Índice
CONVENIO COLECTIVO (BOP núm. 33, viernes 16 de marzo de 2018)
Código 38000535011982.
Visto el Convenio Colectivo del Sector de la Construcción de Santa Cruz de Tenerife, presentado en esta Dirección General del Trabajo, suscrito por la Comisión Negociadora, de conformidad con lo dispuesto en el Artículo 90, 2 y 3 del Real Decreto Legislativo 2/2015, de 23 de octubre, por el que se aprueba el texto refundido de la Ley del Estatuto de los Trabajadores, artículo 2 del Real Decreto 713/2010 sobre registro y depósito de convenios y acuerdos colectivos de trabajo, competencia transferida a la Comunidad Autónoma de Canarias por Real Decreto 1033/84 de 11 de abril (B.O.E. 1.6.84) y Decreto 1241/2016 de 19 de septiembre (B.O.C. 27/09/2016).
Esta Dirección General de Trabajo, acuerda:
1.- Ordenar su inscripción en el Registro de Convenios Colectivos de Trabajo de esta Dirección General de Trabajo.
2.- Notificar a la Comisión Negociadora.
3.- Interesar su publicación en el Boletín Oficial de la Provincia.
Director General de Trabajo, José Miguel González Hernández.
CONVENIO COLECTIVO DEL SECTOR DE LA CONSTRUCCIÓN PARA PROVINCIAL SANTA CRUZ DE TENERIFE 2017-2021.
CAPÍTULO I. NORMAS GENERALES.
Artículo 1. Partes signatarias.
a. Son partes firmantes del presente Convenio Colectivo Provincial, de una parte la Federación de Industria, Construcción y Agro de Canarias de la UGT (UGT-FICA Canarias) y la Federación de CC.OO. de Construcción y Servicios de Canarias, como representación laboral y de la otra, la Federación Provincial de Entidades de la Construcción de Santa Cruz de Tenerife (FEPECO), en representación empresarial.
b. Ambas partes se reconocen mutuamente legitimadas para negociar el presente Convenio Colectivo. Como organizaciones más representativas del Sector de la Construcción en sus respectivos ámbitos.
Artículo 2. Eficacia y alcance obligacional.
Dada la naturaleza normativa y eficacia general que le viene dada por lo dispuesto en el título III del Estatuto de los Trabajadores/as y por la representatividad de las organizaciones firmantes, el presente Convenio Colectivo obligará a todas las asociaciones y entidades comprendidas dentro de sus ámbitos funcional, personal y territorial.
Artículo 3. Ámbito territorial y funcional.
1. El presente Convenio Colectivo Provincial será de obligado cumplimiento en todas las actividades propias del sector de la construcción, que son las siguientes:
a) Las dedicadas a la construcción y obras públicas.
b) La conservación y mantenimiento de infraestructuras.
c) Canteras, areneras, graveras y la explotación de tierras industriales.
d) Embarcaciones, artefactos flotantes y ferrocarriles auxiliares de obras y puertos.
e) El comercio de la construcción mayoritario y exclusivista.
2. Las actividades que integran el campo de aplicación de este Convenio Colectivo se relacionan y detallan, a título enunciativo y no exhaustivo, en el Anexo I del VI Convenio General del Sector de la Construcción.
3. Asimismo, quedan integradas en el campo de aplicación de este Convenio Colectivo, las empresas y los centros de trabajo que, sin estar incluidas expresamente en el Anexo I del VI Convenio General del Sector de la Construcción, tengan como actividad principal las propias del sector de la construcción, de acuerdo con el principio de unidad de empresa.
4. Teniendo en cuenta la concurrencia de empresas en un mismo centro de trabajo, la complicación de la gestión de la prevención en éstos y lo dispuesto en la Ley reguladora de la subcontratación en el sector de la construcción, también estarán sometidas a lo dispuesto en el Libro II en relación con las disposiciones mínimas de seguridad y salud aplicables en las obras de construcción y en canteras areneras, graveras y la explotación de tierras industriales, todas aquellas empresas que ejecuten trabajos en los centros de trabajo considerados como obras.
Artículo 4. Ámbito personal.
La normativa de éste convenio será de obligada y general observancia para todas las empresas, entidades y trabajadores/as de las actividades enumeradas en el articulo anterior.
Artículo 5. Ámbito temporal.
El presente Convenio Colectivo entrará en vigor desde el mismo momento de su publicación en el Boletín Oficial de la Provincia de Santa Cruz de Tenerife (B.O.P.), extendiendo su vigencia hasta el 31 de diciembre de 2021, las tablas salariales tendrán efectos reactivos desde 1 de enero.
Una vez finalizada las distintas vigencias se aplicará lo establecido en el vigente artículo 86.3 del Estatuto de los Trabajadores de manera que para evitar el vacío normativo que en otro caso se produciría y una vez terminada su vigencia inicial del presente Convenio o la de cualquiera de sus prórrogas, éste continuará rigiendo tanto en su contenido normativo, obligacional y salarial hasta que sea sustituido por otro.
Artículo 6.Normas supletorias.
En todo aquello que no se hubiese pactado en el presente Convenio y que afectara, tanto a las condiciones económicas como a las relaciones laborales, se estará por ambas partes a la Legislación vigente y al VI Convenio Colectivo General del Sector de la Construcción 2017-2021.
En materia de Seguridad y Salud, se estará a lo dispuesto en el Libro II del citado VI Convenio Colectivo General del Sector de la Construcción.
Artículo 7. Procedimiento de denuncia para la revisión del convenio.
1. Cualquiera de las dos partes firmantes del presente Convenio podrá solicitar por escrito a la otra la revisión del mismo con un mínimo de tres meses de antelación al vencimiento del plazo inicial de las vigencias señaladas en el artículo anterior o de cualquiera de sus prórrogas.
2. La parte que formule la denuncia deberá acompañar propuesta concreta sobre los puntos y contenido que comprenda la revisión solicitada. De esta comunicación y de la propuesta se enviará copia, a efectos de registro, a la Dirección General de Trabajo de la Comunidad de Canarias.
3. La negociación del nuevo Convenio, una vez denunciado el anterior, deberá comenzar en el plazo máximo de un mes a partir de la recepción de la comunicación de la denuncia, constituyéndose en ese plazo la Comisión Negociadora.
4. El plazo máximo para la negociación del nuevo Convenio, en su caso, será de ocho meses a partir del momento de expirar la vigencia del Convenio anterior, salvo para las materias contempladas en el artículo 7.2. del VI Convenio General del Sector de la Construcción para los que el plazo será de 14 meses.
5. Para solventar de manera efectiva las discrepancias existentes tras el trascurso de los plazos máximos de negociación establecidos en el apartado anterior sin alcanzarse un acuerdo, las partes se adhieren y someten a los procedimientos no judiciales de solución de conflictos establecidos o que puedan establecerse mediante acuerdos interprofesionales de ámbito estatal.
Artículo 8. Vinculación a la totalidad.
Las condiciones pactadas forman un todo orgánico e indivisible, a efectos de su aplicación práctica, serán consideradas globalmente en cómputo anual.
En el supuesto de que la autoridad competente no aprobara alguna de las partes contenidas en el presente convenio, será nula y quedará sin eficacia práctica, debiendo las partes firmantes reunirse en un plazo de 7 días, desde la notificación de la resolución con el fin de renegociar y considerar el contenido no aprobado.
Si en el plazo de 30 días a partir de la firmeza de la resolución, no hubiera acuerdo en los puntos a re-negociar, quedará en suspenso el Convenio Provincial procediéndose a una nueva negociación en su totalidad.
Artículo 9. Comisión Paritaria.
1. Se crea una Comisión Paritaria compuesta por un máximo de 8 miembros/as, que serán designados por mitad por cada una de las partes, Sindical y Empresarial.
Por la representación Sindical y durante la vigencia de este convenio 4 miembros/as que estarán representados en base a la legitimación dada por el Organismo Administrativo competente en cuanto a la representación que legalmente corresponda.
Por la representación empresarial 4 miembros/as durante la vigencia del presente convenio.
2. Los acuerdos de la Comisión Paritaria sobre interpretación o aplicación se adoptarán en todo caso por unanimidad mediante la correspondiente resolución y tendrán la misma eficacia jurídica y tramitación que el presente Convenio.
3. La Comisión se reunirá cuantas veces estime necesario para la buena marcha del presente Convenio y ella determinará, en cada caso, sus normas de funcionamiento.
Articulo 10. Funciones y procedimientos de la Comisión Paritaria.
La Comisión Paritaria a que se refiere el artículo anterior, tendrá las mismas funciones, que por analogía, establece el artículo 108 del VI Convenio General del Sector de la Construcción.
CAPÍTULO II. CONDICIONES ECONÓMICAS.
Artículo 11. Incrementos salariales.
Para los incrementos salariales se estará a lo que se establece en el Artículo 52 del VI Convenio General del Sector de la Construcción.
Por lo que se establece un incremento salarial para el año 2017 de 1,9% sobre todos los conceptos reflejados en las tablas salariales de 2016 y que figuran como ANEXO I del presente convenio, éste tendrá efectos desde el 1 de enero de 2017.
Los atrasos que el incremento salarial produce se abonaran a los trabajadores/as en los treinta días naturales a partir de la publicación en el Boletin Oficial de la Provincia de Santa Cruz de Tenerife.
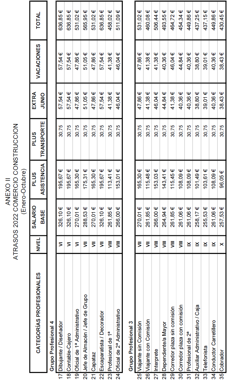
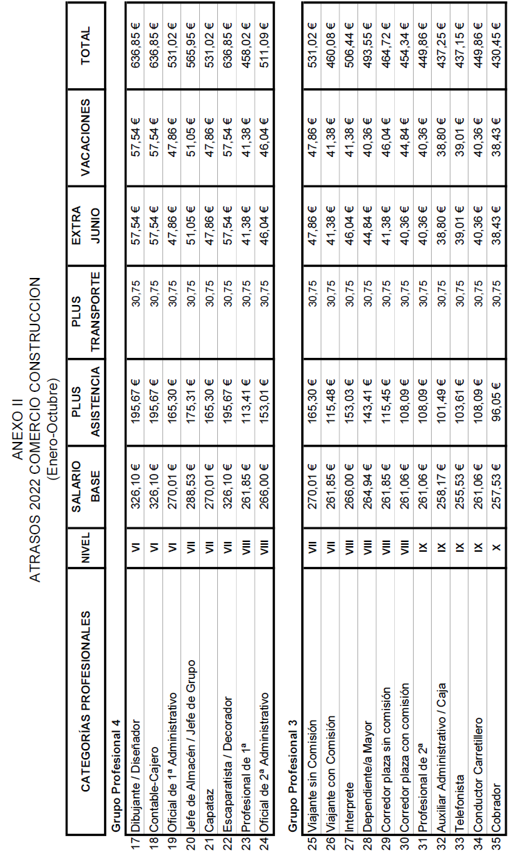
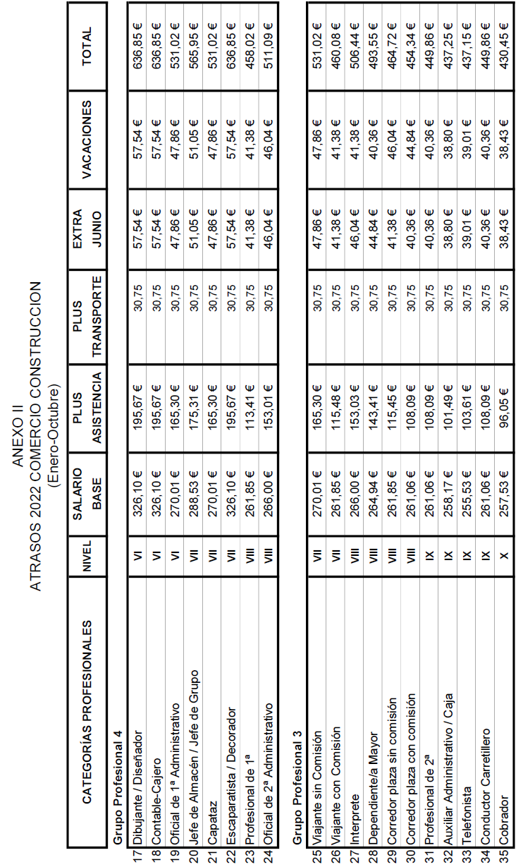
Las empresas que, por dificultades económicas, justificadas, no puedieran hacer efectivo la totalidad de los atrasos , podrán pactar con la representación legal de los trabajadores o la totalidad de la plantilla, en caso de no existir representación legal, el pago aplazado con un máximo de SEIS mensualidades en cantidades iguales. En el caso que durante el fraccionamiento fuese extinguida la relación laboral de algún trabajador/a, las cantidades pendientes serán abonadas de una sola vez en la liquidación correspondiente. Los atrasos que figuran en el Anexo II corresponden al año 2017 y enero del 2018.
Para el año 2018 se incrementaran los salarios con el 2,0% sobre todos los conceptos reflejados en las tablas salariales de 2017 y que figuran como ANEXO I del presente convenio, éste tendrá efectos desde el 1 de enero de 2018.
Artículo 12. Percepciones económicas.
1. Del conjunto de percepciones económicas, en dinero o en especie, que el trabajador obtiene en la relación de trabajo por cuenta ajena, unas las percibe como retribución o contraprestación directa por la prestación de su trabajo y son las que constituyen el salario, otras las recibe como compensación de gastos, como prestaciones y sus complementos e indemnizaciones o por modificaciones en su relación de trabajo, no formando ninguna de ellas parte del salario por ser percepciones de carácter extrasalarial.
2. Percepciones económicas salariales:
a) Salario base es aquélla parte de la retribución que se fija atendiendo exclusivamente a la unidad de tiempo con el rendimiento normal y exigible, en los términos del artículo 40.2 del VI Convenio General del Sector de la Construcción.
b) Complementos salariales o cantidades que, en su caso, deban adicionarse al salario base, atendiendo a las siguientes circ unstancias distintas de la unidad de tiempo:
-- Personales, tales como antigüedad consolidada, en su caso, y el complemento de discapacidad.
-- De puesto de trabajo, tales como las derivadas de trabajo nocturno o excepcionalmente tóxico, penoso o peligroso.
-- De calidad o cantidad de trabajo, tales como primas, incentivos, destajos, pluses de actividad o asistencia u horas extraordinarias.
-- Las cantidades que las empresas abonen libre y voluntariamente a sus trabajadores.
-- Las pagas extraordinarias y la retribución de vacaciones.
3. Percepciones económicas no salariales:
a) Las prestaciones e indemnizaciones de la seguridad social y sus complementos.
b) Las indemnizaciones o suplidos por gastos que hubieran de ser realizados por el trabajador como consecuencia de su actividad laboral, tales como herramientas y ropa de trabajo, así como las cantidades que se abonen en concepto de dietas, gastos de viaje o locomoción, pluses extrasalariales, y aquellas diferencias de alquiler o coste de vivienda que viniera percibiendo el trabajador.
c) Las indemnizaciones por ceses, movilidad geográfica, suspensiones, extinciones, resoluciones de contrato o despido y accidente de trabajo y enfermedad profesional.
4. Aquellos complementos salariales que tengan carácter funcional o circunstancial, como los de puesto de trabajo, los de calidad o cantidad de trabajo realizado, y las cantidades que las empresas abonen libre y voluntariamente, se considerarán no consolidables en el salario del trabajador y no se computarán como base de las percepciones enumeradas en el apartado 2 de este artículo.
5. Devengo de las percepciones económicas:
a. El Salario Base se devengará durante todos los días naturales por los importes que, para cada categoría y nivel, se fije para cada año en el ANEXO I Tablas Salariales.
b. Plus de asistencia, se devengará durante los días efectivamente trabajados por los importes que, para cada categoría y nivel, se fije para cada año en el ANEXO I Tablas Salariales.
También se abonara este plus los días no laborables de convenio y que se fijan anualmente por ajuste del calendario laboral.
d. Plus extrasalarial de distancia y transporte, se devengará para compensar los gastos originados por el transporte y distancia, como consecuencia de la actividad laboral del sector, durante los días efectivamente trabajados por los importes que, para cada categoría y nivel, se fije cada año en el ANEXO I Tablas Salariales.
También se abonara este plus los días no laborables de convenio y que se fijan anualmente por ajuste del calendario laboral.
c. Las pagas extraordinarias se devengarán por días naturales, en la siguiente forma:
– Paga de junio: del 1 de enero al 30 de junio.
– Paga de Navidad: del 1 de julio al 31 de diciembre.
El abono se realizará en los meses de junio y diciembre de cada año, antes de los días 30 y 20 de cada uno de ellos, respectivamente.
Su importe será el que se fije para cada año en el ANEXO I Tablas Salariales.A dicha cuantía se adicionará únicamente el complemento de antigüedad consolidada.
d. Paga de vacaciones, devengarán por días naturales de alta del trabajador/a en la empresa, su importe vendrá fijado para cada año en el ANEXO I Tablas Salariales.
6. El pago de todas las percepciones económicas estará sujeto a lo establecido en el artículo 51 del VI Convenio General del Sector de la Construcción.
Artículo 13.- Remuneración bruta anual y remuneración mínima bruta anual.
1. La remuneración bruta anual mencionada en el artículo anterior comprenderá todas las percepciones económicas pactadas en cada convenio, por nivel y categoría profesional.
De acuerdo con las formas de devengo, la remuneración bruta anual vendrá dada por la siguiente fórmula:
R.A. = S.B. x 335 + [(P.S. + P.E.) x (Número de días efectivos de trabajo)] + Vacaciones + P.J. + P.N.
Siendo:
R.A. = Remuneración Anual.
S.B. = Salario Base.
P.S. = Pluses salariales.
P.E. = Pluses extrasalariales.
P.J. = Paga de junio.
P.N. = Paga de Navidad.
2. Se establece una remuneración mínima bruta anual para el sector de la construcción para los años 2017 y 2018, para trabajadores a jornada completa, computándose a estos efectos la totalidad de los conceptos retributivos a percibir, por los niveles profesionales siguientes:
Artículo 14 Compensación en caso de I.T.
Al personal que esté en situación de Incapacidad Temporal, causada por accidente laboral o enfermedad profesional, y mientras el contrato de trabajo continúe vigente, se le complementará hasta el 100% del salario que venga percibiendo,a partir del séptimo día de baja y con un límite de 12 meses, en caso de que la baja fuese superior a los veinte días el/la trabajador/a percibirá el complemento del 100% desde el dia de la baja, en caso de hospitalización también se abonara desde el primer dia de baja.
Asi mismo y con independencia de las prestaciones a cargo de la entidad gestora por incapacidad temporal derivada de enfermedad común y profesional, y solo para los casos que sea necesaria la hospitalización, las empresas abonaran un complemento que, sumado a las prestaciones reglamentarias, garantice el 100% del salario base y pluses salariales establecidos en el convenio Provincial durante la aludida hospitalización y los 60 dias siguientes siempre que continue la situación de incapacidad temporal.
Artículo 15.- Complemento por discapacidad.
1. Los trabajadores que, reconocidos por el organismo oficial correspondiente, acrediten los grados de discapacidad que se recogen a continuación, percibirán como complemento personal las cantidades que se detallan:
2. El grado de discapacidad será único y generará, por tanto, el derecho a un solo complemento no pudiendo, en consecuencia, acumularse al grado ya existente otro superior que pudiera reconocerse con posterioridad. Si el grado de discapacidad se redujese el complemento a percibir se acomodará al nuevo tanto por ciento reconocido.
3. En el supuesto de que por la empresa se viniese ya abonando un complemento, ayuda o prestación que responda a la compensación de situaciones análogas a la establecida en el presente artículo, aquélla podrá aplicar al pago de este complemento personal la cantidad que ya venga abonando por similar concepto sin que, por tanto, se genere el derecho a un pago duplicado.
Artículo 16 Dietas.
Dentro de la filosofía regulada en el art. 82 del VI Convenio General del Sector de la Construcción, se establece:
1. La dieta es un concepto extrasalarial, de naturaleza indemnizatoria o compensatoria, y de carácter irregular, que tiene como finalidad el resarcimiento o compensación de los gastos de manutención y alojamiento del trabajador, ocasionados como consecuencia de la situación de desplazamiento.
2. El trabajador percibirá dieta completa cuando, como consecuencia del desplazamiento, no pueda pernoctar en su residencia habitual. Se devengará siempre por día natural.
