Índice
CONVENIO COLECTIVO (BOME de 15 de julio de 1993)
Código de Convenio: 5200425.
CAPÍTULO I.- Normas generales
Artículo 1.º (Ámbito)
El presente convenio será de aplicación a todo el personal que, prestando sus servicios en los centros de trabajo establecidos o que se establezcan en la ciudad de Melilla y sus dependencias, esté contratado por empresas cuyas actividades se encuentran determinadas en el anexo II del convenio General de la Construcción publicado en el BOE del día 20 de mayo de 1992.
Artículo 2.º Partes intervinientes.
Este convenio se pacta libremente entre las centrales sindicales de Unión General de Trabajadores (UGT) y Comisiones Obreras (CCOO) con la Asociación Empresarial Constructores Asociados de Melilla, previo reconocimiento recíproco de su legitimidad, de acuerdo con la legislación vigente.
Artículo 3.º Ámbito temporal y denuncia.
El presente convenio extenderá su vigencia desde el 1.º de enero de 1993 hasta el 31 de diciembre de mismo año. Su entrada en vigor se producirá al día siguiente de su publicación en el Boletín Oficial de la ciudad.
Dicho convenio se entenderá prorrogado de año en año, en tanto que cualquiera de las partes no lo denuncie con dos meses de antelación a su terminación o prórroga en curso. La denuncia deberá efectuarse mediante comunicación escrita a la otra parte, contándose el plazo de la misma desde la fecha de recepción de dicha comunicación.
Artículo 4.º Cláusula de garantía salarial para 1993.
Para el año 1993, operará la cláusula de garantía salarial en el supuesto de que el índice de precios al consumo real en dicho ejercicio supere el 6,2 por 100.
La revisión se llevará a cabo una vez que se constate oficialmente por el Instituto Nacional de Estadística el índice de precios al consumo real para 1993, y, cuando proceda, se abonarán con efectos 1 de enero de dicho año. Afectando solamente a los conceptos siguientes: salario base, plus de residencia, gratificaciones extraordinarias, vacaciones, plus de actividad y asistencia, plus extrasalarial, dietas y medias dietas. Tal revisión, calculada sobre los importes y las cuantías de los conceptos en 1992, servirá de base de cálculo para el incremento de 1994.
Artículo 5.º Vinculación a la totalidad.
Siendo las condiciones pactadas un todo orgánico e indivisible, el presente convenio será nulo y quedará sin efecto en el supuesto de que la jurisdicción competente anulase o invalidase alguno de sus pactos. Si se diese tal supuesto, las partes signatarias de este convenio se comprometen a reunirse dentro de los diez días siguientes al de la firmeza de la resolución correspondiente, al objeto de resolver el problema planteado. Si en el plazo de cuarenta y cinco días, a partir de la fecha de la firma de la resolución en cuestión, las partes signatarias no alcanzasen un acuerdo, se comprometen a fijar el calendario de reuniones para la negociación del convenio en su totalidad.
Artículo 6.º Reserva material del nivel estatal.
Todas aquellas materias enumeradas en el artículo 11, regla primera y segunda del convenio general se regirán por lo dispuesto por aquel cuerpo legal.
Artículo 7.º Absorción y compensación.
Las retribuciones establecidas en este convenio compensarán y absorberán todas las existentes en el momento de su entrada en vigor, cualquiera que sea la naturaleza o el origen de las mismas. Los aumentos de retribuciones que puedan producirse en el futuro por disposiciones legales de general aplicación, sólo podrán afectar a las condiciones pactadas en el represente convenio cuando, consideradas las nuevas retribuciones en cómputo anual, superen a las aquí pactadas.
En caso contrario serán absorbidas o compensadas por estas últimas, subsistiendo el presente convenio en sus propios términos y sin modificación alguna en sus conceptos, módulos y retribuciones.
Artículo 8.º Derechos adquiridos.
Se respetarán las condiciones superiores pactadas a título personal que tengan establecidas las empresas al entrar en vigor el presente convenio y que con carácter global, excedan del mismo cómputo anual.
Artículo 9.º Comisión paritaria.
Se crea una Comisión paritaria compuesta por doce vocales, que serán designados por mitad por cada una de las partes, sindical y empresarial, en la forma que decidan las respectivas organizaciones. Dicha Comisión se reunirá al menos una vez al trimestre, salvo convocatoria de cualquiera de las partes por causa seria y grave, que afecte a los intereses generales en el ámbito de este convenio. La convocatoria de la reunión, que será hecha por escrito con tres días hábiles de antelación, deberá incluir necesariamente el orden del día.
Será secretario un vocal de la Comisión, que será nombrado para cada sesión, teniendo en cuenta que el cargo recaerá una vez entre los representantes de las centrales sindicales y la siguiente en la representación patronal.
Los acuerdos de la Comisión requerirán para su validez la unanimidad y, aquellos que interpretan este convenio, tendrán la misma eficacia que la norma que haya sido interpretada.
Las funciones de dicha Comisión serán las siguientes:
A) Vigilancia y seguimiento del cumplimiento de este convenio.
B) Interpretación de la totalidad de los preceptos de este convenio.
C) A instancia de alguna de las partes mediar y/o intentar conciliar, en su caso, y previo acuerdo de las partes y a solicitud de las mismas, arbitrar en cuantas cuestiones y conflictos, todos ellos de carácter colectivo, puedan suscitarse en la aplicación del presente convenio.
D) Cuantas otras funciones tiendan a la mayor eficacia práctica del presente convenio, o se deriven de lo estipulado en su texto y anexos que formen parte del mismo.
Como trámite que será previo y preceptivo a toda actuación administrativa o jurisdiccional que se promueva, las partes signatarias del presente convenio se obligan a poner en conocimiento de la Comisión paritaria cuantas dudas o discrepancias y conflictos colectivos, de carácter general, pudieran plantearse en relación con la interpretación y aplicación del mismo, siempre que sean de su competencia conforme a lo establecido en el párrafo anterior, a fin de que, mediante su intervención, se resuelva el problema planteado o, si ello no fuera posible, emita dictamen al respecto. A tal efecto dicha Comisión paritaria tendrá veinte días de plazo para responder.
CAPÍTULO II.- Contratación
Artículo 10. Contrato fijo de plantilla.
Este contrato, es el que concierta un empresario y un trabajador para su prestación laboral en la empresa por tiempo indefinido. Esta será la modalidad normal de contratación a realizar por empresarios y trabajadores de todos los centros de trabajo de carácter permanente.
Artículo 11. Contrato para trabajo fijo de obra.
Es el contrato que tiene por objeto la realización de una obra o trabajo determinados y se formalizará siempre por escrito.
La duración del contrato y el cese del trabajador se ajustarán a alguno de estos supuestos:
1. Con carácter general, el contrato es para una sola obra, con independencia de su duración, y terminará cuando finalicen los trabajos de oficio y categoría del trabajador en dicha obra.
El cese de los trabajadores deberá producirse cuando la realización paulatina de las correspondientes unidades de obra hagan innecesario al número de los contratados para su ejecución, debiendo reducirse éste, de acuerdo con la disminución real del volumen de la obra realizada.
El cese de los trabajadores «fijos de obra» por terminación de los trabajos de su oficio y categoría deberá comunicarse por escrito al trabajador con una antelación de 15 días naturales. No obstante, el empresario podrá sustituir este preaviso por una indemnización equivalente a la cantidad correspondiente a los días de preaviso omitidos, calculada sobre los conceptos salariales de las tablas de convenio, todo ello sin perjuicio de la notificación escrita del cese. La citada indemnización deberá incluirse en el recibo de salarios con la liquidación correspondiente al cese.
2. No obstante lo anterior, previo acuerdo entre las partes, el personal fijo de obra podrá prestar servicios a una misma empresa y en distintos centros de trabajo de una misma provincia durante un período máximo de tres años consecutivos sin perder dicha condición y devengando los conceptos compensatorios que corresponden por los desplazamientos.
En este supuesto, la empresa deberá comunicar por escrito el cese al trabajador antes de cumplirse el período máximo de tres años fijados en el párrafo anterior; cumplido el período máximo de tres años, si no hubiere mediado comunicación escrita del cese, el trabajador adquirirá la condición de fijo de plantilla. En cuanto al preaviso del cese, se estará a lo pactado en el supuesto primero.
3. Si se produjera la paralización temporal de una obra por causa imprevisible para el empresario principal y ajena a su voluntad, tras darse cuenta por la empresa a la representación de los trabajadores del centro o, en su defecto, a la Comisión paritaria provincial, operarán la terminación de obra y cese previstos en el supuesto primero. La representación de los trabajadores del centro o, en su defecto, la Comisión paritaria, dispondrá, en su caso, de un plazo máximo improrrogable de una semana para su contratación a contar desde la notificación. El empresario contrae también la obligación de ofrecer de un nuevo empleo al trabajador cuando las causas de paralización de la obra hubieran desaparecido. Dicha obligación se entenderá extinguida cuando la paralización se convierta en definitiva. Previo acuerdo entre las partes, el personal afectado por esta terminación de obra podrá incluirse en lo regulado para el supuesto segundo.
Este supuesto no podrá ser de aplicación en los casos de paralización por conflicto laboral.
En los supuestos primero, segundo y tercero se establecen indemnizaciones por cese del 4,5 por 100 calculada sobre los conceptos salariales de las tablas del convenio devengados durante la vigencia del contrato.
Para garantizar el estricto cumplimiento de lo dispuesto en este artículo la Asociación Empresarial Constructores Asociados de Melilla asume el compromiso de editar el modelo de contrato anexo a este convenio.
Artículo 12. Otras modalidades de contratación.
Los trabajadores que formalicen otros contratos de los regulados en los Reales Decretos 1989/1984 y 2104/1984, o normas que los sustituyan, tendrán derecho una vez finalizado el contrato correspondiente por expiración del tiempo convenido, a percibir una indemnización por conclusión del 7 por 100, si la duración hubiera sido inferior a 181 días y del 4,5 por 100, si la duración hubiera sido igual o superior a 181 días, calculada sobre los conceptos salariales de las tablas del convenio aplicable devengados durante la vigencia del contrato. Estos contratos se formalizarán siempre por escrito.
Artículo 13. Subcontratación.
Las empresas que subcontraten con otras del sector la ejecución de obras o servicios responderán ante los trabajadores de las empresas subcontratistas en los términos establecidos en el artículo 42 del Estatuto de los Trabajadores, quedando referido el límite de responsabilidad de dicha disposición a las obligaciones de naturaleza salarial y cotizaciones a la Seguridad Social derivadas del convenio colectivo aplicable al nacer dicha responsabilidad, o a las derivadas de su contrato de trabajo, si fueran superiores.
Asimismo, se extenderá la responsabilidad a la indemnización de naturaleza no salarial por muerte o incapacidad permanente absoluta derivadas de accidente de trabajo o enfermedad profesional pactada en el convenio aplicable.
La empresa principal deberá establecer, bajo su responsabilidad, en los centros en que presten servicio trabajadores de empresas subcontratistas, los mecanismos de coordinación adecuados en orden a la prevención de riesgos, información sobre los mismos y, en general, a cuanto se relacione con las condiciones de seguridad y salud de los trabajadores, así como higiénico-sanitarias.
Artículo 14. Pruebas de aptitud.
1. Las empresas, previamente al ingreso, podrán realizar a los interesados las pruebas de selección, prácticas y psicotécnicas, que considere necesarias para comprobar si su grado de aptitud y su preparación son adecuados a la categoría profesional y supuesto de trabajo que vayan a desempeñar.
2. El trabajador, con independencia de su categoría profesional, y antes de su admisión en la empresa, será sometido a un reconocimiento médico, según se establece en el artículo siguiente.
3. Una vez considerado apto, el trabajador contratado deberá ser inscrito en el libro de matrícula del centro de trabajo correspondiente, debiéndose aportar para ello la documentación necesaria y firmando en el mismo.
Artículo 15. Reconocimientos médicos.
1. La empresa vendrá obligada a realizar reconocimiento médico previo a la admisión y reconocimientos médicos periódicos a todos los trabajadores a su servicio, al menos una vez al año.
2. En ambos casos el reconocimiento médico será adecuado al puesto de trabajo de que se trate.
3. Serán de cargo exclusivo de la empresa los costes de los reconocimientos médicos, y, en los periódicos los gastos de desplazamiento de los mismos.
Artículo 16. Período de prueba.
1. Podrá concertarse por escrito un período de prueba que en ningún caso podrá exceder de:
A) Técnicos titulados, 6 meses.
B) Empleados: Niveles III, IV y V, 3 meses; niveles VI al X, 2 meses; resto personal, 15 días naturales.
C) Personal operario: Encargados y capataces, 1 mes; resto personal, 15 días.
2. Durante el período de prueba el trabajador tendrá derechos y obligaciones correspondientes a su categoría profesional y puesto de trabajo que desempeñe, como si fuera de plantilla, excepto los derivados de la resolución de la relación laboral, que podrá producirse a instancia de cualquiera de las partes durante su transcurso, sin necesidad de previo aviso y sin que ninguna de las partes tenga derecho a indemnización alguna, debiéndose comunicar el desistimiento por escrito.
3. Transcurrido el período de prueba sin que se haya producido el desistimiento, el contrato producirá plenos efectos, computándose el tiempo de los servicios prestados a efectos de antigüedad.
CAPÍTULO III.- Seguridad e higiene
Artículo 17. Órganos de seguridad e higiene en el trabajo.
En tanto no se apruebe el anexo al convenio general que regule dicha materia, así como los médicos de empresa, se estará a lo regulado en la Ordenanza Laboral de la Construcción de 28 de agosto de 1970, en su capítulo XVI.
Artículo 18. Prendas de trabajo.
La empresa entregará a su personal tres monos anuales y las demás prendas de protección y seguridad que especifica la Ordenanza de Seguridad e Higiene, según los trabajos a realizar.
CAPÍTULO IV.- Percepciones económicas
Artículo 19. Tabla salarial.
Las remuneraciones pactadas en este convenio son las que figuran en el anexo I y por los conceptos siguientes:
Salario base.
Gratificaciones extraordinarias.
Pluses salariales: plus de residencia, prima de asistencia y actividad.
Pluses extrasalariales: plus de transporte, plus de herramientas.
Dietas y medias dietas.
En el concepto de gratificaciones extraordinarias se entienden incluidas las retribuciones de vacaciones.
Artículo 20. Retribuciones y tablas de rendimientos.
La obtención de los rendimientos normales que se establezcan en las tablas aplicables en cada caso, será requisito necesario para tener derecho a la percepción de los salarios estipulados en las tablas salariales del presente convenio, salvo lo dispuesto en el párrafo siguiente.
Será considerada disminución voluntaria del rendimiento no alcanzar los rendimientos fijados en la tabla de rendimientos normales aplicables, en su caso, salvo causa justificada que, de darse, implicará el derecho a la percepción íntegra del salario estipulado para el rendimiento normal correspondiente.
En el sistema de trabajo a tiempo, y en relación con aquellas actividades, oficios o especialidades y categorías incursas en el ámbito de aplicación de este convenio, cuyos rendimientos se presten, con mayor facilidad, a ser medidos con criterios objetivos o materiales se establecerán tablas de rendimientos normales, que tras los oportunos acuerdos de la Comisión Nacional de Productividad, se irán incorporando, como anexo, al presente convenio.
Después de la publicación de dichas tablas podrá acordarse el establecimiento de nuevas tablas de rendimientos normales, o la ampliación de las existentes con nuevas unidades, o su revisión, de acuerdo con la Comisión Nacional de la Productividad, que dictará las oportunas normas de homogeneización y aprobará, en su caso, el tratamiento diferencial que resulte justificado, todo ello en el supuesto de que las unidades correspondientes no vengan recogidas en el oportuno anexo.
En relación con los rendimientos normales que figuran en el anexo correspondiente, se podrá proponer a la Comisión Nacional de Productividad las adaptaciones que se estimen oportunas.
Artículo 21. Premio de antigüedad.
Con carácter transitorio, hasta la entrada en vigor del régimen de prestaciones por permanencia en el sector, los premios de antigüedad se devengan en atención a la siguiente tabla, sobre el salario base:
Años de servicio y porcentaje:
2 años: 5 por 100
4 años: 10 por 100
7 años: 15 por 100
10 años: 20 por 100
13 años: 25 por 100
16 años: 30 por 100
19 años: 37 por 100
22 años: 44 por 100
25 años: 51 por 100
28 años en adelante: 60 por 100
Artículo 22. Gratificaciones extraordinarias.
1. El trabajador tendrá derecho exclusivamente a dos gratificaciones extraordinarias al año, que se abonarán en los meses de junio y diciembre, antes de los días 30 y 20 de cada uno de ellos, admitiéndose la posibilidad de su prorrateo.
2. Con carácter exclusivo para 1993 y en aplicación de la disposición transitoria segunda del convenio general las cuantías establecidas en el anexo I se han calculado siguiendo el procedimiento determinado en dicho texto legal.
A dichas cuantías, en atención al artículo 60 del convenio general, se adicionarán en su caso, el premio de antigüedad que corresponda sobre treinta días de salario base.
3. Dichas pagas extraordinarias no se devengarán, mientras dure cualquiera de las causas de suspensión de contrato previstas en el artículo 45 del Estatuto de los Trabajadores.
4. Las pagas extraordinarias se devengarán por días naturales en la siguiente forma:
A) Paga de junio: 1 de enero a 30 de junio.
B) Paga de Navidad: de 1 de julio a 31 de diciembre.
5. El importe de las pagas extraordinarias para el personal que, en razón de su permanencia, no tenga derecho a la totalidad de su cuantía, será prorrateado según las normas siguientes:
A) El personal que ingrese o cese en el transcurso de cada semestre natural devengará la paga en proporción al tiempo de permanencia en la empresa durante el mismo.
B) Al personal que cese en el semestre respectivo se le hará efectiva la parte proporcional de la gratificación en el momento de realizar la liquidación de sus haberes.
C) El personal que preste sus servicios en jornada reducida o a tiempo parcial devengará las pagas extraordinarias en proporción al tiempo efectivo de trabajo.
Artículo 23. Plus extrasalarial.
Con el fin de compensar los gastos que se producen a los trabajadores, para acudir a sus puestos de trabajo y por desgaste de herramientas, se establecen los pluses extrasalariales, devengados por día efectivo de trabajo, de igual cuantía para todos los grupos y categorías, determinado en el anexo I. En el caso del plus de herramientas sólo se devengará por los grupos y categorías que se determinan en tablas.
Artículo 24. Prima de asistencia y actividad.
Las partes signatarias del presente convenio reconocen el grave problema que para nuestra sociedad supone el absentismo y el quebranto que en la economía produce el mismo cuando se superan determinados niveles, así como la necesidad de reducirlo, dada su negativa incidencia en la productividad.
En consecuencia, y tendiendo siempre a un aumento de la presencia del trabajador en su puesto de trabajo, se incluye en este convenio colectivo la siguiente cláusula tendente a la corrección del absentismo:
Prima de asistencia y actividad.
Esta prima se devengará por cada día efectivamente trabajado con rendimiento normal exigible y, según las cuantías determinadas en el anexo I, de forma que su importe por día de trabajo disminuya o sea decreciente a medida que aumente las horas de ausencia del trabajador.
Artículo 25. Pago del salario.
1. Todas las percepciones, excepto las de vencimiento superior al mes, se abonarán mensualmente, por períodos vencidos y dentro de los cinco primeros días hábiles del mes siguiente al de su devengo, aunque el trabajador tendrá derecho a percibir quincenalmente anticipos cuya cuantía no será superior al 90 por 100 de la cantidad devengada.
2. Las empresas destinarán al pago, la hora inmediatamente siguiente a la finalización de la jornada ordinaria, en las fechas habituales de pago. Cuando por necesidades organizativas se realice el pago dentro de la jornada laboral, ésta se interrumpirá y se prolongará después del horario de trabajo por el tiempo invertido en el pago, sin que en ningún caso tal prolongación pueda exceder en más de una hora.
3. El tiempo invertido en el pago de retribuciones y anticipos a cuenta de las mismas quedará exento del cómputo de la jornada laboral, considerándose como de mera permanencia en el centro de trabajo y por tanto no retribuido a ningún efecto.
4. Las empresas quedan facultadas para pagar las retribuciones y anticipos a cuenta de los mismos, mediante cheque, transferencia u otra modalidad de pago a través de entidad bancaria o financiera. Si la modalidad de pago fuera el cheque, el tiempo invertido en su cobro será por cuenta del trabajador.
5. El trabajador deberá facilitar a la empresa, al tiempo de su ingreso o incorporación a la misma, su número de identificación fiscal, de conformidad con la normativa aplicable al respecto.
Artículo 26. Trabajos excepcionalmente penosos, tóxicos o peligrosos.
1. A los trabajadores que tengan que realizar labores que resulten excepcionalmente penosas, tóxicas o peligrosas, deberá abonárseles un incremento del 20 por 100 sobre su salario base. Si estas funciones se efectuaran durante la mitad de la jornada o en menos tiempo, el plus será del 10 por 100.
2. Las cantidades iguales o superiores al plus fijado en este artículo que estén establecidas o se establezcan por las empresas, serán respetadas siempre que hayan sido concedidas por los conceptos de excepcional penosidad, toxicidad o peligrosidad, en cuyo caso no será exigible el abono de los incrementos fijados en este artículo. Tampoco vendrá obligados a satisfacer los citados aumentos aquellas empresas que los tengan incluidos, en igual o superior cuantía, en el salario de calificación del puesto de trabajo.
3. Si por cualquier causa desaparecieran las condiciones de excepcional penosidad, toxicidad o peligrosidad, dejarán de abonarse los indicados incrementos, no teniendo por tanto carácter consolidable.
4. En caso de discrepancia entre las partes sobre si un determinado trabajo, labor o actividad debe calificarse como excepcionalmente penoso, tóxico o peligroso, corresponde a la autoridad laboral competente, mediante resolución fundada, y previo los informes técnicos oportunos, resolver lo procedente.
Los incrementos económicos que, en su caso, se deriven de la citada resolución, surtirán efecto a partir de la fecha en que la misma fuese notificada, salvo que la resolución disponga otra fecha.
Dicha resolución será recurrible por las partes de acuerdo con la legislación vigente.
Artículo 27. Trabajos nocturnos.
El personal que trabaje entre las 22 horas y las 6 de la mañana percibirá un plus de trabajo nocturno equivalente al 25 por 100 del salario base de su categoría.
Si el tiempo trabajado en el período nocturno fuese inferior a cuatro horas, se abonará el plus sobre el tiempo trabajado efectivamente. Si las horas nocturnas exceden de cuatro, se abonará el complemento correspondiente a toda la jornada trabajada.
Cuando existan dos turnos y en cualquiera de ellos se trabaje solamente una hora del período nocturno, no será abonada ésta con complemento de nocturnidad.
Artículo 28. Horas extraordinarias.
Las horas extraordinarias, en todo caso, por su naturaleza, serán voluntarias de acuerdo con las disposiciones vigentes, excepto las que tengan su causa en fuerza mayor.
Se consideran horas extraordinarias estructurales las motivadas por pedidos o períodos punta de producción, ausencias imprevistas, cambio de turno y pérdida o deterioro de la producción, o por cualquier circunstancia de carácter estructural que altere el proceso normal de producción.
El número de horas extraordinarias que realice cada trabajador, salvo en los supuestos de fuerza mayor, no excederá de dos al día, veinte al mes y ochenta al año.
Los importes de las horas extraordinarias para cada una de las categorías o niveles quedan recogidos en el anexo I.
