CONVENIO COLECTIVO (BOG 161 – Martes, a 26 de agosto de 2025)
RESOLUCIÓN del Delegado Territorial de Trabajo y Seguridad Social, por la que se dispone el registro, publicación y depósito del convenio colectivo del sector de la Construcción y Obras Públicas de Gipuzkoa para los años 2025-2028 (código 20000455011981).
ANTECEDENTES
Primero. El día 30 de julio de 2025, se suscribió el convenio citado por Ascongi-Adegi en representación de las empresas, y por los sindicatos ELA y CC.OO. en representación de la parte trabajadora.
Segundo. El día 30 de julio de 2025, se presentó en esta Delegación Territorial solicitud de registro, depósito y publicación del referido convenio.
FUNDAMENTOS DE DERECHO
Primero. La competencia prevista en el art. 90.2 del texto refundido de la Ley del Estatuto de los Trabajadores, Real Decreto Legislativo 2/2015, de 23 de octubre corresponde a esta autoridad laboral de conformidad con el art. 18.2.g del Decreto 323/2024, de 5 de noviembre (Boletín Oficial del País Vasco de 21-11-2024) por el que se establece la estructura orgánica y funcional del Departamento de Economía, Trabajo y Empleo; en relación con el Decreto 9/2011, de 25 de enero (Boletín Oficial del País Vasco de 15-2-2011) y con el Real Decreto 713/2010, de 28 de mayo (Boletín Oficial del Estado de 12-6-2010) sobre registro y depósito de convenios y acuerdos colectivos.
Segundo. El convenio colectivo ha sido suscrito de conformidad con los requisitos de los artículos 85, 88, 89 y 90 de la referenciada Ley del Estatuto de los Trabajadores.
En su virtud,
RESUELVO
Primero. Ordenar su inscripción y depósito en el Registro de Convenios y Acuerdos Colectivos, con notificación a las partes.
Segundo. Disponer su publicación en el Boletín Oficial de Gipuzkoa.
San Sebastián, a 20 de agosto de 2025.-El delegado territorial, Victor Monreal de la Iglesia. (6022)
CONVENIO COLECTIVO DE LA CONSTRUCCIÓN Y OBRAS PÚBLICAS DE GIPUZKOA 2025-2028.
CAPÍTULO I. ÁMBITO.
Artículo 1. Ámbito Territorial y Personal.
Este convenio será de aplicación obligatoria en el Territorio Histórico de Gipuzkoa en todas las obras y centros de trabajo de las empresas a que se refiere su ámbito funcional, quedando incluidos todos/as los/as trabajadores/as que presten sus servicios en ellos de manera temporal o fija.
Los/as trabajadores/as que sean trasladados/as o desplazados/as desde su centro de trabajo en el T.H. de Gipuzkoa a otro T.H., Comunidad o Provincia, se acogerán al Convenio que consideren oportuno de entre los concurrentes, vigente en el momento del traslado y siendo de aplicación mientras permanezca en esta situación, esto es, fuera del T.H. de Gipuzkoa.
Artículo 2. Ámbito Funcional.
Las empresas afectadas por las cláusulas pactadas en el presente Convenio Colectivo Básico son las siguientes:
a) Las dedicadas a Construcción y Obras Públicas.
b) Las de Embarcaciones, Artefactos Flotantes y Ferrocarriles Auxiliares de Obras de Puerto.
c) Canteras, Areneras, Graveras y la Explotación y Manufactura de Tierras Industriales.
d) Las de Yeso y Cales.
e) Las Empresas dedicadas a fabricación y distribución de hormigón.
f) Todo el personal perteneciente a empresas auxiliares dedicadas a la ejecución material de los planes de seguridad en obra, y que realicen trabajos como limpieza, colocación y mantenimiento de elementos de seguridad en la obra, a excepción de montaje de andamios, se regirán por las condiciones establecidas en este convenio colectivo básico, mientras realicen las mencionadas tareas.
Las industrias y actividades que integran el campo de aplicación del presente Convenio Colectivo Básico se relacionan y detallan en la disposición adicional segunda.
Artículo 3. Ámbito Temporal.
El presente Convenio Colectivo Básico y sus anexos tienen una duración indefinida sin perjuicio de lo establecido en la disposición adicional quinta. Más allá de su carácter indefinido, y de conformidad con el apartado Tercero de dicha disposición adicional quinta, los anexos serán objeto de revisión periódica en los términos que las partes lo fijen.
En este sentido las partes acuerdan que los presentes anexos entrarán en vigor el 01-01-2025 finalizando el 31-12-2028, quedando denunciados a los 60 días antes de su vencimiento, procediéndose a su revisión por la Mesa Negociadora Permanente, siendo vigentes hasta que se produzca un acuerdo en dicha Mesa que los sustituya.
Artículo 4. Condiciones más beneficiosas.
Se respetarán las situaciones personales que, consideradas en su totalidad, sean más beneficiosas que las fijadas en este convenio, manteniéndose dicho respeto en forma estrictamente personal.
Artículo 5. Compensación y Absorción.
Las condiciones económicas fijadas en el presente convenio son absorbibles y compensables en cómputo anual, con las mejoras de toda clase que existan con anterioridad o que puedan establecerse en el futuro.
Artículo 6. Vinculación a la totalidad.
Las condiciones pactadas en este convenio forman un todo orgánico e indivisible y a efectos de su aplicación práctica, serán consideradas globalmente en cómputo anual.
CAPÍTULO II. DE LA RELACIÓN INDIVIDUAL DE TRABAJO.
Artículo 7. Contratación.
1. Contratos fijos de plantilla: Este contrato es el que conciertan empresa y trabajador/a para la prestación laboral de éste/a en la empresa por tiempo indefinido. Esta será la modalidad normal de contratación a realizar por empresas y trabajadores/as en todos los centros de trabajo de carácter permanente.
2. Otras modalidades de contratación de duración determinada: De conformidad con lo dispuesto en el artículo 15.2 del Estatuto de los trabajadores, podrán realizarse contratos de duración determinada por circunstancias de la producción, así como de sustitución, con el personal no afectado por los contratos «indefinidos adscritos a obra» regulados en el párrafo precedente. La duración de estos contratos de duración determinada por circunstancias de la producción será de doce meses.
Estos contratos deberán realizarse siempre por escrito, presumiéndose indefinidos en caso contrario. Asimismo, las empresas afectadas por el presente convenio colectivo básico deberán notificar a los representantes de los/as trabajadores/as la realización de dichos contratos en un plazo máximo de diez días contados desde su celebración así como las circunstancias que se han tenido en cuenta para efectuar dichos contratos.
La jornada podrá pactarse para estos contratos a tiempo completo o parcial, siendo la jornada completa en los casos de sustitución de trabajadores a tiempo completo.
3. Indemnizaciones por finalización de contrato en las empresas: En lo referente a los contratos indefinidos adscritos a obra y contratos temporales, las indemnizaciones que se establecen para estos trabajadores consistirán en el 7% del total del salario devengado en jornada ordinaria durante el tiempo de prestación de los servicios, incluyendo el plus extrasalarial, vacaciones anuales retribuidas y pagas extraordinarias.
Tanto el preaviso como las indemnizaciones que se señalan, solo se fijan para aquellos/as trabajadores/as cuya finalización de contrato se produzca a la terminación de obra o especialidad para la que fueron contratados, y no para los que hubieran rescindido el contrato, voluntaria y unilateralmente, en otro momento de la realización de la obra de que se trate.
En todo lo no previsto en el presente artículo, será de aplicación lo dispuesto en la legislación vigente al momento de producirse la contratación.
4. Finiquito: El recibo de finiquito de la relación laboral entre empresa y trabajador/a deberá ser conforme al modelo que figura como anexo IV de este Convenio.
Toda comunicación de cese o de preaviso de cese deberá ir acompañada de una propuesta de finiquito en el modelo citado. Cuando se utilice como propuesta, no será preciso cumplimentar la parte que figura después de la fecha y lugar.
Una vez firmado el recibo de finiquito por el trabajador, surtirá los efectos liberatorios que le son propios a los 7 días, si no manifiesta su disconformidad con el mismo.
El personal podrá estar asistido por un representante legal de los/as trabajadores/as o, en su defecto, por un/a representante de una Central Sindical, en el acto de firma del recibo de finiquito.
El importe de la liquidación que corresponda por el término de la relación laboral deberá ser abonado, o realizado el ofrecimiento del abono por la empresa, en el plazo de cinco días laborales posteriores al término de esa relación.
El incumplimiento del abono en dicho plazo producirá un recargo del 2% del total de los importes a liquidar, que corresponda por cada cinco días laborales y a contar desde la fecha del previo requerimiento de pago realizado en tal sentido a la empresa.
No se producirá recargo si la persona trabajadora se negara a firmar el recibí de la comunicación de finiquito o se negará a cobrar el mismo.
Artículo 8. Responsabilidad en la subcontratación.
Con independencia de lo establecido en el artículo 42 del Estatuto de los Trabajadores (Real Decreto Legislativo 1/1995, de 24 de marzo) sobre responsabilidad empresarial en caso de subcontrata de obras o servicios, las empresas también responderán solidariamente de las indemnizaciones equivalentes a las cantidades correspondientes a los/as trabajadores/as por los días de preaviso omitidos (artículo 7.2) y de las indemnizaciones del 4,5% correspondientes a los/as trabajadores/as por fin de obra, calculadas con arreglo al criterio establecido en el artículo 7.4 del presente Convenio Colectivo Básico; así como de las aportaciones no realizadas por las mismas a Geroa-EPSV junto a las aportaciones descontadas a los/as trabajadores/as y no abonadas a esta entidad.
Artículo 9. Oficio de Gruísta en obra.
Todos/as aquellos/as trabajadores/as que previamente hayan obtenido el carnet de Gruísta homologado por el Gobierno Vasco, y siempre que la misión en obra sea la utilización de la grúa, percibirán el salario equivalente a oficial de primera, oficios clásicos.
Artículo 10. Maquinistas y Chóferes en obra.
-Maquinistas.
Los/as maquinistas de obras tendrán la categoría de Peón especializado/a, Ayudante, Oficial de 2.ª u Oficial de 1.ª del grupo de Oficios Clásicos con las retribuciones establecidas en las tablas salariales para dichas categorías.
-Chóferes.
Aquellos/as trabajadores/as cuya función en obra sea la de chofer al que se exige carne de conducción de 1.ª, tendrán reconocido un salario equivalente al de oficial de 1.ª cuando acrediten una antigüedad en el sector, desempeñando dicha función, de al menos un año.
Las empresas estarán obligadas a garantizar su salario y un puesto alternativo en la empresa, a aquellos/as trabajadores/as a quienes, por causas ajenas a su voluntad e imputables a la empresa (conducir con sobrecargas, vehículo en malas condiciones, etc.) les sea retirado el carnet de conducir y durante el tiempo que dure la mencionada retirada del carnet.
Artículo 11. Comercial.
Funciones: En representación de la empresa y tratando directamente con el cliente o cualquier otro agente relacionado con la actividad, interpretará sus necesidades pudiendo preparar o coordinar la preparación de ofertas, manteniendo igualmente cuantas reuniones, encuentros comerciales o relaciones públicas que fueran necesarias para su defensa o explicación.
Esta figura se encuadra en el nivel VI.
Las personas trabajadoras que hasta la publicación del presente convenio colectivo viniesen desarrollando las funciones recogidas en el primer párrafo del presente artículo, pasarán a llamarse «comerciales» desde la fecha de la publicación del presente convenio colectivo.
Artículo 12. Empresas de Trabajo Temporal. Contratos de puesta a disposición.
Las empresas afectadas por este Convenio, cuando contraten los servicios de Empresas de Trabajo Temporal garantizarán que los/as trabajadores/as puestos a su disposición tengan los mismos derechos laborales, así como las retribuciones mínimas de Tablas de Convenio a que tengan derecho los/as trabajadores/as afectados por este convenio. Esta obligación constará expresamente en el contrato de puesta a disposición celebrado entre la Empresa de Trabajo Temporal y la empresa usuaria que esté afectada por el presente convenio.
Las empresas afectadas por el presente Convenio no podrán contratar personas trabajadoras a través de Empresas de Trabajo Temporal para desarrollar trabajos en obra y mantenimiento.
Artículo 13. Altas en la Seguridad Social y Contrato de Trabajo.
Las empresas deberán entregar a los/as trabajadores/as antes de quince días desde el primero de su incorporación al trabajo, copia del parte de alta en la Seguridad Social, debidamente diligenciado por el INSS, sin perjuicio de la obligación de las empresas de dar de alta a los/as trabajadores/as que contraten en el plazo legal establecido.
En caso de que la empresa incumpla dicha obligación, el/la trabajador/a tendrá derecho a disponer de dos horas retribuidas para cerciorarse de dicho extremo.
Si la empresa no hubiera dado de alta al/la trabajador/a en el citado plazo de quince días, salvo a los operarios no cualificados (peones, etc.), en que el plazo será de diez días naturales, éstos/as adquirirán la condición de fijos de plantilla.
Asimismo, las empresas entregarán al/la trabajador/a una copia más del contrato de trabajo, a fin de que por parte del/a mismo/a y a su elección pueda presentarlo ante la Sección Sindical a la que pertenezca, Delegado/a de Personal o Comité de Empresa.
Artículo 14. Períodos de prueba.
Se incorpora el texto sobre esta materia recogido en el Convenio General del sector de la Construcción, que textualmente señala:
1. Podrá concertarse por escrito un período de prueba que en ningún caso podrá exceder de:
a) Técnicos/as titulados/as: 6 meses.
b) Empleados/as:
– Niveles III, IV y V: 3 meses.
– Niveles VI al X: 2 meses.
– Resto de personal: 15 días naturales.
c) Personal operario:
– Encargados/as y capataces: 1 mes.
– Resto de personal: 15 días naturales.
2. Durante el período de prueba el/la trabajador/a tendrá los derechos y obligaciones correspondientes a su categoría profesional y puesto de trabajo que desempeñe, como si fuera de plantilla, excepto los derivados de la resolución de la relación laboral, que podrá producirse a instancia de cualquiera de las partes durante su transcurso, sin necesidad de previo aviso y sin que ninguna de las partes tenga derecho a indemnización alguna, debiéndose comunicar el desistimiento por escrito.
3. Transcurrido el período de prueba sin que se haya producido el desistimiento, el contrato producirá plenos efectos, computándose el tiempo de los servicios prestados a efectos de antigüedad.
Artículo 15. Puntualidad.
Se entiende por puntualidad, a efectos del presente convenio, la presencia del personal en el lugar de trabajo, preparado para poder desarrollar su cometido, en el inicio de la jornada laboral con la ropa de trabajo puesta, así como el no abandono del trabajo antes del momento final de dicha jornada. La puntualidad es de necesaria observancia y se exigirá a todos los/as trabajadores/as comprendidos en el ámbito del presente convenio.
El mismo criterio se aplicará respecto al período de comida y de cualquier otra interrupción legal o pactada.
Artículo 16. Cantería y Marmolería.
Las retribuciones que se establecen en este convenio corresponden a los rendimientos mínimos establecidos en las tablas de rendimiento de la construcción aprobados por Orden de 19 de noviembre de 1948.
Respecto a los demás trabajos no especificados en dicha tabla se fijarán los rendimientos mínimos mediante acuerdo entre la empresa y los/as trabajadores/as, resolviendo, en caso de discrepancia, el organismo competente.
-Cantería y Marmolería.
En cuanto al gremio de cantería y marmolería, y en atención a sus particulares modalidades de trabajo, se seguirán las normas sus especiales siguientes:
a) Si las empresas tuvieran adoptados sistemas de medición de rendimientos, seguirán aplicándolos y calculando en lo sucesivo, de la misma forma en que lo vinieran efectuando hasta la fecha de vigencia de este convenio.
b) Si no los tuvieran, los rendimientos mínimos se fijarán mediante acuerdo de la empresa interesada y sus trabajadores/as, resolviendo en caso de discrepancia el organismo competente.
c) En las empresas que viene midiéndose el rendimiento de trabajo por normas o sistemas tradicionales o mediante fijaciones intuitivas de acuerdo con la experiencia habida por el procedimiento del diálogo y del acuerdo entre direcciones de empresas y representantes de los/as trabajadores/as afectados/as, sin ajustarse a sistemas de medición internacionales, seguirán con las normas tradicionales para poder determinar el rendimiento normal del trabajo.
d) Para las empresas en que se perciba la retribución en función de la productividad y cuando las mismas no se ajusten en la forma de medición a un sistema internacional aceptado se establece el principio de que la empresa queda facultada para exigir un rendimiento normal equivalente a 100 UC y el compromiso de la parte social de obtener dicho rendimiento.