3. Cuando el empresario organice y coste la manutención y alojamiento del personal desplazado, siempre que reúna las condiciones exigibles y suficientes, solamente satisfará el 20 por 100 de la dieta completa.
4. Se devengará media dieta cuando, como consecuencia del desplazamiento, el trabajador afectado tenga necesidad de realizar la comida fuera de su residencia habitual, no le fuera suministrada por la empresa y pueda pernoctar en la citada residencia. La media dieta se devengará por día efectivo trabajado.
5. El importe de la dieta completa y de la media dieta será para los años de vigencia del presente convenio colectivo la siguiente:
Año 2017: Dieta completa: 23,00 €; Media dieta: 8,00 €.
Año 2018: Dieta completa: 24,36 €; Media dieta: 8,30 €.
Año 2019: Dieta completa: 26,63 €; Media dieta: 8,60 €.
Año 2020: Dieta completa: 27,96 €; Media dieta: 9,00 €.
Año 2021: Dieta completa: 28,52 €; Media dieta: 9,40 €.
6. La dieta completa no se devengará en los casos de suspensión legal del contrato de trabajo, salvo en los casos de incapacidad temporal en los que la empresa mantenga el desplazamiento.
7. Dieta interinsular: se aplicará cuando el trabajador/a sea desplazado fuera de la isla en la que tenga su residencia habitual, en este caso, la empresa tendrá que costear todos los gastos de transporte, alojamiento y manutención del trabajador/a, incluso los pasajes de ida y vuelta. Estas dieta se abonarán durante todo el tiempo que el trabajador permanezca en la isla a la que fue desplazado, incluso sábados, domingos y festivos.
Artículo 17. Desgaste de herramientas.
Las empresas se comprometen a facilitar a los trabajadores/ras las herramientas y útiles de mano precisas para la realización de su trabajo.
Caso de que no lo hicieran y sea el trabajador/a el que aporta su propia herramienta, la empresa viene obligada a satisfacer al trabajador/a por el concepto de desgaste de herramientas la cantidad de diez (10,00 €) euros mensuales.
Artículo 18.Abono de horas extras.
En consonancia a lo establecido en el VI Convenio General del Sector de la Construcción, se pacta que los importes de las horas extraordinarias para cada una de las categorías o niveles se determinan en el ANEXO I del presente convenio.
Abonándose en cualquier caso las horas realizadas de lunes a viernes con el incremento del 75% sobre el salario hora y con el 100% las trabajadas en sábado, domingo y festivo.
Artículo 19. Plus extra salarial.
Cuando la empresa deba abonar íntegramente el importe del billete de ida y vuelta al centro de trabajo, podrá sustituirlo de mutuo acuerdo con el trabajador/a a razón de 0,19 céntimos/Km., con independencia del plus de transporte reconocido en la tabla salarial, si la fiscalidad estableciera un importe superior, se aplicaría este último, en todo caso, se respetaran las condiciones mas beneficiosas que se pudieran estar percibiendo a la vigencia del presente convenio.
Artículo 20. Permisos y Licencias.
A. El trabajador, previo aviso de al menos cuarenta y ocho horas, salvo acreditada urgencia, y justificación posterior, se encuentra facultado para ausentarse del trabajo, manteniendo el derecho a la percepción de todos aquellos conceptos retributivos, que no se encuentren vinculados de forma expresa a la prestación afectiva de la actividad laboral, por algunos de los motivos y por el tiempo siguiente:
1. En caso de matrimonio se concederán quince días naturales.
2. Por nacimiento o adopción de un hijo/a una licencia retribuida de cinco días naturales.
3. Un día por matrimonio de hijos/as.
4. Por fallecimiento: cinco días naturales para cónyuge y familiares de primer gradode consanguinidad o afinidad,tres días naturales para familiares de segundo grado de consanguinidad o afinidad, un día para familiares de tercer grado de consanguinidad o afinidad.
5. Dos días naturales -de los cuales al menos uno deberá ser laborablepor enfermedad o accidente grave, hospitalización o intervención quirúrgica sin hospitalización que precise reposo domiciliario para familiares hasta segundo grado de consanguinidad o afinidad. Estos días podrán solicitarse posteriormente al hecho causante en un plazo no superior a 6 días, a solicitud del trabajador/a y previa justificación.
6. Un día natural, por traslado de domicilio habitual.
7. Por el tiempo necesario para: Concurrir a exámenes, como consecuencia de los estudios que esté realizando en centros de enseñanza universitaria o de formación profesional de carácter público o privado, reconocidos.
8. Quien por razones de guarda legal tenga a su cuidado directo algún menor de 12 años o una persona con discapacidad física, psíquica o sensorial, que no desempeñe una actividad retribuida: asistencia a consulta médica por el tiempo necesario y previo aviso a la empresa, entregando a la misma el correspondiente justificante médico.
Si por las causas anteriores tuviese que desplazarse a otra isla del Archipiélago o a Península, se ampliará dicha licencia en dos días más.
La remuneración de los días a que hace referencia se abonarán a razón de salario base, más antigüedad consolidada del convenio vigente, salvo lo contemplado en el apartado 9 que será del 100% del salario que viene percibiendo.
B. Para lo no recogido en el presente artículo, remitirse al artículo 73 del VI Convenio General del Sector de la Construcción.
Artículo 21. Jornada de trabajo.
1. La jornada ordinaria anual durante el año 2017 será de 1.736 horas.
2. La jornada ordinaria semanal será de cuarenta horas (40h.) durante toda la vigencia del presente Convenio. La distribución de esta jornada en las obras de construcción será de lunes a jueves en 8 horas y 30 minutos y 6 horas de trabajo los viernes.
Se respetaran en materia de jornada y horarios las condiciones más beneficiosas que tengan pactadas las empresas.
3. Las empresas que, de acuerdo con la representación legal de los trabajadores, establezcan un calendario distribuyendo la jornada laboral pactada antes del día 30 de enero de cada año en los centros estables y en las obras con objeto de coordinar las actividades en la empresa, se regirán por el mismo. En dicho calendario se establecerán los días laborables y las horas diarias, que no podrán ser más de nueve, respetando en todo caso, los límites y el descanso entre jornada diaria y semanal previsto en el Estatuto de los Trabajadores.
En ausencia de calendario pactado en los centros de trabajo en los plazos previstos se observará el calendario establecido en el Convenio Provincial.
Artículo 22. Vacaciones.
El personal afectado por el presente convenio, sea cual fuese su modalidad de contratación laboral, tendrá derecho al disfrute de un período de vacaciones anuales retribuidas de treinta (30) días naturales de duración, de los cuales veintiún (21) días tendrán que ser laborables, pudiéndose distribuir éstos períodos de al menos diez días laborables e iniciándose, en cualquier caso, su disfrute, en día laborable que no sea viernes.
Para lo no recogido en el presente artículo, remitirse al artículo 73 del VI Convenio General del Sector de la Construcción y en el artículo 38 del TRLET.
Artículo 23. Formación continua para el empleo.
Para aquellos trabajadores/as que asistan a acciones formativas presenciales, correspondientes a la convocatoria de la Fundación Tripartita para la Formación en el Empleo, durante los años de vigencia del presente convenio, gestionadas por la Fundación Laboral de la Construcción, el 50% de las horas que precise esa acción será dentro de la jornada laboral, o se deducirán de la misma en dicho porcentaje, siempre que se den las siguientes condiciones:
a. La empresa podrá denegar la asistencia de un/a trabajador/a a una acción formativa, mediante resolución motivada, por razones técnicas, organizativas o de producción. En caso de denegación el/la trabajador/a podrá recurrir ante la Comisión Paritaria del Convenio Colectivo Provincial del Sector de la Construcción.
b. Los/Las trabajadores/as que pueden asistir a las acciones formativas contempladas en este artículo, no superarán anualmente el 10% de las plantillas, ni, en aquellos centros de trabajo con menos de 10 trabajadores/as, podrá concurrir más de uno.
c. El 50% de las horas a cargo de la empresa supondrá un máximo anual de 20 horas por trabajador/a, pudiendo distribuirse en una o varias acciones formativas.
d. El/La trabajador/a solicitante deberá haber superado el período de prueba y tener, en todo caso, una antigüedad mínima de un mes en la empresa.
e. Durante las horas formativas a cargo de la empresa el trabajador tendrá derecho al salario que le corresponda como si estuviera trabajando en jornada ordinaria.
f. El/La trabajador/a habrá de acreditar ante la empresa la asistencia a la correspondiente acción formativa.
g. Los permisos individuales de formación, recogidos en el IV Acuerdo Nacional de Formación, se regirán por lo dispuesto en el mismo.
Artículo 24. Finiquito.
El recibo de finiquito de la relación laboral entre empresa y trabajador/a, para que surta plenos efectos liberatorios, deberá ser conforme al modelo que figura en el presente convenio, ANEXO III, y con los requisitos y formalidades establecidos a continuación:
El recibo de finiquito, deberá ser numerado y original, siendo inválidos los fotocopiados, solamente será expedido por la Federación Provincial de Entidades de la Construcción de Santa Cruz de Tenerife, FEPECO. Paseo Milicias de Garachico, nº 4 A, edificio Continental 38002 Santa Cruz de Tenerife. Teléfonos: 922245307/08. Fax 922245941. Correo electrónico: administración@fepeco.org.
El finiquito tendrá validez únicamente dentro de los 15 días naturales siguientes a la fecha que sea sellado por la Dirección Territorial de Trabajo en S/C de Tenerife o por las Delegaciones del Gobierno en La Palma, La Gomera y El Hierro.
Artículo 25. Preaviso fin de contrato e indemnización.
En todos los supuestos regulados en el artículos 24 y 25 del VI Convenio General del Sector de la Construcción 2017-2021 y según lo previsto en al Artículo 49.1c del Estatuto de los/las Trabajadores/as se establece una indemnización por cese, del trabajador/a en la empresa, equivalente al 7% calculada sobre los conceptos salariales, fijados en el presente convenio, devengados durante la vigencia del contrato.
El cese de los/las trabajadores/as vinculados a la empresa por un contrato de obra o servicio determinado por terminación de los trabajos de su oficio y categoría deberá comunicarse por escrito al trabajador/a con una antelación de quince días naturales. No obstante el empresario podrá sustituir este preaviso por una indemnización equivalente a la cantidad correspondiente a los días de preaviso omitidos, calculada sobre los conceptos salariales de las tablas del vigente Convenio Colectivo Provincial del Sector de la Construcción, todo ello sin perjuicio de la notificación escrita del cese. La citada indemnización deberá incluirse en el recibo de salarios con la liquidación correspondiente.
Asimismo los/las trabajadores/as deberán comunicar con siete días naturales de antelación su baja voluntaria de la empresa. De no cumplirseeste requisito, la empresa podrá descontar de la liquidación, en concepto de compensación la cantidad de 30 euros por cada día de aviso omitido.
Artículo 26. Subrogación de personal en contratas de mantenimiento de carreteras o vías férreas, redes de agua, concesiones municipales para el mantenimiento y conservación de aceras, pavimentos, vías públicas y alcantarillado.
1. Al objeto de contribuir a garantizar el principio de estabilidad en el empleo de los trabajadores empleados por empresas y entidades que se sucedan mediante cualquier modalidad contractual, total o parcialmente, en cualquier contrata de conservación y/o mantenimiento de autopistas, autovías, carreteras o vías férreas, redes de agua, así como concesiones municipales para el mantenimiento y conservación de aceras, pavimentos, vías públicas, alcantarillado, infraestructuras y edificios a que se refiere el artículo 3, apartado b) y el Anexo l, apartado b) del presente Convenio Colectivo, se establece, con carácter exclusivo para tales actividades, la obligación de subrogación del personal entre las empresas saliente y entrante, la cual se llevará a cabo conforme a los requisitos y condiciones que se detallan en el presente artículo.
En lo sucesivo, el término «contrata» engloba con carácter genérico cualquier modalidad de contratación pública, referida a las actividades anteriormente descritas, que pasa a ser desempeñada, de modo parcial o total, por una determinada empresa, sociedad, organismo público u otro tipo de entidad, sea cual sea la forma jurídica que adopten.
2. En todos los supuestos de finalización, pérdida, rescisión o cesión de una contrata, así como respecto de cualquier otra figura o modalidad que suponga la sustitución entre entidades, personas físicas o jurídicas que lleven a cabo la actividad de que se trata, los trabajadores de la empresa saliente adscritos a dicha contrata pasarán a adscribirse a la nueva empresa o entidad que vaya a realizar la actividad objeto de la contrata, respetando ésta los derechos y obligaciones que disfruten en la empresa sustituida.
Dado el carácter de mejora de la legislación vigente que supone la subrogación prevista en este artículo, se establece expresamente que tales derechos y obligaciones quedarán limitados exclusivamente a los generados por el último contrato suscrito por el trabajador con la empresa saliente de la contrata, sin que la empresa entrante se encuentre vinculada por cualquier contrato o pacto anterior a aquél, particularmente a efectos de años de servicio, indemnizaciones por despido y cualesquiera otros conceptos que tomen en consideración el tiempo de prestación de servicios, a menos que ya tuviera reconocido el trabajador tales derechos mediante sentencia judicial firme con anterioridad a producirse la subrogación y le hubieran sido comunicados a la empresa entrante en el plazo y forma regulados en este artículo.
3. Será requisito necesario para tal subrogación que los trabajadores lleven prestando sus servicios en la contrata que cambia de titular, al menos cuatro meses antes de la fecha de finalización efectiva de la misma, sea cual fuere la modalidad de su contrato de trabajo, con independencia de que, con anterioridad al citado período de cuatro meses, hubieran trabajado en otra contrata. El personal o trabajadores que no reúnan estos requisitos y condiciones no tendrán derecho a ser subrogados.
También se producirá la mencionada subrogación del personal en cualquiera de los siguientes supuestos:
a) Trabajadores, con derecho a reserva de puesto de trabajo, que en el momento de la finalización efectiva de la contrata tengan una antigüedad mínima de cuatro meses en la misma y se encuentre en situación de suspensión de su contrato de trabajo por alguna de las causas establecidas en el artículo 45 del E.T.
b) Trabajadores con contrato de interinidad que sustituyan a alguno de los trabajadores mencionados en el apartado anterior, con independencia de su antigüedad y mientras dure su contrato.
c) Trabajadores de nuevo ingreso que por exigencia del cliente se hayan incorporado a la contrata como consecuencia de una ampliación que perdure en la siguiente contrata, aunque no lleven los cuatro meses de antigüedad.
d) Trabajadores que sustituyan a otros que se jubilen, de forma parcial o total, dentro de los últimos cuatro meses anteriores a la finalización efectiva de la contrata.
4. Al objeto de garantizar la transparencia en el proceso de licitación, la empresa o entidad en la que se extinga o concluya el contrato, en el momento de iniciarse el procedimiento estará obligada a tener a disposición de las empresas licitadoras la relación de todo el personal objeto de la posible subrogación en la que se especifique, nombre y apellidos, documento nacional de identidad, número de afiliación a la seguridad social, antigüedad, jornada y horario, modalidad de contratación, fecha de disfrute de vacaciones y retribuciones que, por cualesquiera conceptos, vinieran percibiendo, especificando los mismos y sus importes.
5. Asimismo, será requisito imprescindible para que opere esta subrogación que la empresa a la que se le extinga o concluya el contrato, notifique por escrito la obligación de subrogación a la nueva empresa adjudicataria o entidad que asuma la contrata en el término improrrogable de quince días naturales anteriores a la fecha efectiva de finalización de la contrata, o de quince días a partir de la fecha de comunicación fehaciente del cese, facilitándole al mismo tiempo los siguientes documentos:
a) Certificado del organismo competente de estar al corriente de pago de la seguridad social y primas de accidentes de trabajo de todos los trabajadores cuya subrogación se pretende o corresponda.
b) Fotocopia de las cuatro últimas nóminas o recibos de salarios mensuales de los trabajadores afectados por la subrogación.
c) Fotocopia de los TC1 y TC2 de cotización de la seguridad social de los últimos cuatro meses, en los que figuren los trabajadores afectados.
d) Fotocopia del parte de alta en la seguridad social de los trabajadores afectados.
e) Relación de todo el personal objeto de la subrogación, en la que se especifique nombre y apellidos, documento nacional de identidad, número de afiliación a la seguridad social, antigüedad, jornada y horario, modalidad de contratación, fecha de disfrute de vacaciones y retribuciones que, por cualesquiera conceptos, vinieran percibiendo, especificando los mismos y sus importes.
f) Fotocopia de los contratos de trabajo que tengan suscritos los trabajadores afectados.
g) Toda la documentación relativa a la prevención de riesgos laborales.
h) En su caso, documentación acreditativa de las situaciones a que se refiere el apartado 3, párrafos a, b, c y d del presente artículo.
Asimismo, será necesario que la empresa saliente acredite documentalmente a la entrante, antes de producirse la subrogación, mediante copia de documento diligenciado por cada trabajador afectado, que éste ha recibido de la empresa saliente su liquidación de partes proporcionales de sus retribuciones hasta el momento de la subrogación, no quedando pendiente cantidad alguna. A estos efectos, los trabajadores que no hubieran disfrutado de sus vacaciones reglamentarias al producirse la subrogación las disfrutarán con la nueva adjudicataria del servicio, que sólo deberá abonar la parte proporcional del período que a ella corresponda, ya que el abono del otro período corresponde al anterior adjudicatario, que deberá efectuarlo en la correspondiente liquidación.
6. En el supuesto de que una o varias contratas cuya actividad viene siendo desempeñada por una o distintas empresas o entidades se fragmenten o dividan en distintas partes, zonas o servicios al objeto de su posterior adjudicación, pasarán a estar adscritos al nuevo titular aquellos trabajadores que cumplan con los requisitos previstos en el apartado 3 de este artículo referidos a la anterior contrata, y respecto de los que la empresa o empresas salientes hubieran cumplido con las obligaciones establecidas en el apartado 5 del mismo.
7. En el caso de que distintas contratas, servicios, zonas o divisiones de aquéllas se agrupen en una o varias, la subrogación de personal operará respecto de todos aquellos trabajadores que cumplan con los requisitos previstos en el apartado 3 de este artículo referidos a alguna de las anteriores contratas, y respecto de los que la empresa o empresas salientes hubieran cumplido con las obligaciones establecidas en el apartado 5 del mismo.
8. La aplicación de este artículo será de obligado cumplimiento para las partes a que vincula, empresa o entidad cesante, nueva adjudicataria y trabajador, por lo que, cumplidos los requisitos establecidos en los apartados 3, 4 y 5 del presente artículo, operará en todos los supuestos de sustitución de contratas, partes o zonas de las mismas que resulten de la fragmentación o división de las mismas, así como en las agrupaciones que de aquéllas puedan efectuarse, aun tratándose de las normales sustituciones que se produzcan entre empresas o entidades que lleven a cabo la correspondiente actividad. Todo ello con independencia de los supuestos de sucesión de empresa en los que se estará a lo dispuesto en el artículo 44 del E.T.
9. No desaparece el carácter vinculante de la subrogación prevista en este Artículo en el caso de que el organismo público que adjudica la contrata suspendiese la actividad objeto de la misma por un período no superior a doce meses.
9. Cuando se produzca una subrogación, el personal objeto de la misma deberá mantener las condiciones económicas y sociales de este Convenio, si éste fuera el que le es de aplicación en la empresa cesante en el momento de la subrogación, aunque la empresa cesionaria o entrante viniese aplicando a sus trabajadores condiciones inferiores en virtud de un convenio estatutario de empresa. La aplicación de las condiciones del presente Convenio se mantendrá hasta la finalización de la vigencia establecida en esta materia en el artículo 7 referido al ámbito temporal, punto 2.
CAPITULO III.- DISPOSICIONES ADICIONALES.
DISPOSICIÓN ADICIONAL PRIMERA.
En todo lo no previsto en este convenio, se estará a lo dispuesto en el Estatuto de los Trabajadores, VIConvenio General del Sector de la Construcción 2017-2021 y demás disposiciones legales vigentes.
DISPOSICIÓN ADICIONAL SEGUNDA.
En las tablas salariales donde se especifican las categorías con experiencia de menos de 2 años y más de 2 años. Esta experiencia se entiende como experiencia profesional desarrollada a lo largo de la vida laboral.
DISPOSICIÓN ADICIONAL TERCERA.
Plus de conservación, guardias, retén, disponibilidad y sistemas de viabilidad invernal en contratas que les e de aplicación el artículo 26 del presente convenio.