Las empresas siempre y cuando no se perturbe el normal proceso productivo, podrán compensar la retribución de las horas extraordinarias por tiempos equivalentes de descanso. A tal efecto se determina la siguiente equivalencia: Una hora extraordinaria igual a 1,75 horas de descanso.
En el supuesto de que se realizara la compensación prevista en el párrafo anterior, las horas extraordinarias compensadas no se computarán a los efectos de los límites fijados para las mismas en el párrafo anterior.
Artículo 29. Dietas.
El importe de la dieta completa y la media dieta será el recogido en el anexo I.
Artículo 30. Indemnización por incapacidad laboral transitoria.
En caso de ILT, mientras el trabajador preste sus servicios en la empresa percibirá los siguientes complementos:
A) En caso de accidente laboral: Las empresas completarán hasta el 100 por 100 de la retribución compuesta por salario base, plus de residencia, y antigüedad en su caso.
B) En caso de enfermedad o accidente no laboral las empresas completarán, desde el día 16 de la baja, el 100 por 100 de los conceptos expresados anteriormente. En este caso transcurridos seis meses desde la baja se continuará abonando dicho complemento, siempre y cuando el trabajador aporte, cada quince días, ratificación de la baja por la inspección médica.
Artículo 31. Indemnizaciones.
Se establecen las siguientes indemnizaciones para todos los trabajadores afectados por este convenio:
A) En caso de muerte derivada de enfermedad común o accidente no laboral, el importe de una mensualidad de todos los conceptos de las tablas del convenio aplicable en cada momento.
B) En caso de muerte, incapacidad permanente absoluta o gran invalidez, derivadas de accidente de trabajo o enfermedad profesional, la cantidad de 3.000.000 de pesetas.
En los supuestos de muerte, las indemnizaciones establecidas se abonarán a la viuda o beneficiarios del trabajador, según las normas de la Seguridad Social.
CAPÍTULO V.- Tiempo de trabajo
Artículo 32. Jornada.
1. La jornada ordinaria semanal será de 40 horas de trabajo efectivo.
2. La jornada ordinaria anual será de 1.784 horas distribuidas según el calendario laboral determinado en el anexo III.
3. La jornada de trabajo efectivo deberá ser realizada por cada trabajador de acuerdo con las fórmulas de reparto horario existentes en cada empresa o centro de trabajo y dentro de los límites de la Ley de no superar las nueve horas diarias de trabajo efectivo.
4. Se entiende como trabajo efectivo la presencia del trabajador en su puesto de trabajo y dedicado al mismo.
A estos efectos se incluye expresamente en el cómputo de la jornada: la interrupción de quince minutos destinados al consumo del bocadillo.
Artículo 33. Jornadas especiales.
Se exceptúan de la aplicación del régimen de jornada ordinaria de trabajo previsto con carácter general, las actividades siguientes:
A) La jornada de los porteros, guardas y vigilantes será de 72 horas semanales, remunerándose a prorrata de su salario base las que excedan de la jornada ordinaria establecida con carácter general.
B) En la realización de trabajos subterráneos en que concurran circunstancias de especial penosidad, derivadas de condiciones anormales de temperatura, humedad o como consecuencia del esfuerzo suplementario debido a la posición inhabitual del cuerpo al trabajar, la jornada ordinaria semanal de trabajo no podrá ser superior a 36 horas, sin que, en ningún caso, su distribución diaria pueda exceder de seis horas.
C) Los trabajos en los denominados «cajones de aire comprimido» tendrán la duración que señala la Orden Ministerial de 20 de enero de 1956.
D) Las empresas que estén abonando compensaciones económicas por trabajos excepcionalmente tóxicos, penosos o peligrosos, podrán pactar su sustitución por reducciones de jornada en los términos que, en cada caso, se establezcan.
Artículo 34. Recuperación de horas no trabajadas.
El 75 por 100 de las horas no trabajadas por interrupción de la actividad, debido a causas de fuerza mayor, accidentes atmosféricos, inclemencias del tiempo, falta de suministro, o cualquier otra causa no imputable a la empresa, se recuperarán a razón de una hora diaria en los días laborables siguientes, previa comunicación a los trabajadores afectados y, en su caso, a sus representantes legales del centro de trabajo.
En el supuesto de que la referida interrupción alcance un período de tiempo superior a veinticuatro horas efectivas de trabajo, se estará a lo dispuesto en materia de suspensión del contrato, por causa de fuerza mayor en el presente convenio.
Artículo 35. Vacaciones.
El personal afectado por el presente convenio, sea cual fuere su modalidad de contratación laboral, tendrá derecho al disfrute de un período de vacaciones anuales retribuidas de treinta días naturales de duración, iniciándose, en cualquier caso, su disfrute en día laborable.
Las vacaciones se disfrutarán por años naturales. El primer año de prestación de servicios en la empresa sólo se tendrá derecho al disfrute de la parte proporcional correspondiente al tiempo realmente trabajado durante dicho año.
El derecho a vacaciones no es susceptible de compensación económica. No obstante, el personal que cese durante el transcurso del año tendrá derecho al abono del salario correspondiente a la parte de vacaciones devengadas y no disfrutadas, como concepto integrante de la liquidación por su baja en la empresa.
A efecto del devengo de vacaciones se considerará como tiempo efectivamente trabajado el correspondiente a la situación de ILT, sea cual fuere su causa. No obstante, dado que el derecho al disfrute de vacaciones caduca con el transcurso del año natural, se perderá el mismo si al vencimiento de éste el trabajador continuase de baja aunque mantendrá el derecho a percibir la diferencia entre la retribución de vacaciones y la prestación de ILT.
Una vez iniciado el disfrute del período reglamentario de vacaciones, si sobreviene la situación de ILT la duración de la misma se computará como días de vacaciones, sin perjuicio del derecho del trabajador a percibir la diferencia entre la retribución correspondiente a vacaciones y la prestación de ILT.
El disfrute de las vacaciones, como norma general, y salvo pacto en contrario, tendrá carácter ininterrumpido.
La retribución de las vacaciones consistirá en la cantidad fijada en el anexo I de este convenio. Dichas cantidades resultan de la aplicación de los contenido en la disposición transitoria segunda del convenio general.
Artículo 36. Fiestas locales y navideñas.
Coincidiendo con los festejos tradicionales de la ciudad no se trabajará las tardes de dicha semana. En esos días la jornada laboral será continuada de 8 horas a 13 horas.
Los días 24 y 31 de diciembre se declaran no laborables a todos los efectos, siendo por tanto abonables y no recuperables.
En las dos fiestas principales de los musulmanes, tendrán los trabajadores de dicha religión la potestad de elegir dos días de inasistencia al centro de trabajo, en cada festividad, con cargo a sus vacaciones.
Artículo 37. Permisos y licencias.
El trabajador, previo aviso de al menos cuarenta y ocho horas, salvo acreditada urgencia y justificación posterior, se encuentra facultado para ausentarse del trabajo, manteniendo el derecho a la percepción de todos aquellos conceptos retributivos que no se encuentren vinculados de forma expresa a la prestación efectiva de la actividad laboral, por algunos de los motivos y por el tiempo siguiente, según lo establecido en el convenio provincial anterior a la entrada en vigor del convenio general.
a) Quince días naturales en caso de matrimonio.
b) En alumbramiento de la esposa o conviviente, el tiempo indispensable hasta un máximo de cinco días naturales, en caso de gravedad.
c) En caso de fallecimiento o enfermedad grave del cónyuge o conviviente, el tiempo indispensable hasta un máximo de cinco días naturales.
d) En el caso de enfermedad grave de familiares hasta segundo grado de consanguinidad de uno de los cónyuges o convivientes, el tiempo indispensable hasta el máximo de tres días.
e) En el caso de matrimonio de hijos, hermanos o familiares hasta segundo grado de consanguinidad de cualquiera de los cónyuges o convivientes, un día natural prorrogable a dos cuando haya de efectuarse un desplazamiento fuera de la ciudad.
f) En caso de traslado de domicilio, dos días naturales.
g) En exámenes de trabajadores, que acrediten estar matriculados en un centro oficial o privado de enseñanza, tendrán derecho a un permiso de la duración necesaria para concurrir a los oportunos exámenes o pruebas que se verifiquen en el centro correspondiente, debiéndose presentar la justificación fehaciente de su realización.
CAPÍTULO VI.- Jubilación
Artículo 38. Jubilación.
Se reconocen tres clases distintas de jubilación:
A) Jubilación voluntaria anticipada.
Los trabajadores que hayan cumplido sesenta y tres años y no tengan sesenta y cinco cuando soliciten la jubilación, y ésta sea posible, tendrán derecho a la percepción de las indemnizaciones económicas que se establecen a continuación, en función de la edad del trabajador y, de sus años de antigüedad en la empresa.
__________________________________________________
Años de antigüedad Meses
en la empresa Edad indemnización
__________________________________________________
2 a 5 2
6 a 10 3
11 a 20 63 4
21 a 30 5
Más de 30 6
2 a 5 1
6 a 10 2
11 a 20 64 3
21 a 30 4
Más de 30 5
__________________________________________________
Las cifras de la columna de la derecha indican el número total de meses de salario en que se cuantifica la indemnización.
El salario mensual se refiere a la jornada normal, excluyendo, en su caso las horas extraordinarias.
Los requisitos necesarios para que nazca tal derecho son los siguientes:
a) Que se efectúe de mutuo acuerdo entre empresa y trabajador jubilable. El acuerdo se reflejará por escrito estableciendo claramente la cantidad que corresponde en concepto de indemnización, conforme a la tabla anterior.
b) Que el trabajador lleve dos años como mínimo de servicios ininterrumpidos en la empresa obligada al pago de la indemnización, en el momento de solicitar la jubilación anticipada.
La jubilación voluntaria anticipada, en los términos establecidos y con la indemnización que proceda en cada caso, según la tabla anterior, comprometerá al empresario a dar ocupación a otro trabajador por el tiempo estricto que faltase al jubilable para cumplir los sesenta y cinco años. La contratación del trabajador sustituto deberá hacerse con arreglo a una de las modalidades de contratación temporal o eventual previstas, en cada momento, por la legislación vigente, y, a su vez con los siguientes condicionamientos:
a) Que no exista en la empresa personal fijo de plantilla disponible, en expectativa de destino o realizando otras funciones distintas a la de su categoría laboral, para cubrir la vacante producida. El acuerdo de la empresa y el trabajador jubilable deberá ser comunicado de inmediato, en su caso, a los representantes de los trabajadores en el seno de la empresa o centro de trabajo correspondiente.
b) La contratación de trabajador sustituto se hará para el puesto y categoría profesional más acorde con las necesidades de la empresa dejando a salvo las expectativas de promoción de los restantes trabajadores de la empresa de que se trate.
En el caso de que la indemnización pactada entre empresa y trabajador jubilable fuese superior a la anteriormente establecida, la duración del contrato temporal o eventual del trabajador suscrito podrá reducirse en tantos meses cuantas mensualidades de más se abonen en concepto de indemnización.
B) Jubilación anticipada a los 64 años como medida de fomento de empleo.
Se estará a lo dispuesto al respecto en el Real Decreto 1194/1985, de 17 de julio.
C) Jubilación forzosa.
Como política de fomento del empleo y por necesidades del mercado de trabajo en el sector y con independencia de las dos clases de jubilación a que se refieren los apartados inmediatamente procedentes, se establece la jubilación forzosa a los 65 años de edad, salvo pacto individual en contrario, de los trabajadores que tengan cubierto el período mínimo legal de carencia para obtenerla.
Artículo 39. Representación unitaria.
Los trabajadores tienen derecho a participar en la empresa a través de los Comités de empresa o Delegados de personal, en los términos regulados en el título XI del Estatuto de los Trabajadores, y de los siguientes apartados:
a) Dada la movilidad del personal del sector de Construcción, y de conformidad con el artículo 69.1 del Estatuto de los Trabajadores, se pacta que la antigüedad mínima en la empresa para ser elegible queda reducida a tres meses.
b) Por la misma razón, expresada en el párrafo precedente de la movilidad del personal en las obras el número de representantes podrá experimentar, cada año, el ajuste correspondiente en más o en menos, de conformidad con lo establecido en el párrafo siguiente.
En caso de que se produzca un incremento de la plantilla, se podrán celebrar elecciones parciales, en los términos establecidos en el artículo 15 del Real Decreto 1311/1986. Si por el contrario, hubiera una disminución, procederá la celebración de nuevas elecciones, salvo que los sindicatos o grupos de trabajadores representados acuerden otra forma de proceder a la reducción.
Artículo 40. Representación sindical.
En materia de representación sindical se estará a lo dispuesto en la Ley Orgánica 11/1985, de 2 de agosto, debiéndose tenerse, además, en cuenta las siguientes estipulaciones:
a) La unidad de referencia para el desarrollo de la acción sindical es la empresa o, en su caso, el centro de trabajo.
b) Los Delegados sindicales, de acuerdo con el sindicato al que pertenezcan, tendrán derecho a la acumulación de horas retribuidas para el ejercicio de sus funciones, en uno o varios de ellos sin rebasar el máximo total de horas legalmente establecido.
Artículo 41. Responsabilidad de los sindicatos.
Los sindicatos, en los términos previstos en el artículo 5.º de la Ley Orgánica de Libertad Sindical, responderán de los actos o acuerdos adoptados por sus órganos estatutarios, en la esfera de sus respectivas competencias, y por los actos individuales de sus afiliados, cuando éstos actúen en el ejercicio de sus funciones representativas o por cuenta del sindicato.
Artículo 42. Formación.
Remisión al Acuerdo Nacional de Formación Continua.
Las partes signatarias del presente convenio colectivo provincial de Melilla ante el alto porcentaje de desempleados existentes en la construcción en nuestra ciudad, recomiendan la contratación de trabajadores con residencia en Melilla.
TABLA AÑO 1993.
PERSONAL RETRIBUCIÓN DIARIA
__________________________________________________________________
SUELDO 25% PLUS PRIMA ASIST.
CATEGORÍA BASE RESID. Y ACTIV. HERRAM.
__________________________________________________________________
Capataz 2.479 620 250 –
Oficial de 1ª 2.401 600 265 74
Oficial de 2ª 2.325 581 75 74
Ayudante y nivel X 2.245 561 25 74
Peón espec. y nivel XI 2.245 561 25 –
Peón y nivel XII 2.205 551 25 –
Trabaj. en formación 1.264 316 25 –
__________________________________________________________________
VACAC. SEGÚN PAGAS EXTRAS HORAS
CATEGORÍA TOTAL CONV. GRAL. JUN. Y DIC. EXTRAS
__________________________________________________________________
Capataz 3.349 125.833 125.833 1.400
Oficial de 1ª 3.341 123.203 123.203 1.350
Oficial de 2ª 3.055 115.663 115.663 1.300
Ayudante y nivel X 2.905 110.452 110.452 1.250
Peón espec. y nivel XI 2.831 110.325 110.325 1.200
Peón y nivel XII 2.781 107.852 107.852 1.150
Trabaj. en formación 1.605 48.330 48.330 474
__________________________________________________________________
Plus transporte: 220 pesetas.
Dietas: 3.500 pesetas.
Media dieta: 750 pesetas.
PERSONAL RETRIBUCIÓN MENSUAL
__________________________________________________________________
SUELDO 25% PLUS PRIMA ASIST.
CATEGORÍA BASE RESID. Y ACTIV. HERRAM.
__________________________________________________________________
Pers. titulado superior 93.670 23.418 3.750 –
Personal titulado medio 86.233 21.558 3.750 –
Ayudante de obra
y encargado general 84.746 21.187 3.750 –
Jefe administrativo
delineante superior 81.028 20.257 3.750 –
Oficial de 1ª admvo.,
técnico organiz. de 1ª 75.823 18.956 3.750 –
Técnico de organiz.
de 2ª, delineante de 2ª 72.105 18.026 3.750 –
Oficial de 2ª admvo.,
nivel VIII 69.756 17.439 3.750 –
Auxiliar admvo.,
nivel IX 68.136 17.034 3.750 –
__________________________________________________________________
VACAC. SEGÚN PAGAS EXTRAS HORAS
CATEGORÍA TOTAL CONV. GRAL. JUN. Y DIC. EXTRAS
__________________________________________________________________
Pers. titulado superior 120.838 163.583 163.583 1.820
Pers. titulado medio 111.541 151.000 151.000 1.680
Ayudante de obra
y encargado general 109.683 148.483 148.483 1.652
Jefe administrativo
delineante superior 105.035 142.192 142.192 1.582
Oficial de 1ª admvo.,
técnico organiz. de 1ª 98.529 133.383 133.383 1.484
Técnico de organiz.
de 2ª, delineante de 2ª 93.881 127.092 127.092 1.414
Oficial de 2ª admvo.,
nivel VIII 90.945 124.435 124.435 1.364
Auxiliar admvo.,
nivel IX 88.920 117.977 117.977 1.326
__________________________________________________________________
Plus transporte: 4.620 pesetas.
Dietas: 3.500 pesetas.
Media dieta: 750 pesetas.
CUADRO HORARIO 1993
Totales
_______________________________________
Enero: 152
Febrero: 160
Marzo: 176
Abril: 160
Mayo: 168
Junio: 175
Julio: 176
Agosto: 168
Septiembre: 153
Octubre: 152
Noviembre: 168
Diciembre: 144
_______________________________________
Total horas: 1.952
Deducción por vacaciones (21 x 8): – 168
Total horas efectivas de trabajo año 1993: 1.784
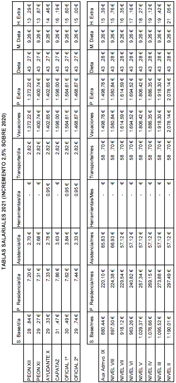
REVISIONES SALARIALES 1994 – 2006.
REVISIÓN SALARIAL (BOME de 11 de agosto de 1994)
REVISIÓN SALARIAL (BOME de 7 de julio de 1995)
REVISIÓN SALARIAL (BOME de 28 de noviembre de 1996)
CORRECCIÓN DE ERRORES (BOME de 9 de enero de 1997)
REVISIÓN SALARIAL (BOME de 13 de noviembre de 1997)
REVISIÓN SALARIAL (BOME de 10 de diciembre de 1998)
REVISIÓN SALARIAL (BOME de 29 de julio de 1999)
REVISIÓN SALARIAL (BOME de 25 de mayo de 2000)
REVISIÓN SALARIAL (BOME de 11 de mayo de 2001)
REVISIÓN SALARIAL (BOME de 21 de mayo de 2002)
REVISIÓN SALARIAL (BOME de 20 de septiembre de 2002)
REVISIÓN SALARIAL (BOME de 1 de abril de 2003)
REVISIÓN SALARIAL (BOME de 25 de julio de 2003)
REVISIÓN SALARIAL (BOME de 11 de junio de 2004)
REVISIÓN SALARIAL (BOME de 3 de junio de 2005)
REVISIÓN SALARIAL (BOME de 19 de mayo de 2006)
Los textos de referencia no están disponibles. Póngase en contacto con:
ServiConvenios.COM
Tel: 91.603.02.49
CALENDARIO 2006 (BOME de 10 de noviembre de 2006)
Resolución de 6 de noviembre de 2006.
Vista el Acta de la Comisión Negociadora sobre acuerdo de declaración de días inhábiles por terminación del Ramadán del Convenio Colectivo de la Construcción de la Ciudad Autónoma de Melilla, suscrito por la parte Empresarial y por la Representación de los trabajadores.
Primero.-Que dicho Acuerdo, fue presentado en el Área Funcional de Trabajo y Asuntos Sociales de esta Delegación del Gobierno en Melilla, el día 19 de octubre de 2006.
Segundo.-Que en el mismo no se aprecia ninguna infracción de la legalidad vigente y sus cláusulas no contienen estipulaciones en perjuicio de terceros.
FUNDAMENTOS DE DERECHO
Primero.-Que esta Área Funcional de trabajo y Asuntos Sociales es competente para resolver la presente solicitud, en virtud de: a) Las competencias que le han sido atribuidas por Resolución del Excmo. Señor Delegado del Gobierno, publicadas en el Boletín Oficial de Melilla el día 25 de abril de 2000; b) Artículo 2.º del Real Decreto 1040/1981, de 22 de mayo, sobre Registro y Depósito de los Convenios Colectivos.
Segundo.-Que el artículo 90.2 y 3 del Real Decreto Legislativo 1/1995, de 24 de marzo, del Estatuto de los Trabajadores, otorga facultades a la Autoridad laboral competente en orden al registro, publicación, depósito y notificación de los Acuerdos Colectivos pactados en el ámbito de su competencia.
Esta Área de Trabajo y Asuntos Sociales
ACUERDA:
Primero.-Ordenar su inscripción en el Registro de Convenios de esta Área Funcional de Trabajo y Asuntos Sociales, así como el subsiguiente depósito del Texto y demás documentación original.
Segundo.-Disponer su publicación en el Boletín Oficial de la Ciudad de Melilla -BOME-.
Tercero.-Ordenar se notifique esta Resolución a la Mesa Negociadora del mismo.
A la atención del Director del Área Funcional de Trabajo y Asuntos Sociales de Melilla.
A la Oficina Pública de Registro de Convenios Colectivos.
En Melilla, a 18 de octubre de 2006, reunidos los Representantes de la mesa negociadora del Convenio Colectivo Provincial para la Construcción de la Ciudad Autónoma de Melilla, ante el Director del Área Funcional de Trabajo y Asuntos Sociales, Comunican:
Que al amparo de la normativa vigente (RD 1040/1981), solicitamos aprobación, registro y orden de publicación en el BOME, del acuerdo sobre la declaración de días inhábiles por terminación del Ramadán.
Los domicilios a efectos de notificación, serán los siguientes:
Constructores Asociados de Melilla (COADEME).
Plaza 1.º de Mayo S/N, bajo derecha.
Comisiones Obreras de Melilla (CC.OO).
Plaza 1.º de Mayo S/N, 3.ª Planta.
Unión General de Trabajadores de Melilla (UGT).
Plaza 1.º de Mayo S/N, 1.ª planta.
En virtud de lo expuesto.
Tenga por presentado el presente escrito y por hechas las manifestaciones que contiene, delegando el registro de la presente Acta al Secretario de la mesa de negociación, (…).
Firma:
ACTA DEL ACUERDO DE LA COMISIÓN NEGOCIADORA DEL CONVENIO COLECTIVO DE CONSTRUCCIÓN DE LA CIUDAD DE MELILLA
Reunión celebrada el día 17 de octubre de 2006.
En Melilla, a las 18:00 horas del día 17 de octubre de 2006, en los locales de CEME, se reúnen las siguientes personas:
Por la parte Empresarial:
Presidente COADEME:
Por la parte Sindical:
UGT
CC.OO.
Acuerdan:
Primero.-Que en aplicación del punto segundo del Acuerdo de la Comisión Negociadora del Convenio Colectivo de Construcción de la Ciudad de Melilla de fecha 3 de abril de dos mil seis, se determina que los dos días que se declaran inhábiles, a la terminación del Ramadán, son el 23 de octubre y el 24 de octubre.
Y sin otros asuntos que tratar se levanta la sesión, en el lugar y fecha al principio citados, firmando los presentes en prueba de conformidad.
CALENDARIO 2007 (BOME de 2 de enero de 2007)
Resolución de 28 de diciembre de 2006.
Vista el Acta de la Comisión Negociadora sobre acuerdo de declaración de días inhábiles y remunerados por la Fiesta del Cordero del Convenio colectivo de la Construcción de la Ciudad Autónoma de Melilla, suscrito por la parte Empresarial y por la Representación de los trabajadores.
Primero.-Que dicho Acuerdo, fue presentado en el Área Funcional de Trabajo y Asuntos Sociales de esta Delegación del Gobierno en Melilla, el día 12 de diciembre de 2006.