La determinación de obtener tal rendimiento mínimo normal a que se hace referencia en el párrafo anterior, es facultad de la empresa, oída la representación de los/as trabajadores/as, con posterior resolución, en su caso, del organismo competente y vendrá determinado por el equivalente al trabajo desarrollado efectivamente por un obrero normalmente constituido en su capacidad física, que preste sus servicios a una actividad equivalente a la desarrollada al andar cinco kilómetros en una hora por terreno liso y sin obstáculos.
Los rendimientos inferiores a los fijados en la tabla de rendimientos mínimos o a los determinados según las normas especiales indicadas para el gremio de cantería y marmolería cuando no sean debidos a causas ajenas al productor se considerarán como disminución voluntaria de rendimiento, pudiendo dar lugar a una disminución de un 20% de la retribución de las sanciones previstas en las disposiciones legales.
Artículo 17. Orden de prelación.
En los ceses por fin de obra, expediente de traslado, así como en los casos de suspensión y extinción de las relaciones de trabajo por fuerza mayor, o por causas económicas o tecnológicas, tendrán prioridad de permanencia en la empresa, los/as representantes de los/as trabajadores/as, dentro de cada especialidad, respetándose en cuanto a los/as restantes trabajadores/as, como único orden de prelación, el de antigüedad en la empresa.
Artículo 18. Ceses voluntarios del personal.
El personal que desee cesar al servicio de la empresa, deberá comunicarlo a la misma con la siguiente antelación, teniendo además la obligación de trabajar desde el momento en que se solicite el cese hasta el día en que éste se produzca:
-Técnicos/as titulados/as, tres meses.
-Empleados/as, un mes.
-Personal obrero, una semana.
-Aprendices, una semana.
Si tal preaviso no se diese o bien no se trabajase, una vez dado el mismo hasta el cese se establece la penalidad de la pérdida de las partes proporcionales de las gratificaciones de Verano, Navidad y Vacaciones, que corresponda a los días de falta de preaviso o no trabajados en su caso.
La notificación del cese deberá realizarse mediante un boletín que facilitará la empresa y que el/la trabajador/a firmará por duplicado, devolviendo un ejemplar la empresa con el -enterado-.
Artículo 19. Subcontratación.
En cuanto a los/as trabajadores/as que presten sus servicios en empresas que se encuentren dentro del ámbito de aplicación del presente Convenio dedicadas al mantenimiento, conservación y limpieza de obras e infraestructuras viarias en la provincia de Gipuzkoa, cuando la concesión administrativa finalice como consecuencia de una nueva licitación, la empresa entrante estará obligada a subrogar a los/as trabajadores/as de la empresa saliente que se recojan nominalmente en el nuevo expediente de contratación o estén vinculados/as a la concesión administrativa, respetando sus condiciones económicas y sociales.
La nueva concesionaria no responderá de las deudas laborales, de seguridad social o que por cualquier otro concepto se hubieran generado por incumplimientos de la empresa saliente anteriores a la fecha efectiva de inicio de la nueva contrata.
A su vez, cuando una empresa del sector, sea subcontratada para la realización de una prestación de servicios en empresas privadas, con carácter permanente, estable y continuado, a la finalización de dicho contrato, y respecto de las personas trabajadoras de la empresa saliente que hayan prestado servicios exclusivamente para la empresa principal, la empresa entrante estará obligada a subrogar a dichas personas trabajadoras siempre que lleven más de 9 meses afectas a ese servicio en ese centro de trabajo, respetando sus condiciones económicas y sociales.
CAPÍTULO III. RETRIBUCIONES, SUBVENCIONES Y GRATIFICACIONES.
Artículo 20. Tablas Salariales.
Los incrementos de las tablas salariales fijados para los años de vigencia del presente Convenio Colectivo son los siguientes:
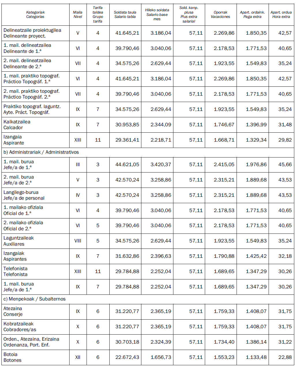
Las Tablas Salariales para 2025 son las que figuran en el anexo I del presente Convenio Colectivo Básico y las mismas son el resultado de incrementar las últimas tablas vigentes en un 3,7%.
A partir del 1 de enero de 2026 las tablas salariales vigentes al 31 de diciembre de 2025 se incrementarán aplicando el Índice de Precios al Consumo de 2025 resultante.
A partir del 1 de enero de 2027 las tablas salariales vigentes al 31 de diciembre de 2026 se incrementarán aplicando el Índice de Precios al Consumo de 2026 resultante.
A partir del 1 de enero de 2028 las tablas salariales vigentes al 31 de diciembre de 2027 se incrementarán aplicando el Índice de Precios al Consumo de 2027 resultante.
En caso de que el Índice de Precios al Consumo resultante fuese negativo, la cantidad aplicable a dicha referencia será 0.
Artículo 21. Nóminas.
Sólo serán válidos los recibos de salarios oficiales a excepción de aquellos modelos mecanizados, aprobados por los organismos oficiales competentes.
Las liquidaciones mensuales se abonarán obligatoriamente dentro de los siete primeros días del mes siguiente al que se trate, salvo en aquellas empresas en que exista acuerdo anterior entre empresa y trabajadores/as.
Artículo 22. Consideración del salario.
Los salarios pactados en el presente convenio corresponden a una actividad normal, entendiéndose por tal aquélla que desarrolla un/a operario/a medio/a con esfuerzo constante y razonable bajo una dirección competente, sin excesiva fatiga y sin estímulo de una remuneración con incentivo.
Artículo 23. Pago de salarios.
Las retribuciones correspondientes al personal incluido en la tabla A) se abonarán mensualmente. Las retribuciones correspondientes a la tabla B) se abonarán por hora efectiva trabajada.
Artículo 24. Conceptos retributivos e indemnizatorios.
Los conceptos retributivos e indemnizatorios son entre otros:
I. Conceptos retributivos:
A) Salario Base.
B) Complementos:
a) Antigüedad consolidada.
b) Paga extraordinaria de Verano.
c) Paga extraordinaria de Navidad.
d) Vacaciones.
e) Horas extraordinarias.
II. Conceptos indemnizatorios:
f) Plus extrasalarial.
g) Dietas.
h) Kilometraje.
Artículo 25. Salario Base.
Será el que se especifica en cada uno de los niveles de las Tablas Salariales en el que están comprendidas las retribuciones correspondientes a los domingos y además las que correspondan a los sábados para las empresas en que se trabaje de lunes a viernes.
Artículo 26. Antigüedad consolidada.
Los/as trabajadores/as que ya vinieran percibiendo alguna cantidad en concepto de Antigüedad Consolidada (fijada a junio del año 2000), mantendrán dicho importe como complemento ad personam, no absorbible ni compensable. Así mismo este concepto no tendrá en el futuro incremento por concepto alguno.
Artículo 27. Horas extraordinarias.
Serán horas extraordinarias las que se realizan sobre la jornada laboral ordinaria. Las mismas, salvo que medie acuerdo distinto entre la Dirección de la empresa y la representación de los/as trabajadores/as, se abonarán con arreglo a la tabla de horas extraordinarias que se incorpora como anexo al presente convenio.
A dicha cantidad se aplicará el porcentaje correspondiente a la antigüedad consolidada de cada trabajador/a.
El número de horas extraordinarias no podrá ser superior a ochenta al año.
La realización de horas extraordinarias se registrará día a día, totalizándose semanalmente, entregando copia del resumen semanal al trabajador en el parte correspondiente.
Las horas trabajadas para prevenir o reparar siniestros u otros daños extraordinarios no se computarán a efectos de duración de la jornada máxima laboral ordinaria, ni para el cómputo del número máximo de horas extraordinarias.
Las horas extraordinarias que se realicen podrán compensarse de común acuerdo entre empresas y trabajadores/as:
a) por tantas horas libres como horas extraordinarias se hubiesen realizado y abonándose la diferencia entre el valor de una hora normal y extra.
b) por otro tipo de compensaciones distintas de las establecidas en el párrafo anterior.
Artículo 28. Gratificaciones extraordinarias.
Las gratificaciones extraordinarias de Verano y Navidad serán semestrales. Por tanto para tener derecho al cobro íntegro de las mismas habrá que permanecer en activo en la empresa durante el siguiente período de tiempo:
– Paga de Verano, del 1 de enero al 30 de junio.
– Paga de Navidad, del 1 de julio al 31 de diciembre.
Las mismas serán abonadas no más tarde del 30 de junio y del 15 de diciembre, respectivamente.
El personal que ingrese o cese en el transcurso de cada semestre percibirá la gratificación correspondiente en la proporción adecuada.
La cuantía de ambas gratificaciones será la que figura en las Tablas anexas, con inclusión del porcentaje de antigüedad consolidada, en su caso, calculado sobre las cantidades establecidas para dichas gratificaciones.
La cuantía de cada una de estas dos gratificaciones por separado no podrá ser compensada con otros conceptos, pero podrá ser absorbible con las mejoras que por este mismo concepto puedan tener establecidas las empresas.
El importe de estas pagas podrá ser prorrateada, siempre que exista acuerdo entre la empresa y el/la trabajador/a.
Artículo 29. Plus extrasalarial.
Corresponde a este plus los conceptos indemnizatorios siguientes:
-Plus de transporte.
-Plus de distancia hasta 10 kilómetros.
-Desgaste de herramientas.
-Ropa de trabajo (excluye la ropa de agua).
Este plus se devengará por hora efectiva trabajada en jornada normal y su importe será el fijado en las tablas anexas.
Artículo 30. Dietas y gastos por desplazamiento.
A) Dietas: La dieta es un concepto extrasalarial, de naturaleza indemnizatoria o compensatoria, y de carácter irregular, que tiene como finalidad el resarcimiento o compensación de los gastos de manutención y alojamiento del/la trabajador/a, ocasionados como consecuencia de la situación de desplazamiento desde el domicilio habitual de cada persona trabajadora y la obra o centro de trabajo.
Las dietas se clasifican en medias y completas, y se devengarán, aunque no se produzca desplazamiento entre centros de trabajo u obra.
El personal afectado por el presente convenio devengará media dieta cuando puedan volver a pernoctar a su domicilio habitual y siempre y cuando tengan que realizar un recorrido superior a diez kilómetros entre el domicilio del/la trabajador/a y el centro u obra de trabajo inicial. Este derecho a media dieta existirá incluso aunque no se produzca desplazamiento entre centros de trabajo.
Los/as trabajadores/as devengarán dieta completa, cuando no puedan volver a pernoctar en su domicilio habitual.
Se entenderá por domicilio habitual del/la trabajador/a el que éste/a haya designado al ingresar en la empresa, debiendo de comunicar a ésta los cambios de domicilio que se produzcan durante la vigencia del contrato de trabajo.
Una vez establecido el domicilio del/la trabajador/a, si éste/a cambiara voluntariamente de residencia y ello supusiera estar a más de 10 kilómetros de la obra, ello no dará derecho a percibir la media dieta.
Las cuantías correspondientes a las medias y completas dietas son las que aparecen recogidas en el anexo II de este Convenio Colectivo Básico y se devengarán por día de trabajo, las medias dietas, y dietas enteras por día natural.
Las empresas podrán contratar con restaurantes cercanos a las obras el servicio de comidas siempre de acuerdo con la representación de los/as trabajadores/as o con la mayoría de ellos/as.
B) Gastos por desplazamiento para trabajadores/as fijos/as de obra y fijos/as de plantilla en obra: Las empresas, a los/as trabajadores/as fijos/as de obra y fijos/as de plantilla en obra, deberán indicar expresamente el medio de transporte que deban utilizar en el desplazamiento. Si no lo hicieran así, los/as trabajadores/as podrán utilizar para ello su vehículo particular, debiéndoseles abonar las cantidades que por kilometraje se establecen en el anexo II. Se abonará solamente el exceso de kilómetros que resulte del desplazamiento.
Debe entenderse como desplazamiento de los/as trabajadores/as fijos/as de obra, a los efectos de este apartado, aquél que se produzca entre el centro de trabajo inicial recogido en el contrato y restantes centros a los que se destine al/la trabajador/a con el mismo contrato.
Debe entenderse como desplazamiento de los/as trabajadores/as fijos/as de plantilla en obra, a los efectos de este apartado, aquél que se produzca entre el centro de trabajo en el que tenga domiciliado el contrato y restantes centros a los que se destine al/la trabajador/a.
Cuando el personal desplazado hubiera de emplear, como consecuencia del desplazamiento, más de 80 km en cada uno de los viajes de ida y vuelta al lugar de trabajo, desde el centro de trabajo correspondiente, utilizando los medios ordinarios de transporte, el exceso de kilometraje se abonará como tiempo de trabajo efectivo. Para el cálculo se entenderá que 80 km equivalen a una hora.
Artículo 31. Trabajos excepcionalmente penosos, tóxicos o peligrosos.
En aquellos casos en que se declare por resolución firme dictada por los organismos competentes el carácter excepcionalmente penoso, tóxico o peligroso de los trabajos realizados, tendrá derecho el/la trabajador/a a unos pluses del 20%, 25% o 30% sobre el salario base, en caso de que concurran una, dos o las tres circunstancias excepcionales.
Adquirirá la firmeza de la resolución que declare la existencia de dichas circunstancias, el/la trabajador/a tendrá derecho a percibir los pluses correspondientes desde la fecha de su reclamación ante el organismo competente hasta la de la firmeza de la misma.
A partir de dicho momento y siempre que persista la excepcional circunstancia en el trabajo por lo menos durante cuatro horas dentro de la jornada laboral, ésta se reducirá en un 20%, 25% o 30%, según la concurrencia de una, dos o las tres circunstancias, con derecho no obstante al percibo correspondiente a la totalidad de la jornada, pero sin derecho en tal caso al percibo de los pluses correspondientes a las horas trabajadas.
Las bonificaciones iguales o superiores a las señaladas en este punto que estén establecidas o que se establezcan por las empresas serán respetadas, siempre que quede plenamente demostrado que los expresados pluses han sido concedidos por alguno de los tres conceptos de penosidad, toxicidad o peligrosidad, en cuyo caso no será exigible el abono de las bonificaciones fijadas en este punto.
Tampoco vendrán obligadas a satisfacer las citadas bonificaciones aquellas empresas que las tengan incluidas, en igual o superior cuantía, en el salario de calificación del puesto de trabajo.
Si por mejora de instalaciones o de procedimientos desaparecieran las condiciones de penosidad, toxicidad o peligrosidad, una vez comprobada su inexistencia por la Inspección de Trabajo, con los preceptivos informes del Gabinete de Seguridad e Higiene en el Trabajo y los asesoramientos técnicos que estime pertinentes, dejarán de abonarse las indicadas bonificaciones.
Artículo 32. Plus de nocturnidad.
El plus de nocturnidad se abonará conforme al acuerdo que se establezca en cada empresa o centro de trabajo entre la Dirección y la representación de los/as trabajadores/as. En caso de que no exista acuerdo, la cuantía por hora de trabajo del Plus de nocturnidad será del 25% del salario base por hora.
Artículo 33. Incapacidad Temporal.
El/La trabajador/a que sufra un accidente de trabajo, percibirá el 100% del salario de Tablas de Convenio de su categoría profesional, a partir del primer día de la situación de baja. A estos efectos ha de entenderse que el/la trabajador/a ha de cobrar el 100% del salario mensual establecido en la tabla salarial y el 100% de las pagas extraordinarias mientras dure la situación de baja.
Los accidentes de trabajo producidos «in itinere» tendrán el mismo tratamiento que se establece en el párrafo anterior, siempre y cuando se produzcan en el trayecto y medio de transporte habitual y normal, sin que el recorrido se vea alterado por desviaciones no habituales que rompan el nexo causal de la ida o la vuelta del trabajo.
Se deberá asimismo presentar a la empresa el volante de asistencia de la compañía aseguradora que lo acredite.
La Mesa Negociadora Permanente, antes del 31 de diciembre de 2004, determinará la casuística y porcentajes que en concepto de IT se establecerá para los/as trabajadores/as y trabajadoras del sector.
Si antes del 31 de diciembre de 2004 no existiera acuerdo, ambas partes se someterán a una propuesta de mediación realizada por el Preco.
Transitoriamente, se abonará como IT por enfermedad común los porcentajes que recoge el primer párrafo del artículo 35.º del Convenio 1997-1998 y que textualmente dice «En los casos de enfermedad común y sólo en la primera baja del año, los dos primeros días de baja se abonarán al 100%».
Estas cantidades se mantendrán vigentes hasta alcanzar un acuerdo entre las partes o sea aceptada la propuesta de Mediación formulada por el Preco.