1. Se establece un Plus de Conservación en Contratas de Mantenimiento de Carreteras que se configura de la siguiente forma:
a) Concepto y cuantía.- Se trata de un complemento salarial de puesto de trabajo, que retribuye las especiales características que concurren en la prestación de servicio del personal de conservación y mantenimiento de carreteras, encuadrados en los grupos profesionales del 1 al 5del presente Convenio que desempeñen el trabajo de forma habitual en autopistas, autovías y carreteras, de forma que dicho plus retribuye todas las peculiaridades y circunstancias propias e inherentes que concurran o puedan concurrir en la realización de trabajos en autopistas, autovías y carreteras, redes de agua, así como concesiones municipales para el mantenimientoy conservación de aceras, pavimentos, vías públicas, alcantarillado, infraestructuras(trabajos a la intemperie, con tráfico rodado, climatología adversa, con cortes parciales o totales del tráfico, etc.); así como todas aquellas exigencias funcionales o que se deriven de la forma, organización, condiciones, o sistema de trabajo que deba implementarse para la adecuada conservación y mantenimiento de este tipo de infraestructuras.
En consideración a lo expuesto en el párrafo precedente, se abonará un plus anual por día efectivo de trabajo de 4 euros, o la parte proporcional que corresponda si la jornada ordinaria efectivamente trabajada fuese inferior a la de un trabajador equivalente a jornada completa.
Dicho importe permanecerá invariable durante toda la vigencia del presente Convenio y, en todo caso, durante la vigencia de la contrata que corresponda.
b) Compensación y absorción.- Cualquier empresa que a la entrada en vigor del presente Convenio Colectivo, de forma voluntaria, mediante práctica habitual, acuerdo individual o colectivo, pacto de centro, o por sentencia, resolución o acuerdo judicial, ya viniese abonando o tuviera que abonar, mediante cualquier concepto o fórmula retributiva, una compensación económica por las circunstancias descritas con anterioridad, dichas compensaciones económicas quedarán compensadas y absorbidas con el abono del citado plus de conservación, total o parcialmente según corresponda.
c) Regulación transitoria.- El abono del referido plus de conservación se aplicará y se hará efectivo de forma paulatina y progresiva en el tiempo, y por tanto únicamente será obligado su abono en cada contrato de conservación de carreteras para las contratas nuevas que se liciten desde el día siguiente a la publicación del presente Convenio Colectivo en el Boletín Oficial de la Provincial.
2. En aquellos centros de trabajo, cuando por necesidades del servicio y decisión organizativa de la empresa, se hubiera implantado o fuera necesario establecer un sistema de guardias, reten, disponibilidad y/o sistemas de vialidad invernal en de mantenimiento de carreteras o vías férreas, redes de agua, concesiones municipales para el mantenimiento y conservación de aceras, pavimentos, vías públicas y alcantarillado se pactará entre empresa y la representación legal de los trabajadores el sistema de compensación para los trabajadores afectados por estas circunstancias.
En el caso de que la empresa ya viniese compensando por cualquier concepto o denominación a los trabajadores por las circunstancias descritas en el párrafo anterior, en virtud de acuerdo, pacto o practica habitual, se entenderá cumplida la estipulación anterior, manteniéndose vigentes dichas compensaciones.
DISPOSICIÓN ADICIONAL CUARTA.
Las organizaciones firmantes coinciden en que son objetivos importantes para el logro de una igualdad de trabajo y de oportunidades entre mujeres y hombres en el ámbito laboral se comprometen a adoptar las medidas que se estimen necesarias, todo ello, bajo los principios contemplados en el artículo 114 del vigente VI Convenio General del Sector de la Construcción.
DISPOSICIÓN ADICIONAL QUINTA.
Las partes signatarias del presente convenio, conscientes de la necesidad de apoyar e impulsar conjuntamente todas aquellas medidas que favorezcan la reducción de la siniestralidad laboral en el sector, consideran importante destacar los aspectos relativos a la seguridad y salud, contenidos en el libro II del VI Convenio General del Sector de la Construcción, en donde se desarrollan las funciones del Órgano Paritario para la Prevención en la Construcción y se especifican los contenidos formativos por puestos de trabajo en materia preventiva.
DISPOSICIÓN ADICIONAL SEXTA.
En aplicación del artículo 48.2.b) y 60.1 del VI Convenio General del Sector de la Construcción, las partes signatarias del presente Convenio Colectivo Provincial, acuerdan que la homogeneización que resulte de su aplicación a las tablas salariales se realizará antes de la finalización del período de vigencia del presente Convenio Colectivo Provincial.
Según lo dispuesto en el artículo 48.2 apartado b), del VI Convenio General del Sector de la Construcción, el plus de transporte para el presente año, recogido en las tablas salariales, quedará congelado, pasando el incremento correspondiente a ser absorbido por el plus de asistencia.
DISPOSICIÓN ADICIONAL SÉPTIMA.
Con el objeto de establecer el marco que posibilite un mayor grado de estabilidad respecto del empleo en el sector, se considera preciso establecer mecanismos que conduzcan a la aplicación de aquellas medidas que, con carácter preventivo y coyuntural, se dirijan a favorecer aquél y ello mediante la suspensión, siempre con carácter temporal, de la aplicación efectiva del Convenio sobre determinadas condiciones de trabajo.
Dichas medidas tendrán por objeto la inaplicación temporal y efectiva del Convenio, todo ello dentro del marco legal y convencional establecido.
En esta disposición adicional, se estará a lo dispuesto en los artículos 15, 16 y 17 del Capítulo III Inaplicación de condiciones de trabajo del VI Convenio General del Sector de la Construcción.
ANEXO III.- Finiquito.
CALENDARIO 2018 (BOP núm. 152, miércoles 20 de diciembre de 2017)
Código 38000535011982.
Visto el Calendario Laboral del año 2018, del Convenio Colectivo de la Construcción y Obras Públicas de Santa Cruz de Tenerfie, presentado en esta Dirección General del Trabajo, suscrito por la Comisión Negociadora, de conformidad con lo
dispuesto en el artículo 90, 2 y 3 del Real Decreto Legislativo 2/2015, de 23 de octubre, por el que se aprueba el texto refundido de la Ley del Estatuto de los Trabajadores, artículo 2 del Real Decreto 713/2010 sobre registro y depósito de convenios y acuerdos colectivos de trabajo, competencia transferida a la Comunidad Autónoma de Canarias por Real Decreto 1033/84 de 11 de abril (B.O.E. 1.6.84) y Decreto 124/2016 de 19 de septiembre (B.O.C. 27.09.2016).
Esta Dirección General de Trabajo, acuerda:
1.- Ordenar su inscripción en el Registro de Convenios Colectivos de Trabajo de esta Dirección General de Trabajo.
2.- Notificar a la Comisión Negociadora.
3.- Interesar su publicación en el Boletín Oficial de la Provincia.
Director General de Trabajo, José Miguel González Hernández.
ACTA DE LA COMISIÓN NEGOCIADORA DEL CONVENIO PROVINCIAL DEL SECTOR DE LA CONSTRUCCIÓN DE SANTA CRUZ DE TENERIFE.
Asistentes:
Por FEPECO: Don Óscar Luis Izquierdo Gutiérrez, Don Isidro Tomas Martín Martín, Doña Lidia Vanesa Díaz Trujillo, Don José Manuel Jiménez Naranjo y Doña Edita Gómez Pérez.
Por UGT-FICA: Don Luis J. Fernández Aragón, Don Ramiro González Rodríguez y Doña Beatriz M. Méndez Díaz.
Por CCOO de Construcción y Servicios de Canarias: Don José Manuel Ojeda García y Don Agustín Paulino González Dorta.
En Santa Cruz de Tenerife, en la sede FEPECO siendo las 12,00 horas del día 13 de noviembre de 2017, se reúne la Comisión Negociadora del Convenio Provincial del Sector de la Construcción de Santa Cruz de Tenerife, para tratar la distribución de la jornada laboral anual para el año 2018 en aplicación del artículo 12.4.c, y el 67.1 del VI Convenio General del Sector de la Construcción y artículo 18 del Convenio Colectivo Provincial. Visto y estudiado el calendario laboral de la Comunidad Autónoma de Canarias, publicado en el Boletín Oficial de Canarias nº 116 de 19 de junio de 2017 (Decreto 165/2017, de 12 de junio), y la modificación del citado Decreto por el 209/2017, por el que se declaran fiestas propias de la Comunidad Autónoma de Canarias para el año 2018 y después de una amplia deliberación con relación al calendario laboral que ha de regir en el año 2018, y computado el Acuerdo del Convenio General del Sector, donde la jornada laboral anual establecida para el año 2018 es de 1736 horas, la Comisión Negociadora acuerda:
1.- Tomar como referencia a efectos de vacaciones anuales 168 horas, equivalentes a 21 días laborales.
2.- Que el total de días laborales para el año 2018 asciende 251, a los cuales hay que descontar los 21 días de vacaciones y los 2 días de fiestas locales, lo que suponen 228 días, que en total suman 1.824 horas al año. Como quiera que el artículo 67 del VI Convenio General del Sector de la Construcción y el artículo 18 del Convenio Provincial especifican que la jornada ordinaria anual para el año 2018 será de 1736 horas y de acuerdo a lo especificado anteriormente, la jornada compensable para el mencionado año será de 88 horas.
3.- Que conforme a lo señalado en los puntos anteriores, se compensarán las referidas las 88 horas de la forma siguiente:
a) Fijar como días no laborables y compensados a razón de salario base, plus de asistencia y plus de transporte de las tablas salariales del convenio y/o a razón los pactos salariales individuales superiores al convenio, para el año 2018 los siguientes:
2 de enero.
12 de febrero.
30 de abril.
2 de noviembre.
7, 24 y 31 de diciembre.
Representando estos días 56 horas.
b) Acumular al período de vacaciones anuales o días de asuntos propios cuatro días laborales, que representan 32 horas. Los trabajadores/as de la construcción acogidos a contratos de trabajo de duración determinada que no presten servicios efectivos durante todo el año, finalizando los mismos antes del 31 de diciembre de 2018, le serán compensados los días pendientes de disfrutar mediante su abono en sus respectivas liquidaciones.
4.- En los municipios o islas que han fijado sus fiestas locales e insulares coincidiendo en sábado y a fin de compensar el exceso de horas que esto conlleva, se producirá el traslado del descanso al primer día hábil siguiente, considerándose por tanto, dicho día como inhábil pero retribuido en los mismos conceptos establecidos el apartado a) del acuerdo 3º.
5.- De común acuerdo, empresa y trabajadores podrán fijar una distribución distinta de los días establecidos en el apartado a) y b) del acuerdo 3º.
6.- Las empresas del Comercio de la Construcción, por la competitividad existente en el mercado y ante las dificultades que las mismas puedan tener, por las circunstancias de su actividad, acordaran con sus trabajadores y trabajadoras una distribución distinta de las fechas aquí pactadas, fijando el acuerdo en el calendario laboral de la empresa y respetando en todo momento la jornada semanal de 40 horas distribuidas de lunes a sábado y el cómputo máximo anual de 1736 horas.
7.- Autorizar y delegar expresamente en Doña Lidia Vanesa Díaz Trujillo para cuantas actuaciones fuesen necesarias para proceder a tramitar su registro y publicación de los presentes acuerdos.
8.- El presente acuerdo entrara en vigor a partir de su publicación en el BOP.
Sin más asuntos que tratar y en muestra de conformidad, ratifican y firman los presentes a las 13,00 horas en el lugar y día de la fecha.
FEPECO.- UGT FICA Canaria.- CCOO de Construcción y Servicios de Canarias.
TABLAS SALARIALES (BOP núm. 38, miércoles 28 de marzo de 2018)
CORRECCIÓN DE ERRORES
Advertido error en el BOP nº 33, de fecha 16 de marzo de 2018, relativo a la inscripción en el Registro de Convenios Colectivos de Trabajo de la Dirección General de Trabajo del Convenio Colectivo Provincial de la Construcción de la Provincia de Santa Cruz de Tenerife, adjunto se remiten las tablas salariales correspondiente al Convenio Colectivo citado, que por error no fue incorporada al mismo.
Director General de Trabajo, José Miguel González Hernández.
MODIFICACIÓN (BOP núm. 92, miércoles 1 de agosto de 2018)
Código 38000535011982.
Vista la modificación del Convenio Colectivo de Construcción y Obras Públicas de la Provincia de Santa Cruz de Tenerife, presentado en esta Dirección General del Trabajo, suscrito por la Comisión Negociadora, de conformidad con lo dispuesto en el artículo 90, 2 y 3 del Real Decreto Legislativo 2/2015, de 23 de octubre, por el que se aprueba el texto refundido de la Ley del Estatuto de los Trabajadores, articulo 2 del Real Decreto 713/2010 sobre registro y depósito de convenios y acuerdos colectivos de trabajo, competencia transferida a la Comunidad Autónoma de Canarias por Real Decreto 1033/84 de 11 de abril (B.O.E. 1.6.84) y Decreto 124//2016 de 19 de septiembre (B.O.C. 27/09/2016).
Esta Dirección General de Trabajo, acuerda:
1.- Ordenar su inscripción en el Registro de Convenios Colectivos de Trabajo de esta Dirección General de Trabajo.
2.- Notificar a la Comisión Negociadora.
3.- Interesar su publicación en el Boletín Oficial de la Provincia.
Director General de Trabajo, José Miguel González Hernández.
Por la representación empresarial:
Por FEPECO:
D. Óscar Izquierdo Gutiérrez.
D. Ignacio Tomás Martín Martín.
Doña Edita García Pérez.
Doña Lidia Vanesa Díaz Trujillo.
Por la representación de los trabajadores:
Por FICA-UGT:
D. Pascasio Medina Sánchez.
D. Luis J. Fernández Aragón.
Por Construcción y Servicios-CC.OO.:
D. José Manuel Ojeda García.
D. Agustín Paulino González Dorta.
En Santa Cruz de Tenerife, siendo las 9:30 horas del día 16 de abril de 2018, se reúnen en la sede de FEPECO las personas relacionadas al margen, en su calidad de representantes de las organizaciones sindicales y empresariales firmantes del vigente Convenio Colectivo del Sector de la Construcción de la Provincia de Santa Cruz de Tenerife para los años 2017-2021. La reunión tiene por objeto tratar de aclarar la redacción del artículo 14 Compensación en caso de I.T. y Diferencias económicas en el Anexo II Atrasos 2017, así como las notas al pie de las tablas salariales. Tras el debate y por unanimidad se llega a los siguientes acuerdos:
Primero.- Dar nueva redacción al artículo 14 Complemento en caso de I.T. con el sexto siguiente:
Artículo 14 Compensación en caso de I.T.
Al personal que este´en situación de Incapacidad Temporal, causada por accidente laboral o enfermedad profesional, y mientras el contrato de trabajo continúe vigente, se le complementara´hasta el 100% del salario que venga percibiendo, a partir del séptimo día de baja y con un límite de 12 meses, en caso de que la baja fuese superior a los veinte días el/la trabajador/a percibirá el complemento del 100% desde el día de la baja, en caso de hospitalización también se abonara desde el primer día de baja. Así mismo y con independencia de las prestaciones a cargo de la entidad gestora por incapacidad temporal derivada de enfermedad común y accidente no laboral, y solo para los casos que sea necesaria la hospitalización, las empresas abonaran un complemento que, sumado a las prestaciones reglamentarias, garantice el 100% del salario base y pluses salariales establecidos en el convenio Provincial durante la aludida hospitalización y los 60 días siguientes siempre que continúe la situación de incapacidad temporal.
Segundo.- El importe total en concepto de atrasos de 2017 (enero-diciembre) del anexo II para la categoría de Oficial de 2ª de Oficio que debe ser de 324,81 euros en lugar de los 303,12 euros.
Tercero.- Modificación de los artículos que figuran al pie de las tablas salariales de 2017, 2018 y atrasos 2017 Anexos I y II por:
*Según se establece en el VI Convenio General del Sector de la Construcción en su artículo 71.a.
Cuarto.- Delegar en Dña. Lidia Vanesa Díaz Trujillo para que realice los trámites oportunos a los efectos de su registro y publicación en virtud de lo dispuesto en el artículo 89 y siguientes del Estatuto de los Trabajadores, de los acuerdos aquí tomados.
Sin más asuntos que tratar, se levanta la sesión, siendo las 10:30 horas del mismo día y lugar.
Por: FEPECO.- Por: UGT-FICA Canarias.- Por: CCOO de Construcción y Servicios.
CALENDARIO 2019 (BOP núm. 13, miércoles 30 de enero de 2019)
Código 38000535011982.
Visto el Calendario Laboral para el año 2018 del Convenio Colectivo Provincial del sector de la Construcción, presentado en esta Dirección General del Trabajo, suscrito por la Comisión Negociadora, de conformidad con lo dispuesto en el artículo 90, 2 y 3 del Real Decreto Legislativo 2/2015, de 23 de octubre, por el que se aprueba el texto refundido de la Ley del Estatuto de los Trabajadores, artículo 2 del Real Decreto 713/2010 sobre registro y depósito de convenios y acuerdos colectivos de trabajo, competencia transferida a la Comunidad Autónoma de Canarias por Real Decreto 1033/84 de 11 de abril (B.O.E. 1.6.84) y Decreto 124//2016 de 19 de septiembre (B.O.C. 27/09/2016).
Esta Dirección General de Trabajo, acuerda
1.- Ordenar su inscripción en el Registro de Convenios Colectivos de Trabajo de esta Dirección General de Trabajo.
2.- Notificar a la Comisión Negociadora.
3.- Interesar su publicación en el Boletín Oficial de la Provincia.
Director General de Trabajo, José Miguel González Hernández.
ACTA INICIAL Y FINAL DE LA COMISIÓN NEGOCIADORA DEL CONVENIO COLECTIVO PROVINCIAL DEL SECTOR DE LA CONSTRUCCIÓN DE SANTA CRUZ DE TENERIFE 2017-2021.
Por la Representación Empresarial:
Por FEPECO:
D. Óscar Izquierdo Gutiérrez.
D. José M. Jiménez Naranjo.
Dña. Lidia Vanesa Díaz Trujillo.
D. Isidro Tomás Martín Martín.
Dña. Edita Gómez Pérez.
Por la Representación de los Trabajadores:
Por UGT-FICA Canarias:
D. Ramiro Rodríguez González.
Dña. Beatriz M. Méndez Díaz.
D. Pascasio Medina Sánchez.
D. Luis J. Fernández Aragón (Asesor).
Por CCOO. de Construcción y Servicios de Canarias:
D. José Manuel Ojeda García.
D. Agustín González Dorta.
En Santa Cruz de Tenerife, siendo las 09:00 horas del día 12 de noviembre de 2018, se reúnen en la sede de FEPECO las personas relacionadas al margen, en su calidad de representantes de la Comisión Negociadora del Convenio Provincial del Sector de la Construcción 2017-2021 (código convenio 38000535011992), para tratar la distribución de la jornada laboral anual del año 2019, en aplicación del artículo 12.4.c. y el 67.5 del VI Convenio General del Sector de la Construcción, así como y el artículo 21 del Convenio Colectivo de la Provincia de Santa Cruz de Tenerife.
Visto y estudiado el calendario laboral de la Comunidad Autónoma de Canarias, publicado en el Boletín Oficial de Canarias nº 132 del 10 de julio de 2018 y los artículos anteriormente mencionados se desprende lo siguiente:
Que el total de días laborales para el año 2019 ascienden a 251 (2008 horas) a los cuales hay que descontar 21 días (168 horas) de vacaciones, 1 día (8 horas) de fiesta insular y 2 días (16 horas) de fiestas locales, resultando 227 días laborales que representan 1816 horas de trabajo al año. Como quiera que el artículo 67 del VI Convenio General del Sector de la Construcción especifica que la jornada ordinaria anual máxima será´ de 1736 horas se produce un exceso de jornada de 80 horas que equivalen a 10 días laborales.
Por todo lo anterior, las partes,
Acuerdan:
Primero.- Tomar como referencia a efectos de vacaciones anuales 168 horas, equivalentes a 21 días laborales.
Segundo.- Que conforme a lo señalado con anterioridad, se compensarán las referidas las 80 horas de la forma siguiente:
a) Fijar como días no laborables de convenio para el año 2019 los siguientes:
4 de marzo, lunes.
31 de mayo, viernes.
16 de agosto, viernes.
11 de octubre, viernes.
24 de diciembre, martes.
de diciembre, martes.
b) Acumular al período de vacaciones anuales o días de asuntos propios cuatro (4) días laborales, que representan 32 horas.
c) Los/las trabajadores/as que no presten servicios efectivos durante todo el año, le serán compensados los días pendientes de disfrutar señalados en los apartados a) y b) anteriores, de manera proporcional al periodo trabajado mediante su abono en sus respectivas liquidaciones.
d) Todos los días no laborables indicados en los apartados a), b) y c) serán compensados a razón de salario base, plus de asistencia y plus de transporte de las tablas salariales del convenio y/o a razón de los pactos salariales individuales superiores al convenio.
