josefa Sánchez Brustenga.
Alejandra Sánchez Montoya.
Xavier Pallàs García.
Unión General de trabajadores de Cataluña (UGT).
Titulares.
Rosa Pérez Bernalte.
Alex Trullàs Manonelles.
Judith Extremera Ortega.
Juan Sánchez González.
Jose Martínez Beltran.
Suplentes.
Silvia Franco Mas.
Silvia Castaño Gomez.
Raul Gisbert Barrué.
Sindicato de Enfermería de Cataluña (SATSE).
Titulares.
Anabel Torres Egea.
Miquel Oliveras Gisbert.
Rosa M. Famadas Lifante.
Suplentes.
Maria Jesús Figueroa Pena.
José David Garcia Fernández.
Montserrat Benaiges i Uroz.
Organizaciones patronales.
Unió Catalana d’Hospitals (La Unió).
Titulares.
Jordi Nonell Gregori.
Antoni Llamas Losilla.
Josep Vidal Negre.
Carles García Hernández.
Gabriel Nieto Fernández-Arroyo.
Héctor Cantero Carrascosa.
Suplentes.
Ramon Massaguer Meléndez.
Joan Mª Adserà Gebellí.
Manuel Álvarez del Castillo.
Pedro Flores Caparrós.
Xavier Magrans Grau.
Àngel Almansa Barra.
Consorci Associació Patronal Sanitària i Social (CAPSS).
Titulares.
Pilar Rol Miguel.
Lluís Gamell Álvarez.
Miquel Poch Reig.
Antonio Rodríguez Nieto.
Natàlia Codina Fuentefría.
Roser Casas Agut.
Asociació Catalana d’Entitats de Salut (ACES).
Titulares.
Pedro Ayesa Guix.
Suplentes.
David Macià Pajares.
Las partes acuerdan designar a Cristina Martínez Nieto como Presidenta de la Comisión paritaria y a Noelia Santiago Rey como Secretaria.
Según lo establecido en el artículo 13.9 del Convenio colectivo a efectos de comunicación se implementarán dos direcciones de correo electrónico, una gestionada por la Secretaria que será uch@uch.cat y la otra por la Presidenta, dicha dirección será comunicada a la siguiente reunión.
Las partes acuerdan establecer una reunión ordinaria mensual y todas aquellas extraordinarias que sean necesarias a petición de las partes. Las reuniones se harán de manera presencial y en línea, si las partes no acuerdan otro sistema previamente a la reunión.
Segundo. – Formalización de las tablas salariales del personal enfermero/a residente, relacionadas con el Acuerdo de Gobierno de fecha 31/01/2023.
Dando cumplimiento al punto cuarto de la Disposición adicional segunda del Convenio referenciado y según el procedimiento acordado en la Disposición transitoria quinta, las partes proceden a la firma de las tablas salariales correspondientes a la retribución mínima garantizada establecida para la enfermera y el enfermero residente en formación, aprobada por el Acuerdo de Gobierno de fecha 31/01/2023, actualizadas con el incremento del 2,5% correspondiente al año 2023.
Se adjunta a la presente Acta las tablas salariales firmadas.
Tercero. – Premios de fidelización.
– Consorcio Sanitario Alto Penedès-Garraf.
– Clínica Terres de l’Ebre.
Cuarto. – Resolución de consultas a la Comisión paritaria.
Cuarto. 1.- CP 1_III Convenio SISCAT (consulta sección sindical CCOO Hestia Palau).
Consulta relativa a interpretación del artículo 19.2 y 19.3 Jornada.
Se indica que la Empresa manifiesta al Comité de empresa la modificación del horario en fecha 1.01.2022 reduciendo 4 minutos diarios (no jornada entera).
También se indica que, como consecuencia del anterior, se eliminan las 5 jornadas anuales que se disfrutaban en concepto de exceso de cómputo y que se disfrutaron en el 2021 y que esta modificación al horario sólo afecta al personal de auxiliar de enfermería y tiene como consecuencia la reducción del disfrute de 5 jornadas anuales de exceso de cómputo, que por la última modificación del horario se disfrutó durante todo el 2021.
Desde la parte social se interpreta que el artículo 19.2 y 19.3 del Convenio, deja claro que no se puede modificar el horario en minutos y tiene que modificarse en jornadas cumplidas.
Ante esta discrepancia entre la interpretación se solicita interpretación a la Comisión paritaria (CP).
Respuesta de la CP con acuerdo.
Tal y como se indicaba en el artículo 19.3 del II Convenio colectivo «las reducciones de jornadas correspondientes a los ejercicios 2019 y 2020 se hará en jornadas enteras» y dado que el artículo 19.3 del III Convenio colectivo dice que «las reducciones de jornadas correspondientes a los ejercicios 2019 y 2020 se seguirán haciendo en jornadas enteras, tal y como establecía el Convenio en aquellos ejercicios», por lo tanto, se tiene que mantener esta reducción por jornadas enteras.
Cuarto 2.- CP 2 III Convenio SISCAT (consulta sección sindical CGT Hestia Palau).
Consulta relativa a interpretación del artículo 19.2 y 19.3 Jornada.
Se indica que la Empresa manifiesta al Comité de empresa la modificación del horario en fecha 1.01.2022 reduciendo 4 minutos diarios (no jornada entera).
También se indica que, como consecuencia de lo anterior, se eliminan las 5 jornadas anuales que se disfrutaban en concepto de exceso de cómputo y que se disfrutaron en el 2021 y que esta modificación al horario sólo afecta al personal de auxiliar de enfermería y tiene como consecuencia la reducción del disfrute de 5 jornadas anuales de exceso de cómputo, que por la última modificación del horario se disfrutó durante todo en el 2021.
Desde la parte social se interpreta que el artículo 19.2 y 19.3 del Convenio, deja claro que no se puede modificar el horario en minutos y tiene que modificarse en jornadas cumplidas.
Ante esta discrepancia en la interpretación se solicita interpretación a la Comisión Paritaria.
Respuesta de la CP con acuerdo.
Tal y como se indicaba en el artículo 19.3 del II Convenio colectivo «las reducciones de jornadas correspondientes a los ejercicios 2019 y 2020 se hará en jornadas enteras» y dado que el artículo 19.3 del III Convenio colectivo dice que «las reducciones de jornadas correspondientes a los ejercicios 2019 y 2020 se seguirán haciendo en jornadas enteras, tal como establecía el Convenio en aquellos ejercicios», por lo tanto, se tiene que mantener esta reducción por jornadas enteras.
Cuarto 3.- CP 3 III Convenio SISCAT (consulta sección sindical UGT, Fundación Sant Hospital de La Seu d’Urgell).
En referencia al artículo 42.2 del Convenio referenciado se solicita a la Comisión paritaria su conformidad con la siguiente interpretación: «que todos/as los/las trabajadores/as tienen derecho a 3 días laborables de libre disposición al año, independientemente de su porcentaje de jornada contratada o realizada, es decir, todos/todas los/las trabajadores/as a los que se aplica este Convenio colectivo, ya tengan contrato laboral a tiempo completo, contrato a tiempo parcial o estén en situación de reducción de jornada por cuidado de hijo/a u otro familiar».
Respuesta de la CP sin acuerdo.
Cuarto. 4.- CP 4 III Convenio SISCAT (consulta sección sindical UGT, Fundación Sant Hospital de La Seu d’Urgell) Referencia en el artículo 64.3 del Convenio referenciado se solicita a la Comisión paritaria su conformidad con la siguiente interpretación: «que todos/as los/las trabajadores/as tienen derecho a las 20 horas anuales de formación profesional para la ocupación, vinculado a la actividad de la Empresa, acumulables por un periodo de hasta cinco años, independientemente de su porcentaje de jornada contratada o realizada, es decir, ya tengan contrato laboral a tiempo completo, contrato a tiempo parcial o estén en situación de reducción de jornada por cuidado de hijo/a u otro familiar».
Respuesta de la CP con acuerdo.
El permiso por formación que se regula en el artículo 64 del Convenio, de 20 horas anuales de formación profesional para el empleo, vinculada a la actividad de la Empresa y acumulables por un periodo de hasta cinco años, se tiene que reconocer en los mismos términos para aquéllos que tengan un contrato a jornada completa que para aquéllos que tengan un contrato a tiempo parcial o con jornada reducida.
Cuarto. – 5.- CP 5 III Convenio SISCAT (consulta sección sindical UGT, Fundació Sant Hospital de La Seu d’Urgell).
En referencia al artículo 66 del Convenio referenciado se solicita a la Comisión paritaria su conformidad con la siguiente interpretación: «los trabajadores/as mayores de 50 años que opten por no ejercer el derecho de exonerarse de las guardias por razón de edad verán incrementados en un 10% los importes de la hora de guardia, tanto presencial como localizable».
Respuesta de la CP: sin acuerdo.
Los asistentes delegan la firma de la presente Acta y tablas salariales indicadas en el punto segundo a una persona por cada organización.
Las partes acuerdan nombrar excepcionalmente para esta reunión como Secretaria a Elena de la Campa Alonso y autorizan a Alda Mumbrú con DNI 46945761R para proceder a los trámites de registro delante la Autoridad laboral.
Y sin más asuntos a tratar se da por finalizada la reunión en las 14:50 del día indicado en el encabezamiento.
ACTA 2 (DOGC Núm. 8937 – 15.6.2023)
RESOLUCIÓN EMT/2024/2023, de 6 de junio, por la que se dispone la inscripción y la publicación del acta 2 de la Comisión paritaria del III Convenio colectivo de trabajo de los Hospitales de Agudos, Centros de Atención Primaria, Centros Sociosanitarios y Centros de Salud Mental, concertados con el Servicio Catalán de la Salud (código de convenio núm. 79100135012015).
Visto el texto del acta de la Comisión paritaria del III Convenio colectivo de trabajo de los Hospitales de Agudos, Centros de Atención Primaria, Centros Sociosanitarios y Centros de Salud Mental, suscrita en fecha 23 de marzo de 2023, para dar respuesta a temas diversos, por parte de la representación social por UGT, CCOO y SATSE, y por parte de la representación empresarial por la Unión Catalana de Hospitales, el Consorcio Asociación Patronal Sanitaria y Social y la Asociación Catalana de Entidades de Salud, y de acuerdo con lo que disponen el artículo 90.2 y 3 del Real decreto legislativo 2/2015, de 23 de octubre, por el que se aprueba el Texto Refundido de la Ley del Estatuto de los trabajadores; el artículo 2.1) del Real decreto 713/2010, de 28 de mayo, sobre registro y depósito de convenios colectivos, acuerdos colectivos de trabajo y planes de igualdad; el Decreto 35/2022, de 1 de marzo, de reestructuración del Departamento de Empresa y Trabajo y el artículo 6 de la Ley 26/2010, de 3 de agosto, de régimen jurídico y de procedimiento de las administraciones públicas de Cataluña,
Resuelvo:
-1 Disponer la inscripción del acta mencionada en el Registro de convenios colectivos, acuerdos colectivos de trabajo y planes de igualdad de la Dirección General de Relaciones Laborales, Trabajo Autónomo, Seguridad y Salud Laboral, con notificación a la Comisión paritaria.
-2 Disponer su publicación en el Diari Oficial de la Generalitat de Catalunya, previo cumplimiento de los trámites pertinentes.
Barcelona, 6 de junio de 2023.
Òscar Riu Garcia.
Director general Relaciones Laborales, Trabajo Autónomo, Seguridad y Salud Laboral.
ACTA 2 DE LA COMISIÓN PARITARIA DEL III CONVENIO COLECTIVO DE TRABAJO DE LOS HOSPITALES DE AGUDOS, CENTROS DE ATENCIÓN PRIMARIA, CENTROS SOCIOSANITARIOS Y CENTROS DE SALUD MENTAL, CONCERTADOS CON EL SERVICIO CATALÁN DE LA SALUD.
Asistentes.
Comisiones Obreras (CCOO).
Titular: José María Yagüe Polo, Cristina Martínez Nieto, Manuel Abia Ortiz, Javier Pallás García y Alejandra Sánchez Montoya.
Suplente: Juan Carlos Delgado Mesa.
Asesores: Paco Pareja Montañés y Jesús González Comabella.
Unión General de Trabajadores (UGT).
Titular: Rosa Pérez Bernalte, Alex Trullàs Manonelles, Judith Extremera Ortega, Jose Martínez Beltran, Silvia Franco Mas.
Suplente: Raül Gisbert Barrué.
Asesor: Joan Barrachina Casals.
Sindicato de Enfermería (SATSE).
Titular: Anabel Torres Egea, Miguel Oliveras Gisbert y Rosa M. Famadas Lifante.
Suplente: Montserrat Benaiges y Uroz.
Asesor: Jesús Carlos Garcia Reig.
Organizaciones patronales.
Unión Catalana de Hospitales (La Unió).
Titulares: Jordi Nonell Gregorio, Antoni Llamas Losilla, José Vidal Negre, Gabriel Nieto Fernández-Arroyo, Ángel Almansa Barra y Elena de la Campa Alonso.
Asesores: Paco Carretero Palomares.
Consorcio Asociación Patronal Sanitaria y Social (CAPSS).
Titular: Pilar Rol Miguel y Miquel Poch i Reig.
Asesora: Abigail Blanco Cumplido.
Asociación Catalana de Entidades de Salud (ACES).
Titular: Joan Deu y Cano.
En Barcelona, a 23 de marzo de 2023 a las 16:00 horas se reúnen los componentes de la Comisión paritaria del III Convenio colectivo de trabajo de los hospitales de agudos, centros de atención primaria, centros sociosanitarios y centros de salud mental, concertados con el Servicio Catalán de la Salud para tratar los siguientes temas:
ORDEN DEL DÍA.
Aprobación del calendario de reuniones ordinarias 2023 y formato de las mismas.
Aprobación de los premios de fidelidad comunicados hasta el 23 de marzo de 2023.
Tratamiento de las consultas recibidas hasta el 16 de marzo de 2023.
ACUERDOS.
Primero. Aprobación del calendario de reuniones y formato.
Las partes acuerdan el calendario de reuniones ordinarias que se detalla a continuación para el año 2023, pudiéndose realizar todas las reuniones extraordinarias que las partes estimen oportunas. Las fechas previstas podrán ser anuladas por las partes si no existen cuestiones a tratar.
23 de marzo (jueves).
20 abril (jueves).
23 mayo (martes).
29 junio (jueves).
11 julio (martes) Fecha reservada pendiente de verificación en función de los casos recibidos y/o premios de fidelización.
21 septiembre (jueves).
19 octubre (jueves).
21 noviembre (martes).
19 diciembre (martes). Fecha reservada pendiente de verificación en función de los casos recibidos y/o premios de fidelización.
Las reuniones se realizarán presencialmente en la sede de La Unió (c. Valencia 333) a las 16:00, si no solicitan y acuerdan las partes, previamente a la reunión, que se efectúe online.
Se establecen como emails válidos de recibimiento de consultas en la Comisión paritaria uch@uch.cat y 3conveni.siscat.paritaria@gmail.com, dando por válidas las consultas recibidas en cualquiera de las dos direcciones con fecha límite siete días antes de la siguiente reunión.
Las actas se confeccionarán indicando el artículo y/o temática a que se refiere la consulta y constarán como documentos adjuntos las consultas integras recibidas.
Segundo. Aprobación de los premios de fidelización.
Hospital General de Granollers.
Hermanas Hospitalarias, Hospital Sagrat Cor (Martorell).
Consorcio Sanitario Integral.
Banco de Sangre y Tejidos.
Tercero. Resolución de consultas a la Comisión paritaria.
3.1.- CP 6 III Convenio SISCAT (consulta trabajador Banco de Sangre y Tejidos).
Consulta relativa a interpretación del artículo 42.1.i del Convenio.
Respuesta de la CP: Sin acuerdo.
3.2.- CP 7 III Convenio SISCAT (consulta sección Sindical Médicos de Cataluña Fundació Puigvert).
Consulta relacionada con los criterios de definición de los distintos niveles del plus de responsabilidad (1, ll y lll) por las categorías 1,2,4,5 y 6.
Respuesta de la CP: No es competencia de la Comisión paritaria y nos remitimos a lo establecido en el artículo 31.
3.3.- CP 8 III Convenio SISCAT.
Se deriva comunicación por parte de la Secretaría Técnica de la Mesa de trabajo para la armonización de las condiciones laborales y económicas del personal que trabaja en las entidades que prestan servicios de atención a la salud mediante centros integrados en el sistema sanitario integral de utilización pública de Cataluña (SISCAT) y no se trata por no corresponder a esta Comisión paritaria.
3.4.- CP 9 III Convenio SISCAT (Dirección de personas del Consorcio Sanitario Integral).
Consulta relativa al artículo 75, apartado tercero 2.3.1.b).
Respuesta de la CP:
La aportación por parte de un/a odontólogo/a del Máster en periodoncia con carga lectiva de 145,5 créditos y la acreditación certificada de su reconocimiento como socio/a titular especialista de la Sociedad Española de Periodoncia y Osteointegración, no supone la equiparación a especialista titulado a efectos del reconocimiento de los niveles de carrera B, C y D.
3.5.- CP 10 III Convenio SISCAT (consulta Dirección de personas Hospital General de Granollers).
Consulta relacionada con el premio de fidelización.
Respuesta de la CP:
Se acuerda tratar la consulta en la próxima paritaria y crear un grupo de trabajo para analizar la casuística relativa a esta cuestión.
3.6.- CP 11 III Convenio SISCAT (Comité de empresa del Consorcio Sanitario de Terrassa).
Consulta relativa al artículo 36.4 del Convenio.
Respuesta de la CP:
Se aplicará lo establecido en los artículos 34.2 y 36.4 del Convenio.
No pudiéndose tratar, por cuestiones de tiempo, las consultas a la paritaria 12 a 18 se derivan a la próxima reunión de la Comisión prevista para el 20 de abril.
Los asistentes delegan la firma de la presente acta a una persona por cada organización.
Y sin más asuntos que tratar se da por finalizada la reunión a las 18:00 del día indicado en el encabezamiento.
ACTA 3 (DOGC Núm. 8937 – 15.6.2023)
RESOLUCIÓN EMT/2026/2023, de 6 de junio, por la que se dispone la inscripción y la publicación del acta 3 de la Comisión paritaria del III Convenio colectivo de trabajo de los Hospitales de Agudos, Centros de Atención Primaria, Centros Sociosanitarios y Centros de Salud Mental, concertados con el Servicio Catalán de la Salud (código de convenio núm. 79100135012015).
Visto el texto del acta de la Comisión paritaria del III Convenio colectivo de trabajo de los Hospitales de Agudos, Centros de Atención Primaria, Centros Sociosanitarios y Centros de Salud Mental, suscrita en fecha 20 de abril de 2023, por dar respuesta a temas diversos, por parte de la representación social por UGT, CCOO y SATSE, y por parte de la representación empresarial por la Unión Catalana de Hospitales, el Consorcio Asociación Patronal Sanitaria y Social y la Asociación Catalana de Entidades de Salud, y de acuerdo con lo que disponen el artículo 90.2 y 3 del Real decreto legislativo 2/2015, de 23 de octubre, por el que se aprueba el Texto Refundido de la Ley del Estatuto de los trabajadores; el artículo 2.1) del Real decreto 713/2010, de 28 de mayo, sobre registro y depósito de convenios colectivos, acuerdos colectivos de trabajo y planes de igualdad; el Decreto 35/2022, de 1 de marzo, de reestructuración del Departamento de Empresa y Trabajo y el artículo 6 de la Ley 26/2010, de 3 de agosto, de régimen jurídico y de procedimiento de las administraciones públicas de Cataluña,
Resuelvo:
-1 Disponer la inscripción del acta mencionada en el Registro de convenios colectivos, acuerdos colectivos de trabajo y planes de igualdad de la Dirección General de Relaciones Laborales, Trabajo Autónomo, Seguridad y Salud Laboral, con notificación a la Comisión paritaria.
-2 Disponer su publicación en el Diari Oficial de la Generalitat de Catalunya, previo cumplimiento de los trámites pertinentes.
Barcelona, 6 de junio de 2023.
Òscar Riu Garcia.
Director general de Relaciones Laborales, Trabajo Autónomo, Seguridad y Salud Laboral.
ACTA 3 DE LA COMISIÓN PARITARIA DEL III CONVENIO COLECTIVO DE TRABAJO DE LOS HOSPITALES DE AGUDOS, CENTROS DE ATENCIÓN PRIMARIA, CENTROS SOCIOSANITARIOS Y CENTROS DE SALUD MENTAL, CONCERTADOS CON EL SERVEI CATALÀ DE LA SALUT.
Asistentes.
Organizaciones sindicales.
Comisiones Obreras CCOO.
Titulares: Cristina Martínez Nieto, José María Yagüe Polo, Juan Carlos Delgado Mesa, Francisca Cruz Cortés y Alejandra Sánchez Montoya.
Suplentes: Manel Abia Ortiz y Xavier Pallàs García.
Asesores: Paco Pareja Montañés y Jesús González Comabella.
Unión General de Trabajadores (UGT).
Titulares: Rosa Pérez Bernalte, Alex Trullàs Manonelles, Judith Extremera Ortega, Juan Sánchez González y Jose Martínez Beltrán.
Suplentes: Raúl Gisbert Barrué y Silvia Franco Mas.
Sindicato de Enfermería (SATSE):
Titulares: Anabel Torres Egea, Miguel Oliveras Gisbert y Rosa M. Famadas Lifante.
Suplentes: Ma Jesús Figueroa Pena y J. David Garcia Fernández.
Asesor: Jesús Carlos Garcia Reig.
Organizaciones patronales.
Unión Catalana de Hospitales (La Unió).
Titulares: Jordi Nonell Gregori, Carlos García Hernández, Antonio Llamas Losilla, Xavier Magrans Grau, Ángel Almansa Barra y Gabriel Nieto Fernández-Arroyo.
Asesores: Paco Carretero Palomares y Alda Mumbrú López.
Consorcio Asociación Patronal Sanitaria y Social (CAPSS):
Titulares: Mariona Casanovas Corominas, Natalia Codina Fuentefria, Antonio Rodríguez Nieto y Pilar Rol Miguel.
Asesora: Abigail Blanco Cumplido.
Asociación Catalana de Entidades de Salud (ACES).
Titular: Pedro Ayesa Guix.
Asesor: Daniel Cubero Díaz.
En Barcelona, a 20 de abril de 2023 a las 16.00 horas se reúnen en la sede de La Unió (c. Valencia 333) los componentes de la Comisión paritaria del III Convenio colectivo de trabajo de los hospitales de agudos, centros de atención primaria, centros sociosanitarios y centros de salud mental, concertados con el Servicio Catalán de la Salud para tratar los siguientes temas:
ORDEN DEL DÍA.
1.- Aprobación de los premios de fidelización comunicados hasta el 20 de abril de 2023.
2.- Conclusiones del grupo de trabajo de interpretación del nuevo redactado del artículo 29 (plus Vinculación).
3.-Tratamiento de las consultas recibidas hasta el 13 de abril de 2023 (según disponibilidad de tiempo).
ACUERDOS.
Primero. Aprobación de los premios de fidelización.
Hermanas Hospitalarias, Hospital Sagrat Cor (Martorell).
Fundación Asistencial Mútua Terrassa.
Gestión Pío Hospital de Valls, SA.
