CONVENIO COLECTIVO (BOP Nº 129 – jueves 04 de julio de 2024)
VISTO el Convenio Colectivo de CONFITERÍA, PASTELERÍA, BOLLERÍA, REPOSTERÍA, CHURRERÍA, FÁBRICA DE CHOCOLATE Y TURRONES DE SEVILLA Y SU PROVINCIA (cod 41000905011981 ), suscrito por la Patronal APECOPAS y por las Centrales Sindicales UGT y CCOO, con vigencia desde el 01-01-2023 a 31-12-2026.
VISTO lo dispuesto en el art. 90.2 del Real Decreto Legislativo 2/2015 de 23 de octubre (E.T.), por el que se aprueba el Texto Refundido del Estatuto de los Trabajadores (BOE 255, de 24/10/2015), de acuerdo con el cual, los convenios deberán ser presentados ante la autoridad laboral, a los solos efectos de su registro.
VISTO lo dispuesto en los artículos 2, 6 y 8 del Real Decreto 713/2010, de 28 de mayo (BOE 143, de 12/06/2010), sobre «registro y depósito de convenios colectivos, acuerdos colectivos de trabajo y planes de igualdad», serán objeto de inscripción en los registros de convenios y acuerdos colectivos de trabajo y planes de igualdad de las autoridades laborales los convenios elaborados conforme a lo establecido en el Título III del Texto Refundido de la Ley del Estatuto de los Trabajadores Real Decreto Legislativo 2/2015 de 23 de octubre, sus revisiones, modificaciones y/o prórrogas, acuerdos de comisiones paritarias, acuerdos de adhesión a un convenio en vigor, acuerdos de planes de igualdad y otros.
VISTO lo dispuesto en los artículos 3, 6 y 8 del Real Decreto 713/2010 de 28 de mayo (BOE n.º 143 de 12 de junio), Real Decreto 4043/82 de 29 de diciembre, sobre Traspaso de Funciones y Servicios de la Administración del Estado a la Junta de Andalucía en materia de Trabajo. Es competencia de esta Delegación Territorial dictar la presente Resolución de conformidad con lo dispuesto en el Decreto del Presidente 10/2022, de 25 de julio, sobre reestructuración de Consejerías; Decreto del Presidente 13/2022, de 8 de agosto, por el que se modifica el Decreto del Presidente 10/2022, de 25 de julio, sobre reestructuración de Consejerías; Decreto 155/2022, de 9 de agosto, por el que se regula la estructura orgánica de la Consejería de Empleo, Empresa y Trabajo Autónomo, en concordancia con el Decreto 226/2020, de 29 de diciembre, que regula la organización territorial provincial de la administración de la Junta de Andalucía, modificado por el Decreto 300/2022, de 30 de agosto.
Esta Delegación Territorial, ACUERDA:
PRIMERO.- Registrar y ordenar la inscripción del Convenio Colectivo para las Empresas de CONFITERÍA, PASTELERÍA, BOLLERÍA, REPOSTERÍA, CHURRERÍA, FÁBRICA DE CHOCOLATE Y TURRONES DE SEVILLA Y SU PROVINCIA (cod 41000905011981), suscrito por la Patronal APECOPAS y por las Centrales Sindicales UGT y CCOO, con vigencia desde el 01-01- 2023 a 31- 12-2026
SEGUNDO.- Disponer su publicación gratuita en el Boletín Oficial de la Provincia.
CONVENIO COLECTIVO PROVINCIAL DE CONFITERÍA , PASTELERÍA , BOLLERÍA , REPOSTERÍA , CHURRERÍA , FÁBRICA DE CHOCOLATE Y TURRONES DE SEVILLA Y PROVINCIA PARA LOS AÑOS 2023 A 2026
Capítulo I Ámbito de aplicación.
Artículo 1. Ámbito funcional.
Quedan sometidas a las estipulaciones del presente convenio todas aquellas empresas dedicadas a la Fabricación, Comercialización y Venta de Pastelería, Confitería, Tortas, Mazapanes, Bollería, Mantecados, Repostería, Churrerías, Fabricación de chocolate, Turrones, barritas energéticas y otros productos para desayuno, entendiéndose Confitería en su más amplio sentido, de fabricación y venta al por mayor y detalle.
Artículo 2. Ámbito territorial.
El presente Convenio será de aplicación obligatoria en la provincia de Sevilla.
Artículo 3. Ámbito personal.
Incluye la totalidad de las personas trabajadoras por cuenta ajena ocupado en las empresas comprendidas en los artículos 1º y 2º del presente Convenio Colectivo, con las excepciones a que se refiere el artículo 1.3 del Estatuto de los trabajadores.
Artículo 4. Convenios de ámbito distinto.
Tanto la parte empresarial como la social, se comprometen a cumplir en su totalidad el presente Convenio colectivo, quedando prohibida la negociación de Convenios de ámbito distinto al presente. No obstante a lo anterior, podrán una o varias empresas pactar con sus representantes de los trabajadores y trabajadoras Convenios de Empresa o grupos de empresas, cuyas condiciones no podrán ser inferiores en cómputo anual, a las del presente Convenio.
Artículo 5. Ámbito temporal.
Este Acuerdo se suscribe con vocación de permanencia y estabilidad normativa convencional. El ámbito temporal del nuevo convenio se extiende del 1 de enero de 2023 al 31 de diciembre de 2026 siempre que no sea sustituido por un nuevo convenio.
Con carácter general, el convenio colectivo se entenderá prorrogado por anualidades completas, si por cualquiera de las partes no se denuncia en el mes de noviembre del último año de vigencia de cada convenio o de las correspondientes prórrogas. En el caso de mediar denuncia las partes quedarán obligados a iniciar las deliberaciones del mismo antes de la finalización de la vigencia del convenio colectivo o de las correspondientes prórrogas.
El Convenio Colectivo se entenderá prorrogado en su integridad tanto en el texto normativo como en las condiciones económicas en las tablas salariales en el año de fin de la vigencia del convenio, hasta que se alcance un nuevo acuerdo y se pacte un nuevo convenio colectivo, y ello sin perjuicio de que haya sido previamente denunciado por alguna de las partes.
Capítulo II Clasificación profesional.
Artículo 6. Clasificación funcional.
Las personas trabajadoras afectadas por el presente convenio colectivo, en atención a las funciones que desarrollan y de acuerdo con las definiciones que se especifican en el artículo siguiente, serán clasificados en Grupos Profesionales.
Esta estructura profesional pretende obtener una más razonable estructura productiva, todo ello sin merma de la dignidad, oportunidad de promoción y justa retribución que corresponda a cada persona trabajadora. Los actuales puestos de trabajo y tareas se ajustarán a los grupos, subgrupos y niveles establecidos en el presente Convenio.
Artículo 7. Definición de los grupos profesionales.
En este artículo se definen los Grupos Profesionales que agrupan las diversas tareas y funciones que se realizan en las empresas afectadas por el presente convenio, dentro de los grupos profesionales existen niveles orgánicos funcionales en las que se pueden dividir la misma y subgrupos en el caso del grupo Fabricación.
La clasificación del personal es meramente enunciativa y no supone la obligación de tener provistos todos los grupos enunciados si las necesidades y volumen de la empresa no lo requieren.
El personal que presta sus servicios en las empresas se clasificará teniendo en cuenta las funciones que realiza en uno de los siguientes grupos:
– Grupo 1.- Personal Técnico.
– Grupo 2.- Personal Administrativo.
– Grupo 3.- Personal Mercantil.
– Grupo 4.- Personal Fabricación (Producción y acabado).
– Grupo 5.- Personal oficios varios.
– Grupo 1.- Personal Técnico.
Agrupa las profesiones de carácter técnico que son comunes dentro de las diferentes actividades encuadradas dentro del ámbito funcional del Convenio. Debiendo poseer un título reconocido oficialmente ya sea este de grado superior, grado medio y desempeña su trabajo dentro de la empresa en virtud de la titulación obtenida o careciendo de las titulaciones anteriores, desarrolla alguna tarea compleja que requieren un alto grado de especialización y requiere los conocimientos y destrezas necesarias para el desarrollo de su trabajo.
– Grupo 2.- Personal Administrativo.
Agrupa las profesiones de carácter administrativo que son comunes dentro de las diferentes actividades encuadradas dentro del ámbito funcional.