Tercero.- En los municipios que fijen sus fiestas locales coincidiendo en sábado y a fin de compensar el exceso de horas que esto conlleva, se producirá el traslado del descanso al primer día hábil siguiente, considerándose por tanto, dicho día inhábil y retribuido a razón de salario base o al valor de los pactos salariales individuales superiores al convenio.
Cuarto.- En las islas que fijen sus fiestas insulares coincidiendo en sábado y a fin de compensar el exceso de horas que esto conlleva, se producirá´ el traslado del descanso al primer día hábil siguiente, considerándose por tanto, dicho día como inhábil y retribuido a razón de salario base o al valor de los pactos salariales individuales superiores al convenio.
Quinto.- De común acuerdo, empresa y trabajadores podrán fijar una distribución distinta de los días establecidos en los apartados a) y b) del acuerdo segundo.
Sexto.- Las empresas del Comercio de la Construcción, por la competitividad existente en el mercado y ante las dificultades que las mismas puedan tener y por las circunstancias de su actividad, acordaran con los representantes legales trabajadores una distribución distinta de los días pactados, fijando el acuerdo en el calendario laboral de la empresa y respetando en todo momento la jornada semanal de 40 horas distribuidas de lunes a sábado y el computo máximo anual de 1736 horas.
Séptimo.- Delegar expresamente en Dña. Lidia Vanesa Díaz Trujillo para cuantas actuaciones fuesen necesarias para proceder a tramitar su registro y publicación de los presentes acuerdos aquí tomados.
Octavo.- El presente acuerdo entrara en vigor a partir de su publicación en el BOP.
Sin más asuntos que tratar, se levanta la sesión, siendo las 10:30 horas del mismo día y lugar.
Por FEPECO.- Por UGT-FICA Canarias.- Por CCOO de Construcción y Servicios de Canarias.
REVISIÓN SALARIAL. CORRECCIÓN DE ERRATAS. FINIQUITO … (BOP núm. 120, viernes 4 de octubre de 2019)
Código 38000535011982.
Visto el Acuerdo derivado del Convenio Colectivo del sector de la Construcción y Obras Públicas, relativo a las tablas salariales; presentado en esta Dirección General de Trabajo, suscrito por la Comisión Negociadora, de conformidad con lo dispuesto en el artículo 90,2 y 3 del Real Decreto Legislativo 2/2015, de 23 de octubre, por el que se aprueba el Texto Refundido de la Ley del Estatuto de los Trabajadores aprobado por Real Decreto Legislativo 2/2015, de 23 de octubre, Real Decreto 713/2010 sobre registro y depósito de convenios y acuerdos colectivos de trabajo, y Reglamento Orgánico de la Consejería de Empleo, Políticas Sociales y Vivienda, aprobado por el Decreto 124/2016, de 19 de septiembre, esta Dirección General de Trabajo, vigente según la Disposición transitoria primera del Decreto 203/2019, de 1 de agosto, por el que se determina la estructura central y periférica, así como las sedes de las Consejerías del Gobierno de Canarias.
Esta Dirección General de Trabajo, acuerda:
1.- Ordenar su inscripción en el Registro de Convenios Colectivos de Trabajo de esta Dirección General de Trabajo.
2.- Notificar a la Comisión Negociadora.
3.- Interesar su publicación en el Boletín Oficial de la Provincia.
El Director General de Trabajo, Alejandro Ramos Guerra.
ACTA INICIAL Y FINAL DE LA COMISIÓN NEGOCIADORA DEL CONVENIO COLECTIVO PROVINCIAL DEL SECTOR DE LA CONSTRUCCIÓN DE SANTA CRUZ DE TENERIFE 2017-2021.
Por la Representación Empresarial:
Por FEPECO:
D. Oscar Luis Izquierdo Gutiérrez.
D. Isidro Tomas Martin Martín.
D. Cesar Robles Mañas.
Doña Lidia Vanesa Díaz Trujillo.
D. Víctor Paz Coello.
D. José Manuel Jiménez Naranjo.
Por la Representación de los Trabajadores:
Por FICA-UGT:
D. Ramiro González Rodríguez.
Doña Beatriz M. Méndez Díaz.
D. Luis J. Fernández Aragón.
Por CCOO. de Construcción y Servicios de Canarias:
D. José Manuel Ojeda García.
D. Agustín Paulino González Dorta.
D. Cristhofer Fumero Reyes.
En Santa Cruz de Tenerife, siendo las 13:00 horas del día 28 de mayo de 2019, se reúnen en la sede de UGT-FICA Canarias las personas relacionadas al margen, en su calidad de representantes de las organizaciones sindicales y empresariales firmantes del vigente Convenio Colectivo del Sector de la Construcción de la Provincia de Santa Cruz de Tenerife (número de Código 38000535011982) para los años 2017-2021, para constituirse en Mesa Negociadora.
ANTECEDENTES:
La presente mesa negociadora tiene por objeto dar cumplimiento a los acuerdos establecidos en materia de incrementos salariales para los años 2019, 2020 y 2021, según el Acta de la reunión 6ª de la Comisión Negociadora del VI Convenio General del Sector de la Construcción celebrada el pasado veinticinco de enero de dos mil diecinueve y publicada en el Boletín Oficial del Estado el viernes veintiséis de abril de dos mil diecinueve, dar cumplimiento a lo contemplado en la Disposición Adicional Sexta del vigente Convenio Colectivo Provincial sobre la homogeneización y racionalización de las tablas salariales que han de cumplir con los artículos 48.2.a, 48.2.b, y el 60.1 del VI Convenio General del Sector de la Construcción y analizar las propuestas de modificación de los artículos 24.- Finiquito; y 25.- Preaviso fin de contrato e indemnización, del vigente Convenio Colectivo Provincial, planteada por la representación empresarial, tras el debate y por unanimidad de ambas partes acuerdan:
Primero. – Incrementos salariales. Articulo 11 del Convenio Provincial.
Aplicar sobre las actuales tablas salariales de 2018 un incremento del 2,25% para el año 2019, para el año 2020 del 2,25% sobre los del 2019 y para el 2021 del 2,50% sobre los del 2020. Las nuevas tablas salariales se adjuntan a la presente acta como ANEXO I y como ANEXO II, los atrasos correspondientes al periodo enero-mayo de 2019.
Estos incrementos salariales tendrán efectos desde el 1 de enero de cada uno de los años indicados.
Los atrasos correspondientes al año 2019, se abonarán a los trabajadores/as en el mes de la publicación en el Boletín Oficial d la Provincia de Santa Cruz de Tenerife.
Con independencia de lo anterior, las empresas podrán pactar el abono de los atrasos en un plazo máximo de tres meses, en cantidades iguales cada mes, dicho pacto se realizará con la representación legal de los trabajadores o la totalidad de la plantilla. El acuerdo deberá ser notificado a la Comisión Paritaria de este Convenio Colectivo. En el caso de que durante el fraccionamiento fuese extinguida la relación laboral de algún trabajador/a, las cantidades pendientes serán abonadas de una sola vez en la liquidación correspondiente.
A partir del año 2020, el Plus extrasalarial de Distancia y Transporte se adecua a lo establecido en el articulo 60.1 del VI Convenio General del Sector de la Construcción pasando a tener la misma cuantía para todos los grupos y categorías, siendo ésta de 100,00 € para las categorías con salario «mes», salvo las del Nivel XIII que será de 80,00 €. Para las categorías con salario «diario» será de 4,82 €, salvo las del Nivel XIII que será de 4,00 €, abonándose según se indica en el artículo 12.5. Las diferencias económicas que dicho cambio produce, se han sumado al salario base, pagas extras y vacaciones o al Plus de Asistencia, para dar cumplimiento a los artículos 48.2.a, 48.2.b del VI Convenio General del Sector de la Construcción.
Con lo indicado en el párrafo anterior, se da por cumplida con la Disposición Adicional Sexta del Convenio Colectivo Provincial de la Construcción 2017-2021.
Segundo. – Revisión de la remuneración mínima bruta anual para los años 2019, 2020 y 2021. Articulo 13 del Convenio Provincial.
Establecer la tabla de remuneración mínima bruta anual para el año 2019 se partirá´ de la tabla del año 2018, añadiéndole un 2,25 por 100 y siendo aplicable desde el 1 de enero del año 2019; una vez realizado el cálculo resulta la siguiente tabla definitiva:
Establecer la tabla de remuneración mínima bruta anual para el año 2020 se partirá´ de la tabla del año 2019, añadiéndole un 2,25 por 100 y siendo aplicable desde el 1 de enero del año 2020; una vez realizado el cálculo resulta la siguiente tabla definitiva:
Establecer la tabla de remuneración mínima bruta anual para el año 2021 se partirá´ de la tabla del año 2020, añadiéndole un 2,50 por 100 y siendo aplicable desde el 1 de enero del año 2021; una vez realizado el cálculo resulta la siguiente tabla definitiva:
Tercero. – Corrección de erratas detectadas en el articulado del Convenio Colectivo Provincial de la Construcción 2017-2021.
Se han detectado algunas erratas en el articulado del Convenio y se acuerda corregir:
– El párrafo 2º del Artículo 22. Vacaciones, quedando redactado como sigue:
«Para lo no recogido en el presente artículo, remitirse al artículo 72 del VI Convenio General del Sector de la Construcción y en el artículo 38 del TRLET.»
– El punto 1 del Artículo 26. Subrogación de personal en contratas de mantenimiento de carreteras o vías férreas, redes de agua, concesiones municipales para el mantenimiento y conservación de aceras, pavimentos, vías públicas y alcantarillado, quedando redactado como sigue:
«1. Al objeto de contribuir a garantizar el principio de estabilidad en el empleo de los trabajadores empleados por empresas y entidades que se sucedan mediante cualquier modalidad contractual, total o parcialmente, en cualquier contrata de conservación y/o mantenimiento de autopistas, autovías, carreteras o vías férreas, redes de agua, así como concesiones municipales para el mantenimiento y conservación de aceras, pavimentos, vías públicas, alcantarillado, infraestructuras y edificios a que se refiere el artículo 3, apartado b) y el Anexo l, apartado b) del VI Convenio General del Sector de la Construcción, se establece, con carácter exclusivo para tales actividades, la obligación de subrogación del personal entre las empresas saliente y entrante, la cual se llevará a cabo conforme a los requisitos y condiciones que se detallan en el presente artículo.
En lo sucesivo, el término «contrata» engloba con carácter genérico cualquier modalidad de contratación pública, referida a las actividades anteriormente descritas, que pasa a ser desempeñada, de modo parcial o total, por una determinada empresa, sociedad, organismo público u otro tipo de entidad, sea cual sea la forma jurídica que adopten.»
Cuarto. – Dar nueva redacción del Articulo 24.- Finiquito.
«Artículo 24. Finiquito.
El recibo de finiquito de la relación laboral entre empresa y trabajador/a, para que surta plenos efectos liberatorios, deberá ser conforme al modelo que figura en el presente convenio, ANEXO III, y con los requisitos y formalidades establecidos a continuación:
El recibo de finiquito, deberá ser numerado y original, siendo inválidos las fotocopiados u otro medio de reproducción, solamente será expedido por la Federación Provincial de Entidades de la Construcción de Santa Cruz de Tenerife, FEPECO. Paseo Milicias de Garachico, nº 4 A, edificio Continental 38002 Santa Cruz de Tenerife. Teléfonos: 663851453 Fax 922245941. Correo electrónico: administración@fepeco.org.
El finiquito tendrá validez únicamente dentro de los 15 días naturales a contar desde la fecha que sea sellado por la Federación Provincial de Entidades de la Construcción de Santa Cruz de Tenerife (FEPECO), dicho finiquito para el citado tramite, deberá contener el nombre de la Empresa que lo emite, nombre y apellidos del trabajador/a y las fechas del periodo de contratación (inicio y finalización). FEPECO vendrá obligado a llevar un registro, que contenga los datos anteriormente expresados.
Quinto. – Dar nueva redacción del Artículo 25.- Preaviso fin de contrato e indemnización.
«Artículo 25. Preaviso fin de contrato e indemnización.
En todos los supuestos regulados en el artículo 24 y 25 del VI Convenio General del Sector de la Construcción 2017-2021 y según lo previsto en al artículo 49.1c del Estatuto de los/las Trabajadores/as se establece una indemnización por cese, del trabajador/a en la empresa, equivalente al 7% calculada sobre los conceptos salariales, fijados en el presente convenio, devengados durante la vigencia del contrato.
El cese de los/las trabajadores/as vinculados a la empresa tanto por un contrato fijo de obra o bien de obra y servicio determinado, por terminación de los mismos, deberá comunicarse por escrito al trabajador/a con una antelación de quince días naturales. No obstante, el empresario podrá sustituir este preaviso por una indemnización equivalente a la cantidad correspondiente a los días de preaviso omitidos, calculada sobre los conceptos económicos que el trabajador/a venga percibiendo, todo ello sin perjuicio de la notificación escrita del cese. La citada indemnización deberá incluirse en el recibo de salarios con la liquidación correspondiente.
Asimismo, los/las trabajadores/as deberán comunicar con siete días naturales de antelación su baja voluntaria de la empresa. De no cumplirse este requisito, la empresa podrá descontar de la liquidación, en concepto de compensación la cantidad de 30 euros por cada día de aviso omitido.»
Sexto. – Dar por finalizadas las negociaciones y delegar en Doña Lidia Vanesa Díaz Trujillo para que realice los tramites oportunos a los efectos de su registro y publicación en virtud de lo dispuesto en el articulo 89 y siguientes del Estatuto de los Trabajadores, de los acuerdos aquí tomados.
Se levanta la sesión, siendo las 14:30 horas del mismo día y lugar.
Por FEPECO,
Por: UGT-FICA Canarias,
Por: CCOO. de Construcción y Servicios de Canarias.
ACTA (BOP núm. 150, viernes 13 de diciembre de 2019)
Código 38000535011982.
Visto el Acta, de fecha 4 de noviembre de 2019, de la Comisión Paritaria del Convenio Colectivo Provincial del Sector de la Construcción, en la que se pronuncia sobre la interpretación y el alcance de la expresión: «…como concesiones municipales para el mantenimiento y conservación de aceras, pavimentos, vías públicas, alcantarillado, infraestructuras y edificios…», presentado en esta Dirección General del Trabajo, de conformidad con lo dispuesto en el artículo 90, 2 y 3 del Real Decreto Legislativo 2/2015, de 23 de octubre, por el que se aprueba el texto refundido de la Ley del Estatuto de los Trabajadores, artículo 2 del Real Decreto 713/2010 sobre registro y depósito de convenios y acuerdos colectivos de trabajo, y Reglamento Orgánico de la Consejería de Empleo, Políticas Sociales y Vivienda, aprobado por el Decreto 124/2016, de 19 de septiembre, esta Dirección General de Trabajo, vigente en virtud de la Disposición transitoria primera del Decreto 203/2019, de 1 de agosto, por el que se determina la estructura central y periférica, así como las sedes de las Consejerías del Gobierno de Canarias.
Esta Dirección General de Trabajo, acuerda
1.- Ordenar su inscripción en el Registro de Convenios Colectivos de Trabajo de esta Dirección General de Trabajo y publicación en el Boletín Oficial de la Provincia.
2.- Notificar a la Comisión Paritaria.
El Director General de Trabajo, Alejandro Ramos Guerra.
ACTA 3 DE LA COMISIÓN PARITARIA DEL CONVENIO COLECTIVO PROVINCIAL DEL SECTOR DE LA CONSTRUCCIÓN DE SANTA CRUZ DE TENERIFE 2017-2021.
Por la representación empresarial:
Por FEPECO:
D. Óscar Izquierdo Gutiérrez.
Dña. Lidia Vanesa Díaz Trujillo.
D. Francisco Darias Zamorano.
Por la representación de los trabajadores:
Por UGT-FICA Canarias:
D. Luis J. Fernández Aragón.
D. Pascasio Medina Sánchez.
Por CCOO. de Construcción y Servicios de Canarias:
D. Cristhofer Fumero Reyes.
D. Agustín González Dorta.
En Santa Cruz de Tenerife, siendo las 12:00 horas del día 4 de noviembre de 2019, se reúnen en la sede de FEPECO las personas relacionadas al margen, en su calidad de representantes de la Comisión Paritaria del Convenio Provincial del Sector de la Construcción 2017-2021 (código convenio 38000535011992).
Se comenta el escrito recibido CC.OO. de Construcción y Servicios en cual insta a esta comisión paritaria a que se pronuncia sobre interpretación y alcance de la expresión «…como concesiones municipales para el mantenimiento y conservación de aceras, pavimentos, vías públicas, alcantarillado, infraestructuras y edificios…» contemplada en el párrafo 1º del artículo 26.
Subrogación de personal en contratas de mantenimiento de carreteras o vías férreas, redes de agua, concesiones municipales para el mantenimiento y conservación de aceras, pavimentos, vías públicas y alcantarillado.
La cuestión planteada es el alcance de la expresión «infraestructuras y edificios» llegando esta comisión a la siguiente conclusión:
Los términos de infraestructuras y edificios, son un «conjunto de elementos, dotaciones o servicios necesarios para el buen funcionamiento de un país, ciudad o de una organización cualquiera». Por tanto, la intención de los firmantes del convenio era establecer una lista abierta de lo que se entendía por infraestructuras y edificios públicos, por tanto se engloban a modo numerus apertus, entre otras, las infraestructuras como las autopistas, autovías, carreteras o vías férreas, redes de aguas, y los edificios para usos administrativos, culturales, educativos, lúdicos, sociales, deportivos, etc., o que dependan, en cualquier caso, de la administración pública estatal, autonómica, provincial, insular y local, todo ello sin que se pretenda fijar en el convenio colectivo una lista cerrada o números clausus a efectos de la subrogación.
Por lo anterior, la comisión acuerda trasladar a la Comisión Negociadora del Convenio Colectivo la conclusión expuesta para que proceda a modificar el contenido del párrafo 1º del artículo 26 en los términos aquí acordados, en aras de que todo el personal que trabaje en las empresas que, les es de aplicación, el Convenio Colectivo sectorial de la Construcción de Santa Cruz de Tenerife sea subrogado en caso de ser adjudicataria otra empresa, garantizando, así, el principio de estabilidad en el empleo, objeto del mencionado artículo.
Sin más asuntos que tratar, se levanta la sesión, siendo las 12:45 horas del mismo día y lugar.
Por FEPECO.- Por UGT-FICA Canarias.- Por CCOO de Construcción y Servicios de Canarias.
CALENDARIO 2020 (BOP núm. 27, lunes 2 de marzo de 2020)
Código: 38000535011982.
Visto el Calendario laboral para el año 2020 del Convenio Colectivo Provincial del sector de Construcción y Obras Públicas de la Provincia de Santa Cruz de Tenerife, presentado en esta Dirección General del Trabajo, suscrito por la Comisión Negociadora, de conformidad con lo dispuesto en el articulo 90, 2 y 3 del Real Decreto Legislativo 2/2015, de 23 de octubre, por el que se aprueba el texto refundido de la Ley del Estatuto de los Trabajadores, artículo 2 del Real Decreto 713/2010 sobre registro y depósito de convenios y acuerdos colectivos de trabajo, competencia transferida a la Comunidad Autónoma de Canarias por Real Decreto 1033/84 de 11 de Abril (B.O.E. 1.6.84) y Decreto 124//2016 de 19 de septiembre (B.O.C. 27/09/2016).
Esta Dirección General de Trabajo, acuerda:
1.- Ordenar su Inscripción en el Registro de Convenios Colectivos de Trabajo de esta Dirección General de Trabajo.
2.- Notificar a la Comisión Negociadora.
3.- Interesar su publicación en el Boletín Oficial de la Provincia.
El Director General de Trabajo, Alejandro Ramos Guerra.
ACTA INICIAL Y FINAL DE LA COMISIÓN NEGOCIADORA DEL CONVENIO COLECTIVO PROVINCIAL DEL SECTOR DE LA CONSTRUCCIÓN DE SANTA CRUZ DE TENERIFE 2017-2021.
Por la Representación Empresarial:
Por FEPECO:
D. Oscar Izquierdo Gutiérrez.
D. José M. Jiménez Naranjo.
Dª Lidia Vanesa Díaz Trujillo.
D. Víctor Paz Coello.
D. Isidro Tomas Martin Martín.
Dª Edita Gómez Pérez.
Por la Representación de los Trabajadores:
Por UGT-FICA Canarias:
D. Ramiro González Rodríguez.
Dª Beatriz M. Méndez Díaz.