CAPÍTULO IV. JORNADA, VACACIONES Y LICENCIAS.
Artículo 34. Jornada Laboral.
La jornada de trabajo se iniciará en la obra o lugar de trabajo al que haya sido destinado el/la trabajador/a, y el número anual de horas será el establecido en el anexo III.
La jornada laboral, a excepción de los talleres o fábricas, o pacto en contrario, se distribuirá de la siguiente forma:
Los meses de diciembre y enero tendrán una jornada efectiva diaria de 7 horas y semanal de 35 horas, distribuida de lunes a viernes.
Los meses de noviembre y febrero tendrán una jornada diaria efectiva de 7 horas y 30 minutos y semanal de 37 horas y 30 minutos, distribuida de lunes a viernes.
Resto del año tendrán una jornada diaria efectiva de 8 horas y semanal de 40 horas, distribuida de lunes a viernes.
Para los/as que quieren tomar el bocadillo:
– Diciembre y enero: 36 horas y 15 minutos de presencia en jornada distribuida de lunes a viernes, ambos inclusive: 7 horas y 15 minutos diarios.
– Noviembre y febrero: 38 horas y 45 minutos de presencia en jornada distribuida de lunes a viernes, ambos inclusive: 7 horas y 45 minutos diarios.
– Resto del año 41 horas y 15 minutos de presencia en jornada distribuida de lunes a viernes, ambos inclusive: 8 horas y 15 minutos diarios.
Para los/as que quieran prescindir del tiempo de bocadillo:
– Los meses de diciembre y enero tendrán una jornada efectiva diaria de 7 horas y semanal de 35 horas, distribuida de lunes a viernes.
– Los meses de noviembre y febrero tendrán una jornada diaria efectiva de 7 horas y 30 minutos y semanal de 37 horas y 30 minutos, distribuida de lunes a viernes.
– Resto del año tendrán una jornada diaria efectiva de 8 horas y semanal de 40 horas, distribuida de lunes a viernes.
Los acuerdos sobre disfrute o no del tiempo del bocadillo serán adoptados por la mitad más uno de los/as trabajadores/as de la empresa, y se comunicará por escrito a la dirección para su puesta en práctica en un plazo máximo de 15 días desde su notificación.
Adoptado dicho acuerdo, el mismo será de aplicación para la totalidad de la plantilla durante la vigencia de este convenio.
En todo caso, se retribuirán exclusivamente las horas efectivamente trabajadas, excluyéndose en consecuencia el abono del período de interrupción para el bocadillo.
Artículo 35. Calendarios.
Para el 31 de enero de cada año, las empresas deberán confeccionar sus calendarios laborales. La Comisión Negociadora Permanente del Convenio elaborará así mismo un calendario tipo, antes del 31 de diciembre, de referencia para todas aquellas empresas que no lo hayan hecho, en el que recoja la jornada laboral, festivos y vacaciones y que será orientativo para todas las empresas en el año 2005 y obligatorio el que se establezca para el año 2006.
Las empresas deberán contemplar en sus calendarios, un día no retribuido considerado de libre disposición que el personal podrá solicitarlo con una antelación de 7 días y siempre y cuando no perjudique notoriamente la organización del trabajo.
En cada obra o centro de trabajo figurará en lugar visible el calendario laboral, así como un horario de referencia, quedando a salvo la flexibilidad propia de la planificación y ejecución de los trabajos, en documento sellado por la empresa.
Respecto del registro horario diario al que obliga la ley, su aplicación tendrá que ser consultada con la representación legal de las personas trabajadoras en cada obra o centro de trabajo.
La Empresa conservará dicho registro horario y permanecerán a disposición de las personas trabajadoras y de sus representantes legales.
Artículo 36. Interrupción del trabajo por inclemencias.
La Dirección de la Empresa o centro de trabajo podrá considerar como horas no trabajadas las interrupciones de la actividad por accidentes atmosféricos o inclemencias del tiempo. Esta circunstancia será comunicada a los/as trabajadores/as y a sus representantes en el centro de trabajo indicando la causa que haya determinado la interrupción y las horas que comprende la misma.
Se recuperarán el 80% de las horas no trabajadas por dichas causas. La recuperación de las horas resultantes se efectuará de acuerdo con los/as trabajadores/as afectados o sus representantes y en caso de desacuerdo ampliando la jornada laboral de la Empresa en una hora en los días inmediatamente posteriores a los que se haya producido la interrupción del trabajo por las causas antedichas.
Artículo 37. Vacaciones.
Todos los/as trabajadores/as, independientemente de la duración de su contrato, deberán de percibir y disfrutar sus vacaciones dentro del año natural.
Para el personal que lleva un año de permanencia en la Empresa las vacaciones retribuidas serán de 26 días laborables, computándose, a estos efectos, los sábados, e iniciándose el disfrute de las mismas en un día de trabajo.
La cuantía de las mismas será la fijada para cada categoría profesional en las tablas anexas, con inclusión del porcentaje de antigüedad consolidada en su caso, y los pluses que formen parte de la retribución ordinaria, normal o media de la persona trabajadora.
Los pluses a los que se refiere el párrafo anterior serán los que se regulan en el presente convenio colectivo sectorial siempre que éstos tengan una naturaleza habitual, estable, se perciban de manera regular, no se incurra en duplicidades en su pago y siempre que se hayan abonado durante un mínimo de 6 meses en los 12 meses anteriores al disfrute de las vacaciones.
El cálculo de la cuantía de los citados pluses a incorporar en la retribución de las vacaciones se realizará con arreglo al promedio mensual de las cuantías percibidas por cada uno de dichos pluses en los 3 meses anteriores al disfrute de las vacaciones. Para el cálculo del referido promedio no se tendrán en cuenta los devengos de los domingos y días festivos (cuando no sean de trabajo), gratificaciones extraordinarias, días de baja etc.
El periodo de disfrute será preferentemente en verano, durante los meses de junio, julio, agosto y septiembre.
En las Empresas o centro de trabajo que no dispongan de un calendario de vacaciones elaborado antes del 31 de enero de cada año, los/as trabajadores/as con antigüedad superior a un año podrán disfrutar del 50% de los días de vacaciones que les corresponda, comunicando las fechas de su disfrute a la Empresa con dos meses de antelación.
Las Empresas están obligadas a comunicar a los/as trabajadores/as con contratos inferiores a un año las fechas en que éstos han de disfrutar sus vacaciones. En el supuesto de que la Empresa no comunique al/la trabajador/a el periodo en que éste debe de disfrutar sus vacaciones, se entenderá que la Empresa reconoce y autoriza al/la trabajador/a a disfrutar la parte proporcional de las vacaciones que le corresponda, previamente a la finalización del contrato o en los últimos días del año natural si la fecha de la finalización del contrato es posterior al día 31 de diciembre de ese mismo año.
En los casos en que al inicio del disfrute del período de vacaciones colectivas, el/la trabajador/a se encuentre en situación de IT, derivada de accidente de trabajo, aquél quedará interrumpido por el tiempo en que se mantenga dicha situación y los días correspondientes a dicha interrupción se disfrutarán en la fecha que de común acuerdo establezcan la dirección de la empresa y el/la trabajador/a afectado/a.
De acuerdo con lo establecido en el Convenio n.º 132 de la OIT, las ausencias al trabajo por motivos independientes a la voluntad del/la trabajador/a, como accidente, enfermedad o maternidad, serán consideradas como tiempo de trabajo efectivo, a los efectos del cómputo y disfrute de las vacaciones.
Cuando las vacaciones coincidan con el permiso por nacimiento y cuidado del/a menor, se disfrutarán al término de la baja y su disfrute será conforme a acuerdo entre empresa y personal. En caso de desacuerdo se determinará en un 50% cada parte.
Artículo 38. Licencias retribuidas.
El/La trabajador/a, avisando con la posible antelación y justificándolo adecuadamente, podrá faltar o ausentarse del trabajo, con derecho a remuneración, por alguno de los motivos y durante el tiempo que a continuación se expone:
a) Por matrimonio: Diecisiete días naturales.
b) Por fallecimiento del cónyuge, hijos/as, padre o madre de uno u otro cónyuge, nietos/as, abuelos/as y hermanos/as de uno u otro cónyuge: Tres días naturales y dos días naturales más en caso de que el/la trabajador/a haya de desplazarse a más de 100 km de su residencia habitual y un día natural más si dicho desplazamiento fuera superior a 300 km.
c) Por enfermedad grave, hospitalización o intervención quirúrgica sin hospitalización que precise reposo domiciliario justificado por el médico o facultativo correspondiente:
1) Del/la cónyuge o parientes hasta el segundo grado por consanguineidad o afinidad: 5 días retribuidos.
2) De la pareja de hecho o del familiar consanguíneo hasta el segundo grado de la pareja de hecho: 5 días retribuidos.
3) De cualquier otra persona distinta de las anteriores, que conviva con la persona trabajadora en el mismo domicilio y que requiera el cuidado efectivo de aquella: 5 días retribuidos.
d) Por matrimonio de padre, madre, hijos/as o hermanos/as: un día de licencia, siempre que no sea festivo o domingo.
En el caso de tener que realizar un desplazamiento superior a 100 km, un día más.
e) Por traslado del domicilio habitual y familiar del/la trabajador/a: un día al año.
f) Por el tiempo necesario en los casos de asistencia del/la trabajador/a a consulta médica de especialistas de la Seguridad Social, cuando coincidiendo el horario de consulta con el de trabajo se prescriba dicha consulta por facultativo/a de Medicina General, debiendo presentar previamente el/la trabajador/a a la empresa el volante justificativo de la referida prescripción médica. En los demás casos, como asistencia a consulta médica del médico de cabecera de la Seguridad Social (facultativo/a de Medicina General), o asistencia prestada por la medicina particular, hasta el límite de 16 horas al año retribuidas, que deberán ser asimismo justificadas.
Asimismo, podrán incluirse, por el tiempo necesario y dentro de ese límite conjunto de 16 horas al año, las ausencias motivadas por acompañamiento, siempre que sea debidamente justificado, a consultas médicas y revisiones médicas del/la cónyuge, así como de hijos/as y padres/madres que convivan con el trabajador/a. En caso de duda, se podrá acudir al dictamen de la Comisión Mixta Interpretativa.
g) Las parejas de hecho, indistintamente de cuál sea el sexo de sus componentes, siempre que la convivencia se acredite con certificado de empadronamiento y registro de parejas de hecho, generará los mismos derechos que los contemplados en este artículo para el caso de matrimonio. Ahora bien, en los apartados b), d) y f) se referirá exclusivamente al compañero/a, así como a los hijos/as y padres de los convivientes, no siendo extensible la licencia para los hermanos/as, nietos/as y abuelos/as del otro conviviente.
h) El personal con nacionalidad extranjera extracomunitaria, dispondrá de un permiso retribuido de un día al objeto de proceder a la regularización de su situación personal en cuanto a trámites necesarios de solicitud de residencia por motivos laborales u obtención de la nacionalidad española. En casos excepcionales será la Comisión Negociadora Permanente quien acuerde la necesidad de aumentar estos permisos en cuanto a su duración.
i) La licencia por lactancia se podrá acumular en días completos tal y como el ET establece. Se determinarán por acuerdo entre empresa y personal.
En el apartado b) se entenderán incluidos también los parientes políticos en el mismo grado.
Artículo 38.bis. Licencias no retribuidas.
Todo el personal tendrá derecho a un permiso no retribuido en casos de fallecimiento o enfermedad grave (certificación médica) de cónyuge o familiares en primer grado de consanguinidad cuando el desplazamiento fuera superior a 1.000 km. En este caso se concederá un día natural y otro día natural más por cada 500 km adicionales con un máximo de 7 días naturales. Durante este permiso se mantendrá la cotización del personal a la Seguridad Social equivalente al Salario Mínimo Interprofesional.
CAPÍTULO V. MOVILIDAD.
Artículo 39. Desplazamientos y traslados.
A) Desplazamientos.
Las empresas podrán desplazar a su personal a otros centros de trabajo distintos de aquél en que presten sus servicios durante cualquier plazo de tiempo, fundamentando dicho desplazamiento en razones económicas, técnicas, organizativas, de producción o de contratación. Se realizarán de acuerdo con las siguientes condiciones:
Primero: Los/as trabajadores/as devengarán media dieta cuando puedan volver a pernoctar a su domicilio habitual y siempre y cuando tengan que realizar un recorrido superior a 10 kilómetros entre su domicilio y el tajo.
Segundo: Cuando los/as trabajadores/as no pueden volver a pernoctar a su domicilio percibirán la dieta completa, garantizando en todo caso, y previa justificación, el importe de la estancia. En todo caso se respetarán las condiciones establecidas en la legislación vigente.
Tercero: El preaviso se hará por escrito al/la trabajador/a con una antelación mínima de tres días, o cinco si el desplazamiento es superior a tres meses, haciendo constar las condiciones y duración prevista.
No se requerirá preaviso cuando el/la trabajador/a pueda pernoctar en su residencia habitual, ni en los casos de urgente necesidad.
Cuarto: Los desplazamientos que realice el/la trabajador/a con carácter voluntario, mediante petición escrita no darán derecho al percibo de dietas ni gastos de viaje.
Quinto: Tienen prioridad para ser los últimos en ser afectados por cualquier desplazamiento a población distinta del lugar de su residencia habitual, los/as representantes legales de los/as trabajadores/as, dentro de su categoría y especialidad profesional u oficio.
Sexto: Las dietas se percibirán siempre con independencia de la retribución del/la trabajador/a y en las mismas fechas que ésta; pero en los desplazamientos de más de una semana aquel podrá solicitar anticipos, a justificar, sobre las mencionadas dietas.
Séptimo: En todos los casos, la orden de desplazamiento es ejecutiva para el/la trabajador/a, sin perjuicio de la posible impugnación judicial.
Octavo: En los desplazamientos superiores a tres meses el/la trabajador/a tendrá derecho a un permiso de cuatro días laborales en su domicilio de origen sin computar como tales los del viaje, cuyos gastos correrán a cargo de la empresa. Si el desplazamiento es superior a un mes e inferior a tres meses, los/as trabajadores/as tendrán derecho a la parte proporcional correspondiente.
Casos especiales de desplazamiento: El personal «fijo de obra» de las empresas de la construcción y obras públicas no podrá ser objeto de desplazamiento con carácter forzoso mientras duren en la obra en que trabajen las labores de su oficio o especialidad. En las obras de larga extensión en las que el lugar de trabajo haya de ser variable como en casos de construcción de ferrocarriles, autopistas y otras vías de comunicación, el personal que sea desplazado tendrá derecho al plus de distancia y plus de transporte, en el caso de que pueda regresar diariamente a pernoctar en su domicilio, así como al derecho a percibir media dieta cuando se encuentren a una distancia superior a diez kilómetros de su domicilio.
En el supuesto de que no le sea posible el regreso percibirá las correspondientes dietas de acuerdo con lo establecido en los apartados anteriores.
Cuando las empresas organicen y costeen la manutención y alojamiento del personal desplazado, siempre que reúnan las condiciones exigibles y suficientes, solamente satisfarán el 20% de las dietas establecidas.
En todo caso se respetarán las condiciones establecidas en la legislación vigente.
B) Traslados.
Se denomina así a aquel desplazamiento que implica una duración superior a un año, o de doce meses en un período de 3 años, realizado a una distancia superior a 50 kilómetros del centro de trabajo y que implica cambio de domicilio. Los/as trabajadores/as fijos de plantilla que sean trasladados, tendrán derecho, siempre que no les interese el citado traslado por razones familiares, de salud, etc., a rescindir su contrato de trabajo, percibiendo una indemnización consistente en cuarenta y cinco días de salario real por año de servicio con un tope de 24 mensualidades.
Además, se devengarán los gastos de viaje del/la trabajador/a y su familia, los gastos de traslado de muebles y enseres y cinco días de dieta por cada persona que viaje de las que compongan la familia y convivan con el/la desplazado/a.
En los traslados forzosos con carácter definitivo, además de lo dicho respecto a las dietas y gastos de viaje, la empresa deberá facilitar al/la trabajador/a vivienda adecuada de igual alquiler que la ocupada en su anterior residencia y de no ser esto posible le abonará la diferencia de alquiler que pudiera existir.
El preaviso será de treinta días para la incorporación del/la trabajador/a al nuevo puesto, sin perjuicio de que realice a su conveniencia el traslado de familia, muebles y enseres, a cuyos efectos la empresa facilitará y costeará los viajes necesarios a su localidad de origen. El desplazamiento deberá ser comunicado simultáneamente a los/as representantes de los/as trabajadores/as.