– Grupo 3.- Personal Mercantil.
Comprenden al personal que se dediquen a la promoción de las ventas, comercialización de los productos elaborados o comercializados por la empresa, el desarrollo de su publicidad, como también a las ventas de los mismos, tanto en la propia empresa, como en un sistema de autoventa, encargándose de ofrecer productos de la empresa, recoger pedidos, informar a clientes, trasmitir encargos recibidos. En cualquier ámbito de actuación territorial (provincial, comunidad autónoma, nacional o incluso internacional), realizando las rutas y desplazamientos necesarios para el desarrollo de sus funciones.
– Grupo 4.- Personal Fabricación.
Este grupo profesional comprende a aquel personal que, con la formación o experiencia necesaria, realizan los trabajos típicos de su especialidad en la sala de fabricación o el obrador, sean éstos principales o auxiliares, llevándolos a cabo con iniciativa, responsabilidad y rendimiento, de acuerdo con sus funciones.
Debiendo distinguirse dos subgrupos:
– Subgrupo 4.1. Personal Producción.
– Subgrupo 4.2. Personal Acabado.
– Grupo 5.-Personal oficios varios.
Agrupa al personal encargado del mantenimiento tanto de la maquinaria de producción de la empresa, así como del cuidado de las instalaciones de la misma, incluyendo la realización de determinados servicios complementarios. A título orientativo incluye este grupo al personal de mantenimiento, mecánicos, personal de limpieza, control de entrada, conductor repartidor, etc.
Para la inclusión del personal en un determinado Grupo Profesional y Niveles profesionales debemos de tener en cuenta lo siguiente:
1) La clasificación contenida en el presente artículo, se realizará por interpretación y aplicación de los criterios generales y por actividades básicas más representativas de cada Grupo profesional.
2) En el caso de concurrencia en un puesto de trabajo de labores básicas correspondientes a diferentes grupos profesionales, la clasificación se realizará en función de las actividades propias del grupo profesional en el que dedique la mayor parte de su jornada, atendiéndose en todo caso el criterio de trabajos de igual valor de cara a evitar cualquier tipo de discriminación.
3) La clasificación no supondrá en ningún caso que se excluya en los puestos de trabajo de cada grupo profesional la realización de actividades complementarias que pudieran ser básicas para puestos de trabajo incluidos en grupos profesionales distintos.
Cada Grupo Profesional tendrá, a su vez, los siguientes niveles:
– Nivel 1.- Personal Responsable.
– Nivel 2.- Personal Encargado.
– Nivel 3.- Personal Oficial 1.ª.
– Nivel 4.- Personal Oficial 2ª.
– Nivel 5.- Personal Ayudante.
– Nivel profesional número 1. Personal Responsable.
Criterios generales: Incluyen las funciones que consisten en la realización de actividades complejas con objetivos definidos y con alto grado de exigencia en los factores de autonomía y responsabilidad, y que dirigen normalmente un conjunto de funciones que comportan una actividad técnica o profesional especializada.
Formación: Equivalente a titulación académica superior, o bien de grado medio completada con una dilatada experiencia profesional equiparable.
Además, se incluirá en este nivel profesional cualquier otra función análoga que responda a los criterios generales y de formación atribuidos a este Nivel Profesional.
– Nivel profesional número 2. Personal Encargado.
Criterios generales: Funciones que se ejecutan coordinando e integrando bajo su mando a un número de personas, tanto de una sección o varias, componiendo un organigrama de producción y gestión, con un alto grado de responsabilidad y autonomía en cuanto a la dirección del trabajo, debiendo tener al mismo tiempo experiencia profesional en la propia empresa o en otros conocimientos específicos del trabajo a desarrollar y formación académica necesaria para el desempeño del mismo.
Formación: Conocimientos equivalentes a formación académica de grado medio, completada con un período de prácticas o experiencia adquirida en trabajos análogos, o por los estudios específicos necesarios para el desarrollo de su función; o experiencia profesional equiparable.
Además, se incluirá en este nivel profesional cualquier otra función análoga que responda a los criterios generales y de formación atribuidos a este Nivel Profesional.
– Nivel profesional número 3. Personal Oficial primera.
Criterios generales: Funciones que se ejecutan con un alto grado de responsabilidad y autonomía y dando cuenta de lo actuado ante su inmediato superior, coordinando y dirigiendo a su grupo.
Formación: El nivel formativo exigido es el equivalente al BUP, E.S.O. o FP Grado Medio, pudiendo ser completada; o, sustituida por una experiencia profesional práctica y específica equiparable.
Además, se incluirá en este nivel profesional cualquier otra función análoga que responda a los criterios generales y de formación atribuidos a este Nivel Profesional.
– Nivel profesional número 4. Personal Oficial segunda.
Criterios generales: Funciones que se ejecutan según instrucciones del responsable jerárquico, con un cierto grado de autonomía y responsabilizándose de su trabajo ante él mismo, requiriéndose para su ejecución adecuados conocimientos profesionales y aptitudes prácticas.
Formación: La formación básica exigible es la equivalente al Graduado Escolar, completada profesionalmente por una formación específica de este carácter; o experiencia profesional equiparable.
Además, se incluirá en este nivel profesional cualquier otra función análoga que responda a los criterios generales y de formación atribuidos a este nivel profesional.
– Nivel profesional número 5. Personal Ayudante.
Criterios generales: Funciones que consisten en operaciones realizadas siguiendo un método de trabajo preciso y concreto, siendo supervisado por su responsable jerárquico, requiriendo para su realización conocimiento profesional previo de carácter general y experiencia práctica.
Formación: La formación básica exigible es la equivalente a Graduado Escolar, Certificado de Escolaridad, o experiencia profesional equiparable.
Además, se incluirá en este nivel profesional cualquier otra función análoga que responda a los criterios generales y de formación atribuidos a este nivel profesional.
Artículo 8. Definición de los factores que influyen en la determinación de la pertenencia a un determinado grupo profesional y nivel profesional.
Los factores que habrán de considerarse para determinar la pertenencia a un determinado grupo profesional son los siguientes:
– Autonomía: Factor para cuya valoración deberá tenerse en cuenta la mayor o menor dependencia jerárquica en el desempeño de la función que se desarrolle.
– Mando: Factor para cuya valoración deberá tenerse en cuenta:
Capacidad de ordenación de tareas.
Capacidad de interrelación.
Naturaleza del colectivo.
Número de personas sobre las que ejerce el mando.
– Responsabilidad: Factor para cuya valoración deberá tenerse en cuenta tanto el grado de autonomía de acción del titular de la función, como el grado de influencia sobre los resultados e importancia de las consecuencias de la gestión.
– Conocimiento: Factor para cuya valoración deberá tenerse en cuenta, además de la formación básica necesaria para poder cumplir correctamente el cometido, el grado de conocimiento y experiencia adquirido así como la dificultad en la adquisición de dichos conocimientos y experiencias.
– Iniciativa: Factor para cuya valoración deberá tenerse en cuenta el mayor o menor sometimiento a directrices o normas para la ejecución de la función.
– Complejidad: Factor cuya valoración está en función de mayor o menor número, así como de mayor o menor grado de integración de los diversos factores antes enumerados, en la tarea o puesto encomendado.
– Experiencia y/o antigüedad en la empresa.
Asimismo deberá tenerse presente al calificar los puestos de trabajo, la dimensión de la empresa o de la unidad productiva en que se desarrolla la función.
Artículo 9. Clasificación del personal por razón de su permanencia.
El personal sujeto al presente Convenio colectivo se clasificará según su permanencia de la siguiente forma:
A) Personal Fijo de plantilla: Es el que presta sus servicios en la empresa de modo permanente, una vez superado el período de prueba.
B) Personal Fijos de Trabajos Discontinuos: Es el concertado para la realización de trabajos que no se repiten en fechas ciertas dentro del volumen normal de actividad de la empresa, prestando servicio en las diferentes campañas de la empresa o según las necesidades productivas de la empresa en función al sistema de llamamiento regulado posteriormente.
Se establece la obligatoriedad de dar preferencia al personal fijo de trabajos discontinuos, teniendo en cuenta la antigüedad dentro de cada grupo profesional, tanto para la primera como en las sucesivas llamadas que efectúen las empresas.