Consorcio Sanitario de Terrassa.
Segundo. Conclusiones del grupo de trabajo de interpretación del nuevo redactado del artículo 29 (plus Vinculación).
Respecto al plus Vinculación del artículo 29 del Convenio, la Comisión paritaria acuerda aprobar las siguientes conclusiones del grupo de trabajo de interpretación del citado artículo.
Hasta el 31 de diciembre de 2022.
Todas las empresas tendrán que contabilizar los días efectivamente trabajados de todas sus personas trabajadoras desde la fecha en la que ingresaron por primera vez en la empresa y que no se habían contabilizado a efectos de antigüedad porque la interrupción entre contratos era superior a los 30 días.
Todas las empresas tendrán que contabilizar los días que ya habían reconocido a sus trabajadores a efectos de antigüedad, a pesar de que no hayan sido efectivamente trabajados.
De los dos cálculos realizados, se tomará el número de días que sea más favorable para cada trabajador.
Se procederá a actualizar, en su caso:
El plus vinculación, cuyo importe empezará a percibirse desde el 1 de enero de 2023 y no generará retrasos salariales (artículo 29).
El número de días para calcular la fecha en la que la persona trabajadora tiene derecho al premio de fidelización (artículo 29).
El número de días en caso de que la persona trabajadora aún no haya accedido a percibir la retribución anual complementaria, no generándose retrasos salariales (artículo 33).
El número de días en caso de que la persona trabajadora aún no haya accedido al nivel A de SIP o SIPDP, no generándose retrasos salariales (artículo 75).
Se mantendrá activo el grupo de trabajo de interpretación del nuevo redactado del artículo 29 (plus Vinculación) para poder analizar otras casuísticas relacionadas.
A partir del 1 de enero de 2023:
Se aplicará lo establecido en el III Convenio colectivo sobre la prestación efectiva de servicios.
Tercero. Resolución de consultas en la Comisión paritaria.
CP 10 III Convenio SISCAT (consulta dirección de personas Hospital general de Granollers).
Con el nuevo sistema de conteo de la antigüedad, una trabajadora carece de 600 días para cumplir los 25 años. Con el conteo anterior sí los tiene. ¿Cómo debemos interpretarlo en estos casos? ¿Se hace como la antigüedad que el trabajador no puede perderla con el conteo nuevo? ¿O se revisa si con el premio de fidelización y el conteo nuevo no se alcanzan los 25 años, entendidos como días de servicios prestados en la empresa/365?.
Respuesta de la CP:
Nos remitimos a la interpretación acordada en el punto segundo, conclusiones del grupo de trabajo de interpretación del nuevo redactado del artículo 29 (plus Vinculación).
CP 12 III Convenio SISCAT (sección sindical de UGT del Hospital de Sant Joan Despí Moisés Broggi).
En el artículo 42.1 punto d), en lo referente al permiso de 14 horas por visitas médicas dentro del Servicio Catalán de la Salud, se ha reconocido el derecho del personal del turno de noche, ya sea la noche anterior o posterior.
Pedimos que esta consideración sea extendida en el punto 42.1,i): Las madres y padres, o tutores legales, con hijos con discapacidad superior al 33%, tienen el derecho, conjuntamente, o permisos de ausencia del puesto de trabajo para poder asistir a reuniones o visitas en los centros educativos, sanitarios donde reciban soporte.
Pedimos que las madres y padres de hijos con discapacidades superiores al 33% que trabajan en el turno de noche, puedan disfrutar del permiso la noche anterior para poder asistir a reuniones o visitas de los centros educativos o sanitarios, como el resto de trabajadores amparados en este Convenio.
Respuesta de la CP: Sin acuerdo.
CP 13 III Convenio SISCAT (sección sindical de UGT del Hospital Fundación Hospital Sant Joan de Deu de Martorell).
El pasado año 2022, 4 personas y otra más en el año 2023, de la Fundación con más de 30 años de vinculación con la entidad solicitaron la jubilación parcial compactando la jornada; todas cumplían los requisitos para acceder a ellos, según normativa legal vigente. La FHSJDM les denegó el derecho a acogerse en esta jubilación alegando el coste económico que supone para la empresa.
La sección sindical de UGT entendemos que según el artículo 55 del convenio aplicable SISCAT ll y del SISCAT III, la empresa está obligada a permitirles la jubilación parcial a todas las personas trabajadoras que cumplan los requisitos establecidos en la normativa legal vigente.
Respuesta de la CP:
Nos remitimos a lo indicado en el artículo 55 del convenio.
CP 14 III Convenio SISCAT (sección sindical de UGT del Hospital Fundación Hospital Sant Joan de Deu de Martorell).
Desde finales de 2022, la FHSJDM dejó de pagar los pluses del sábado, domingo y festivos, de las horas trabajadas en estos días por encima de su jornada. La sección sindical de UGT entiende que estas horas, si se trabajan en sábado, domingo o festivos deben pagarse con los pluses correspondientes, tal y como recoge el artículo 32 del tercer convenio SISCAT, y 36.4.3 del segundo Convenio SISCAT
Respuesta de la CP:
El trabajo en sábado, domingo o festivos se remunerará con los pluses previstos en el anexo 10, siempre y cuando estas jornadas no tengan la consideración de guardias o de horas extraordinarias, en cuyo caso se remunerarán según corresponda.
CP 15 III Convenio (sección sindical de UGT del Hospital Fundación Hospital Sant Joan de Deu de Martorell).
La FHSJDM determina para sus trabajadores/as que por las jornadas irregulares dos de los tres días de libre disposición son días cortos y el resto es decisión del trabajador. Se da la casuística de que hay personas trabajadoras con jornada irregular en la que trabajan dos días cortos (6h) y dos días largos (11h); la UGT entendemos que en estos casos segundo describe el Convenio de aplicación SISCAT ll y SISCAT lll en su artículo 42.2: dos de estos días serán en su jornada anual prevaleciendo en cómputo días/año…
La sección sindical de UGT entendemos que la jornada prevalente en estos casos es el que más número de horas se trabaja, y por tanto estos dos días deberían ser días largos y no cortos.
Respuesta de la CP:
La jornada prevalente es la jornada diaria que más se repite en el total del cómputo días/año, según lo indicado en el artículo 42.2.
Las partes acuerdan fijar extraordinariamente el horario por la próxima reunión a las 15:00 horas.
Los asistentes delegan la firma de la presente acta a una persona por cada organización.
Las partes acuerdan nombrar excepcionalmente por esta reunión como secretaria a Elena de la Campa Alonso y autorizan a Alda Mumbrú López, con DNI 46945761R, para proceder a realizar los trámites de registro ante la Autoridad laboral tanto de esta acta como de la del pasado día 23 de marzo de 2023.
Y sin más asuntos que tratar se da por finalizada la reunión a las 18.00 horas del día indicado en el encabezamiento.
ACTA (DOGC Núm. 8939 – 19.6.2023)
RESOLUCIÓN EMT/2085/2023, de 6 de junio, por la que se dispone la inscripción y la publicación del acta de la Comisión paritaria del III Convenio colectivo de trabajo de los Hospitales de Agudos, Centros de Atención Primaria, Centros Sociosanitarios y Centros de Salud Mental, concertados con el Servicio Catalán de la Salud (código de convenio núm. 79100135012015).
Visto el texto del acta de la Comisión paritaria del III Convenio colectivo de trabajo de los Hospitales de Agudos, Centros de Atención Primaria, Centros Sociosanitarios y Centros de Salud Mental, suscrita en fecha 23 de mayo de 2023, para dar respuesta a temas diversos, por parte de la representación social por UGT, CCOO y SATSE, y por parte de la representación empresarial por la Unión Catalana de Hospitales, el Consorcio Asociación Patronal Sanitaria y Social y la Asociación Catalana de Entidades de Salud, y de acuerdo con lo que disponen el artículo 90.2 y 3 del Real decreto legislativo 2/2015, de 23 de octubre, por el que se aprueba el Texto Refundido de la Ley del Estatuto de los trabajadores; el artículo 2.1) del Real decreto 713/2010, de 28 de mayo, sobre registro y depósito de convenios colectivos, acuerdos colectivos de trabajo y planes de igualdad; el Decreto 35/2022, de 1 de marzo, de reestructuración del Departamento de Empresa y Trabajo y el artículo 6 de la Ley 26/2010, de 3 de agosto, de régimen jurídico y de procedimiento de las administraciones públicas de Cataluña.
Resuelvo:
-1 Disponer la inscripción del acta mencionada en el Registro de convenios colectivos, acuerdos colectivos de trabajo y planes de igualdad de la Dirección General de Relaciones Laborales, Trabajo Autónomo, Seguridad y Salud Laboral, con notificación a la Comisión paritaria.
-2 Disponer su publicación en el Diari Oficial de la Generalitat de Catalunya, previo cumplimiento de los trámites pertinentes.
Barcelona, 6 de junio de 2023.
Òscar Riu García.
Director general de Relaciones Laborales, Trabajo Autónomo, Seguridad y Salud Laboral.
ACTA 4 DE LA COMISIÓN PARITARIA DEL III CONVENIO COLECTIVO DE TRABAJO DE LOS HOSPITALES DE AGUDOS, CENTROS DE ATENCIÓN PRIMARIA, CENTROS SOCIOSANITARIOS Y CENTROS DE SALUD MENTAL, CONCERTADOS CON EL SERVICIO CATALÁN DE LA SALUD.
Asistentes.
Organizaciones sindicales.
Representantes de los trabajadores.
Comisiones Obreras (CCOO).
Cristina Martínez Nieto, José María Yagüe Polo, Francisco Cruz Cortés, Manuel Abia Ortiz, Juan Carlos Delgado, Alejandra Sánchez Montoya y Javier Pallás García.
Asesores: Paco Pareja Montañés.
Unión General de Trabajadores (UGT).
Rosa Pérez Bernalte, Alex Trullàs Manonelles, Judith Extremera Ortega, Juan Sanchez González, Jose Martínez Beltran, Silvia Castaño Gómez y Raül Gisbert Barrué.
Sindicato de Enfermería (SATSE):
Anabel Torres Egea, Miguel Oliveras Gisbert, Rosa Mª Famadas Lifante y María Jesús Figueroa Pena.
Asesor: José David García Fernández.
Organizaciones patronales:
Unión Catalana de Hospitales (La Unió):
Carlos García Hernández, Gabriel Nieto, Antonio Llamas Losilla, Ángel Almansa y Elena de la Campa Alonso.
Asesores: Paco Carretero Palomares y Alda Mumbrú López.
Consorcio Asociación Patronal Sanitaria y Social (CAPSS):
Pilar Rol Miguel y Antonio Rodríguez Nieto.
Asesora: Abigail Blanco Cumplido.
Asociación Catalana de Entidades de Salud (ACES).
Juan Dios y Cano.
Asesores: Dani Cubero Díaz.
Presidenta: Cristina Martínez Nieto.
Secretaría: Noelia Santiago Rey.
En Barcelona, a 23 de mayo de 2023 a las 15:00 horas se reúnen los componentes de la Comisión paritaria del III Convenio colectivo de trabajo de los Hospitales de Agudos, Centros de Atención Primaria, Centros Sociosanitarios y Centros de Salud Mental, concertados con el Servicio Catalán de la Salud para tratar los siguientes temas:
Orden del día.
Aprobación de los premios de fidelidad comunicados hasta el 23 de mayo de 2023.
Tratamiento de las consultas recibidas hasta el 15 de mayo de 2023.
Acuerdos
Primero.
Aprobación de los premios de fidelización.
Fundación San Francisco de Assis.
Fundación Privada Hospital Asilo de Granollers.
Segundo.
Resolución de consultas en la Comisión paritaria.
CP 16 III Convenio SISCAT (sección sindical de UGT del Hospital Fundación Hospital Sant Joan de Deu de Martorell).
La FHSJDM determina que los días de permiso por causa de muerte de un familiar comienzan desde la fecha del hecho causante, por tanto, si el hecho causado se produce ante el fin de semana o día no laboral, se pierden días de permiso. La sección sindical de UGT entiende que según el artículo 42.1.b.3: En relación a los permisos por muerte de cónyuge, pareja de hecho o familiares hasta 2º grado de consanguinidad o afinidad, la fecha de inicio de disfrute de estos permisos será el primer día laborable siguiente al hecho causante de que es aquél que la persona trabajadora tiene estipulado en su calendario.
Respuesta de la CP:
Se aplicará lo establecido en el artículo 42.1. b del Convenio. Y por tanto, el inicio del disfrute será el primer día laborable de la persona trabajadora siguiente al del hecho causante.
CP 17 III Convenio (sección sindical de UGT del Servicio del SEVAD y DISCAPACIDAD del CSI).
Se retira.
CP18 III Convenio SISCAT (Sanidad UGT).
El Consorcio del Centro de Terminología TERMCAT, es el centro de terminologia de la lengua catalana, creado en 1985 por la Generalidad de Cataluña i el TERMCAT define el permiso laboral retribuído como: Autorización administrativa concedida a un trabajador o una trabajadora para ausentarse del puesto de trabajo por una circunstancia concreta, con derecho a retribución, que no comporta la interrupción de la relación laboral.
En el artículo 42 de nuestro Convenio de los permisos retribuidos, el apartado b.3, respecto al permiso por hospitalización, enfermedad grave y/o muerte de un familiar se detalla textualmente: Este permiso se podrá disfrutar, a elección de la persona trabajadora, durante todo el período que dure el proceso, y desde el inicio del hecho causante. En caso de enfermedad grave, los días de disfrute pueden ser tanto consecutivos como de forma discontinua. En relación con los permisos por muerte de cónyuge, pareja de hecho o familiares hasta el 2º grado de consanguinidad o afinidad, la fecha de inicio de disfrute de estos permisos será el primer día laborable siguiente al del hecho causante.
Entendemos que, por la misma lógica en que debe empezar el permiso el primer día laborable siguiente al del hecho causante (la muerte de un familiar), los otros dos días tendrán que ser coincidentes también con otros días laborales (disfrute de forma discontinua). Lo contrario (aplicarlo en días no laborales) no comportaría ninguna ausencia del trabajo y, por tanto, no se podría gozar del derecho de ningún permiso.
Tal y como se recoge en el Estatuto de los trabajadores previa Sentencia del Tribunal Superior, los magistrados de la Sala de lo Social argumentaron que la rúbrica del precepto convencional permisos retribuidos nos muestra que los permisos se conceden para su disfrute en días laborables, ya que en festivos no es necesario pedirlos porque no se trabaja. En consecuencia, si el día en que se produce el hecho de que justifica el permiso no es laborable está claro que no se inicia el permiso por matrimonio, nacimiento de hijo o fallecimiento de familiar hasta el primer día laborable siguiente.
Indicaron también sobre el comienzo de los permisos contemplados que el día inicial no puede ser un día feriado ya que el texto habla de ausentarse del trabajo, por lo que deberá contarse a partir del primer día laborable. Además, los jueces sostienen que otra solución podría llevar al absurdo de privar del permiso, o de días de permiso, en los supuestos en que el hecho causante se convierte en el inicio de varios días festivos seguidos, lo que es contrario al espíritu del artículo 37.3, al Estatuto de los trabajadores y en la norma convencional.
Entendemos que si todo aquello se aplica como la justicia sentencia y la Generalidad nos ilustra, debe quedar aclarado que el primer día laboral en disfrutar de permiso laboral retribuido es el primer día laboral coincidente o posterior al hecho causante y se han poder disfrutar también de forma discontinua (si es necesario) para que el resto de días coincidan en días laborales.
Fuentes y argumentación jurídica.
1. Los permisos retribuidos a los que la ley no fija otra regla distinta de cómputo se disfrutarán a partir del momento en que, en efecto, el trabajador deba dejar de acudir al trabajo (día laborable) y no de una fecha en la que no tenía esta obligación. El Tribunal Supremo reitera doctrina (Sentencia del TS de 30 de mayo de 2022). En la sentencia, el Tribunal Supremo hace un exhaustivo repaso de la jurisprudencia en la materia y estima el recurso de casación interpuesto por la Federación Estatal de Servicios Movilidad y Consumo de la Unión General de Trabajadores (UGT). El TS recuerda que esta Sala tiene una reiterada y consolidada doctrina sobre la cuestión planteada respecto al período de disfrute de permisos y licencias retribuidas reconocidas en Convenio colectivo. Se trata de las SSTS 14512018, de 13 de febrero de 2018, aclarada por interlocutoria de 10 de mayo de 2018 (rec. 266/2016); 22612020, 11 de mayo de 2020 (rec. 18812018); 22912020, 11 de mayo de 2020, (rec, 19212018); 25712020, 17 de mayo de 2020 (rec. 19312018); 63612020, 9 de julio de 2020 (rec. 19812018); 81112020, de 29 de setiembre de 2020 (rec.24412018); i 18912022, 24 de febrero de 2022 (rec. 17612021). La doctrina de esta Sala, plasmada en las sentencias que se han citado, subraya que, ya que, si el hecho de que origina el derecho al permiso ocurre en un momento distinto del tiempo de trabajo (suspensión del contrato, vacaciones, disfrute de otro permiso diferente, …).
2. https://www.term.cat.ca/cercaterm/fitxa/NDMyMTqzMg%3D%3D.
Solicitamos que como en el caso de enfermedad grave y/u hospitalización, los días comunicados del permiso laboral retribuido puedan ser disfrutados tanto de forma consecutiva como de forma discontinua también en el caso del permiso de defunción.
Respuesta de la CP:
Sin acuerdo.
CP 19 III Convenio SISCAT (Sanidad CCOO).
Incidencia.
Se ha detectado que alguna empresa del sector ha indicado que a los grupos 1 a 3 no les resulta de aplicación el descanso del artículo 24.
Artículo 24. Festivos intersemanales del personal de los grupos 4, 5, 6 y 7.
Con independencia de los 14 días festivos intersemanales fijados en el calendario oficial del Departamento de Empresa y Empleo, todo el personal de los grupos 4, 5, 6 y 7 dispondrá, por aplicación de Convenio, de dos días más de fiesta, un día por Semana Santa y el otro en Navidad, que también se podrán disfrutar dentro de las dos semanas anteriores y posteriores a la que coincida con la de Semana Santa o con la de Navidad (a disfrutar en jornadas enteras). Uno de estos dos días tendrá la consideración de jornada efectivamente trabajada.
Interpretación propuesta por CCOO.
Entendemos que la interpretación correcta del artículo 24 determina igual tratamiento para todos los grupos del 1 al 7 respecto a la mejora acordada, es decir, reconoce el derecho también a los grupos del 1 al 3 y que uno de estos dos días adicionales, de Semana Santa o Navidad, se les considere como de jornada efectivamente trabajada.
Respuesta de la CP:
Entendemos que hace referencia al artículo 23, y que efectivamente, todas las personas trabajadoras de todos los grupos profesionales deben disfrutar de dos días más de fiesta, con independencia de los festivos intersemanales oficiales, uno de ellos con la consideración de jornada efectivamente trabajada.
CP 20 III Convenio SISCAT (Comité de empresa del Hospital Comarcal de Blanes, ABS Lloret- Tossa Centro de Rehabilitación de Fenales y Almacén de Blanes).
Discrepancia entre la Dirección de los centros de la Corporación de Salud del Maresme y la Selva y la parte social respecto a la interpretación del artículo 42.1.c, del Tercer convenio de los Hospitales de Agudos, Centros de atención Primaria, Centros Sociosanitarios y Centros de Salud Mental, concertados con el SCS que dice:
c. De dos días laborables por hospitalización (incluida la hospitalización domiciliaria) o cirugía mayor ambulatoria de parientes hasta el segundo grado por consanguinidad o afinidad, o de la persona con la que conviva la persona trabajadora, formando una pareja de carácter estable. Si los hechos ocurren en localidades fuera de Cataluña, el permiso será de cuatro días naturales.
La situación de intervención quirúrgica sin hospitalización que precise reposo domiciliario recogida en el artículo 37.3.b) del Real Decreto Legislativo 2/2015, de 23 de octubre, por el que se aprueba el texto refundido de la Ley del Estatuto de los trabajadores, debe entenderse comprendida dentro de este supuesto.
Este permiso podrá disfrutarse, a elección de la persona trabajadora, de forma fraccionada (fracciones mínimas de un día) mientras dure el proceso de hospitalización y hasta cuatro días inmediatamente posteriores al alta hospitalaria.
Se asimila a la hospitalización a efectos de este permiso, las estancias en urgencias de familiares de primer grado por consanguinidad o afinidad, por adopción y por guarda con fines de adopción y acogimiento, que sean superiores a 24 horas. En este caso, el permiso se disfrutará mientras dure la estancia en urgencias y tendrá una duración máxima de dos días.
Según el Estatuto de los trabajadores o el artículo 37.3 dice:
3. El trabajador, previo aviso y justificación, podrá ausentarse del trabajo, con derecho o remuneración, por alguno de los motivos y por el tiempo siguiente:
b) Dos días por muerte, accidente o enfermedad graves, hospitalización o intervención quirúrgica sin hospitalización que necesite reposo domiciliario, de parientes hasta el segundo grado de consanguinidad o afinidad. Cuando con tal motivo la persona trabajadora necesite realizar un desplazamiento al efecto, el plazo será de cuatro días.
Según el acuerdo de normativa interna de uso de permisos, en su punto 3, dice:
3. De 2 días naturales por hospitalización, incluida la hospitalización domiciliaria y cirugía mayor ambulatoria de parientes hasta o segundo grado de consanguinidad o afinidad o pareja estable.
Según el manual de definiciones del sistema de información de atención especializada, del Ministerio de Sanidad, dice:
Hospitales de media y larga estancia:
Son hospitales destinados o la atención de pacientes que necesitan cuidados sanitarios, en general de baja complejidad, por procesos crónicos o por tener reducido el grado de independencia funcional por la actividad cotidiana, pero que no se pueden proporcionar a su domicilio, y requieren un período prolongado de internamiento.
Desde la Dirección de RRHH, se están denegando los permisos retribuidos del citado artículo, cuando vienen derivados de una hospitalización a larga estancia. La dirección de RRHH interpreta que no considera ésta como una hospitalización, y que este permiso sólo se da en caso de hospitalización de agudos. Este Comité no ha encontrado ningún lugar donde diga que este permiso sólo podrá darse en estas circunstancias. Entendemos que el permiso no se puede pedir dos veces, bajo el mismo motivo que provoca el ingreso en hospital de agudos, si después hay un ingreso posterior a larga estancia, pero si se da la circunstancia de que el trabajador no ha pedido el permiso por hospitalización en agudos y después el familiar pasa a hospitalización de larga estancia, entonces tiene el derecho de pedir el permiso.
Por este motivo se ruega la interpretación de la Comisión paritaria en esta cuestión.
Respuesta de la CP:
Se pedirá aclaración sobre el tipo de ingreso respecto al que se ha denegado el permiso.
CP 21 III Convenio SISCAT (Sanidad SATSE).
Nos dirigimos a ustedes para dar aclaración a una denegación de las 20 horas de formación para realizar jornadas o congresos, en el hospital de Vic, con el argumento de que: las ferias, congresos y seminarios no se consideran acción formativa y por tanto no pueden contemplarse dentro del permiso de las 20 h. Han denegado un congreso de enfermería Oftalmológica quirúrgica a una enfermera quirúrgica.