Segundo.-Que en el mismo no se aprecia ninguna infracción de la legalidad vigente y sus cláusulas no contienen estipulaciones en perjuicio de terceros.
FUNDAMENTOS DE DERECHO
Primero.-Que esta Área Funcional de Trabajo y Asuntos Sociales es competente para resolver la presente solicitud, en virtud de: a) Las competencias que le han sido atribuidas por Resolución del Excmo. Señor Delegado del Gobierno, publicadas en el Boletín Oficial de Melilla el día 25 de abril de 2000; b) Artículo 2 del Real Decreto 1040/1981, de 22 de mayo, sobre Registro y Depósito de los Convenios Colectivos.
Segundo.-Que el artículo 90.2 y 3 del Real Decreto Legislativo 1/1995, de 24 de marzo, del Estatuto de los Trabajadores, otorga facultades a la Autoridad laboral competente en orden al registro, publicación, depósito y notificación de los Acuerdos Colectivos pactados en el ámbito de su competencia.
Esta Área de Trabajo y Asuntos Sociales
ACUERDA:
Primero.-Ordenar su inscripción en el Registro de Convenios de esta Área Funcional de Trabajo y Asuntos Sociales, así como el subsiguiente depósito del Texto y demás documentación original.
Segundo.-Disponer su publicación en el Boletín Oficial de la Ciudad de Melilla -BOME-.
Tercero.-Ordenar se notifique esta Resolución a la Mesa Negociadora del mismo.
A la atención del Director del Área Funcional de Trabajo y Asuntos Sociales de Melilla.
A la Oficina Pública de Registro de Convenios Colectivos.
En Melilla a 10 de diciembre de 2006, reunidos los Representantes de la mesa negociadora del Convenio Colectivo Provincial para la Construcción de la Ciudad Autónoma de Melilla, ante el Director del Área Funcional de Trabajo y Asuntos Sociales,
Comunican:
Que al amparo de la normativa vigente (Real Decreto 1040/1981), solicitamos aprobación, registro y orden de publicación en el BOME, del acuerdo sobre la declaración de días inhábiles y remunerados, por la Fiesta del Cordero, Acta cuyo original adjuntamos al presente escrito.
Los domicilios a efectos de notificación, serán los siguientes:
Constructores Asociados de Melilla (COADEME) Plaza 1.º de Mayo s/n, bajo derecha.
Comisiones Obreras de Melilla (CC.OO.) Plaza 1.º de Mayo s/n, 3.ª Planta.
Unión General de Trabajadores de Melilla (UGT) Plaza 1.º de Mayo s/n, 1.ª planta.
En virtud de lo expuesto,
Solicito A V.I., tenga por presentado el presente escrito y por hechas las manifestaciones que contiene, delegando el registro de la presente Acta al Secretario de la mesa de negociación,
ACTA DEL ACUERDO DE LA COMISIÓN NEGOCIADORA DEL CONVENIO COLECTIVO DE CONSTRUCCIÓN DE LA CIUDAD DE MELILLA
Reunión celebrada el 5 de diciembre de 2006.
En Melilla, a las 19.00 h del día 5 de diciembre de 2006, en los locales de CEME, se reúnen las siguientes personas:
Por la Asociación Empresarial: COADEME.
Por las Organizaciones Sindicales:
UGT.
CC.OO.
En el transcurso de la reunión y en cumplimiento de lo pactado en Acuerdo Sectorial Nacional de la Construcción ASNC (2003-2006), y del Acuerdo de la Comisión Negociadora del Convenio Colectivo de Construcción de la Ciudad de Melilla, publicado en el BOME de 19 de mayo de 2006, se decide:
Primero.-Que en aplicación del punto segundo del Acuerdo de la Comisión Negociadora del Convenio Colectivo de Construcción de la Ciudad de Melilla (BOME 4296), se determina que los dos días inhábiles y remunerados, por la Fiesta del Cordero, serán:
– 2 de enero de 2007.
– 3 de enero de 2007.
Segundo.-Remitir el presente Acuerdo, al Área Funcional de Trabajo de la Delegación del Gobierno de Melilla, para su registro y orden de publicación en el Boletín Oficial de la Ciudad.
Y sin otros asuntos que tratar se levanta la sesión, en el lugar y fecha al principio citados, firmando los presentes en prueba de conformidad.
Constructores Asociados de Melilla.
REVISIÓN SALARIAL (BOME de 24 de abril de 2007)
REVISIÓN SALARIAL (BOME de 2 de octubre de 2007)
Los textos de referencia no están disponibles. Póngase en contacto con:
ServiConvenios.COM
Tel: 91.603.02.49
CALENDARIO 2007 (BOME de 4 de diciembre de 2007)
Visto el ACTA DE ACUERDO DE LA MESA NEGOCIADORA DEL CONVENIO COLECTIVO PROVINCIAL PARA LA CONSTRUCCIÓN DE LA CIUDAD AUTÓNOMA DE MELILLA, suscrito por la parte Empresarial y por la Representación de los Trabajadores.
Primero.- Que dicho Acuerdo, fue presentado en el Área Funcional de Trabajo y Asuntos Sociales de esta Delegación del Gobierno en Melilla, el día 11 de octubre de 2007.
Segundo.- Que en el mismo no se aprecia ninguna infracción de la legalidad vigente y sus cláusulas no contienen estipulaciones en perjuicio de terceros.
FUNDAMENTOS DE DERECHO
Primero.- Que el Área Funcional de Trabajo y Asuntos Sociales integrado en esta Delegación del Gobierno es competente para resolver la presente solicitud, en virtud del artículo 2 del Real Decreto 1040/1981 de 22 de mayo, sobre Registro y Depósito de los Convenios Colectivos.
Segundo.- Que el artículo 90.2 y 3 del Real Decreto Legislativo 1/1995, de 24 de marzo, del Estatuto de los Trabajadores, otorga facultades a la Autoridad laboral competente en orden al registro, publicación, depósito y notificación de los Acuerdos Colectivos pactados en el ámbito de su competencia.
EL ÁREA DE TRABAJO Y ASUNTOS SOCIALES INTEGRADA EN LA DELEGACIÓN DEL GOBIERNO EN MELILLA
A C U E R D A
1º.- Ordenar su inscripción en el Registro de Convenios de este Área Funcional de Trabajo y Asuntos Sociales, así como el subsiguiente depósito del Texto y demás documentación original.
2º.- Disponer su publicación en el Boletín Oficial de la Ciudad de Melilla -BOME-.
3º.- Ordenar se notifique esta Resolución a la Mesa Negociadora del mismo.
En Melilla a 22 de noviembre de 2007.
El Delegado del Gobierno.
José Fernández Chacón.
ACTA DEL ACUERDO DE LA COMISIÓN NEGOCIADORA DEL CONVENIO COLECTIVO DE CONSTRUCCIÓN DE LA CIUDAD DE MELILLA REUNIÓN CELEBRADA EL 10 OCTUBRE DE 2007
En Melilla, a las 13.00 h. del día 10 de octubre de 2007, en los locales de CEME, se reúnen las siguientes personas:
Por la Asociación Empresarial:
Manuel Jimeno Cerro COADEME
Mustafa Mohamed Tahar COADEME
Por las Organizaciones Sindicales:
Abdeselam Mohamed Anana UGT
Andrés Pascual Martínez CC.OO
En el transcurso de la reunión y en cumplimiento de lo pactado en el IV Convenio Colectivo General del Sector de la Construcción 2007-2011, y del Acuerdo de la Comisión Negociadora del Convenio Colectivo de Construcción de la Ciudad de Melilla, publicado en el BOME de 2 de octubre de 2007, se decide:
PRIMERO.- Que en aplicación del punto segundo del Acuerdo de la Comisión Negociadora del Convenio Colectivo de Construcción de la Ciudad de Melilla (BOME 4439), se determina que los dos días inhábiles y remunerados, por la Fiesta del Ramadán, serán:
-15 de octubre de 2007
-16 de octubre de 2007
SEGUNDO.- Remitir el presente Acuerdo, al Área Funcional de Trabajo de la Delegación del Gobierno de Melilla, para su registro y orden de publicación en el Boletín Oficial de la Ciudad.
Y sin otros asuntos que tratar se levanta la sesión, en el lugar y fecha al principio citados, firmando los presente en prueba de conformidad.
ACUERDO (BOME de 7 de diciembre de 2007)
Visto el ACTA DE ACUERDO DE LA MESA NEGOCIADORA DEL CONVENIO COLECTIVO PROVINCIAL PARA LA CONSTRUCCIÓN DE LA CIUDAD AUTÓNOMA DE MELILLA, suscrito por la parte Empresarial y por la Representación de los Trabajadores.
Primero.- Que dicho Acuerdo, fue presentado en el Area Funcional de Trabajo y Asuntos Sociales de esta Delegación del Gobierno en Melilla, el día 11 de octubre de 2007.
Segundo.- Que en el mismo no se aprecia ninguna infracción de la legalidad vigente y sus cláusulas no contienen estipulaciones en perjuicio de terceros.
FUNDAMENTOS DE DERECHO
Primero.- Que el Area Funcional de Trabajo y Asuntos Sociales integrado en esta Delegación del Gobierno es competente para resolver la presente solicitud, en virtud del artículo 2 del Real Decreto 1040/1981 de 22 de mayo, sobre Registro y Depósito de los Convenios Colectivos.
Segundo.- Que el artículo 90.2 y 3 del Real Decreto Legislativo 1/1995, de 24 de marzo, del Estatuto de los Trabajadores, otorga facultades a la Autoridad laboral competente en orden al registro, publicación, depósito y notificación de los Acuerdos Colectivos pactados en el ámbito de su competencia.
EL ÁREA DE TRABAJO Y ASUNTOS SOCIALES INTEGRADA EN LA DELEGACIÓN DEL GOBIERNO EN MELILLA
ACUERDA
1º.- Ordenar su inscripción en el Registro de Convenios de este Área Funcional de Trabajo y Asuntos Sociales, así como el subsiguiente depósito del Texto y demás documentación original.
2º.- Disponer su publicación en el Boletín Oficial de la Ciudad de Melilla -BOME-.
3º.- Ordenar se notifique esta Resolución a la Mesa Negociadora del mismo.
En Melilla a 22 de noviembre de 2007.
El Delegado del Gobierno.
José Fernández Chacón.
ACUERDO (BOME de 1 de enero de 2008)
Visto el ACTA DE ACUERDO DE LA MESA NEGOCIADORA DEL CONVENIO COLECTIVO PROVINCIAL PARA LA CONSTRUCCIÓN DE LA CIUDAD AUTÓNOMA DE MELILLA, suscrito por la parte Empresarial y por la Representación de los Trabajadores.
Primero.- Que dicho Acuerdo, fue presentado en el Área Funcional de Trabajo y Asuntos Sociales de esta Delegación del Gobierno en Melilla, el día 19 de diciembre de 2007.
Segundo.- Que en el mismo no se aprecia ninguna infracción de la legalidad vigente y sus cláusulas no contienen estipulaciones en perjuicio de terceros.
FUNDAMENTOS DE DERECHO
Primero.- Que el Área Funcional de Trabajo y Asuntos Sociales integrado en esta Delegación del Gobierno es competente para resolver la presente solicitud, en virtud del artículo 2 del Real Decreto 1040/1981 de 22 de mayo, sobre Registro y Depósito de los Convenios Colectivos.
Segundo.- Que e! artículo 90.2 y 3 del Real Decreto Legislativo 1/1995, de 24 de marzo, del Estatuto de los Trabajadores, otorga facultades a la Autoridad laboral competente en orden al registro, publicación, depósito y notificación de los Acuerdos Colectivos pactados en el ámbito de su competencia.
EL ÁREA DE TRABAJO Y ASUNTOS SOCIALES INTEGRADA EN LA DELEGACIÓN DEL GOBIERNO EN MELILLA
ACUERDA
1.º- Ordenar su inscripción en el Registro de Convenios de este Área Funcional de Trabajo y Asuntos Sociales, así como el subsiguiente depósito del Texto y demás documentación original.
2.º- Disponer su publicación en el Boletín Oficial de la Ciudad de Melilla -BOME – 3.º- Ordenar se notifique esta Resolución a la Mesa Negociadora del mismo.
En Melilla a 19 de diciembre de 2007.
El Delegado del Gobierno.
José Fernández Chacón.
ACTA DEL ACUERDO DE LA COMISIÓN NEGOCIADORA DEL CONVENIO COLECTIVO DE CONSTRUCCIÓN DE LA CIUDAD DE MELILLA REUNIÓN CELEBRADA EL 12 DE DICIEMBRE DE 2007
En Melilla, a las 19.00 h. del día 12 de diciembre de 2007, en los locales de CEME, se reúnen las siguientes personas:
Por la Asociación Empresarial:
Manuel Jimeño Cerro COADEME
Mustafa Mohamed Tahar COADEME
Por las Organizaciones Sindicales:
Abdeselam Mohamed Anana UGT
Andrés Pascual Martínez CC.OO.
En el transcurso de la reunión y en cumplimiento de lo pactado en el IV Convenio Colectivo General del Sector de la Construcción 2007-2011, y del Acuerdo de la Comisión Negociadora del Convenio Colectivo de Construcción de la Ciudad de Melilla, publicado en el BOME de 2 de octubre de 2007, se decide:
PRIMERO.- Que en aplicación del punto segundo del Acuerdo de la Comisión Negociadora del Convenio Colectivo de Construcción de la Ciudad de Melilla (BOME 4439), se determina que los dos días inhábiles y remunerados, por la Fiesta del Cordero, serán:
– 21 de diciembre de 2007
– 26 de diciembre de 2007
SEGUNDO.- Remitir el presente Acuerdo, al Área Funcional de Trabajo de la Delegación del Gobierno de Melilla, para su registro y orden de publicación en el Boletín Oficial de la Ciudad.
Y sin otros asuntos que tratar se levanta la sesión, en el lugar y fecha al principio citados, firmando los presente en prueba de conformidad.
REVISIÓN SALARIAL (BOME de 15 de julio de 2008)
REVISIÓN SALARIAL (BOME de 29 de julio de 2008)
Los textos de referencia no están disponibles. Póngase en contacto con:
ServiConvenios.COM
Tel: 91.603.02.49
CALENDARIO 2008 (BOME de 7 de octubre de 2008)
Visto el ACTA DE LA COMISIÓN NEGOCIADORA DEL CONVENIO COLECTIVO DE LA CONSTRUCCIÓN DE LA CIUDAD AUTÓNOMA DE MELILLA, sobre acuerdo de declaración de días inhábiles por terminación del Ramadán , suscrito por la parte Empresarial y por la Representación de los Trabajadores.
Primero.- Que dicho Acuerdo, fue presentado en el Area Funcional de Trabajo e lnmigración de esta Delegación del Gobierno en Melilla, el día 30 de septiembre de 2008.
Segundo.- Que en el mismo no se aprecia ninguna infracción de la legalidad vigente y sus cláusulas no contienen estipulaciones en perjuicio de terceros.
FUNDAMENTOS DE DERECHO
Primero.- Que el Área Funcional de Trabajo e Inmigración integrado en esta Delegación del Gobierno es competente para resolver la presente solicitud, en virtud del artículo 2 del Real Decreto 1040/1981 de 22 de mayo, sobre Registro y Depósito de los Convenios Colectivos.
Segundo.- Que el artículo 90.2 y 3 del Real Decreto Legislativo 1/1995, de 24 de marzo, del Estatuto de los Trabajadores, otorga facultades a la Autoridad laboral competente en orden al registro, publicación, depósito y notificación de los Acuerdos Colectivos pactados en el ámbito de su competencia.
EL ÁREA DE TRABAJO E INMIGRACIÓN INTEGRADA EN LA DELEGACIÓN DEL GOBIERNO EN MELILLA
ACUERDA
1º.- Ordenar su inscripción en el Registro de Convenios de este Área Funcional de Trabajo e Inmigración, así como el subsiguiente depósito del Texto y demás documentación original.
2º.- Disponer su publicación en el Boletín Oficial de la Ciudad de Melilla-BOME.
3º.- Ordenar se notifique esta Resolución a la Mesa Negociadora del mismo.
La Directora del Área Funcional de Trabajo e Inmigración. M.ª Elena Alonso Muñoz.
ACUERDO (BOME de 12 de diciembre de 2008) Visto el ACTA DE ACUERDO DE LA MESA NEGOCIADORA DEL CONVENIO COLECTIVO PROVINCIAL PARA LA CONSTRUCCIÓN DE LA CIUDAD AUTÓNOMA DE MELILLA, suscrito por la parte Empresarial y por la Representación de los Trabajadores.
Primero.- Que dicho Acuerdo, fue presentado en el Area Funcional de Trabajo y Asuntos Sociales de esta Delegación del Gobierno en Melilla, el día 3 de diciembre de 2008.
Segundo.- Que en el mismo no se aprecia ninguna infracción de la legalidad vigente y sus cláusulas no contienen estipulaciones en perjuicio de terceros.
FUNDAMENTOS DE DERECHO
Primero.- Que el Área Funcional de Trabajo y Asuntos Sociales integrado en esta Delegación del Gobierno es competente para resolver la presente solicitud, en virtud del artículo 2 del Real Decreto 1040/1981 de 22 de mayo, sobre Registro y Depósito de los Convenios Colectivos.
Segundo.- Que el artículo 90.2 y 3 del Real Decreto Legislativo 1/1995, de 24 de marzo, del Estatuto de los Trabajadores, otorga facultades a la Autoridad laboral competente en orden al registro, publicación, depósito y notificación de los Acuerdos Colectivos pactados en el ámbito de su competencia.
EL ÁREA DE TRABAJO Y ASUNTOS SOCIALES INTEGRADA EN LA DELEGACIÓN DEL GOBIERNO EN MELILLA ACUERDA
1º.- Ordenar su inscripción en el Registro de Convenios de este Área Funcional de Trabajo y Asuntos Sociales, así como el subsiguiente depósito del Texto y demás documentación original.
2º.- Disponer su publicación en el Boletín Oficial de la Ciudad de Melilla -BOME -.
3º.- Ordenar se notifique esta Resolución a la Mesa Negociadora del mismo.
En Melilla a 04 de diciembre de 2008.
La Directora del Área Funcional de Trabajo y Asuntos Sociales.
María Elena Alonso Muñoz.
A la atención del Director del Área Funcional de Trabajo y Asuntos Sociales de Melilla.
A la Oficina Pública de Registro de Convenios Colectivos.
En Melilla, a 2 de diciembre de 2008, reunidos los Representantes de la mesa negociadora del Convenio Colectivo Provincial para la Construcción de la Ciudad Autónoma de Melilla, ante el Director del Área Funcional de Trabajo y Asuntos Sociales, COMUNICAN:
Que al amparo de la normativa vigente (R.D. 1040/1981), solicitamos aprobación, registro y orden de publicación en el BOME, de los distintos acuerdos recogidos en el acta de la Comisión Negociadora del Convenio Colectivo de Construcción de la Ciudad Autónoma de Melilla que se adjunta.
Los domicilios a efectos de notificación, serán los siguientes:
Constructores Asociados de Melilla (COADEME).
Plaza 1º de Mayo S/N, bajo derecha.
Comisiones Obreras de Melilla (CC.OO) Plaza 1º de Mayo S/N, 3ª Planta.
Unión General de Trabajadores de Melilla (UGT) Plaza 1º de Mayo S/N, 1ª planta.
En virtud de lo expuesto.
Tenga por presentado el presente escrito y por hechas las manifestaciones que contiene, delegando el registro del presente Acta al Secretario de la mesa de negociación, Abdeselam Mohamed Anana.
Firma:
ACTA DEL ACUERDO DE LA COMISIÓN NEGOCIADORA DEL CONVENIO COLECTIVO DE CONSTRUCCIÓN DE LA CIUDAD DE MELILLA REUNIÓN CELEBRADA EL 2 DE DICIEMBRE DE 2008
En Melilla, a las 18.00 h. del día 2 de diciembre de 2008, en los locales de CEME, se reúnen las siguientes personas:
Por la Asociación Empresarial:
Manuel Jimeno Cerro COADEME
Mustafa Mohamed Tabar COADEME
Por las Organizaciones Sindicales:
Abdeselam Mohamed Anana UGT
Andrés Pascual Martínez CC.OO
En el transcurso de la reunión y en cumplimiento de lo pactado en el IV Convenio Colectivo General del Sector de la Construcción 2007-2011, y del Acuerdo de la Comisión Negociadora del Convenio Colectivo de Construcción de la Ciudad de Melilla, publicado en el BOME de 15 de julio de 2008, se decide:
PRIMERO.- Que en aplicación del punto segundo del Acuerdo de la Comisión Negociadora del Convenio Colectivo de Construcción de la Ciudad de Melilla (BOME 4439), se determina que los dos días inhábiles y remunerados, por la Fiesta del Cordero, serán:
– 9 de diciembre de 2008
-10 de diciembre de 2008
SEGUNDO.- Remitir el presente Acuerdo, al Área Funcional de Trabajo de la Delegación del Gobierno de Melilla, para su registro y orden de publicación en el Boletín Oficial de la Ciudad.
Y sin otros asuntos que tratar se levanta la sesión, en el lugar y fecha al principio citados, firmando los presente en prueba de conformidad.
CALENDARIO 2009 (BOME de 19 de junio de 2009)
Visto el ACTA DE ACUERDO DE LA COMISIÓN NEGOCIADORA DEL CONVENIO COLECTIVO PROVINCIAL PARA LA CONSTRUCCIÓN DE LA CIUDAD AUTÓNOMA DE MELILLA, suscrito por la parte Empresarial y por la Representación de los Trabajadores, reunión celebrada el 28 de mayo de 2009.
Primero.- Que dicho Acuerdo, fue presentado en el Área Funcional de Trabajo y Asuntos Sociales de esta Delegación del Gobierno en Melilla, el día 11 de junio de 2009.
Segundo.- Que en el mismo no se aprecia ninguna infracción de la legalidad vigente y sus cláusulas no contienen estipulaciones en perjuicio de terceros.
FUNDAMENTOS DE DERECHO
Primero.- Que el Área Funcional de Trabajo y Asuntos Sociales integrado en esta Delegación del Gobierno es competente para resolver la presente solicitud, en virtud del artículo 2 del Real Decreto 1040/1981 de 22 de mayo, sobre Registro y Depósito de los Convenios Colectivos.
Segundo.- Que el artículo 90.2 y 3 del Real Decreto Legislativo 1/1995, de 24 de marzo, del Estatuto de los Trabajadores, otorga facultades a la Autoridad laboral competente en orden al registro, publicación, depósito y notificación de los Acuerdos Colectivos pactados en el ámbito de su competencia.
EL ÁREA DE TRABAJO Y ASUNTOS SOCIALES INTEGRADA EN LA DELEGACIÓN DEL GOBIERNO EN MELILLA ACUERDA
1º.- Ordenar su inscripción en el Registro de Convenios de este Área Funcional de Trabajo y Asuntos Sociales, así como el subsiguiente depósito del Texto y demás documentación original.
2º.- Disponer su publicación en el Boletín Oficial de la Ciudad de Melilla -BOME -.
3º.- Ordenar se notifique esta Resolución a la Mesa Negociadora del mismo.
En Melilla a 04 de diciembre de 2008.
La Directora del Área Funcional de Trabajo y Asuntos Sociales. María Elena Alonso Muñoz.
A la atención del Director del Área Funcional de Trabajo y Asuntos Sociales de Melilla.
A la Oficina Pública de Registro de Convenios Colectivos.