Para hacer efectivo lo desarrollado en el párrafo anterior, las empresas confeccionarán, junto con los comités de empresas o delegados de personal, los correspondientes escalafones de su personal fijo de trabajos discontinuos, también llamados de Campaña, sobre la base de la antigüedad de dichas personas trabajadoras en los respectivos grupos profesionales, los cuales estarán expuestos en el tablón de anuncios.
Cada persona trabajadora fijo de trabajos discontinuos tiene derecho a que como mínimo figure en el escalafón:
a) Nombre y apellidos.
b) Fecha de ingreso en la empresa.
c) Número de orden en el grupo profesional a la cual este adscrito.
El llamamiento del personal fijo de trabajo discontinuos se realizará por rigurosa antigüedad conforme al número de orden en el escalafón. Cuando por disminución del trabajo hubiese necesidad de reducir el número de personas trabajadoras fijas de trabajo discontinuo, estos cesarán en orden inverso en el escalafón, de menor a mayor antigüedad. Las personas miembros del Comité de Empresa o delegados y delegadas de personal tendrán prioridad de llamamiento dentro del grupo profesional escalafonada.
La persona fija discontinua de la empresa tiene derecho a la ocupación efectiva de manera preferente sobre cualquier persona trabajadora temporal, incluyendo los contratados a través de empresas de trabajo temporal siempre que exista algún trabajador o trabajadora fija discontinua escalafonado en situación de inactividad, salvo que el puesto a ocupar exija tal especialización o formación de la que carezca la persona trabajadora fija discontinua.
C) Personal eventual: El contrato de trabajo de duración determinada solo podrá celebrarse por circunstancias de la producción o por sustitución de persona trabajadora.
se entenderá por circunstancias de la producción el incremento ocasional e imprevisible y las oscilaciones que, aun tratándose de la actividad normal de la empresa, generan un desajuste temporal entre el empleo estable disponible y el que se requiere, siempre que no respondan a los supuestos incluidos en el apartado b).
Entre las oscilaciones a que se refiere el párrafo anterior se entenderán incluidas aquellas que derivan de las vacaciones anuales.
Cuando el contrato de duración determinada obedezca a estas circunstancias de la producción, su duración no podrá ser superior a seis meses.
Igualmente, las empresas podrán formalizar contratos por circunstancias de la producción para atender situaciones ocasionales, previsibles y que tengan una duración reducida y delimitada en los términos previstos en este párrafo. Las empresas solo podrán utilizar este contrato un máximo de noventa días en el año natural, independientemente de las personas trabajadoras que sean necesarias para atender en cada uno de dichos días las concretas situaciones, que deberán estar debidamente identificadas en el contrato. Estos noventa días no podrán ser utilizados de manera continuada. Las empresas, en el último trimestre de cada año, deberán trasladar a la representación legal de las personas trabajadoras una previsión anual de uso de estos contratos.
El personal eventual cesará al terminar el trabajo para el que fue contratado, debiéndose avisar su cese con ocho días de anticipación, o indemnizado por el mismo período de tiempo, en caso contrario. El personal eventual que trabaje menos de quince días, no necesitará preaviso de ninguna clase.
El personal de Eventual, percibirá al finalizar su relación laboral, y en concepto de compensación por sus servicios prestados, una indemnización de 3 días de salario base por mes de trabajo, o la parte proporcional del mes.
No podrá haber personal eventual mientras existan personas Fijas de Trabajos Discontinuos en situación de paro.
No se considerara a estos efectos los contratos de formación y aprendizaje, y los contratos por fomentos de empleo establecidos legalmente.
D) Contratos Formativos: tendrá por objeto la formación en alternancia con el trabajo retribuido por cuenta ajena compatibilizando la actividad laboral retribuida con los correspondientes procesos formativos en el ámbito de la formación profesional, los estudios universitarios o del Catálogo de especialidades formativas del Sistema Nacional de Empleo o el desempeño de una actividad laboral destinada a adquirir una práctica profesional adecuada a los correspondientes niveles de estudios, todo ello conforme a lo regulado en el artículo 11 del Estatuto de los Trabajadores.
E) Podrá celebrarse cualquier tipo de contrato de trabajo cuya modalidad esté recogida en la legislación vigente en cada momento.
Artículo 10. Organización del trabajo.
Las empresas que se rijan por el presente Convenio, al organizar el trabajo en las mismas, tendrán como principios básicos el respeto máximo a la condición de la persona trabajadora, sin discriminación en razón de su sexo, edad, nacionalidad o ideología, tanto política como sindical, prohibiéndose cualquier medida empresarial discriminatoria, vejatoria o denigrante para la persona trabajadora.
Asimismo las empresas incluidas en el ámbito de aplicación de este Convenio se comprometen a respetar en materia de Políticas de Igualdad lo establecido en la Ley Orgánica 3/2007, de 22 de marzo, para la igualdad efectiva de mujeres y hombres.
Artículo 11. Movilidad funcional.
1. La movilidad funcional para la realización de funciones, tanto superiores como inferiores, no correspondientes al grupo profesional sólo será posible si existen, además, razones técnicas u organizativas que la justifiquen y por el tiempo imprescindible para su atención. El empresario deberá comunicar su decisión y las razones de ésta a los representantes de los trabajadores y trabajadoras.
2. La persona trabajadora que realice funciones superior a las que correspondan al grupo, subgrupo o nivel que tuviera reconocida, por un período superior a seis meses durante un año u ocho meses durante dos años, puede reclamar ante la Dirección de la empresa la clasificación profesional adecuada. Contra la negativa de la empresa puede reclamar ante la jurisdicción competente. El Comité de empresa o en su caso, Delegado/a de personal, podrá requerir a la empresa informe sobre la negativa.
3. Cuando se desempeñen funciones superiores pero no proceda legal o convencionalmente el ascenso, la persona trabajadora tendrá derecho a la diferencia retribuida entre la categoría asignada y la función que efectivamente realice.
4. Si por necesidad perentoria o imprevisible de la actividad productiva, el empresario precisara destinar a la persona trabajadora a tareas inferiores a la suya, sólo podrá hacerlo por el tiempo imprescindible, manteniendo la retribución y demás derechos derivados de sus funciones y comunicándolo a los representantes legales de los trabajadores y trabajadoras.
Artículo 12. Periodo de prueba.
Podrá concertarse por escrito un período de prueba, con la sujeción a los siguientes limites de duración:
– Personal Técnico Superior y Medio: 6 meses.
– Personal Responsable y Personal Encargado: 6 meses.
– Otro personal técnico: 3 meses.
– Personal Oficial de primera: 2 meses.
– Personal Oficial de segunda: 1 mes.
– Personal Ayudante y auxiliares: 1 mes.
– Personal Subalterno: 1 mes.
Será nulo el pacto que establezca un período de prueba cuando la persona trabajadora haya ya desempeñado las mismas funciones con anterioridad en la empresa, bajo cualquier modalidad de contratación.
Artículo 13. Promoción profesional.
El personal fijo de plantilla y fijo discontinuo al servicio de las empresas incluidas en el presente Convenio colectivo, tendrán derecho preferente a cubrir las vacantes existentes en cualquiera de los grupos profesionales en la especialidad respectiva dentro de su empresa.
A tal fin, las vacantes se cubrirán por concurso oposición, convocado previamente junto con unas bases elaboradas por la empresa, con la consulta de los representantes legales de los trabajadores.
Las bases del concurso oposición se realizará siempre teniendo en cuenta la formación, méritos, capacidad y antigüedad de la persona trabajadora.
En el caso de que ninguno de los concursantes supere el nivel mínimo, la empresa podrá contratar libremente fuera del personal de ella, a una persona trabajadora para dicho puesto de trabajo, siempre que el mismo supere unas pruebas similar al anterior.
Capítulo III Jornadas, vacaciones, licencias y excedencias.
Artículo 14. Jornada laboral.
La jornada laboral se establece en 40 horas semanales de trabajo efectivo, para todo el personal, equivalente a 1.826 horas y 27 minutos de trabajo efectivo al año. A partir del año 2025 la jornada en cómputo anual no podrá ser superior a 1.816 horas.
Dentro de la vigencia del presente convenio colectivo, en la jornada anual efectiva enunciada, se establece una reserva de 16 horas para realizar acciones formativas dirigidas a la obtención de formación profesional para el empleo en el marco de un plan de formación desarrollado por iniciativa empresarial y comprometido en este convenio colectivo, el derecho a la formación profesional en el trabajo se entenderá cumplido en todo caso con la consecución de lo especificado en este apartado.