Si el/la trabajador/a o trabajadores/as afectados/as por el traslado no estuvieran de acuerdo con los motivos aducidos por la empresa para proceder a tal medida, cualquiera de las dos partes podrá acudir a los procedimientos del Preco a fin de solventar sus diferencias. La interposición de cualquiera de los procedimientos del Preco, a los que la otra parte estará obligada a concurrir, deberá hacerse en un plazo máximo de diez días contados desde el siguiente al de la notificación del preaviso, suspendiéndose la decisión hasta tanto se resuelva definitivamente la cuestión, no debiendo exceder dicha suspensión, en todo caso, de un período superior a los 40 días desde la notificación del preaviso.
En todo caso se respetarán las condiciones legales vigentes en el momento de producirse el traslado.
CAPÍTULO VI. VARIOS.
Artículo 40. Excedencias voluntarias.
El personal fijo de plantilla con un tiempo mínimo de un año continuado al servicio de la empresa tendrá derecho a que se le reconozca la situación de excedencia voluntaria por un plazo superior a seis meses e inferior a cinco años.
No se computará el tiempo que dure esta situación a efectos de aumentos por años de servicio.
La petición de excedencia deberá despacharse favorablemente cuando se fundamente en terminación o ampliación de estudios, exigencias familiares de carácter ineludible u otras causas análogas que sean debidamente acreditadas por el/la trabajador/a.
Si el/la trabajador/a no solicita el reingreso treinta días antes del término señalado por la excedencia perderá el derecho a su puesto en la empresa. El/la trabajador/a que solicite su reingreso dentro del límite fijado tendrá derecho a ocupar la primera vacante que se produzca dentro de su categoría y su profesión. Si la vacante producida fuera de categoría inferior a la suya podrá optar entre ocuparla con el salario a ella asignado o esperar que se produzca una vacante de su categoría.
Artículo 41. Indemnizaciones por Fallecimiento, Incapacidad Permanente Absoluta e Incapacidad Permanente total.
1.a) Todos los/as trabajadores/as afectados/as por el presente Convenio, en caso de muerte natural o accidente no laboral, causarán en favor de sus herederos/as legales (salvo designación expresa del/la propio/a trabajador/a) una indemnización de 2.000 euros a partir del 1 de enero de 2005.
1.b) Aquellos/as trabajadores/as, quienes como consecuencia de accidente de trabajo o Enfermedad Profesional falleciesen o les sea reconocida una Incapacidad Permanente Absoluta para toda clase de trabajo o una Incapacidad Permanente Total para su trabajo habitual por el Organismo competente, tendrán derecho, o en el caso de fallecimiento sus derechohabientes, al percibo de una indemnización en la cuantía de 150.000 euros a partir del 1 de enero de 2022.
En caso de que el/la trabajador/a incapacitado/a, o los derechohabientes en caso de muerte, a que se refiere el párrafo anterior, reclamaran una indemnización por responsabilidad civil empresarial o patronal por las eventualidades que se contemplan en el mismo, las cantidades indicadas servirán en primer lugar para hacer frente a dichas reclamaciones.
Sin embargo, si la cantidad a percibir en concepto de indemnización por responsabilidad civil fuera inferior a la indicada, subsistirá para la empresa la obligación de satisfacer íntegra la misma.
2) Las empresas suscribirán las pólizas de seguros correspondientes para la cobertura de las indemnizaciones expresadas. En caso de no efectuarlo, serán responsables directamente del abono de las indemnizaciones.
3) A los efectos de determinar el momento del hecho causante, el capital asegurado, la empresa, o en su caso la compañía aseguradora responsable, se acuerda que en caso de accidente de trabajo la fecha del hecho causante ha de ser la misma fecha del accidente y en cuanto a enfermedad profesional será la fecha del inicio del expediente de invalidez.
La empresa responsable será aquélla con la cual el/la trabajador/a mantenía una relación laboral en la fecha del hecho causante, o en su caso la compañía aseguradora con la cual tenía suscrita la póliza en dicha fecha. Así mismo la indemnización exigible será la correspondiente a la que estuviera pactada en la fecha del hecho causante.
4) Cuando a una empresa se le requiera información sobre las pólizas de seguro, a través de los/as representantes legales de los/as trabajadores/as, ésta estará obligada a facilitar copia de la misma.
Responsabilidad civil de las empresas: Cuando las empresas contraten los seguros de responsabilidad civil para sus obras, incluirán en ellos, expresamente, el personal propio perteneciente al Grupo de Oficios Clásicos que tenga algún tipo de responsabilidad en la dirección de la obra o mando en la ejecución de la misma.
Artículo 42. Vigilancia de la salud.
Las empresas garantizarán a los/as trabajadores/as a su servicio la vigilancia periódica de su estado de salud en función a los riesgos inherentes al trabajo que realiza (incorporando las informaciones de salud a las Evaluaciones de Riesgo y Planes de Prevención).
Esta vigilancia médica se realizará con una periodicidad mínima anual (salvo legislación expresa) por los Servicios Médicos, Mutuas de Accidentes de Trabajo u Organismos acreditados en su caso.
La referida vigilancia de la salud se realizará aplicando los Protocolos Específicos o criterios de las autoridades médicas (ruido, manipulación manual de cargas, posturas forzadas, pantallas de visualización, plomo…) teniendo en cuenta especialmente las enfermedades profesionales reconocidas o que la evaluación de riesgo lo contemple.
La vigilancia de la salud debe ser obligatoria, especialmente, en los supuestos de riesgo a terceros. La información será entregada individualmente a cada trabajador/a respetándose la confidencialidad (salvo autorización expresa del/la interesado/a) y sin discriminación. Esta vigilancia deberá de efectuarse, sin exclusión, a todos los/as trabajadores/as previamente a su incorporación a la Empresa, a un nuevo puesto de trabajo o después de una ausencia prolongada por motivos de salud.
No obstante lo anterior, la empresa, los/as representantes de los/as trabajadores/as y las personas u órganos con responsabilidades en materia de prevención, serán puntualmente informados/as de las conclusiones que se deriven de los reconocimientos efectuados en relación con la aptitud del/la trabajador/a para el desempeño del puesto de trabajo o con la necesidad de introducir o mejorar las medidas de protección y prevención, a fin de que puedan desarrollar correctamente sus funciones en materia preventiva.
Dichas revisiones deberán acomodarse a la mejor organización del trabajo, debiendo gestionarse por las Empresas y los/as representantes legales de los/as trabajadores/as, las fechas anuales de dichos reconocimientos.
Los reconocimientos médicos obligatorios se realizarán dentro de la jornada de trabajo.
Artículo 43. Recurso preventivo.
Esta figura es una medida preventiva complementaria y en ningún caso podrá ser utilizada para sustituir cualquier medida de prevención o protección que sea preceptiva.
El personal que sea asignado como recurso preventivo tendrá la formación y capacidad adecuada, y dispondrá de los medios y recursos necesarios para vigilar el cumplimiento de las actividades preventivas que así lo requieran.
Para ello, el personal que sea asignado como recurso preventivo, tendrá que poseer la suficiente formación para realizar su tarea y para supervisar el cumplimiento de las medidas de seguridad y salud laboral en cada obra o centro de trabajo. Con el objeto de garantizar que este cometido se realiza correctamente, su categoría será la de Encargado de Obra. En el caso de que en la obra en cuestión no existan personas con dicha categoría, el Recurso Preventivo será la persona trabajadora que cuente con la categoría inmediatamente inferior que exista en dicha obra.
CAPÍTULO VII. DE LA ACTIVIDAD SINDICAL Y GARANTÍAS. DELEGADOS/AS Y COMITÉS DE EMPRESA.
Artículo 44. Derechos sindicales.
-Reconocimiento: Se admite que los/as trabajadores/as afiliados a un sindicato puedan celebrar reuniones, recaudar cuotas y distribuir información sindical fuera de horas de trabajo y sin perturbar la actividad normal de las empresas. En los centros de trabajo con plantilla superior a 50 trabajadores/as, existirán tablones de anuncios en los que los sindicatos debidamente implantados podrán insertar comunicaciones, a cuyo efecto dirigirán copias de las mismas, previamente, a la dirección o titularidad del centro.
-Delegados Sindicales: Las centrales sindicales podrán designar un Delegado/a Sindical en las empresas que agrupen como mínimo el número de afiliados/as que a continuación se expresa, quienes dispondrán de un máximo de horas retribuidas a salario real en la cuantía siguiente:
Las secciones sindicales con carácter previo al reconocimiento de los derechos concedidos en el presente artículo deberán notificar por escrito a la empresa la designación del/la Delegado/a Sindical y el número de afiliados/as a la misma.
El/La Delegado/a Sindical deberá ser trabajador/a en activo, preferentemente miembro del Comité de Empresa.
Funciones y competencias de los/as Delegados/as Sindicales:
a) Servir de instrumento de comunicación entre su Central Sindical y la Dirección de las respectivas empresas.
b) Asistir a las reuniones del Comité de Empresa, Comités de Seguridad e Higiene en el Trabajo y Comités Paritarios de Interpretación, con voz y sin voto, y siempre que tales Órganos admitan previamente su presencia.
c) Acceso a la misma información y documentación que la empresa deba poner a disposición del Comité de Empresa.
d) Poseerán las mismas garantías y derechos reconocidos por la Ley a los/as miembros del Comité de Empresa.
e) Serán informados/as por la empresa con carácter previo: acerca de los despidos y sanciones por faltas muy graves, que afecten a los afiliados/as del Sindicato. En materia de reestructuración de plantilla, regulación de empleo, traslados de trabajadores/as cuando revista carácter colectivo o del centro de trabajo general, y sobre todo proyecto o acción empresarial que pueda afectar substancialmente a los intereses de los/as trabajadores/as con el mismo carácter colectivo. La implantación o revisión de los sistemas de organización del trabajo.
f) Podrán recaudar cuotas de sus afiliados/as, repartir propaganda sindical y mantener reuniones con los/as mismos/as, todo ello fuera de las horas efectivas de trabajo.
g) Las centrales sindicales que cumplan con los requisitos de afiliación más arriba señalados en este artículo, dispondrán de hasta cuatro horas (4) anuales durante la vigencia de este convenio para la celebración de reuniones sindicales fuera de horas de trabajo que serán retribuidas únicamente para sus afiliados/as, con una cantidad fija de 4,81 euros la hora para la vigencia del presente Convenio.
Las centrales sindicales deberán remitir a la Dirección de la empresa relación nominal de los afiliados/as asistentes a dichas reuniones a efectos de retribución de las mismas.
-Excedencias: Podrá solicitar la situación de excedencia aquel/la trabajador/a en activo que ostentara cargos sindicales de relevancia provincial, a nivel de secretariado del Sindicato respectivo y nacional, en cualquiera de sus modalidades.
-Participación en Convenios: A los/as Delegados/as Sindicales o cargos de relevancia sindical, y que participen en las comisiones negociadoras de convenios colectivos, manteniendo su vinculación como trabajadores/as en activo de alguna empresa, le serán concedidos permisos retribuidos por las mismas, siempre que la empresa esté afectada por la negociación en cuestión.
-Delegados/as de Personal o Miembros del Comité de Empresa: Los/as Delegados/as de Personal o Miembros del Comité de Empresa dispondrán, según el volumen de las mismas, de las siguientes horas retribuidas a salario real y por:
Las horas mensuales de los/as delegados/as o miembros del Comité de Empresa podrán ser acumulables entre sus componentes previa notificación a la empresa y siempre de acuerdo con la misma.
Quedan excluidos del cómputo de horas/mes las realizadas en convocatoria a iniciativa de la empresa.
-Elecciones Sindicales: Dadas las especiales características que se dan en la Industria de la Construcción, se acuerda que tendrán la consideración de elegibles a efectos de las Elecciones Sindicales aquellos/as trabajadores/as que tengan una antigüedad en la Empresa de 3 meses. Se considerarán electores aquellos/as trabajadores/as mayores de 16 años y que tengan una antigüedad en la empresa igual o superior al establecido para el periodo de prueba en este Convenio (art. 13.º) y siempre y cuando este periodo sea a su vez inferior al establecido en el Estatuto de los Trabajadores. A los solos efectos de consideración como elector o elegible, aquellos/as trabajadores/as que tengan contratos temporales continuados en la misma Empresa, entre los que no hayan transcurridos 20 días laborables entre la finalización de un contrato y el inicio del siguiente, se considerará como fecha de antigüedad la del primer contrato. Y a los efectos de determinar el número de representantes a elegir, se computarán todos/as los/as trabajadores/as de alta en la Empresa en el momento del inicio del proceso electoral, es decir, en la fecha de constitución de la mesa electoral.
-Delegados/as de Prevención: Serán por cuenta de las empresas los gastos generados por los Delegados/as de Prevención en cumplimiento de sus competencias contempladas en el artículo 36.º y de acuerdo con lo estipulado en el artículo 37.º de la Ley de Prevención de Riesgos Laborales.
CAPÍTULO VIII. RÉGIMEN DISCIPLINARIO.
Artículo 45. Faltas y Sanciones.
Se incorpora sobre esta materia el texto correspondiente del Convenio General del sector de la Construcción y que textualmente señala:
Uno. Clases de faltas: Las faltas cometidas por los/as trabajadores/as al servicio de las empresas del sector se clasificarán atendiendo a su importancia, y en su caso, a su reincidencia en leves, graves y muy graves, de conformidad con lo que se dispone en los artículos siguientes.
Dos. Faltas leves: Se considerarán faltas leves las siguientes:
1. Hasta tres faltas de puntualidad en un mes, sin motivo justificado.
2. La no comunicación, con cuarenta y ocho horas como mínimo de antelación, de cualquier falta de asistencia al trabajo por causas justificadas, a no ser que se acredite la imposibilidad de hacerlo.
3. El abandono del centro o del puesto de trabajo, sin causa o motivo justificado, aún por breve tiempo, siempre que dicho abandono no fuera perjudicial para el desarrollo de la actividad productiva de la empresa o causa de daños o accidentes a sus compañeros/as de trabajo, en que podrá ser considerada como grave o muy grave.
4. Faltar al trabajo un día al mes sin causa justificada.
5. La falta de atención y diligencia debidas en el desarrollo del trabajo encomendado, siempre y cuando no cause perjuicio de consideración a la empresa o a sus compañeros/as de trabajo, en cuyo supuesto podrá ser considerada como grave o muy grave.
6. Pequeños descuidos en la conservación del material.
7. No comunicar a la empresa cualquier variación de su situación que tenga incidencia en lo laboral, como el cambio de su residencia habitual.
8. La falta ocasional de aseo o limpieza personal, cuando ello ocasione reclamaciones o quejas de sus compañeros/as o jefes/as.
9. Las faltas de respeto, de escasa consideración, a sus compañeros/as e, incluso, a terceras personas ajenas a la empresa o centro de actividad, siempre que ello se produzca con motivo u ocasión del trabajo.
10. Permanecer en zonas o lugares distintos de aquéllos en que se realice su trabajo habitual sin causa que lo justifique, o sin estar autorizado para ello.
11. Encontrarse en el local de trabajo, sin autorización, fuera de la jornada laboral.
12. La inobservancia de las normas en materia de seguridad e higiene en el trabajo, que no entrañen riesgo grave para el/la trabajador/a, ni para sus compañeros/as o terceras personas.
13. Las discusiones sobre asuntos extraños al trabajo durante la jornada laboral. Si tales discusiones produjesen graves escándalos o alborotos, podrán ser consideradas como faltas graves o muy graves.
14. Distraer a sus compañeros/as durante el tiempo de trabajo y prolongar las ausencias breves y justificadas por tiempo superior al necesario.
15. Usar el teléfono para asuntos particulares, sin la debida autorización.
Tres. Faltas graves: Se consideran faltas graves las siguientes:
1. Más de tres faltas de puntualidad en un mes, o hasta 3 cuando el retraso sea superior a 15 minutos, en cada una de ellas, durante dicho período, y sin causa justificada.
2. Faltar dos días al trabajo durante un mes, sin causa que lo justifique.
3. No prestar la diligencia o la atención debidas en el trabajo encomendado, que pueda suponer riesgo o perjuicio de cierta consideración para el/la propio/a trabajador/a, sus compañeros/as, la empresa, o terceros.
4. La simulación de supuestos de incapacidad laboral transitoria o accidente.
5. La inobservancia de las órdenes o el incumplimiento de las normas en materia de seguridad e higiene en el trabajo, cuando las mismas supongan riesgo grave para el/la trabajador/a, sus compañeros/as o terceros, así como negarse al uso de los medios de seguridad facilitados por la empresa.
6. La desobediencia a los/as superiores en cualquier materia de trabajo, siempre que la orden no implique condición vejatoria para el/la trabajador/a, o entrañe riesgo para la vida o salud tanto de él/ella como de otros/as trabajadores/as.
7. Cualquier alteración o falsificación de datos personales o laborales relativos al/la propio/a trabajador/a o a sus compañeros/as.