En Melilla, a 28 de mayo de 2009, reunidos los Representantes de la mesa negociadora del Convenio Colectivo Provincial para la Construcción de la Ciudad Autónoma de Melilla, ante el Director del Área Funcional de Trabajo y Asuntos Sociales, COMUNICAN:
Que al amparo de la normativa vigente (R.D. 1040/1981), solicitamos aprobación, registro y orden de publicación en el BOME, de los distintos acuerdos recogidos en el acta de la Comisión Negociadora del Convenio Colectivo de Construcción de la Ciudad Autónoma de Melilla que se adjunta.
Los domicilios a efectos de notificación, serán los siguientes:
Constructores Asociados de Melilla (CO ADEME).
Plaza 1º de Mayo s/n, bajo derecha.
Comisiones Obreras de Melilla (CC.OO) Plaza 1º de Mayo s/n, 3ª Planta.
Unión General de Trabajadores de Melilla (UGT) Plaza 1º de Mayo s/n, 1ª planta.
En virtud de lo expuesto, Tenga por presentado el presente escrito y por hechas las manifestaciones que contiene, delegando el registro del presente Acta al Secretario de la mesa de negociación, Juan Pascual Sánchez.
ACTA DEL ACUERDO DE LA COMISIÓN NEGOCIADORA DEL CONVENIO COLECTIVO DE CONSTRUCCIÓN DE LA ClUDAD DE MELILLA.
REUNIÓN CELEBRADA EL 28 de mayo de 2009.
En Melilla, a las 19:00 horas del día 28 de mayo de 2009, en los locales de la CEME, se reúnen las siguientes personas:
Por la Asociación de Empresarial: Constructores Asociados de Melilla (COADEME).
Manuel Jimeno Cerro (Presidente COADEME).
Mustafa Mohamed Tahar.
Por los Sindicatos.
Abdeselam Mohamed Anana (UGT)
Juan Pascua! Sánchez. (UGT).
Francisco J. Casado Moreno (CC.OO.)
Rosendo Quero Visiedo (CC.OO.)
Andrés Pascual Martínez (CC.OO.) Asesor.
En el transcurso de la reunión y en cumplimiento de lo pactado en el IV Convenio Colectivo General del Sector de la Construcción 2007-2011, deciden incorporar al actual Convenio Provincial, ron carácter exclusivo para el año 2009, los siguientes acuerdos recogidos en los puntos primero a cuarto.
PRIMERO. Ámbito Temporal.
Este acuerdo estará vigente hasta el 31 de diciembre de 2009, previa publicación en el Boletín Oficial de la Ciudad de Melilla (BOME).
SEGUNDO. En aplicación del artículo 64 del IV Convenio Colectivo General del Sector de la Construcción 2007-2011, se acuerda declarar inhábiles y remunerados, con carácter exclusivo para el año 2009, los siguientes días:
-2 días a la terminación del Ramadán. (Si alguno de estos días coincidieran en domingo o festivo, pasará al día siguiente hábil).
-2 días por las fiestas del Cordero. (Si alguno de estos días coincidiera en domingo o festivo, pasará al siguiente día hábil).
-Los días 7 y 18 de septiembre.
TERCERO. Se acuerda declarar durante el mes de agosto la jornada intensiva de trabajo de 8 horas de mañana, entendiendo que dicha jornada no se prolongará más allá de las 16:00 horas.
CUARTO. Para dar cumplimiento a lo previsto en el artículo 85.2.d del Texto Refundido de la Ley del Estatuto de los Trabajadores, las partes signatarias hacen constar expresamente que el presente Acuerdo no precisa denuncia previa para su total extinción el 31 de diciembre del año 2009.
REVISIÓN SALARIAL (BOME de 20 de noviembre de 2009)
El texto de referencia no está disponible. Póngase en contacto con:
ServiConvenios.COM
Tel: 91.603.02.49
CALENDARIO 2009 (BOME de 24 de noviembre de 2009)
Visto el ACUERDO DE LA COMISIÓN NEGOCIADORA DE DECLARACIÓN DE DÍAS INHÁBILES Y REMUNERADOS, POR LA FIESTA DEL CORDERO DEL CONVENIO COLECTIVO PROVINCIAL PARA LA CONSTRUCCIÓN DE LA CIUDAD AUTÓNOMA DE MELILLA.
Primero.- Que dicho acuerdo, fue presentado en el Área Funcional de Trabajo y Asuntos Sociales de esta Delegación del Gobierno en Melilla, el día 19 noviembre de octubre de 2009.
Segundo.- Que en el mismo no se aprecia ninguna infracción de la legalidad vigente y sus cláusulas no contienen estipulaciones en perjuicio de terceros.
FUNDAMENTOS DE DERECHO
Primero.- Que el Área Funcional de Trabajo y Asuntos Sociales integrado en esta Delegación del Gobierno es competente para resolver la presente solicitud, en virtud del artículo 2 del Real Decreto 1040/1981 de 22 de mayo, sobre Registro y Depósito de los Convenios Colectivos.
Segundo.- Que el artículo 90.2 y 3 del Real Decreto Legislativo 1/1995, de 24 de marzo, del’ Estatuto de los Trabajadores, otorga facultades a la Autoridad laboral competente en orden al registro, publicación, depósito y notificación de los Acuerdos Colectivos pactados en el ámbito de su competencia.
EL ÁREA DE TRABAJO Y ASUNTOS SOCIALES INTEGRADA EN LA DELEGACIÓN DEL GOBIERNO EN MELILLA ACUERDA
1º.- Ordenar su inscripción en el Registro de Convenios de este Área Funcional de Trabajo y Asuntos Sociales, así como el subsiguiente depósito del Texto y demás documentación original.
2º.- Disponer su publicación en el Boletín Oficial de la Ciudad de Melilla -BOME -.
3º.- Ordenar se notifique esta Resolución a la Mesa Negociadora del mismo.
La Directora del Área Funcional de Trabajo y Asuntos Sociales. María Elena Alonso Muñoz.
ACTA DEL ACUERDO DE LA COMISIÓN NEGOCIADORA DEL CONVENIO COLECTIVO DE CONSTRUCCIÓN DE LA CIUDAD DE MELILLA REUNIÓN CELEBRADA EL 11 DE NOVIEMBRE DE 2009
En Melilla, a las 18.00 h. del día 11 de noviembre de 2009, en los locales de CEME, se reúnen las siguientes personas:
Por la Asociación Empresarial:
Manuel Jimeno Cerro COADEME
Mustafa Mohamed Tahar COADEME
Por las Organizaciones Sindicales:
Javier Valenzuela Angosto. UGT
Juan Jesús Pascual Sánchez UGT
Francisco J. Casado Moreno CC.OO
Rosendo Quero Visiedo CC.OO
En el transcurso de la reunión y en cumplimiento de lo pactado en el IV Convenio Colectivo General del Sector de la Construcción 2007-2011, y del Acuerdo de la Comisión Negociadora del Convenio Colectivo de Construcción de la Ciudad de Melilla, publicado en el BOME de 19 de junio de 2009, se decide:
PRIMERO.- Que en aplicación del punto segundo del Acuerdo de la Comisión Negociadora del Convenio Colectivo de Construcción de la Ciudad de Melilla (BOME 4618), se determina que los dos días inhábiles y remunerados, por la Fiesta del Cordero, serán:
-30 de noviembre de 2009
-1 de diciembre de 2009
SEGUNDO.- Remitir el presente Acuerdo, al Área Funcional de Trabajo de la Delegación del Gobierno de Melilla, para su registro y orden de publicación en el Boletín Oficial de la Ciudad.
Y sin otros asuntos que tratar se levanta la sesión, en el lugar y fecha al principio citados, firmado los presente en prueba de conformidad.
REVISIÓN SALARIAL (BOME de 3 de agosto de 2010)
El texto de referencia no está disponible. Póngase en contacto con:
ServiConvenios.COM
Tel: 91.603.02.49
CALENDARIO 2010 (BOME de 9 de noviembre de 2010)
Visto el ACTA DE ACUERDO DE LA COMISIÓN NEGOCIADORA DEL CONVENIO COLECTIVO PROVINCIAL PARA LA CONSTRUCCIÓN DE LA CIUDAD AUTÓNOMA DE MELILLA, DE DECLARACIÓN DE DOS DÍAS INHÁBILES Y REMUNERADOS (18 y 19 DE NOVIEMBRE), POR LA FIESTA DEL CORDERO suscrito por la parte Empresarial y por la Representación de los Trabajadores, reunión celebrada el 14 de octubre de 2010.
Primero.- Que dicho Acuerdo, fue presentado en el Área Funcional de Trabajo e Inmigración de esta Delegación del Gobierno en Melilla, el día 3 de noviembre de 2010.
Segundo.- Que en el mismo no se aprecia ninguna infracción de la legalidad vigente y sus cláusulas no contienen estipulaciones en perjuicio de terceros.
FUNDAMENTOS DE DERECHO
Primero.- Que el Área Funcional de Trabajo e Inmigración integrado en esta Delegación del Gobierno es competente para resolver la presente solicitud, en virtud del artículo 3 del Real Decreto 713/2010, de 28 de mayo, sobre registro y depósito de los convenios y acuerdos colectivos de trabajo.
Segundo.- Que el artículo 90.2 y 3 del Real Decreto Legislativo 1/1995, de 24 de marzo, del Estatuto de los Trabajadores, otorga facultades a la Autoridad laboral competente en orden al registro, publicación, depósito y notificación de los Acuerdos Colectivos pactados en el ámbito de su competencia.
EL ÁREA DE TRABAJO E INMIGRACIÓN INTEGRADA EN LA DELEGACIÓN DEL GOBIERNO EN MELILLA ACUERDA
1º.- Ordenar su inscripción en el Registro de Convenios de este Área Funcional de Trabajo e Inmigración, así como el subsiguiente depósito del Texto y demás documentación original.
2º.- Disponer su publicación en el Boletín Oficial de la Ciudad de Melilla -BOME -.
3º.- Ordenar se notifique esta Resolución a la Mesa Negociadora del mismo.
Melilla a 5 de noviembre de 2010.
La Directora del Área Funcional de Trabajo e Inmigración. M.ª Dolores Morales Patricio.
ACTA DEL ACUERDO DE LA COMISIÓN NEGOCIADORA DEL CONVENIO COLECTIVO DE CONSTRUCCIÓN DE LA CIUDAD DE MELILLA REUNIÓN CELEBRADA EL 14 DE OCTUBRE DE 2010
En Melilla, a las 18.00 h. del día 14 de octubre de 2.010, en los locales de CEME, se reúnen las siguientes personas:
Por la Asociación Empresarial:
Manuel Jimeno Cerro COADEM.
Mustafa Mohamed Tahar COADEME
Por las Organizaciones Sindicales:
Abdeselam Mohamed Anana UGT
uan J. Pascual Sánchez UGT
Francisco Casado Moreno CC.OO
Rosendo Quero Visiedo CC.OO.
En el transcurso de la reunión y en cumplimiento de lo pactado en el IV Convenio Colectivo General del Sector de la Construcción 2007-2011, y del Acuerdo de la Comisíón Negociadora del Convenio Colectivo de Construcción de la Ciudad de Melilla, publicado en el BOME número 4135 de martes 3 de agosto de 2010, se decide:
PRIMERO.- Que en aplicación del punto segundo del Acuerdo de la Comisión Negociadora del Convenio Colectivo de Construcción de la Ciudad de Melilla (BOME 4439), se determina que los dos días inhábiles y remunerados, por la Fiesta del Cordero, serán:
-18 de noviembre de 2010
-19 de noviembre de 2010
SEGUNDO.- Remitir el presente Acuerdo, al Área Funcional de Trabajo de la Delegación del Gobierno de Melilla para su registro y orden de publicación en el Boletín Oficial de la Ciudad.
Y sin otros asuntos que tratar se levanta la sesión, en el lugar y fecha al principio citados, firmando los presente en prueba de conformidad.
REVISIÓN SALARIAL (BOME Número 4817, 17 de mayo de 2011)
Visto el ACUERDO DE LA COMISIÓN NEGOCIADORA DEL CONVENIO COLECTIVO DE LA CONSTRUCCIÓN DE LA CIUDAD AUTÓNOMA DE MELILLA, suscrito por la parte Empresarial y por la Representación de los Trabajadores, reunión celebrada el 27 de abril de 2011, consistente:
a) Vigencia hasta el 31 de diciembre de 2011.
b) En aplicación del artículo 64 del IV Convenio Colectivo General del Sector de la Construcción 2007-2011, se acuerda declarar inhábiles y remunerados, con carácter exclusivo para el años 2011, los siguientes días:
-2 día a la terminación del ramadán. (Si alguno de estos días coincidieran en sábado, domingo o festivo, pasará al día siguiente hábil).
-2 días por las fiestas del Cordero. (Si alguno de estos días coincidiera en sábado, domingo o festivo, pasará al siguiente día hábil).
-Los días 20 de abril, 9 de septiembre y 5, 7 y 9 de diciembre.
c) En aplicación del punto segundo de acuerdo de la Comisión Negociadora del IV Convenio General del Sector de la Construcción celebrado el 22 de junio de 2010, el incremento salarial para el año 2011 será del 1,5% sobre las tablas del 2010 y se hará una revisión económica y de las tablas vigentes durante el año 2011 con el IPC real de ese ejercicio. Dicha revisión tendrá carácter retroactivo desde el 1 de enero de 2011 y el abono de los atrasos derivados de la aplicación de la misma se realizará en la nómina de mayo de 2011.
Además de la revisión económica, anteriormente citada, en las tablas salariales adjuntas se han realizados los ajustes a la Remuneración Mínima Bruta anual según los acuerdos recogidos en el acta de la reunión 1/2011 de la Comisión negociadora del IV convenio general del sector de la construcción de 28 de marzo de 2011.
Primero.- Que dicho Acuerdo, fue presentado en el Área Funcional de Trabajo e Inmigración de esta Delegación del Gobierno en Melilla, el día 7 de abril, expediente 52/01/0002/2011.
Segundo.- Que en el mismo no se aprecia ninguna infracción de la legalidad vigente y sus cláusulas no contienen estipulaciones en perjuicio de terceros.
FUNDAMENTOS DE DERECHO
Primero.- Que el Área Funcional de Trabajo e Inmigración integrado en esta Delegación del Gobierno es competente para resolver la presente solicitud, en virtud del artículo 3 del Real Decreto 713/2010, de 28 de mayo, sobre registro y depósito de los convenios y acuerdos colectivos de trabajo.
Segundo.- Que el artículo 90.2 y 3 del Real Decreto Legislativo 1/1995, de 24 de marzo, del Estatuto de los Trabajadores, otorga facultades a la Autoridad laboral competente en orden al registro, publicación, depósito y notificación de los Acuerdos Colectivos pactados en el ámbito de su competencia.
EL ÁREA DE TRABAJO E INMIGRACIÓN INTEGRADA EN LA DELEGACIÓN DEL GOBIERNO EN MELILLA A C U E R D A
1º.- Ordenar su inscripción en el Registro de Convenios de este Área Funcional de Trabajo e Inmigración, así como el subsiguiente depósito del Texto y demás documentación original.
2º.- Disponer su publicación en el Boletín Oficial de la Ciudad de Melilla ¿BOME -.
3º.- Ordenar se notifique esta Resolución a la Mesa Negociadora del mismo.
Directora del Área Funcional de Trabajo e Inmigración.
María Dolores Morales Patricio.
ACTA DEL ACUERDO DE LA COMISIÓN NEGOCIADORA DEL CONVENIO COLECTIVO DE CONSTRUCCIÓN DE LA CIUDAD DE MELILLA
En Melilla, a las 19:00 horas del día 27 de abril de 2011, en los locales de la CEME, se reúnen las siguientes personas:
Por la Asociación de Empresarial:
Constructores Asociados de Melilla (COADEME). Manuel Jimeno Cerro (Presidente COADEME) Mustafa Mohamed Tahar
Por los Sindicatos:
Abdeselam Mohamed Anana (UGT)
Juan Pascual Sánchez. (UGT)
Francisco J. Casado Moreno (CC.OO.)
Rosendo Quero Visiedo (CC.OO.)
En el transcurso de la reunión y en cumplimiento de lo pactado en el IV Convenio Colectivo General del Sector de la Construcción 2007-2011, deciden incorporar al actual Convenio Provincial, con carácter exclusivo para el año 2011, los siguientes acuerdos recogidos en los puntos primero a cuarto.
PRIMERO. Ámbito Temporal.
Este acuerdo estará vigente hasta el 31 de diciembre de 2011, previa publicación en el Boletín Oficial de la Ciudad de Melilla (BOME).
SEGUNDO. En aplicación del artículo 64 del IV Convenio Colectivo General del Sector de la Construcción 2007-2011, se acuerda declarar inhábiles y remunerados, con carácter exclusivo para el año 2011, los siguientes días:
-2 días a la terminación del Ramadán. (Si alguno de estos días coincidieran en / sábado, domingo o festivo, pasará al día siguiente hábil).
-2 días por las fiesta del Cordero. (Si alguno de estos días coincidiera en sábado, domingo o festivo, pasará al siguiente día hábil).
-Los días 20 de abril, 9 de septiembre y 5,7 y 9 de diciembre.
TERCERO. En aplicación del punto segundo de acuerdo de la Comisión Negociadora del IV Convenio General del Sector de la Construcción celebrado el 22 de junio de 2010, el incremento salarial para el año 2011 será del 1,5% sobre las tablas del 2010 y se hará una revisión económica y de las tablas vigentes durante el año 2011 con el IPC real de ese ejercicio. Dicha revisión tendrá carácter retroactivo desde el 1 de enero de 2011 y el abono de los atrasos derivados de la aplicación de la misma se realizará en la nomina de mayo de 2011.
Además de la revisión económica, anteriormente mencionada, en las tablas salariales adjuntas se han realizados los ajustes a la Remuneración Mínima Brota Anual según los acuerdos recogidos en el acta de la reunión 1/2011 de la Comisión negociadora del IV convenio general del sector de la construcción de 28 de marzo de 2011.
CUARTO. Para dar cumplimiento a lo previsto en el artículo 85.2.d del Texto Refundido de la Ley del Estatuto de los Trabajadores, las partes signatarias hacen constar expresamente que el presente Acuerdo no precisa denuncia previa para su total extinción el 31 de diciembre del año 2011
REVISIÓN SALARIAL (BOME Número 4942, 27 de julio de 2012)
Resolución de fecha 23 de julio de 2012 del Área de Trabajo e Inmigración de la Delegación del Gobierno en Melilla por la que se registra y publica el acuerdo de la Comisión Negociadora del Convenio Colectivo de la Construcción de la ciudad de Melilla por el que se aprueban las tablas salariales para el año 2012 y Calendario laboral.
Visto el texto el acuerdo de la Comisión Negociadora del Convenio Colectivo de la Construcción de la ciudad de Melilla, por el que se aprueban las tablas salariales para el año 2012 y Calendario laboral ,que fue suscrito con fecha 15 de junio de 2012, por la representación de las partes y de conformidad con lo dispuesto en el artículo 90, apartados 2 y 3, de la Ley del Estatuto de los Trabajadores, Texto Refundido aprobado por el Real Decreto Legislativo 1/1995, de 24 de marzo, y en el Real Decreto 713/2010, de 28 de mayo, sobre registro y depósito de Convenios y Acuerdos Colectivos de Trabajo.
Esta Área de Trabajo e Inmigración por delegación del Delegado de Gobierno en Melilla, según resolución de 11 de mayo de 2000 (BOME número 3681 de 25 de mayo) y en uso de las atribuciones que le confiere el Real Decreto 2725/1998, de 18 de diciembre y el Real Decreto 942/2010, de 23 de julio.
A C U E R D A
Primero.
Ordenar la inscripción del citado convenio colectivo en el correspondiente Registro de Convenios y Acuerdos Colectivos de Trabajo con funcionamiento a través de medios electrónicos de este Centro Directivo, con notificación a la Comisión Negociadora.
Segundo.
Disponer su publicación en el «Boletín Oficial de la Ciudad de Melilla».
Melilla, 23 de julio de 2012.
El Delegado de Gobierno P.D. (Resolución de 11.5.2000, NOME 25.5) La Directora del Área de Trabajo e Inmigración.
Antonia Basante Ortiz.
Directora del Área Funcional de Empleo y Seguridad Social. Antonia Basante Ortiz.
A la atención del Director del Área Funcional de Trabajo y Asuntos Sociales de Melilla.
A la Oficina Pública de Registro de Convenios Colectivos.
En Melilla, a 15 de julio de 2012, reunidos los miembros de la Mesa Negociadora del Convenio Colectivo del Sector de la Construcción de la Ciudad de Melilla, ante el Director del Área Funcional del Trabajo y Asuntos Sociales, COMUNICAN:
Que al amparo de la normativa vigente (RD 1040/1981), solicitamos aprobación, registro, y orden de publicación en el Boletín Oficial de Melilla, del «Del Acuerdo de la Mesa Negociadora del Convenio Colectivo de la Construcción de la Ciudad de Melilla», con vigencia de 1 de enero de 2012 a 31 de diciembre de 2012.
Los domicilios a efectos de comunicación serán los siguientes:
POR LA PARTE EMPRESARIAL: Plaza 1º de Mayo s/n Planta Baja
POR LA REPRESENTACIÓN DE LOS TRABAJADORES: Plaza 1º de Mayo s/n 1ª Planta (UGT)
La Mesa Negociadora, delega el registro de las presentes Actas al Secretario General de UGT Melilla, D. Alonso Díaz Díaz.
En Melilla a 15 de julio de 2012.
ACTA DE ACUERDO DE LA MESA NEGOCIADORA DE TABLAS SALARIALES PARA EL AÑO 2012 Y CALENDARIO LABORAL DEL CONVENIO COLECTIVO DE LA CONSTRUCCIÓN EN MELILLA.
Por la Patronal:
D. Jerónimo Pérez Hernández.
D. Manuel Jimeno Cerro (Presidente COADEME)
D. Mustafa Mohamed Tahar
Por los sindicatos:
D. Abdeselam Mohamed Anana (UGT)
Dña. M.ª Teresa Molina Requena (UGT)
D. Andrés Pascual Martínez (CC.OO.)
D. Rosendo Quero Visiedo (CC.OO.)
R E U N I D O S
En Melilla, a las 19:00 del día 15 de junio de 2012, en los locales de la Confederación de Empresarios de Melilla (CEME), los arriba referenciados, miembros de la Comisión Negociadora del Convenio Colectivo de Construcción de Melilla.
A C U E R D A N
En cumplimiento de lo pactado en el V Convenio Colectivo General del Sector de la Construcción 2012-2016, incorporar al actual Convenio Provincial, con carácter exclusivo para el año 2012 los siguientes puntos:
1º En aplicación del artículo 68 del V Convenio Colectivo General del Sector de la Construcción 2012-2016, se acuerda declarar inhábiles y remunerados, con carácter exclusivo para el año 2012, los siguientes días:
– 2 días a la terminación del Ramadán (Si alguno de estos días coincidiera en sábado, domíngo o festivo, pasará al día siguiente hábil).
– 2 días por la fiesta del Cordero. (Si alguno de estos días coincidiera en sábado, domingo o festivo, pasará al día siguiente hábil).
– Los días 2 de noviembre, 7 de septiembre y 7 de diciembre.
– La jornada continuada del 16 de julio al 20 de agosto de 2012.
2º En aplicación del artículo 52 del V Convenio General del Sector de Construcción, el incremento salarial para el año 2012 es del 1% sobre las tablas del 2011.
3º Además de la revisión económica anteriormente mencionada se han realizado los ajustes en dichas tablas salariales a la remuneración mínima bruta anual, segun lo recogido en el artículo 50 del V Convenio General del Sector de Construcción 2012- 2016, Dicha revisión tendrá carácter retroactivo desde el 1 de enero de 2012 y el abono de los atrasos derivados de la aplicación de la misma se realizará en la nómina de septiembre de 2012.