Según el Il Convenio SISCAT en su artículo 64, especifica que se entiende por formación continuada cualquier proceso de aprendizaje (conjunto de conocimientos, habilidades y actitudes) orientado a actualizar y/o mejorar las competencias de las personas trabajadoras. La formación continua se realiza a lo largo de toda la vida laboral y se inicia al finalizar los estudios para ejercer la actividad correspondiente de las profesiones sanitarias y no sanitarias.
Los congresos, seminarios, jornadas y ferias son reuniones en las que comparten, la misma profesión o actividad y se presentan conferencias o exposiciones sobre temas relacionados con su trabajo e intercambian conocimientos, novedades sobre temas que se relacionan con la profesión, y debates sobre los temas.
Es más, dentro del Convenio, en el artículo del Sistema de Incentivación, Promoción y Desarrollo profesional, las jornadas y congresos forman parte de la formación continuada y son tratados en este apartado.
Por este motivo, consideramos que los congresos, jornadas y seminarios son acción formativa, por lo que deben poder concederse como horas de formación, dentro de las 20h que el Convenio refleja, cuando la persona trabajadora así lo pide.
Respuesta de la CP:
Los congresos, jornadas y seminarios son acción formativa y pueden estar incluidos dentro de las 20 horas siempre que se cumplan los requisitos establecidos en el artículo 64.3.
CP 22 III Convenio SISCAT (Comité de empresa del Hospital Comarcal de Blanes, ABS Lloret- Tossa Centro de Rehabilitación de Fenales y Almacén de Blanes).
No se vuelve a reproducir porque obedece literalmente a la propia CP 20.
Respuesta de la CP:
Se elimina por repetida, CP20.
CP 23 III Convenio SISCAT (sección sindical SMC Fundació Puigvert).
Atendiendo a la no competencia de la Comisión paritaria en la definición de estos niveles, y que ni en el artículo 31 ni en el resto del articulado del tercer convenio SISCAT se definen estos niveles, le agradeceríamos que nos comunique de quién depende la definición de estos niveles, o en qué reglamento, ley, decreto, instrucción… la podemos encontrar. No entendemos que una clasificación que aparece en las tablas salariales, y que determina diferencias retributivas, no se acompañe de su pertinente definición para resolver dudas en la adjudicación de los diferentes niveles. En cambio, agradecemos sinceramente que en el artículo 15 del Convenio, a diferencia de los anteriores convenios, sí se haya especificado la definición de los diferentes niveles de clasificación de las diferentes profesiones o puestos de trabajo, pero que no tiene ninguna correspondencia con la clasificación de los puestos de responsabilidad, a pesar de utilizar la misma inicial (N) para hacer referencia a la misma.
Respuesta de la CP:
La definición de los niveles de responsabilidad es potestad de la empresa.
CP 24 III Convenio SISCAT (sección sindical UGT Parque Sanitario San Juan de Dios).
Se retira.
CP 25 III Convenio SISCAT (sección sindical UGT Parque Sanitario San Juan de Dios).
Permiso retribuido por hospitalización de un familiar hasta segundo grado de consanguinidad o afinidad (artículo 42.1.c.1).
La Dirección de RRHH del PSSJD determina que los días de permiso por causa de hospitalización de un familiar hasta segundo grado de consanguinidad o afinidad, sólo se tendrá derecho a un permiso de dos días aunque el proceso conste de más de una intervención y/u hospitalización del propio familiar. La sección sindical de UGT entiende que según el artículo 42.1.c.: Cada hospitalización o intervención de un familiar hasta segundo grado de consanguinidad o afinidad debe ir acompañado de un permiso retribuido de dos días sin distinción a tratar de un mismo proceso o de otros distintos.
Respuesta de la CP:
Sin acuerdo.
CP 26 552023 III Convenio SISCAT (profesional facultativo del centro EAP SARDENYA del que se anonimizan los datos a efectos de reproducir la consulta).
Yo, xxxxxxxxxxx con DNI xxxxxxxxxxx, médico de familia con contrato indefinido en EAPSARDENYA SL desde el año 2000 me dirijo a la Comisión paritaria del 3r Convenio colectivo de trabajo de los hospitales de agudos, centros de atención primaria, centros sociosanitarios y centros de salud mental, concertados con el Servicio Catalán de la Salud (SISCAT 3) con el fin de solicitar su valoración de diversas situaciones en las que mi empresa (Eapsardenya slp) conculca mis derechos, establecidos en este Convenio.
1. Retribución variable por objetivos devengada durante 2021 Según consta en la resolución EMT/1099/2022 de 11 de abril de 2022 por la que se dispone la inscripción y la publicación del Acuerdo parcial de la Comisión negociadora del Convenio colectivo de trabajo de los hospitales de agudos , centros de atención primaria, centros sociosanitarios y centros de salud mental, en el apartado C:
Excepcionalmente, y sólo para la retribución variable por objetivos (DPO) correspondiente al ejercicio 2021, se acuerda que todos los objetivos, sin excepción, de este ejercicio para todo el personal de aquellas empresas que han recibido fondos adicionales Covid-19 (de forma directa o indirecta) durante este período, deben estar exclusivamente vinculados a la pandemia del Covíd-19.
La empresa no me abonó cantidad alguna correspondiente a las DPOs de 2021 en la nómina de marzo, cuando el resto de compañeros sí que cobró. Esperé la siguiente nómina por si era un retraso causado por los problemas económicos que arrastra la empresa desde hace tiempo.
Al constatar que no recibía ningún pago por las DPOs de 202I, en junio de 2022 me dirigí por correo electrónico al administrador, al gerente y a la directora médica para reclamar el pago, siendo la respuesta del administrador: … la atención habitual a los pacientes…. queda cubierta con la retribución asignada. Negándome el derecho al cobro de las DPO de 2021.
Pregunto: ¿La Comisión paritaria cree que tengo derecho a percibir la retribución variable por DPO correspondiente al año 2021?.
2. Retribución variable por objetivos devengada durante 2022.
Según consta en el Convenio SISCAT 3, en el artículo 36, apartado 1:
Asimismo, en caso de que no se fijen durante el año en curso, se producirán los efectos como si se hubiesen alcanzado totalmente.
Durante el primer trimestre de 2022 no recibí ninguna propuesta de DPO para 2022. Hasta donde yo sé, tampoco se propusieron objetivos individuales al resto de la plantilla. Durante 2022 la empresa no me comunicó en ningún momento que no cumpliera los objetivos.
Este año la mayor parte (si no la totalidad) de la plantilla ha recibido la retribución variable por DPOs, salvo yo.
Todo lo expuesto resulta un agravio persistente respecto al resto de empleados de la empresa, que se produce de forma arbitraria, contraviniendo de forma manifiesta los acuerdos recogidos en el Convenio colectivo del sector.
Pregunta: ¿La Comisión paritaria cree que tengo derecho a percibir la retribución variable por DPO correspondiente al año 2022?.
Respuesta de la CP:
La consulta se refiere a un tema particular y no de interpretación respecto de la cual esta Comisión paritaria no tiene competencias.
CP 27 1052023 III Convenio SISCAT (Delegada sindical SATSE Hospital Universitario Santa María-GSS Lleida).
Nos dirigimos a ustedes para dar aclaración a la cuestión de si, en las formaciones obligatorias de la empresa realizadas fuera de la jornada de trabajo, deben compensarse las horas de formación on-line.
El caso es que la dirección del Hospital Santa María, dentro del Plan de Formación 2022, inscribió directamente a muchos profesionales, sin previa consulta, a cursos de soporte vital inmediato y/o avanzado, teniendo conocimiento a las personas trabajadoras de su inscripción por un correo electrónico recibido de la empresa; cursos que se realizaban fuera del horario laboral. El de soporte vital inmediato constaba de una parte presencial de 8 horas y on-line de 15 horas y el de soporte vital avanzado de 15 horas presenciales y 30 horas on line. En ambos cursos las horas presenciales fueron computadas como horas efectivamente trabajadas, pero no fueron computadas como jornada trabajada las horas on-line.
SATSE presentó, el 28/11/22, un escrito pidiendo que las horas de formación on-line también se computaran como horas trabajadas y la empresa contestó diciendo que sólo son obligatorias las formaciones que vienen dadas por ley como puede ser las de PRL y que del resto de formaciones, hay algunas de requerimiento obligatorio por la acreditación de los centros de atención hospitalaria aguda de Cataluña del Departamento de Salud y que estos cursos son muy recomendables por su interés tanto por la persona trabajadora como por el empresa y que sólo se compensa la parte presencial dado que son conscientes de que muchos trabajadores realizan la formación on-line en su horario laboral o bien realizan el curso en menos horas de las estipuladas.
Desde SATSE consideramos una suposición a esta interpretación, ya que el centro no asignó horas dentro de la jornada laboral para realizar la parte on-line del curso y ante la sobrecarga asistencial, es difícil poder realizar una formación dentro de la jornada laboral.
El hecho de que el centro apunte a los profesionales directamente al curso convierte esta formación en obligatoria al no tener el trabajador libertad de elección.
El artículo 64 del II Convenio SISCAT establece que: En el caso de planes de formación de la empresa, se procurará que sea impartida dentro del horario laboral de la persona trabajadora… En caso de que se programe la formación antes indicada fuera de la jornada laboral deberá compensarse el tiempo dedicado.
El artículo 64 del II Convenio SISCAT no diferencia si las horas de formación obligatorias de la empresa, que se realicen fuera de la jornada de trabajo, han sido presenciales o bien on-line a efectos de su compensación y por tanto entendemos que todas deben ser compensadas.
Respuesta de la CP:
La empresa deberá proceder a compensar con descanso compensatorio aquellas horas invertidas en formación que haya programado al profesional, sea ésta en modalidad online o presencial, siempre y cuando se haya realizado fuera de la jornada laboral.
CP 28 10520232 III Convenio SISCAT (Delegada sindical SATSE Hospital Universitario Santa María-GSS Lleida).
Nos dirigimos a ustedes para dar aclaración a la cuestión de si es de aplicación el artículo 42.1.c) apartado tercero del Il Convenio SISCAT, a los permisos retribuidos por cirugía mayor ambulatoria (en adelante CMA) de parientes, cuando dice que: Este permiso se podrá disfrutar, a elección de la persona trabajadora, de forma fraccionada (fracciones mínimas de un día) mientras dure el proceso de hospitalización y hasta cuatro días inmediatamente posteriores al alta hospitalaria.
En el programa Integrho del Hospital Santa María de Lleida-GSS existen unas instrucciones en relación a los permisos retribuidos y en el caso de los permisos por CMA dicen que su disfrute será el mismo día y al siguiente día laborable.
SATSE presentó un escrito a la dirección del Centro pidiendo la actualización de las instrucciones del programa, para poder disfrutar del permiso por CMA de un familiar según establece el artículo 42.1.c) apartado tercero del ll Convenio SISCAT, considerando que es de aplicación dado que la CMA es una intervención quirúrgica sin ingreso hospitalario a la que corresponden los mismos permisos que frente a una hospitalización y que se podrá disfrutar en la misma forma, es decir, fraccionadamente y hasta los 4 días inmediatamente posteriores al alta.
La dirección del Centro dio respuesta al escrito manifestando que como la CMA no requiere ingreso hospitalario no le es de aplicación el artículo 42.1.c) apartado tercero del Il Convenio SISCAT, dado que la intervención del paciente es el mismo día y no queda hospitalizado de forma que no existe una duración del proceso de hospitalización. Y que, además, en el caso de las CMA, el permiso retribuido siempre ha sido el mismo día y el siguiente laborable.
En SATSE seguimos entendiendo que a las CMA le es de aplicación el artículo 42.1.c) apartado tercero del IlI Convenio SISCAT, que se limita a establecer la posibilidad del disfrute fraccionado, pero no diferencia si el origen de este permiso se una hospitalización, una CMA o una intervención quirúrgica sin hospitalización. Es más, el párrafo tercero comienza diciendo: Este permiso se podrá disfrutar… siendo por tanto evidente que está haciendo referencia todos los supuestos del artículo 42.1.c) apartado primero, entre ellos las CMA, y no sólo a aquellos supuestos en que exista una hospitalización de cierta duración.
Respuesta de la CP:
Esta Comisión paritaria entiende que la previsión del artículo 42.1.c) apartado tercero, es de aplicación a los supuestos que contempla el primero de los apartados: hospitalización (incluida la hospitalización domiciliaria) o cirugía mayor ambulatoria, así como la intervención quirúrgica sin hospitalización que precise reposo domiciliario.
Se mantiene el calendario pactado en la primera acta y se varía el horario pasando a ser de 15:30 a 17:30 horas.
Los asistentes delegan la firma de la presente acta a una persona por cada organización.
Las partes acuerdan autorizar a Noelia Santiago, con DNI 35474XXX, ya Alda Mumbrú, con DNI 46945XXX para proceder a realizar los trámites de registro ante la Autoridad laboral.
Y sin más asuntos que tratar se da por finalizada la reunión a las 18.00 horas del día indicado en el encabezamiento.
ACTA (DOGC Núm. 8968 – 28.7.2023)
(Anulada por RESOLUCIÓN EMT/3121/2023, de 8 de septiembre (DOGC Núm. 9003 – 19.9.2023))
RESOLUCIÓN EMT/2740/2023, de 4 de julio, por la que se dispone la inscripción y la publicación del Acta de la Comisión Paritaria del III Convenio colectivo de trabajo de los Hospitales de Agudos, Centros de Atención Primaria, Centros Sociosanitarios y Centros de Salud Mental, concertados con el Servicio Catalán de la Salud (código de convenio núm. 79100135012015).
Visto el texto del Acta de la de la Comisión Paritaria del III Convenio colectivo de trabajo de los Hospitales de Agudos, Centros de Atención Primaria, Centros Sociosanitarios y Centros de Salud Mental, suscrita en fecha 29 de junio de 2023, para dar respuesta a temas diversos, por parte de la representación social por la UGT, CCOO y SATSE, y por parte de la representación empresarial por la Unió Catalana d’Hospitals, el Consorci Associació Patronal Sanitària i Social y la Associació Catalana d’Entitats de Salut, y de acuerdo con lo que disponen el artículo 90.2 y 3 del Real Decreto Legislativo 2/2015, de 23 de octubre, por el que se aprueba el Texto Refundido de la Ley del Estatuto de los Trabajadores; el artículo 2.1) del Real Decreto 713/2010, de 28 de mayo, sobre registro y depósito de convenios colectivos, acuerdos colectivos de trabajo y planes de igualdad; el Decreto 35/2022, de 1 de marzo, de reestructuración del Departamento de Empresa y Trabajo i el artículo 6 de la Ley 26/2010, de 3 de agosto, de régimen jurídico y de procedimiento de las administraciones públicas de Catalunya,
Resuelvo:
-1 Disponer la inscripción del Acta mencionado en el Registro de convenios colectivos, acuerdos colectivos de trabajo y planes de igualdad de la Dirección General de Relaciones Laborales, Trabajo Autónomo, Seguridad y Salud Laboral, con notificación a la Comisión Paritaria.
-2 Disponer su publicación en el Diario Oficial de la Generalitat de Catalunya, con el cumplimento previo de los trámites pertinentes.
Barcelona, 4 de julio de 2023.
Òscar Riu Garcia.
Director general de Relaciones Laborales, Trabajo Autónomo, Seguridad y Salud Laboral.
ACTA 5 DE LA COMISIÓN PARITARIA DEL III CONVENIO COLECTIVO DE TRABAJO DE LOS HOSPITALES DE AGUDOS, CENTROS DE ATENCIÓN PRIMARIA, CENTROS SOCIOSANITARIOS Y CENTROS DE SALUD MENTAL, CONCERTADOS CON EL SERVICIO CATALÁN DE LA SALUD.
Asistentes.
Organizaciones sindicales.
Comisiones Obreras (CCOO):
Titulares: Cristina Martínez Nieto, José Maria Yagüe Polo, Juan Carlos Delgado, Alejandra Sánchez Montoya y Josefa Sánchez Brustenga.
Suplente: Manel Abia Ortiz.
Asesor: Paco Pareja Montañés.
Unión General de Trabajadores (UGT):
Titulares: Rosa Pérez Bernalte, Alex Trullàs Manonelles, Juan Sanchez González, Silvia Castaño Gómez y Raül Gisbert Barrué.
Suplente: Sindicato de Enfermería (SATSE):
Titulares: Anabel Torres Egeo, Miquel Oliveras y M. Jesús Figueroa.
Suplente: Montse Benaiges Uroz.
Asesor: Jesús Carlos García Reig.
Organizaciones patronales:
Unión Catalana de Hospitales (La Unión):
Titulares: Jordi Nonell, Carles García Hernández, Gabriel Nieto Fernández-Arroyo, Àngel Almansa y Elena de la Campa Alonso.
Asesores: Paco Carretero Palomares y Alda Mumbrú López.
Consorcio Asociación Patronal Sanitaria y Social (CAPSS):
Titulares: Pilar Rol Miguel y Antonio Rodríguez Nieto.
Asesor: Abigail Blanco Cumplido.
Asociación Catalana de Entidades de Salud (ACES).
Titulares: Joan Deu i Cano.
Asesor: Dani Cubero Díaz.
Presidenta: Cristina Martínez Nieto.
Secretaría: Noelia Santiago Rey.
En Barcelona, a 29 de junio de 2023 a las 15.30 horas se reúnen los componentes de la Comisión Paritaria del III Convenio colectivo de trabajo de los Hospitales de Agudos, Centros de Atención Primaria, Centros Sociosanitarios y Centros de Salud Mental, concertados con el Servicio Catalán de la Salud para tratar los temas siguientes:
Orden del día.
– Aprobación de los premios de fidelidad comunicados hasta 29 de junio de 2023.
– Tratamiento de las consultas recibidas hasta el 21 de junio de 2023.
Acuerdos.
Primero – Aprobación de los premios de fidelización.
– CLILAB Diagnósticos.
– Consorcio sociosanitario de Vilafranca.
– Banco de Sangre y Tejidos.
– Consorcio sanitario Alt Penedès – Garraf.
– Grup Mutuam.
Segundo. – Resolución de consultas a la Comisión Paritaria.
CP 29_22052023 III Conveni SISCAT (Sección sindical UGT Hospital Sant Celoni).
1. Según los criterios de la Disposición adicional segunda en su punto 2 del lll Conveni SISCAT dice:
«Desvinculación del cobro de la retribución variable en función de los objetivos (DPO) del equilibrio presupuestario y financiero de las empresas. Desde el 1 de enero de 2023 queda suprimido íntegramente lo redactado del artículo 36.3 del ll Convenio colectivo de trabajo de los Hospitales de agudos, centros de atención primaria, centros sociosanitarios y centros de salud mental, concertados con el Servicio Catalán de la Salud (SISCAT)»:
Además, dice en el artículo 36.2: «Entre los objetivos a cumplir se incluirán, necesariamente, la implicación efectiva de la persona trabajadora en la política de prevención de riesgos laborales. A pesar de reconocer que la determinación de los objetivos globales de cada institución forma parte de la competencia irrenunciable de sus órganos de gobierno y dirección en relación con su situación en el sistema sanitario y con las directrices que el Plan de Salud determine para su ámbito, de estos se informará a la representación legal de las personas trabajadoras y se establecen los siguientes criterios generales orientadores en esta materia: 1. En relación al tipo de objetivos, estos podrán ser a) Relacionados con resultados clínicos, asistenciales y de eficiencia; b) Del servicio o unidad asistencial; c) Individuales. En todo caso tendrán que ser alcanzables y en su ponderación tendrán que tener más peso los individuales, que tendrán que estar relacionados con las funciones que desarrollan los y las profesionales.».
a) Dicho esto, el Hospital Sant Celoni nos encontramos en grupo 1, 2 y 3.2, el siguiente ítem a cumplir con un 15% de valor sobre el total de las DPOS. «Cumplir equilibrio presupuestario» Adjuntamos ejemplo DPOS.
Agradeceríamos se nos aclarara si eso es legal y puede ser considerado un ítem de DPOS tal como dice Ia Dirección de la empresa HSC en el acta de la reunión que tuvimos el 4/05/2023, y si es así, de que sirve que estén desvinculadas las DPOS al equilibrio presupuestario.
b) Según los criterios de las DPOS estos tienen que ser alcanzables y negociados con el trabajador, además que tienen que tener una ponderación obligatoria en política de riesgos laborales, no siendo así las DPOS adjuntadas.
Agradeceríamos por lo tanto se nos aclarara si son correctas estas DPOS en base a este punto.
c) Además tenemos unos otros ítems como asistencia a reuniones vía TEAMS y/o la realización de protocolos, con un peso total de 40%, que lo tenemos que hacer fuera de horario laboral, sin estar estas horas contabilizadas por la empresa como tal, ya que entienden que lo abonan en el cumplimiento de las DPOS.
Desde la Sección sindical UGT creemos que no se pueden poner ítems a alcanzar con horas fuera de jornada laboral, y que éstas, si se hacen, deberían ser consideradas como horas de trabajo efectivo, además de la consecuente ponderación de DPOS o cambiar este punto.
Agradeceríamos la interpretación de la Paritaria con respecto a alcanzar ítems fuera de jornada laboral o si estos no debieran ser objetivos de las DPOS.
Respuesta de la CP 29:
Se indica en el documento que se adjunta documentación relativa a las DPOS y no consta. La Comisión Paritaria realiza la petición de la información y acuerda posponer hasta la próxima reunión de la Comisión Paritaria esta consulta.
CP_08062023_ en referencia a la CP 20 _III Conveni SISCAT (Acta 4) (Comité de Empresa del Hospital Comarcal de Blanes, ABS Lloret- Tossa Centre de Rehabilitación de Fenals i Magatzem de Blanes)
Consulta:
Discrepancia entre la Dirección de los centros de la Corporación de Salud del Maresme y la Selva y la parte social con respecto a la interpretación del artículo 42.1.c, del Tercer Convenio de los Hospitales de Agudos, Centros de Atención Primaria, Centros Sociosanitarios y Centros de Salud Mental, concertados con el SCS» que dice:
c) De dos días laborables por hospitalización (incluida la hospitalización domiciliaria) o cirugía mayor ambulatoria de parientes hasta el segundo grado por consanguinidad o afinidad, o de la persona con quien conviva la persona trabajadora, formando una pareja de carácter estable. Si los hechos ocurren en localidades fuera de Cataluña, el permiso será de cuatro días naturales.
La situación de intervención quirúrgica sin hospitalización que precise reposo domiciliario que recoge el artículo 37.3.b) del Real Decreto Legislativo 2/2015, de 23 de octubre, por el cual se aprueba el Texto refundido de la Ley del Estatuto de los Trabajadores, se tiene que entender comprendida dentro de este supuesto.
Este permiso se podrá disfrutar, a elección de la persona trabajadora, de forma fraccionada (fracciones mínimas de un día) mientras dure el proceso de hospitalización y hasta cuatro días inmediatamente posteriores al alta hospitalaria.
Se asimila a la hospitalización a efectos de este permiso, las estancias en urgencias de familiares de primer grado por consanguinidad o afinidad, por adopción y por guarda con fines de adopción y de acogimiento, que sean superiores a 24 horas. En este caso el permiso se disfrutará mientras dure la estancia en urgencias y tendrá una duración máxima de dos días.