8. La negligencia o imprudencia graves en el desarrollo de la actividad encomendada.
9. Realizar, sin el oportuno permiso, trabajos particulares en la obra, o centro de trabajo, así como utilizar para usos propios herramientas de la empresa, tanto dentro como fuera de los locales de trabajo, a no ser que se cuente con la oportuna autorización.
10. La disminución voluntaria y ocasional en el rendimiento de trabajo.
11. Proporcionar datos reservados o información de la obra o centro de trabajo o de la empresa a personas ajenas, sin la debida autorización para ello.
12. La ocultación de cualquier hecho o falta que el/la trabajador/a hubiese presenciado y que podría causar perjuicio grave de cualquier índole para la empresa, para sus compañeros/as de trabajo o para terceros.
13. No advertir, inmediatamente a sus jefes/as, a la empresa o a quien lo represente, de cualquier anomalía, avería o accidente que observe en las instalaciones, maquinaria o locales.
14. Introducir o facilitar el acceso al centro de trabajo a personas no autorizadas.
15. La negligencia grave en la conservación o en la limpieza de materiales y máquinas que el/la trabajador/a tenga a su cargo.
16. La reincidencia en cualquier falta leve, dentro del mismo trimestre, cuando haya mediado sanción por escrito de la empresa.
Cuatro. Faltas muy graves: Se considerarán faltas muy graves las siguientes:
1. Más de diez faltas de puntualidad no justificadas cometidas en el período de tres meses o de veinte durante seis meses.
2. Faltar al trabajo más de dos días al mes sin causa o motivo que lo justifique.
3. El fraude, la deslealtad o el abuso de confianza en el trabajo, gestión o actividad encomendados; el hurto y el robo, tanto a sus compañeros/as como a la empresa o a cualquier persona que se halle en el centro de trabajo o fuera del mismo durante el desarrollo de su actividad laboral.
4. Hacer desaparecer, inutilizar, destrozar o causar desperfectos en cualquier material, herramientas, máquinas, instalaciones, edificios, aparatos, enseres, documentos, libros o vehículos de la empresa o del centro de trabajo.
5. La embriaguez y la toxicomanía habitual durante el trabajo, si repercuten negativamente en el mismo.
6. La revelación a terceros de cualquier información de reserva obligada, cuando de ello pueda derivarse un perjuicio sensible para la empresa.
7. La competencia desleal.
8. Los malos tratos de palabra u obra o faltas graves de respeto y consideración a los/as superiores, compañeros/as o subordinados/as.
9. La imprudencia o negligencia inexcusable, así como el incumplimiento de las normas de seguridad e higiene en el trabajo cuando sean causantes de accidente laboral grave, perjuicios graves a sus compañeros/as o a terceros, o daños graves a la empresa.
10. El abuso de autoridad por parte de quien la ostente.
11. La disminución voluntaria y reiterada o continuada en el rendimiento normal del trabajo.
12. La desobediencia continuada o persistente.
13. Los actos desarrollados en el centro de trabajo o fuera de él con motivo u ocasión del trabajo encomendado, que puedan ser constitutivos de delito.
14. La emisión maliciosa o por negligencia inexcusable de noticias o información falsa referente a la empresa o centro de trabajo.
15. El abandono del puesto o del trabajo sin justificación, especialmente en puestos de mando o responsabilidad, o cuando ello ocasione evidente perjuicio para la empresa o pueda llegar a ser causa de accidente para el/la trabajador/a, sus compañeros/as o terceros.
16. La imprudencia temeraria en el desempeño del trabajo encomendado, o cuando la forma de realizarlo implique riesgo de accidente o peligro grave de avería para las instalaciones o maquinaria de la empresa.
17. La reincidencia en falta grave, aunque sea de distinta naturaleza, dentro del mismo semestre, siempre que haya sido objeto de sanción por escrito.
Cinco. Sanciones: Aplicación.
1. Las sanciones que las empresas pueden aplicar según la gravedad y circunstancias de las faltas cometidas serán las siguientes:
A) Faltas leves:
a) Amonestación verbal.
b) Amonestación por escrito.
B) Faltas graves:
a) Suspensión de empleo y sueldo de 1 a 15 días.
C) Faltas muy graves:
a) Suspensión de empleo y sueldo de 16 días a 90 días.
b) Despido.
2. Para la aplicación y graduación de las sanciones que anteceden en el punto 1, se tendrá en cuenta:
a) El mayor o menor grado de responsabilidad del/la que comete la falta.
b) La categoría profesional del/la mismo/a.
c) La repercusión del hecho en los demás trabajadores/as y en la empresa.
3. Previamente a la imposición de sanciones por faltas graves o muy graves a los/as trabajadores/as que ostenten la condición de representante legal o sindical, les será instruido expediente contradictorio por parte de la empresa, en el que serán oídos, aparte del/la interesado/a, los/as restantes miembros de la representación a que éste/a perteneciera, si los hubiere.
La obligación de instruir el expediente contradictorio aludido anteriormente se extiende hasta el año siguiente a la cesación en el cargo representativo.
4. En aquellos supuestos en los que la empresa pretenda imponer una sanción a los/as trabajadores/as afiliados/as a un sindicato deberá, con carácter previo a la imposición de tal medida, dar audiencia a los Delegados/as sindicales, si los hubiere.
Seis. Otros efectos de las sanciones. Las empresas anotarán en los expedientes laborales de sus trabajadores/as las sanciones que por falta grave o muy grave se les impongan, anotando también la reincidencia en las faltas leves.
CAPÍTULO IX. COMISIONES Y PROCEDIMIENTO DE RESOLUCIÓN DE CONFLICTOS.
Artículo 46. Cláusula de inaplicación de las condiciones de trabajo pactadas en el presente convenio.
En consonancia con el artículo 82.3 del ET sobre inaplicación de condiciones recogidas en este Convenio por parte de las empresas se deberá de seguir necesariamente el siguiente procedimiento:
1. Las empresas abrirán el período de consultas de 15 días que versará sobre las causas motivadoras de la decisión empresarial y la posibilidad de evitar o reducir sus efectos, así como sobre las medidas necesarias para atenuar sus consecuencias para los/as trabajadores/as afectados. Debiendo en el mismo plazo, poner en conocimiento de la Comisión Paritaria del Convenio, acompañándose copia del escrito formulando a la representación Legal de los/as trabajadores/as.
Durante el período de consultas, las partes deberán negociar de buena fe, con vistas a la consecución de un acuerdo. Dicho acuerdo requerirá la conformidad de la mayoría de los/as miembros del comité o comités de empresa, de los/as delegados/as de personal, en su caso, o de representaciones sindicales, si las hubiere, que, en su conjunto, representen a la mayoría de aquellos.
De producirse acuerdo en las negociaciones desarrolladas durante el período de consultas establecido entre la empresa y la representación de personal, éste deberá ser comunicado a la Comisión Paritaria.
2. En caso de desacuerdo finalizado el periodo de consultas, cualquiera de las partes podrá, en el plazo de cinco días, someter la discrepancia a la Comisión paritaria del convenio que dispondrá de un plazo máximo de siete días para pronunciarse, a contar desde que la discrepancia fuera planteada en la Comisión paritaria.
3. En el supuesto de desacuerdo en la Comisión paritaria, cualquiera de las partes podrá, en el plazo de cinco días, acudir para solventar las discrepancias, el Acuerdo Interconfederal sobre Procedimientos voluntarios de Resolución de Conflictos (Preco) de 16 de febrero de 2000 (Boletín Oficial del País Vasco de 4 de abril). Se establece expresamente, que el procedimiento de arbitraje se aplicará únicamente mediante acuerdo de sometimiento al mismo por la mayoría de ambas partes.
4. Para poder someter la discrepancia ante el Órgano para la Resolución de los Procedimientos para la inaplicación de Convenios Colectivos – ORPRICCE, con sede en el Consejo de Relaciones Laborales u órgano que lo sustituya, será necesario el acuerdo mayoritario de ambas partes negociadoras.
Artículo 47. Comisión Mixta.
Se constituye una Comisión Mixta de Convenio integrada por seis representantes de las Centrales Sindicales y seis representantes de las Organizaciones Empresariales firmantes del Convenio, que tendrá por objeto el seguimiento, interpretación y/o aplicación de las disposiciones contenidas en el presente Convenio.
Las discrepancias producidas, en el seno de dicha Comisión, en las cuestiones que le sean atribuidas, serán solventadas por medio del Acuerdo Interconfederal sobre Procedimientos Voluntarios de Resolución de Conflictos Colectivos Preco.
Sede de la Comisión Mixta: Sede Territorial del Consejo de Relaciones Laborales, c/ Javier de Barkaiztegi, 19, bajo, de Donostia-San Sebastián.
Artículo 48. Formación Profesional y de Prevención en Riesgos Laborales.
1. Formación Profesional: Ambas partes reconocen la necesidad de la formación permanente de los/as trabajadores/as.
A la firma del presente Convenio se constituirá una Comisión Paritaria de Formación Continua, integrada por el mismo número de miembros de la representación patronal y de la parte sindical, distribuidos según la representatividad de cada sindicato.
A los efectos oportunos y sin perjuicio del número de miembros de dicha Comisión, cada sindicato ejercerá su representatividad en función de la otorgada a cada uno de ellos en el momento de la constitución de la Mesa Negociadora del Convenio.
Esta Comisión, que tendrá como objeto promover la Formación Continua en el sector, será informada de los planes sectoriales dirigidos al conjunto de las empresas del sector y supraempresariales (sectoriales e intersectoriales) y dispondrá de 15 días para emitir el correspondiente informe ante la Entidad Gestora de la Formación Continua.
En las empresas se constituirá una Comisión Paritaria de empresa integrada por representantes de la Dirección de la misma y de los representantes sindicales, con el objeto de analizar las necesidades de formación en la misma, así como determinar en su caso los cursos que sean de interés para la actividad de la empresa y adecuados para completar la formación del/la trabajador/a y los/as trabajadores/as que hayan de participar en los mismos.
Dichas Comisiones determinarán asimismo las licencias y cualquier otro tipo de compensación para los/as trabajadores/as participantes en dichos cursos. Si el/la trabajador/a que ha utilizado la licencia o compensaciones establecidas causara baja voluntaria en la empresa en los doce meses siguientes, ésta podrá deducir de la liquidación que le corresponda el importe de las mismas.
En los supuestos en que no exista en la empresa representación de los/as trabajadores/as, será facultad de la Comisión Paritaria de Formación Continua del presente Convenio Colectivo, el recibir la información básica del plan y la lista de los participantes, con el fin de emitir informe previo ante la entidad gestora.
2. Cursos en materia de prevención de riesgos laborales: Se asume la necesidad formativa de todos los/as trabajadores/as del sector de la construcción y, especialmente, de aquellos/as que acceden por primera vez al mismo, así como la necesidad de cursos de reciclaje en el tiempo para todos aquellos/as trabajadores/as con experiencia.
A tal efecto, se crea una comisión para el estudio del texto del trabajo realizado, en esta materia, por la Comisión Sectorial de la Construcción en la CAV de cara a la posible implantación de cursillos de formación establecidos en el mencionado trabajo.
Artículo 49. Euskaldunización.
Las organizaciones Empresariales y Sindicales componentes de la Mesa Negociadora Permanente de este Convenio Colectivo Básico son conscientes de que la normalización lingüística necesita la superación simbólica de la presencia del euskara en las empresas.
A tal efecto la Mesa Negociadora Permanente constituirá una Comisión Paritaria de Euskaldunización cuyo objetivo será el establecer y desarrollar un plan de normalización lingüística sectorial de carácter plurianual.
Sin perjuicio del número de miembros de dicha Comisión, cada sindicato ejercerá su representatividad en función de la otorgada a cada uno de ellos en el momento de la constitución de la Mesa Negociadora Permanente del presente Convenio Colectivo Básico.
En empresas de más de 50 personas trabajadoras, cuando se solicite por parte de la dirección de la empresa o de la Representación Legal de las Personas Trabajadoras (RLT), ambas partes tendrán obligación de tratar el interés planteado por la parte solicitante sobre el impulso del euskera en la empresa.
Artículo 50. Comisión de Garantía de Aplicación del Convenio.
Con el objeto de velar por la aplicación del presente convenio, se crea la Comisión de Garantía de Aplicación del Convenio, integrada por Ascongi-Adegi, y ELA, LAB, UGT y CC.OO., en función de la cuota de representación que ostenta cada organización en el momento de la firma de la presente cláusula. Se señala como domicilio de la Comisión de Garantía de Aplicación del Convenio, el de la sede del Consejo de Relaciones Laborales en San Sebastián, calle Javier Barkaiztegi, 19, bajo.
En caso de que alguna organización patronal o sindical de la Comisión de Garantía de Aplicación del Convenio advierta que alguna empresa que se encuentre dentro del ámbito de aplicación del presente Convenio no cumple con la legalidad vigente en materia de aplicación de Convenio Colectivo, podrá presentar una solicitud a través del Preco.
El/los/as gestores/as del Preco remitirán la solicitud a la empresa presuntamente incumplidora. Si en un plazo de 7 días naturales la empresa no subsanase el presunto incumplimiento, el Preco convocará, a iniciativa de la organización denunciante y en un nuevo plazo de 7 días naturales, a un encuentro de conciliación a Ascongi-Adegi, a la organización denunciante, a la empresa presuntamente incumplidora, a la representación unitaria de la empresa presuntamente incumplidora (en caso de que exista) así como a la empresa principal, ya sea promotora pública o privada o contratista principal.
El procedimiento aplicable en el supuesto anterior será el siguiente:
* En un plazo no superior a 15 días naturales desde la convocatoria del Preco, tendrá lugar la reunión. La asistencia a la referida reunión será obligatoria para las partes.
* En dicha reunión se debatirá sobre el presunto incumplimiento y la empresa deberá facilitar los datos y documentos necesarios para certificar si, efectivamente, se está produciendo o no el incumplimiento de la legalidad vigente en materia de aplicación de convenio colectivo.
* A aquella empresa que no acuda o no facilite la documentación solicitada, se le suspenderán, por parte de la promotora pública o privada o contratista principal, todos los pagos derivados del contrato mercantil que motiva el incumplimiento. Asimismo, a aquellas empresas que por sentencia judicial firme se les declarase culpables de incumplir las cantidades reclamadas en un porcentaje del 50% o más se les rescindirá el contrato.
* En dicha reunión, y una vez aportados los medios necesarios, si mediante avenencia entre las partes se declara la existencia del incumplimiento, y la empresa incumplidora es una subcontrata, la empresa principal suspenderá inmediatamente todos los pagos derivados del contrato mercantil que hubiese pendientes, procediendo a la retención de dichas cuantías, y abonará directamente a los trabajadores y trabajadoras de la empresa subcontratista las cantidades que coincidan con el salario correspondiente al tiempo efectivo en la obra en cuestión e impagadas a resultas del incumplimiento (excluidas las cotizaciones a la seguridad social que se deriven del mismo), y que se hubieran devengado hasta la fecha de la declaración del incumplimiento, con el límite máximo del importe de las cantidades retenidas.
La avenencia a la que se hace referencia en este apartado requerirá, como mínimo, del acuerdo entre la organización denunciante, la mayoría de la representación unitaria de la empresa presuntamente incumplidora y Ascongi-Adegi, y la empresa presuntamente incumplidora o la empresa principal -ya sea promotora pública o privada o contratista principal-.
* Las partes firmantes dejan expresa constancia de que el presente procedimiento de pago directo no implicará en ningún caso para la empresa principal el reconocimiento o asunción de relación laboral alguna con respecto a los trabajadores y trabajadoras de la empresa subcontratista, ni tendrá la consideración de cesión ilegal o subrogación de trabajadores o trabajadoras, ni generará ningún otro tipo de expectativa futura más allá de lo expresamente previsto en el presente artículo.
* En el caso en el que no haya sido posible constatar el incumplimiento, la parte denunciante remitirá, en el plazo no superior a 7 días naturales desde la referida reunión un informe en el que expondrá si, en su opinión, se ha incumplido la legalidad vigente en materia de aplicación de convenio colectivo y los detalles de dicho incumplimiento. Dicho informe será remitido inmediatamente a la Comisión, la cual, en el plazo improrrogable de 10 días naturales desde la recepción del informe, concluirá si existe o no tal incumplimiento. El Acuerdo sobre la existencia del incumplimiento requerirá del voto favorable de la mayoría de cada una de las dos representaciones que forman la Comisión, en función de la cuota de representación que ostenta cada organización en el momento de la firma de la presente cláusula.
* En caso de que la Comisión concluya que existe incumplimiento, se darán las consecuencias siguientes:
-La Comisión requerirá a la empresa incumplidora para que dé cumplimiento a la legalidad de manera inmediata.