D. Pascasio Medina Sánchez.
D. Luis J. Fernández Aragón.
Por CCOO. De Construcción y Servicios de Canarias.:
D. José Manuel Ojeda García.
D. Agustín P. González Dorta.
En Santa Cruz de Tenerife, siendo las12horas del 22de noviembre de 2019, se reúnen en la sede de FEPECO las personas relacionadas al margen, en su calidad de representantes de la Comisión Negociadora del Convenio Provincial del Sector de la Construcción 2017-2021 (código convenio 38000535011992), para tratar la distribución de la jornada laboral anual del año 2020.
ANTECEDENTES
Para la negociación del calendario laboral se estará al contenido de losartículos12.4.c. y el 67.5 del VI Convenio General del Sector de la Construcción, así como al artículo21 del Convenio Colectivo de la Provincia de Santa Cruz de Tenerife.
Visto y estudiado el calendario laboral de la Comunidad Autónoma de Canarias, publicado en el Boletín Oficial de Canarias nº 107 del6 de junio de 2019y los artículos anteriormente mencionados se desprende lo siguiente:
Que durante el año 2020 se producen 2016 horas laborables que representan 252 días laborales y que a éstas se deberá descontar 168 horas que representan 21 días laborables, asimismo se han de descontar 16 horas que representan 2 días de las fiestas que han de fijar los municipios de la provincia de Santa Cruz de Tenerife, lo cual registra un total de 1832 horas que representan 229 días de trabajo al año. Como quiera que el artículo 67 del VI Convenio General del Sector de la Construcción especifica que la jornada ordinaria anual máxima será de 1736 horas se produce un exceso de jornada de 96 horas que equivalen a 12 días laborales.
Por todo lo anterior, las partes,
ACUERDAN:
Primero. -Que, conforme a lo señalado con anterioridad, se compensarán las referidas las 96 horas de la forma siguiente:
a) Fijar como días no laborables de convenio para el año 2020 los siguientes:
24 de febrero, lunes.
29 de mayo, viernes.
14 de agosto, viernes.
30 de octubre, viernes.
24 de diciembre, jueves.
30 de diciembre, miércoles.
31 de diciembre, jueves.
Los días anteriormente reseñados representan 56 horas.
Al fijar el municipio de Santa Cruz de Tenerife el 24 de febrero (lunes) como festivo en su municipio, dicho día será compensado por el 21 de febrero (viernes)
b) Acumular al período de vacaciones anuales o días de asuntos propios cinco(5) días laborales, que representan 40 horas.
c) Los/Las trabajadores/as que no presten servicios efectivos durante todo el año, le serán compensados los días pendientes de disfrutar señalados en los apartados a) y b) anteriores, de manera proporcional al periodo trabajado mediante su abono en sus respectivas liquidaciones al finalizar su contrato de trabajo.
d) Todos los días no laborables indicados en los apartados a) y b) serán compensados a razón de salario base, plus de asistencia y plus de transporte de las tablas salariales del convenio y/o a razón de los pactos salariales individuales.
Segundo. -En los municipios que fijen sus fiestas locales coincidiendo en sábado, domingo o en algunos de los días señalados en el apartado a) del acuerdo primero y a fin de compensar el exceso de horas que esto conlleva, se producirá´ el traslado del descanso al día hábil siguiente, considerándose, excepto en el municipio de Santa Cruz de Tenerife que será el día señalado en el punto primero, por tanto, dicho/s día/s será/n inhábil/es y retribuido/sa razón de salario base o al valor de los pactos salariales individuales.
Tercero. -De común acuerdo, empresa y trabajadores podrán fijar una distribución distinta de los días establecidos en los acuerdos Primero apartados a) y b) y Segundo, dichos acuerdos, de producirse, deberá ser notificado a la Comisión Paritaria del Convenio Colectivo Provincial antes del 30 de enero de 2020.
Cuarto. – Las empresas del Comercio de la Construcción, por la competitividad existente en el mercado y ante las dificultades que las mismas puedan tener y por las circunstancias de su actividad, acordaran con los representantes legales trabajadores y trabajadoras, en ausencia de éstos se pactará con la mayoría de los trabajadores y trabajadoras de la empresa una distribución distinta de los días pactados, fijando el acuerdo en el calendario laboral de la empresa y respetando en todo momento la jornada semanal de 40 horas distribuidas de lunes a sábado y el cómputo máximo anual de 1736 horas.
Quinto. -Delegar expresamente en Doña Lidia Vanesa Díaz Trujillo para cuantas actuaciones fuesen necesarias para proceder a tramitar su registro y publicación de los presentes acuerdos aquí tomados.
Sexto. – El presente acuerdo entrara en vigor a partir de su publicación en el BOP, en el caso de su publicación fuese posterior a algunos de los días señalados en el apartado a) del acuerdo primero, estos serán acumulados a las vacaciones anuales.
Sin más asuntos que tratar, se levanta la sesión, siendo las 11:05 horas del mismo día y lugar.
Por FEPECO, Por UGT-FICA, Por CCOO de Construcción y Canarias Servicios de Canarias.
ACTA (BOP núm. 127, miércoles 21 de octubre de 2020)
Código 38000535011982.
Visto el Acta de fecha 23 de marzo de 2020, de la Comisión Paritaria del Convenio Colectivo del Sector de la Construcción de la provincia de Santa Cruz de Tenerife, en la que se pronuncia sobre la suspensión temporal de la obligación del sellado de recibos de finiquitos de manera presencial mientras dure el estado de alarma, presentado en esta Dirección General del Trabajo, de conformidad con lo dispuesto en el artículo 90.2 y 3 del Real Decreto Legislativo 2/2015, de 23 de octubre, por el que se aprueba el Texto Refundido de la Ley del Estatuto de los Trabajadores, artículo 2 del Real Decreto 713/2010 sobre registro y depósito de convenios y acuerdos colectivos de trabajo, y Reglamento Orgánico de la Consejería de Economía, Conocimiento y Empleo, aprobado por el Decreto 9/2020, de 20 de febrero, esta Dirección General de Trabajo.
Acuerda:
1.- Ordenar su inscripción en el Registro de Convenios Colectivos de Trabajo de esta Dirección General de Trabajo y publicación en el Boletín Oficial de la Provincia.
2.- Notificar a la Comisión Paritaria.
El Director General de Trabajo, Alejandro Ramos Guerra.
ACTA DE LA COMISIÓN PARITARIA DEL CONVENIO COLECTIVO DEL SECTOR DE LA CONSTRUCCIÓN DE LA PROVINCIA SANTA CRUZ DE TENERIFE 2017-2021.
Por la Representación Empresarial:
Por FEPECO:
D. Oscar Izquierdo Gutiérrez.
Doña Lidia Vanesa Díaz Trujillo.
Por la Representación de los Trabajadores:
Por UGT-FICA Canarias:
D. Luis J. Fernández Aragón.
Por CCOO. de Construcción y Servicios-de Canarias.:
D. José Manuel Ojeda García.
En Santa Cruz de Tenerife, siendo las 12:00 horas del día 23 de marzo de 2020, se reúnen por video llamada las personas relacionadas al margen, en su calidad de representantes de la Comisión Paritaria del Convenio Colectivo del Sector de la Construcción 2017-2021 de la provincia de Santa Cruz de Tenerife (código convenio 38000535011982)
La reunión tiene por objeto tratar sobre los efectos del sellado del Finiquito del artículo 24 del Convenio.
Ante la situación excepcional producida a raíz de la declaración del estado de alarma en todo el territorio nacional, para la gestión de la situación de crisis sanitaria ocasionada por el COVID-19, dispuesta por Real Decreto 463/2020, de 14 de marzo, no pudiendo hacerse efectivo el sellado de recibos de finiquitos de manera presencial, previsto en el artículo 24 del Convenio Colectivo vigente.
Tras el debate, se adopta por unanimidad de ambas partes los ACUERDOS siguientes:
Primero. Suspender la obligación del sellado de finiquitos contemplado en articulo 24 del vigente convenio colectivo, mientras dure el estado de alarma, posponiéndolo al momento del levantamiento de la medida y la vuelta a la normalidad.
Dicha suspensión surtirá efectos desde la fecha del presenta acta.
Segundo. Delegar en Doña. Lidia Vanesa Díaz Trujillo para que realice los trámites oportunos a los efectos de su registro y publicación en virtud de lo dispuesto en el artículo 89 y siguientes del Estatuto de los trabajadores, de los acuerdos aquí tomados.
Sin más asuntos que tratar, se levanta la sesión, siendo las 12:45 horas del mismo día y lugar.
Por FEPECO, Por UGT-FICA, Por CCOO de Construcción y Canarias Servicios de Canarias.
ACTA (BOP núm. 127, miércoles 21 de octubre de 2020)
Código 38000535011982.
Visto el Acta de fecha 25 de mayo de 2020, de la Comisión Paritaria del Convenio Colectivo del Sector de la Construcción de la provincia de Santa Cruz de Tenerife, en la que se pronuncia sobre el sellado del finiquito del artículo 24 del Convenio, y sobre el permiso retribuido recuperable del Real Decreto Ley 10/2020 y sus efectos sobre el calendario laboral 2020, presentado en esta Dirección General del Trabajo, de conformidad con lo dispuesto en el artículo 90.2 y 3 del Real Decreto Legislativo 2/2015, de 23 de octubre, por el que se aprueba el texto refundido de la Ley del Estatuto de los Trabajadores, artículo 2 del Real Decreto 713/2010, sobre registro y depósito de convenios y acuerdos colectivos de trabajo, y Reglamento Orgánico de la Consejería de Economía, Conocimiento y Empleo, aprobado por el Decreto 9/2020, de 20 de febrero, esta Dirección General de Trabajo.
Acuerda:
1.- Ordenar su inscripción en el Registro de Convenios Colectivos de Trabajo de esta Dirección General de Trabajo y publicación en el Boletín Oficial de la Provincia.
2.- Notificar a la Comisión Paritaria.
El Director General de Trabajo, Alejandro Ramos Guerra.
ACTA INICIAL Y FINAL DE LA COMISIÓN NEGOCIADORA DEL CONVENIO COLECTIVO PROVINCIAL DEL SECTOR DE LA CONSTRUCCIÓN DE SANTA CRUZ DE TENERIFE 2017-2021.
Por la Representación Empresarial:
Por FEPECO:
D. Oscar Izquierdo Gutiérrez.
Doña Lidia Vanesa Díaz Trujillo.
Por la Representación de los Trabajadores:
Por UGT-FICA Canarias:
D. Luis J. Fernández Aragón.
Por CCOO. Construcción y Servicios de Canarias.:
D. José Manuel Ojeda García.
En Santa Cruz de Tenerife, siendo las 12:00 horas del día 25 de mayo de 2020, se reúnen en la sede de FEPECO las personas que se relacionan al margen, en su calidad de representantes de la Comisión Negociadora del Convenio Provincial del Sector de la Construcción 2017-2021 (código 38000535011982) La reunión tiene por objeto tratar:
1. Sellado del Finiquito del artículo 24 del Convenio.
2. Permiso Retribuido Recuperable Real Decreto Ley 10-2020 y sus efectos sobre el Calendario Laboral 2020 publicado en BOP número 27 de 3 de marzo de 2020.
ANTECEDENTES:
Primero.- El pasado 23 de marzo de 2020 esta comisión paritaria acordó ante la situación excepcional ocasionada por la declaración del estado de alarma producida por el COVID-19 suspender la obligación del sellado de finiquitos contemplado en articulo 24 del vigente convenio colectivo, mientras durase el estado de alarma y posponiéndolo al momento del levantamiento de la medida y la vuelta a la normalidad, en este sentido, las partes manifiestan que tras la desescalada aprobada por el Gobierno del Estado, el sector ha recuperado su actividad y por lo tanto la gestión del finiquito puede volver a su estado anterior.
Segundo.- Como consecuencia de la entrada en vigor del Real Decreto Ley 10-2020, de 29 de marzo de 2020 por el que se regula un permiso retribuido recuperable para las personas trabajadoras por cuenta ajena que no presten servicios esenciales, con el fin de reducir la movilidad de la población en el contexto de la lucha contra el COVID-19, las partes coinciden en la necesidad que desde esta comisión negociada se regule a adaptación de este permiso retribuido recuperable modificando el acuerdo publicado en B.O.P. de Santa Cruz de Tenerife nº 27 de 3 marzo de 2020 sobre Calendario Laboral para el año 2020.
Tras el debate, se adoptan por unanimidad los siguientes:
ACUERDOS
PRIMERO.- Dar por finalizada la suspensión temporal del sellado de finiquitos contemplada en el acta de esta Comisión Negociadora del 23 de marzo de 2020, dando así, plena eficacia al contenido del articulo 24 del vigente Convenio Colectivo de la Construcción de Santa Cruz de Tenerife publicado en BOP nº del 16 de marzo de 2018.
SEGUNDO.- Fijar la recuperación de las horas no trabajadas y recuperables en 64 h. respecto al calendario laboral de 2020 publicado en el BOP de Santa Cruz de Tenerife nº 27 de 3 de marzo de 2020, sujetas a las condiciones siguientes:
a) Las empresas que antes y durante el permiso retribuido recuperable del RD Ley 10/2020 hubieren suspendido el contrato de sus trabajadores en ERTES y éstos hubieren tenido efectos entre los días 29 de marzo de 2020 y el 8 de abril de 2020 no les será de aplicación el presente acuerdo.
b) Empresas que tengan pactado con la representación de los trabajadores el calendario laboral para el año 2020 establecerán, de mutuo acuerdo, los criterios y condiciones para la recuperación de las horas no trabajadas.
c) Empresas sin calendario laboral pactado con la representación de los trabajadores, serán laborables los cinco días fijados en el acuerdo Primero a) y los días fijados en el Primero b) siguientes:
-29 de mayo.
– 30 de octubre.
– 30 de diciembre.
Por lo anterior, se mantienen como no laborables los días 14 de agosto, 24 de diciembre y 31 de diciembre, según el acuerdo publicado en BOP el 3 de marzo de 2020.
TERCERO.- Los acuerdos aquí tomados entraran en vigor desde el momento de la firma del presente acta, con independencia de la fecha en la que se publiquen en el Boletín Oficial de la Provincia.
CUARTO.- Delegar en Doña. Lidia Vanesa Díaz Trujillo para que realice los trámites oportunos a los efectos de su registro y publicación en virtud de lo dispuesto en el artículo 89 y siguientes del Estatuto de los Trabajadores, de los acuerdos aquí tomados.
Sin más asuntos que tratar, se levanta la sesión, siendo las 13:35 horas del mismo día y lugar.
Por FEPECO, Por UGT-FICA, Por CCOO de Construcción y Canarias Servicios de Canarias.
CALENDARIO 2021 (BOP Número 28, viernes 5 de marzo de 2021)
Visto el Calendario Laboral para el año 2021 del Convenio Colectivo Provincial del sector de Construcción y Obras Públicas de la Provincia de Santa Cruz de Tenerife, presentado en esta Dirección General del Trabajo, suscrito por la Comisión Negociadora, de conformidad con lo dispuesto en el artículo 90, 2 y 3 del Real Decreto Legislativo 2/2015, de 23 de octubre, por el que se aprueba el texto refundido de la Ley del Estatuto de los Trabajadores, artículo 2 del Real Decreto 713/2010 sobre registro y depósito de convenios y acuerdos colectivos de trabajo, competencia transferida a la Comunidad Autónoma de Canarias por Real Decreto 1033/84 de 11 de abril (B.O.E. 1.6.84) y Decreto 124//2016 de 19 de septiembre (B.O.C. 27/09/2016)
ESTA DIRECCIÓN GENERAL DE TRABAJO,
ACUERDA
1. ORDENAR su inscripción en el Registro de Convenios Colectivos de Trabajo de esta Dirección General de Trabajo.
2. NOTIFICAR a la Comisión Negociadora.
3. INTERESAR su publicación en el Boletín Oficial de la Provincia.
Director General de Trabajo, Alejandro Ramos Guerra.
ACTA INICIAL Y FINAL DE LA COMISIÓN NEGOCIADORA DEL CONVENIO COLECTIVO PROVINCIAL DEL SECTOR DE LA CONSTRUCCIÓN DE SANTA CRUZ DE TENERIFE 2017-2021.
Por la Representación Empresarial:
Por FEPECO:
D. Oscar Izquierdo Gutiérrez.
Dª Lidia Vanesa Díaz Trujillo.
Por la Representación de los Trabajadores:
Por UGT-FICA Canarias:
D. Luis J. Fernández Aragón.
Por CCOO. de Construcción y Servicios de Canarias:
D. Agustín P. González Dorta.
En Santa Cruz de Tenerife, siendo las 11:00 horas del 5 de enero de 2021, se reúnen en la sede de FEPECO las personas relacionadas al margen, en su calidad de representantes de la Comisión Negociadora del Convenio Provincial del Sector de la Construcción 2017-2021 (código convenio 38000535011992), para tratar la distribución de la jornada laboral anual del año 2021.
ANTECEDENTES
Para la negociación del calendario laboral se estará al contenido de los artículos 12.4.c. y el 67.5 del VI Convenio General del Sector de la Construcción, así como al artículo 21 del Convenio Colectivo de la Provincia de Santa Cruz de Tenerife.
Visto y estudiado el calendario laboral de la Comunidad Autónoma de Canarias, publicado en los Boletines Oficiales de Canarias número 209 de 13-10-2020, el número 270 de 31-12-2020 y los artículos anteriormente mencionados se despende lo siguiente:
Que en el año 2021 hay 251 días laborales que representan 2.008 horas de trabajo y que a éstas se deberán descontar; 168 horas de las vacaciones anuales que suponen 21 días laborables, asimismo se han de descontar 16 horas de las 2 fiestas de los municipios de la provincia que representan 2 días laborables, lo cual registra un total de 1.824 horas de trabajo que representan 228 jornadas al año. Como quiera que el artículo 67 del VI Convenio General del Sector de la Construcción especifica que la jornada ordinaria anual máxima será• de 1.736 horas se produce un exceso de jornada de 88 horas que equivalen a 11 días laborales.
Por todo lo anterior, las partes,
ACUERDAN:
Primero. Que, conforme a lo señalado con anterioridad, se compensarán las referidas las 88 horas de la forma siguiente:
a) Fijar como días no laborables de convenio los siguientes:
– 1 de febrero, lunes, solo en isla de Tenerife.
– 5 de abril, lunes.
– 31 de mayo, lunes.
– 2 de julio, viernes, solo en isla de El Hierro.
– 6 de agosto, viernes, solo en isla de La Palma.
– 1 de octubre, viernes, solo en isla de La Gomera.
– 11 de octubre, lunes.
– 7, 24 y 31 de diciembre, martes, viernes y viernes respectivamente.
b) Acumular al período de vacaciones anuales o días de asuntos propios cuatro (4) días laborales, que representan 32 horas.
c) Los/Las trabajadores/as que no presten servicios efectivos durante todo el año, le serán compensados los días pendientes de disfrutar señalados en los apartados a) y b) anteriores, de manera proporcional al periodo trabajado mediante su abono en sus respectivas liquidaciones al finalizar su contrato de trabajo.
d) Todos los días no laborables indicados en los apartados a) y b) serán compensados a razón de salario base, plus de asistencia y plus de transporte de las tablas salariales del convenio y/o a razón de los pactos salariales individuales superiores al convenio.
Segundo. En los municipios que fijen sus fiestas locales coincidiendo en sábado, domingo o en algunos de los días señalados en el apartado a) del acuerdo primero y a fin de compensar el exceso de horas que esto conlleva, se producirá• el traslado del descanso al día hábil siguiente considerándose, por tanto, dicho/s día/s será/n inhábil/es y retribuido/s a razón de salario base o al valor de los pactos salariales individuales superiores al convenio.
Tercero. De común acuerdo, empresa y trabajadores podrán fijar una distribución distinta de los días establecidos en los acuerdos Primero apartados a) y b) y Segundo, dichos acuerdos, de producirse, deberán ser notificados a la Comisión Paritaria del Convenio Colectivo Provincial antes del 30 de enero de 2021.
Cuarto. Las empresas del Comercio de la Construcción, por la competitividad existente en el mercado y ante las dificultades que las mismas puedan tener y por las circunstancias de su actividad, acordaran con los representantes legales de los trabajadores y trabajadoras, en ausencia de éstos con la mayoría de los trabajadores y trabajadoras de la empresa, una distribución distinta de los días pactados, fijando el acuerdo en el calendario laboral de la empresa y respetando en todo momento la jornada semanal de 40 horas distribuidas de lunes a sábados y el computo máximo anual de 1736 horas.