Según el Estatuto de los Trabajadores o el artículo 37.3 dice:
3. El trabajador, previo aviso y justificación, podrá ausentarse del trabajo, con derecho o remuneración por alguno de los motivos y por el tiempo siguiente:
b) Dos días por la muerte, accidente o enfermedad graves, hospitalización o intervención quirúrgica sin hospitalización que necesite reposo domiciliario, de parientes hasta el segundo grado de consanguinidad o afinidad. Cuando por este motivo la persona trabajadora necesite hacer un desplazamiento a este efecto, el plazo es de cuatro días.
Según el acuerdo de normativa interna de uso de permisos, en el punto 3, dice:
3. De 2 días naturales por hospitalización, incluida Ia hospitalización domiciliaria y cirugía mayor ambulatoria de parientes o segundo grado de consanguinidad o afinidad o pareja estable.
Según el manual de definiciones del sistema de información de atención especializada, del Ministerio de Sanidad, dice: Hospitales de Media y Larga Estancia: son hospitales destinados o la atención de pacientes que necesitan cuidados sanitarios, en general de baja complejidad, por procesos crónicos o por tener reducido el grado de independencia funcional por o la actividad cotidiana, pero que no se pueden proporcionar su domicilio, y requieren un periodo prolongado de internamiento.
Desde la Dirección de RRHH, se están denegando los permisos retribuidos del mencionado artículo, cuando vienen derivados de una hospitalización a larga estancia. La Dirección de RRHH interpreta que no considera esta como una hospitalización, y que este permiso sólo se da en caso de hospitalización de agudos. Este Comité no ha encontrado ningún sitio donde diga que este permiso sólo se podrá dar en estas circunstancias.
Entendemos que el permiso no se puede pedir dos veces, bajo el mismo motivo que provoca el ingreso en hospital de agudos, si después hay un ingreso posterior a larga estancia, pero si se da la circunstancia que el trabajador no ha pedido el permiso por hospitalización a agudos y después el familiar pasa a hospitalización de larga estancia, entonces tiene el derecho de pedir el permiso.
Es por este motivo que se ruega la interpretación de la Comisión Paritaria en esta cuestión.
Aclaraciones:
En contestación a la consulta presentada por el Comité de Empresa del Hospital Comarcal de Blanes, ABS Lloret- Tossa Centre de Rehabilitación de Fenals i Magatzem de Blanes.
CP 20-III Conveni SISCAT, en la cual se pedía una aclaración sobre el tipo de ingreso con respecto a la cual se deniega el permiso.
Lo que este Comité interpreta es que una hospitalización de agudos es igual que una hospitalización de larga estancia, de cara a los permisos que recogen el Estatuto de Trabajadores y nuestro Convenio.
En el caso de que esta Comisión no interprete lo mismo, agradeceríamos que nos justificaran el motivo.
La empresa ha hecho llegar sus aclaraciones por escrito a través de la patronal y se ha dado traslado a todas las organizaciones de la Comisión Paritaria: la postura de la CSMS es que hay que aclarar, dado que en los centros sociosanitarios hay diversidad de tipología de camas, que tendrá la consideración de hospitalización el ingreso en una cama de larga estancia o de convalecencia de un centro sociosanitario, si no se ha disfrutado previamente del permiso por hospitalización por este mismo proceso, pero que en ningún caso se podrá disfrutar de este permiso cuando el ingreso sea en una cama de residencia.
Respuesta de la CP 20:
A la vista de las aclaraciones de ambas partes, procede el reconocimiento del permiso que contempla el artículo 42.1.c), cuando el ingreso derive en una estancia en un hospital de agudos (incluida la hospitalización domiciliaria), en una cama de un centro sociosanitario (se incluye la larga estancia) o a un centro de salud mental, pero no procede en el caso de una cama de residencia.
CP 30_12062023_III Conveni SISCAT (Sección sindical SATSE del Hospital de Calella).
Motivo de consulta:
Discrepancia entre la Dirección de los Centro de la Corporación de Salud del Maresme y la Selva y la parte social con respecto a la interpretación del artículo 42.l) en los puntos c y d. Del «Tercer Convenio de los Hospitales de Agudos, Centros de Atención Primaria, Centros Sociosanitarios y Centros de Salud Mental, concertados con el SCS» que dice:
Artículo 42. Permisos retribuidos.
42.7 Las personas trabajadoras, avisando con la mayor antelación posible, y con la obligación de justificarlo, podrán disfrutar de los siguientes permisos retribuidos:
c) De dos días laborables por hospitalización (incluida la hospitalización domiciliaria) o cirugía mayor ambulatoria de parientes hasta el segundo grado por consanguinidad o afinidad, o de la persona con quien conviva la persona trabajadora, formando una pareja de carácter estable. Si los hechos ocurren en localidades fuera de Cataluña, el permiso será de cuatro días naturales.
La situación de intervención quirúrgica sin hospitalización que precise reposo domiciliario que recoge el artículo 37.3.b) del Real Decreto Legislativo 2/2015, de 23 de octubre, por el cual se aprueba el Texto refundido de la Ley del Estatuto de los Trabajadores, se tiene que entender comprendida dentro de este supuesto. Este permiso se podrá disfrutar, a elección de la persona trabajadora, de forma fraccionada (fracciones mínimas de un día) mientras dure el proceso de hospitalización y hasta cuatro días inmediatamente posteriores al alta hospitalaria.
Se asimila a la hospitalización a efectos de este permiso, las estancias en urgencias de familiares de primer grado por consanguinidad o afinidad, por adopción y por guarda con fines de adopción y de acogimiento, que sean superiores a 24 horas. En este caso el permiso se disfrutará mientras dure la estancia en urgencias y tendrá una duración máxima de dos días.
d) De hasta un máximo de 14 horas anuales para asistir a la visita de un especialista médico o la realización de una prueba diagnóstica en el ámbito del Servicio Catalán de la Salud, siempre que el horario de consulta o prueba coincida con el horario laboral y previa solicitud con la máxima antelación posible y justificación documental.
En caso de pruebas diagnósticas invasivas que requieran una preparación o convalecencia importantes, la persona trabajadora podrá hacer uso de este crédito de 14 horas anuales para cubrir estas circunstancias.
También el personal del turno de noche tendrá derecho al uso de este crédito para cubrir estas circunstancias (visitas y pruebas), ya sea la noche anterior o posterior.
Además del horario de consulta o prueba también se contabilizará el tiempo indispensable de desplazamiento hasta el centro donde se tenga que realizar la atención, dentro del cómputo de las 14 horas.
Desde la Dirección de la CSMS se están denegando los permisos retribuidos contemplados en los puntos c y d del mencionado artículo al personal del turno de noche.
La Dirección interpreta en el punto c) que el inicio del hecho causante es la hora exacta del ingreso en el centro hospitalario del familiar y que es a partir de este momento que tiene lugar el inicio del permiso.
Esta situación provoca que el personal del turno de noche que tienen que acompañar a un familiar a un centro para quedar ingresado por ejemplo a las 10h, tenga que salir de su lugar de trabajo al finalizar su jornada y desplazarse hasta donde se produzca el hecho causante rápidamente, a recoger y acompañar a su familiar, sin descansar y posiblemente sin poder hacerlo durante lo que resta de jornada, cuando el día del hecho causante se inicia en las 0:00h. Según esta interpretación, nos encontraríamos la incoherencia de que el personal de jornada de mañanas, tendría que trabajar de 07:50h a 10h, situación que; evidentemente no se está dando por sentido común.
Entendemos que esta interpretación sesgada, tiene un claro perjuicio hacia el turno de noche que no pide un día de más a los que tiene derecho dentro de este punto del artículo 42.1, si no una distribución que le permita poder hacer el uso que le sea necesario en cada caso.
Igualmente, la denegación de las horas de visita o prueba médica al personal de turno de noche, por parte de la Dirección de la CSMS, contradice claramente el último párrafo del punto del citado artículo, en uno redactado donde se ha querido dejar expresamente redactado en este Tercer Convenio SISCAT, debido a la discriminación histórica del turno de noche en el derecho de este tipo de permiso.
Se por este motivo que consideramos que el turno de noche tiene derecho a poder pedir la noche antes, ya que es coincidente con el día del hecho causante y no se pide un aumento de los días que corresponden, sino poder disfrutar a elección de la persona trabajadora de la distribución de los 2 días de hospitalización.
Respuesta de la CP 30.
Queda pendiente de aclaración y se pospone hasta la próxima Comisión Paritaria.
CP 31_14062023_III Conveni SISCAT (Sección Sindical SATSE Fundación Asistencial Mutua Terrassa. (FAMT)).
Nos dirigimos en ustedes con el motivo de que aclaren la aplicación del artículo 64 del III Convenio SISCAT, formación.
El artículo establece el derecho del trabajador en un permiso retribuido de veinte horas anuales de formación, vinculada únicamente en la actividad de la empresa.
Entendemos que la FAMT no se ajusta a lo determinado en el artículo mencionado, ni se basa en la evidencia normativa, para limitar y negar el disfrute del permiso.
En concreto, la empresa pretende fiscalizar el proceso de elección de la formación, exigiendo una comunicación mediante solicitud, previa a la formación elegida libremente por parte del trabajador, y en función de la revisión del mando de turno, aprobar la realización de ésta.
Así mismo deniega el disfrute del permiso, por no estar relacionado con el concreto puesto de trabajo, aunque la formación sí esté relacionada con la actividad de la empresa.
Solicitamos que la Comisión Paritaria declare que la correcta aplicación del artículo 64 del III Convenio implica:
1. Que es la persona trabajadora quien elige libremente la formación que desea realizar, y a la que se refiere el permiso, siempre que ésta formación esté relacionada con la actividad de la empresa (esté o no relacionada con su concreto puesto de trabajo).
2. Que el único proceso que tiene que interactuar la empresa/trabajador, tal y como establece el Convenio, es en la negociación del disfrute del permiso, nunca en el control de la necesidad formativa del trabajador siempre que mantenga relación con la actividad de la empresa.
Respuesta DE LA CP 31:
Sin acuerdo
Los asistentes delegan la firma de la presente Acta a una persona por cada organización.
Las partes autorizan a Noelia Santiago, para proceder a realizar los trámites de registro ante la autoridad laboral.
Y sin más asuntos a tratar se da por finalizada la reunión a las 17.30 horas del día indicado en el encabezamiento.
ACTA (DOGC Núm. 8991 – 31.8.2023)
RESOLUCIÓN EMT/2967/2023, de 4 de julio, por la que se dispone la inscripción y la publicación del Acta de la Comisión Paritaria del III Convenio colectivo de trabajo de los hospitales de agudos, centros de atención primaria, centros sociosanitarios y centros de salud mental, concertados con el Servicio Catalán de la Salud (código de convenio núm. 79100135012015).
Visto el texto del Acta de la de la Comisión Paritaria del III Convenio colectivo de trabajo de los Hospitales de Agudos, Centros de Atención Primaria, Centros Sociosanitarios y Centros de Salud Mental, suscrita en fecha 29 de junio de 2023, para dar respuesta a temas diversos, por parte de la representación social por la UGT, CCOO y SATSE, y por parte de la representación empresarial por la Unió Catalana d’Hospitals, el Consorci Associació Patronal Sanitària i Social y la Associació Catalana d’Entitats de Salut, y de acuerdo con lo que disponen el artículo 90.2 y 3 del Real Decreto Legislativo 2/2015, de 23 de octubre, por el que se aprueba el Texto Refundido de la Ley del Estatuto de los Trabajadores; el artículo 2.1) del Real Decreto 713/2010, de 28 de mayo, sobre registro y depósito de convenios colectivos, acuerdos colectivos de trabajo y planes de igualdad; el Decreto 35/2022, de 1 de marzo, de reestructuración del Departamento de Empresa y Trabajo i el artículo 6 de la Ley 26/2010, de 3 de agosto, de régimen jurídico y de procedimiento de las administraciones públicas de Catalunya,
Resuelvo:
–1 Disponer la inscripción del Acta mencionado en el Registro de convenios colectivos, acuerdos colectivos de trabajo y planes de igualdad de la Dirección General de Relaciones Laborales, Trabajo Autónomo, Seguridad y Salud Laboral, con notificación a la Comisión Paritaria.
–2 Disponer su publicación en el Diario Oficial de la Generalitat de Catalunya, con el cumplimento previo de los trámites pertinentes.
Barcelona, 4 de julio de 2023.
Òscar Riu Garcia.
Director general de Relaciones Laborales, Trabajo Autónomo, Seguridad y Salud Laboral.
ACTA 5 DE LA COMISIÓN PARITARIA DEL III CONVENIO COLECTIVO DE TRABAJO DE LOS HOSPITALES DE AGUDOS, CENTROS DE ATENCIÓN PRIMARIA, CENTROS SOCIOSANITARIOS Y CENTROS DE SALUD MENTAL, CONCERTADOS CON EL SERVICIO CATALÁN DE LA SALUD.
Asistentes.
Organizaciones sindicales.
Comisiones Obreras (CCOO):
Titulares: Cristina Martínez Nieto, José Maria Yagüe Polo, Juan Carlos Delgado, Alejandra Sánchez Montoya y Josefa Sánchez Brustenga.
Suplente: Manel Abia Ortiz.
Asesor: Paco Pareja Montañés.
Unión General de Trabajadores (UGT):
Titulares: Rosa Pérez Bernalte, Alex Trullàs Manonelles, Juan Sanchez González, Silvia Castaño Gómez y Raül Gisbert Barrué.
Suplente:
Sindicato de Enfermería (SATSE):
Titulares: Anabel Torres Egeo, Miquel Oliveras y M. Jesús Figueroa.
Suplente: Montse Benaiges Uroz.
Asesor: Jesús Carlos García Reig.
Organizaciones patronales:
Unión Catalana de Hospitales (La Unión):.
Titulares: Jordi Nonell, Carles García Hernández, Gabriel Nieto Fernández-Arroyo, Àngel Almansa y Elena de la Campa Alonso.
Asesores: Paco Carretero Palomares y Alda Mumbrú López.
Consorcio Asociación Patronal Sanitaria y Social (CAPSS):
Titulares: Pilar Rol Miguel y Antonio Rodríguez Nieto.
Asesor: Abigail Blanco Cumplido.
Asociación Catalana de Entidades de Salud (ACES).
Titulares: Joan Deu i Cano.
Asesor: Dani Cubero Díaz.
Presidenta: Cristina Martínez Nieto.
Secretaría: Noelia Santiago Rey.
En Barcelona, a 29 de junio de 2023 a las 15.30 horas se reúnen los componentes de la Comisión Paritaria del III Convenio colectivo de trabajo de los Hospitales de Agudos, Centros de Atención Primaria, Centros Sociosanitarios y Centros de Salud Mental, concertados con el Servicio Catalán de la Salud para tratar los temas siguientes:
Orden del día.
– Aprobación de los premios de fidelidad comunicados hasta 29 de junio de 2023
– Tratamiento de las consultas recibidas hasta el 21 de junio de 2023
Acuerdos.
Primero – Aprobación de los premios de fidelización.
– CLILAB Diagnósticos.
– Consorcio sociosanitario de Vilafranca.
– Banco de Sangre y Tejidos.
– Consorcio sanitario Alt Penedès – Garraf.
– Grup Mutuam.
Segundo. – Resolución de consultas a la Comisión Paritaria.
CP 29_22052023 III Conveni SISCAT (Sección sindical UGT Hospital Sant Celoni).
1. Según los criterios de la Disposición adicional segunda en su punto 2 del lll Conveni SISCAT dice:
«Desvinculación del cobro de la retribución variable en función de los objetivos (DPO) del equilibrio presupuestario y financiero de las empresas. Desde el 1 de enero de 2023 queda suprimido íntegramente lo redactado del artículo 36.3 del ll Convenio colectivo de trabajo de los Hospitales de agudos, centros de atención primaria, centros sociosanitarios y centros de salud mental, concertados con el Servicio Catalán de la Salud (SISCAT)»:
Además, dice en el artículo 36.2: «Entre los objetivos a cumplir se incluirán, necesariamente, la implicación efectiva de la persona trabajadora en la política de prevención de riesgos laborales. A pesar de reconocer que la determinación de los objetivos globales de cada institución forma parte de la competencia irrenunciable de sus órganos de gobierno y dirección en relación con su situación en el sistema sanitario y con las directrices que el Plan de Salud determine para su ámbito, de estos se informará a la representación legal de las personas trabajadoras y se establecen los siguientes criterios generales orientadores en esta materia: 1. En relación al tipo de objetivos, estos podrán ser a) Relacionados con resultados clínicos, asistenciales y de eficiencia; b) Del servicio o unidad asistencial; c) Individuales. En todo caso tendrán que ser alcanzables y en su ponderación tendrán que tener más peso los individuales, que tendrán que estar relacionados con las funciones que desarrollan los y las profesionales.»
a) Dicho esto, el Hospital Sant Celoni nos encontramos en grupo 1, 2 y 3.2, el siguiente ítem a cumplir con un 15% de valor sobre el total de las DPOS. «Cumplir equilibrio presupuestario» Adjuntamos ejemplo DPOS.
Agradeceríamos se nos aclarara si eso es legal y puede ser considerado un ítem de DPOS tal como dice Ia Dirección de la empresa HSC en el acta de la reunión que tuvimos el 4/05/2023, y si es así, de que sirve que estén desvinculadas las DPOS al equilibrio presupuestario.
b) Según los criterios de las DPOS estos tienen que ser alcanzables y negociados con el trabajador, además que tienen que tener una ponderación obligatoria en política de riesgos laborales, no siendo así las DPOS adjuntadas.
Agradeceríamos por lo tanto se nos aclarara si son correctas estas DPOS en base a este punto.
c) Además tenemos unos otros ítems como asistencia a reuniones vía TEAMS y/o la realización de protocolos, con un peso total de 40%, que lo tenemos que hacer fuera de horario laboral, sin estar estas horas contabilizadas por la empresa como tal, ya que entienden que lo abonan en el cumplimiento de las DPOS.
Desde la Sección sindical UGT creemos que no se pueden poner ítems a alcanzar con horas fuera de jornada laboral, y que éstas, si se hacen, deberían ser consideradas como horas de trabajo efectivo, además de la consecuente ponderación de DPOS o cambiar este punto.
Agradeceríamos la interpretación de la Paritaria con respecto a alcanzar ítems fuera de jornada laboral o si estos no debieran ser objetivos de las DPOS.
Respuesta de la CP 29:
Se indica en el documento que se adjunta documentación relativa a las DPOS y no consta. La Comisión Paritaria realiza la petición de la información y acuerda posponer hasta la próxima reunión de la Comisión Paritaria esta consulta.
CP_08062023_ en referencia a la CP 20 _III Conveni SISCAT (Acta 4) (Comité de Empresa del Hospital Comarcal de Blanes, ABS Lloret- Tossa Centre de Rehabilitación de Fenals i Magatzem de Blanes).
Consulta:
Discrepancia entre la Dirección de los centros de la Corporación de Salud del Maresme y la Selva y la parte social con respecto a la interpretación del artículo 42.1.c, del Tercer Convenio de los Hospitales de Agudos, Centros de Atención Primaria, Centros Sociosanitarios y Centros de Salud Mental, concertados con el SCS» que dice:
c) De dos días laborables por hospitalización (incluida la hospitalización domiciliaria) o cirugía mayor ambulatoria de parientes hasta el segundo grado por consanguinidad o afinidad, o de la persona con quien conviva la persona trabajadora, formando una pareja de carácter estable. Si los hechos ocurren en localidades fuera de Cataluña, el permiso será de cuatro días naturales.
La situación de intervención quirúrgica sin hospitalización que precise reposo domiciliario que recoge el artículo 37.3.b) del Real Decreto Legislativo 2/2015, de 23 de octubre, por el cual se aprueba el Texto refundido de la Ley del Estatuto de los Trabajadores, se tiene que entender comprendida dentro de este supuesto.
Este permiso se podrá disfrutar, a elección de la persona trabajadora, de forma fraccionada (fracciones mínimas de un día) mientras dure el proceso de hospitalización y hasta cuatro días inmediatamente posteriores al alta hospitalaria.
Se asimila a la hospitalización a efectos de este permiso, las estancias en urgencias de familiares de primer grado por consanguinidad o afinidad, por adopción y por guarda con fines de adopción y de acogimiento, que sean superiores a 24 horas. En este caso el permiso se disfrutará mientras dure la estancia en urgencias y tendrá una duración máxima de dos días.
Según el Estatuto de los Trabajadores o el artículo 37.3 dice:
3. El trabajador, previo aviso y justificación, podrá ausentarse del trabajo, con derecho o remuneración por alguno de los motivos y por el tiempo siguiente:
b) Dos días por la muerte, accidente o enfermedad graves, hospitalización o intervención quirúrgica sin hospitalización que necesite reposo domiciliario, de parientes hasta el segundo grado de consanguinidad o afinidad. Cuando por este motivo la persona trabajadora necesite hacer un desplazamiento a este efecto, el plazo es de cuatro días.
Según el acuerdo de normativa interna de uso de permisos, en el punto 3, dice:
3. De 2 días naturales por hospitalización, incluida Ia hospitalización domiciliaria y cirugía mayor ambulatoria de parientes o segundo grado de consanguinidad o afinidad o pareja estable.
Según el manual de definiciones del sistema de información de atención especializada, del Ministerio de Sanidad, dice: Hospitales de Media y Larga Estancia: son hospitales destinados o la atención de pacientes que necesitan cuidados sanitarios, en general de baja complejidad, por procesos crónicos o por tener reducido el grado de independencia funcional por o la actividad cotidiana, pero que no se pueden proporcionar su domicilio, y requieren un periodo prolongado de internamiento.
Desde la Dirección de RRHH, se están denegando los permisos retribuidos del mencionado artículo, cuando vienen derivados de una hospitalización a larga estancia. La Dirección de RRHH interpreta que no considera esta como una hospitalización, y que este permiso sólo se da en caso de hospitalización de agudos. Este Comité no ha encontrado ningún sitio donde diga que este permiso sólo se podrá dar en estas circunstancias.
Entendemos que el permiso no se puede pedir dos veces, bajo el mismo motivo que provoca el ingreso en hospital de agudos, si después hay un ingreso posterior a larga estancia, pero si se da la circunstancia que el trabajador no ha pedido el permiso por hospitalización a agudos y después el familiar pasa a hospitalización de larga estancia, entonces tiene el derecho de pedir el permiso.
Es por este motivo que se ruega la interpretación de la Comisión Paritaria en esta cuestión.
Aclaraciones:
En contestación a la consulta presentada por el Comité de Empresa del Hospital Comarcal de Blanes, ABS Lloret- Tossa Centre de Rehabilitación de Fenals i Magatzem de Blanes.
CP 20-III Conveni SISCAT, en la cual se pedía una aclaración sobre el tipo de ingreso con respecto a la cual se deniega el permiso.
Lo que este Comité interpreta es que una hospitalización de agudos es igual que una hospitalización de larga estancia, de cara a los permisos que recogen el Estatuto de Trabajadores y nuestro Convenio.
En el caso de que esta Comisión no interprete lo mismo, agradeceríamos que nos justificaran el motivo.