Las 16 horas formativas, se reducirán a 8 horas en el momento que el gobierno establezca una reducción de jornada en cómputo anual, siempre que esta sea igual o inferior a 1.816 horas.
Esta reserva de 16 horas (8 horas si se establece por el gobierno una reducción de jornada) de formación será proporcional a la jornada a tiempo completo por que se reduciría proporcionalmente si es a tiempo parcial.
En el supuesto que no se efectuara por la empresa, total o parcialmente las citadas horas formativas, las horas resultantes serán descontadas de la jornada en cómputo anual.
La empresa podrá distribuir de manera irregular a lo largo del año de 75 horas anuales, o la parte proporcional equivalente a su jornada en cómputo anual de la persona trabajadora si existiese reducción de jornada o equivalente si es personal de carácter fijo discontinuo o temporal.
Dicha distribución deberá respetar en todo caso los períodos mínimos de descanso diario y semanal previstos en la Ley, no pudiendo superar la jornada diaria 9 horas. El personal deberá conocer con un preaviso mínimo de siete días, el día y la hora de la prestación de trabajo resultante de aquella.
El cómputo anual de la jornada irregular se liquidará de forma semestral, resultando un resumen del estado de las horas realizadas por cada persona trabajadora tendrá derecho a ser informado de su resumen. Las horas de exceso por las horas flexibles se compensarán prioritariamente en jornadas completas o en medias jornadas y quedan excluidos de la obligación de realizar horas flexibles las personas trabajadoras que tengan su jornada reducida por guarda legal y lactancia.
La remuneración será lineal, es decir, el personal recibirá una retribución según los conceptos retributivos habituales, independientemente del estado de su distribución horaria irregular.
La plantilla tendrán derecho a día y medio ininterrumpido de descanso mínimo semanal. La duración del descanso de los menores de 18 años será como mínimo, de 2 días ininterrumpidos.
Siempre que la duración de la jornada diaria continuada exceda de seis horas, deberá establecerse un período de descanso durante la misma de duración no inferior a quince minutos. Este período de descanso se considerará tiempo de trabajo efectivo.
Se respetará la jornada laboral que tengan establecidas las empresas, cuando dicha jornada fuese inferior a la pactada en el presente Convenio.
Artículo 15. Horas extraordinarias.
Las horas extraordinarias solo se realizarán si se cumple los requisitos establecidos en la legislación vigente, a estos efecto se establece un incremento sobre la hora ordinaria de trabajo conforme a la siguiente formula:
Las horas extraordinarias solo podrán ser compensada por descanso compensatorio en los supuestos de prevenir o reparar siniestros y otros daños extraordinarios y urgentes; también podrá compensadas en el caso de mutuo acuerdo entre las partes. Siendo su descanso en los siguientes 4 meses a su realización.
Artículo 16. Vacaciones.
El período de vacaciones será de 22 días laborables cuando la jornada se distribuya de lunes a viernes y de 26 días laborables cuando la jornada se distribuya de lunes a sábado para toda la plantilla, teniendo la obligación de disfrutarlas y no trabajarlas.
El período vacacional será abonado con el salario base incrementado con la antigüedad y el plus de asistencia de una mensualidad efectivamente trabajada.
Serán disfrutadas por orden de antigüedad en la empresa, de acuerdo con los grupos que se formen en los distintos departamentos o secciones o puestos de trabajo, rotando en años sucesivos.
En el mes de diciembre, la Dirección de la empresa preparará los grupos o turnos de disfrute del año que se trate, que serán efectivas desde el 15 de junio al 15 de septiembre, salvo pactos entre las partes interesadas. Tales turnos se darán a conocer antes del 10 de diciembre. Las reclamaciones podrán presentarse hasta el día 20 siguiente, quedando expuestos los turnos definitivos antes del día 30 del mencionado mes de diciembre.
Cuando el período de vacaciones fijado en el calendario de vacaciones coincida en el tiempo con una incapacidad temporal derivada del embarazo, parto o la lactancia natural, o con los períodos de suspensión del contrato regulados en los art. 48.4 y 48.bis del Estatuto de los Trabajadores, se tendrá derecho a disfrutar las vacaciones en fecha distinta a la de la incapacidad temporal, o a la del disfrute del permiso que por aplicación de dicho precepto le correspondiera, al finalizar el período de suspensión, aunque haya terminado el año natural al que corresponda.
En el supuesto de que la persona trabajadora finalizasen su relación contractual sin disfrute efectivo de las vacaciones anuales, vigentes o correspondientes a ejercicios anteriores, las mismas deberán ser liquidadas, de forma acumulada, en el momento de la finalización del contrato.
Artículo 17. Lactancia.
En los supuestos de nacimiento de hijo, adopción o acogimiento, para la lactancia del menor hasta que éste cumpla nueve meses, las personas trabajadoras tendrán derecho a una hora de ausencia del trabajo que podrán dividir en dos fracciones. La duración del permiso se incrementará proporcionalmente en los casos de parto múltiple.
Quien ejerza este derecho, por su voluntad podrá sustituirlo por una reducción de su jornada en media hora con la misma finalidad o acumularlo en jornadas completas.
Este permiso podrá ser disfrutado indistintamente por el padre o la madre en el caso de que ambos trabajen.
La persona trabajadora, salvo fuerza mayor, deberá preavisar al empresario con la debida antelación, precisando la fecha en que iniciará y finalizará el permiso de lactancia.
Artículo 18. Reducción de jornada por guarda legal.
Quien por razones de guarda legal tenga a su cuidado directo algún menor de 12 años, o una persona con discapacidad física, psíquica o sensorial que no desempeñe una actividad retribuida, tendrá derecho a una reducción de la jornada de trabajo, con la disminución proporcional del salario, entre, al menos un octavo y un máximo de la mitad de la duración de aquella.
Tendrá el mismo derecho quien precise encargarse del cuidado directo de un familiar, hasta segundo grado de consanguinidad o afinidad, que por razones de edad, accidente o enfermedad no pueda valerse por si mismo y que no desempeñe actividad retribuida.
La concreción horaria y la determinación del período de la reducción jornada, corresponderá a la persona trabajadora, dentro de su jornada ordinaria, quien deberá preavisar al empresario con quince días de antelación la fecha en que se reincorporará a su jornada ordinaria.
Se estará a lo dispuesto en el artículo 37 del Estatuto de los Trabajadores las discrepancias que pudieran surgir como consecuencia de la concreción horaria y la determinación de los periodo de disfrutes cuando dos o más personas trabajadoras de la misma empresa generasen este derecho.
En el caso de discrepancia de hasta dos personas trabajadoras cualquiera de las partes podrán acudir a la comisión paritaria del convenio colectivo para su mediación, en el supuesto de más de dos personas trabajadoras la empresa como consecuencia de una imposibilidad organizativa justificada podrá limitar su ejercicio simultaneo. En el caso de Discrepar la persona trabajadora sobre esta concreción horaria podrá acudir a la Jurisdicción Social a través del procedimiento establecido.
En los casos que afecte a dos o más personas trabajadoras dos tendrá preferencia la que haya solicitado con anterioridad.
Artículo 19. Excedencias, licencias y permisos.
1) El trabajador, previo aviso y justificación, podrá ausentarse del trabajo, con derecho a remuneración, por algunos de los motivos y por el tiempo siguiente:
A) Quince días laborables en caso de matrimonio o constitución como pareja de hecho.
B) Cinco días por accidente o enfermedad graves, hospitalización o intervención quirúrgica sin hospitalización que precise reposo domiciliario del cónyuge, pareja de hecho o parientes hasta el segundo grado por consanguineidad o afinidad, incluido el familiar consanguíneo de la pareja de hecho, así como de cualquier otra persona distinta de las anteriores, que conviva con la persona trabajadora en el mismo domicilio y que requiera el cuidado efectivo de aquella En el caso de accidente o enfermedad grave con hospitalización o intervención quirúrgica sin hospitalización que precise reposo domiciliario, los días de ausencia remunerados, según lo dispuesto en los apartados anteriores, no tendrán que ser necesariamente consecutivos pudiendo ser distribuidos a lo largo del hecho causante.
C) Tres días naturales: Fallecimiento del cónyuge o pareja de hecho, padres, padres políticos e hijos, dicho plazo es ampliable también en la forma y condiciones detalladas en el párrafo siguiente.