Quinto. Los acuerdos aquí tomados entrarán en vigor desde el momento de la firma de la presente acta, con independencia en la fecha en la que se publique en el Boletín Oficial de la Provincia.
Sexto. Delegar expresamente en Doña Lidia Vanesa Díaz Trujillo para cuantas actuaciones fuesen necesarias para proceder a tramitar su registro y publicación de los presentes acuerdos aquí tomados.
Sin más asuntos que tratar, se levanta la sesión, siendo las 11:45 horas del mismo día y lugar.
Por FEPECO, Por UGT-FICA,
Por CCOO de Construcción y Canarias Servicios de Canarias.
CALENDARIO 2022 (BOP Número 150 – Miércoles 14 de diciembre de 2022)
VISTO el Acuerdo de 2 de diciembre de 2021 de la Comisión negociadora del Convenio Provincial del Sector de la Construcción 2017-2021 sobre Calendario Laboral para 2022 y distribución de jornada, presentado el 10/12/2021 en el Registro de Convenios, Acuerdos colectivos de trabajo y planes de igualdad (REGCON), de conformidad con lo dispuesto en el artículo 90, 2 y 3 del Real Decreto Legislativo 2/2015, de 23 de octubre, por el que se aprueba el texto refundido de la Ley del Estatuto de los Trabajadores, artículo 2 del Real Decreto 713/2010 sobre registro y depósito de convenios y acuerdos colectivos de trabajo, y Reglamento Orgánico de la Consejería de Economía, Conocimiento y Empleo, aprobado por el Decreto 9/2020, de 20 de febrero, esta Dirección General de Trabajo,
ACUERDA
1.- ORDENAR su inscripción en el Registro de Convenios Colectivos de Trabajo de esta Dirección General de Trabajo y publicación en el Boletín Oficial de la Provincia.
2.- NOTIFICAR a la Comisión Paritaria.
3.- INTERESAR su publicación en el Boletín Oficial de la Provincia.
EL DIRECTOR GENERAL DE TRABAJO, Alejandro Ramos Guerra.
ACTA INICIAL Y FINAL DE LA COMISIÓN NEGOCIADORA DEL CONVENIO COLECTIVO PROVINCIAL DEL SECTOR DE LA CONSTRUCCIÓN DE SANTA CRUZ DE TENERIFE 2017-2021.
Por la Representación Empresarial:
Por FEPECO:
D. Oscar Izquierdo Gutiérrez.
Dª Lidia Vanesa Díaz Trujillo.
Por la Representación de los Trabajadores:
Por UGT-FICA Canarias:
Dª Beatriz M. Méndez Díaz.
Por CCOO. del Hábitat de Canarias:.
D. Agustín P. González Dorta.
En Santa Cruz de Tenerife, siendo las 09:30 horas del 02 de diciembre de 2021, se reúnen en la sede de FEPECO las personas relacionadas al margen, en su calidad de representantes de la Comisión Negociadora del Convenio Provincial del Sector de la Construcción 2017-2021 (código convenio 38000535011992), para tratar la distribución de la jornada laboral anual del año 2022.
ANTECEDENTES
Para la negociación del calendario laboral se estará al contenido de los artículos 12.4.c. y el 67.5 del VI Convenio General del Sector de la Construcción, así como al artículo 21 del Convenio Colectivo de la Provincia de Santa Cruz de Tenerife.
Visto y estudiado el calendario laboral de la Comunidad Autónoma de Canarias, publicado en el Boletín Oficial de Canarias nº 136 de 05-07-2021 y los artículos anteriormente mencionados se desprende lo siguiente:
Que en el año 2022 hay 249 días laborales que representan 1.992 horas de trabajo y que a estas se deberán descontar, 168 horas de las vacaciones anuales que suponen 21 días laborables, asimismo se han de descontar 16 horas de las 2 fiestas de los municipios de la provincia que representan 2 días laborables, lo cual registra un total de 1.808 horas de trabajo que representan 226 jornadas al año.
Como quiera que el artículo 67 del VI Convenio General del Sector de la Construcción especifica que la jornada ordinaria anual máxima será de 1.736 horas, se produce un exceso de jornada de 72 horas y que equivalen a 9 días laborales, a excepción de la isla de El Hierro que equivale a 10 días laborales por coincidir su fiesta insular en sábado.
Por todo lo anterior, las partes, ACUERDAN:
Primero. – Que, conforme a lo señalado con anterioridad, los trabajadores y trabajadoras tendrán derecho a la compensación del exceso de las horas referidas anteriormente de la forma siguiente:
a) Fijar como no laborables de convenio los días:
– 7 de enero, viernes.
– 28 de febrero, lunes.
– 26 de septiembre, lunes, sólo isla El Hierro.
– 31 de octubre, lunes.
– 9 de diciembre, viernes.
– 23 y 30 de diciembre, viernes.
b) Acumular al período de vacaciones anuales o días de asuntos propios tres (3) días laborales, que representan 24 horas.
c) Las personas trabajadoras que no presten servicios efectivos durante todo el año, le serán compensados los días pendientes de disfrutar señalados en los apartados a) y b) anteriores, de manera proporcional al periodo trabajado mediante su abono en sus respectivas liquidaciones al finalizar su contrato de trabajo.
d) Todos los días no laborables indicados en los apartados a) y b) serán compensados a razón de salario base, plus de asistencia y plus de transporte de las tablas salariales del convenio y/o a razón de los pactos salariales individuales superiores al Convenio.
Segundo. – En los municipios que fijen sus fiestas locales coincidiendo en sábado, domingo o en algunos de los días señalados en el apartado a) del acuerdo primero, a fin de compensar el exceso de horas que esto conlleva, se producirá el traslado del descanso al día hábil siguiente considerándose, por tanto, dicho/s día/s será/n inhábil/es y retribuido/s a razón de salario base o al valor de los pactos salariales individuales superiores al convenio.
Tercero. – De común acuerdo, empresa y las personas trabajadoras podrán fijar una distribución distinta de los días establecidos en los acuerdos Primero, apartados a) y b) y Segundo, dichos acuerdos, de producirse, deberán ser notificados a la Comisión Paritaria del Convenio Colectivo Provincial antes del 30 de enero de 2022.
Cuarto. – Las empresas del Comercio de la Construcción, por la competitividad existente en el mercado y ante las dificultades que las mismas puedan tener y por las circunstancias de su actividad, acordaran con los representantes legales de las personas trabajadoras, en ausencia de éstos con la mayoría de las personas trabajadoras de la empresa, una distribución distinta de los días pactados, fijando el acuerdo en el calendario laboral de la empresa y respetando en todo momento la jornada semanal de 40 horas distribuidas de lunes a sábados y el computo máximo anual de 1736 horas.
Quinto. – Los acuerdos aquí tomados entrarán en vigor desde el momento de la firma de la presente acta, con independencia de la fecha en la que se publique en el Boletín Oficial de la Provincia.
Sexto. – Delegar expresamente en Doña Lidia Vanesa Díaz Trujillo para cuantas actuaciones fuesen necesarias para proceder a tramitar su registro y publicación de los presentes acuerdos aquí tomados.
Sin más asuntos que tratar, se levanta la sesión, siendo las 11:45 horas del mismo día y lugar.
Por FEPECO.
Por UGT-FICA Canarias.
Por CCOO del Hábitat de Canarias.
REVISIÓN SALARIAL Y CALENDARIO 2023 (BOP Número 26 – Miércoles 1 de marzo de 2023)
Código 38000535011982.
VISTA la modificación del Convenio Colectivo Sectorial de CONSTRUCCIÓN Y OBRAS PÚBLICAS, presentado en esta Dirección General del Trabajo, suscrito por la Comisión Negociadora, de conformidad con lo dispuesto en el artículo 90, 2 y 3 del Real Decreto Legislativo 2/2015, de 23 de octubre, por el que se aprueba el texto refundido de la Ley del Estatuto de los Trabajadores, artículo 2 del Real Decreto 713/2010 sobre registro y depósito de convenios y acuerdos colectivos de trabajo y el Decreto 9/2020, de 20 de febrero (B.O.C. 04/03/2020) por el que se aprueba el Reglamento Orgánico de la Consejería de Economía, Conocimiento y Empleo.
ESTA DIRECCIÓN GENERAL DE TRABAJO,
ACUERDA
1.- ORDENAR su inscripción en el Registro de Convenios Colectivos de Trabajo de esta Dirección General de Trabajo.
2.- NOTIFICAR a la Comisión Negociadora.
3.- INTERESAR su publicación en el Boletín Oficial de la Provincia.
EL DIRECTOR GENERAL DE TRABAJO, Alejandro Ramos Guerra.
ACTA INICIAL Y FINAL DE LA COMISIÓN NEGOCIADORA DEL CONVENIO COLECTIVO PROVINCIAL DEL SECTOR DE LA CONSTRUCCIÓN DE SANTA CRUZ DE TENERIFE 2017-2021.
Por la Representación Empresarial:
Por FEPECO:
D. Víctor Paz Coello.
Dª Lidia Vanesa Díaz Trujillo.
Por la Representación de las Personas Trabajadoras:
Por UGT-FICA Canarias:
Dª Beatriz M. Méndez Díaz.
Por CC.OO. del Hábitat de Canarias:
D. José Manuel Ojeda García.
En Santa Cruz de Tenerife, siendo las 10:00 horas del 24 de octubre de 2022, se reúnen en la sede de la Federación Provincial de Entidades de la Construcción (FEPECO-CNC) las personas relacionadas al margen, en su calidad de representantes de la Comisión Negociadora del Convenio Provincial del Sector de la Construcción 2017-2021 (código convenio 38000535011992), para tratar la distribución de la jornada laboral del año 2023 y los incrementos económicos de los años 2022, 2023.
ANTECEDENTES.
El pasado 5 de agosto de 2022 se publicó en el Boletín Oficial del Estado nº 187 el acuerdo suscrito con fecha 13 de junio de 2022 entre la Confederación Nacional de la Construcción, (CNC), en representación de las empresas del sector de la construcción y las organizaciones sindicales CC.OO. del Habitat y UGT-FICA, donde se renombran, introducen y modifican varios artículos y disposiciones adicionales del VI Convenio colectivo general del sector de la construcción, así como dar un nuevo Anexo.
Los artículos 12.4.b y el 12.4.c, sobre articulación de la negociación colectiva en ámbitos inferiores al estatal que establecen, la concreción cuantitativa de las percepciones económicas no cuantificadas numérica o porcentualmente en el presente Convenio y la distribución de la jornada anual de trabajo efectivo y su regulación en cuanto a horarios y calendarios.
Los artículos 50. Remuneración bruta anual y remuneración mínima bruta anual y 52. Incrementos económicos del VI Convenio Colectivo General de la Construcción, publicado en el B.O.E. nº 187 viernes 5 de agosto de 2022.
Los artículos 67.1 y 67.5 Jornada laboral del VI Convenio General del Sector de la Construcción, así como el artículo 21 Jornada de trabajo del Convenio Colectivo de la Provincia de Santa Cruz de Tenerife y el calendario de fiestas laborales de la Comunidad Autónoma de Canarias, publicado en el Boletín Oficial de Canarias nº 137 de 12 de julio de 2022.
Para dar cumplimiento a lo anterior y modificar parcialmente el Convenio colectivo provincial publicado en los B.O.P. 16 de marzo de 2018 y 4 de octubre de 2019 las representaciones de FEPECO, UGT-FICA Canarias y CC.OO. del Habitat de Canarias, ACUERDAN:
PRIMERO. – Dar nueva redacción a los artículos siguientes:
Artículo 11. Incrementos salariales.
1. Aplicar a las tablas del año 2021 vigentes una actualización del 3% con efectos desde el día 1 de enero de 2022, a las vigentes en 2022 se actualizarán en un 3% con efectos del día 1 de enero de 2023, sin perjuicio de lo dispuesto en el artículo 52 bis, apartado 4, del Acuerdo de modificación del VI Convenio Colectivo General de la Construcción suscrito el 13 de junio de 2022 y publicado en el BOE Nº 187 de fecha 5 de agosto de 2022. Las tablas salariales resultantes, se adjuntarán al presente acuerdo como Anexo I y los atrasos a los que hubiera lugar como Anexo II.
2. Los atrasos que el incremento salarial produce se abonarán a las personas trabajadoras en los noventa días naturales a partir de la publicación en el Boletín Oficial de la Provincia de Santa Cruz de Tenerife.
3. Cláusula de garantía salarial. Se establece una cláusula de garantía salarial, de manera que si el valor medio de los incrementos porcentuales interanuales del Índice de Precios al Consumo de los meses de enero de 2022 a diciembre de 2024, publicado por el Instituto Nacional de Estadística, se situara en un nivel superior al 10,0%, y siempre con un máximo de un 13,0%, se incrementarán con efectos de 1 de enero de 2025 las tablas salariales del año 2024, sin efectos retroactivos, de manera que el 50,0% de ese exceso irá en un 50,0% a incremento de las tablas salariales y el otro 50,0% a contribución al plan de pensiones de las personas trabajadoras en alta en la empresa a dicha fecha de 1 de enero de 2025; la contribución al plan de pensiones se llevará a cabo en los términos y condiciones que se determinen en el nuevo Libro Tercero al que se refiere el artículo 52 bis Plan de pensiones del Convenio general del sector de la construcción 2022-2026.
Artículo 13.- Remuneración bruta anual y remuneración mínima bruta anual.
1. La remuneración bruta anual mencionada en el artículo anterior comprenderá todas las percepciones económicas pactadas en cada convenio, por nivel y categoría profesional.
De acuerdo con las formas de devengo, la remuneración bruta anual vendrá dada por la siguiente fórmula:
R.A. = S.B. x 335 + [(P.S. + P.E.) x (Número de días efectivos de trabajo)] + Vacaciones + P.J. + P.N.
Siendo:
R.A.= Remuneración Anual.
S.B. = Salario Base.
P.S. = Pluses salariales.
P.E. = Pluses extrasalariales.
P.J. = Paga de junio.
P.N.= Paga de Navidad.
2. Se establece una remuneración mínima bruta anual para el sector de la construcción para los años 2022 y 2023 para las personas trabajadoras a jornada completa, computándose a estos efectos la totalidad de los conceptos retributivos a percibir, por los niveles profesionales siguientes:
Artículo 16 Dietas.
1. La dieta es un concepto extrasalarial, de naturaleza indemnizatoria o compensatoria, y de carácter irregular, que tiene como finalidad el resarcimiento o compensación de los gastos de manutención y alojamiento de la persona trabajadora, ocasionados como consecuencia de la situación de desplazamiento.
2. La persona trabajadora percibirá dieta completa cuando, como consecuencia del desplazamiento, no pueda pernoctar en su residencia habitual. Se devengará siempre por día natural.
3. Cuando el empresario organice y coste la manutención y alojamiento del personal desplazado, siempre que reúna las condiciones exigibles y suficientes, solamente satisfará el 20 por 100 de la dieta completa.
4. Se devengará media dieta cuando, como consecuencia del desplazamiento, la persona trabajadora afectada tenga necesidad de realizar la comida fuera de su residencia habitual, no le fuera suministrada por la empresa y pueda pernoctar en la citada residencia. La media dieta se devengará por día efectivo trabajado.
5. El importe de la dieta completa y de la media dieta será para los años de vigencia del presente convenio colectivo la siguiente:
Año 2022: Dieta completa: 29,38 €; Media dieta: 9,68 €.
Año 2023: Dieta completa: 30,26 €; Media dieta: 10,00 €.
Año 2024: Dieta completa: 31,16 €; Media dieta: 10,30 €.
6. La dieta completa no se devengará en los casos de suspensión legal del contrato de trabajo, salvo en los casos de incapacidad temporal en los que la empresa mantenga el desplazamiento.
7. Dieta interinsular: se aplicará cuando la persona trabajadora sea desplazada fuera de la isla en la que tenga su residencia habitual, en este caso, la empresa tendrá que costear todos los gastos de transporte, alojamiento y manutención de la misma, incluso los pasajes de ida y vuelta. Estas dietas se abonarán durante todo el tiempo que la persona trabajadora permanezca en la isla a la que fue desplazada, incluso sábados, domingos y festivos.
SEGUNDO. – Calendario laboral para el año 2023:
Que en el año 2023 hay 250 días laborales que representan 2.000 horas de trabajo y que a estas se deberán descontar, 168 horas de las vacaciones anuales que suponen 21 días laborables, asimismo se han de descontar 8 horas de la fiesta Insular que representan 1 día, 16 horas de las 2 fiestas de los municipios de la provincia que representan 2 días laborables, lo cual registra un total de 1.808 horas de trabajo que representan 226 jornadas de trabajo para el año 2023.
Como quiera que el artículo 67 del VI Convenio General del Sector de la Construcción especifica que la jornada ordinaria anual máxima será de 1.736 horas, se produce un exceso de jornada de 64 horas que equivalen a 8 días laborales.
Por todo lo anterior, las partes,
ACUERDAN:
Primero. – Que, conforme a lo señalado con anterioridad, los trabajadores y trabajadoras tendrán derecho a la compensación del exceso de las horas referidas anteriormente de la forma siguiente:
a) Fijar como días (48 horas) no laborables de convenio en las islas de:
b) Las 16 horas restantes de podrán solicitar:
1. Para acumular al período de vacaciones anuales 2. Para asuntos propios, pudiéndose solicitar, al menos 8 horas, distribuidas en diferentes días.
2. Las personas trabajadoras que no presten servicios efectivos durante todo el año, le serán compensados los días o horas pendientes de disfrutar señalados en los apartados a) y b) anteriores, de manera proporcional al periodo trabajado mediante su abono en sus respectivas liquidaciones al finalizar su contrato de trabajo.
3. Todos los días o horas no laborables indicados en los apartados a) y b) serán compensados a razón de salario base, plus de asistencia y plus de transporte de las tablas salariales del convenio y/o a razón de los pactos salariales individuales superiores al Convenio.
Segundo. – En las islas y municipios que fijen su/s fiesta/s insular/locales coincidiendo en sábado, domingo o en algunos de los días señalados en el apartado a) del acuerdo primero y a fin de compensar el exceso de horas que esto conlleva, se producirá el traslado del descanso al día hábil siguiente considerándose, por tanto, dicho/s día/s será/n inhábil/es y retribuido/s a razón de salario base o al valor de los pactos salariales individuales superiores al convenio.
Tercero. – De común acuerdo, la empresa y la representación legal de las personas trabajadoras podrán fijar una distribución distinta de los días establecidos en los acuerdos Primero, apartados a) y b) y Segundo, dichos acuerdos, de producirse, deberán ser notificados a la Comisión Paritaria del Convenio Colectivo Provincial antes del 31 de enero de 2023.
Cuarto. – Las empresas del Comercio de la Construcción, por la competitividad existente en el mercado y ante las dificultades que las mismas puedan tener por las circunstancias de su actividad, acordaran con los representantes legales de las personas trabajadoras, una distribución distinta de los días pactados, fijando el acuerdo en su calendario laboral, respetando en todo momento la jornada semanal de 40 horas distribuidas de lunes a sábados y el computo máximo anual de 1736 horas.
Quinto. – Los acuerdos aquí tomados entrarán en vigor desde el momento de la firma de la presente acta, con independencia de la fecha en la que se publique en el Boletín Oficial de la Provincia.
Sexto. – Delegar expresamente en Doña Lidia Vanesa Díaz Trujillo para cuantas actuaciones fuesen necesarias para proceder a tramitar su registro y publicación de los presentes acuerdos aquí tomados.
Sin más asuntos que tratar, se levanta la sesión, siendo las 11:45 horas del mismo día y lugar.
Por, FEPECO,
Por, UGT-FICA, Canarias.
Por, CCOO del Hábitat de Canarias.
REVISIÓN SALARIAL, CALENDARIO 2024 Y MODIFICACIÓN (BOP Número 47 – Miércoles 17 de abril de 2024)
Código 38000535011982.
VISTA la modificación del Convenio Colectivo Provincial de Santa Cruz de Tenerife del Sector de Construcción y Obras Públicas, presentado en esta Dirección General del Trabajo, suscrito por la Comisión Negociadora, de conformidad con lo dispuesto en el artículo 90, 2 y 3 del Real Decreto Legislativo 2/2015, de 23 de octubre, por el que se aprueba el texto refundido de la Ley del Estatuto de los Trabajadores, artículo 2 del Real Decreto 713/2010 sobre registro y depósito de convenios y acuerdos colectivos de trabajo y en ejercicio de las competencias atribuidas a la Dirección General de Trabajo en el Reglamento Orgánico de la Consejería de Turismo y Empleo aprobado por el Decreto 37/2024, de 4 de marzo,
ESTA DIRECCIÓN GENERAL DE TRABAJO,
ACUERDA
1.- ORDENAR su inscripción en el Registro de Convenios Colectivos de Trabajo de esta Dirección General de Trabajo.