-En caso de que en el plazo de 15 días naturales a contar desde el requerimiento señalado en el precedente párrafo no se acredite el cumplimiento y la empresa incumplidora sea una subcontrata, la empresa principal suspenderá inmediatamente todos los pagos derivados del contrato mercantil que hubiese pendientes, procediendo a la retención de dichas cuantías y pudiendo, con el límite máximo del importe de las cantidades retenidas, abonar directamente a los trabajadores y trabajadoras de la empresa subcontratista las cantidades que coincidan con el salario correspondiente al tiempo efectivo en la obra en cuestión e impagadas a resultas del incumplimiento (excluidas las cotizaciones a la seguridad social que se deriven del mismo), y que se hubieran devengado hasta la fecha de la constatación del incumplimiento por parte de la Comisión.
Las partes firmantes dejan expresa constancia de que el presente procedimiento de pago directo no implicará en ningún caso para la empresa principal el reconocimiento o asunción de relación laboral alguna con respecto a los trabajadores y trabajadoras de la empresa subcontratista, ni tendrá la consideración de cesión ilegal o subrogación de trabajadores o trabajadoras, ni generará ningún otro tipo de expectativa futura más allá de lo expresamente previsto en el presente artículo.
* No obstante lo anterior, el denunciante podrá en cualquier momento acudir a las vías ordinarias (inspección de trabajo, juzgados…), incluyendo en el caso de que no se llegara a un acuerdo en la Comisión.
* A los efectos de poder dar efectivo cumplimiento al presente procedimiento, las empresas principales trasladarán a los contratos mercantiles que celebren con las empresas subcontratistas cláusulas que recojan lo previsto en la presente disposición.
Dada la novedad de la presente disposición y los efectos imprevistos que pueda producir, su aplicación se mantendrá hasta el 31 de diciembre del 2020, y llegada dicha fecha quedará automáticamente renovada siempre que la Mesa Negociadora Permanente no alcance un acuerdo en contrario.
La comisión procurará igualmente que las distintas administraciones a quien corresponde la adjudicación de las obras atendiendo a la relación entre calidad y precio, según lo previsto en la Ley de Contratos del sector público, incluyan como contenido de sus pliegos, la obligatoriedad de cumplir con lo previsto en el convenio respecto de cuyas obras se entiende igualmente el alcance de la labor la presente comisión.
En la misma dirección, la comisión estudiará el establecimiento de herramientas que permitan la efectiva comprobación de que, en los precios descompuestos de los proyectos sometidos a licitación pública, el coste derivado de la aplicación del Convenio Colectivo sectorial se encuentra debidamente actualizado al momento de la licitación, propiciando en su defecto su subsanación.
DISPOSICIÓN ADICIONAL PRIMERA. Jubilación especial a los 64 años.
Las partes acuerdan recomendar a las empresas y trabajadores/as afectados por el presente Convenio la utilización del sistema especial de jubilación a los 64 años, al 100% de los derechos, con simultánea contratación de otros/as trabajadores/as jóvenes o perceptores/as del seguro de desempleo, con contratos de igual naturaleza, según la legislación vigente.
Al objeto de hacer una valoración de las posibilidades que ofrece este mecanismo, las partes presentarán en la primera reunión de la Comisión Mixta las cifras de los posibles afectados/as por este procedimiento, así como los métodos de puesta en práctica.
DISPOSICIÓN ADICIONAL SEGUNDA. Campo de aplicación del presente Convenio Colectivo.
En desarrollo de lo dispuesto en el apartado a) del artículo 2.º de este Convenio Colectivo, quedan comprendidas en el mismo las siguientes actividades.
I.
– Construcción y Obras Públicas.
– Albañilería.
– Hormigón.
– Pintores, Decoradores y Empapeladores.
– Carpinteros de armar.
– Embaldosadores y Soladores.
– Empedradores y Adoquinadores.
– Escultores, Decoradores y Escayolistas.
– Estuquistas Revocadores.
– Piedra y Mármol, incluyéndose las fábricas y talleres de Sierra y Labra, tanto mecánica como manual.
– Portlandista de Obra.
– Poceros.
– Canteras, Graveras, Areneras y la explotación y Manufacturas de tierras industriales, bien explotadas a cielo abierto, galerías o minas y vetas explotadas para uso propio por las empresas dedicadas principalmente a la construcción y obras públicas en general, aunque la producción no se absorba totalmente por las mismas.
– Canteras, Graveras y Areneras, cuya materia se destine a la Construcción y no sean explotadas directamente por las empresas constructoras.
– Los trabajos que se realicen en los puertos, en tierra firme, muelle y espigones.
– Fabricación de elementos auxiliares y materiales de Construcción para su exclusiva o preferente utilización y consumo, absorbiéndose en las propias obras toda o la mayor parte de dicha producción.
– Embarcaciones, artefactos flotantes y explotaciones de ferrocarriles auxiliares de las obras de puertos.
– Carpintería utilizada por las empresas de la construcción, bien sea en las obras o en sus talleres; sin embargo, no será de aplicación este Convenio Colectivo a aquellos talleres de Carpintería, que aún trabajando con elementos para la construcción no pertenezcan a empresas de este ramo.
– Colocación de artículos de piedra artificial, pulimentada o sin pulimentar, así como su fabricación a pie de obra para la utilización exclusiva de la misma.
– Colocación de aislantes térmicos a base fundamentalmente de fibra de vidrio, posteriormente revestida con yeso.
– Abastecimiento de aguas, colocación de tuberías y elementos accesorios de las mismas, apertura y cierre de zanjas y sus reparaciones, cuando sea empleado, principalmente, personal de construcción y obras públicas.
– Confección de cañizos y cielos rasos, cualquiera que sea el destino para que se aplique.
– Empresas inmobiliarias.
– Las Empresas dedicadas al estudio, planteamiento y construcción de obras públicas y particulares (carretera, viaductos, túneles, autopistas, pasos elevados), o simplemente a la realización de las obras indicadas.
– Las empresas dedicadas a la promoción o ejecución de urbanizaciones.
– Las promotoras de la edificación de inmuebles de cualquier género.
II. Personal de embarcaciones, artefactos flotantes y ferrocarriles auxiliares de las obras de puertos.
En desarrollo de lo dispuesto en el apartado b) del artículo 2 de este Convenio Colectivo, es de aplicación su clausulado al personal de embarcaciones, artefactos flotantes y explotaciones de ferrocarriles auxiliares de las obras de puertos y, en general, a todos aquellos/as trabajadores/as empleados/as en la construcción o reparación de los mismos, así como las ampliaciones, modificaciones y excepciones que se establezcan para este grupo, siempre y cuando el trabajo del mismo se efectúe de manera exclusiva para la construcción o reparación de los puertos.
III. Canteras graveras, areneras y explotación y manufactura de tierras industriales.
En desarrollo de lo dispuesto en el apartado c) del artículo 2 de este Convenio Colectivo son aplicables sus preceptos a las relaciones de trabajo en las empresas dedicadas a la explotación de canteras graveras y areneras para la obtención de piedra para la construcción de tierras silíceas refractarias y demás industriales bien explotadas a cielo abierto, galerías o minas que no se exploten como industria auxiliar de otra principal que se halle reglamentada.
Se exceptúan los trabajos de las empresas explotadoras de tierras industriales que vengan regulándose por la Reglamentación Nacional de Trabajo en las Minas de Fosfatos, Azufre, Potasa, Talco y demás explotaciones mineras no comprendidas en otra reglamentación.
IV. Yesos y Cales.
En desarrollo de lo dispuesto en el apartado d) del artículo 2 de este Convenio Colectivo se regularán por sus normas las relaciones de trabajo en las industrias de fabricación de yeso y cal gruesa.
Abarca también a las canteras de materias primas explotadas directamente por las empresas.
V. Empresas dedicadas a la fabricación y distribución de Hormigón.
En desarrollo de lo dispuesto en el apartado f) del artículo 2 de este Convenio, quedan comprendidos en el mismo la actividad de fabricación y distribución de hormigón a las obras.
DISPOSICIÓN ADICIONAL TERCERA. Preco.
Los/as firmantes de este Convenio expresan su convencimiento de que los procedimientos del Preco deberían ser utilizados con preferencia a cualesquiera otros para la resolución de toda clase de conflictos colectivos, por ser una manifestación de la autonomía colectiva de las organizaciones sindicales y empresariales más representativas, y favorecer el fortalecimiento del diálogo y la negociación en las relaciones laborales.
Por determinación de los negociadores de este Convenio Colectivo, en el ámbito de aplicación del mismo será obligatorio concurrir al procedimiento de mediación del Preco que inicie la mayoría de una de las dos partes, en toda clase de conflictos colectivos que se produzcan entre sujetos afectados por el presente Convenio.
Por establecerlo así el Preco, también será obligatorio concurrir al procedimiento de mediación que inicie la mayoría de una de las dos partes, si hubieren transcurrido seis meses desde el inicio de la negociación del convenio que sustituya a éste a su expiración sin alcanzarse acuerdo y sin que se hayan efectuado negociaciones en los últimos 60 días.
Cuando se utilice un procedimiento de los previstos en el Preco, y se alcance avenencia en conciliación, o se acepte por ambas partes la propuesta del mediador, o se dicte laudo arbitral firme, la avenencia, propuesta aceptada o laudo producirán los efectos vinculantes que el Acuerdo dispone.
DISPOSICIÓN ADICIONAL CUARTA. Horas extraordinarias.
Sin perjuicio de lo dispuesto en el Convenio sobre las horas extraordinarias, se habilitará a la Comisión Mixta del Convenio para establecer una nueva fórmula para determinar el valor de las horas extraordinarias de Convenio Colectivo a abonar en defecto de acuerdo en empresa o centro de trabajo.
El acuerdo que se alcance, en su caso, se incorporará a los anexos del Convenio y tendrá la misma eficacia que lo acordado en Convenio Colectivo.
DISPOSICIÓN ADICIONAL QUINTA. Mesa negociadora permanente.
Primero: El convenio, en todo o en parte, podrá modificarse por voluntad concorde de la mesa negociadora permanente a que se hace referencia más adelante, con arreglo a los procedimientos que se señalan, y lo establecido en la legislación vigente en cada momento.
Segundo: Mesa negociadora permanente.
1) Se establece una Mesa negociadora permanente cuya función será la de llegar a acuerdos en todos aquellos apartados que se establecen en el presente Convenio Colectivo Básico.
2) Los acuerdos que alcance la Mesa negociadora permanente en cuestiones de interés general, se consideran parte del presente Convenio Colectivo Básico, y tendrán su misma eficacia obligatoria. Tales acuerdos se remitirán a la Autoridad Laboral para su registro y publicación.
3) La Mesa negociadora permanente estará compuesto por 7 representantes de las centrales sindicales legitimadas para negociar, cuya composición se determinará en función de la cuota de representación que ostenten en cada momento de acuerdo con el resultado de las últimas elecciones sindicales celebradas dentro del ámbito territorial y funcional del presente Convenio Colectivo Básico, garantizándose en todo caso la participación en dicha mesa de todas ellas, y 7 representantes de las asociaciones empresariales legitimadas.
4) Reglamento de funcionamiento:
a) La Mesa negociadora permanente se reunirá cuando finalicen la duración de los anexos y cuando les sea requerida para la modificación de los artículos de vigencia indeterminada o la introducción de nuevas materias.
b) Convocatorias: La Mesa negociadora permanente será convocada por cualquiera de las organizaciones legitimadas, bastando para ello una comunicación escrita, en la que se expresará los puntos a tratar en el orden del día.
La Mesa negociadora permanente se reunirá dentro del término que las circunstancias lo aconsejen, pero en ningún caso excederá de 30 días a partir de la convocatoria.
c) Validez de los acuerdos: Los acuerdos de la Mesa negociadora permanente requerirán en cualquier caso el voto favorable de más del 50% de cada una de las dos representaciones.
De cada reunión se levantará acta, que será firmada por quien haga de secretario/a y un/a representante de cada parte.
d) Domicilio: A efectos de notificaciones y convocatoria se fija el domicilio de la Mesa Negociadora Permanente en: Sede Territorial del Consejo de Relaciones Laborales, c/ Javier de Barkaiztegi 19, bajo, Donostia-San Sebastián.
Tercero: Las materias que el convenio señala como anexos serán objeto de revisión periódica y en los términos que las partes hubiesen fijado, quedando en todo caso denunciados 60 días antes de su vencimiento.
A partir de esa fecha deberá reunirse la mesa negociadora permanente, para proceder a su revisión.
DISPOSICIÓN ADICIONAL SEXTA. Abono de diferencias.
Aquellos/as trabajadores/as que hubieran finalizado su contrato entre las fechas 01-01-2025 hasta la publicación del Convenio Colectivo Básico en el Boletín Oficial de Gipuzkoa tendrán derecho al abono de las diferencias, independientemente de que hayan firmado el finiquito en el momento de su cese.
DISPOSICIÓN ADICIONAL SÉPTIMA. Aportaciones a Geroa-EPSV.
Las partes signatarias de este Convenio Colectivo Básico han establecido mediante un Acuerdo sobre materia concreta del artículo 83.3 del Estatuto de los/as trabajadores/as las aportaciones de empresas y trabajadores a la EPSV-Geroa.
Dichas aportaciones son, a partir del 1 de enero de 2009, del 4% de la misma Base de Cotización, del que un 2% correrá a cargo del trabajador y el otro 2% con cargo a la empresa.
Las aportaciones se realizarán de forma conjunta por la empresa, para lo que se descontará el porcentaje con cargo a la persona trabajadora en las correspondientes nóminas de salarios.
DISPOSICIÓN ADICIONAL OCTAVA. Categorías Profesionales.
A la firma del presente Convenio Colectivo Básico la Mesa Negociadora Permanente constituirá una Comisión Paritaria de Clasificación Profesional, integrada por el mismo número de miembros de la representación patronal y de la parte sindical, distribuidos según la representatividad de cada sindicato.
A los efectos oportunos y sin perjuicio del número de miembros de dicha Comisión, cada sindicato ejercerá su representatividad en función de la otorgada a cada uno de ellos en el momento de la constitución de la Mesa Negociadora Permanente del Convenio Colectivo Básico.
Esta Comisión tendrá como objeto el estudiar las categorías profesionales actualmente vigentes en el sector y su adecuación al Convenio Colectivo Básico.
DISPOSICIÓN ADICIONAL NOVENA. Contrato de Relevo.
Las partes firmantes de este acuerdo se comprometen a impulsar en las empresas del sector de la construcción, la jubilación parcial para aquellos/as trabajadores/as que cumplan con los requisitos legales y puedan acceder a la jubilación parcial, en consonancia con la normativa legal que regula la materia.
DISPOSICIÓN ADICIONAL DÉCIMA. Trabajadores Inmigrantes.
Las partes firmantes reconocen, como declaración de principios, la igualdad en cuanto a derechos y deberes de los/as trabajadores/as inmigrantes.
DISPOSICIÓN ADICIONAL DECIMOPRIMERA. Prioridad aplicativa del Convenio de Gipuzkoa.
Al amparo del «Acuerdo Interprofesional en relación con la estructura de negociación en el ámbito de la CAPV» (Boletín Oficial de País Vasco 03-03-2017) el presente Convenio Colectivo sectorial tiene prioridad aplicativa frente a otros convenios de ámbito estatal que concurra o pudieran concurrir en este ámbito.
DISPOSICIÓN ADICIONAL DECIMOSEGUNDA. Protocolo frente al acoso sexual, acoso por razón de sexo, por orientación sexual e identidad de género.
* Ámbito de aplicación.
– El presente protocolo será de aplicación a todas las empresas del sector y a todas las personas trabajadoras de dichas empresas, siempre que no cuenten con un protocolo propio en el seno de la empresa, o estén en proceso de elaboración y/o implantación de un protocolo propio.
– En los casos en los que se aplique el presente protocolo, de acuerdo con el apartado anterior, el mismo será de aplicación:
=A toda persona y entidad que preste sus servicios dentro de la empresa, incluidas las personas trabajadoras que desarrollen su actividad en la empresa a través de subcontratación y ETT, así como las personas trabajadoras autónomas.
=En el centro de trabajo, incluyendo los espacios públicos y privados cuando estos constituyan centro de trabajo, así como los lugares de descanso, y otras instalaciones como las sanitarias, vestuarios y/ aseos del centro de trabajo.
=En los desplazamientos, viajes, eventos o actividades de formación relacionadas con el trabajo.
* Declaración de principios.