La empresa ha hecho llegar sus aclaraciones por escrito a través de la patronal y se ha dado traslado a todas las organizaciones de la Comisión Paritaria: la postura de la CSMS es que hay que aclarar, dado que en los centros sociosanitarios hay diversidad de tipología de camas, que tendrá la consideración de hospitalización el ingreso en una cama de larga estancia o de convalecencia de un centro sociosanitario, si no se ha disfrutado previamente del permiso por hospitalización por este mismo proceso, pero que en ningún caso se podrá disfrutar de este permiso cuando el ingreso sea en una cama cde residencia.
Respuesta de la CP 20:
A la vista de las aclaraciones de ambas partes, procede el reconocimiento del permiso que contempla el artículo 42.1.c), cuando el ingreso derive en una estancia en un hospital de agudos (incluida la hospitalización domiciliaria), en una cama de un centro sociosanitario (se incluye la larga estancia) o a un centro de salud mental, pero no procede en el caso de una cama de residencia.
CP 30_12062023_III Conveni SISCAT (Sección sindical SATSE del Hospital de Calella).
Motivo de consulta:
Discrepancia entre la Dirección de los Centro de la Corporación de Salud del Maresme y la Selva y la parte social con respecto a la interpretación del artículo 42.l) en los puntos c y d. Del «Tercer Convenio de los Hospitales de Agudos, Centros de Atención Primaria, Centros Sociosanitarios y Centros de Salud Mental, concertados con el SCS» que dice:
Artículo 42. Permisos retribuidos 42.7 Las personas trabajadoras, avisando con la mayor antelación posible, y con la obligación de justificarlo, podrán disfrutar de los siguientes permisos retribuidos:
c) De dos días laborables por hospitalización (incluida la hospitalización domiciliaria) o cirugía mayor ambulatoria de parientes hasta el segundo grado por consanguinidad o afinidad, o de la persona con quien conviva la persona trabajadora, formando una pareja de carácter estable. Si los hechos ocurren en localidades fuera de Cataluña, el permiso será de cuatro días naturales.
La situación de intervención quirúrgica sin hospitalización que precise reposo domiciliario que recoge el artículo 37.3.b) del Real Decreto Legislativo 2/2015, de 23 de octubre, por el cual se aprueba el Texto refundido de la Ley del Estatuto de los Trabajadores, se tiene que entender comprendida dentro de este supuesto. Este permiso se podrá disfrutar, a elección de la persona trabajadora, de forma fraccionada (fracciones mínimas de un día) mientras dure el proceso de hospitalización y hasta cuatro días inmediatamente posteriores al alta hospitalaria.
Se asimila a la hospitalización a efectos de este permiso, las estancias en urgencias de familiares de primer grado por consanguinidad o afinidad, por adopción y por guarda con fines de adopción y de acogimiento, que sean superiores a 24 horas. En este caso el permiso se disfrutará mientras dure la estancia en urgencias y tendrá una duración máxima de dos días.
d) De hasta un máximo de 14 horas anuales para asistir a la visita de un especialista médico o la realización de una prueba diagnóstica en el ámbito del Servicio Catalán de la Salud, siempre que el horario de consulta o prueba coincida con el horario laboral y previa solicitud con la máxima antelación posible y justificación documental.
En caso de pruebas diagnósticas invasivas que requieran una preparación o convalecencia importantes, la persona trabajadora podrá hacer uso de este crédito de 14 horas anuales para cubrir estas circunstancias.
También el personal del turno de noche tendrá derecho al uso de este crédito para cubrir estas circunstancias (visitas y pruebas), ya sea la noche anterior o posterior.
Además del horario de consulta o prueba también se contabilizará el tiempo indispensable de desplazamiento hasta el centro donde se tenga que realizar la atención, dentro del cómputo de las 14 horas.
Desde la Dirección de la CSMS se están denegando los permisos retribuidos contemplados en los puntos c y d del mencionado artículo al personal del turno de noche.
La Dirección interpreta en el punto c) que el inicio del hecho causante es la hora exacta del ingreso en el centro hospitalario del familiar y que es a partir de este momento que tiene lugar el inicio del permiso.
Esta situación provoca que el personal del turno de noche que tienen que acompañar a un familiar a un centro para quedar ingresado por ejemplo a las 10h, tenga que salir de su lugar de trabajo al finalizar su jornada y desplazarse hasta donde se produzca el hecho causante rápidamente, a recoger y acompañar a su familiar, sin descansar y posiblemente sin poder hacerlo durante lo que resta de jornada, cuando el día del hecho causante se inicia en las 0:00h. Según esta interpretación, nos encontraríamos la incoherencia de que el personal de jornada de mañanas, tendría que trabajar de 07:50h a 10h, situación que; evidentemente no se está dando por sentido común.
Entendemos que esta interpretación sesgada, tiene un claro perjuicio hacia el turno de noche que no pide un día de más a los que tiene derecho dentro de este punto del artículo 42.1, si no una distribución que le permita poder hacer el uso que le sea necesario en cada caso.
Igualmente, la denegación de las horas de visita o prueba médica al personal de turno de noche, por parte de la Dirección de la CSMS, contradice claramente el último párrafo del punto del citado artículo, en uno redactado donde se ha querido dejar expresamente redactado en este Tercer Convenio SISCAT, debido a la discriminación histórica del turno de noche en el derecho de este tipo de permiso.
Se por este motivo que consideramos que el turno de noche tiene derecho a poder pedir la noche antes, ya que es coincidente con el día del hecho causante y no se pide un aumento de los días que corresponden, sino poder disfrutar a elección de la persona trabajadora de la distribución de los 2 días de hospitalización.
Respuesta de la CP 30.
Queda pendiente de aclaración y se pospone hasta la próxima Comisión Paritaria.
CP 31_14062023_III Conveni SISCAT (Sección Sindical SATSE Fundación Asistencial Mutua Terrassa. (FAMT)).
Nos dirigimos en ustedes con el motivo de que aclaren la aplicación del artículo 64 del III Convenio SISCAT, formación.
El artículo establece el derecho del trabajador en un permiso retribuido de veinte horas anuales de formación, vinculada únicamente en la actividad de la empresa.
Entendemos que la FAMT no se ajusta a lo determinado en el artículo mencionado, ni se basa en la evidencia normativa, para limitar y negar el disfrute del permiso.
En concreto, la empresa pretende fiscalizar el proceso de elección de la formación, exigiendo una comunicación mediante solicitud, previa a la formación elegida libremente por parte del trabajador, y en función de la revisión del mando de turno, aprobar la realización de ésta.
Así mismo deniega el disfrute del permiso, por no estar relacionado con el concreto puesto de trabajo, aunque la formación sí esté relacionada con la actividad de la empresa.
Solicitamos que la Comisión Paritaria declare que la correcta aplicación del artículo 64 del III Convenio implica:
1. Que es la persona trabajadora quien elige libremente la formación que desea realizar, y a la que se refiere el permiso, siempre que ésta formación esté relacionada cono la actividad de la empresa (esté o no relacionada con su concreto puesto de trabajo).
2. Que el único proceso que tiene que interactuar la empresa/trabajador, tal y como establece el Convenio, es en la negociación del disfrute del permiso, nunca en el control de la necesidad formativa del trabajador siempre que mantenga relación con la actividad de la empresa.
Respuesta DE LA CP 31:
Sin acuerdo Los asistentes delegan la firma de la presente Acta a una persona por cada organización.
Las partes autorizan a Noelia Santiago, para proceder a realizar los trámites de registro ante la autoridad laboral.
Y sin más asuntos a tratar se da por finalizada la reunión a las 17.30 horas del día indicado en el encabezamiento.
ACTA (DOGC Núm. 9003 – 19.9.2023)
RESOLUCIÓN EMT/3121/2023, de 8 de septiembre, por la que se deja sin efectos la Resolución EMT/2967/2023, de 4 de julio, por la que dispone la inscripción y la publicación del Acta de la Comisión Paritaria del III Convenio colectivo de trabajo de los hospitales de agudos, centros de atención primaria, centros sociosanitarios y centros de salud mental, concertados con el Servicio Catalán de la Salud (código de convenio núm. 79100135012015) (DOGC núm. 8991, de 31.8.2023).
Habiendo observado un error de envío de publicación al DOGC de la Resolución EMT/2967/2023, de 4 de julio, por la que se dispone la inscripción y la publicación del Acta de la Comisión Paritaria del III Convenio colectivo de trabajo de los hospitales de agudos, centros de atención primaria, centres sociosanitarios y centros de salud mental, concertados con el Servei Català de la Salut (código de convenio núm. 79100135012015), es necesario dejar sin efectos la mencionada publicación, teniendo en cuenta que el Acta de la Comisión Paritaria del citado Convenio, ya había sido inscrito y publicado mediante la Resolución EMT/2740/2023, de 4 de julio (DOGC nº 8968, de 28.07.2023).
Dado que la Dirección General de Relaciones Laborales, Trabajo Autónomo, Seguridad y Salud Laboral es competente para proceder a la rectificación de la referida resolución de inscripción que nos ocupa, de conformidad con el artículo 109.2 de la Ley 39/2015, de 1 de octubre, del procedimiento administrativo común de las administraciones públicas, en relación con el artículo 90.2 y 3 del Real decreto legislativo 2/2015, de 23 de octubre, por el que se aprueba el Texto Refundido de la Ley del Estatuto de los trabajadores; el Decreto 35/2022, de 1 de marzo, de reestructuración del Departamento de Empresa y Trabajo, y el artículo 6 de la Ley 26/2010, de 3 de agosto, de régimen jurídico y de procedimiento de las administraciones públicas de Cataluña;
Resuelvo:
1. Dejar sin efectos la Resolución EMT/2967/2023, de 4 de julio, que dispuso la inscripción y la publicación del Acta de la Comisión Paritaria del III Convenio colectivo de trabajo de los hospitales de agudos, centros de atención primaria, centres sociosanitarios y centros de salud mental, concertados con el Servei Català de la Salut (código de convenio núm. 79100135012015), en el DOGC nº 8991, de 31.08.2023, teniendo en cuenta que la Resolución EMT/2740/2022, de 4 de julio, ya había sido publicada en el DOGC nº 8968, de 28.07.2023.
2. Disponer que el citado texto se publique en el Diari Oficial de la Generalitat de Catalunya, previo cumplimiento de los trámites pertinentes.
Notifique esta resolución a la Comisión paritaria.
Barcelona, 8 de septiembre de 2023.
Òscar Riu Garcia.
Director general de Relaciones Laborales, Trabajo Autónomo, Seguridad y Salud Laboral.
REVISIÓN SALARIAL (DOGC Núm. 9100 – 13.2.2024)
RESOLUCIÓN EMT/4494/2023, de 1 de diciembre, por la que se dispone la inscripción y la publicación del Acta 9ª de la Comisión Paritaria del III del Convenio colectivo de trabajo de los hospitales de agudos, centros de atención primaria, centros sociosanitarios y centros de salud mental concertados con el SCS (código de convenio núm. 79100135012015).
Visto el texto del Acta 9ª de la Comisión Paritaria del III Convenio colectivo de trabajo de Hospitales de agudos, centros de atención primaria, centros socio sanitarios y centros de salud mental, concertados con el SCS (código convenio núm. 79100135012015), relativa a la actualización de las tablas salariales del año 2023, suscrita en fecha 21 de noviembre de 2023, por la representación social, por la Unión General de Trabajadores (UGT), Comisiones Obreras (CCOO) y el Sindicato de enfermería (SATSE), y por la parte de la representación empresarial, por la Unión Catalana de Hospitales (La Unió), Consorcio Asociación Patronal Sanitaria y Social (CAPSS), Asociación Catalana de Entidades de Salud (ACES), y de acuerdo con lo que disponen el artículo 90.2 y 3 del Texto refundido de la Ley del Estatuto de los Trabajadores, aprobado por el Real Decreto Legislativo 2/2015, de 23 de octubre; el artículo 2.1 a) del Real Decreto 713/2010, de 28 de mayo, sobre registro y depósito de convenios colectivos, acuerdos colectivos de trabajo y planes de igualdad; el Decreto 35/2022, de 1 de marzo, de reestructuración del Departamento de Empresa y Trabajo y el artículo 6 de la Ley 26/2010, de 3 de agosto, de régimen jurídico y de procedimiento de las administraciones públicas de Catalunya,
Resuelvo:
–1 Disponer la inscripción del Acta mencionada en el Registro de convenios colectivos, acuerdos colectivos de trabajo y planes de igualdad de la Dirección General de Relaciones Laborales, Trabajo Autónomo, Seguridad y Salud Laboral, con notificación a la Comisión Paritaria.
–2 Disponer su publicación en el Diario Oficial de la Generalitat de Catalunya, con el cumplimento previo de los trámites pertinentes.
Barcelona, 1 de diciembre de 2023.
Òscar Riu Garcia.
Director general de Relaciones Laborales, Trabajo Autónomo, Seguridad y Salud Laboral.
ACTA 9 DE LA COMISIÓN PARITARIA DEL III CONVENIO COLECTIVO DE TRABAJO DE LOS HOSPITALES DE AGUDOS, CENTROS DE ATENCIÓN PRIMARIA, CENTROS SOCIOSANITARIOS Y CENTROS DE SALUD MENTAL, CONCERTADOS CON EL SERVICIO CATALÁN DE LA SALUD
Asistentes
Organizaciones sindicales:
Comisiones Obreras CCOO:
Titulares: Cristina Martínez Nieto, José María Yagüe Polo, Juan Carlos Delgado Mesa, Alejandra Sánchez.
Montoya y Xavier Pallàs García.
Suplente: Manel Abia Ortiz.
Asesor: Paco Pareja Montañés y Jesús González Comabella.
Unión General de Trabajadores (UGT):
Titulares: Rosa Pérez, Alex Trullas, Juan Sánchez, Jose Martinez y Judith Extremera.
Suplentes: Silvia Franco y Raúl Gisbert.
Sindicato de Enfermeria (SATSE):
Titulares: Anabel Torres Egea, M. Jesús Figueroa Pena y Miquel Oliveras Gisbert.
Suplente: Montserrat Benaiges i Uroz.
Organizaciones patronales:
Unión Catalana de Hospitales (La Unió):
Titulares: Antoni Llamas Losilla, Jordi Nonell, Carles García Hernández, Josep Vidal Negre y Elena de la Campa.
Alonso.
Asesores: Paco Carretero Palomares y Alda Mumbrú López (Vallbé).
Consorcio Asociación Patronal Sanitaria y Social (CAPSS):
Titulares: Pilar Rol Miguel, Antonio Rodríguez Nieto, Natalia Codina Fuentefria, Mariona Casanovas Coromina y.
Joan Grau Corbatera.
Suplente: Raúl García Salazar.
Asesor: Abigail Blanco Cumplido (FJM abogados).
Asociación Catalana de Entidades de Salud (ACES):
Titular: Pedro Ayesa Guix.
Asesores: Joan Deu i Cano.
Presidenta: Cristina Martínez Nieto.
Secretaría: Noelia Santiago Rey.
En Barcelona, a 21 de noviembre de 2023 a las 15.30 horas se reúnen los componentes de la Comisión Paritaria del III Convenio colectivo de trabajo de los Hospitales de Agudos, Centros de Atención Primaria, Centros Sociosanitarios y Centros de Salud Mental, concertados con el Servicio Catalán de la Salud para tratar los temas siguientes:
Orden del día.
Aprobación y firma de la actualización de las tablas del año 2023 (anexas).
Acuerdos.
Primero. -Aprobación de la actualización de las tablas salariales 2023.
Con el fin de dar cumplimiento al apartado c de la Disposición adicional segunda del Convenio de referencia, que indica:
«c. Año 2023, con efectos de 1 de enero de 2023, un incremento del 2,5% con respecto a las tablas salariales vigentes en 31/12/2022. Adicionalmente el año 2023, si la suma de la variación del IPC armonizado del año 2022 y del IPC armonizado adelantado del mes de septiembre de 2023 superara el 6%, correspondiente al incremento retributivo fijo acumulado de 2022 y 2023, se aplicará un incremento retributivo adicional máximo del 0,5%. Este posible incremento adicional del año 2023, de carácter consolidable, tendría efectos desde el 1 de enero del 2023 (…)».
Y una vez aprobados en fecha 20 de noviembre de 2023 en el Consejo de Dirección de CatSalut los compromisos económicos y en consonancia con aquello indicado a la Disposición transitoria quinta del Convenio.
«Disposición transitoria quinta: los compromisos económicos recogidos en la Disposición adicional segunda de este Convenio se formalizarán una vez sean aprobadas anualmente por parte del CatSalut las tarifas o los mecanismos correspondientes que permitan la aplicación de los aspectos retributivos a que hace referencia el escenario global aprobado por el Consejo de Dirección del CatSalut en fecha 28 de diciembre de 2022. Una vez se publiquen las tarifas y/u otros mecanismos, la Comisión Paritaria procederá a lo firma de las tablas salariales anuales, indicando la fecha máxima de aplicación de las mismas.»
Se aprueba la actualización de todos los conceptos e importes de las tablas salariales del Convenio correspondientes al ejercicio de 2023 incorporando el incremento retributivo adicional del 0,5% desde el mes de enero de 2023 dado que el IPC armonizado adelantado del mes de septiembre se ha situado en el 8,7% aplicando por lo tanto un 3% a las tablas salariales vigentes a 31 de diciembre de 2022.
Siguen vigentes los anexos del 15 al 23 del actual Convenio publicado en el DOGC de 16 de marzo de 2023 (núm. 8876), referidos a las tablas salariales del 2008 sobre las que se aplica la deducción del 0,88%, según indica la Disposición adicional primera del Convenio.
Se acuerda que se haga efectiva la actualización de las nuevas tablas a la nómina del mes de noviembre de 2023.
En caso de que por razones técnicas la empresa no pueda cumplir con el plazo antes estipulado (noviembre) lo tendrá que justificar en su RLT y proceder a su actualización no más allá del 31 de diciembre de 2023.
Se acuerda que el abono de los atrasos del año 2023 se efectúe como máximo el mes de enero del año 2024.
Los asistentes delegan la firma de la presente acta a una persona para cada organización.
Las partes autorizan a Noelia Santiago, para proceder a realizar los trámites de registro ante la autoridad laboral.
Y sin más asuntos a tratar se da por finalizada la reunión a las 16.00 horas del día indicado en el encabezamiento.
REVISIÓN SALARIAL (DOGC Núm. 9126 – 20.3.2024)
RESOLUCIÓN EMT/805/2024, de 22 de febrero, por la que se disponen la inscripción y la publicación del Acta 14ª de la Comisión Paritaria relativa a la actualización y revisión salarial para los años 2023 y 2024 del III Convenio colectivo de trabajo de los hospitales de agudos, centros de atención primaria, centros sociosanitarios y centros de salud mental, concertados con el Servicio Catalán de la Salud (código de convenio núm. 79100135012015).
Visto el texto del Acta 14 de la Comisión Paritaria del III Convenio colectivo de trabajo de los hospitales de agudos, centros de atención primaria, centros socio sanitarios y centros de salud mental, concertados con el SCS, relativa a la actualización de las tablas salariales de los años 2023 y 2024, suscrita en fecha 15 de febrero de 2024, por parte de la representación social, por Unión General de Trabajadoras y Trabajadores de Catalunya (UGT), Comisiones Obreras (CCOO) y el Sindicato de enfermería (SATSE), y por parte de la representación empresarial, por La Unió Catalana de Hospitales (La Unión), Consorcio Asociación Patronal Sanitaria i Social (CAPSS), Asociación Catalana de Entidades de Salud (ACES), y de acuerdo con lo que disponen el artículo 90.2 y 3 del Texto refundido de la Ley del Estatuto de los Trabajadores, aprobado por el Real Decreto Legislativo 2/2015, de 23 de octubre; el artículo 2.1 a) del Real Decreto 713/2010, de 28 de mayo, sobre registro y depósito de convenios colectivos, acuerdos colectivos de trabajo y planes de igualdad; el Decreto 35/2022, de 1 de marzo, de reestructuración del Departamento de Empresa y Trabajo y el artículo 6 de la Ley 26/2010, de 3 de agosto, de régimen jurídico y de procedimiento de las administraciones públicas de Catalunya, Resuelvo:
–1 Disponer la inscripción del Acta mencionada en el Registro de convenios colectivos, acuerdos colectivos de trabajo y planes de igualdad de la Dirección General de Relaciones Laborales, Trabajo Autónomo, Seguridad y Salud Laboral, con notificación a la Comisión Negociadora.
–2 Disponer su publicación en el Diario Oficial de la Generalitat de Cataluña, con el cumplimento previo de los trámites pertinentes.
Barcelona, 22 de febrero de 2024.
Òscar Riu Garcia.
Director general de Relaciones Laborales, Trabajo Autónomo, Seguridad y Salud Laboral.
ACTA 14 DE LA COMISIÓN PARITARIA DEL III CONVENIO COLECTIVO DE TRABAJO DE LOS HOSPITALES DE AGUDOS, CENTROS DE ATENCIÓN PRIMARIA, CENTROS SOCIOSANITARIOS Y CENTROS DE SALUD MENTAL, CONCERTADOS CON EL SERVICIO CATALÁN DE LA SALUD.
Asistentes.
Organizaciones sindicales.
Comisiones Obreras (CCOO).
Titulares: Cristina Martínez Nieto, José Maria Yagüe Polo, Juan Carlos Delgado Mesa, Josefa Sánchez Brustenga y Francisca Cruz Cortes.
Suplentes: Manel Abia Ortiz y Xavier Pallàs García.
Asesores: Paco Pareja Montañés y Jesús González Comabella.
Unión General de Trabajadores (UGT).
Titulares: Rosa Pérez, Alex Trullas, Juan Sánchez, Jose Martínez y Silvia Franco.
Suplentes: Silvia Castaño y Raúl Gisbert.
Sindicado de lnfermeria (SATSE).
Titulares: Anabel Torres Egeo, Rosa Maria Famades y Miquel Oliveras Gisbert.
Suplentes: M. Jesús Figueroa Pena y David García Fernández.
Asesores: Jesús Carlos García Reig.
Organizaciones patronales.
Unión Catalana de Hospitales (La Unión).
Titulares: Jordi Nonell, Carles García Hernández, Josep Vidal Negre, Gabriel Fernandez Nieto y Elena de la Campa Alonso.
Suplente: Ramon Massaguer Meléndez.
Asesores: Paco Carretero Palomares y Alda Mumbrú López (Vallbé).
Consorcio Asociación Patronal Sanitaria y Social (CAPSS).
Titulares: Pilar Rol Miguel, Mariona Casanovas Coromina y Lluís Gamell Alvarez.
Asociación Catalana de Entidades de Salud (ACES).
Asesores: Joan Diez y Cano.
Presidenta: Cristina Martínez Nieto.
Secretaria: Noelia Santiago Rey.
En Barcelona, a 15 de febrero de 2024 a las 17.00 horas se reúnen los componentes de la Comisión Paritaria del III Convenio colectivo de trabajo de los Hospitales de agudos, centros de atención primaria, centros sociosanitarios y centros de salud mental, concertados con el Servicio Catalán de la Salud para tratar los temas siguientes:
Orden del día.
Aprobación de la actualización de las tablas salariales de 2023 y de la actualización de las tablas salariales del año 2024 (anexos) y firma.
Acuerdos Primero. – Aprobación de la actualización de las tablas salariales 2023 y de la actualización de las tablas salariales 2024 y firma.