2.- NOTIFICAR a la Comisión Negociadora.
3.- INTERESAR su publicación en el Boletín Oficial de la Provincia.
Santa Cruz de Tenerife, a nueve de abril de dos mil veinticuatro.
EL DIRECTOR GENERAL DE TRABAJO, José Ramón Rodríguez Albertus, documento firmado electrónicamente.
Por la Representación Empresarial:
Por FEPECO:
D. Olga Sanfiel Hernández.
Dª Lidia Vanesa Díaz Trujillo.
Por la Representación de las Personas Trabajadoras:
Por UGT-FICA Canarias:
Dª Beatriz M. Méndez Díaz.
Por CC.OO. del Hábitat de Canarias:
D. José Manuel Ojeda García.
En Santa Cruz de Tenerife, siendo las 9:00 horas del 24 de noviembre de 2023, se reúnen en la sede de la Federación Provincial de Entidades de la Construcción de Santa Cruz de Tenerife (FEPECO-CNC) las personas relacionadas al margen, en su calidad de representantes de la Comisión Negociadora del Convenio Provincial del Sector de la Construcción 2022-2026 (código convenio 38000535011992), para tratar la distribución de la jornada laboral para el año 2024, así como el incremento económico del citado año, y la aportación al plan de pensiones para los años 2022, 2023 y 2024.
ANTECEDENTES.
El pasado 23 de septiembre de 2023, se publicó en el Boletín Oficial del Estado nº 228 el VII Convenio General del Sector de la Construcción, entre la Confederación Nacional de la Construcción, (CNC), en representación de las empresas del sector de la construcción y las organizaciones sindicales CC.OO. del Habitat y UGT-FICA.
Los artículos 12.4.b y el 12.4.c, sobre articulación de la negociación colectiva en ámbitos inferiores al estatal que establecen, la concreción cuantitativa de las percepciones económicas no cuantificadas numérica o porcentualmente en el presente Convenio y la distribución de la jornada anual de trabajo efectivo y su regulación en cuanto a horarios y calendarios.
Los artículos 52. Contribuciones empresariales al plan de pensiones de empleo simplificado del sector de la construcción.
1. Los importes de las contribuciones empresariales al plan de pensiones, a las que se refiere el artículo 56, apartado 2, del presente Convenio, deberán establecerse en los convenios provinciales o, en su caso, autonómicos, para cada uno de los niveles profesionales:
a) Los importes de los años 2022 y 2023, dentro de los tres meses siguientes a la entrada en vigor del plan de pensiones (entrada en vigor cuando sea aprobada por la Comisión Paritaria)
b) Los importes del año 2024, dentro del primer trimestre de dicho año.
El artículo 71 Jornada laboral del VII Convenio General del Sector de la Construcción y el calendario de fiestas laborales de la Comunidad Autónoma de Canarias, publicado en el Boletín Oficial de Canarias nº 184 de 18 de septiembre de 2023.
Para dar cumplimiento a lo anterior y modificar parcialmente el Convenio colectivo provincial publicado en los B.O.P. 16 de marzo de 2018 y 4 de octubre de 2019 las representaciones de FEPECO, UGT-FICA Canarias y CC.OO. del Habitat de Canarias,
ACUERDAN.
PRIMERO. – Dar nueva redacción a los artículos siguientes:
Artículo 11. Incrementos salariales.
1. Aplicar a las tablas del año 2023 vigentes una actualización del 3% (2.75% subida salarial y 0,25% de aportación al Plan de pensiones) con efectos desde el día 1 de enero de 2024, sin perjuicio de lo dispuesto en el artículo 12 apartado 4 a y 4 c, del VII Convenio Colectivo General de la Construcción publicado en el BOE Nº 228 de fecha 23 de septiembre de 2023. Las tablas salariales resultantes, se adjuntarán al presente acuerdo como Anexo I y los atrasos referidos a la aportación al Plan de Pensiones de los años 2022-2023, a los que hubiera lugar, como Anexo II.
2. Cláusula de garantía salarial. Se establece una cláusula de garantía salarial, de manera que si el valor medio de los incrementos porcentuales interanuales del Índice de Precios al Consumo de los meses de enero de 2022 a diciembre de 2024, publicado por el Instituto Nacional de Estadística, se situara en un nivel superior al 10,0%, y siempre con un máximo de un 13,0%, se incrementarán con efectos de 1 de enero de 2025 las tablas salariales del año 2024, sin efectos retroactivos, de manera que el 50,0% de ese exceso irá en un 50,0% a incremento de las tablas salariales y el otro 50,0% a contribución al plan de pensiones de las personas trabajadoras en alta en la empresa a dicha fecha de 1 de enero de 2025; la contribución al plan de pensiones se llevará a cabo en los términos y condiciones que se determinen en el nuevo Libro Tercero al que se refiere el artículo 52 bis Plan de pensiones del Convenio general del sector de la construcción 2022-2026.
Artículo 13.- Remuneración bruta anual y remuneración mínima bruta anual.
1. La remuneración bruta anual mencionada en el artículo anterior comprenderá todas las percepciones económicas pactadas en cada convenio, por nivel y categoría profesional.
De acuerdo con las formas de devengo, la remuneración bruta anual vendrá dada por la siguiente fórmula:
R.A. = S.B. x 335 + [(P.S. + P.E.) x (Número de días efectivos de trabajo)] + Vacaciones + P.J. + P.N.
Siendo:
R.A.= Remuneración Anual.
S.B. = Salario Base.
P.S. = Pluses salariales.
P.E. = Pluses extrasalariales.
P.J. = Paga de junio.
P.N.= Paga de Navidad.
2. Se establece una remuneración mínima bruta anual para el sector de la construcción para el año 2024 para las personas trabajadoras a jornada completa, computándose a estos efectos la totalidad de los conceptos retributivos a percibir, por los niveles profesionales siguientes:
SEGUNDO. – Calendario laboral para el año 2024:
Que, en el año 2024, hay 253 días laborales que representan 2.024 horas de trabajo y que a estas se deberán descontar, 168 horas de las vacaciones anuales que suponen 21 días laborables, asimismo se han de descontar 8 horas de la fiesta Insular que representan 1 día, 16 horas de las 2 fiestas de los municipios de la provincia que representan 2 días laborables, lo cual registra un total de 1.832 horas de trabajo, que representan 229 jornadas de trabajo para el año 2024.
Como quiera que el artículo 71 del VII Convenio General del Sector de la Construcción especifica que la jornada ordinaria anual máxima será de 1.736 horas, se produce un exceso de jornada de 96 horas, que equivalen a 12 días laborales.
Por todo lo anterior, las partes, ACUERDAN.
Primero. – Que, conforme a lo señalado con anterioridad, los trabajadores y trabajadoras tendrán derecho a la compensación del exceso de las horas referidas anteriormente de la forma siguiente:
a) Fijar como días (7 días) no laborables de convenio en las islas de TENERIFE, LA PALMA, LA GOMERA Y EL HIERRO los siguientes:
05 de enero, 12 de febrero, 31 de mayo, 16 de agosto, 11 de octubre, 24 y 31 de diciembre.
b) Los 5 días restantes de podrán solicitar:
b1. Para acumular al período de vacaciones anuales.
b2. Para asuntos propios, pudiéndose solicitar, al menos 8 horas, distribuidas en diferentes días.
2. Las personas trabajadoras que no presten servicios efectivos durante todo el año, le serán compensados los días o horas pendientes de disfrutar señalados en los apartados a) y b) anteriores, de manera proporcional al periodo trabajado mediante su abono en sus respectivas liquidaciones al finalizar su contrato de trabajo.
3. Todos los días o horas no laborables indicados en los apartados a) y b) serán compensados a razón de salario base, plus de asistencia y plus de transporte de las tablas salariales del convenio y/o a razón de los pactos salariales individuales superiores al Convenio.
Segundo. – En las islas y municipios que fijen su/s fiesta/s insular/locales coincidiendo en sábado, domingo o en algunos de los días señalados en el apartado a) del acuerdo primero y a fin de compensar el exceso de horas que esto conlleva, se producirá el traslado del descanso al día hábil siguiente considerándose, por tanto, dicho/s día/s será/n inhábil/es y retribuido/s a razón de salario base o al valor de los pactos salariales individuales superiores al convenio.
Tercero. – De común acuerdo, la empresa y la representación legal de las personas trabajadoras podrán fijar una distribución distinta de los días establecidos en los acuerdos Primero, apartados a) y b) y Segundo, dichos acuerdos, de producirse, deberán ser notificados a la Comisión Paritaria del Convenio Colectivo Provincial antes del 31 de enero de 2024.
Cuarto. – Las empresas del Comercio de la Construcción, por la competitividad existente en el mercado y ante las dificultades que las mismas puedan tener por las circunstancias de su actividad, acordaran con los representantes legales de las personas trabajadoras, una distribución distinta de los días pactados, fijando el acuerdo en su calendario laboral, respetando en todo momento la jornada semanal de 40 horas distribuidas de lunes a sábados y el computo máximo anual de 1736 horas.
Quinto. – Los acuerdos aquí tomados entrarán en vigor desde el momento de la firma de la presente acta, con independencia de la fecha en la que se publique en el Boletín Oficial de la Provincia.
Sexto. – Delegar expresamente en Doña Lidia Vanesa Díaz Trujillo para cuantas actuaciones fuesen necesarias para proceder a tramitar su registro y publicación de los presentes acuerdos aquí tomados.
Sin más asuntos que tratar, se levanta la sesión, siendo las 10:30 horas del mismo día y lugar.
Por FEPECO.
Por UGT-FICA Canarias.
Por CCOO del Hábitat de Canarias.
REVISIÓN SALARIAL Y CALENDARIO 2024 (BOP Número 146, Miércoles 4 de diciembre de 2024)
Código 38000535011982.
VISTO el Acuerdo de Revisión Salarial para el año 2024 del Convenio Colectivo del SECTOR DE LA CONSTRUCCIÓN Y OBRAS PÚBLICAS DE LA PROVINCIA DE SANTA CRUZ DE TENERIFE presentado en esta Dirección General de Trabajo, suscrito por la Comisión Negociadora, de conformidad con lo dispuesto en el artículo 90, 2 y 3 del Real Decreto Legislativo 2/2015, de 23 de octubre, por el que se aprueba el Texto Refundido de la Ley del Estatuto de los Trabajadores aprobado por Real Decreto Legislativo 2/2015, de 23 de octubre, Real Decreto 713/2010 sobre registro y depósito de convenios y acuerdos colectivos de trabajo, y en el ejercicio de las competencias atribuidas a la Dirección General de Trabajo en virtud de lo establecido en el artículo 12.2 a) del Reglamento Orgánico de la Consejería de Turismo y Empleo aprobado por el Decreto 37/2024, de 4 de marzo (BOC nº 52, de 12 de marzo), esta Dirección General de Trabajo,
ACUERDA
1.- ORDENAR su inscripción en el Registro de Convenios Colectivos de Trabajo de esta Dirección General de Trabajo.
2.- NOTIFICAR a la Comisión Negociadora.
3.- INTERESAR su publicación en el Boletín Oficial de la Provincia.
Santa Cruz de Tenerife, a catorce de noviembre de dos mil veinticuatro.
EL DIRECTOR GENERAL DE TRABAJO, José Ramón Rodríguez Albertus, documento firmado electrónicamente.
MODIFICACIÓN Y CALENDARIO 2025 (BOP Número 14, Viernes 31 de enero de 2025)
VISTO el Calendario Laboral para el año 2025 del Convenio Colectivo Provincial del Sector de la CONSTRUCCIÓN Y OBRAS PÚBLICAS de la Provincia de Santa Cruz de Tenerife, presentado en esta Dirección General de Trabajo, suscrito por la Comisión Negociadora, de conformidad con lo dispuesto en el artículo 90, 2 y 3 del Real Decreto Legislativo 2/2015, de 23 de octubre, por el que se aprueba el texto refundido de la Ley del Estatuto de los Trabajadores, artículo 2 del Real Decreto 713/2010 sobre registro y depósito de convenios y acuerdos colectivos de trabajo, Esta Dirección General de Trabajo, acuerda:
1.- ORDENAR su inscripción en el Registro de Convenios Colectivos de Trabajo de esta Dirección General de Trabajo.
2.- NOTIFICAR a la Comisión Negociadora.
3.- INTERESAR su publicación en el Boletín Oficial de la Provincia.
Santa Cruz de Tenerife, a diecisiete de enero de dos mil veinticinco.
EL DIRECTOR GENERAL DE TRABAJO, José Ramón Rodríguez Albertus, documento firmado electrónicamente.
ACTA INICIAL Y FINAL DE LA COMISIÓN NEGOCIADORA DEL CONVENIO COLECTIVO PROVINCIAL DEL SECTOR DE LA CONSTRUCCIÓN DE SANTA CRUZ DE TENERIFE 2022-2026.
Por la Representación Empresarial:
Por FEPECO:
Dª. Olga Sanfiel Hernández.
Dª. Lidia Vanesa Díaz Trujillo.
Por la Representación de las Personas Trabajadoras:
Por UGT-FICA Canarias:
Dª. Beatriz M. Méndez Díaz.
Por CC.OO. del Hábitat de Canarias:
D. Agustín P. González Dorta.
En Santa Cruz de Tenerife, siendo las 9:00 horas del 20 de diciembre de 2024, se reúnen en la sede de la Federación Provincial de Entidades de la Construcción (FEPECO-CNC) las personas relacionadas al margen, en su calidad de representantes de la Comisión Negociadora del Convenio Provincial del Sector de la Construcción 2022-2026 (código convenio 38000535011992), para tratar la distribución de la jornada laboral para el año 2025 y la actualización del articulo 19 Plus extrasalarial (gastos por locomoción), del convenio en vigor.
ANTECEDENTES.
Para la negociación del calendario laboral se estará al contenido de los artículos 12.4.c. y el 71.5 del VII Convenio General del Sector de la Construcción, así como al artículo 21 del Convenio Colectivo de la Provincia de Santa Cruz de Tenerife.
Los artículos 12.4.b y el 12.4.c, sobre articulación de la negociación colectiva en ámbitos inferiores al estatal que establecen, la concreción cuantitativa de las percepciones económicas no cuantificadas numérica o porcentualmente en el presente Convenio y la distribución de la jornada anual de trabajo efectivo y su regulación en cuanto a horarios y calendarios.
Visto y estudiado el calendario laboral de la Comunidad Autónoma de Canarias, publicado en los Boletines Oficiales de Canarias números 187 de 23-09-2024 y 238 de 28-11-2024, así como los artículos anteriormente mencionados se desprende lo siguiente:
Para dar cumplimiento a lo anterior y modificar parcialmente el Convenio colectivo provincial publicado en los B.O.P. 16 de marzo de 2018 y 4 de octubre de 2019 las representaciones de FEPECO, UGT-FICA Canarias y CC.OO. del Habitat de Canarias,
ACUERDAN:
PRIMERO. – Dar nueva redacción al artículo siguiente:
Artículo 19. Plus extrasalarial.
Cuando la empresa deba abonar íntegramente el importe del billete de ida y vuelta al centro de trabajo, podrá sustituirlo de mutuo acuerdo con la persona trabajadora a razón de 0,26 céntimos/Km., con independencia del plus de transporte reconocido en la tabla salarial, en todo caso, se respetarán las condiciones más beneficiosas que se pudieran estar percibiendo a la vigencia del presente convenio.
El importe por kilómetro establecido en este artículo se actualizará automáticamente cuando la normativa fiscal vigente establezca una cantidad superior para el concepto de «gastos de locomoción» exento de tributación en el Reglamento del Impuesto sobre la Renta de las Personas Físicas. Esta actualización se aplicará de forma inmediata y sin necesidad de negociación previa, asegurando que la compensación se mantenga siempre alineada con los límites fiscales más favorables para las personas trabajadoras
SEGUNDO.- Calendario laboral para el año 2025:
Que en el año 2025 hay 252 días laborales que representan 2.016 horas de trabajo y que a éstas se deberán descontar, 168 horas de las vacaciones anuales que suponen 21 días laborables, asimismo se han de descontar 16 horas de las 2 fiestas de los municipios de la provincia que representan 2 días laborables, lo cual registra un total de 1.824 horas de trabajo que representan 228 jornadas al año.
Como quiera que el artículo 71 del VII Convenio General del Sector de la Construcción especifica que la jornada ordinaria anual máxima será de 1.736 horas, se produce un exceso de jornada de 88 horas y que equivalen a 11 días laborales.
Por todo lo anterior, las partes,
ACUERDAN:
Primero.- Que, conforme a lo señalado con anterioridad, las personadas trabajadoras tendrán derecho a la compensación del exceso de las horas referidas anteriormente de la forma siguiente:
a) Fijar 48 horas (6 días) como no laborables de convenio en las islas de TENERIFE, LA PALMA, LA GOMERA Y EL HIERRO que serán los siguientes:
3 de marzo, 2 de mayo, 31 de octubre, 24, 26 y 31 de diciembre.
b) Las 40 horas (5 días) restantes se podrán solicitar:
1. Para acumular al período de vacaciones anuales 2. Para asuntos propios, pudiéndose solicitar, al menos 8 horas, distribuidas en diferentes días.
3. Para solicitar estos días se tendrán que preavisar con un mínimo de 48 horas de antelación, de común acuerdo.
1. Las personas trabajadoras que no presten servicios efectivos durante todo el año le serán compensados los días u horas pendientes de disfrutar señalados en los apartados a) y b) anteriores, de manera proporcional al periodo trabajado mediante su abono en sus respectivas liquidaciones al finalizar su contrato de trabajo.
2. Todos los días u horas no laborables indicados en los apartados a) y b) serán compensados a razón de salario base, plus de asistencia y plus de transporte de las tablas salariales del convenio y/o a razón de los pactos salariales individuales superiores al Convenio.
Segundo.- En las islas y municipios que fijen su/s fiesta/s insular/locales coincidiendo en sábado o domingo, así como en algunos de los días señalados en el acuerdo «Primero a)» anterior, (ejemplo día 2 de mayo que es festivo por el municipio de Santa Cruz de Tenerife, este pasaría al día 5 del mismo mes), se producirá el traslado del descanso al día hábil siguiente considerándose, por tanto, dicho/s día/s inhábil/es y retribuido/s a razón de salario base, plus de asistencia y plus de transporte o en ambos casos, al valor de los pactos salariales individuales superiores al convenio.
Tercero.- De común acuerdo, la empresa y la representación legal de las personas trabajadoras podrán fijar una distribución distinta de los días establecidos en los acuerdos Primero, apartados a) y b) y Segundo, dichos acuerdos, de producirse, deberán ser notificados a la Comisión Paritaria del Convenio Colectivo Provincial antes del 31 de enero de 2025.
Cuarto.- Las empresas del Comercio de la Construcción, por la competitividad existente en el mercado y ante las dificultades que las mismas puedan tener por circunstancias de su actividad, acordaran con los representantes legales de las personas trabajadoras, una distribución distinta de los días pactados, fijando el acuerdo en su calendario laboral, respetando en todo momento la jornada semanal de 40 horas distribuidas de lunes a sábados y el cómputo máximo anual de 1736 horas.
Quinto.- Los acuerdos aquí tomados entrarán en vigor desde el momento de la firma de la presente acta, con independencia de la fecha en la que se publique en el Boletín Oficial de la Provincia.
Sexto.- Delegar expresamente en Doña Lidia Vanesa Díaz Trujillo para cuantas actuaciones fuesen necesarias para tramitar su registro y publicación de los presentes acuerdos aquí tomados.
Sin más asuntos que tratar, se levanta la sesión, siendo las 11:00 horas del mismo día y lugar.
Por, FEPECO, Por, UGT-FICA, Por, CCOO del Hábitat de Canarias.
CALENDARIO 2026 (BOP Número 151, Lunes 15 de diciembre de 2025)
Código 38000535011982.
VISTO el Calendario Laboral para el año 2026 del Convenio Colectivo del Sector de la CONSTRUCCIÓN Y OBRAS PÚBLICAS de la Provincia de Santa Cruz de Tenerife, presentado en esta Dirección General de Trabajo, suscrito por la Comisión Negociadora, de conformidad con lo dispuesto en el artículo 90, 2 y 3 del Real Decreto Legislativo 2/2015, de 23 de octubre, por el que se aprueba el texto refundido de la Ley del Estatuto de los Trabajadores, artículo 2 del Real Decreto 713/2010 sobre registro y depósito de convenios y acuerdos colectivos de trabajo.