D) Dos días por el fallecimiento del resto de parientes hasta el segundo grado por consaguínidad o afinidad no contemplados en los apartados anteriores. Cuando con tal motivo la persona trabajadora necesite hacer un desplazamiento al efecto, el plazo se ampliará en dos días.
E) Un día: Por cambio de domicilio. Dicho plazo es ampliable a dos días según circunstancias apreciadas por la empresa.
F) El tiempo necesario para el cumplimiento de un deber inexcusable de carácter público, siempre que se preavise con antelación y la correspondiente justificación de la utilización del tiempo, y que no exceda de cinco días, alternos o consecutivos, en el transcurso de un año.
G) Un día por matrimonio o constitución como pareja de hecho de hijos, hermanos o hermanos políticos.
H) Por el tiempo indispensable para la realización de exámenes prenatales y técnicas de preparación al parto que deban realizarse dentro de la jornada de trabajo.
I) Un día para la obtención del carnet de conducir.
J) La persona trabajadora tendrá derecho a ausentarse del trabajo por causa de fuerza mayor cuando sea necesario por motivos familiares urgentes relacionados con familiares o personas convivientes, en caso de enfermedad o accidente que hagan indispensable su presencia inmediata. Serán retributivas las horas de ausencia equivalentes a cuatro días al año.
En los supuestos anteriores, las parejas de hecho deberán acreditar su constitución y formalización como tal, mediante la presentación del certificado de inscripción en el correspondiente Registro Público de Parejas de Hechos, al que territorialmente pertenezcan.
Sin derecho a la retribución: Un día por fallecimiento de tíos y sobrinos por consanguinidad o afinidad.
2) Los trabajadores y trabajadoras tendrán derecho a los siguientes períodos de excedencia:
• A un periodo no superior a tres años para atender al cuidado de cada hijo, tanto cuando lo sea por naturaleza como por adopción, o en los supuestos de acogimiento, tanto permanente como preadoptivo, a contar desde la fecha de nacimiento o, en su caso, de la resolución judicial o administrativa.
• A un periodo de duración no superior a dos años, salvo que se establezca una duración mayor por negociación colectiva, los trabajadores para atender al cuidado del cónyuge o pareja de hecho, o de un familiar hasta el segundo grado de consanguinidad y por afinidad, incluido el familiar consanguíneo de la pareja de hecho, que por razones de edad, accidente, enfermedad o discapacidad no pueda valerse por sí mismo, y no desempeñe actividad retribuida.
El período de excedencia en ambos supuestos, será computable a efectos de antigüedad y el trabajador/a tendrá derecho durante el mismo a la asistencia a cursos de formación profesional, a cuya participación deberá ser convocado por el empresario, especialmente con ocasión de su reincorporación.
Durante el primer año tendrá derecho a la reserva de su puesto de trabajo. Transcurrido dicho plazo, la reserva quedará referida a un puesto de trabajo del mismo grupo profesional o categoría equivalente.
La excedencia por cuidado de familiares constituye un derecho individual de los trabajadores/a. No obstante, si dos o más trabajadores de la misma empresa generasen este derecho por el mismo sujeto causante, el empresario podrá limitar su ejercicio simultáneo por razones justificadas de funcionamiento de la empresa.
Cuando un nuevo sujeto causante diera derecho a un nuevo período de excedencia, el inicio de la misma dará fin al que, en su caso, se viniera disfrutando.
3) Tendrán derecho a la reserva del puesto de trabajo los contratos de trabajo suspendidos por las siguientes causas:
• El nacimiento, que comprende el parto y el cuidado de menor de doce meses, suspenderá el contrato de trabajo de la madre biológica durante 16 semanas, de las cuales serán obligatorias las seis semanas ininterrumpidas inmediatamente posteriores al parto, que habrán de disfrutarse a jornada completa, para asegurar la protección de la salud de la madre.
El nacimiento suspenderá el contrato de trabajo del progenitor distinto de la madre biológica durante 16 semanas, de las cuales serán obligatorias las seis semanas ininterrumpidas inmediatamente posteriores al parto, que habrán de disfrutarse a jornada completa.
• En los supuestos de adopción, de guarda con fines de adopción y de acogimiento, la suspensión tendrá una duración de dieciséis semanas para cada adoptante, guardador o acogedor. Seis semanas deberán disfrutarse a jornada completa de forma obligatoria e ininterrumpida inmediatamente después de la resolución judicial por la que se constituye la adopción o bien de la decisión administrativa de guarda con fines de adopción o de acogimiento.
Capítulo IV Sistema retributivo.
Artículo 20. Salario base.
Para los años 2023, 2024, 2025 y 2026 de vigencia del presente Convenio Colectivo se establece las siguientes subida salarial:
– Para el período comprendido entre el 1 de enero de 2023 al 31 de diciembre de 2023: se pacta expresamente una subida salarial del 3,10% respecto de las tablas del año 2022 y para todos los conceptos retributivos en el presente convenio,abonándose con carácter retroactivo a 1 de enero de 2023.
– Para el período comprendido entre el 1 de enero de 2024 al 31 de diciembre de 2024: se pacta una subida salarial del 2,30% respecto de la tabla salarial de 2023.
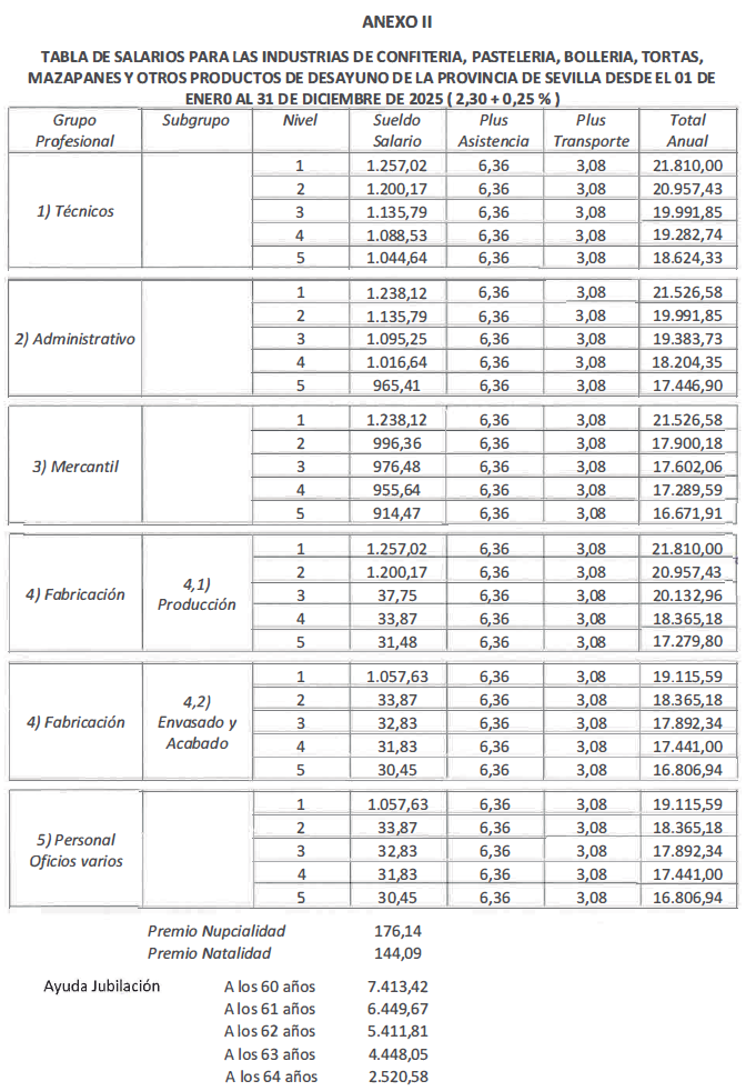
– Para el período comprendido entre el 1 de enero de 2025 al 31 de diciembre de 2025: se pacta una subida salarial del 2,30% respecto de la tabla salarial de 2024.
– Para el período comprendido entre el 1 de enero de 2026 al 31 de diciembre de 2026: se pacta una subida salarial del 2,25% respecto de la tabla salarial de 2025.