1. Con el fin de dar cumplimiento al apartado C de la Disposición adicional segunda del Convenio colectivo, que indica:
c. Año 2023 (…) Además, si el incremento del PIB nominal de 2023 fuera igual o superior al querido por el Gobierno del Estado en el cuadro macroeconómico que acompaña a la Ley de Presupuestos Generales del Estado, se aplicará un incremento retributivo complementario del 0,5%. Este posible incremento retributivo complementario del año 2023, de carácter consolidable, tendría efectos desde el 1 de enero del 2023.
2. Con el fin de dar cumplimiento al punto 7 C) de la Disposición adicional segunda del Convenio, que indica:
7. Equiparación del salario base del grupo profesional 2.2 al salario base del grupo profesional 4.
Con el fin de alcanzar la equiparación del salario base del grupo profesional 2.2 al salario base del grupo profesional 4, se aplicará el establecido en los siguientes puntos:
a. (…).
b. (…).
c. A partir del 1 de enero de 2024 el salario base del grupo 2.2 tendrá el mismo importe que el salario base del grupo 4. La diferencia entre el salario base de 2023 y 2024 del grupo 2.2 se abonará ex novo por la empresa.
Sobre estos importes se aplicará el incremento salarial correspondiente al año 2024 recogido en el punto 1. En todo caso se seguirá respetando la diferencia retributiva que el Convenio establece en relación a las comadronas.
Sin perjuicio que, en el momento de aplicar la actualización del año 2024, Disposición adicional segunda, letra D, se aplique la corrección oportuna para que el grupo 2 tenga el mismo sueldo base que el grupo 4 el año 2024.
3. Con el fin de dar cumplimientoal punto 12 de la Disposición adicional segunda del Convenio, que indica:
12. Retribución variable por objetivos (DPO) para los grupos profesionales 3, 6 y 7.
A partir del 1 de enero de 2023 la retribución variable por objetivos de los grupos profesionales 3, 6 y 7 se incrementará en el 20% y a partir del 1 de enero de 2024 se incrementará en el 5%. Sobre estos nuevos importes se aplicarán los incrementos salariales correspondientes a los años 2023 y 2024 recogidos en el punto 1.
Y una vez aprobados fecha 12 de febrero de 2024 en el Consejo de Dirección de CatSalut los compromisos económicos correspondientes a estos tres aspectos retributivos y en consonancia con el indicado a la Disposición transitoria quinta del Convenio.
«Disposición transitoria quinta: los compromisos económicos recogidos a la Disposición adicional segunda de este Convenio se formalizarán una vez sean aprobadas anualmente por parte del CatSalut las tarifas o los mecanismos correspondientes que permitan la aplicación de los aspectos retributivos a que hace referencia el escenario global aprobado por el Consejo de Dirección del CatSalut fecha 28 de diciembre de 2022. Una vez se publiquen las tarifas y/o otros mecanismos, la Comisión Paritaria procederá a la firma de las tablas salariales anuales, indicando la fecha máxima de aplicación de las mismas.»
Se aprueba
a. La actualización de todos los conceptos e importes de las tablas salariales del Convenio correspondientes al ejercicio de 2023 incorporando el incremento retributivo complementario del 0,5% desde el mes de enero de 2023, dado que el incremento del PIB nominal de 2023 ha sido superior al querido por el Gobierno del Estado en el cuadro macroeconómico que acompaña a la Ley de Presupuestos Generales del Estado para el 2023.
b. La actualización del salario base del grupo profesional 2.2 desde el mes de enero de 2024, sin perjuicio que, en el momento de aplicar la actualización del año 2024, Disposición adicional segunda, letra D, se aplique la corrección oportuna para que el grupo 2 tenga el mismo sueldo base que el grupo 4 el año 2024.
c. La actualización de la retribución variable por objetivos (DPO) de los grupos profesionales 3, 6 y 7 desde el mes de enero de 2024.
Continúan vigentes los anexos del 15 al 23 del actual Convenio publicado en el DOGC de 16 de marzo de 2023 (nº 8876), referidos en las tablas salariales del 2008 sobre las que se aplica la deducción del 0,88%, según indica la Disposición adicional primera del Convenio.
Se acuerda que las actualizaciones de los puntos a, b y c anteriores se hagan efectivas en la nómina del mes de febrero de 2024 y que el abono de los atrasos se efectúe antes del día 15 de abril de 2024. En caso de que por razones técnicas la empresa no pueda cumplir con los plazos antes estipulados lo tendrá que justificar en su RLT.
Las personas asistentes delegan la firma de la presente acta a una persona por cada organización.
Las partes autorizan a Noelia Santiago Rey, para proceder a realizar los trámites de registro ante la autoridad laboral.
Y sin más asuntos a tratar se da por finalizada la reunión a las 17.15 horas del día indicado en el encabezamiento.
REVISIÓN SALARIAL (DOGC Núm. 9215 – 30.7.2024)
RESOLUCIÓN EMT/2741/2024, de 12 de julio, por la que se disponen la inscripción y la publicación del Acta 19.ª de la Comisión Paritaria relativa al Acuerdo para la actualización de las tablas salariales para el año 2024 del III Convenio colectivo de trabajo de los hospitales de agudos, centros de atención primaria, centros sociosanitarios y centros de salud mental concertados con el Servicio Catalán de la Salud (código de convenio núm. 79100135012015).
Visto el texto del Acta 19ª de la Comisión Paritaria relativa al Acuerdo para la actualización de las tablas salariales para el año 2024 del III Convenio colectivo de trabajo de los hospitales de agudos, centros de atención primaria, centros sociosanitarios y centros de salud mental, concertados con el Servicio Catalán de Salud (código convenio 79100135012015), suscrito en fecha 3 de julio de 2024, y de acuerdo con lo que disponen el artículo 90.2 y 3 del Real Decreto Legislativo 2/2015, de 23 de octubre, por el que se aprueba el Texto refundido de la Ley del Estatuto de los Trabajadores; el artículo 2.1 a) del Real Decreto 713/2010, de 28 de mayo, sobre registro y depósito de convenios colectivos y acuerdos colectivos de trabajo; el Decreto 56/2024, de 12 de marzo, de reestructuración del Departamento de Empresa y Trabajo; y el artículo 6 de la Ley 26/2010, de 3 de agosto, de régimen jurídico y de procedimiento de las administraciones públicas de Catalunya,
Resuelvo:
–1 Disponer la inscripción del Acuerdo mencionado en el Registro de convenios colectivos, acuerdos colectivos de trabajo y planes de igualdad de la Dirección General de Relaciones Laborales, Trabajo Autónomo, Seguridad y Salud Laboral, con notificación a la Comisión Paritaria.
–2 Disponer su publicación en el Diario Oficial de la Generalitat de Catalunya, con el cumplimento previo de los trámites pertinentes.
Barcelona, 12 de julio de 2024
Òscar Riu Garcia
Director general de Relaciones Laborales, Trabajo Autónomo, Seguridad y Salud Laboral
ACTA 19 DE LA COMISIÓN PARITARIA DEL III CONVENIO COLECTIVO DE TRABAJO DE LOS HOSPITALES DE AGUDOS, CENTROS DE ATENCIÓN PRIMARIA, CENTROS SOCIOSANITARIOS Y CENTROS DE SALUD MENTAL, CONCERTADOS CON EL SERVICIO CATALÁN DE LA SALUD
Asistentes
Organizaciones sindicales
Comisiones Obreras (CCOO):
Titulares: Paco Pareja Montañés, Cristina Martínez Nieto, José Maria Yagüe Polo, Eva Garcia López y Maria Ramos Guzmán
Suplentes: Xavier Pallàs García y Ramón Alarcón Fernández
Asesor: Jesús González Comabella
Unión General de Trabajadores (UGT):
Titulares: Silvia Franco, Raül Gisbert, Àlex Trullàs, Joan Sánchez González y Rosa Pérez
Asesora: Xènia Rosales
Sindicato de Enfermería (SATSE):
Titulares: Annabel Torres Egea, Rosa Maria Famadas Lifante y Miquel Oliveras Gisbert
Suplente: M. Jesús Figueroa Pena
Asesor: Jesús Carlos García Reig
Organizaciones patronales
Unión Catalana de Hospitales (La Unión):
Titulares: Jordi Nonell Gregori, Carles Garcia Hernández, Sandra Tobías Grau, Héctor Cantero Carrascosa, Josep Vidal Negre y Elena de la Campa Alonso
Suplentes: Jaume Alujas y Noelia Santiago Rey
Asesora: Alda Mumbrú López (Vallbé)
Consorcio Asociación Patronal Sanitaria y Social (CAPSS):
Titulares: Roser Casas, Joan Grau, Pilar Rol, Maria Isabel Arrieta Segura, Alberto Martín, Mariona Casanovas y Raúl García.
Asesoras: Abigail Blanco (FJM) y Paula Carrión
Asociación Catalana de Entidades de Salud (ACES)
Titular: Pedro Ayesa
Asesores: Dani Cubero (Antràs) y Joan Deu
Presidenta: Cristina Martínez Nieto
Secretaría: Elena de la Campa Alonso
En Barcelona, a 3 de julio de 2024 a las 15.30 horas se reúnen los componentes de la Comisión Paritaria del III Convenio colectivo de trabajo de los Hospitales de agudos, centros de atención primaria, centros sociosanitarios y centros de salud mental, concertados con el Servicio Catalán de la Salud para tratar los temas siguientes:
Orden del día
Aprobación y firma de la actualización de las tablas salariales del año 2024 (anexos) y firma.
Acuerdos
Primero. Aprobación y firma de la actualización de las tablas salariales 2024
1. Con el fin de dar cumplimiento al primer punto del apartado d) de la disposición adicional segunda del Convenio colectivo, que indica:
«d. Año 2024, incremento del 2% con respecto a las tablas salariales vigentes en 31/12/2023».
2. Dado que fecha 15 de febrero de 2024, y con efectos 1 de enero de 2024 la Comisión Paritaria acordó:
– Equiparación del salario base del grupo profesional 2.2 al salario base del grupo profesional 4.
– Incremento del 5% de la retribución variable por objetivos de los grupos profesionales 3, 6 y 7.
3. Una vez aprobados en fecha 22 de abril de 2024 en el Consejo de Dirección de CatSalut los compromisos económicos correspondientes y publicado el Real Decreto Ley 4/2024, de 26 de junio, que incorpora al artículo 6, con carácter de normativa básica, el incremento retributivo del personal al servicio del sector público para el año 2024 y dado que el Decreto Ley 3/2024 de 9 de abril previó estos incrementos retributivos en los términos en que finalmente estableciera la normativa básica, en consonancia con aquello indicado en la Disposición transitoria quinta del Convenio.
Disposición transitoria quinta. Los compromisos económicos recogidos en la disposición adicional segunda de este Convenio se formalizarán una vez sean aprobadas anualmente por parte del CatSalut las tarifas o los mecanismos correspondientes que permitan la aplicación de los aspectos retributivos a que hace referencia el escenario global aprobado por el Consejo de Dirección del CatSalut en fecha 28 de diciembre de 2022. Una vez se publiquen las tarifas y/u otros mecanismos, la Comisión Paritaria procederá a la firma de las tablas salariales anuales, indicando la fecha máxima de aplicación de las mismas.
Se aprueba
La actualización de todos los conceptos e importes de las tablas salariales del Convenio correspondientes al ejercicio de 2024 incorporando el incremento retributivo del 2% desde el mes de enero de 2024.
Continúan vigentes los anexos del 15 al 23 del actual Convenio publicado en el DOGC de 16 de marzo de 2023 (nº 8876), referidos en las tablas salariales del 2008 sobre las que se aplica la deducción del 0,88%, según indica la disposición adicional primera del Convenio.
Se acuerda que la actualización de las nuevas tablas se haga efectiva en la nómina del mes de julio de 2024 y que el abono de los atrasos del año 2024 se efectúe como máximo el 30 de septiembre de 2024. En caso de que por razones técnicas u organizativas la empresa no pueda cumplir con los plazos antes estipulados lo tendrá que justificar en su RLT.
Todo el anterior sin perjuicio del incremento adicional máximo para el año 2024 según el segundo párrafo del punto d de la disposición adicional segunda del Convenio.
Las personas asistentes delegan la firma de la presente acta a una persona por cada organización.
Las partes autorizan a Elena de la Campa Alonso y Alda Mumbrú López, para proceder a realizar los trámites de registro ante la autoridad laboral.
Y sin más asuntos a tratar se da por finalizada la reunión a las 16.00 horas del día indicado en el encabezamiento.
ACUERDO (DOGC Núm. 9405 – 5.5.2025)
Resolución EMT/1536/2025, de 15 de abril, por la que se disponen la inscripción y la publicación del Acuerdo parcial de la Mesa Negociadora del IV Convenio colectivo de trabajo de los hospitales de agudos, centros de atención primaria, centros sociosanitarios y centros de salud mental, concertados con el Servicio Catalán de la Salud (código de convenio núm. 79100135012015)
Visto el texto del Acuerdo parcial de la Mesa Negociadora del IV Convenio colectivo de trabajo de los hospitales de agudos, centros de atención primaria, centros sociosanitarios y centros de salud mental, concertados, con el servicio catalán de la salud (código de convenio nº 79100135012015), suscrito en fecha 1 de abril de 2025, relativo a la adecuación del contenido del convenio a las previsiones establecidas en el Anexo 1 del Real decreto 1026/2024; de acuerdo con lo que disponen el artículo 90.2 y 3 del Real decreto legislativo 2/2015, de 23 de octubre, por el cual se aprueba el Texto refundido de la Ley del Estatuto de los Trabajadores; el artículo 2.1) del Real decreto 713/2010, de 28 de mayo, sobre registro y depósito de convenios colectivos, acuerdos colectivos de trabajo y planes de igualdad; el Decreto 56/2024, de 12 de marzo, de reestructuración del Departamento de Empresa y Trabajo y el artículo 6 de la Ley 26/2010, de 3 de agosto, de régimen jurídico y de procedimiento de las administraciones públicas de Cataluña,
Resuelvo:
–1 Disponer la inscripción del Acuerdo mencionado en el Registro de convenios colectivos, acuerdos colectivos de trabajo y planes de igualdad de la Dirección General de Relaciones Laborales, Trabajo Autónomo, Seguridad y Salud Laboral, con notificación a la Comisión Negociadora.
–2 Disponer su publicación en el Diario Oficial de la Generalitat de Catalunya, con el cumplimiento previo de los trámites pertinentes.
Barcelona, 15 de abril de 2025
Núria Gilgado Barbadilla
Directora general de Relaciones Laborales, Trabajo Autónomo, Seguridad y Salud Laboral
ACUERDO PARCIAL DE LA MESA NEGOCIADORA DEL IV CONVENIO COLECTIVO DE TRABAJO DE LOS HOSPITALES DE AGUDOS, CENTROS DE ATENCIÓN PRIMARIA, CENTROS SOCIOSANITARIOS Y CENTROS DE SALUD MENTAL, CONCERTADOS CON EL SERVICIO CATALÁN DE LA SALUD
Por parte de las representaciones sociales:
Comisiones Obreras (CCOO):
Titulares: Paco Pareja Montañés, Cristina Martínez Nieto, Xavier Pallàs García, María Teresa Gil Martínez y Eva García López
Suplentes: María Ramos Guzmán, Pere Jiménez Joven, Manel Abia Ortiz, José Ramón Luis Sol y Sonia Jaen Velázquez
Asesor: Jesús González Comabella
Unión General de Trabajadores (UGT):
Titulares: Rosa Pérez Bernalte, Raúl Gisbert Barrué y Silvia Castaño Gómez, Juan Sánchez González, Judith Estremera
Suplentes: José Martínez Beltrán e Inma Ten Bertual
Asesoras: Xenia Rosales Juanola y Esther Silvestre
Sindicato de Enfermería (SATSE):
Titulares: Annabel Torres Egea, Miguel Oliveras Gisbert y Sandra Briz Godino
Suplentes: José David García Fernández, Raúl Martín Iglesias y Ray Sorroche Vidal
Asesor/a: Jesús Carlos García Reig y M. Jesús Figuero Pena
Sindicato Médicos de Cataluña (SMC):
Titulares: Josep Maria Serra Casasayas y Jordi Aparicio Freixa
Suplentes: Pablo Roman Muñoz y Francisco José Castro Bonhorquez
Asesor/a: Jordi Cruz Llobet y Eugenia Prados Correas
Por parte de las representaciones patronales:
Unión Catalana de Hospitales (La Unió):
Titulares: Ramón Massaguer Meléndez, Jordi Nonell Gregori, Sandra Tobías Grau, Héctor Cantero Carrascosa, Josep Vidal Negre y Noelia Santiago Rey
Suplentes: Gabriel Nieto Fernández-Arroyo, Marisa Sanz Villa y Laura Sánchez Santos
Asesoras: Alda Mumbrú López (Vallbé) y Elena de la Campa Alonso
Consorcio Asociación Patronal Sanitaria y Social (CAPSS):
Titulares: Natalia Codina Fuentefria, Roser Casas Agut, Joan Grau y Corbatera, Mariona Casanovas Coromines y Pilar Rol Miguel
Suplentes: Isabel Arrieta Segura, Vanesa González Rubio, Anna Fontaniol Verdaguer, Alberto Martín Martín y Raúl García Salazar
Asesoras: Abigail Blanco Cumplido y Paula Carrión Beas
Asociación Catalana de Entidades de Salud (ACES)
Titulares: Esther Moya
Suplentes: Joan Deu Cano
Asesores: Daniel Cubero Díaz
Presidente: Antonio Benavides
Secretaria: Yolanda Sánchez
En Barcelona, a las 15,30 horas del día 1 de abril de 2025, se reúne la Comisión Negociadora del IV Convenio colectivo de trabajo de los hospitales de agudos, centros de atención primaria, centros sociosanitarios y centros de salud mental, concertados con el Servei Català de la Salut.
Ambas partes, se reconocen capacidad legal suficiente para la suscripción del presente Acuerdo parcial.
Exponen
Primero
En el BOE núm. 244 de 9 de octubre de 2024 se publicó el Real Decreto 1026/2024, de 8 de octubre, que desarrolla el conjunto planificado de las medidas para la igualdad y no discriminación de las personas LGTBI en las empresas.
Así mismo, el 1 de marzo de 2023 se publicó al BOE la Ley 4/2023, de 28 de febrero, para la igualdad real y efectiva de las personas trans y para la garantía de los derechos de las personas LGTBI, que tiene como objetivo desarrollar y garantizar sus derechos erradicando las situaciones de discriminación para asegurar que en España se pueda vivir con plena libertad la orientación sexual, la identidad sexual, la expresión de género, las características sexuales y la diversidad familiar.
Este Real Decreto es el despliegue reglamentario de esta norma y, consecuentemente, se ha iniciado el procedimiento de negociación de las medidas planificadas en el marco de la Comisión Negociadora del IV Convenio colectivo de trabajo de los hospitales de agudos, centros de atención primaria, centros sociosanitarios y centros de salud mental, concertados con el Servei Català de la Salut que se constituyó el día 16 de diciembre de 2024.
Segundo
A consecuencia de lo anterior, las partes han valorado el redactado del III Convenio colectivo de trabajo de los hospitales de agudos, centros de atención primaria, centros sociosanitarios y centros de salud mental, concertados con el Servei Català de la Salut y han alcanzado una serie de acuerdos para ajustarlo a las previsiones contenidas en el Anexo 1 del Real Decreto 1026/2024, donde se regulan las medidas planificadas mínimas que tiene que contener cualquier acuerdo en esta materia. Este acuerdo parcial entrará en vigor al día siguiente del día de su firma y los acuerdos alcanzados se incorporarán al redactado definitivo del IV Convenio colectivo de trabajo de los hospitales de agudos, centros de atención primaria, centros sociosanitarios y centros de salud mental, concertados con el Servei Català de la Salut.
ACUERDOS
1. Cláusulas de igualdad de trato y no discriminación entre mujeres y hombres y el colectivo LGTBIQ+ (anexo I-medidas planificadas):
El artículo 78 del Convenio colectivo contempla como medida el desarrollo del plan de igualdad en las empresas bajo el ámbito de aplicación del Convenio. Pero no sólo como un proceso para alcanzar la igualdad entre hombres y mujeres, sino que se prevé como un proceso de incorporación transversal de la perspectiva de género, constituyendo un instrumento clave para implementar medidas que garanticen la igualdad de trato y no discriminación por motivos de género.
Adicionalmente se acuerda modificar el redactado del artículo 78.1 en los siguientes términos:
78.1. Todas las empresas incluidas en el ámbito de aplicación de este Convenio están obligadas a respetar la igualdad de trato y oportunidades en el ámbito de las relaciones laborales y, a tal fin, deberán adoptar las medidas necesarias para evitar cualquier tipo de discriminación laboral en el colectivo LGTBIQ+ y entre mujeres y hombres.
2. Acceso al empleo (anexo I-medidas planificadas):
El artículo 78 del Convenio colectivo, en su apartado 4.1.d y artículo 78.4.2.1, establece la obligación de implementar medidas de igualdad de trato en los procesos de acceso, desarrollo profesional y condiciones laborales en todos los niveles y áreas de la organización.
a) Adicionalmente, se acuerda modificar el redactado del artículo 16 añadiendo el punto 4:
Artículo 16
Ingresos
16.4. En todas las ofertas laborales se deberá preservar el lenguaje inclusivo y no discriminatorio. Asimismo, los procesos de selección y contratación tendrán que estar basados en criterios objetivos y transparentes, independientemente por razón de nacimiento, origen racial o étnico, sexo, religión, convicción u opinión, edad, discapacidad, orientación o identidad sexual o de género, expresión de género, características sexuales y diversidad familiar, enfermedad o condición de salud, estado o enfermedad circunstancia personal o social. Se tendrá especial atención con las personas trans, colectivo especialmente vulnerable. Todas las ofertas laborales serán de carácter inclusivo y no responderán a estereotipos de género.
b) Y se acuerda modificar el redactado del artículo 73, añadiendo el punto 11:
Artículo 73
Procedimiento de acogida
A efectos de favorecer la más rápida y correcta integración de las personas trabajadoras nuevo-contratadas, cada institución o centro afectado por este Convenio elaborará un protocolo de acogida dirigido al personal de nueva incorporación que deberá contemplar un manual de acogida que, entre otros aspectos de carácter interno, deberá incluir información sobre:
[…]
11. Los protocolos de la institución en relación con cualquier comportamiento discriminatorio, especialmente aquellas relacionadas con creencias, religión, sexo, raza, identidad de género y orientación sexual, expresión de género, las características sexuales y diversidades familiares.
3. Clasificación y promoción profesional (anexo I-medidas planificadas):
El artículo 78 del Convenio colectivo, en su apartado 4.1.e y artículo 78.4.2.1, establecen objetivos específicos de igualdad en el acceso al empleo y promoción, garantizando que ésta se realice sin discriminación.
a) Adicionalmente, se acuerda modificar el redactado del artículo 18 añadiendo el punto 5:
Artículo 18
Cambio de puesto de trabajo. Cambio de turno. Ascensos
18.5. Las empresas garantizarán el trato igualitario entre mujeres y hombres, las personas LGTBIQ+ y la diversidad familiar en los procesos de promoción.