ESTA DIRECCIÓN GENERAL DE TRABAJO,
ACUERDA
1.- ORDENAR su inscripción en el Registro de Convenios Colectivos de Trabajo de esta Dirección General de Trabajo.
2.- NOTIFICAR a la Comisión Negociadora.
3.- INTERESAR su publicación en el Boletín Oficial de la Provincia.
Santa Cruz de Tenerife, a siete de noviembre de dos mil veinticinco.
EL DIRECTOR GENERAL DE TRABAJO, José Ramón Rodríguez Albertus, documento firmado electrónicamente.
ACTA INICIAL Y FINAL DE LA COMISIÓN NEGOCIADORA DEL CONVENIO COLECTIVO PROVINCIAL DEL SECTOR DE LA CONSTRUCCIÓN DE SANTA CRUZ DE TENERIFE 2022-2026.
Por la Representación Empresarial:
Por FEPECO:
D. Oscar Luis Izquierdo Gutiérrez.
Dª Lidia Vanesa Díaz Trujillo.
Por la Representación de las Personas Trabajadoras:
Por UGT-FICA Canarias:
Dª Beatriz M. Méndez Díaz.
Por CC.OO. del Hábitat de Canarias:
D. Yurena Mejías Bermúdez.
En Santa Cruz de Tenerife, siendo las 9:00 horas del 21 de octubre de 2025, se reúnen en la sede de la Federación Provincial de Entidades de la Construcción (FEPECO-CNC) las personas relacionadas al margen, en su calidad de representantes de la Comisión Negociadora del Convenio Provincial del Sector de la Construcción 2022-2026 (código convenio 38000535011992), para tratar la distribución de la jornada laboral para el año 2026.
ANTECEDENTES.
Para la negociación del calendario laboral se estará al contenido de los artículos 12.4.c. y el 71.5 del VII Convenio General del Sector de la Construcción, así como al artículo 21 del Convenio Colectivo de la Provincia de Santa Cruz de Tenerife.
Los artículos 12.4.b y el 12.4.c, sobre articulación de la negociación colectiva en ámbitos inferiores al estatal que establecen, la concreción cuantitativa de las percepciones económicas no cuantificadas numérica o porcentualmente en el presente Convenio y la distribución de la jornada anual de trabajo efectivo y su regulación en cuanto a horarios y calendarios.
Visto y estudiado el calendario de fiestas laborales de la Comunidad Autónoma de Canarias y de sus municipios, publicadas en los Boletines Oficiales de Canarias (BOC) números 88 y 165 de 5 de mayo y 21 de agosto de 2025, esta comisión alcanza los ACUERDOS siguientes:
PRIMERO.- Calendario laboral para el año 2026:
Que en el año 2026 hay 252 días laborales que representan 2.016 horas de trabajo y que a éstas se deberán descontar, 168 horas de las vacaciones anuales que suponen 21 días laborables, asimismo se han de descontar 8 horas de festividad insular en cada una de las islas de la provincia que representa 1 día laboral y 16 horas de 2 fiestas de los municipios de la provincia que representan 2 días laborables, lo cual registra un total de 1.824 horas de trabajo que representan 228 jornadas al año.
Como quiera que el artículo 71 del VII Convenio General del Sector de la Construcción especifica que la jornada ordinaria anual máxima será de 1.736 horas, se produce un exceso de jornada de 88 horas y que equivalen a 11 días laborales.
Por todo lo anterior, las partes, ACUERDAN:
Primero.- Que, conforme a lo señalado con anterioridad, las personadas trabajadoras tendrán derecho a la compensación del exceso de las horas referidas anteriormente de la forma siguiente:
a) Fijar 48 horas (6 días) como no laborables de convenio en las islas de TENERIFE, LA PALMA. LA GOMERA Y EL HIERRO que serán los siguientes: 2 de enero, 5 de enero, 16 de febrero, 7, 24 y 31 de diciembre.
b) Las 40 horas (5 días) restantes de podrán solicitar:
1. Para acumular al período de vacaciones anuales
2. Para asuntos propios, pudiéndose solicitar, al menos 8 horas, distribuidas en diferentes días.
3. Para solicitar estos días, se tendrán que preavisar con un mínimo de 48 horas de antelación, de común acuerdo.
1. Las personas trabajadoras que no presten servicios efectivos durante todo el año le serán compensados los días o horas pendientes de disfrutar señalados en los apartados a) y b) anteriores, de manera proporcional al periodo trabajado mediante su abono en sus respectivas liquidaciones al finalizar su contrato de trabajo.
2. Todos los días o horas no laborables indicados en los apartados a) y b) serán compensados a razón de salario base, plus de asistencia y plus de transporte de las tablas salariales del convenio y/o a razón de los pactos salariales individuales superiores al Convenio.
Segundo.- En las islas y municipios que han fijado su/s fiesta/s locales coincidiendo en sábado, así como en algunos de los días señalados en el acuerdo «Primero a)» anterior, se producirá el traslado del descanso al día hábil siguiente considerándose, por tanto, dicho/s día/s inhábil/es y retribuido/s a razón de salario base, plus de asistencia, plus de transporte o al valor de los pactos salariales individuales superiores al convenio.
Tercero.- De común acuerdo, la empresa y la representación legal de las personas trabajadoras podrán fijar una distribución distinta de los días establecidos en los acuerdos Primero, apartados a) y b) y Segundo, dichos acuerdos, de producirse, deberán ser notificados a la Comisión Paritaria del Convenio Colectivo Provincial antes del 31 de enero de 2026.
Cuarto.- Las empresas del Comercio de la Construcción, por la competitividad existente en el mercado y ante las dificultades que las mismas puedan tener por las circunstancias de su actividad, acordaran con los representantes legales de las personas trabajadoras, una distribución distinta de los días pactados, fijando el acuerdo en su calendario laboral, respetando en todo momento la jornada semanal de 40 horas distribuidas de lunes a sábados y el cómputo máximo anual de 1.736 horas.
Quinto.- Los acuerdos aquí tomados entrarán en vigor desde el momento de la firma de la presente acta, con independencia de la fecha en la que se publique en el Boletín Oficial de la Provincia.
Sexto.- Delegar expresamente en Doña Lidia Vanesa Díaz Trujillo para cuantas actuaciones fuesen necesarias para tramitar su registro y publicación de los presentes acuerdos aquí tomados.
Sin más asuntos que tratar, se levanta la sesión, siendo las 10:00 horas del mismo día y lugar.
Por, FEPECO, Por, UGT-FICA, Por, CCOO del Hábitat de Canarias Canarias.
REVISIÓN SALARIAL (BOP Número 25, Viernes 27 de febrero de 2026)
Código 38000535011982.
VISTA la modificación del texto del Convenio Colectivo del SECTOR DE LA CONSTRUCCIÓN DE LA PROVINCIA DE SANTA CRUZ DE TENERIFE, suscrito por la Mesa Negociadora del mismo, y de conformidad con lo dispuesto en el artículo 90.2 y 3 del Texto Refundido de la Ley del Estatuto de los Trabajadores aprobado por Real Decreto Legislativo 2/2015, de 23 de octubre, Real Decreto 713/2010 sobre registro y depósito de convenios y acuerdos colectivos de trabajo, y en ejercicio de las competencias atribuidas a la Dirección General de Trabajo en virtud de lo establecido en el artículo 12.2 a) del Reglamento Orgánico de la Consejería de Turismo y Empleo aprobado por el Decreto 37/2024, de 4 de marzo (B.O.C. n* 52, de 12 de marzo), esta Dirección General,
ACUERDA
Primero.- Inscribir la citada modificación del Convenio en el Registro de convenios y acuerdos colectivos de trabajo de este Centro Directivo, y proceder a su depósito, con notificación a la Mesa Negociadora.
Segundo.- Disponer su publicación en el Boletín Oficial de la Provincia.
Santa Cruz de Tenerife, a doce de febrero de dos mil veintiséis.
EL DIRECTOR GENERAL DE TRABAJO, José Ramón Rodríguez Albertus, documento firmado electrónicamente.
ACTA INICIAL Y FINAL DE LA COMISIÓN NEGOCIADORA DEL CONVENIO COLECTIVO PROVINCIAL DEL SECTOR DE LA CONSTRUCCIÓN DE SANTA CRUZ DE TENERIFE 2022-2026.
ANTECEDENTES.
El pasado 10 de diciembre de 2025 se publicó en el Boletín Oficial del Estado nº 296 el acuerdo suscrito con fecha 4 de noviembre de 2025 entre la Confederación Nacional de la Construcción, (CNC), en representación de las empresas del sector de la construcción y las organizaciones sindicales CC.OO. del Habitat y UGT-FICA, donde se acuerdan, modifican y derogan varios artículos y disposiciones adicionales del VIl Convenio colectivo general del sector de la construcción.
El VII Convenio General del Sector de la Construcción en su artículo 12.4, sobre articulación de la negociación colectiva en ámbitos inferiores al estatal que establecen, la concreción cuantitativa de las percepciones económicas no cuantificadas numérica o porcentualmente en el presente Convenio Provincial.
Por lo anterior esta Mesa Negociadora del Convenio Provincial procede a actualizar los conceptos económicos de los artículos; 53.- Remuneración mínima bruta anual de los años 2025 y 2028; el 55.- Remuneración bruta anual de los años 2025 y 2026.
Para dar cumplimiento a lo anterior y modificar parcialmente el Convenio Colectivo provincial publicado en los Boletines Oficiales de la Provincia de Santa Cruz de Tenerife de; 16 de marzo de 2018; de 1 de agosto de 2019; de 4 de octubre de 2019; de 21 de octubre de 2020; de 1 de marzo de 2023; de 4 de diciembre de 2024 y de 31 de enero de 2025 por las representaciones de FEPECO, UGT-FICA Canarias y CC.OO. del Habitat de Canarias, ACUERDAN:
PRIMERO. – Dar nueva redacción a los artículos siguientes:
Artículo 11. Incrementos salariales.
1. Aplicar a las tablas vigentes del año 2024 una actualización del 0,4 por ciento en base a los criterios de la cláusula de garantía salarial, actualizadas éstas, se le aplacará un incremento del 3,5 por ciento con efectos desde el día 1 de enero de 2025 y a las vigentes de 2025se actualizarán en un 3,0 por ciento con efectos del día 1 de enero de 2026.
2. Las tablas salariales resultantes, se adjuntarán al presente acuerdo como Anexo | y los atrasos a los que hubiera lugar como Anexo ll.
3. Los atrasos que el incremento salarial produce se deberán abonar a las personas trabajadoras dentro de los tres primeros meses del 2026, es decir, hasta el 31 de marzo.
4. Cláusula de garantía salarial. Se establece una cláusula de garantía salarial, de manera que si el valor medio de los incrementos porcentuales interanuales del Índice de Precios al Consumo (IPC) general de los meses de diciembre de los años 2025 y 2026 , publicado por el Instituto Nacional de Estadística, se situara en un nivel superior al 7,25 por ciento, y siempre con un máximo de un 9,25 por ciento, se incrementarán con efectos de 1 de enero de 2027 las tablas salariales del año 2026, sin efectos retroactivos, de manera que el 50,0% de ese exceso irá en un 50,0% a incremento de las tablas salariales y el otro 50,0% a contribución al plan de pensiones de las personas trabajadoras en alta en la empresa a dicha fecha de 1 de enero de 2027; la contribución al plan de pensiones se llevará a cabo en los términos y condiciones que se determinen en el libro tercero al que se refiere el artículo 56 Plan de pensiones del VII Convenio general del sector de la construcción 2022- 2026.
Artículo 13.- Remuneración bruta anual y remuneración mínima bruta anual.
1. La remuneración bruta anual mencionada en el artículo anterior comprenderá todas las percepciones económicas pactadas en cada convenio, por nivel y categoría profesional.
De acuerdo con las formas de devengo, la remuneración bruta anual vendrá dada por la siguiente fórmula:
2. Se establece una remuneración mínima bruta anual para el sector de la construcción para los años 2025 y 2026 para las personas trabajadoras a jornada completa, computándose a estos efectos la totalidad de los conceptos retributivos a percibir, por los niveles profesionales siguientes:
Artículo 16 Dietas.
Dentro de la filosofía regulada en el art. 83 del VII Convenio General del Sector de la Construcción, se establece:
1. La dieta es un concepto extrasalarial, de naturaleza indemnizatoria o compensatoria, y de carácter irregular, que tiene como finalidad el resarcimiento o compensación de los gastos de manutención y alojamiento de la persona trabajadora, ocasionados como consecuencia de la situación de desplazamiento.
2. La persona trabajadora percibirá dieta completa cuando, como consecuencia del desplazamiento, no pueda pernoctar en su residencia habitual. Se devengará siempre por día natural.
3. Cuando el empresario organice y costeé la manutención y alojamiento del personal desplazado, siempre que reúna las condiciones exigibles y suficientes, solamente satisfará el 20 por 100 de la dieta completa.
4. Se devengará media dieta cuando, como consecuencia del desplazamiento, la persona trabajadora afectada tenga necesidad de realizar la comida fuera de su residencia habitual, no le fuera suministrada por la empresa y pueda pernoctar en la citada residencia. La medía dieta se devengará por día efectivo trabajado.
5. El importe de la dieta completa y de la media dieta será para los años de vigencia del presente convenio colectivo la siguiente:
6. La dieta completa no se devengará en los casos de suspensión legal del contrato de trabajo, salvo en los casos de incapacidad temporal en los que la empresa mantenga el desplazamiento.
7. Dieta interinsular: se aplicará cuando la persona trabajadora sea desplazada fuera de la ¡isla en la que tenga su residencia habitual, en este caso, la empresa tendrá que costear todos los gastos de transporte, alojamiento y manutención de esta, incluso los pasajes de ida y vuelta. Estas dietas se abonarán durante todo el tiempo que la persona trabajadora permanezca en la isla a la que fue desplazada, incluso sábados, domingos y festivos.
Artículo 17. Desgaste de herramientas.
Las empresas se comprometen a facilitar a las personas trabajadoras las herramientas y útiles de mano precisas para la realización de su trabajo. Caso de que no lo hicieran y sea la persona trabajadora la que aporta su propia herramienta, la empresa viene obligada a satisfacer por el concepto de desgaste de herramientas la cantidad de once con cincuenta y nueve (11,59 €) euros mensuales.
Artículo 19. Plus extra salarial.
Cuando la empresa deba abonar integramente el importe del billete de ida y vuelta al centro de trabajo, podrá sustituirlo de mutuo acuerdo con la persona trabajadora a razón de 0,28 céntimos/Km., con independencia del plus de transporte reconocido en la tabla salarial, si la fiscalidad estableciera un importe superior, se aplicaría este último, en todo caso, se respetaran las condiciones más beneficiosas que se pudieran estar percibiendo a la vigencia del presente convenio.
SEGUNDO. – Contribución empresarial al plan de pensiones de empleo simplificado en el sector de la construcción para los años 2025 y 2026.
El artículo 56 del VII Convenio General del Sector de la Construcción fija la contribución empresarial, durante la vigencia del contrato de trabajo, por aquellas personas trabajadoras que se entienden como participes en el libro tercero del convenio mencionado, siendo ésta la siguiente:
1. En 2025, de un 1,00 por ciento del importe de los conceptos salariales de las tablas de 2021 del convenio colectivo que resulte de aplicación, más un 0,25 por ciento del importe de los conceptos salariales de las tablas de 2023 del convenio colectivo que resulte de aplicación, más el importe correspondiente a la cantidad resultante de aplicar un 0,40 por ciento sobre los conceptos salariales de las tablas vigentes en el ejercicio del 2024 del convenio colectivo que resulte de aplicación, en conformidad con lo dispuesto en la cláusula de garantía salarial prevista en el apartado 4 del artículo 55 del VIl Convenio General del Sector de la Construcción, y más un 0,50 por ciento del importe de los conceptos salariales de las tablas de 2024 del convenio colectivo que resulte de aplicación, una vez aplicada la cláusula de garantía salarial, anteriormente mencionada, si la persona trabajadora prestase servicios durante todo el año 2025 a tiempo completo o, en su defecto, de la parte proporcional correspondiente.
2. En 2026, de un 1,00 por ciento del importe de los conceptos salariales de las tablas de 2021 del convenio colectivo que resulte de aplicación, más un 0,25 por ciento del importe de los conceptos salariales de las tablas de 2023 del convenio colectivo que resulte de aplicación, más el importe correspondiente a la cantidad resultante de aplicar un 0,40 por ciento sobre los conceptos salariales de las tablas vigentes en el ejercicio del 2024 del convenio colectivo que resulte de aplicación, en conformidad con lo dispuesto en la cláusula de garantía salarial prevista en el apartado 4 del artículo 55 del VII Convenio General del Sector de la Construcción, más un 0,50 por ciento del importe de los conceptos salariales de las tablas de 2024 del convenio colectivo que resulte de aplicación, una vez aplicada la cláusula de garantía salarial anteriormente mencionada, y más un 0,25 por ciento del importe de los conceptos salariales de las tablas de 2025 del convenio colectivo que resulte de aplicación, si la persona trabajadora prestase servicios durante todo el año 2026 a tiempo completo o, en su defecto, de la parte proporcional correspondiente.
Se adjunta a la presente acta como Anexo III, el cuadro de aportaciones, en términos globales de las categorías profesionales de las tablas salarias Convenio Provincial.
Dicho anexo no recoge cuantitativamente el efecto contemplado por la derogación con efectos 1 de enero de 2026 del apartado 3 del «artículo 28 Determinación de las contribuciones» del Reglamento de Especificaciones del Plan de Pensiones de Empleo Simplificado del Sector de la Construcción (PPESSC), por lo tanto a partir de la fecha señalada y sin efectos retroactivos, existirá la obligación por parte de las Entidades Promotoras de efectuar contribuciones al PPESSC por todas aquellas personas trabajadoras que teniendo la condición de Participes, y con independencia de la fecha de su contratación laboral por aquellas y de que su retribución anual fuese superior a la remuneración bruta anual establecida en las tablas salariales del Convenio Provincial, no tuviesen interrumpido o suspendido el contrato de trabajo por alguna de las causas previstas en la legislación vigente o en el artículo 29 del Reglamento de Especificaciones del PPESSC contenido en el artículo 240 del VII CGSC.
TERCERO. – Los acuerdos aquí tomados entrarán en vigor desde el momento de la firma de la presente acta, con independencia de la fecha en la que se publique en el Boletín Oficial de la Provincia.
CUARTO. – Delegar expresamente en Doña Lidia Vanesa Díaz Trujillo para cuantas actuaciones fuesen necesarias para proceder a tramitar su registro y publicación de los presentes acuerdos aquí tomados.
Sin más asuntos que tratar, se levanta la sesión, siendo las 11:45 horas del mismo día y lugar.
CORRECCIÓN TABLAS (BOP Número 29, Lunes 9 de marzo de 2026)
Advertido error material en el BOP nº 25 del día 27 de febrero de 2026, de la modificación del texto del Convenio Colectivo del SECTOR DE LA CONSTRUCCIÓN DE LA PROVINCIA DE SANTA CRUZ DE TENERIFE, se procede nuevamente a su publicación íntegra.
Código 38000535011982.
VISTA la modificación del texto del Convenio Colectivo del SECTOR DE LA CONSTRUCCIÓN DE LA PROVINCIA DE SANTA CRUZ DE TENERIFE, suscrito por la Mesa Negociadora del mismo, y de conformidad con lo dispuesto en el artículo 90.2 y 3 del Texto Refundido de la Ley del Estatuto de los Trabajadores aprobado por Real Decreto Legislativo 2/2015, de 23 de octubre, Real Decreto 713/2010 sobre registro y depósito de convenios y acuerdos colectivos de trabajo, y en ejercicio de las competencias atribuidas a la Dirección General de Trabajo en virtud de lo establecido en el artículo 12.2 a) del Reglamento Orgánico de la Consejería de Turismo y Empleo aprobado por el Decreto 37/2024, de 4 de marzo (B.O.C. nº 52, de 12 de marzo), esta Dirección General,
ACUERDA
Primero.- Inscribir la citada modificación del Convenio en el Registro de convenios y acuerdos colectivos de trabajo de este Centro Directivo, y proceder a su depósito, con notificación a la Mesa Negociadora.
Segundo.- Disponer su publicación en el Boletín Oficial de la Provincia.
Santa Cruz de Tenerife, a doce de febrero de dos mil veintiséis.
EL DIRECTOR GENERAL DE TRABAJO, José Ramón Rodríguez Albertus, documento firmado electrónicamente.