En todo caso, existirá una cláusula de revisión salarial a la finalización de cada anualidad de vigencia del presente convenio para el caso de que el IPC real de cada anualidad fuese superior al porcentaje de subida establecido para dicha anualidad, de modo que al vencimiento de cada anualidad, si el IPC real de dicha anualidad fuese superior al porcentaje de subida pactado, se incrementará la tabla salarial en una cantidad equivalente al 50% de la diferencia entre el porcentaje de subida y el IPC real de la anualidad inmediatamente anterior, que se abonará con carácter retroactivo al 1 de enero.
Si se produjese durante la vigencia del presente convenio alguna subida del Salario Mínimo Interprofesional (SMI) que implique la necesidad de actualizar el salario bruto anual del nivel 5 del grupo 4.2) Envasado y Acabado o el nivel 5 del grupo 5) Personal Oficios Varios que pudiera quedar por debajo de dicho importe, se reunirá la comisión paritaria del Convenio Colectivo para estudiar si procede la actualización de las tablas salariales respecto de dichas categorías que no superen el SMI. En dicho supuesto, las partes se comprometen a confeccionar nuevas tablas, manteniendo la diferencia lineal existente en euros en la tabla salarial en el momento vigente entre cada nivel en la totalidad de la tabla salarial.
Los atrasos devengados correspondiente al año 2023 y 2024 serán abonados antes del 31 de diciembre del 2024, a partir del año 2025, los atrasos se abonarán al mes siguiente de la publicación de las tablas salariales en el BOP.
Artículo 21. Complemento personal de antigüedad.
El complemento salarial de antigüedad será de una cuantía del 3 por ciento sobre el salario base por cada trienio, con un máximo de diez trienios.
Para el personal que tenga una antigüedad reconocida con anterioridad al 9 de enero de 1994, el complemento salarial de antigüedad será de una cuantía del 6 por ciento sobre el salario base por cada trienio, con un máximo de diez trienios.
Artículo 22. Trabajos nocturnos.
Serán los comprendidos entre las 22 horas y las 6 horas, y serán abonados con el 35 por ciento de recargo sobre el salario base de su categoría más antigüedad. Esta bonificación se percibirá solamente sobre las horas trabajadas dentro de este horario.
Artículo 23. Plus de penosidad, toxicidad y peligrosidad.
Los trabajos considerados penosos, peligrosos o tóxicos tendrán un suplemento equivalente a un 20 por ciento del salario base de su grupos y niveles, más antigüedad, una vez que la autoridad laboral dicte resolución declarando como tales dichos trabajos.
Sin perjuicio de lo anterior, se establece para la oficialía de hornero un complemento de puesto de trabajo de un 15%, sobre su salario base más antigüedad, siempre que desarrolle el cien por cien de su jornada en dicho puesto de trabajo. Este complemento no necesita resolución de la autoridad laboral para su percepción, por lo que no es compatible con el plus al que se refiere el párrafo primero de este artículo.
Artículo 24. Plus de asistencia.
Las empresas incluidas en el ámbito de este Convenio, durante la vigencia del mismo, abonarán a sus productores un plus de asistencia según el anexo II, para todas los grupos y niveles. El mencionado plus se devengará sólo por día efectivamente trabajado.
Dicho plus no se tendrá en cuenta a ningún otro efecto, salvo los que expresamente se concretan en el presente Convenio colectivo.
Artículo 25. Plus de transporte.
Se establece un plus de transporte diario, según está recogido en el anexo II del convenio colectivo.
Este plus se percibirá durante los días efectivamente trabajo y con carácter de suplido.
Artículo 26. Gratificaciones extraordinarias.
Se establecen gratificaciones en julio y Navidad. El importe será de 30 días de salario base más antigüedad, incrementándose la parte proporcional del plus de asistencia correspondiente a 25 días. Se pagarán los días 15 de los meses de julio y diciembre, respectivamente.
Se establece una tercera gratificación extraordinaria, denominada paga de Convenio, cuyo importe será de 30 días de salario base más antigüedad con el módulo de salario base correspondiente a los sueldos salarios pactados en este Convenio colectivo, pagándose dentro de la primera quincena del mes de marzo y de la primera quincena del mes de septiembre del año actual, en dos partes de 15 días cada una.
Artículo 27. Dietas y medias dietas.
Cada Empresa establecerá con su personal, el sistema retributivo de dietas y medias dietas, cuando por necesidades del trabajo haya de desplazarse a otra población, bien pernoctando en la misma, bien volviendo a su lugar de trabajo.
Artículo 28. Nóminas.
Las nóminas de personal deberán ir debidamente rellenas en todos los apartados que corresponden a los conceptos devengados, firmadas y selladas. Se entregará la nómina con todos sus apartados legales en los primeros cinco días hábiles de cada mes.
Las empresas podrán facilitar al personal sus nóminas, reflejando las retribuciones devengadas y percibidas durante cada año, por cualquier medio de reproducción telemático de los actualmente conocidos o que puedan conocerse en el futuro siempre que, se garantice por la empresa la recepción de las mismas.
La utilización de cualquiera de los medios anteriormente mencionados se ajustará a lo dispuesto en la Legislación vigente sobre Protección de Datos de Carácter Personal.
Artículo 29. Accidente de trabajo y enfermedad profesional y I.T derivada de enfermedad común.
A) En caso de accidente de trabajo y enfermedad profesional que produzca incapacidad temporal, la empresa vendrá obligada a incrementar la indemnización que perciba la persona trabajadora por la cantidad necesaria hasta completar el 100 por ciento de la base reguladora. La duración máxima de este beneficio no podrá ser superior a doce meses por un mismo accidente.
B) La empresa viene obligada a incrementar la indemnización en caso de baja por enfermedad común o accidente no laboral del personal fijo hasta el 100 por ciento de la base reguladora. Este beneficio sólo se considerará para el supuesto de que la enfermedad necesite hospitalización y para los supuestos de operación quirúrgica que hagan necesaria la hospitalización de la persona trabajadora. El período de tiempo de percepción de este beneficio no podrá ser superior a seis meses.
Artículo 30. Premios de nupcialidad y natalidad.
El personal afectado por el presente Convenio colectivo tendrán derecho a un premio de nupcialidad y natalidad según anexo II.
Se tendrá derecho al cobro del premio de natalidad para los casos de parejas de hecho o padres o madres solteros con la debida justificación de tener al niño inscrito en el registro civil.
Artículo 31. Gratificación por jubilación.
La empresa abonará a toda persona trabajadora afectada por el presente Convenio Colectivo que lleve como mínimo diez años de antigüedad en la empresa, una gratificación extraordinaria consistente en una cantidad fija, en función a su edad en el momento de la jubilación, cuya cuantía se reseñan en el anexo II del presente convenio.
Se garantizará siempre un mínimo de un mes de ayuda por jubilación independientemente de la edad de jubilación de la persona trabajadora.
Capítulo V Seguridad y salud.
Artículo 32. Prevención de riesgos laborales.
En cuantas materias afecten a la prevención de la salud y la seguridad de las personas trabajadoras, serán de aplicación las disposiciones contenidas en la Ley 31/1995, de 8 de noviembre, de Prevención de Riesgos Laborales y normativa concordante, que constituyen normas de derecho necesario mínimo e indisponible.
Reconociendo la importancia de la prevención de riesgos la mejora de la Seguridad, la Salud Laboral y la calidad de vida en el medio ambiente de trabajo, los firmantes del presente Convenio, se comprometen a fomentar su integración total en la actividad laboral a través de la formación, la utilización de técnicas de prevención y de la mejora de las condiciones de trabajo en general.
Las actividades de Prevención de Riesgos Laborales se realizará por las Empresas con la colaboración y participación activa de los Delegados de Prevención y Comité de Seguridad y salud, así como de los representantes legales de las trabajadoras y trabajadores y responsables de las secciones sindicales constituidas.
La empresa elegirá la Mutua de Accidentes y Enfermedades Profesionales y Servicios de Prevención externos, previa consulta no vinculante con la representación legal de los trabajadores, que realizar cuantas propuestas consideren.
En caso de existencia de un riesgo inminente para la seguridad y salud de las personas trabajadoras, se procederá de inmediato a la paralización total o parcial de la actividad, que podrá ser determinada por la Dirección de la empresa, los encargados, o por los delegados de prevención y representantes legales de las trabajadoras y trabajadores, si así lo consideran conveniente, sin que estos puedan ser sancionados por tal motivo. Tal decisión será comunicada inmediatamente a la dirección de la empresa y a la autoridad laboral, la cual previa investigación determinará la conveniencia o no a reanudar la actividad, en función a garantizar suficientemente la seguridad y salud de las personas trabajadoras.