4. Formación, sensibilización y lenguaje (anexo I-medidas planificadas):
El artículo 78 del Convenio colectivo, en su apartado 4.1.h y artículo 78.4.2 apartados 2 y 5, establecen que la formación se garantizará prioritariamente y con mayor nivel de exigencia a las personas que componen el departamento de recursos humanos y a aquéllas con cargos de responsabilidad, y asimismo se establece que se sensibilizará en la plantilla en temas de equidad de género, especialmente en violencia de género, brecha salarial y corresponsabilidad de los hombres en las tareas de cuidado de las familias y de los hogares. Asimismo, en el apartado 5 del artículo 78.4.2, se contemplan medidas para garantizar un lenguaje e imagen corporativa no sexista.
a) Adicionalmente, se acuerda modificar el redactado del artículo 64, añadiendo el punto 7 al apartado 5:
Artículo 64
Formación
64.5.7 Velar por el correcto y efectivo cumplimiento de lo que se prevé en el artículo 78.9. Formación en materia de igualdad.
b) También se acuerda modificar el redactado del artículo 78 punto 9:
78.9 Formación en materia de igualdad
Las empresas promoverán y garantizarán la formación en materia de igualdad y sobre los derechos de las personas LGTBIQ+ a todas las personas trabajadoras.
A tal efecto, se incorporarán al plan de formación de la empresa todas aquellas actividades formativas en materia de igualdad de oportunidades entre mujeres y hombres que se acuerden en el plan de igualdad y que serán supervisadas por la Comisión de igualdad de las empresas.
Asimismo, también se incorporarán sesiones formativas obligatorias para difundir los derechos de las personas LGTBIQ+ en el ámbito laboral. Esta formación se realizará dentro de la jornada laboral y correrá a cargo de las empresas.
En cuanto al protocolo de prevención y actuación frente al acoso sexual y por razón de sexo, género, orientación e identidad sexual, así como el protocolo de acompañamiento a personas trans si se dispone, las empresas garantizarán su difusión a todo el personal.
c) Y finalmente, se acuerda modificar el título del artículo 78.4.2 y su redactado, añadiendo la letra c) en el punto 78.4.2.5:
78.4.2 Objetivos específicos para la eliminación de cualquier desigualdad en el seno de la empresa
78.4.2.5 Lenguaje e imagen corporativa no sexista
a (…)
b (…)
c. La empresa activará en sus formularios una tercera casilla para determinar las realidades de género no binarias.
5. Entornos laborales diversos, seguros e inclusivos (anexo I-medidas planificadas):
En el artículo 78 del Convenio colectivo, en sus apartados 5 y 6, se contemplan medidas dirigidas al colectivo LGTBIQ+ así como específicamente para personas trans, promoviendo un ambiente laboral inclusivo y diverso.
a) Adicionalmente, se acuerda modificar el título del artículo 78 y también el redactado del artículo 78.5 y 78.6 en los siguientes términos:
Artículo 78
Igualdad de trato y oportunidades entre mujeres y hombres y el colectivo LGTBIQ+
Artículo 78.5
Igualdad colectivo LGTBIQ+
Las empresas deben respetar la igualdad de trato y oportunidades de las personas LGTBIQ+. Por ello adoptarán medidas dirigidas a garantizar y promover el derecho a la igualdad real y efectiva y a evitar y prevenir cualquier tipo de discriminación laboral o violencia por razón de orientación sexual, identidad de género o expresión de género y características sexuales de este colectivo y diversidades familiares.
Será obligatoria la elaboración de un protocolo específico para la prevención y el abordaje del acoso y violencia por orientación, identidad sexual, expresión de género y diversidades familiares.
Respecto a la estructura y contenido del protocolo ante las situaciones de acoso y la violencia contra las personas LGTBIQ+, deberá respetarse lo establecido en el Real Decreto 1026/2024, de 8 de octubre, por el que se desarrolla el conjunto planificado de las medidas para la igualdad y no discriminación de las personas LGTBIQ+ en las empresas, publicado en el BOE 09/10/2024, según el redactado que se adjunta como anexo en este acuerdo y que se anexará también al Convenio colectivo.
Estas medidas deben ser objeto de consulta y, en su caso, de acuerdo con la representación legal de las personas trabajadoras, llegando, siempre que sea posible, a la adopción en las empresas de códigos de conducta y de protocolos de actuación para la igualdad de oportunidades y la no discriminación de las personas LGTBIQ+.
La formación en materia de igualdad y en materia específica LGTBIQ+ tendrá carácter obligatorio y deberá estar dirigida a toda la plantilla, incluyendo los mandos y cargos de supervisión y responsabilidad intermedios y directivos. Los contenidos de la formación incluirán actividades de información y sensibilización sobre la realidad LGTBIQ+ y se fomentarán medidas para garantizar un lenguaje respetuoso con la diversidad.
Esta formación deberá contemplar como mínimo:
– El conocimiento general y difusión del conjunto de medidas planificadas LGTBIQ+, su alcance y contenido.
-El conocimiento de las definiciones y conceptos básicos sobre la diversidad sexual, familiar y de género.
– El conocimiento y difusión del protocolo de acompañamiento a las personas trans, si las hubiere.
– El conocimiento y difusión del protocolo para la prevención, detección y actuación frente al acoso discriminatorio o violencia por razón de orientación e identidad sexual, expresión de género y características sexuales.
78.6. Personas trans
a. Se garantizará la privacidad en los espacios comunes, como baños o vestuarios, para preservar la intimidad de todas las personas, favoreciendo la creación de espacios específicos para todas las personas que lo necesiten.
b. Se adaptarán el puesto de trabajo o la jornada cuando sea necesario mientras se realiza el proceso de transición, por lo que es importante recordar que en la ley de prevención de riesgos laborales se establece que, para una adecuada actuación preventiva, la persona trabajadora tiene derecho a disponer de las medidas de protección específicas por sus propias características personales. En caso de que la persona trans necesite provisionalmente una adaptación del lugar o del horario, se trasladará al Comité de Seguridad y salud o en su defecto al Delegado o Delegada de Prevención, realizando si fuera necesaria una evaluación de riesgos laborales y psicosociales.
c. Se garantizará la privacidad de los datos sanitarios.
d. Las personas trans deben ser tratadas según su nombre elegido e identidad de género, siendo importante que en cualquier documentación interna de la empresa se modifique el nombre y sexo de la persona, aunque no se haya tramitado la rectificación legal en su DNI o NIE (se exceptúa aquella documentación en la que sea necesaria la referencia expresa del nombre legal).
e. La persona trans decidirá a quién, cuándo y cómo comunicar su proceso de transición y el momento en que quiere empezar a ser tratada conforme a su identidad de género.
f. Se promoverá por parte de las patronales firmantes del Convenio la colaboración con entidades sin ánimo de lucro que estén desarrollando proyectos de inserción laboral para impulsar la contratación de personas trans o apoyarlas en el desarrollo de sus objetivos.
g. Se promoverá la máxima sensibilización hacia las personas trans en las actividades de vigilancia de la salud que se desarrollen dirigidas al conjunto del personal, atendiendo a sus necesidades.
b) También se acuerda añadir un nuevo punto, el punto 10 al artículo 78 del Convenio, con el siguiente redactado:
78.10
Informes periódicos
La empresa elaborará informes de carácter anual sobre la planificación de las medidas de igualdad y no discriminación entre mujeres y hombres y colectivo LGTBIQ+, que se pondrán a disposición de las personas trabajadoras y la RLPT.
c) Y se acuerda modificar el artículo 39 apartados 1 y 2 en los siguientes términos:
Artículo 39
Ropa de trabajo
39.1. Los centros o instituciones tendrán que facilitar a su personal el equipo de trabajo necesario y también los uniformes, zapatos y complementos habituales. El mantenimiento del equipo y el lavado o planchado de la ropa de trabajo correrá a cargo del centro o institución sanitaria. Los equipos, uniformes y calzado se renovarán periódicamente y según exija su estado de deterioro. Todo el personal, dentro del centro de trabajo, estará obligado a llevar su uniforme habitual, completo, así como los distintivos que el centro o institución haya establecido. Por todo lo anterior, se garantizará la uniformidad y los distintivos del centro o institución según la identidad y la expresión de género de la persona trabajadora.
39.2. Las empresas dispondrán de vestuarios que estarán dotados de asientos y taquillas individuales con llave, que tendrán la capacidad suficiente para guardar la ropa y el calzado. Las taquillas para la ropa de trabajo y por la de calle estarán separadas para evitar la contaminación de la ropa de calle. Las dimensiones de los vestuarios, así como las respectivas dotaciones de asientos, armarios, percheros, lavabos, duchas e inodoros, deberán permitir la utilización de estos equipos e instalaciones sin dificultades o molestias, teniendo en cuenta en cada caso el número de personas trabajadoras que deban utilizarlos simultáneamente (Real Decreto 486/1997, de 14 de abril, por el cual se establecen las disposiciones mínimas de seguridad y salud en los puestos de trabajo y guía técnica).
La empresa dotará de espacios adecuados que permitan respetar la intimidad de las personas trabajadoras, especialmente para aquellos colectivos vulnerables, entre ellos, las personas trabajadoras del colectivo trans.
6. Permisos y beneficios sociales (anexo I-medidas planificadas):
El Convenio regula en su capítulo 5 los permisos retribuidos, excedencias y otras mejoras sociales. En ningún caso se hace distinción alguna con relación a esta materia en cuanto al colectivo LGTBIQ+. Todo lo contrario. En materia de permisos retribuidos, se incluye como beneficiarios a todo tipo de familias y parejas, incluyendo cónyuges y parejas de hecho. Asimismo, se contempla en su artículo 44 bis una excedencia específica para supuestos de transición de género.
a) Adicionalmente, se acuerda modificar el redactado del artículo 42 punto d, añadiendo un nuevo párrafo:
Artículo 42
Permisos retribuidos
d. (..)
Dentro de este máximo de 14 horas anuales se incluirá como hecho causante la asistencia a consultas médicas o pruebas diagnósticas, dentro del ámbito del Servicio Nacional de Salud, relacionadas con los procedimientos de afirmación de género o las revisiones que se deriven del proceso, así como por los requerimientos o procedimientos administrativos relacionados con el cambio registral de la mención del nombre, sexo o género.
b) También se acuerda modificar el artículo 44 bis en los siguientes términos:
Artículo 44.bis
Excedencia especial por transición de género
44.bis.1
La persona trabajadora en proceso de transición de género tendrá derecho a solicitar un período de excedencia, no remunerado y con reserva de su puesto de trabajo.
44.bis.2
La duración máxima del tiempo de excedencia será de dos años efectivos, pudiéndose disfrutar de forma continua o discontinua a elección de la persona trabajadora y con un máximo de dos interrupciones (equivalente a un máximo de tres períodos). En caso de disfrute de forma discontinua, no podrá haber más de tres años entre el inicio y el final de la excedencia.
44.bis.3
La excedencia deberá solicitarse por escrito a la empresa con una antelación de dos meses anteriores a la fecha de inicio o continuidad del proceso de transición de género.
Junto con la solicitud inicial, se aportará certificado médico indicando el inicio del proceso de transición de género sin que deba constar ningún otro dato respecto al procedimiento, adoptándose las medidas de protección de datos de salud de carácter personal.
Asimismo, la empresa deberá comunicar su concesión, también por escrito, en el plazo de los quince días naturales siguientes, indicando la fecha en la que la persona trabajadora debe reincorporarse, así como la posibilidad de solicitar la prórroga del tiempo de excedencia con un mes de antelación a la fecha prevista de finalización y las consecuencias de no realizar la solicitud en tiempo y forma, así como, de la no incorporación en la fecha prevista.
44.bis.4
Cuando la persona trabajadora se acogiera a otra excedencia de las contempladas en el Convenio, el inicio de la misma dará fin a la que se venga disfrutando.
44.bis.5.
El período en el que la persona trabajadora permanezca en situación de excedencia conforme a lo establecido en este artículo será computable a efectos de antigüedad y la persona trabajadora tendrá derecho a la asistencia a cursos de formación profesional, siendo convocada por el empresario, especialmente con ocasión de su reincorporación.
44.bis.6.
La persona trabajadora puede pedir el reingreso a la empresa antes de finalizar el período solicitado, pero la empresa no está obligada a valorar la posibilidad de reingreso hasta que finalice el período inicialmente solicitado o prorrogado, salvo acuerdo en contrario entre las partes.
44.bis.7
A la finalización del período de esta excedencia, la persona trabajadora tendrá derecho a la reincorporación automática en su puesto de trabajo.
44.bis.8
Esta excedencia no interrumpe la prestación efectiva de servicios según establece el artículo 29 y el artículo 75, segundo, g).
c) Y se acuerda modificar el punto segundo del artículo 75, punto segundo y letra g) del Convenio:
Artículo 75
Sistema para la incentivación, promoción y desarrollo profesional
Segundo
Normas comunes para todo el sistema y para todos los grupos profesionales
g) (…)
Se considera que no interrumpen la prestación de servicios a que se refiere el SIPDP y el SIP las siguientes situaciones:
1. (…)
2. La especial excedencia por nacimiento o adopción legal de hijos o en los supuestos de guarda con fines de adopción o acogimiento permanente o cuidado de familiares del artículo 44 del Convenio.
3. (…)
4. (…)
5. La situación de excedencia especial por transición de género del artículo 44.bis del Convenio
7. Régimen disciplinario (anexo I-medidas planificadas):
El Convenio establece un régimen disciplinario en su capítulo 8 que conviene adaptar dado que falta prever como falta muy grave el acoso por orientación e identidad sexual y expresión de género.
Por tanto, las partes acuerdan adaptar el redactado del artículo 61.4, que es el artículo donde se prevén las faltas muy graves, añadiendo una nueva falta:
e) Las conductas discriminatorias o violentas por razón de sexo, orientación o identidad sexual, expresión o identidad de género y características sexuales, hacia las personas trabajadoras, pacientes y usuarios y sus visitantes o acompañantes, personas voluntarias, alumnos en prácticas, participantes en los procesos de selección de personal y personas trabajadoras de empresas proveedoras de servicios o de suministros.
ANEXO.- PROTOCOLO DE ACTUACIÓN FRENTE AL ACOSO Y LA VIOLENCIA CONTRA LAS PERSONAS LGTBI
La estructura y contenido del protocolo ante situaciones de acoso por orientación e identidad sexual y expresión de género se ajustará, como mínimo, a los siguientes apartados:
a) Declaración de principios
Manifestación del compromiso explícito y firme de no tolerar en la empresa ningún tipo de práctica discriminatoria considerada como acoso por razón de orientación e identidad sexual y expresión de género, quedando prohibida expresamente cualquier conducta de esta naturaleza.
b) Ámbito de aplicación
Este protocolo será de aplicación directa a las personas que trabajan en la empresa con independencia del vínculo jurídico que las una a ésta, siempre que desarrollen su actividad dentro del ámbito organizativo de la empresa. También se aplicará a quien solicite un puesto de trabajo, al personal de puesta a disposición, proveedores, clientes y visitas, entre otros.
c) Principios rectores y garantías del procedimiento
– Agilidad, diligencia y rapidez en la investigación y resolución de la conducta denunciada, que deben ser realizadas sin demoras indebidas, respetando los plazos que se determinen para cada parte del proceso y que constarán en el protocolo.
– Respeto y protección de la intimidad y dignidad de las personas afectadas, ofreciendo un trato justo a todas las implicadas.
– Confidencialidad: las personas que intervengan en el procedimiento están obligadas a mantener una estricta confidencialidad y reserva, no transmitirán ni divulgarán información sobre el contenido de las denuncias presentadas, en proceso de investigación o resueltas.
– Protección suficiente de la víctima ante posibles represalias, atendiendo a su seguridad y salud, y considerando las posibles consecuencias físicas y psicológicas derivadas de esta situación, especialmente las circunstancias laborales que rodean a la persona agredida.
– Contradicción: garantizar una audiencia imparcial y un trato justo para todas las personas afectadas.
– Restitución de las víctimas: si el acoso concretado hubiera supuesto una modificación de las condiciones laborales de la víctima, la empresa deberá restituirla a sus condiciones anteriores, si así lo solicita.
– Prohibición de represalias: queda expresamente prohibido y será declarado nulo cualquier acto constitutivo de represalia, incluidas las amenazas o intentos de represalia contra las personas que presenten una denuncia por los medios habilitados, comparezcan como testigos o ayuden en una investigación de acoso.
d) Procedimiento de actuación: el protocolo determinará el procedimiento para la presentación de la denuncia o queja, así como el plazo para su resolución, sin perjuicio de la aplicación de las disposiciones previstas en la Ley 2/2023, de 20 de febrero, reguladora de la protección de las personas que informan sobre infracciones normativas y de lucha contra la corrupción, en su material.
La denuncia puede presentarse por la persona afectada o por quien ésta autorice, mediante el procedimiento acordado y ante la persona que se determine de la Comisión encargada del proceso de investigación.
En caso de que la denuncia no sea presentada directamente por la persona afectada, debe incluirse su consentimiento expreso e informado para iniciar las actuaciones del protocolo.
Tras la recepción de la queja o denuncia y, una vez constatada la situación de acoso, se adoptarán medidas cautelares o preventivas que aparten a la víctima de la persona acosadora mientras se desarrolla el procedimiento de actuación hasta su resolución.
En el plazo máximo de los días hábiles acordados, la Comisión deberá emitir un informe vinculante en uno de los siguientes sentidos:
i) Constar indicios de acoso objeto del protocolo y, en su caso, proponer la apertura del expediente sancionador
ii) No apreciar indicios de acoso objeto del protocolo
El informe deberá incluir, al menos, la descripción de los hechos, la metodología empleada, la valoración del caso, los resultados de la investigación y las medidas cautelares o preventivas, si procede.
e) Resolución: en esta fase se tomarán las medidas necesarias, teniendo en cuenta las evidencias, recomendaciones y propuestas del informe emitido por la Comisión.
Si existen evidencias de la existencia de una situación de acoso por razón de orientación e identidad sexual o expresión de género, se instará a la incoación de un expediente sancionador, se pedirá la adopción de medidas correctoras y, en su caso, se continuarán aplicando medidas de protección a la víctima.
Si no existen evidencias de la existencia de una situación de acoso, se procederá a archivar la denuncia.
Se establece que la constitución de la Comisión para la elaboración del protocolo para la prevención y el abordaje del acoso o violencia por orientación, identidad sexual, expresión de género, características sexuales y diversidad familiar, tendrá como plazo máximo el 1 de julio de 2025 y en cuanto a la finalización de sus funciones de elaboración del protocolo se acuerda que la fecha máxima será el 31 de diciembre de 2025, excepto acuerdo entre las partes de otro plazo.
Asimismo, se respetarán los acuerdos alcanzados antes de la firma de este acuerdo parcial entre las empresas y la representación legal de las personas trabajadoras siempre que los protocolos pactados cumplan con la estructura y contenido de lo establecido en el Real decreto 1026/2024, de 8 de octubre, por el que se desarrolla el conjunto planificado de las medidas para la igualdad y no discriminación de las personas LGTBI en las empresas, publicado en el BOE 09/10/2024, y que se adjunta como anexo en este acuerdo parcial.
Las organizaciones firmantes acuerdan facultar a Alda Mumbrú López, para proceder a realizar los trámites de comunicación por registro ante la autoridad laboral, en su caso.
Y en prueba de conformidad, firman esta Acta, en el lugar y fecha indicados, los componentes de la Comisión Negociadora indicados en su inicio.
REVISIÓN SALARIAL (DOGC Núm. 9465 – 29.7.2025)
Resolución EMT/2868/2025, de 17 de julio, por la que se disponen la inscripción y la publicación del Acuerdo de revisión salarial de la Comisión Paritaria del Convenio colectivo de trabajo de los hospitales de agudos, centros de atención primaria, centros sociosanitarios y centros de salud mental concertados con el Servicio Catalán de la Salud (código de convenio núm. 79100135012015)
Visto el texto del Acta nº 32 de la Comisión Paritaria del III Convenio colectivo de trabajo de los hospitales de agudos, centros de atención primaria, centros sociosanitarios y centros de salud mental concertados con el Servicio Catalán de la Salud (Código de convenio nº 79100135012015), suscrita en fecha 8 de julio de 2025, relativa al premio de fidelización y a la actualización de las Tablas salariales para el año 2024, y de acuerdo con lo que disponen el artículo 90.2 y 3 del Real decreto legislativo 2/2015, de 23 de octubre, por el cual se aprueba el Texto Refundido de la Ley del Estatuto de los trabajadores; el artículo 2.1) del Real decreto 713/2010, de 28 de mayo, sobre registro y depósito de convenios colectivos, acuerdos colectivos de trabajo y planes de igualdad; el Decreto 56/2024, de 12 de marzo, de Reestructuración del Departamento de Empresa y Trabajo y el artículo 6 de la Ley 26/2010, de 3 de agosto, de Régimen Jurídico y de Procedimiento de las Administraciones Públicas de Cataluña,
Resuelvo:
–1 Disponer la inscripción del Acuerdo mencionado en el Registro de convenios colectivos, acuerdos colectivos de trabajo y planes de igualdad de la Dirección General de Relaciones Laborales, Trabajo Autónomo, Seguridad y Salud Laboral, con notificación en las partes firmantes.
–2 Disponer su publicación en el Diario Oficial de la Generalitat de Catalunya, con el cumplimiento previo de los trámites pertinentes.
Barcelona, 17 de julio de 2025
Núria Gilgado Barbadilla
Directora general de Relaciones Laborales, Trabajo Autónomo, Seguridad y Salud Laboral
ACTA 32 DE LA COMISIÓN PARITARIA DEL III CONVENIO COLECTIVO DE TRABAJO DE LOS HOSPITALES DE AGUDOS, CENTROS DE ATENCIÓN PRIMARIA, CENTROS SOCIOSANITARIOS Y CENTROS DE SALUD MENTAL, CONCERTADOS CON EL SERVICIO CATALÁN DE LA SALUD
Asistentes
Organizaciones sindicales:
Comisiones Obreras (CCOO):
Titulares: Paco Pareja Montañés, Cristina Martínez Nieto, Manel Abia Ortiz, Eva García López y Josefa Sánchez Brustenga
Suplentes: María Ramos Guzmán y Xavier Pallàs García
Asesor: Pere Jiménez Joven
Unión General de Trabajadores (UGT):
Titulares: Juan Sanchez González, Jose Martínez Beltran, Silvia Franco Mas, Rosa Perez Bernalte y Judith Extremera Ortega
Asesora: Xènia Rosales Juanola y Ester Silvestre García
Sindicato de Enfermería (SATSE):
Titulares: Miquel Oliveras Gisbert, Raúl Martin Iglesias y M. Jesús Figueroa Pena
Asesor: Jesús Carlos García Reig
Organizaciones patronales:
Unión Catalana de Hospitales (La Unión):
Titulares: Jordi Nonell Gregori, Carles Garcia Hernández, Sandra Tobías Grau, Gabriel Nieto-Fernandez Arroyo y Elena de la Campa Alonso
Suplentes: Jaume Alujas Rovira y Noelia Santiago Rey
Asesora: Alda Mumbrú López (Vallbé)
Consorcio Asociación Patronal Sanitaria y Social (CAPSS):
Titulares: Roser Casas Agut, Joan Grau Corbatera, Pilar Rol Miguel, Maria Isabel Arrieta Segura, Mariona Casanovas Corominas, Vanessa Gonzalez Rubio y Natalia Codina Fuentefria
Suplentes: Jordi Fonoll Lluís, Anna Fontaniol Verdaguer y Alberto Martín Martín
Asesoras: Abigail Blanco Cumplido (FJM) y Paula Carrión Beas
Asociación Catalana de Entidades de Salud (ACES):
Titular: Esther Moya Padilla
Asesores: Dani Cubero Díaz(Antràs)
Presidenta: Cristina Martínez Nieto
Secretaría: Laura Sánchez Santos
En Barcelona, a 8 de julio de 2025 a las 15:30 horas se reúnen los componentes de la Comisión Paritaria del III Convenio colectivo de trabajo de los Hospitales de Agudos, Centros de Atención Primaria, Centros Sociosanitarios y Centros de Salud Mental, concertados con el Servicio Catalán de la Salud para tratar los siguientes temas:
Orden del día
– Aprobación de los premios de fidelización comunicados hasta el 8 de julio de 2025.