4º Ambas partes acuerdan remitir el presente Acuerdo, al Área Funcional de Trabajo de la Delegación de Gobierno de Melilla, para su registro, aprobación y publicación en el Boletín Oficial de la Ciudad.
Y en prueba de lo acordado firman el presente:
CALENDARIO 2014 (BOME NÚM. 5153 – MARTES 5 DE AGOSTO DE 2014)
Resolución de fecha 30 de julio de 2014 del Área de Trabajo e Inmigración de la Delegación del Gobierno en Melilla por la que se registra y publica el Acuerdo derivado del Convenio Colectivo Provincial de Construcción de Melilla.
Visto la incorporación al actual Convenio Colectivo Provincial de Construcción de Melilla, con carácter exclusivo para el año 2014, de los días inhábiles y remunerados, que fue suscrito con fecha 23 de julio de 2014, por la representación de las partes y de conformidad con lo dispuesto en el artículo 90, apartados 2 y 3, de la Ley del Estatuto de los Trabajadores, Texto Refundido aprobado por el Real Decreto Legislativo 1/1995, de 24 de marzo, y en el Real Decreto 713/2010, de 28 de mayo, sobre registro y depósito de Convenios y Acuerdos Colectivos de Trabajo.
Esta Área de Trabajo e Inmigración de la Delegación del Gobierno en Melilla, en uso de las atribuciones que le confiere el REAL DECRETO 2725/1998, de 18 de diciembre, de Integración de las Direcciones Provinciales de Trabajo, Seguridad Social y Asuntos Sociales en las Delegaciones de Gobierno, por delegación del Delegado de Gobierno en Melilla, según la resolución de 11.5.2000 BOME de 25 de mayo.
ACUERDA
Primero.
Ordenar la inscripción del citado Acuerdo derivado del Convenio Colectivo en el correspondiente Registro de Convenios y Acuerdos Colectivos de Trabajo con funcionamiento a través de medios electrónicos de este Centro Directivo, con notificación a la Comisión Negociadora.
Segundo.
Disponer su publicación en el «Boletín Oficial de la Ciudad de Melilla».
Melilla, 30 de julio de 2014.
El DELEGADO DE GOBIERNO P.D. (RESOL. 11.5.2000 BOME DE 25 DE MAYO).
DIRECTORA DEL ÁREA DE TRABAJO E INMIGRACIÓN, ANTONIA BASANTE ORTIZ.
TEXTO DEL ACUERDO DEL CALENDARIO LABORAL AÑO 2014 DEL CONVENIO COLECTIVO DE LA CONSTRUCCIÓN EN MElILLA.
POR LA PATRONAL:
D. Manuel Jimeno Cerro (Presidente COADEME).
D. Mustafa Mohamed Tahar.
D. Jerónimo Pérez Hernández.
POR LOS SINDICATOS:
D. Abdeselam Mohamed Anana (UGT).
D.ª M.ª Teresa Molina Requena (UGT).
D. Juan José Muñoz Ballart (CCOO).
D. Francisco Torres Lao (CCOO).
REUNIDOS
En Melilla, a las 12 horas del día 23 de julio de 2014, en los locales de la Confederación de Empresarios de Melilla (CEME), los arriba referenciados, miembros de la Comisión Negociadora del Convenio Colectivo de Construcción de Melilla.
ACUERDAN
En cumplimiento de lo pactado en el V Convenio Colectivo General del Sector de la Construcción 2012-1016, incorporar al actual Convenio Provincial, con carácter exclusivo para el año 2014 lo siguiente:
En aplicación del artículo 68 del V Convenio Colectivo General del Sector de la Construcción 2012-2016, se acuerda declarar inhábiles y remunerados, con carácter exclusivo para el año 2014, los siguientes días:
– 2 días a la terminación del Ramadán (si alguno coincidiera en sábado o domingo o festivo, pasaría al día siguiente hábil).
– 2 días por la fiesta del Cordero (si alguno coincidiera en sábado o domingo o festivo, pasaría al día siguiente hábil).
– Los días 5 de septiembre y 26 de diciembre.
Ambas partes acuerdan remitir el presente Acuerdo, al Área Funcional de Trabajo de la Delegación de Gobierno de Melilla, para su registro, aprobación y publicación en el Boletín Oficial de la Ciudad.
Y en prueba de lo acordado firman el presente:
CALENDARIO 2015 (BOME Número 5249 – Martes, 7 de julio de 2015)
Resolución de fecha 1 de julio de 2015, relativa al Acuerdo derivado del convenio colectivo provincial del sector de la construcción para establecer el calendario laboral 2015.
Convenio o Acuerdo: CONSTRUCCIÓN.
Expediente: 52/01/0011/2015.
Fecha: 02/07/2015.
Asunto: RESOLUCIÓN DE INSCRIPCIÓN Y PUBLICACIÓN.
Destinatario: ALONSO DÍAZ DÍAZ.
Código 52000425011982..
Resolución de fecha 1 de julio de 2015 del Área de Trabajo e Inmigración de la Delegación del Gobierno en Melilla por la que se registra y publica el ACUERDO DERIVADO DEL CONVENIO COLECTIVO PROVINCIAL DEL SECTOR DE LA CONSTRUCCIÓN PARA ESTABLECER EL CALENDARIO LABORAL 2015.
Visto el texto del Acuerdo derivado del Convenio Colectivo Provincial del Sector de la Construcción para establecer el calendario laboral 2015, que fue suscrito con fecha 11 de mayo de 2015, por la representación de las partes y de conformidad con lo dispuesto en el artículo 90, apartados 2 y 3, de la Ley del Estatuto de los Trabajadores, Texto Refundido aprobado por el Real Decreto Legislativo 1/1995, de 24 de marzo, y en el Real Decreto 713/2010, de 28 de mayo, sobre registro y depósito de Convenios y Acuerdos Colectivos de Trabajo, Esta Área de Trabajo e Inmigración de la Delegación del Gobierno en Melilla, en uso de las atribuciones que le confiere el REAL DECRETO 2725/1998, de 18 de diciembre, de Integración de las Direcciones Provinciales de Trabajo, Seguridad Social y Asuntos Sociales en las Delegaciones de Gobierno, por delegación del Delegado de Gobierno en Melilla, según la Resolución de 11-5-2000 BOME de 25 de mayo.
ACUERDA
Primero.
Ordenar la inscripción del citado Acuerdo derivado del Convenio Colectivo Provincial del Sector de la Construcción para establecer el calendario laboral 2015 en el correspondiente Registro de Convenios y Acuerdos Colectivos de Trabajo con funcionamiento a través de medios electrónicos de este Centro Directivo, con notificación a la Comisión Negociadora.
Segundo.
Disponer su publicación en el «Boletín Oficial de la Ciudad de Melilla».
Melilla, 1 de julio de 2015.
El Delegado de Gobierno.
P.D. (Resol. 11.5.2000 BOME de 25 de mayo).
Directora del Área de Trabajo e Inmigración, Antonia Basante Ortiz.
TEXTO DEL ACUERDO DERIVADO DEL CONVENIO COLECTIVO DE LA CONSTRUCCIÓN EN MELILLA PARA ESTABLECER EL CALENDARIO LABORAL DEL 2015.
Por la Patronal:
D. Guillermo Remartínez Burkhalter.
D. Mustafa Mohamed Tahar.
D. Jerónimo Pérez Hernández.
Por los sindicatos:
UGT.:
D. Abdeselam Mohamed Anana (UGT).
D.ª M.ª Teresa Molina Requena (asesora).
CC.OO.:
No asiste.
REUNIDOS
En Melilla, a las 19:00 del día 11 de mayo de 2015, en los locales de la Confederación de Empresarios de Melilla (CEME), los arriba referenciados, miembros de la Comisión Negociadora del Convenio Colectivo de Construcción en Melilla.
ACUERDAN
En cumplimiento de lo pactado en el V Convenio Colectivo General del Sector de la Construcción 2012-2016, incorporar al actual Convenio Provincial, con carácter exclusivo para el año 2015 los siguientes puntos:
1.º En aplicación del artículo 68 del V Convenio General del Sector de la Construcción, 2012-2016, se acuerda declarar inhábiles y remunerados, con carácter exclusivo para el año 2015, los siguientes días:
– 2 días a la terminación del Ramadán (Si alguno de estos días coincidiera en sábado, domingo o festivo, pasará al día siguiente hábil).
– 1 día por la fiesta del Cordero, debido a que el segundo día coincide con el día de fiesta declarado por la Ciudad para esta fiesta religiosa (Si coincidiera en sábado, domingo o festivo, pasará al día siguiente hábil).
– Los días 7, 18 de septiembre y 9 de octubre.
– La jornada continuada coincidirá con el mes de ramadán para el año 2015.
– Durante la semana de Feria el jueves y el viernes se establecen como festivos, por tanto la jornada durante el período de fiestas patronales (Feria) será de lunes a miércoles de 8 horas diarias.
2.º Ambas partes acuerdan remitir el presente Acuerdo, al Área Funcional de Trabajo de la Delegación del Gobierno de Melilla, para su registro, aprobación y publicación en el Boletín Oficial de la Ciudad.
Y en prueba de lo acordado firman el presente.
REVISIÓN SALARIAL (BOME Número 5414 – Viernes, 3 de febrero de 2017)
Resolución de fecha 30 de enero de 2017, relativa al Acuerdo derivado del Convenio Colectivo del Sector de la Construcción de Melilla de la tabla salarial, para el año 2016.
Expediente: 52/01/0019/2016.
Código: 52000425011982.
Resolución de fecha 30 de enero de 2017 del Área de Trabajo e Inmigración de la Delegación del Gobierno en Melilla por la que se registra y publica el Acuerdo derivado del Convenio Colectivo del Sector de la Construcción de Melilla de la Tabla Salarial para el año 2016.
Visto la incorporación al actual Convenio Colectivo Provincial de Construcción de Melilla, con carácter exclusivo para el año 2016, de la Tabla salarial, por la representación de las partes y de conformidad con lo dispuesto en el artículo 90, apartados 2 y 3, de la Ley del Estatuto de los Trabajadores, Texto Refundido aprobado por el Real Decreto Legislativo 1/1995, de 24 de marzo, y en el Real Decreto 713/2010, de 28 de mayo, sobre registro y depósito de Convenios y Acuerdos Colectivos de Trabajo,
Esta Área de Trabajo e Inmigración de la Delegación del Gobierno en Melilla, en uso de las atribuciones que le confiere el REAL DECRETO 2725/1998, de 18 de diciembre, de Integración de las Direcciones Provinciales de Trabajo, Seguridad Social y Asuntos Sociales en las Delegaciones de Gobierno, por delegación del Delegado de Gobierno en Melilla, según la resolución de 11.5.2000 BOME de 25 de mayo.
ACUERDA
Primero.
Ordenar la inscripción del citado Acuerdo derivado del Convenio Colectivo en el correspondiente Registro de Convenios y Acuerdos Colectivos de Trabajo con funcionamiento a través de medios electrónicos de este Centro Directivo, con notificación a la Comisión Negociadora.
Segundo.
Disponer su publicación en el «Boletín Oficial de la Ciudad de Melilla».
Melilla, 30 de enero de 2017.El Delegado de GobiernoP.D. (Resol. 11.5.2000 BOME de 25 de mayo) Directora del Área de Trabajo e Inmigración, Antonia Basante Ortiz.
REVISIÓN SALARIAL (BOME Número 5623 – Martes 5 de febrero de 2019)
RESOLUCIÓN DE FECHA 31 DE ENERO DE 2019, RELATIVA A ACUERDO DERIVADO DEL CONVENIO COLECTIVO DEL SECTOR DE LA CONSTRUCCIÓN DE MELILLA DE LA TABLA SALARIAL, PARA EL AÑO 2018.
ACTA DEL ACUERDO DE LA COMISIÓN NEGOCIADORA DEL CONVENIO COLECTIVO DE CONSTRUCCIÓN DE LA CIUDAD DE MELILLA.
REUNIÓN CELEBRADA EL 31 de julio de 2018.
En Melilla, a las 12,00 horas del día 31 de julio de 2018, en los locales de la CEME, se reúnen las siguientes personas:
Por la Asociación de Empresarial: Constructores Asociados de Melilla (COADEME).
Guillermo Remartínez Burkharter (Presidente de COADEME).
Por los Sindicatos:
Abderraman El Fasi Mohatar (UGT).
Mimon Ahmed Mimon.
Hassan Doudouh (CC.OO.).
Juan Pascual Sánchez.
En el transcurso de la reunión y en cumplimiento de lo pactado en el VI Convenio Colectivo General del Sector de la Construcción (CGSC) deciden incorporar al actual Convenio Provincial, con carácter exclusivo para el año 2018, los siguientes acuerdos:
PRIMERO. Ámbito Temporal.
Este acuerdo estará vigente desde el momento de su firma hasta el 31 de diciembre de 2018, y tendrá carácter retroactivo desde el 1 de enero de 2018.
SEGUNDO. En aplicación del artículo 67 del VI Convenio Colectivo General del Sector de la Construcción, se acuerda declarar inhábiles y remunerados, con carácter exclusivo para el año 2018, los siguientes días:
– 2 días a la terminación del Ramadán.
– 2 días por las fiestas del Cordero.
– Los días 30 de abril, 10 de septiembre, 2 de noviembre y 7 de diciembre.
TERCERO.- En aplicación del artículo 52 de VI convenio General del Sector de la Construcción donde se fijaba un incremento salarial para el año 2017 del 1,9 por ciento y del punto primero del acta de la reunión cuarta de la comisión negociadora del VI Convenio General del sector de la Construcción (BOE 9 de enero de 2018) donde se establece un incremento salarial para el año 2018 del 2 por ciento se acuerdan las adjuntas tablas salariales de los ejercicios 2017 y 2018 así como la tabla salarial definitiva del año 2018 de remuneración mínima bruta anual para el año de 2018.
Los atrasos se abonarán, en todo caso, antes del 28 de febrero de 2019.
CUARTO. – Para dar cumplimiento a lo previsto en el artículo 85.2.d del Texto Refundido de la Ley del Estatuto de los Trabajadores, las partes signatarias hacen constar expresamente que el presente Acuerdo no precisa denuncia previa para su total extinción el 31 de diciembre del año 2018.
Y sin otros asuntos que tratar se levanta la sesión. en el lugar y fecha al principio citados, firmando los presentes en prueba de conformidad.
ACUERDO (BOME Número 5623 – Martes 5 de febrero de 2019)
Convenio o Acuerdo: CONSTRUCCIÓN.
Expediente: 52/01/0002/2019.
Fecha: 31/01/2019.
Asunto: RESOLUCIÓN DE INSCRIPCIÓN Y PUBLICACIÓN.
Destinatario: FRANCISCO JESÚS DÍAZ DÍAZ.
Código 52000425011982.
Resolución de fecha 31 de enero de 2019 del Área de Trabajo e Inmigración de la Delegación del Gobierno en Melilla por la que se registra y publica el Acuerdo derivado del Convenio Colectivo del Sector de la Construcción de Melilla de la Tabla Salarial para el año 2018.
Visto el texto del Acta del Acuerdo de la Comisión Negociadora del Convenio Colectivo de Construcción de la Ciudad Autónoma de Melilla, en la que se contiene la incorporación al actual Convenio Colectivo Provincial de Construcción de Melilla, con carácter exclusivo para el año 2018, la Tabla salarial, y declarar inhábiles y remunerados los: 2 días a la terminación del Ramadán, 2 días festivos del Cordero, y los días 30 de abril, 10 de septiembre, 2 de noviembre y 7 de diciembre, que fue suscrito con fecha 31 de julio de 2018, de una parte por la Asociación Empresarial de Constructores Asociados de Melilla (COADEME), en representación de las empresas del sector, y, de otra por los sindicatos UGT y CC.OO, en representación de los trabajadores, y de conformidad con lo dispuesto en el artículo 90, apartados 2 y 3, de la Ley del Estatuto de los Trabajadores, Texto Refundido aprobado por el Real Decreto Legislativo 2/2015, de 23 de octubre, y en el Real Decreto 713/2010, de 28 de mayo, sobre registro y depósito de Convenios y Acuerdos Colectivos de Trabajo,
La Delegada del Gobierno en Melilla, es competente para resolver el presente expediente a tenor de lo dispuesto en el REAL DECRETO 2725/1998, de 18 de diciembre, artículo 4 apartado 2: «Los Delegados del Gobierno en la ciudades de Ceuta y Melilla asumirán las competencias resolutorias o de emisión de propuestas de resolución de los respectivos Directores de Trabajo e Inmigración de las Delegaciones y Subdelegaciones del Gobierno».
Por Resolución del Delegado del Gobierno en Melilla, de fecha 11 de mayo de 2000, BOME 15 de abril, se delegó en el Director del Área de Trabajo y Asuntos Sociales, hoy Área de Trabajo e Inmigración de esta Delegación del Gobierno en su ámbito territorial de actuación, la competencia de resolver: Expedientes de Regulación de Empleo, Registro y Depósito de Convenios Colectivos y Registro e Inscripción de Cooperativas.
ACUERDA.
Primero.
Ordenar la inscripción de la citada Acta en el correspondiente Registro de Convenios y Acuerdos Colectivos de Trabajo con funcionamiento a través de medios electrónicos de este Centro Directivo, con notificación a la Comisión Negociadora.
Segundo.
Disponer su publicación en el «Boletín Oficial de la Ciudad de Melilla».
Melilla, a 31 de enero de 2019,
El Director del Área de Trabajo e Inmigración,
Manuel Vázquez Neira.
REVISIÓN SALARIAL Y CALENDARIO (BOME Número 5639 – Martes 2 de abril de 2019)
RESOLUCIÓN DE FECHA 28 DE MARZO DE 2019, RELATIVA AL ACUERDO DERIVADO DEL CONVENIO COLECTIVO DEL SECTOR DE LA CONSTRUCCIÓN DE MELILLA DE LAS TABLAS SALARIALES PARA EL AÑO 2019, 2020, 2021 Y LOS DÍAS INHÁBILES REMUNERADOS PARA EL AÑO 2019.
Resolución de fecha 28 de marzo de 2019 del Área de Trabajo e Inmigración de la Delegación del Gobierno en Melilla por la que se registra y publica el Acuerdo derivado del Convenio Colectivo del Sector de la Construcción de Melilla de las Tabla Salariales para el año 2019, 2020 y 20121 y los días inhábiles remunerados para el año 2019.
Visto el texto del Acta del Acuerdo de la Comisión Negociadora del Convenio Colectivo de Construcción de la Ciudad Autónoma de Melilla que fue suscrito, con fecha 6 de marzo de 2019, de una parte por la Asociación Empresarial de Constructores Asociados de Melilla (COADEME), en representación de las empresas del sector, y, de otra por los sindicatos UGT y CC.OO, en representación de los trabajadores, por el que se aprueban las tablas salariales para los años 2019, 2020 y 2021, se acuerda con carácter exclusivo para el año 2019, declarar inhábiles y remunerados los días: 5, 6 y 7 de junio; 13, 14 y 16 de y la jornada laboral semanal durante las fiestas patronales será de 24 horas; y, de conformidad con lo dispuesto en el artículo 90, apartados 2 y 3, de la Ley del Estatuto de los Trabajadores, Texto Refundido aprobado por el Real Decreto Legislativo 2/2015, de 23 de octubre, y en el Real Decreto 713/2010, de 28 de mayo, sobre registro y depósito de Convenios y Acuerdos Colectivos de Trabajo,
La Delegada del Gobierno en Melilla, es competente para resolver el presente expediente a tenor de lo dispuesto en el REAL DECRETO 2725/1998, de 18 de diciembre, artículo 4 apartado 2: «Los Delegados del Gobierno en la ciudades de Ceuta y Melilla asumirán las competencias resolutorias o de emisión de propuestas de resolución de los respectivos Directores de Trabajo e Inmigración de las Delegaciones y Subdelegaciones del Gobierno».
Por Resolución del Delegado del Gobierno en Melilla, de fecha 11 de mayo de 2000, BOME 15 de abril, se delegó en el Director del Área de Trabajo y Asuntos Sociales, hoy Área de Trabajo e Inmigración de esta Delegación del Gobierno en su ámbito territorial de actuación, la competencia de resolver: Expedientes de Regulación de Empleo, Registro y Depósito de Convenios Colectivos y
Registro e Inscripción de Cooperativas.
ACUERDA
Primero.
Ordenar la inscripción de la citada Acta en el correspondiente Registro de Convenios y Acuerdos Colectivos de Trabajo con funcionamiento a través de medios electrónicos de este Centro Directivo, con notificación a la Comisión Negociadora.
Segundo.
Disponer su publicación en el «Boletín Oficial de la Ciudad de Melilla».
Melilla, 28 de marzo de 2019
Director Área de Trabajo e Inmigración,
Manuel Vázquez Neira.
ACTA DEL ACUERDO DE LA COMISIÓN NEGOCIADORA DEL CONVENIO COLECTIVO DE CONSTRUCCIÓN DE LA CIUDAD DE MELILLA.
REUNIÓN CELEBRADA EL 6 DE MARZO DE 2019.
En Melilla, a las 19,00 horas del día 6 de marzo de 2019, en los locales de la CEME, se reúnen las siguientes personas:
Por la Asociación de Empresarial: Constructores Asociados de Melilla (COADEME).
Guillermo Remartinez Burkhalter (Presidente de COADEME).
Asesor: Daniel López Jiménez.
Por los Sindicatos:
Abderrahman El Fahsi Mokhtar (UGT).
Mimon Ahmed Mimon. (UGT).
Aníbal Palma García (CC.OO.).
Asesores: José Meis Padín y Hassan Doudouh.
En el transcurso de la reunión y en cumplimiento de lo pactado en el VI Convenio Colectivo General del Sector de la Construcción (CGSC) deciden incorporar al actual Convenio Provincial, los siguientes acuerdos:
PRIMERO. Ámbito Temporal.
Este acuerdo estará vigente desde el momento de su firma hasta el 31 de diciembre de 2021, y tendrá carácter retroactivo desde el 1 de enero de 2019.
SEGUNDO. En aplicación del artículo 67 del VI Convenio Colectivo General del Sector de la Construcción, se acuerda declarar inhábiles y remunerados, con carácter exclusivo para el año 2019, los siguientes días:
– 5, 6 y 7 de junio.
– 13, 14 y 16 de agosto.
Asimismo, se acuerda que la jornada laboral semanal durante las fiestas patronales sea de 24 horas.
TERCERO.- En aplicación del punto primero del acta de la reunión sexta de la Comisión Negociadora del VI Convenio General del sector de la Construcción, de fecha 25 de enero de 2019, donde se establece un incremento salarial para el año 2019 del 2,25 por ciento, para el año 2020 del 2,25 por ciento y para el año 2021 del 2,5 por ciento, se acuerdan las adjuntas tablas salariales de los ejercicios 2019, 2020 y 2021 así como la tabla salarial definitiva de los años 2019, 2020 y 2021 de remuneración mínima bruta anual.
Los atrasos se abonarán, en todo caso, antes del 31 de mayo de 2019.
CUARTO. – Para dar cumplimiento a lo previsto en el artículo 85.2.d del Texto Refundido de la Ley del Estatuto de los Trabajadores, las partes signatarias hacen constar expresamente que el presente Acuerdo no precisa denuncia previa para su total extinción el 31 de diciembre del año 2021.
QUINTO: Autorizar a Jesús Ordóñez Gámez par el depósito de la presente acta ante la autoridad laboral competente.