La Ley Orgánica 3/2007, de 22 de marzo, para la igualdad efectiva de mujeres y hombres (en adelante LO 3/2007), contempla expresamente el acoso sexual y el acoso por razón de sexo. Su artículo 48, modificado por la disposición final 10.3 de la Ley Orgánica 10/2022, de 6 de septiembre, de garantía de la libertad sexual (en adelante, LO 10/22), contempla las medidas específicas para prevenir la comisión de delitos y otras conductas contra la libertad sexual y la integridad moral en el trabajo, obligando a las empresas a, por un lado, promover las condiciones de trabajo que eviten dichos delitos y conductas, incidiendo especialmente en el acoso sexual y el acoso por razón de sexo, incluidos los cometidos en el ámbito digital, y, por otro, a integrar la perspectiva de género en la organización de los espacios de sus centros de trabajo con el fin de que resulten seguros y accesibles para todas las trabajadoras, lo cual les habrá de ser exigido en la contratación pública, convenios y subvenciones.
Asimismo, la Ley 4/2023, de 28 de febrero, para la igualdad real y efectiva de las personas trans y para la garantía de los derechos de las personas LGTBI, establece la necesidad de impulsar la elaboración de códigos éticos y protocolos frente a toda forma de discriminación por razón de orientación e identidad sexuales, expresión de género o características sexuales también en el ámbito laboral.
Las organizaciones firmantes del presente Convenio Colectivo manifiestan su tolerancia cero a conductas que puedan suponer situaciones de acoso sexual, por razón de sexo, orientación e identidad sexuales, expresión de género, y consideran que es imprescindible adoptar medidas para prevenir y atender estas situaciones, debiéndose adoptar en todos los niveles un compromiso mutuo de colaboración contra cualquier tipo de acoso.
El presente protocolo tiene como objetivo prevenir que se produzca el acoso en el entorno laboral y atender la situación, si ocurre, asegurando que se dispone de un procedimiento adecuado para tratar el problema y evitar que se repita.
Con estas medidas se pretende garantizar que las empresas sean entornos laborales libres de acoso, en donde se respete la integridad y dignidad profesional y personal de todas las personas.
* Definiciones.
1.1. Acoso sexual.
El acoso sexual es toda conducta de naturaleza sexual que tiene como finalidad o consecuencia ofender la dignidad de una persona mediante el ejercicio de relaciones de poder de género. Estas conductas pueden ser físicas, verbales, no verbales, chantajes o agresiones del entorno. El objetivo inmediato del acoso sexual es conseguir alguna satisfacción sexual, pero el objetivo último es que una persona manifieste su poder de dominio sobre otra, sobre la base de unas relaciones de poder basadas en el género. De este modo se perpetúa la estructura patriarcal que aún perdura en nuestra sociedad.
1.2. Acoso por razón de sexo.
El acoso por razón de sexo es toda actitud dirigida a agredir a una persona en base a su sexo o género, a atacar, a infundirla miedo o a crear un ambiente para todo ello, valiéndose de relaciones estructurales de poder basadas en el género.
El acoso por razón de sexo puede ser provocado tanto por personas de mayor rango laboral, así como por compañeros/as o subordinados/as, y los estereotipos de género suelen ser los principales factores, ya que con frecuencia se trata de despreciar a las personas de un sexo, menospreciando sus capacidades, competencias técnicas y habilidades.
1.3. Acoso por orientación sexual e identidad de género.
Este tipo de acoso consiste en atentar contra las personas por aflorar una expresión disidente de género, por tener una identidad de género no normativa o por la tendencia sexual que difiere de la heteronorma, creando para ello un entorno intimidatorio, hostil, humillante o incómodo que lo permita. Su objetivo es crear un clima hostil, intimidatorio u ofensivo que castigue lo que se entiende como una violación de la normalidad o que provoque la incomodidad de la persona.
* Prevención y sensibilización.
– Se garantizará la difusión e información a todas las personas trabajadoras de la empresa del protocolo, así como del modelo de presentación de denuncias y el canal de comunicación.
– Sin perjuicio de que el presente protocolo además de constituir una herramienta para dar respuesta a las situaciones de acoso pueda ser a su vez una medida de prevención y sensibilización, en materia de sensibilización y prevención se observará la normativa en materia de igualdad y salud laboral para garantizar un entorno de trabajo libre de situaciones de acoso.
– En el caso de que la empresa lo considere necesario, se llevarán a cabo acciones de sensibilización contra la violencia de género y la LGTBIfobia, relativas tanto a la definición como a las formas de manifestación de los diferentes tipos de acoso.
– Se establece el principio de corresponsabilidad de todas las personas afectadas por el presente protocolo en la vigilancia de los comportamientos laborales, para garantizar la tolerancia cero hacia este tipo de conductas.
* Principios de ordenación del procedimiento y órgano instructor.
1. Principios de ordenación del procedimiento:
El procedimiento de actuación se regirá por los siguientes principios, que deberán ser observados en todo momento:
a) Garantía de confidencialidad y protección de la intimidad y la dignidad de las personas implicadas, garantizando en todo caso la preservación de la identidad y circunstancias personales de quien denuncie.
b) Prioridad y tramitación urgente.
c) Investigación exhaustiva de los hechos, objetiva e imparcial.
d) Garantía de actuación adoptando las medidas necesarias, incluidas, en su caso, las de carácter disciplinario, contra la persona o personas cuyas conductas de acoso resulten probadas.
e) Indemnidad frente a represalias, garantizando que no se producirá trato adverso o efecto negativo en una persona como consecuencia de la presentación por su parte de denuncia o manifestación en cualquier sentido dirigida a impedir la situación de acoso y a iniciar el presente procedimiento.
2. Órgano Instructor:
– Se constituirá un grupo de trabajo que actuará como órgano instructor del procedimiento (en adelante, Grupo de Trabajo) cuya función será la recepción de las denuncias.
– Estará integrado por un máximo de 3 personas, que serán designadas por la dirección de la empresa previa consulta a la representación legal de las personas trabajadoras (RLT), en el caso de que la empresa cuente con RLT. En ese caso, se garantizará la participación de la RLT en el Grupo de Trabajo. Asimismo, y en el caso de que la empresa cuente con un Plan de Igualdad, el Grupo de Trabajo podrá estar compuesto por las personas que integran la comisión de seguimiento del Plan de Igualdad.
– Se informará a todas las personas trabajadoras de la empresa de la identidad de las personas del Grupo de Trabajo.
– En el caso de que la empresa lo considere necesario, el Grupo de Trabajo recibirá formación en materia de acoso sexual, acoso por razón de sexo, identidad de género y orientación sexual.
* Procedimiento de actuación.
1. Recepción de denuncias:
– La empresa establecerá un modelo de presentación de denuncias y un canal de comunicación de la misma al Grupo de Trabajo, que respetará en todo caso la garantía de confidencialidad, protección a la intimidad y dignidad, así como los principios del procedimiento establecidos en el apartado anterior.
– En este sentido, sería recomendable establecer una cuenta de correo electrónico a la que sólo tendrá acceso el Grupo de Trabajo, y cuyo objeto será única y exclusivamente la presentación de las denuncias, sin perjuicio de que dichas denuncias puedan presentarse en sobre cerrado dirigido a cualquier persona del Grupo de Trabajo.
– Cualquier persona trabajadora, la RLT de la empresa, o cualquier otra persona que tenga conocimiento de un caso de acoso podrá interponer denuncia.
2. Inicio del procedimiento y actuación previa:
– Una vez recibida la denuncia por el Grupo de Trabajo o cualquier miembro de la misma, a través del modelo de presentación de denuncia y el canal establecido por la empresa, se iniciará el procedimiento, y el Grupo de Trabajo pondrá inmediatamente en conocimiento de la dirección de la empresa, y del resto de las personas del Grupo de Trabajo, en su caso, dicha denuncia.
– Actuación previa: Salvo que la gravedad de los hechos recomiende lo contrario, y de manera facultativa para la presunta víctima, con la presentación de la denuncia, se iniciará un procedimiento previo, cuyo objetivo será explorar si el problema se puede resolver de forma inmediata. Para ello, el Grupo de Trabajo se entrevistará con las partes con la finalidad de esclarecer los hechos y alcanzar una solución aceptada por ambas. Una vez iniciado, y en el caso de que el mismo no finalice en un plazo de diez días desde su inicio habiendo resuelto el problema, se continuará con el procedimiento, de acuerdo a lo establecido en los siguientes párrafos.
3. Fase de instrucción:
– El Grupo de Trabajo llevará a cabo la investigación de los hechos, y elaborará un expediente informativo, en donde recogerá tales hechos, pruebas y evidencias oportunas.
– Para la elaboración del citado expediente informativo, en esta fase, se podrán practicar cuantas diligencias se consideren necesarias para el esclarecimiento de los hechos denunciados (recabar las pruebas tanto documentales, como testificales, y de cualquier índole que sean necesarias).
– Asimismo, las partes valorarán, y en su caso, decidirán/tomarán una decisión sobre la oportunidad de contar con el apoyo de una persona externa experta en la materia.
– En el más breve plazo posible, sin superar un máximo de 10 días naturales, el Grupo de Trabajo deberá redactar un informe de conclusiones que contenga la descripción de los hechos denunciados, las circunstancias concurrentes, la intensidad de los mismos, la reiteración en la conducta y el grado de afectación sobre las obligaciones laborales y el entorno laboral de la presunta víctima. En el caso de que el Grupo de Trabajo lo considere necesario, el plazo podrá prorrogarse como máximo en 20 días naturales.
– El informe de conclusiones será entregado a la dirección de la empresa.
– Medidas cautelares: Durante la fase de instrucción a propuesta del Grupo de Trabajo, la dirección de la empresa podrá tomar las medidas cautelares necesarias conducentes al cese inmediato de la situación de acoso y para la protección de la víctima. Estas medidas en ningún caso causarán perjuicio en las condiciones laborales de la víctima.
4. Resolución:
– La dirección de la empresa, una vez recibido el informe de conclusiones elaborado por el Grupo de trabajo, adoptará las decisiones que considere oportunas, siendo la única capacitada para decidir al respecto.
– En función del informe, la dirección de la empresa podrá:
a) Archivar las actuaciones, levantando acta al respecto.
b) Adoptar cuantas medidas estime oportunas. En todo caso, se aplicará el régimen disciplinario correspondiente.
– Se comunicará e informará sobre dicha decisión al Grupo de Trabajo, y víctima, en su caso, así como sobre otras medidas que se puedan adoptar en relación a la protección, acompañamiento, etc., quienes deberán de guardar el oportuno sigilo.
– Asimismo, se comunicará la decisión a la persona denunciada, a la comisión de seguimiento del plan de igualdad si lo hubiere, y la persona responsable de prevención de riesgos laborales, que deberán guardar el oportuno sigilo.
– En el caso de que la empresa lo considere necesario, se establecerán medidas de sensibilización y prevención para intentar evitar que la situación se repita, y en su caso, se analizarán los riesgos psicosociales desde la perspectiva de género.
* Derecho de las personas trans.
Las personas trans tendrán derecho a ser llamadas por el nombre que escojan desde el momento en que lo comuniquen formalmente a la empresa, aun cuando los trámites administrativos no se hayan llevado a cabo.
DISPOSICIÓN ADICIONAL DECIMOTERCERA. Conjunto de medidas para la igualdad y no discriminación de las personas LGTBI en las empresas.
El artículo 15.1 de la Ley 4/2023, de 28 de febrero, para la igualdad real y efectiva de las personas trans y para la garantía de los derechos de las personas LGTBI, desarrollado reglamentariamente por el Real Decreto 1026/2024, de 8 de octubre, establece la obligación de aquellas empresas que cuenten con más de cincuenta personas trabajadoras (en su plantilla según el artículo 3 del citado Real Decreto) de contar con un conjunto planificado de medidas y recursos para alcanzar la igualdad real y efectiva de las personas LGTBI.
– Negociación de las medidas planificadas en convenios colectivos de ámbito superior a la empresa:
El artículo 4.b) del RD 1026/2024, establece que, en los convenios colectivos de ámbito superior a la empresa, las medidas planificadas serán negociadas en el marco de dichos convenios, los cuales podrán establecer los términos y condiciones en los que tales medidas se adaptarán en el seno de las empresas.
Es por ello, que las partes firmantes del presente convenio acuerdan lo dispuesto en los próximos apartados en relación con las citadas medidas.
– Términos y condiciones en los que las medidas se adaptarán en el seno de las empresas:
De conformidad con el artículo 8.3 del Real Decreto 1026/2024, de 8 de octubre, las medidas planificadas y recursos para alcanzar la igualdad real y efectiva de las personas LGTBI, deberán desarrollar y asumir, al menos el contenido recogido en el anexo I del citado Real Decreto.
Es por ello por lo que las partes firmantes del presente convenio acuerdan que aquellas empresas obligadas a cumplir con lo establecido en el artículo 15.1 de la Ley 4/2023, de 28 de febrero, para la igualdad real y efectiva de las personas trans y para la garantía de los derechos de las personas LGTBI, desarrollarán y adoptarán en el seno de cada una de ellas el contenido de las medidas en los contenidos establecidos por el anexo I.
DISPOSICIÓN TRANSITORIA PRIMERA.
Se incorporará en un anexo futuro los textos del Capítulo XVI (Seguridad e Higiene en el Trabajo) y anexo II (Clasificación Profesional) de la Ordenanza Laboral de 28.08.70 que hasta su sustitución permanecen vigentes según lo establecido en las disposiciones final primera y transitoria primera, respectivamente, del vigente Convenio General del sector de la Construcción.
ANEXO I.- TABLAS 2025
ANEXO II.- Dietas
-Medias dietas:
Año 2025 (desde la firma del Convenio):
a) Personal de los niveles II y III: 17,21 euros diarios.
b) Personal de los niveles restantes: 17,09 euros diarios.
-Dietas completas:
Año 2025 (desde la firma del Convenio):
Todos los niveles: 53,72 euros diarios.
Año 2026:
A partir del 1 de enero de 2026 las cantidades de las dietas vigentes a 31 de diciembre de 2025 se actualizarán aplicando el IPC 2025 resultante.
Año 2027:
A partir del 1 de enero de 2027 las cantidades de las dietas vigentes a 31 de diciembre de 2026 se actualizarán aplicando el IPC 2026 resultante.
Año 2028:
A partir del 1 de enero de 2028 las cantidades de las dietas vigentes a 31 de diciembre de 2027 se actualizarán aplicando el IPC 2027 resultante.
-Kilometraje:
Durante el año 2025 (desde la firma del Convenio) a los/as trabajadores/as incluidos en el artículo 29.º del presente convenio y aquellos/as otros/as que, con expresa autorización de la empresa, utilicen en sus desplazamientos vehículos de su propiedad, se les abonará exclusivamente a los conductores 0,42 euros por km recorrido y 0,44 euros por km recorrido si viajan acompañados/as por otro u otros/as trabajadores/as de la empresa.
Año 2026:
A partir del 1 de enero de 2026 las cantidades de los kilometrajes vigentes a 31 de diciembre de 2025 se actualizarán aplicando el IPC 2025 resultante.
Año 2027:
A partir del 1 de enero de 2027 las cantidades de los kilometrajes vigentes a 31 de diciembre de 2026 se actualizarán aplicando el IPC 2026 resultante.
Año 2028:
A partir del 1 de enero de 2028 las cantidades de los kilometrajes vigentes a 31 de diciembre de 2027 se actualizarán aplicando el IPC 2027 resultante.
ANEXO III.- Jornada laboral
La jornada de trabajo en cómputo anual para el 2025 será de 1.740,5 horas de presencia y 1.684 horas efectivas de trabajo.
Para fábricas y talleres, la jornada en cómputo anual para el año 2025 será de:
– Jornada partida: 1.684 horas efectivas de trabajo.
– Jornada continuada y turnos: 1.684 horas efectivas de trabajo.
Se incluyen para estos años, 15 minutos de descanso que se computarán como tiempo de trabajo efectivo y en consecuencia tendrán el carácter de retribuidos.
La jornada de trabajo en cómputo anual para el 2026 será de 1.738,5 horas de presencia y 1.682 horas efectivas de trabajo.
Para fábricas y talleres, la jornada en cómputo anual para el año 2026 será de:
– Jornada partida: 1.682 horas efectivas de trabajo.
– Jornada continuada y turnos: 1.682 horas efectivas de trabajo.
Se incluyen para estos años, 15 minutos de descanso que se computarán como tiempo de trabajo efectivo y en consecuencia tendrán el carácter de retribuidos.
La jornada de trabajo en cómputo anual para el 2027 será de 1.735,5 horas de presencia y 1.679 horas efectivas de trabajo.
Para fábricas y talleres, la jornada en cómputo anual para el año 2027 será de:
– Jornada partida: 1.679 horas efectivas de trabajo.
– Jornada continuada y turnos: 1.679 horas efectivas de trabajo.
Se incluyen para estos años, 15 minutos de descanso que se computarán como tiempo de trabajo efectivo y en consecuencia tendrán el carácter de retribuidos.