La acción preventiva en las empresas del ámbito del presente Convenio estará inspirada en los siguientes principios:
– Evitar y combatir los riesgos en su origen.
– Evaluar aquellos que no se puedan evitar.
– Sustituir en lo posible lo peligroso por lo que entrañe poco o ningún peligro.
Los equipos de protección individual deberán utilizarse cuando los riesgos no se puedan evitar o no puedan limitarse suficientemente por medios técnicos de protección colectiva o mediante medidas, métodos o procedimientos de organización del trabajo.
Los equipos de protección individual o colectivos que estarán homologados a la legislación vigente y adaptados a las condiciones físicas de cada persona trabajadora. El mantenimiento en óptimo estado de los mismos, así como su sustitución con carácter preventivo antes de la caducidad prevista para los equipos de protección, correrá a cargo de la empresa.
Las empresas están obligadas a actuar con la máxima diligencia en el cumplimiento en materia de Evaluación de Riesgos Laborales, así como en la elaboración del Plan de Prevención en la empresa o centro de trabajo, dando participación activa a los delegados de prevención en su elaboración y posterior actualización.
Las empresas promoverán la formación necesaria general y específica a cada uno de los puestos de trabajo estipulada en el plan de prevención en materia de prevención de Seguridad y Salud Laboral.
El personal nocturno gozarán en todo momento de un nivel de protección de su salud y seguridad adaptado a la naturaleza del trabajo a desarrollar, incluyendo unos servicios de protección y prevención apropiado.
Se tendrá en cuenta la situación de embarazo y las condiciones de trabajo que puedan influir negativamente en la salud de las trabajadoras o del feto, en cualquier actividad susceptible de presentar un riesgo específico.
Las empresas entregarán anualmente a los representantes legales de las trabajadoras y trabajadores y delegados de secciones sindicales en el centro de trabajo, un listado con el número de accidentes laborales, bajas por IT y enfermedades profesionales, si las hubiere.
Artículo 33. Reconocimiento médico y carné de manipulador de alimentación.
A) Todo el personal sujeto al presente Convenio colectivo, se someterá antes de su ingreso al trabajo a un previo reconocimiento médico. Los gastos que ocasione tal revisión serán a cuenta de las empresas.
Los reconocimientos médicos que se efectúen deberán ser específicos, adecuándose a los riesgos laborales presentes en los puestos y centros de trabajo y a las materias primas o aditivos que se manipulen en cada centro de trabajo. Estos reconocimientos se realizarán con la periodicidad que se determine en el protocolo de vigilancia de la salud del puesto de trabajo, salvo renuncia voluntaria de la persona trabajadora y sin perjuicio de que por norma de rango superior, se establezca revisiones obligatorias en períodos diferentes.
B) Carné de manipulador de alimentos. El personal sujeto al presente Convenio colectivo, deberá de proveerse obligatoriamente del carné de manipulador de alimentos, a cuyo objeto las empresas están obligadas a facilitar los medios necesarios para la obtención del mismo.
Artículo 34. Ropas de trabajo.
Las empresas sujetas al presente Convenio facilitarán a su personal las siguientes prendas de trabajo, renovándolas oportunamente para practicar el aseo personal, con la duración que se expresa:
– Chaquetilla: Seis meses.
– Gorro: Un año.
– Mandil: Seis meses.
– Cofia: Seis meses.
– Sudaderas: Seis meses.
– Pantalón: Seis meses.
– Zapatos Homologados: Un año, en caso de deterioro con anterioridad al tiempo fijado, las empresas renovarán el mismo, previa justificación de su deterioro.
La empresa facilitará ropa de abrigo adecuada para el personal de las cámaras de frío.
Los conductores sujetos al presente Convenio tendrán, en concepto de prendas de trabajo, chaquetilla, mono o la prenda y calzado adecuado, cuya duración será de seis meses.
Por mutuo acuerdo entre empresa y representación legal de los trabajadores se podrá establecer otras prendas más acordes en función a la actividad y las necesidades en la Empresa.
Capítulo VI Igualdad.
Artículo 35. Fomento de igualdad y contra la discriminación.
Las organizaciones firmantes del presente Convenio y las empresas afectadas por su ámbito funcional fomentarán la igualdad de trato y de oportunidades entre hombres y mujeres en el ámbito de aplicación del presente Convenio Colectivo, así como la no discriminación por motivos de origen étnico, nacionalidad, raza, sexo, edad, religión o cualquier otra condición.
Se acuerda extremar el cumplimiento de esos preceptos en el acceso al empleo, la estabilidad y promoción en el empleo y la igualdad retribuida por trabajo de igual valor.
Los firmantes del presente Convenio coinciden que son objetivos prioritarios para el logro de la igualdad de oportunidades sistemáticas y planificadas los siguientes:
– Que tanto las mujeres como los hombres gocen de igualdad de oportunidades en cuanto al acceso y mantenimiento en el empleo, la formación profesional, la promoción profesional y el desarrollo en su trabajo.
– Que mujeres y hombres reciban igual retribución económica por trabajos de igual valor, tanto en lo que se refiere al salario base como complementos, así como que haya igualdad en cuanto a sus condiciones de empleo en cualquiera otros sentidos del mismo.
– Que los puestos de trabajo, las relaciones laborales, la organización del trabajo y las condiciones de seguridad y salud laboral se orienten de tal manera que sean adecuadas tanto para hombres como para mujeres.
Las empresas incluidas en el ámbito de actuación del presente convenio están obligadas a respetar la igualdad de trato y de oportunidades en el ámbito laboral y, con esta finalidad, deberán adoptar las medidas dirigidas a evitar cualquier tipo de discriminación laboral entre mujeres y hombres, medidas que deberán negociar con la representación legal de los trabajadores.
En el caso de las empresas de más de 50 trabajadores (según el RD6/2019) las medidas de igualdad deberán dirigirse a la elaboración y aplicación de un Plan de Igualdad, con el alcance y contenido mínimo establecido en este capítulo, que deberá ser asimismo objeto de negociación en la forma que se determina en el RD 901/2020, de 13 de octubre por el que se regulan los planes de igualdad y su registro.
1. Los Planes de igualdad, ya sean de carácter obligatorio o voluntario, constituyen un conjunto ordenado de medidas adoptadas después de realizar un diagnóstico de situación, tendentes a alcanzar en la empresa la igualdad de trato y de oportunidades entre mujeres y hombres y a eliminar la discriminación por razón de sexo.
2. Los planes de igualdad tendrán como mínimo el contenido regulado en el RD 901/2020 que es el siguiente:
a) Determinación de las partes que los conciertan.
b) Ámbito personal, territorial y temporal.
c) Informe del diagnóstico de situación de la empresa o de cada una de las empresas de un grupo.
d) Resultados de la auditoría retributiva, así como su vigencia y periodicidad, según lo establecido en el RD 902/2020.
e) Definición de objetivos cuantitativos y cualitativos del plan de igualdad.
f) Descripción de medidas concretas, plazos de ejecución, priorización de las mismas, así como de indicadores de evolución g) Identificación de los medios y recursos, tanto materiales como humanos, necesarios para la implantación, seguimiento y evaluación de cada una de las medidas y objetivos.
h) Calendario de actuaciones.
i) Sistema de seguimiento, evaluación y revisión periódica.
j) Composición y funcionamiento de la comisión encargada del seguimiento, evaluación y revisión periódica del plan de igualdad.
k) Procedimiento de modificación, incluido el procedimiento para solventas discrepancias.
Según el Artículo 3 del RD 902/2020 de 13 de octubre de igualdad retributiva entre mujeres y hombres, las empresas aplicarán el principio de transparencia retributiva entendido como aquél que, aplicado a los diferentes aspectos que determinan la retribución de las personas trabajadoras y sobre sus diferentes elementos, permite obtener información suficiente y significativa sobre el valor que se le atribuye a dicha retribución. La aplicación de dicho principio supone la identificación de discriminaciones, tanto directas como indirectas, debidas a las incorrectas valoraciones de los puestos de trabajo.
La transparencia retributiva se aplicará a través de los siguientes instrumentos: registros retributivos, auditorias salariales, sistemas de valoración de puestos de trabajo de la clasificación profesional contenida en el presente convenio colectivo y el derecho de información de las personas trabajadoras.