Y sin otros asuntos que tratar se levanta la sesión, en el lugar y fecha al principio citados, firmando los presentes en prueba de conformidad.
CALENDARIO 2020 Y FINIQUITO (BOME Número 5731 – Martes 18 de febrero de 2020)
RESOLUCIÓN DE FECHA 11 DE FEBRERO DE 2020, RELATIVA A ACUERDO DE LA COMISIÓN NEGOCIADORA DEL CONVENIO COLECTIVO DE CONSTRUCCIÓN DE LA CIUDAD DE MELILLA APROBANDO EL CALENDARIO LABORAL 2020 Y EL MODELO DE FINIQUITO.
Resolución de fecha 11 de febrero de 2020 del Área de Trabajo e Inmigración de la Delegación del Gobierno en Melilla por la que se registra y publica el Acta del Acuerdo de la Comisión Negociadora del Convenio Colectivo de Construcción de la Ciudad de Melilla aprobando el calendario laboral 2020 y el modelo de recibo de finiquito.
Visto el texto del Acta del Acuerdo de la Comisión Negociadora del Convenio Colectivo de Construcción de la Ciudad de Melilla suscrito por la representación empresarial Constructores Asociados de Melilla (COADEME) y la representación social UGT y CC.OO, el día 31.01.2020, relativo al calendario laboral para el año 2020 y al modelo de recibo del finiquito y de conformidad con lo dispuesto en el artículo 90, apartados 2 y 3, de la Ley del Estatuto de los Trabajadores, Texto Refundido aprobado por el Real Decreto Legislativo 2 /2015, de 23 de octubre, y en el Real Decreto 713/2010, de 28 de mayo, sobre registro y depósito de Convenios y Acuerdos Colectivos de Trabajo,
La Delegada del Gobierno en Melilla, es competente para resolver el presente expediente a tenor de lo dispuesto en el Real Decreto 2725/1998, de 18 de diciembre, artículo 4 apartado 2: «Los Delegados del Gobierno en la ciudades de Ceuta y Melilla asumirán las competencias resolutorias o de emisión de propuestas de resolución de los respectivos Directores de Trabajo e Inmigración de las Delegaciones y Subdelegaciones del Gobierno».
Por Resolución del Delegado del Gobierno en Melilla, de fecha 11 de mayo de 2000, BOME 15 de abril, se delegó en el Director del Área de Trabajo y Asuntos Sociales, hoy Área de Trabajo e Inmigración de esta Delegación del Gobierno en su ámbito territorial de actuación, la competencia de resolver: Expedientes de Regulación de Empleo, Registro y Depósito de Convenios Colectivos y Registro e Inscripción de Cooperativas.
ACUERDA
Primero.
Ordenar la inscripción de la citada Acta del Acuerdo de la Comisión Negociadora en el correspondiente Registro de Convenios y Acuerdos Colectivos de Trabajo con funcionamiento a través de medios electrónicos de este Centro Directivo, con notificación a la Comisión Negociadora.
Segundo.
Disponer su publicación en el «Boletín Oficial de la Ciudad de Melilla».
Melilla, 11 de febrero de 2020.
La Directora del Área de Trabajo e Inmigración,
Elena Nieto Delgado.
CORRECCIÓN CALENDARIO Y FINIQUITO (BOME Número 5732 – Viernes 21 de febrero de 2020)
NUEVA PUBLICACIÓN DE LA RESOLUCIÓN DE FECHA 11 DE FEBRERO DE 2020, RELATIVA A ACUERDO DE LA COMISIÓN NEGOCIADORA DEL CONVENIO COLECTIVO DE CONSTRUCCIÓN DE LA CIUDAD DE MELILLA APROBANDO EL CALENDARIO LABORAL 2020 Y EL MODELO DE RECIBO DE FINIQUITO.
Habiéndose observado en la publicación del BOME nº 5731 de fecha 18/02/2020, que no se han publicado los documentos que se acompañaban con la Resolución de fecha 11 de febrero de los corrientes de esta Área de Trabajo e Inmigración de la Delegación del Gobierno, se interesa se proceda de nuevo a la publicación integra de la resolución indicada con la documentación que se acompañaba, Acta del Acuerdo, Calendario Laboral 2020 y modelo de recibo de finiquito.
Melilla, 19 de febrero de 2020.
La Directora del Área de Trabajo.
Fdo.: Elena Nieto Delgado.
RESOLUCIÓN DE FECHA 11 DE FEBRERO DE 2020 DEL ÁREA DE TRABAJO E INMIGRACIÓN DE LA DELEGACIÓN DEL GOBIERNO EN MELILLA POR LA QUE SE REGISTRA Y PUBLICA EL ACTA DEL ACUERDO DE LA COMISIÓN NEGOCIADORA DEL CONVENIO COLECTIVO DE CONSTRUCCIÓN DE LA CIUDAD DE MELILLA APROBANDO EL CALENDARIO LABORAL 2020 Y EL MODELO DE RECIBO DE FINIQUITO.
Visto el texto del Acta del Acuerdo de la Comisión Negociadora del Convenio Colectivo de Construcción de la Ciudad de Melilla suscrito por la representación empresarial Constructores Asociados de Melilla (COADEME) y la representación social UGT y CC.OO, el día 31.01.2020, relativo al calendario laboral para el año 2020 y al modelo de recibo del finiquito y de conformidad con lo dispuesto en el artículo 90, apartados 2 y 3, de la Ley del Estatuto de los Trabajadores, Texto Refundido aprobado por el Real Decreto Legislativo 2 /2015, de 23 de octubre, y en el Real Decreto 713/2010, de 28 de mayo, sobre registro y depósito de Convenios y Acuerdos Colectivos de Trabajo, La Delegada del Gobierno en Melilla, es competente para resolver el presente expediente a tenor de lo dispuesto en el Real Decreto 2725/1998, de 18 de diciembre, artículo 4 apartado 2: «Los Delegados del Gobierno en la ciudades de Ceuta y Melilla asumirán las competencias resolutorias o de emisión de propuestas de resolución de los respectivos Directores de Trabajo e Inmigración de las Delegaciones y Subdelegaciones del Gobierno».
Por Resolución del Delegado del Gobierno en Melilla, de fecha 11 de mayo de 2000, BOME 15 de abril, se delegó en el Director del Área de Trabajo y Asuntos Sociales, hoy Área de Trabajo e Inmigración de esta Delegación del Gobierno en su ámbito territorial de actuación, la competencia de resolver: Expedientes de Regulación de Empleo, Registro y Depósito de Convenios Colectivos y Registro e Inscripción de Cooperativas.
ACUERDA
Primero.
Ordenar la inscripción de la citada Acta del Acuerdo de la Comisión Negociadora en el correspondiente Registro de Convenios y Acuerdos Colectivos de Trabajo con funcionamiento a través de medios electrónicos de este Centro Directivo, con notificación a la Comisión Negociadora.
Segundo. Disponer su publicación en el «Boletín Oficial de la Ciudad de Melilla».
Melilla, 11 de febrero de 2020.
La Directora del Área de Trabajo e Inmigración, Elena Nieto Delgado.
ACTA DEL ACUERDO DE LA COMISIÓN NEGOCIADORA DEL CONVENIO COLECTIVO DE CONSTRUCCIÓN DE LA CIUDAD DE MELILLA.
REUNIÓN CELEBRADA EL 31 DE ENERO DE 2020.
En Melilla, a las 18,30 horas del día 31 de enero de 2020, en los locales de la CEME, se reúnen las siguientes personas:
Por la Asociación de Empresarial: Constructores Asociados de Melilla (COADEME).
Guillermo Remartinez Burkhalter (Presidente de COADEME).
Francisco García Sánchez (Vicepresidente de COADEME).
Asesor: Daniel López Jiménez.
Por los Sindicatos:
Abderrahman El Fahsi Mokhtar (UGT).
Mimon Ahmed Mimon. (UGT).
Aníbal Palma García (CC.OO.) Asesores: José Meis Padín y Hassan Doudouh.
En el transcurso de la reunión y en cumplimiento de lo pactado en el VI Convenio Colectivo General del Sector de la Construcción (CGSC) deciden incorporar al actual Convenio Provincial, los siguientes acuerdos:
PRIMERO. Ámbito Temporal.
Este acuerdo estará vigente desde el momento de su firma hasta el 31 de diciembre de 2020, y tendrá carácter retroactivo desde el I de enero de 2020.
El apartado tercero tendrá la vigencia establecida en el VI Convenio General del Sector de la Construcción
SEGUNDO. En aplicación del artículo 67 del VI Convenio Colectivo General del Sector de la Construcción, se acuerda declarar inhábiles y remunerados, con carácter exclusivo para el año 2020, los siguientes días:
– 22 y 25 de mayo.
– 30 de julio.
– de agosto.
– 7 de septiembre.
– 24 y 31 de diciembre.
Asimismo, se acuerda establecer una jornada intensiva de 7 horas diarias del 6 al 28 de agosto.
Coincidiendo con las fiestas patronales, del 31 de agosto al 4 de septiembre la jornada será de 25 horas semanales, pudiendo establecerse su distribución de común acuerdo entre empresas y trabajadores.
TERCERO.- Para dar cumplimiento al artículo 95 del VI Convenio General del Sector de la Construcción se acuerda publicar el modelo de recibo de finiquito que obligatoriamente deberán utilizar todas las empresas afectadas por dicho convenio y que figura como anexo I
CUARTO.- Para dar cumplimiento a lo previsto en el artículo 85.2.d del Texto Refundido de la Ley del Estatuto de los Trabajadores, las partes signatarias hacen constar expresamente que el presente Acuerdo no precisa denuncia previa para su total extinción el 31 de diciembre del año 2020.
QUINTO: Francisco Díaz Díaz, Secretario General de UGT Melilla para el depósito del presente acta ante la autoridad laboral competente.
Y sin otros asuntos que tratar se levanta la sesión, en el lugar y fecha al principio citados, firmando los presentes en prueba de conformidad.
CALENDARIO 2021 (BOME Número 5836, Viernes 19 de febrero de 2021)
RESOLUCIÓN DE FECHA 12 DE FEBRERO DE 2021, RELATIVA AL REGISTRO Y PUBLICACIÓN DEL ACTA DEL ACUERDO DE LA COMISIÓN NEGOCIADORA DEL CONVENIO COLECTIVO DE CONSTRUCCIÓN DE LA CIUDAD AUTÓNOMA DE MELILLA, APROBANDO EL CALENDARIO LABORAL 2021.
Resolución de fecha 12 de febrero de 2021 del Área de Trabajo e Inmigración de la Delegación del Gobierno en Melilla por la que se registra y publica el Acta del Acuerdo de la Comisión Negociadora del Convenio Colectivo de Construcción de la Ciudad de Melilla, aprobando el calendario laboral 2021.
Visto el texto del Acta del Acuerdo de la Comisión Negociadora del Convenio Colectivo de Construcción de la Ciudad de Melilla suscrito por la representación empresarial Constructores Asociados de Melilla (COADEME) y la representación social UGT y CC.OO, el día 28/02/2021, relativo al calendario laboral para el año y de conformidad con lo dispuesto en el artículo 90, apartados 2 y 3, de la Ley del Estatuto de los Trabajadores, Texto Refundido aprobado por el Real Decreto Legislativo 2/2015, de 23 de octubre, y en el Real Decreto 713/2010, de 28 de mayo, sobre registro y depósito de Convenios y Acuerdos Colectivos deTrabajo,
La Delegada del Gobierno en Melilla, es competente para resolver el presente expediente a tenor de lo dispuesto en el Real Decreto 2725/1998, de 18 de diciembre, artículo 4 apartado 2: «Los Delegados del Gobierno en la ciudades de Ceuta y Melilla asumirán las competencias resolutorias o de emisión de propuestas de resolución de los respectivos Directores de Trabajo e Inmigración de las Delegaciones y Subdelegaciones del Gobierno».
Por Resolución del Delegado del Gobierno en Melilla, de fecha 11 de mayo de 2000, BOME 15 de abril, se delegó en el Director del Área de Trabajo y Asuntos Sociales, hoy Área de Trabajo e Inmigración de esta Delegación del Gobierno en su ámbito territorial de actuación, la competencia de resolver: Expedientes de Regulación de Empleo, Registro y Depósito de Convenios Colectivos y Registro e Inscripción de Cooperativas.
ACUERDA
Primero.
Ordenar la inscripción de la citada Acta del Acuerdo de la Comisión Negociadora en el correspondiente Registro de Convenios y Acuerdos Colectivos de Trabajo con funcionamiento a través de medios electrónicos de este Centro Directivo, con notificación a la Comisión Negociadora.
Segundo.
Disponer su publicación en el «Boletín Oficial de la Ciudad de Melilla».
Melilla, 12 de febrero de 2021
LA DIRECTORA DEL ÁREA DE TRABAJO E INMIGRACIÓN,
ELENA NIETO DELGADO
ACTA DEL ACUERDO DE LA COMISIÓN NEGOCIADORA DEL CONVENIO COLECTIVO DE CONSTRUCCIÓN DE LA CIUDAD DE MELILLA
REUNIÓN CELEBRADA EL 28 DE ENERO DE 2021
En Melilla , a las 18.00 horas del día 28 de enero de 2021, en los locales de la CEME, se reúnen las siguientes personas:
Por la Asociación de Empresarial: Constructores Asociados de Melilla (COADEME).
Francisco García Sánchez (Vicepresidente de COADEME)
Por los Sindicatos:
Abderrahman El Fahsi Mokhtar (UGT)
Mimon Ahrned Mimon . (UGT)
Hassan Boudouh (CC.OO.)
Asesor: José Meis Padín
En el transcurso de la reunión y en cumplimiento de lo pactado en el VI Convenio Colectivo General del Sector de la Construcción (CGSC) deciden incorporar al actual Convenio Provincial , los siguientes acuerdos:
PRIMERO. Ámbito Temporal.
Este acuerdo estará vigente desde el momento de su firma hasta el 31 de diciembre de 2021, y tendrá carácter retroactivo desde el 1 de enero de 2021.
SEGUNDO. En aplicación del artículo 67 del VI Convenio Colectivo General del Sector de la Construcción. se acuerda declarar inhábiles y remunerados, con carácter exclusivo para el año 2020. los siguientes días:
– 19 de marzo
– 13 de mayo
– 22 y 23 de julio.
– 7, 24 y 31 de diciembre
Si la finalización del mes de Ramadán coincidiera en el 13 de mayo, quedará fijado como inhábil el 14 de mayo.
Si la finalización fuera el 12 de mayo, este día quedara establecido corno inhábil.
Asimismo, se acuerda establecer una jornada intensiva de 7 horas diarias del 5 al 27 de agosto.
Coincidiendo con las fiestas patronales, del 30 de agosto al 3 de septiembre la jornada será de 25 horas semanales, pudiendo establecerse su distribución de común acuerdo entre empresas y trabajadores.
CUARTO.- Para dar cumplimiento a lo previsto en el artículo 85.2.d del Texto Refundido de la Ley del Estatuto de los Trabajadores, las partes signatarias hacen constar expresamente que el presente Acuerdo no precisa denuncia previa para su total extinción el 31 de diciembre del año 2021.
QUINTO: Autorizar a Francisco Díaz Díaz, Secretario General de UGT Melilla para el depósito del presente acta ante la autoridad laboral competente.
Y sin otros asuntos que tratar se levanta la sesión, en el lugar y fecha al principio citados, firmando los presentes en prueba de conformidad.
CALENDARIO 2022 (BOME Número 5942, Viernes 25 de febrero de 2022)
RESOLUCIÓN DE FECHA 18 DE FEBRERO DE 2022, POR LA QUE SE REGISTRA Y PUBLICA EL ACTA DEL ACUERDO DE LA COMISIÓN NEGOCIADORA DEL CONVENIO COLECTIVO DE CONSTRUCCIÓN DE LA CIUDAD DE MELILLA, APROBANDO EL CALENDARIO LABORAL 2022.
Resolución de fecha 18 de febrero de 2022 del Área de Trabajo e Inmigración de la Delegación del Gobierno en Melilla por la que se registra y publica el Acta del Acuerdo de la Comisión Negociadora del Convenio Colectivo de Construcción de la Ciudad de Melilla, aprobando el calendario laboral 2022.
Visto el texto del Acta del Acuerdo de la Comisión Negociadora del Convenio Colectivo de Construcción de la Ciudad de Melilla suscrito por la representación empresarial Constructores Asociados de Melilla (COADEME) y la representación social UGT y CC.OO, el día 18/01/2022, relativo al calendario laboral para el año y de conformidad con lo dispuesto en el artículo 90, apartados 2 y 3, de la Ley del Estatuto de los Trabajadores, Texto Refundido aprobado por el Real Decreto Legislativo 2/2015, de 23 de octubre, y en el Real Decreto 713/2010, de 28 de mayo, sobre registro y depósito de Convenios y Acuerdos Colectivos de Trabajo,
La Delegada del Gobierno en Melilla, es competente para resolver el presente expediente a tenor de lo dispuesto en el Real Decreto 2725/1998, de 18 de diciembre, artículo 4 apartado 2: «Los Delegados del Gobierno en la ciudades de Ceuta y Melilla asumirán las competencias resolutorias o de emisión de propuestas de resolución de los respectivos Directores de Trabajo e Inmigración de las Delegaciones y Subdelegaciones del Gobierno».
Por Resolución del Delegado del Gobierno en Melilla, de fecha 11 de mayo de 2000, BOME 15 de abril, se delegó en el Director del Área de Trabajo y Asuntos Sociales, hoy Área de Trabajo e Inmigración de esta Delegación del Gobierno en su ámbito territorial de actuación, la competencia de resolver: Expedientes de Regulación de Empleo, Registro y Depósito de Convenios Colectivos y Registro e Inscripción de Cooperativas.
ACUERDA
Primero.
Ordenar la inscripción de la citada Acta del Acuerdo de la Comisión Negociadora en el correspondiente Registro de Convenios y Acuerdos Colectivos de Trabajo con funcionamiento a través de medios electrónicos de este Centro Directivo, con notificación a la Comisión Negociadora.
Segundo.
Disponer su publicación en el «Boletín Oficial de la Ciudad de Melilla».
Melilla, 18 de febrero de 2022.
LA DIRECTORA DEL ÁREA DE TRABAJO E INMIGRACIÓN,
ELENA NIETO DELGADO.
ACTA DEL ACUERDO DE LA COMISIÓN NEGOCIADORA DEL CONVENIO COLECTIVO DE CONSTRUCCIÓN DE LA CIUDAD DE MELILLA.
REUNIÓN CELEBRADA EL 18 DE ENERO DE 2022.
En Melilla, a las 18,00 horas del día 18 de enero de 2022, en los locales de la CEME, se reúnen las siguientes personas:
Por la Asociación de Empresarial: Constructores Asociados de Melilla (COADEME).
Guillermo Remartínez Burkhalter (Presidente de COADEME).
Francisco García Sánchez (Vicepresidente de COADEME).
Daniel López Jiménez (Asesor COADEME).
Por los Sindicatos:
Abderrahman El Fahsi El Mokhtar (UGT-FICA).
Mimon Ahmed Mimon. (UGT-FICA).
José Ouviña Mantel (Asesor UGT-FICA).
Rogelio Luis Mena Segura (Asesor UGT- FICA).
Hassan Doudouh Kasim (CC.OO.).
José Meis Padín (Asesor CC.OO.).
Rachid Abdelkader Mohamed (Asesor CC.OO.).
En el transcurso de la reunión y en cumplimiento de lo pactado en el VI Convenio Colectivo General del Sector de la Construcción (CGSC) deciden incorporar al actual Convenio Provincial, los siguientes acuerdos:
PRIMERO. Ámbito Temporal.
Este acuerdo estará vigente desde el momento de su firma hasta el 31 de diciembre de 2022, y tendrá carácter retroactivo desde el 1 de enero de 2022.
SEGUNDO. En aplicación del artículo 67 del VI Convenio Colectivo General del Sector de la Construcción, se acuerda declarar inhábiles y remunerados, con carácter exclusivo para el año 2022, los siguientes días:
– 7 de enero.
– 2 de mayo.
– 12 y 13 de julio.
– 31 de octubre.
– 9 de diciembre.
Asimismo, se acuerda establecer una jornada intensiva de 7 horas diarias del 3 al 26 de agosto.
Coincidiendo con las fiestas patronales, del 29 de agosto al 2 de septiembre la jornada será de 25 horas semanales, pudiendo establecerse su distribución de común acuerdo entre empresas y trabajadores.
Aquellos trabajadores que no hayan disfrutado como día inhábil el día 7 de enero, tendrán derecho a su disfrute el día 7 de diciembre.
CUARTO: Para dar cumplimiento a lo previsto en el artículo 85.2.d del Texto Refundido de la Ley del Estatuto de los Trabajadores, las partes signatarias hacen constar expresamente que el presente Acuerdo no precisa denuncia previa para su total extinción el 31 de diciembre del año 2022.
QUINTO: Autorizar a Francisco Díaz Díaz, Secretario General de UGT Melilla para el depósito del presente acta ante la autoridad laboral competente.
Y sin otros asuntos que tratar se levanta la sesión, en el lugar y fecha al principio citados, firmando los presentes en prueba de conformidad.
REVISIÓN SALARIAL (BOME Número 6026, Viernes 16 de diciembre de 2022)
RESOLUCIÓN DE FECHA 12 DE DICIEMBRE DE 2022, POR LA QUE SE REGISTRA Y PUBLICA EL ACTA DEL ACUERDO DE LA COMISIÓN NEGOCIADORA DEL CONVENIO COLECTIVO DE LA CONSTRUCCIÓN DE LA CIUDAD AUTÓNOMA DE MELILLA.
Resolución de fecha 12 de diciembre de 2022 del Área de Trabajo e Inmigración de la Delegación del Gobierno en Melilla por la que se registra y publica el «Acta del Acuerdo de la Comisión Negociadora del Convenio Colectivo de la Construcción de la Ciudad Autónoma de Melilla».
Visto el texto del Acta del Acuerdo de la Comisión Negociadora del Convenio Colectivo de la Construcción de la Ciudad Autónoma de Melilla, que fue suscrito con fecha 18 de noviembre de 2022, de una parte por La Asociación Empresarial Constructores Asociados de Melilla (COADEME), en representación de las empresas del sector, y de otra por los sindicatos UGT-FICA y CC.OO, en representación de los trabajadores, por el que se acuerdan y aprueban las tablas salariales para los años 2022, 2023 y 2024, jornada de verano y plan de pensiones; y de conformidad con lo dispuesto en el artículo 90, apartados 2 y 3, de la Ley del Estatuto de los Trabajadores, Texto Refundido aprobado por el Real Decreto Legislativo 2/2015, de 23 de octubre, y en el Real Decreto 713/2010, de 28 de mayo, sobre registro y depósito de Convenios y Acuerdos Colectivos de Trabajo,
La Delegada del Gobierno en Melilla, es competente para resolver el presente expediente a tenor de lo dispuesto en el REAL DECRETO 2725/1998, de 18 de diciembre, artículo 4 apartado 2: «Los Delegados del Gobierno en la ciudades de Ceuta y Melilla asumirán las competencias resolutorias o de emisión de propuestas de resolución de los respectivos Directores de Trabajo e Inmigración de las Delegaciones y Subdelegaciones del Gobierno».
Por Resolución del Delegado del Gobierno en Melilla, de fecha 11 de mayo de 2000, BOME 15 de abril, se delegó en el Director del Área de Trabajo y Asuntos Sociales, hoy Área de Trabajo e Inmigración de esta Delegación del Gobierno en su ámbito territorial de actuación, la competencia de resolver: Expedientes de Regulación de Empleo, Registro y Depósito de Convenios Colectivos y Registro e Inscripción de Cooperativas.