La jornada de trabajo en cómputo anual para el 2028 será de 1.732,5 horas de presencia y 1.676 horas efectivas de trabajo.
Para fábricas y talleres, la jornada en cómputo anual para el año 2028 será de:
– Jornada partida: 1.676 horas efectivas de trabajo.
– Jornada continuada y turnos: 1.676 horas efectivas de trabajo.
Se incluyen para estos años, 15 minutos de descanso que se computarán como tiempo de trabajo efectivo y en consecuencia tendrán el carácter de retribuidos.
Aquellas empresas en las que, como consecuencia de acuerdos suscritos con los/as trabajadores/as con anterioridad al 31 de diciembre de 2025, se hubiesen disfrutado durante el pasado año o en años anteriores de otros descansos en las jornadas a dos o más turnos, podrán absorber en 2025, 2026, 2027 y 2028 el exceso de éstos que resulte sobre los 15 minutos que por este convenio se establecen, sin que la jornada efectiva a trabajar en 2025, 2026, 2027 y 2028 pueda ser superior a la efectivamente trabajada en el año 2024.
ANEXO IV.- Modelo de finiquito.
REVISIÓN SALARIAL (BOG 170 – Lunes, a 8 de septiembre de 2025)
RESOLUCIÓN del Delegado Territorial de Trabajo y Seguridad Social, por la que se dispone el registro, publicación y depósito del acuerdo sobre actualización de las tablas salariales de los años 2021, 2022, 2023 y 2024 del convenio colectivo de la Construcción y Obras Públicas de Gipuzkoa (código 20000455011981).
ANTECEDENTES
Único. El día 20 de agosto de 2025, las representaciones de las Centrales Sindicales y la Asociación Empresarial negociadoras y firmantes del Convenio Colectivo de Construcción y Obras Públicas de Gipuzkoa para el periodo 2018-2021 (salvo CCOO) y para el periodo 2022-2024, han presentado acuerdo sobre actualización de las tablas salariales de los años 2021, 2022, 2023 y 2024 de dicho convenio colectivo. El acuerdo ha sido firmado el 30 de julio de 2025, como consecuencia de la Sentencia dictada por la Sala de lo Social del Tribunal Supremo (Sentencia núm. 387/2025) de fecha 7 de mayo de 2025.
FUNDAMENTOS DE DERECHO
Primero. La competencia prevista en el art. 90.2 del texto refundido de la Ley del Estatuto de los Trabajadores, Real Decreto Legislativo 2/2015, de 23 de octubre corresponde a esta autoridad laboral de conformidad con el art. 18.2.g del Decreto 323/2024, de 5 de noviembre (Boletín Oficial del País Vasco de 21-11-2024) por el que se establece la estructura orgánica y funcional del Departamento de Economía, Trabajo y Empleo; en relación con el Decreto 9/2011, de 25 de enero (Boletín Oficial del País Vasco de 15-02-2011) y con el Real Decreto 713/2010, de 28 de mayo (Boletín Oficial del Estado de 12-06-2010) sobre registro y depósito de convenios y acuerdos colectivos.
Segundo. El acuerdo ha sido suscrito de conformidad con los requisitos de los artículos 85, 88, 89 y 90 de la referenciada Ley del Estatuto de los Trabajadores.
En su virtud,
RESUELVO
Primero. Ordenar su inscripción y depósito en el Registro de Convenios y Acuerdos Colectivos, con notificación a las partes.
Segundo. Disponer su publicación en el BOLETÍN OFICIAL de Gipuzkoa.
San Sebastián, a 2 de septiembre de 2025.-El delegado territorial, Victor Monreal de la Iglesia. (6201)
ACTA DE ACTUALIZACIÓN DE LAS TABLAS SALARIALES DE LOS AÑOS 2021, 2022, 2023 Y 2024 DEL CONVENIO COLECTIVO DE CONSTRUCCIÓN Y OBRAS PÚBLICAS DE GIPUZKOA TRAS SENTENCIA 387/2025 DE LA SALA DE LO SOCIAL DEL TRIBUNAL SUPREMO (30-07-2025).
En Donostia-San Sebastián, en la sede territorial de Gipuzkoa del Consejo de Relaciones Laborales, a las 10:00 horas del día 30 de julio de 2025, se reúnen las personas al margen citadas, que representan a las Centrales Sindicales y a la Asociación Empresarial negociadoras y firmantes del Convenio Colectivo de Construcción y Obras Públicas de Gipuzkoa para el periodo 2018-2021 (salvo CCOO) y para el periodo 2022-2024 y manifiestan:
Primero. Como consecuencia del procedimiento judicial derivado de la discrepancia surgida en torno a las tablas salariales para el año 2021 derivada del IPC negativo (-0,5%) del año 2020, el Tribunal Supremo dictó el 07.05.2025 su sentencia número 387/2025.
Segundo. El objeto de esta reunión consiste en dar cumplimiento a la mencionada sentencia y proceder a la revisión de las tablas salariales para el año 2021 y, en consecuencia, a la actualización de las tablas salariales para los años 2022, 2023 y 2024.
Tercero. A la vista de las numerosas gestiones administrativas que van a derivar de la actualización de las citadas tablas salariales, las partes acuerdan que las empresas tendrán de plazo hasta el 30 de noviembre de 2025 para abonar las cuantías correspondientes a los atrasos que pudieran derivar de las diferencias surgidas en las tablas de los años 2021, 2022, 2023 y 2024, en caso de que las hubiera.
Cuarto. De este modo, las tablas salariales para los años 2021, 2022, 2023 y 2024 del convenio colectivo del sector de Construcción y Obras Públicas de Gipuzkoa son las que se recogen en los siguientes anexos.
Quinto. Los firmantes autorizan al responsable para la gestión del Preco en Gipuzkoa, Josemari Alvarez Martin, a presentar este acuerdo ante la Delegación Territorial de Trabajo de Gipuzkoa a los efectos de registro y publicación.
Y sin más asuntos que tratar, firman la presente acta y las tablas adjuntas en el lugar y fecha indicados en el encabezamiento, finalizando la reunión a las 11:00 horas.
ELA
LAB
UGT
CCOO
ASCONGI-ADEGI
ANEXO II.- DIETAS
Medias dietas:
a) Personal de los niveles II y III: 14,30 euros diarios.
b) Personal de los niveles restantes: 14,20 euros diarios.
Dietas completas:
Todos los niveles: 44,63 euros diarios.
Kilometraje:
Durante el año 2021 los/as trabajadores/as incluidos en el artículo 29.º del presente convenio y aquellos/as otros/as que, con expresa autorización de la empresa, utilicen en sus desplazamientos vehículos de su propiedad, se les abonará exclusivamente a los conductores 0,35 euros por km recorrido y 0,36 euros por km recorrido si viajan acompañados/as por otro u otros/as trabajadores/as de la empresa.
ANEXO II.- DIETAS
Medias dietas:
a) Personal de los niveles II y III: 14,87 euros diarios.
b) Personal de los niveles restantes: 14,77 euros diarios.
Dietas completas:
Todos los niveles: 46,42 euros diarios.
Kilometraje:
Durante el año 2022 los/as trabajadores/as incluidos en el artículo 29.º del presente convenio y aquellos/as otros/as que, con expresa autorización de la empresa, utilicen en sus desplazamientos vehículos de su propiedad, se les abonará exclusivamente a los conductores 0,36 euros por km recorrido y 0,37 euros por km recorrido si viajan acompañados/as por otro u otros/as trabajadores/as de la empresa.
ANEXO II.- DIETAS
Medias dietas:
a) Personal de los niveles II y III: 15,90 euros diarios.
b) Personal de los niveles restantes: 15,79 euros diarios.
Dietas completas:
Todos los niveles: 49,64 euros diarios.
Kilometraje:
Durante el año 2023 los/as trabajadores/as incluidos en el artículo 29.º del presente convenio y aquellos/as otros/as que, con expresa autorización de la empresa, utilicen en sus desplazamientos vehículos de su propiedad, se les abonará exclusivamente a los conductores 0,39 euros por km recorrido y 0,40 euros por km recorrido si viajan acompañados/as por otro u otros/as trabajadores/as de la empresa.
ANEXO II.- DIETAS
Medias dietas:
a) Personal de los niveles II y III: 16,60 euros diarios.
b) Personal de los niveles restantes: 16,48 euros diarios.
Dietas completas:
Todos los niveles: 51,80 euros diarios.
Kilometraje:
Durante el año 2024 los/as trabajadores/as incluidos en el artículo 29.º del presente convenio y aquellos/as otros/as que, con expresa autorización de la empresa, utilicen en sus desplazamientos vehículos de su propiedad, se les abonará exclusivamente a los conductores 0,41 euros por km recorrido y 0,42 euros por km recorrido si viajan acompañados/as por otro u otros/as trabajadores/as de la empresa.
CORRECCIÓN TABLAS (BOG 178 – Jueves, a 18 de septiembre de 2025)
Corrección de errores: Acuerdo sobre actualización de las tablas salariales de los años 2021, 2022, 2023, y 2024 del convenio colectivo de la Construcción y Obras Públicas de Gipuzkoa (código 20000455011981).
Advertidos errores en la publicación efectuada en el BOLETÍN OFICIAL de Gipuzkoa n.º 170 de 8 de septiembre de 2025, del acuerdo sobre actualización de las tablas salariales de los años 2021, 2022, 2023, y 2024 del convenio colectivo de la Construcción y Obras Públicas de Gipuzkoa, se procede a efectuar las oportunas modificaciones, publicando de nuevo el citado acuerdo en su integridad.
ACTA DE ACTUALIZACIÓN DE LAS TABLAS SALARIALES DE LOS AÑOS 2021, 2022, 2023 Y 2024 DEL CONVENIO COLECTIVO DE CONSTRUCCIÓN Y OBRAS PÚBLICAS DE GIPUZKOA TRAS SENTENCIA 387/2025 DE LA SALA DE LO SOCIAL DEL TRIBUNAL SUPREMO (30-07-2025).
En Donostia-San Sebastián, en la sede territorial de Gipuzkoa del Consejo de Relaciones Laborales, a las 10:00 horas del día 30 de julio de 2025, se reúnen las personas al margen citadas, que representan a las Centrales Sindicales y a la Asociación Empresarial negociadoras y firmantes del Convenio Colectivo de Construcción y Obras Públicas de Gipuzkoa para el periodo 2018- 2021 (salvo CCOO) y para el periodo 2022-2024 y manifiestan:
Primero. Como consecuencia del procedimiento judicial derivado de la discrepancia surgida en torno a las tablas salariales para el año 2021 derivada del IPC negativo (-0,5 %) del año 2020, el Tribunal Supremo dictó el 07.05.2025 su sentencia número 387/2025.
Segundo. El objeto de esta reunión consiste en dar cumplimiento a la mencionada sentencia y proceder a la revisión de las tablas salariales para el año 2021 y, en consecuencia, a la actualización de las tablas salariales para los años 2022, 2023 y 2024.
Tercero. A la vista de las numerosas gestiones administrativas que van a derivar de la actualización de las citadas tablas salariales, las partes acuerdan que las empresas tendrán de plazo hasta el 30 de noviembre de 2025 para abonar las cuantías correspondientes a los atrasos que pudieran derivar de las diferencias surgidas en las tablas de los años 2021, 2022, 2023 y 2024, en caso de que las hubiera.
Cuarto. De este modo, las tablas salariales para los años 2021, 2022, 2023 y 2024 del convenio colectivo del sector de Construcción y Obras Públicas de Gipuzkoa son las que se recogen en los siguientes anexos.
Quinto. Los firmantes autorizan al responsable para la gestión del Preco en Gipuzkoa, Josemari Alvarez Martin, a presentar este acuerdo ante la Delegación Territorial de Trabajo de Gipuzkoa a los efectos de registro y publicación.
Y sin más asuntos que tratar, firman la presente acta y las tablas adjuntas en el lugar y fecha indicados en el encabezamiento, finalizando la reunión a las 11:00 horas.
ELA
LAB
UGT
CCOO
ASCONGI-ADEGI
ANEXO II.- DIETAS
Medias dietas:
a) Personal de los niveles II y III: 14,30 euros diarios.
b) Personal de los niveles restantes: 14,20 euros diarios.
Dietas completas:
Todos los niveles: 44,63 euros diarios.
Kilometraje:
Durante el año 2021 los/as trabajadores/as incluidos en el artículo 29.º del presente convenio y aquellos/as otros/as que, con expresa autorización de la empresa, utilicen en sus desplazamientos vehículos de su propiedad, se les abonará exclusivamente a los conductores 0,35 euros por km recorrido y 0,36 euros por km recorrido si viajan acompañados/as por otro u otros/as trabajadores/as de la empresa.
ANEXO II.- DIETAS
Medias dietas:
a) Personal de los niveles II y III: 14,87 euros diarios.
b) Personal de los niveles restantes: 14,77 euros diarios.
Dietas completas: Todos los niveles: 46,42 euros diarios.
Kilometraje:
Durante el año 2022 los/as trabajadores/as incluidos en el artículo 29.º del presente convenio y aquellos/as otros/as que, con expresa autorización de la empresa, utilicen en sus desplazamientos vehículos de su propiedad, se les abonará exclusivamente a los conductores 0,36 euros por km recorrido y 0,37 euros por km recorrido si viajan acompañados/as por otro u otros/as trabajadores/as de la empresa.
ANEXO II.- DIETAS
Medias dietas:
a) Personal de los niveles II y III: 15,90 euros diarios.
b) Personal de los niveles restantes: 15,79 euros diarios.
Dietas completas:
Todos los niveles: 49,64 euros diarios.
Kilometraje:
Durante el año 2023 los/as trabajadores/as incluidos en el artículo 29.º del presente convenio y aquellos/as otros/as que, con expresa autorización de la empresa, utilicen en sus desplazamientos vehículos de su propiedad, se les abonará exclusivamente a los conductores 0,39 euros por km recorrido y 0,40 euros por km recorrido si viajan acompañados/as por otro u otros/as trabajadores/as de la empresa.
ANEXO II.- DIETAS
Medias dietas:
a) Personal de los niveles II y III: 16,60 euros diarios.
b) Personal de los niveles restantes: 16,48 euros diarios.
Dietas completas:
Todos los niveles: 51,80 euros diarios.
Kilometraje:
Durante el año 2024 los/as trabajadores/as incluidos en el artículo 29.º del presente convenio y aquellos/as otros/as que, con expresa autorización de la empresa, utilicen en sus desplazamientos vehículos de su propiedad, se les abonará exclusiva mente a los conductores 0,41 euros por km recorrido y 0,42 euros por km recorrido si viajan acompañados/as por otro u otros/as trabajadores/as de la empresa.
Lo que se publica para general conocimiento.
San Sebastián, a 12 de septiembre de 2025.-El delegado territorial, Victor Monreal de la Iglesia.
REVISIÓN SALARIAL (BOG 30 – Lunes, a 16 de febrero de 2026)
RESOLUCIÓN del Delegado Territorial de Trabajo y Seguridad Social, por la que se dispone el registro, publicación y depósito de la revisión salarial para 2026 del Convenio Colectivo del sector de Construcción y Obras Públicas de Gipuzkoa (código 20000455011981).
ANTECEDENTES
Único. El día 26 de enero de 2026, la comisión negociadora del convenio colectivo del sector de Construcción y Obras Públicas de Gipuzkoa, ha presentado la revisión salarial para el año 2026, prevista en el mismo.
FUNDAMENTOS DE DERECHO
Primero. La competencia prevista en el art. 90.2 del texto refundido de la Ley del Estatuto de los Trabajadores, Real Decreto Legislativo 2/2015, de 23 de octubre corresponde a esta autoridad laboral de conformidad con el art. 18.2.g del Decreto 323/2024, de 5 de noviembre (Boletín Oficial del País Vasco de 21-11-2024) por el que se establece la estructura orgánica y funcional del Departamento de Economía, Trabajo y Empleo; en relación con el Decreto 9/2011, de 25 de enero (Boletín Oficial del País Vasco de 15-02-2011) y con el Real Decreto 713/2010, de 28 de mayo (Boletín Oficial del Estado de 12-06-2010) sobre registro y depósito de convenios y acuerdos colectivos.
Segundo. El acuerdo ha sido suscrito de conformidad con los requisitos de los artículos 85, 88, 89 y 90 de la referenciada Ley del Estatuto de los Trabajadores.
En su virtud,
RESUELVO
Primero. Ordenar su inscripción y depósito en el Registro de Convenios y Acuerdos Colectivos, con notificación a las partes.
Segundo. Disponer su publicación en el Boletín Oficial de Gipuzkoa.
San Sebastián, a 27 de enero de 2026.-El delegado territorial, Victor Monreal de la Iglesia. (554)