– Aprobación y firma de la actualización de las tablas salariales del año 2024 (anexos) y firma.
Acuerdos
Primero.- Aprobación de los premios de fidelización
– Consorcio Sanitario del Maresme (3)
– Salud Tierras del Ebro
– Instituto de Asistencia Sanitaria
Segundo.- Aprobación y firma de la actualización de las tablas salariales 2024.
1. Con el fin de dar cumplimiento en el primer punto del apartado d) de la disposición adicional segunda del Convenio colectivo, que indica:
«Adicionalmente para el año 2024, si la suma de la variación del IPC armonizado de los años 2022, 2023 y 2024 supera el incremento retributivo fijo acumulado de 2022, 2023 y 2024, se aplicará un incremento retributivo adicional y consolidable del 0,5%. Este incremento adicional tendría efectos desde el 1 de enero del 2024.»
2. Y dado que:
1. El Real Decreto-Ley 4/2024, de 26 de junio, por el cual se prorrogan Determinadas Medidas para afrontar las Consecuencias Económicas y Sociales derivadas de los conflictos en Ucrania y Oriente Próximo y se adoptan medidas urgentes en materia fiscal, energética y social, establece en su artículo 6 el incremento retributivo del personal al servicio del sector público para el año 2024 y el carácter básico del artículo.
2. El Decreto ley 3/2024, de 9 de abril, de concesión de un suplemento de crédito y de un crédito extraordinario a los presupuestos de la Generalitat de Catalunya para el 2023 prorrogados para el 2024 y de otras medidas financieras y administrativas, que prevé en el artículo 5 que las retribuciones íntegras del personal, incluidas en el título III de la Ley 2/2023, del 16 de marzo, de Presupuestos de la Generalitat de Catalunya a en el 2023, se incrementarán para el 2024 en el porcentaje máximo que autorice la normativa básica.
3. Se aprobaron en fecha 27 de enero de 2025 en el Consejo de Dirección de CatSalut los compromisos económicos correspondientes.
4. Se ha publicado en el BOE nº 158, de 1 de julio de 2025, la Orden PJC/681/2025, de 1 de julio, por la cual se publica el Acuerdo del Consejo de Ministros de 1 de julio de 2025, por el cual se aprueba el incremento del 0,5 por ciento de las retribuciones del personal al servicio del sector público previsto en el artículo 6.2 del Real decreto-ley 4/2024, de 26 de junio, por el cual se prorrogan determinadas medidas para afrontar las consecuencias económicas y sociales derivadas de los conflictos en Ucrania y Oriente Próximo y se adoptan medidas urgentes en materia fiscal, energética y social.
Y en consonancia con la disposición transitoria quinta que establece que los compromisos económicos recogidos a la disposición adicional segunda de este Convenio se formalizarán una vez sean aprobadas anualmente por parte del CatSalut las tarifas o los mecanismos correspondientes que permitan la aplicación de los aspectos retributivos a que hace referencia el escenario global aprobado por el Consejo de Dirección del CatSalut en fecha 28 de diciembre de 2022. Una vez se publiquen las tarifas y/o otros mecanismos, la Comisión Paritaria procederá a lo firma de las tablas salariales anuales, indicando la fecha máxima de aplicación de las mismas.
Se aprueba
La actualización de todos los conceptos e importes de las tablas salariales del Convenio correspondientes al ejercicio de 2024 incorporando el incremento retributivo del 0,5% con efectos de 1 de enero de 2024.
Continúan vigentes los anexos del 15 al 23 del actual Convenio publicado en el DOGC de 16 de marzo de 2023 (nº 8876), referidos en las tablas salariales del 2008 sobre las que se aplica la deducción del 0,88%, según indica la disposición adicional primera del Convenio.
Se acuerda que la actualización de las nuevas tablas se haga efectiva a la nómina del mes de julio de 2025 y que el abono de los atrasos del año 2024 y primer semestre del año 2025 se efectúe como máximo el día 30 de septiembre de 2025. En caso de que por razones excepcionales de carácter técnico u organizativo la empresa no pueda cumplir con los plazos antes estipulados lo tendrá que justificar en su RLPT.
Las personas asistentes delegan la firma de la presente acta a una persona por cada organización.
Las partes autorizan a la Sra. Laura Sánchez Santos y a la Sra. Alda Mumbrú Lopez para proceder a realizar los trámites de registro ante la autoridad laboral.
Y sin más asuntos a tratar se da por finalizada la reunión a las 16:15 horas del día indicado en el encabezamiento.
REVISIÓN SALARIAL (DOGC Núm. 9615 – 2.3.2026)
Resolución EMT/509/2026, de 23 de enero, por la que se disponen la inscripción y la publicación del Acuerdo parcial del Convenio colectivo de trabajo de los hospitales de agudos, centros de atención primaria, centros sociosanitarios y centros de salud mental, concertados con el Servicio Catalán de la Salud (código de convenio 79100135012015).
Visto el texto del Acuerdo Parcial del Convenio colectivo de trabajo de los hospitales de agudos, centros de atención primaria, centros sociosanitarios y centros de salud mental, concertados, con el Servicio Catalán de la Salud (código de convenio 79100135012015), relativo a las Tablas salariales para los años 2025 y 2026, habiendo sido suscrito en fecha 13 de enero de 2026, por parte de las organizaciones empresariales, por parte de la representación social por Comisiones Obreras (CCOO), Unión General de Trabajadores (UGT), el Sindicato de Enfermería (SATSE) y el Sindicato de Médicos de Cataluña, y por la parte empresarial por la Unión Catalana de Hospitales (La Unión), el Consorcio Asociación Patronal Sanitaria y Social (CAPSS), y la Asociación Catalana de Entidades de Salud (ACES), y de acuerdo con el que disponen el artículo 90.2 y 3 del Real decreto legislativo 2/2015, de 23 de octubre, por el cual se aprueba el Texto Refundido de la Ley del Estatuto de los Trabajadores; el artículo 2.1) del Real decreto 713/2010, de 28 de mayo, sobre registro y depósito de convenios colectivos y acuerdos colectivos de trabajo; el Decreto 56/2024, de 12 de marzo, de reestructuración del Departamento de Empresa y Trabajo y el artículo 6 de la Ley 26/2010, de 3 de agosto, de Régimen Jurídico y de Procedimiento de las Administraciones Públicas de Cataluña,
Resuelvo:
–1 Disponer la inscripción del Acuerdo Parcial mencionado en el Registro de convenios colectivos, acuerdos colectivos de trabajo y planes de igualdad de la Dirección General de Relaciones Laborales, Trabajo Autónomo, Seguridad y Salud Laboral, con notificación a la Comisión Negociadora.
–2 Disponer su publicación en el Diario Oficial de la Generalitat de Catalunya, con el cumplimiento previo de los trámites pertinentes.
Barcelona, 23 de enero de 2026.
Núria Gilgado Barbadilla.
Directora general de Relaciones Laborales, Trabajo Autónomo, Seguridad y Salud Laboral.
ACTA (ACUERDO PARCIAL) DE LA COMISIÓN NEGOCIADORA DEL CUARTO CONVENIO COLECTIVO DE TRABAJO DE LOS HOSPITALES DE AGUDOS, CENTROS DE ATENCIÓN PRIMARIA, CENTROS SOCIOSANITARIOS Y CENTROS DE SALUD MENTAL, CONCERTADOS CON EL SERVICIO CATALÁN DE LA SALUD.
Comisiones Obreras (CCOO):
Titulares: Cristina Martínez Nieto, Paco Pareja Montañés, Eva García López, María Ramos Guzmán y Pere Jiménez Joven Suplentes: Sonia Jaén Velázquez, Manel Abia Ortiz, Xavier Pallàs García y Mi. Teresa Gil Martínez.
Assessors: Jesús González Comabella.
Unión General de Trabajadores (UGT):
Titulares: Rosa Pérez Bernalte, Raúl Gisbert Barrué, Alex Trullàs Manonelles, Judith Extremera Ortega y Silvia Castaño Gómez.
Suplentes: Jose Martinez Beltran, Inma Ten Bartual y Joan Sánchez González.
Asesoras: Xènia Rosales Juanola y Esther Silvestre García.
Sindicato de Enfermería (SATSE):
Titulares: Miquel Oliveras Gisbert, Annabel Torres Egeo y José David Garcia Fernández.
Suplentes: Raúl Martín Iglesias y Balsa Sorroche Vidal.
Asesoras: Jesús Carlos García Reig y Mi. Jesus Figueroa Pena.
Sindicat Metges de Cataluña (SMC):
Titulares: Jordi Aparicio Freixa y Josep Maria Serra Casasayas.
Suplentes: Francisco José Castro Bonhorquez.
Asesora: Mireia Montesinos Sanchis.
Organizaciones patronales:
Unión Catalana de Hospitales (La Unión):
Titulares: Ramon Massagué Meléndez, Jordi Nonell Gregori, Carles García Hernández, Sandra Tobias Grau, Josep Vidal Negre y Noelia Santiago Rey.
Suplentes: Gabriel Nieto Fernández-Arroyo, Jaume Alujas Rovira, Ester Cruselles Pubill, Mireia Traserra Call, Marisa Sanz Villa y Laura Sánchez Santos.
Asesoras: Elena de la Campa Alonso y Alda Mumbrú López (Vallbé).
Consorcio Asociación Patronal Sanitaria y Social (CAPSS):
Titulares: M. Isabel Arrieta Segura, Mariona Casanovas Corominas, M. Roser Casas Agut, Natàlia Codina Fuentefría, Jordi Fonoll Lluis, Joan Grau Corbatera y Pilar Rol Miguel.
Suplentes: Vanesa González Rubio y Ramon Masó Valmajó.
Asesoras: Abigail Blanco Cumplido y Paula Carrión Beas.
Asociación Catalana de Entidades de Salud (ACES).
Titulares: Pedro Ayesa Guix.
Suplentes: Esther Moya Padilla.
Asesores: Daniel Cubero Díaz i Joan Diez y Cano.
En Barcelona a las 15:30 horas del día 13 de enero de 2026, se reúne la Comisión negociadora del IV Convenio colectivo de trabajo de los hospitales de agudos, centros de atención primaria, centros sociosanitarios y centros de salud mental, concertados con el Servicio Catalán de la Salud (SISCAT).
Ambas partes, se reconocen capacidad legal suficiente para la suscripción del presente Acuerdo Parcial.
EXPONEN.
Primero:
En el BOE nº 290 se publicó el 3 de diciembre de 2025 el «Real Decreto-Ley 14/2025, de 2 de diciembre, miedo el que se aprueban medidas urgentes en materia de retribuciones en el ámbito del sector público», donde se establecen los incrementos de las retribuciones del personal al servicio del sector público:
– Para 2025, se establece un incremento global máximo consolidable del 2,5% con respecto a las retribuciones vigentes a 31 de diciembre de 2024, con efectos 1 de enero 2025.
– Para 2026, se establece un incremento global máximo consolidable del 1,5% con respecto a las retribuciones vigentes a 31 de diciembre de 2025, con efectos de 1 de enero de 2026.
– Asimismo, y con efectos 1 de enero de 2026, se aplicará otro incremento retributivo adicional y consolidable del 0,5 por ciento con respecto a las retribuciones vigentes a 31 de diciembre de 2025 si la variación del IPC en 2026 es igual o superior al 1,5%.
Segundo:
El 22 de diciembre de 2025, se ha procedido a la aprobación en el Consejo de Dirección del CatSalut de las tarifas que permiten aplicar los incrementos salariales fijas indicados para el 2025 y 2026, del 2,5% y del 1,5%, respectivamente.
A la vista de los puntos anteriores las partes acuerdan:
Primero.
– La actualización, con efectos de 1 de enero de 2025, de todos los conceptos e importes de las tablas salariales del Convenio, incorporando el incremento retributivo del 2,5% con respecto a las tablas vigentes a 31 de diciembre de 2024.
– La actualización, con efectos de 1 de enero de 2026, de todos los conceptos e importes de las tablas salariales del Convenio, incorporando el incremento retributivo del 1,5% con respecto a las tablas vigentes a 31 de diciembre de 2025.
– Que la nómina del mes de enero de 2026 incorporará las tablas salariales correspondientes a 2026.
– Que el abono de los atrasossalariales del año 2025 se efectúe como máximo el día 28 de febrero de 2026.
Se anexan las tablas salariales definitivas del año 2025 y 2026.
Segundo.
En caso de que la variación del IPC en el 2026 resultara igual o superior al 1,5%, se aplicará otro incremento retributivo adicional y consolidable del 0,5% con respecto a las retribuciones vigentes en 31 de diciembre de 2025 y con efectos 1 de enero de 2026, una vez sean aprobadas por el Consejo de Dirección del CatSalut las tarifas o los mecanismos correspondientes que permitan su aplicación.
Tercero.
En caso de que por razones excepcionales de carácter técnico u organizativo la empresa no pueda cumplir con el plazo estipulados al acuerdo primero sobre los atrasosde 2025, lo tendrá que justificar en su RLPT.
El acuerdo alcanzado por la Comisión negociadora ha sido ratificado por todas las organizaciones empresariales UCH, CAPSS y ACES, así como por todas las organizaciones sindicales CCOO, UGT, SATSE y Sindicat Metges de Cataluña.
La firma del presente acuerdo parcial no compromete ni vincula la firma del IV Convenio.
En todo aquello no indicado al acuerdo parcial se mantendrá vigente aquello establecido en el III Convenio Colectivo de trabajo de los hospitales de agudos, centros de atención primaria, centros sociosanitarios y centros de salud mental, concertados con el Servicio Catalán de la Salud y en los acuerdos parciales firmados.
Las organizaciones firmantes acuerdan facultar a Laura Sánchez Santos y Alda Mumbrú López, para realizar los trámites necesarios para la comunicación de los Acuerdos alcanzados en la presente Acta a la Dirección General de Relaciones Laborales, Trabajo Autónomo y Seguridad y Salud Laboral del Departamento de Empresa y Trabajo, para su publicación.
Prueba conformidad, firman esta Acta, en el lugar y fecha indicados, los componentes de la Comisión negociadora indicados en el encabezamiento.
ACUERDO (DOGC Núm. 9632 – 25.3.2026)
Resolución EMT/793/2026, de 6 de marzo, por la que se disponen la inscripción y la publicación del Acuerdo parcial del Convenio colectivo de trabajo de los hospitales de agudos, centros de atención primaria, centros sociosanitarios y centros de salud mental, concertados con el Servicio Catalán de la Salud (código de convenio 79100135012015).
Visto el texto del Acuerdo parcial del Convenio colectivo de trabajo de los hospitales de agudos, centros de atención primaria, centros sociosanitarios y centros de salud mental, concertados, con el Servicio Catalán de la Salud (Código de convenio 79100135012015), relativo al artículo 52 del convenio mencionado, habiendo sido suscrito en fecha 24 de febrero de 2026, por parte de la representación social por Comisiones Obreras (CCOO), Unión General de Trabajadoras y Trabajadores (UGT), el Sindicato de Enfermería (SATSE) y el Sindicato Médicos de Cataluña (SMC), y por la parte empresarial, por la Unión Catalana de Hospitales (La Unión), el Consorcio Asociación Patronal Sanitaria y Social (CAPSS), y la Asociación Catalana de Entidades de Salud (ACES), y de acuerdo con lo que disponen el artículo 90.2 y 3 del Real decreto legislativo 2/2015, de 23 de octubre, por el cual se aprueba el Texto Refundido de la Ley del Estatuto de los Trabajadores; el artículo 2.1) del Real Decreto 713/2010, de 28 de mayo, sobre registro y depósito de convenios colectivos y acuerdos colectivos de trabajo; el Decreto 56/2024, de 12 de marzo, de Reestructuración del Departamento de Empresa y Trabajo y el artículo 6 de la Ley 26/2010, de 3 de agosto, de Régimen Jurídico y de Procedimiento de las Administraciones Públicas De Cataluña,
Resuelvo:
–1 Disponer la inscripción del Acuerdo Parcial mencionado en el Registro de convenios colectivos, acuerdos colectivos de trabajo y planes de igualdad de la Dirección General de Relaciones Laborales, Trabajo Autónomo, Seguridad y Salud Laboral, con notificación en las partes firmantes.
–2 Disponer su publicación en el Diario Oficial de la Generalitat de Catalunya, con el cumplimiento previo de los trámites pertinentes.
Barcelona, 6 de marzo de 2026.
Núria Gilgado Barbadilla.
Directora general de Relaciones Laborales, Trabajo Autónomo, Seguridad y Salud Laboral.
ACUERDO PARCIAL DE LA COMISIÓN NEGOCIADORA DEL CUARTO CONVENIO COLECTIVO DE TRABAJO DE LOS HOSPITALES DE AGUDOS, CENTROS DE ATENCIÓN PRIMARIA, CENTROS SOCIOSANITARIOS Y CENTROS DE SALUD MENTAL, CONCERTADOS CON EL SERVICIO CATALÁN DE LA SALUD.
Por parte de las representaciones sociales:
Comisiones Obreras (CCOO):
Titulares: Paco Pareja Montañés, Cristina Martínez Nieto, María Ramos Guzmán, Sonia Jaén Velázquez y Jose Ramón Lluís Sol.
Suplentes: Manel Abia Ortiz, Xavier Pallàs García y Mi. Teresa Gil Martínez.
Asesores: Jesús González Comabella.
Unión General de Trabajadores (UGT):
Titulares: Rosa Pérez Bernalte, Raúl Gisbert Barrué, Alex Trullàs Manonelles, Judith Extremera Ortega y Silvia Castaño Gómez.
Suplentes: Jose Martinez Beltran, Inma Ten Bartual, Sílvia Franco Mas y Joan Sánchez González.
Asesoras: Xènia Rosales Juanola y Esther Silvestre García.
Sindicato de Enfermería (SATSE):
Titulares: Miquel Oliveras Gisbert, Annabel Torres Egeo y Sandra Briz Godino.
Suplentes: Raúl Martín Iglesias, José David Garcia Fernández y Mi. Jesús Figueroa Pena.
Asesoras: Jesús Carlos García Reig.
Sindicat Metges de Cataluña (SMC):
Titulares: Jordi Aparicio Freixa y Josep Maria Serra Casasayas.
Suplentes: Francisco José Castro Bonhorquez.
Asesora: Mireia Montesinos Sanchis.
Por parte de las representaciones patronales:
Unión Catalana de Hospitales (La Unión):
Titulares: Ramon Messaguer Meléndez, Jordi Nonell Gregori, José Maria Soto Guerrero, Josep Vidal Negre, Gabriel Nieto Fernández-Arroyo, Ester Cruselles Pubill y Laura Sánchez Santos.
Asesoras: Elena de la Campa Alonso y Alda Mumbrú López (Vallbé) Consorcio Asociación Patronal Sanitaria y Social (CAPSS):
Titulares: Mi. Isabel Arrieta Segura, Raul García Salazar, Mariona Casanovas Corominas, Ramón Masó Vallmajó y Pilar Rol Miguel.
Asesoras: Paula Carrión Beas y Abigail Blanco Cumplido Asociación Catalana de Entidades de Salud (ACES):
Titulares: Esther Moya Padilla.
Asesor: Joan Diez y Cano.
En Barcelona a las 15:30 horas del día 24 de febrero de 2026, se reúne la Comisión Negociadora del IV Convenio colectivo de trabajo de los hospitales de agudos, centros de atención primaria, centros sociosanitarios y centros de salud mental, concertados con el Servicio Catalán de la Salud (SISCAT).
Ambas partes, se reconocen capacidad legal suficiente para la suscripción del presente Acuerdo Parcial.
Exponen.
Que en fecha 13 de enero de 2026 las partes suscribieron un Acuerdo Parcial con el fin de fijar las tablas salariales para los años 2025 y 2026 y las fechas de actualización y abono de atrasos.
Que es necesario aplicar los mismos incrementos del Acuerdo Parcial referenciado al punto anterior a la ayuda «Medidas de apoyo a las personas trabajadoras responsables de personas con discapacidad» establecida en el artículo 52.1 del Convenio.
A la vista de los puntos anteriores las partes Acuerdan:
Primero.
La actualización del importe de la ayuda indicada al artículo 52.1 del Convenio incorporando el incremento del 2,5% con respecto al importe vigente a 31 de diciembre de 2024 y del 1,5% con respecto al importe vigente a 31 de diciembre de 2025, resultando un importe de 71,75 euros brutos mensuales con efectos 1 de enero de 2025 y de 72,83 euros brutos mensuales con efectos 1 de enero de 2026.
Segundo.
La actualización del importe se hará efectiva a la nómina del mes de marzo de 2026 y los atrasos generados desde 1 de enero de 2025 también se abonarán el mes de marzo de 2026.
Tercero.
En caso de que la variación del IPC en el 2026 resultara igual o superior al 1,5%, se aplicará otro incremento adicional y consolidable del 0,5% con respecto al importe vigente a 31 de diciembre de 2025 y con efectos 1 de enero de 2026, una vez sean aprobadas por el Consejo de Dirección del CatSalut las tarifas o los mecanismos correspondientes que permitan su aplicación.
Cuarto.
En caso de que por razones excepcionales de carácter técnico u organizativo la empresa no pueda cumplir con los plazos estipulados en el acuerdo segundo lo tendrá que justificar en su RLPT.
El ACUERDO alcanzado por la Comisión Negociadora ha sido ratificado por todas las organizaciones empresariales UCH, CAPSS y ACES, así como por todas las organizaciones sindicales CCOO, UGT, SATSE y MC.
La firma del presente Acuerdo Parcial no compromete ni vincula la firma del IV Convenio.
En todo aquello no indicado en este Acuerdo Parcial o en el Acuerdo Parcial de 13 de enero de 2026, se mantendrá vigente lol establecido en el III Convenio colectivo de trabajo de los hospitales de agudos, centros de atención primaria, centros sociosanitarios y centros de salud mental, concertados con el Servicio Catalán de la Salud y en los acuerdos parciales firmados.
Las organizaciones firmantes acuerdan facultar a Laura Sánchez Santos y Alda Mumbrú López, para realizar los trámites necesarios para la comunicación de los Acuerdos alcanzados en la presente Acta a la Dirección General de Relaciones Laborales, Trabajo Autónomo y Seguridad y Salud Laboral del Departamento de Empresa y Trabajo, para su publicación.
Prueba conformidad, firman esta Acta, en el lugar y fecha indicados, los componentes de la Comisión negociadora indicados en el encabezamiento.