ACUERDA
Primero.- Ordenar la inscripción de la citada Acta en el correspondiente Registro de convenios y acuerdos colectivos de trabajo con funcionamiento a través de medios electrónicos de este Centro Directivo, con notificación a la Comisión Negociadora.
Segundo.- Disponer su publicación en el «Boletín Oficial de la Ciudad de Melilla».
Melilla, 12 de diciembre de 2022.
LA DIRECTORA DEL ÁREA DE TRABAJO E INMIGRACIÓN,
ELENA NIETO DELGADO.
ACTA DEL ACUERDO DE LA COMISIÓN NEGOCIADORA DEL CONVENIO COLECTIVO DE CONSTRUCCIÓN DE LA CIUDAD DE MELILLA
REUNIÓN CELEBRADA EL 18 DE NOVIEMBRE DE 2022.
En Melilla, a las 18,00 horas del día 18 de noviembre de 2022, en los locales de la CEME, se reúnen las siguientes personas:
Por la Asociación de Empresarial: Constructores Asociados de Melilla (COADEME).
Guillermo Remartínez Burkhalter (Presidente de COADEME)
Francisco García Sánchez (Vicepresidente de COADEME)
Por los Sindicatos:
Abderrahman El Fahsi El Mokhtar (UGT-FICA)
Mimon Ahmed Mimon. (UGT-FICA)
Francisco López Fernández (CC.OO.)
En el transcurso de la reunión y en cumplimiento de lo pactado en el VII Convenio Colectivo General del Sector de la Construcción (CGSC) deciden incorporar al actual Convenio Provincial, los siguientes acuerdos:
PRIMERO. Ámbito Temporal.
Este acuerdo estará vigente desde el momento de su firma hasta el 31 de diciembre de 2024, y tendrá carácter retroactivo desde el 1 de enero de 2022.
SEGUNDO. Incremento salarial para 2022, 2023, 2024 Y el calendario laboral para el 2023
1. Las tablas provinciales del año 2021 y vigentes durante el ejercicio se actualizarán en un 3,00 por 100 con efectos desde el día 1 de enero de 2022, las vigentes en 2022 se actualizarán en un 3,00 por ciento con efectos del día 1 de enero de 2023 y las vigentes en 2023 se actualizarán en un 2,75 por ciento con efectos del día 1 de enero de 2024.
2. El importe de las dietas y medias dietas de acuerdo con lo dispuesto en el artículo 82.6 de este Convenio se fijará en el marco de los respectivos convenios colectivos provinciales o, en su caso, autonómicos.
3. Las tablas salariales de los convenios provinciales de los años 2023 y 2024 deberán actualizarse, de acuerdo con los incrementos establecidos en el apartado 1, dentro del primer trimestre de cada uno de los respectivos años.
Respecto de aquellas tablas salariales que llegadas dichas fechas no se hayan actualizado, podrá la Comisión Paritaria del presente Convenio, en función de lo dispuesto en su artículo 108.1.g), fijar la cuantía de las mismas para los respectivos ámbitos provinciales.
4. Cláusula de garantía salarial. Se establece una cláusula de garantía salarial, de manera que si el valor medio de los incrementos porcentuales interanuales del Índice de Precios al Consumo de los meses de enero de 2022 a diciembre de 2024, publicado por el Instituto Nacional de Estadística, se situara en un nivel superior al 10,0%, y siempre con un máximo de un 13,0%, se incrementarán con efectos de 1 de enero de 2025 las tablas salariales del año 2024, sin efectos retroactivos, de manera que el 50,0% de ese exceso irá en un 50,0% a incremento de las tablas salariales y el otro 50,0% a contribución al plan de pensiones de las personas trabajadoras en alta en la empresa a dicha fecha de 1 de enero de 2025; la contribución al plan de pensiones se llevará a cabo en los términos y condiciones que se determinen en el nuevo Libro Tercero al que se refiere el artículo siguiente, y para aquellas personas partícipes que se definan en el mismo.
TERCERO: Jornada de verano
Se acuerda establecer jornada intensiva de 7 horas diaria desde 14 de julio hasta 18 de agosto en el calendario laboral para 2023, pudiendo ampliarse la jornada intensiva de 8 horas durante la época estival, si así se acordase entre la Empresa y los Trabajadores, debiendo cumplir con el descanso obligado de 15 minutos para el desayuno.
CUARTO: Plan de pensiones
1. La comisión negociadora se reunirá para analizar la Ley 12/2022, de 30 de junio, de regulación para el impulso de los planes de pensiones de empleo, por la que se modifica el texto refundido de la Ley de Regulación de los Planes y Fondos de Pensiones, aprobado por Real Decreto Legislativo 1/2002, de 29 de noviembre, y su desarrollo reglamentario, para, en su caso, iniciar los trámites necesarios para formalizar, a nivel estatal, uno de estos planes.
2. Si se acordase iniciar los trámites para la formalización del plan de pensiones, se redactaría un nuevo Libro Tercero en el presente Convenio que regulase todas las cuestiones relativas a la formalización, funcionamiento, supervisión del plan de pensiones, y cualesquiera otras que resulten necesarias para la eficacia y correcto funcionamiento del mismo, y en particular:
a) La delimitación de las personas partícipes.
b) La constitución, en su caso, de la comisión de control del plan de pensiones.
3. Si el plan de pensiones estuviese operativo en 2022, la contribución empresarial, durante la vigencia del contrato de trabajo, por aquellas personas trabajadoras que se estableciesen como partícipes, en el Libro Tercero al que se refiere el apartado anterior, y que no tuviesen interrumpido o suspendido el contrato de trabajo por alguna de las causas previstas en la legislación vigente, sería:
a) En 2022, de un 1,00 por ciento del importe de los conceptos salariales de las tablas de 2021 del convenio colectivo que resulte de aplicación, si la persona trabajadora prestase servicios durante todo el año 2022 a tiempo completo o, en su defecto, de la parte proporcional correspondiente; será requisito necesario que no haya causado baja en la empresa en la fecha en que sea operativo dicho plan de pensiones.
b) En 2023, de un 1,00 por ciento del importe de los conceptos salariales de las tablas de 2021 del convenio colectivo que resulte de aplicación, si la persona trabajadora prestase servicios durante todo el año 2023 a tiempo completo o, en su defecto, de la parte proporcional correspondiente.
c) En 2024, de un 1,00 por ciento del importe de los conceptos salariales de las tablas de 2021 del convenio colectivo que resulte de aplicación, más un 0,25 por ciento del importe de los conceptos salariales de las tablas de 2023 del convenio colectivo que resulte de aplicación, si la persona trabajadora prestase servicios durante todo el año 2024 a tiempo completo o, en su defecto, de la parte proporcional correspondiente.
d) En 2025 se renegociarán las contribuciones al plan de pensiones.
4. La Comisión Negociadora se reunirá en el mes de diciembre de 2022, en el supuesto de que los planes de pensiones de empleo simplificado sectorial, a los que se refiere el apartado 1, no hubiesen entrado en vigor, o no se hubiese publicado su reglamento de desarrollo, para analizar cómo proceder con relación al 1,00 por ciento al que se refiere la letra a) del apartado anterior, y que forma parte del haber de la persona trabajadora.
QUINTO: Autorizar a Francisco Díaz Díaz, Secretario General de UGT Melilla para el depósito de la presente acta ante la autoridad laboral competente.
Y sin otros asuntos que tratar se levanta la sesión, en el lugar y fecha al principio citados, firmando los presentes en prueba de conformidad.
CALENDARIO 2023 (BOME Número 6030 – viernes 30 de diciembre de 2022)
RESOLUCIÓN DE FECHA 21 DE DICIEMBRE DE 2022, POR LA QUE SE REGISTRA Y PUBLICA EL ACTA DEL ACUERDO DE LA COMISIÓN NEGOCIADORA DEL CONVENIO COLECTIVO DE CONSTRUCCIÓN DE LA CIUDAD DE MELILLA, APROBANDO EL CALENDARIO LABORAL 2023.
Resolución de fecha 21 de diciembre de 2022 del Área de Trabajo e Inmigración de la Delegación del Gobierno en Melilla por la que se registra y publica el Acta del Acuerdo de la Comisión Negociadora del Convenio Colectivo de Construcción de la Ciudad de Melilla, aprobando el calendario laboral 2023.
Visto el texto del Acta del Acuerdo de la Comisión Negociadora del Convenio Colectivo de Construcción de la Ciudad de Melilla suscrito por la representación empresarial Constructores Asociados de Melilla (COADEME) y la representación social UGT-FICA y CC.OO, el día 18/11/2022, relativo al calendario laboral para el año 2023 y de conformidad con lo dispuesto en el artículo 90, apartados 2 y 3, de la Ley del Estatuto de los Trabajadores, Texto Refundido aprobado por el Real Decreto Legislativo 2/2015, de 23 de octubre, y en el Real Decreto 713/2010, de 28 de mayo, sobre registro y depósito de Convenios y Acuerdos Colectivos de Trabajo, La Delegada del Gobierno en Melilla, es competente para resolver el presente expediente a tenor de lo dispuesto en el Real Decreto 2725/1998, de 18 de diciembre, artículo 4 apartado 2: «Los Delegados del Gobierno en la ciudades de Ceuta y Melilla asumirán las competencias resolutorias o de emisión de propuestas de resolución de los respectivos Directores de Trabajo e Inmigración de las Delegaciones y Subdelegaciones del Gobierno».
Por Resolución del Delegado del Gobierno en Melilla, de fecha 11 de mayo de 2000, BOME 15 de abril, se delegó en el Director del Área de Trabajo y Asuntos Sociales, hoy Área de Trabajo e Inmigración de esta Delegación del Gobierno en su ámbito territorial de actuación, la competencia de resolver: Expedientes de Regulación de Empleo, Registro y Depósito de Convenios Colectivos y Registro e Inscripción de Cooperativas.
ACUERDA
Primero.
Ordenar la inscripción de la citada Acta del Acuerdo de la Comisión Negociadora en el correspondiente Registro de Convenios y Acuerdos Colectivos de Trabajo con funcionamiento a través de medios electrónicos de este Centro Directivo, con notificación a la Comisión Negociadora.
Segundo.
Disponer su publicación en el «Boletín Oficial de la Ciudad de Melilla».
Melilla, 21 de diciembre de 2022, La Directora del Área de Trabajo e Inmigración, Elena Nieto Delgado.
ACTA DEL ACUERDO DE LA COMISIÓN NEGOCIADORA DEL CONVENIO COLECTIVO DE CONSTRUCCIÓN DE LA CIUDAD DE MELILLA REUNIÓN CELEBRADA EL 18 DE NOVIEMBRE DE 2022.
En Melilla, a las 18,00 horas del día 18 de noviembre de 2022, en los locales de la CEME, se reúnen las siguientes personas:
Por la Asociación de Empresarial:
Constructores Asociados de Melilla (COADEME).
Guillermo Remartínez Burkhalter (Presidente de COADEME).
Francisco García Sánchez (Vicepresidente de COADEME).
Por los Sindicatos:
Abderrahman El Fahsi El Mokhtar (UGT-FICA).
Mimon Ahmed Mimon. (UGT-FICA).
Francisco López Fernández (CC.OO.).
En el transcurso de la reunión y en cumplimiento de lo pactado en el VII Convenio Colectivo General del Sector de la Construcción (CGSC) deciden incorporar al actual Convenio Provincial, los siguientes acuerdos:
PRIMERO. Ámbito Temporal.
Ámbito Temporal. Este acuerdo estará vigente desde 1 de enero del 2023 hasta el 31 de diciembre de 2023.
SEGUNDO.
En aplicación del artículo 67 del VI Convenio Colectivo General del Sector de la Construcción, se acuerda declarar inhábiles y remunerados, con carácter exclusivo para el año 2023, los siguientes días:
– 30 de junio.
– 13 de octubre.
– 07 de diciembre.
Coincidiendo con las fiestas patronales, la jornada será de 24 horas semanales del 4 al 7 de septiembre del 2023, pudiendo establecerse su distribución de común acuerdo entre empresas y trabajadores.
TERCERO: Jornada de verano.
Se acuerda establecer jornada intensiva de 7 horas diaria desde 14 de julio hasta 18 de agosto en el calendario laboral para 2023, pudiendo ampliarse la jornada intensiva de 8 horas durante la época estival, si así se acordase entre la Empresa y los Trabajadores, debiendo cumplir con el descanso obligado de 15 minutos para el desayuno.
CUARTO:
Autorizar a Francisco Díaz Díaz, Secretario General de UGT Melilla para el depósito de la presente acta ante la autoridad laboral competente.
Y sin otros asuntos que tratar se levanta la sesión, en el lugar y fecha al principio citados, firmando los presentes en prueba de conformidad.
CALENDARIO 2024 (BOME Número 6141 – Martes 23 de enero de 2024)
RESOLUCIÓN, ACTA Y CALENDARIO LABORAL 2024 CONVENIO DE LA CONSTRUCCIÓN. Resolución de fecha 17 de enero de 2024 del Área de Trabajo e Inmigración de la Delegación del Gobierno en Melilla por la que se registra y publica el Acta del Acuerdo de la Comisión Negociadora del Convenio Colectivo de Construcción de la Ciudad de Melilla, aprobando el calendario laboral 2024.
Visto el texto del Acta del Acuerdo de la Comisión Negociadora del Convenio Colectivo de Construcción de la Ciudad de Melilla suscrito por la representación empresarial Constructores Asociados de Melilla (COADEME) y la representación social UGT y CC.OO, el día 21/12/2023, relativo al calendario laboral para el año 2024 y de conformidad con lo dispuesto en el artículo 90, apartados 2 y 3, de la Ley del Estatuto de los Trabajadores, Texto Refundido aprobado por el Real Decreto Legislativo 2/2015, de 23 de octubre, y en el Real Decreto 713/2010, de 28 de mayo, sobre registro y depósito de Convenios y Acuerdos Colectivos de Trabajo,
La Delegada del Gobierno en Melilla, es competente para resolver el presente expediente a tenor de lo dispuesto en el Real Decreto 2725/1998, de 18 de diciembre, artículo 4 apartado 2: «Los Delegados del Gobierno en la ciudades de Ceuta y Melilla asumirán las competencias resolutorias o de emisión de propuestas de resolución de los respectivos Directores de Trabajo e Inmigración de las Delegaciones y Subdelegaciones del Gobierno».
Por Resolución del Delegado del Gobierno en Melilla, de fecha 11 de mayo de 2000, BOME 15 de abril, se delegó en el Director del Área de Trabajo y Asuntos Sociales, hoy Área de Trabajo e Inmigración de esta Delegación del Gobierno, en su ámbito territorial de actuación, la competencia para resolver: Expedientes de Regulación de Empleo, Registro y Depósito de Convenios Colectivos y Registro e Inscripción de Cooperativas.
ACUERDA
Primero.
Ordenar la inscripción de la citada Acta del Acuerdo de la Comisión Negociadora en el correspondiente Registro de Convenios y Acuerdos Colectivos de Trabajo con funcionamiento a través de medios electrónicos de este Centro Directivo, con notificación a la Comisión Negociadora.
Segundo.
Disponer su publicación en el «Boletín Oficial de la Ciudad de Melilla».
LA DIRECTORA DEL ÁREA DE TRABAJO E INMIGRACIÓN
(P.S. LA JEFE DE SERVICIO)
Fdo.: María José Gómez Ruiz
Puesto Trabajo Nivel 28,
MARIA JOSE GÓMEZ RUIZ
ACTA DEL ACUERDO DE LA COMISIÓN NEGOCIADORA DEL CONVENIO COLECTIVO DE CONSTRUCCIÓN DE LA CIUDAD DE MELILLA
REUNIÓN CELEBRADA EL 21 DE DICIEMBRE DE 2023
En Melilla, a las 19,00 horas del día 21 de diciembre de 2023, en los locales de la CEME, se reúnen las siguientes personas:
Por la Asociación de Empresarial:
Constructores Asociados de Melilla (COADEME).
Guillermo Remartínez Burkhalter (Presidente de COADEME)
Francisco García Sánchez (Vicepresidente de COADEME)
Por los Sindicatos:
Jalid Driss Boujamma (UGT)
Asesor: Samir Elghadef Mohamed (UGT)
Francisco López Fernández (CC.OO.)
En el transcurso de la reunión y en cumplimiento de lo pactado en el VII Convenio Colectivo General del Sector de la Construcción (CGSC) deciden incorporar al actual Convenio Provincial, los siguientes acuerdos:
PRIMERO. Ámbito Temporal.
Este acuerdo estará vigente desde el momento de su firma hasta el 31 de diciembre de 2024, y tendrá carácter retroactivo desde el 1 de enero de 2024.
El apartado tercero tendrá la vigencia establecida en el VI Convenio General del Sector de la Construcción
SEGUNDO. En aplicación del artículo 67 del VI Convenio Colectivo General del Sector de la Construcción, se acuerda declarar inhábiles y remunerados, con carácter exclusivo para el año 2024, los siguientes días:
-11 y 12 de abril (jueves y viernes) Aid El Fitr
-18 y 19 de junio (martes y miercoles) Aid El-Kebir
-16 de agosto (viernes) Puente Asuncion de la Virgen Maria
-24 de diciembre (martes). Puente Navidad
-31 de diciembre (martes). Puente Fin de año
Asimismo, se acuerda establecer una jornada intensiva de 7 horas diarias del 2 de julio al 14 de agosto.
Y coincidiendo con las fiestas patronales, del 2 al 6 de septiembre, se establece en 8h diarias de lunes a miércoles, si bien, pudiéndose establecer su distribución de común acuerdo entre empresas y trabajadores siempre que se trabajen 24 horas en dicha semana.
TERCERO.- Para dar cumplimiento al VII Convenio General del Sector de la Construcción se acuerda publicar el modelo de recibo de finiquito que obligatoriamente deberán utilizar todas las empresas afectadas por dicho convenio y que figura como anexo
CUARTO.- Para dar cumplimiento a lo previsto en el artículo 85.2.d del Texto Refundido de la Ley del Estatuto de los Trabajadores, las partes signatarias hacen constar expresamente que el presente Acuerdo no precisa denuncia previa para su total extinción el 31 de diciembre del año 2024.
QUINTO: Se asigna a UGT Melilla para el depósito del presente acta ante la autoridad laboral competente.
Y sin otros asuntos que tratar se levanta la sesión, en el lugar y fecha al principio citados, firmando los presentes en prueba de conformidad.
PLAN DE PENSIONES (BOME número 17 – Martes 12 de marzo de 2024)
Resolución de fecha 7 de marzo de 2024 del Área de Trabajo e Inmigración de la Delegación del Gobierno en Melilla por la que se registra y publica el «Acta del Acuerdo de la Comisión Negociadora del Convenio Colectivo de la Construcción de la Ciudad Autónoma de Melilla».
Visto el texto del Acta del Acuerdo de la Comisión Negociadora del Convenio Colectivo de la Construcción de la Ciudad Autónoma de Melilla, que fue suscrito con fecha 21 de diciembre de 2023, de una parte por La Asociación Empresarial Constructores Asociados de Melilla (COADEME), en representación de las empresas del sector, y de otra por los sindicatos UGT y CC.OO, en representación de los trabajadores, por el que se acuerda y aprueba el plan de pensiones; y de conformidad con lo dispuesto en el artículo 90, apartados 2 y 3, de la Ley del Estatuto de los Trabajadores, Texto Refundido aprobado por el Real Decreto Legislativo 2/2015, de 23 de octubre, y en el Real Decreto 713/2010, de 28 de mayo, sobre registro y depósito de Convenios y Acuerdos Colectivos de Trabajo,
La Delegada del Gobierno en Melilla, es competente para resolver el presente expediente a tenor de lo dispuesto en el REAL DECRETO 2725/1998, de 18 de diciembre, artículo 4 apartado 2: «Los Delegados del Gobierno en la ciudades de Ceuta y Melilla asumirán las competencias resolutorias o de emisión de propuestas de resolución de los respectivos Directores de Trabajo e Inmigración de las Delegaciones y Subdelegaciones del Gobierno».
Por Resolución del Delegado del Gobierno en Melilla, de fecha 11 de mayo de 2000, BOME 15 de abril, se delegó en el Director del Área de Trabajo y Asuntos Sociales, hoy Área de Trabajo e Inmigración de esta Delegación del Gobierno en su ámbito territorial de actuación, la competencia de resolver: Expedientes de Regulación de Empleo, Registro y Depósito de Convenios Colectivos y Registro e Inscripción de Cooperativas.
ACUERDA.
Primero.- Ordenar la inscripción de la citada Acta en el correspondiente registro de convenios y acuerdos colectivos de trabajo con funcionamiento a través de medios electrónicos de este Centro Directivo, con notificación a la Comisión Negociadora.
Segundo.- Disponer su publicación en el «Boletín Oficial de la Ciudad de Melilla».
Melilla, 7 de marzo de 2027.
LA DIRECTORA DEL ÁREA DE TRABAJO E INMIGRACIÓN, ELENA NIETO DELGADO.
TEXTO DEL ACUERDO PARCIAL DEL CONVENIO COLECTIVO DE LA CONSTRUCCIÓN DE LA CIUDAD AUTÓNOMA DE MELILLA.
Reunidas ambas partes para alcanzar el acuerdo del convenio colectivo provincial de la ciudad autónoma de Melilla para el plan de pensiones de 2022, 2023, 2024.
-Por la asociación empresarial: Constructores Asociados de Melilla (COADEME).
Guillermo Remartinez Burkhalter (presidente de COADEME).
Francisco García Sánchez (vicepresidente de COADEME).
-Por los sindicatos:
Jalid Driss Boujamma (UGT).
Asesor: Samir Elghadef Mohamed (UGT).
Francisco López Fernández (CC.OO.)
1. PLAN DE PENSIONES:
Se aprueban las contribuciones al plan de pensiones en cumplimiento con el artículo 56 del VII convenio colectivo general del sector de la construcción, publicado en el boletín oficial del estado el pasado 23 de septiembre, siendo necesario que en las tablas salariales de los convenios provinciales se incluyan el importe de la contribución a dicho plan para los años 2022 y 2023.
-La comisión negociadora se reunirá para analizar la LEY 12/2022 de 30 de junio, de regulación para el impulso de los planes de pensiones de empleo, por lo que se modifica el texto refundido de la Ley de regulación de los planes de pensiones, aprobado por el Real Decreto Legislativo 1/2002, de 29 de noviembre y su desarrollo reglamentario para iniciar los trámites necesarios para formalizar a nivel estatal uno de estos planes.
-En caso de iniciar los trámites para formalizar el plan de pensiones se redactaría un nuevo libro tercero en el presente convenio que regulase todas las cuestiones relativas a la formación, funcionamiento, supervisión, del plan de pensiones, y cualesquiera otras que resulten necesarios para eficacia y correcto funcionamiento del mismo, y en particular:
a) La delimitación de las personas partícipes.
b) La constitución, en su caso, de la comisión de control del plan de pensiones.
-Si el plan de pensiones estuviese operativo para en 2022, la contribución empresarial, durante la vigencia del contrato de trabajo, por aquellas personas trabajadoras que se estableciesen como partícipes en el libro tercero al que se refiere el apartado anterior, y que no tuviesen interrumpido o suspendido el contrato de trabajo por alguna de las causas previstas en la legislación vigente, sería:
a) en 2022, de un 1% del importe de los conceptos salariales de las tablas de 2021 del convenio colectivo que resulte de aplicación, si la persona trabajadora prestase servicios durante todo el año 2022 a tiempo completo o, en su defecto, de la parte proporcional correspondiente; será requisito necesario que no haya causado baja en la empresa en la fecha en que sea operativo dicho plan de pensiones.
b) en 2023 de un 1% del importe de los conceptos salariales de las tablas de 2021 del convenio colectivo que resulte de aplicación. Si la persona trabajadora prestase servicios durante todo el año de 2023 a tiempo completo o en su defecto de la parte proporcional correspondiente.
c) en 2024 de un 1% del importe de los conceptos salariales de las tablas de 2021 del convenio colectivo que resulte de aplicación, más un 0.25% del importe de los conceptos salariales de las tablas de 2023 del convenio colectivo que resulte de aplicación, si la persona trabajadora prestase servicios durante todo el año 2024 a tiempo completo o, en su defecto, de la parte proporcional correspondiente.
-La fijación de la contribución se hará aplicando el 1% al resultado que se obtenga de realizar el siguiente cálculo:
[SB x 335+(PS x NUMERO DE DIAS EFECTIVOS DE TRABAJO) + VACACIONES + PJ+PN]
1. S.B Salario base: tomando como referencia el salario base diario recogido en la tabla salarial de 2021 del convenio provincial.
2. P.S Pluses salariales: recogidos en la tabla salarial de 2021 del convenio provincial.
3. P.J Paga de junio: recogidas en la tabla salarial de 2021 del convenio provincial.
4. P.N Paga Navidad: recogidas en la tabla salarial de 2021 del convenio provincial.
d) en 2025 se renegociarán las contribuciones al plan de pensiones.
SEGUNDO: Se asigna a UGT Melilla para el depósito del presente acta ante la autoridad laboral competente, mediante su registro en el REGCON y publicación en el correspondiente Boletín Provincial.
REVISIÓN SALARIAL (BOME Número 6182 – Viernes 14 de junio de 2024)
RESOLUCIÓN Y ACTA DEL ACUERDO DE LA COMISIÓN NEGOCIADORA DEL CONVENIO COLECTIVO DE LA CONSTRUCCIÓN DE LA CIUDAD AUTÓNOMA DE MELILLA.
Resolución de fecha 7 de junio de 2024 del Área de Trabajo e Inmigración de la Delegación del Gobierno en Melilla por la que se registra y publica el «Acta del Acuerdo de la Comisión Negociadora del Convenio Colectivo de la Construcción de la Ciudad Autónoma de Melilla».
Visto el texto del Acta del Acuerdo de la Comisión Negociadora del Convenio Colectivo de la Construcción de la Ciudad Autónoma de Melilla, que fue suscrito con fecha 11 de marzo de 2024, de una parte por La Asociación Empresarial Constructores Asociados de Melilla (COADEME), en representación de las empresas del sector, y de otra por los sindicatos UGT y CC.OO, en representación de los trabajadores, por el que se acuerda y aprueba el plan de pensiones para el año 2024; y de conformidad con lo dispuesto en el artículo 90, apartados 2 y 3, de la Ley del Estatuto de los Trabajadores, Texto Refundido aprobado por el Real Decreto Legislativo 2/2015, de 23 de octubre, y en el Real Decreto 713/2010, de 28 de mayo, sobre registro y depósito de Convenios y Acuerdos Colectivos de Trabajo, La Delegada del Gobierno en Melilla, es competente para resolver el presente expediente a tenor de lo dispuesto en el REAL DECRETO 2725/1998, de 18 de diciembre, artículo 4 apartado 2: «Los Delegados del Gobierno en la ciudades de Ceuta y Melilla asumirán las competencias resolutorias o de emisión de propuestas de resolución de los respectivos Directores de Trabajo e Inmigración de las Delegaciones y Subdelegaciones del Gobierno».
Por Resolución del Delegado del Gobierno en Melilla, de fecha 11 de mayo de 2000, BOME 15 de abril, se delegó en el Director del Área de Trabajo y Asuntos Sociales, hoy Área de Trabajo e Inmigración de esta Delegación del Gobierno en su ámbito territorial de actuación, la competencia de resolver: Expedientes de Regulación de Empleo, Registro y Depósito de Convenios Colectivos y Registro e Inscripción de Cooperativas.
ACUERDA.
Primero.-Ordenar la inscripción de la citada Acta en el correspondiente registro de convenios y acuerdos colectivos de trabajo con funcionamiento a través de medios electrónicos de este Centro Directivo, con notificación a la Comisión Negociadora.
Segundo.-Disponer su publicación en el «Boletín Oficial de la Ciudad de Melilla».
Melilla, 7 de junio de 2024.
La Directora del Área de Trabajo e Inmigración, Elena Nieto Delgado.
ACTA FINAL DE LA COMISIÓN NEGOCIADORA DEL CONVENIO COLECTIVO DE LA CONSTRUCCIÓN DE LA CIUDAD AUTONOMA DE MELILLA.
REUNIÓN CELEBRADA EL 11 DE MARZO DE 2024.
En Melilla, a las 19,00 horas del día 11 de marzo de 2024, en los locales de la CEME, se reúnen las siguientes personas:
Por la Asociación de Empresarial: Constructores Asociados de Melilla (COADEME).
Guillermo Remartínez Burkhalter (Presidente de COADEME).
Francisco García Sánchez (Vicepresidente de COADEME).
Por los Sindicatos:
Jalid Driss Boujamma (UGT).
Asesor: Samir Elghadef Mohamed (UGT).
Francisco López Fernández (CC.OO.).
ACUERDAN:
Incorporar al actual Convenio Provincial, las Contribuciones al Plan de pensiones para el año 2024, las cuales se incorporan en las columnas de la derecha de las Tablas Salariales que fueron publicadas en el BOME de 16 de diciembre del 2022 y que se adjunta a continuación, según lo pactado en el artículo 56 apartado 2.c) del VII Convenio Colectivo General del Sector de la Construcción (CGSC), publicado en el Boletín Oficial del Estado el 23 de septiembre del 2023.
La cuantía será:
En 2024, de un 1,00 por ciento del importe de los conceptos salariales de las tablas de 2021 del convenio colectivo que resulte de aplicación, más un 0,25 por ciento del importe de los conceptos salariales de las tablas de 2023 del convenio colectivo que resulte de aplicación, si la persona trabajadora prestase servicios durante todo el año 2024 a tiempo completo o, en su defecto, de la parte proporcional correspondiente.
En 2025 se renegociarán las contribuciones al plan de pensiones.
CALENDARIO 2025 (BOME Número 6254 – Viernes 21 de febrero de 2025)
RESOLUCIÓN DE FECHA 13 DE FEBRERO DE 2025, POR LA QUE SE REGISTRA Y PUBLICA EL ACTA DEL ACUERDO DEL CONVENIO COLECTIVO DE CONSTRUCCIÓN DE LA CIUDAD AUTÓNOMA DE MELILLA, APROBANDO EL CALENDARIO LABORAL 2025.
Resolución de fecha 13 de febrero de 2025 del Área de Trabajo e Inmigración de la Delegación del Gobierno en Melilla por la que se registra y publica el Acta del Acuerdo de la Convenio Colectivo de Construcción de la Ciudad de Melilla, aprobando el calendario laboral 2025.
Visto el texto del Acta del Acuerdo de la Comisión Negociadora del Convenio Colectivo de Construcción de la Ciudad de Melilla suscrito por la representación empresarial (COADEME) y la representación social (UGT y CC.OO), el día 13/01/2025, relativo al calendario laboral para el año 2025 y de conformidad con lo dispuesto en el artículo 90, apartados 2 y 3, de la Ley del Estatuto de los Trabajadores, Texto Refundido aprobado por el Real Decreto Legislativo 2/2015, de 23 de octubre, y en el Real Decreto 713/2010, de 28 de mayo, sobre registro y depósito de Convenios y Acuerdos Colectivos de Trabajo, La competencia para resolver el presente expediente se encuentra originalmente atribuida según lo preceptuado por el art. 4.2 del Real Decreto 2725/1998, de 18 de diciembre: «Los Delegados del Gobierno en las ciudades de Ceuta y Melilla asumirán las competencias resolutorias o de emisión de propuestas de resolución de los respectivos Directores».
Por Resolución del Delegado del Gobierno en Melilla, de fecha 11 de mayo de 2000, BOME de 25 de mayo, se delegó en el Director del Área de Trabajo y Asuntos Sociales, hoy Área de Trabajo e Inmigración de esta Delegación del Gobierno, en su ámbito territorial de actuación, la competencia para resolver: Expedientes de Regulación de Empleo, Registro y Depósito de Convenios Colectivos y Registro e Inscripción de Cooperativas.
ACUERDA.
Primero.
Ordenar la inscripción de la citada Acta del Acuerdo de la Comisión Negociadora en el correspondiente Registro de Convenios y Acuerdos Colectivos de Trabajo con funcionamiento a través de medios electrónicos de este Centro Directivo, con notificación a la Comisión Negociadora.
Segundo.
Disponer su publicación en el «Boletín Oficial de la Ciudad de Melilla».
LA DIRECTORA DEL ÁREA DE TRABAJO E INMIGRACIÓN, ELENA NIETO DELGADO.
ACTA DEL ACUERDO DE LA COMISIÓN NEGOCIADORA DEL CONVENIO COLECTIVO DE CONSTRUCCIÓN DE LA CIUDAD DE MELILLA.
REUNIÓN CELEBRADA EL 13 DE ENERO DEL 2025.
En Melilla, a las 18,00 horas del día 13 de enero del 2025, en los locales de la CEME, se reúnen las siguientes personas:
Por la Asociación de Empresarial:
Constructores Asociados de Melilla (COADEME).
Guillermo Remartinez Burkhalter (Presidente de COADEME).
Francisco García Sánchez (Vicepresidente de COADEME).
Por los Sindicatos:
Jalid Driss Boujamma (UGT).
Asesor: Samir El Ghadef Mohamed (UGT).
Francisco López Fernández (CC.OO.).
Hassan Embark Abdel lah (CC.OO.).
Manuel Rodriguez Jeronimo (CC.OO.).
Jose Meis Padin (CC.OO.).
En el transcurso de la reunión y en cumplimiento de lo pactado en el VII Convenio Colectivo General del Sector de la Construcción (CGSC) deciden incorporar al actual Convenio Provincial, los siguientes acuerdos:
PRIMERO. Ámbito Temporal.
Este acuerdo estará vigente desde el momento de su firma hasta el 31 de diciembre de 2025, y tendrá carácter retroactivo desde el 1 de enero de 2025.
El apartado tercero tendrá la vigencia establecida en el VI Convenio General del Sector de la Construcción
SEGUNDO. En aplicación del artículo 67 del VI Convenio Colectivo General del Sector de la Construcción, se acuerda declarar inhábiles y remunerados, con carácter exclusivo para el año 2025, los siguientes días:
– 1 de abril (martes).
– 9 de junio (lunes).
– 4 y 5 septiembre (jueves y viernes).
– 24, 26 y 31 de diciembre (miércoles, viernes y miércoles).
Asimismo, se acuerda establecer una jornada intensiva de 7 horas diarias del 14 de julio al 14 de agosto.
Coincidiendo con las fiestas patronales, del 1 al 5 de septiembre, se establece en 8 h diarias de lunes a miércoles.
TERCERO.- Para dar cumplimiento al VII Convenio General del Sector de la Construcción se acuerda publicar el modelo de recibo de finiquito que obligatoriamente deberán utilizar todas las empresas afectadas por dicho convenio y que figura como anexo.
CUARTO.- Para dar cumplimiento a lo previsto en el artículo 85.2.d del Texto Refundido de la Ley del Estatuto de los Trabajadores, las partes signatarias hacen constar expresamente que el presente Acuerdo no precisa denuncia previa para su total extinción el 31 de diciembre del año 2025.
QUINTO: Se asigna a UGT Melilla para el depósito de la presente acta ante la autoridad laboral competente.
Y sin otros asuntos que tratar se levanta la sesión, en el lugar y fecha al principio citados, firmando los presentes en prueba de conformidad.
CALENDARIO 2026 (BOME Número 6348 – Martes 27 de Enero de 2026)
RESOLUCIÓN, DE FECHA 23 DE ENERO DE 2026, POR LA QUE SE REGISTRA Y PUBLICA EL ACTA DEL ACUERDO DEL CONVENIO COLECTIVO DEL SECTOR CONSTRUCCIÓN DE LA CIUDAD DE MELILLA, APROBANDO EL CALENDARIO LABORAL PARA EL AÑO 2026.
Resolución de fecha 23 de enero de 2026 del Área de Trabajo e Inmigración de la Delegación del Gobierno en Melilla, por la que se registra y publica el Acta del Acuerdo del Convenio Colectivo del sector Construcción de la Ciudad de Melilla, aprobando el calendario laboral para el año 2026.
Visto el texto del Acta del Acuerdo de la Comisión Negociadora del Convenio Colectivo de Construcción de la Ciudad de Melilla suscrito por la representación empresarial (COADEME) y la representación social (UGT y CC.OO), el día 22/12/2025, relativo al calendario laboral para el año 2026 y de conformidad con lo dispuesto en el artículo 90, apartados 2 y 3, de la Ley del Estatuto de los Trabajadores, Texto Refundido aprobado por el Real Decreto Legislativo 2/2015, de 23 de octubre, y en el Real Decreto 713/2010, de 28 de mayo, sobre registro y depósito de Convenios y Acuerdos Colectivos de Trabajo, La competencia para resolver el presente expediente se encuentra originalmente atribuida según lo preceptuado por el art. 4.2 del Real Decreto 2725/1998, de 18 de diciembre: «Los Delegados del Gobierno en la ciudades de Ceuta y Melilla asumirán las competencias resolutorias o de emisión de propuestas de resolución de los respectivos Directores».
Por Resolución del Delegado del Gobierno en Melilla, de fecha 11 de mayo de 2000, BOME de 25 de mayo, se delegó en el Director del Área de Trabajo y Asuntos Sociales, hoy Área de Trabajo e Inmigración de esta Delegación del Gobierno, en su ámbito territorial de actuación, la competencia para resolver: Expedientes de Regulación de Empleo, Registro y Depósito de Convenios Colectivos y Registro e Inscripción de Cooperativas.
ACUERDA.
Primero.
Ordenar la inscripción de la citada Acta del Acuerdo de la Comisión Negociadora en el correspondiente Registro de Convenios y Acuerdos Colectivos de Trabajo con funcionamiento a través de medios electrónicos de este Centro Directivo, con notificación a la Comisión Negociadora.
Segundo.
Disponer su publicación en el «Boletín Oficial de la Ciudad de Melilla».
La Directora del Área de Trabajo e Inmigración, Elena Nieto Delgado.
ACTA DEL ACUERDO DE LA COMISIÓN NEGOCIADORA DEL CONVENIO COLECTIVO DE CONSTRUCCIÓN DE LA CIUDAD DE MELILLA.
REUNIÓN CELEBRADA EL 22 DE DICIEMBRE DE 2025
En Melilla, a las 11,00 horas del día 22 de diciembre de 2025, en los locales de la CEME, se reúnen las siguientes personas:
Por la Asociación de Empresarial: Constructores Asociados de Melilla (COADEME).
Guillermo Remartinez Burkhalter (Presidente de COADEME).
Francisco García Sánchez (Vicepresidente de COADEME).
Por los Sindicatos:
Samir El Ghadef Mohamed (UGT).
Jalid Driss Boujamaa (UGT).
Mireya Pinto Garcia (CC.OO.).
Lukman Driss Amar (CC.OO.).
En el transcurso de la reunión y en cumplimiento de lo pactado en el VI Convenio Colectivo General del Sector de la Construcción (CGSC) deciden incorporar al actual Convenio Provincial, los siguientes acuerdos:
PRIMERO. Ámbito Temporal.
Este acuerdo estará vigente desde el momento de su firma hasta el 31 de diciembre de 2026.
El apartado tercero tendrá la vigencia establecida en el VI Convenio General del Sector de la Construcción.
SEGUNDO. En aplicación del artículo 67 del VI Convenio Colectivo General del Sector de la Construcción, se acuerda declarar inhábiles y remunerados, con carácter exclusivo para el año 2026, los siguientes días:
28 y 29 de mayo.
3 y 4 de septiembre.
24 y 31 de diciembre.
Asimismo, se acuerda establecer una jornada intensiva de 7 horas diarias del 14 de julio al 14 de agosto.
Coincidiendo con las fiestas patronales, del 31 de agosto al 2 de septiembre la jornada será de 25 horas semanales, pudiendo establecerse su distribución de común acuerdo entre empresas y trabajadores.
TERCERO.- Para dar cumplimiento al artículo 95 del VI Convenio General del Sector de la Construcción se acuerda publicar el modelo de recibo de finiquito que obligatoriamente deberán utilizar todas las empresas afectadas por dicho convenio y que figura como anexo I.
CUARTO.- Para dar cumplimiento a lo previsto en el artículo 85.2.d del Texto Refundido de la Ley del Estatuto de los Trabajadores, las partes signatarias hacen constar expresamente que el presente Acuerdo no precisa denuncia previa para su total extinción el 31 de diciembre del año 2026.
QUINTO: Samir El Ghadef Mohamed de UGT Melilla para el depósito de la presente acta ante la autoridad laboral competente.
Y sin otros asuntos que tratar se levanta la sesión, en el lugar y fecha al principio citados, firmando los presentes en prueba de conformidad.
REVISIÓN SALARIAL (BOME Número 6352, Martes 10 de Febrero de 2026)
RESOLUCIÓN, DE FECHA 04 DE FEBRERO DE 2026, POR LA QUE SE REGISTRA Y PUBLICA EL ACTA DEL ACUERDO DE LA COMISIÓN NEGOCIADORA DEL CONVENIO COLECTIVO DEL SECTOR CONSTRUCCIÓN.
Visto el texto del Acuerdo adoptado por la Comisión Negociadora del Convenio Colectivo del sector CONSTRUCCIÓN de la ciudad de Melilla, que fue suscrito con fecha 22 de diciembre de 2025, de una parte, por la representación empresarial (COADEME) y, de otra parte, por la representación social (UGT y CC.OO), por el que se acuerda y aprueba la revisión salarial cuyo detalle se recoge en el texto que acompaña a la presente Resolución; resulta de aplicación lo dispuesto en el artículo 90, apartados 2 y 3, de la Ley del Estatuto de los Trabajadores, Texto Refundido aprobado por el Real Decreto Legislativo 2/2015, de 23 de octubre, y en el Real Decreto 713/2010, de 28 de mayo, sobre registro y depósito de Convenios y Acuerdos Colectivos de Trabajo.
La competencia para resolver el presente expediente se encuentra originalmente atribuida según lo preceptuado por el art. 4.2 del Real Decreto 2725/1998, de 18 de diciembre: «Los Delegados del Gobierno en la ciudades de Ceuta y Melilla asumirán las competencias resolutorias o de emisión de propuestas de resolución de los respectivos Directores de Trabajo e Inmigración de las Delegaciones y Subdelegaciones del Gobierno».
Por Resolución del Delegado del Gobierno en Melilla, de fecha 11 de mayo de 2000, (BOME de 25 de mayo), se delegó en el Director del Área de Trabajo y Asuntos Sociales, hoy Área de Trabajo e Inmigración de esta Delegación del Gobierno, en su ámbito territorial de actuación, la competencia de resolver: Expedientes de Regulación de Empleo, Registro y Depósito de Convenios Colectivos y Registro e Inscripción de Cooperativas.
ACUERDA.
Primer.
Ordenar la inscripción del citado Acuerdo de la Comisión Negociadora en el correspondiente Registro de Convenios y Acuerdos Colectivos de Trabajo con funcionamiento a través de medios electrónicos de este Centro Directivo, con notificación a la Comisión Negociadora.
Segundo.
Disponer su publicación en el «Boletín Oficial de la Ciudad de Melilla».
LA DIRECTORA DEL ÁREA DE TRABAJO E INMIGRACIÓN, ELENA NIETO DELGADO.
ACUERDO DE LA COMISION NEGOCIADORA DEL CONVENIO DEL SECTOR DE LA CONSTRUCCION DE MELILLA.
Por la UGT-FICA.
-Jalid Driss Boujamaa.
-Samir Elghadef Mohamed.
Por CC.OO.
-Lukman Driss Amar.
-Mireya Pinto García.
Por COADEME.
-Guillermo Remartinez Burkhalter (presidente de COADEME).
-Francisco García Sanchez (vicepresidente de COADEME).
REUNIDOS.
En Melilla, a 22 de diciembre de 2025, siendo las 10:30h en los locales de la CEME, en plaza 1º de mayo s/n planta baja los arriba referenciados, miembros de la comisión negociadora del convenio colectivo del sector de la construcción de Melilla.
ACUERDAN.
PRIMERO: se aprueba las tablas salariales para el año 2025, que consiste en una cláusula de revisión de un 0.4% sobre las tablas salariales del 2024 y aplicarle a dicho resultado un incremento del 3.5%.
SEGUNDO: Acuerdan que los dichos porcentajes citados en el párrafo anterior se apliquen con carácter retroactivo desde el 1 de enero de 2025, abonándose los atrasos en el plazo máximo de dos meses desde su publicación en el BOME.
TERCERO: Se acuerda un incremento salarial para 2026 de un 3% sobre las tablas salariales de 2025.
CUARTO: Remitir el presente acuerdo al Área Funcional de Trabajo de la Delegación del Gobierno de Melilla, para su registro, aprobación y publicación en el boletín oficial de la ciudad.
Y en prueba de lo acordado firman el presente:
PLAN DE PENSIONES (BOME Número 6358, Martes 03 de Marzo de 2026)
ACUERDO, DE FECHA 22 DE DICIEMBRE DE 2025, DE LA COMISIÓN NEGOCIADORA DEL CONVENIO COLECTIVO DE CONSTRUCCIÓN DE LA CIUDAD DE MELILLA, RELATIVO ACTUALIZAR LAS CONTRIBUCIONES AL PLAN DE PENSIONES DEL CONVENIO PROVINCIAL PARA LOS AÑOS 2025-2026.
REUNIÓN CELEBRADA EL 22 DE DICIEMBRE DE 2025.
En Melilla, a las 10.30 horas del día 22 de diciembre de 2025, en los locales de la CEME, se reúnen las siguientes personas:
Por la Asociación de Empresarial: Constructores Asociados de Melilla (COADEME).
Guillermo Remartínez Burkhalter (Presidente de COADEME).
Francisco García Sánchez (Vicepresidente de COADEME).
Por los Sindicatos:
Jalid Driss Boujamma (UGT).
Asesor: Samir El Ghadef Mohamed (UGT).
Lukman Driss Amar (CC.OO.).
Mireya Pinto Garcia (CC.OO.).
ACUERDAN:
Actualizar las contribuciones al plan de pensiones del Convenio Provincial para los años 2025-2026, las cuales se incorporan en las columnas de la derecha de las tablas salariales según lo pactado en el art. 56, apartado 2.c) de VII Convenio Colectivo general del sector de la Construcción publicado en el Boletín Oficial del estado el 23 de septiembre del 2023.
La cuantía será:
En el año 2025 se aplicará un incremento de la cuantía correspondiente al 0,4 % de los conceptos salariales del ejercicio 2024, así como un incremento adicional del 0,5 % sobre los conceptos salariales del 2024 actualizados tras aplicar la cláusula de garantía social, según Resolución de 24 de noviembre del 2025 de la Dirección General de Trabajo por la que se registra y publica el Acuerdo de modificación del VII Convenio Colectivo General del Sector de la Construcción.
En el año 2026 se llevará a cabo un incremento del 0,25 % de los conceptos salariales del 2025.
En el año 2027 se procederá a la renegociación de las contribuciones al Plan de Pensiones.
Y sin otros asuntos que tratar se levanta la sesión, en el lugar y fecha al principio citados, firmando los presentes en prueba de conformidad.