El principio de igual retribución por trabajos de igual valor según el Artículo 28.1. ET vincula a todas las empresas del sector del presente convenio colectivo, independientemente del número de personas trabajadoras.
Se deben valorar:
• La naturaleza de las funciones: contenido esencial tanto establecido legalmente como el efectivamente desempeñado.
• Condiciones educativas: cualificaciones regladas que guarden relación con el puesto.
• Condiciones profesionales o de formación, cualificación de la persona trabajadora que tenga conexión con el puesto (experiencia, formación no reglada).
• Condiciones laborales: factores relevantes en el desempeño de la actividad.
Capítulo VII Garantías sindicales y negociación colectiva.
Artículo 36. Garantías sindicales.
Los Delegados o miembros del Comité de empresa tendrán los siguientes derechos:
1.-Fijar comunicaciones y anuncios de carácter sindical o laboral en tablones que estén establecidos en la empresa.
2.-Convocar asambleas de las trabajadoras y los trabajadores de la empresa, previa notificación al empresario, con cuarenta y ocho horas de antelación, fuera de la jornada efectiva de trabajo, así también podrán ser convocados por el 33 por ciento de la plantilla.
3.-Apertura de expediente contradictorio en el supuesto de sanciones por falta grave o muy grave, en el que serán oídos, aparte del interesado, el Comité de empresa o Delegados de personal.
4.-Prioridad de permanencia en la empresa o centro de trabajo respecto a los demás personas trabajadoras, en los supuestos de suspensión o extinción por causa tecnológica o económica.
5.-En el supuesto de que algún o algunos Delegado/s de personal o miembro/s del Comité de empresa fuera suspendido y los tribunales declarasen la nulidad o improcedencia del despido, será obligatoria la readmisión sin indemnización sustitutoria, salvo acuerdos de las partes.
6.-No ser despedido ni sancionado durante el ejercicio de sus funciones ni dentro del año siguiente a la expiración de su mandato salvo en caso de que ésta se produzca por revocación o dimisión, siempre que el despido o sanción se base en la acción de la persona trabajadora en el ejercicio de su representación, sin perjuicio, por tanto, de lo establecido en el artículo 54 del Estatuto de los Trabajadores. Asimismo, no podrá ser discriminado en su promoción económica o profesional en razón, precisamente, del desempeño de su representación.
7.-Disponer de un crédito de horas mensuales retribuidas cada uno de los miembros del Comité de empresa o Delegados de personal, en cada centro de trabajo, para el ejercicio de sus funciones de representación de acuerdo con la siguiente escala:
– Hasta 100 personas trabajadoras: 15 horas.
– De 101 a 250 personas trabajadoras: 20 horas.
– De 251 a 500 personas trabajadoras: 30 horas.
Dichas horas podrán ser acumulables por períodos de tiempo no superior a seis meses naturales, así como también se podrá acumular en uno o varios de los componentes del Comité de empresa o Delegados de personal.
Artículo 37. Competencias.
Los miembros del Comité de empresa tendrán las siguientes competencias:
1.-Recibir información, que les será facilitada trimestralmente, al menos, sobre la evolución general de la cuestión económica de la empresa, sobre la producción y venta de la misma, sobre su programa de producción o evolución probable del empleo de la misma.
2.-Conocer el balance, la cuenta de resultados, la memoria y, en el caso de que la empresa revista la forma de sociedad por acciones o participaciones, de los demás documentos que se den a conocer a los socios, y en las mismas condiciones que a éstos.
3.-Emitir informes con carácter previo a la ejecución por parte del empresario de las decisiones adoptadas por éste sobre las siguientes cuestiones:
A) Reestructuración de plantilla y ceses totales o parciales, definitivos o temporales de aquélla.
B) Reducciones de jornadas, así como traslados totales o parciales de las instalaciones.
C) Implantación o revisión de sistemas de organización y control de trabajo.
D) Estudio de tiempo, establecimiento de sistema de primas o incentivos y valoración de puesto de trabajo.
4.-Emitir informe cuando la fusión, absorción o modificación del status jurídico de la empresa suponga cualquier incidencia que afecte al volumen de empleo.
5.-Conocer los modelos de contrato de trabajo escrito que se utilicen en la empresa, así como de los documentos relativos a la terminación de la relación laboral.
6.-Ser informados de todas las sanciones impuestas por faltas muy graves o graves.
Artículo 38. Negociación colectiva.
Las personas trabajadoras componentes de la mesa negociadora dispondrán de las horas necesarias para dicha negociación, y cuantas incidencias derivasen de las mismas. Estas horas serán retribuidas, hasta la firma de la negociación y siempre que coincida con la jornada de trabajo.
Artículo 39. Asambleas y demás derechos.
Sobre asambleas y demás derechos, se remite a lo dispuesto en el Estatuto de los Trabajadores.
Capítulo VIII Compensación, absorción y garantía personal.
Artículo 40. Consideración global.
Las condiciones pactadas forman un todo orgánico y, a efecto de su aplicación práctica, deben considerarse globalmente.
Artículo 41. Compensación.
Las condiciones pactadas en este Convenio colectivo son compensables, en cómputo anual, con las que anteriormente rigieran por mejoras concedidas por la empresa, imperativo legal o pacto de cualquier clase.
Artículo 42. Absorción.
Las disposiciones futuras de cualquier clase que impliquen variación en cualquiera de las cláusulas de este Convenio colectivo, únicamente tendrán eficacia si, consideradas en su conjunto, superaran las aquí pactadas en cómputo anual, siendo absorbidas en todo caso.
Artículo 43. Garantía personal.
Ninguna persona trabajadora podrá resultar lesionado de su retribución global por la aplicación de las cláusulas de este Convenio colectivo.
Se respetarán a titulo individual las condiciones económicas superiores a las establecidas en el presente convenio, consideradas en su conjunto y en cómputo anual. Tal garantía será de carácter exclusivamente personal, sin que pueda entenderse vinculada a puesto de trabajo, o grupos profesionales y otras circunstancias, por lo que el personal de nuevo ingreso no podrá alegar a su favor las condiciones económicas más beneficiosas de que hayan disfrutado las personas trabajadoras que anteriormente ocupasen los puestos de trabajo a que sea destinado o promovido.
Artículo 44. Complemento personal de garantía.
Si alguna persona trabajadora que a la fecha de la firma del Convenio Colectivo con vigencia 09/01/2013 a 31/12/2014 («Boletín Oficial» de la provincia nº 259, 08/11/2013) que como consecuencia de la nueva ordenación sobre clasificación profesional de los nuevos Grupos, Subgrupos y Niveles establecidos en el presente Convenio Colectivo, sufriera algún detrimento de sus condiciones económicas, tendrá que ser compensado mediante un concepto retributivo denominado «Complemento Personal de Garantía».
La cuantía del citado complemento Personal de garantía, será el resultado de restar la diferencia del salario computo anual de su antigua categoría profesional de la tabla salarial del año 2012 (más el incremento salarial negociado para el año 2013) menos su encuadramiento en su nivel profesional dentro de su grupo o subgrupo para el año 2013, prorrateándose mensualmente.
El citado complemento personal no será en ningún momento absorbible ni compensable y estará sujeto a la revisión salarial del citado convenio colectivo y sus sucesivos convenio colectivos, incluido el presente.
Capítulo IX Régimen disciplinario.
Las personas trabajadoras podrán ser sancionados por la Dirección de las empresas, de acuerdo con la graduación de faltas y sanciones que se establece en los artículos siguientes.
Artículo 45. Graduación de las faltas.
Toda falta cometida por una persona trabajadora se clasificará, atendiendo a su importancia, trascendencia e intención, en leve, grave o muy grave.
Artículo 46. Faltas leves.
Se consideran faltas leves las siguientes:
1.-La falta de puntualidad no justificada, de tres en un mes, superior a cinco minutos en la asistencia al trabajo.
2.-No cursar en tiempo oportuno la baja médica correspondiente, cuando se falte al trabajo por motivo justificado, a no ser que se pruebe la imposibilidad de haberlo efectuado.
3.-El abandono del servicio sin causa fundada, aun cuando sea por breve tiempo. Si como consecuencia del mismo, se originase perjuicio de alguna consideración a la empresa o fuese causa de accidente a sus compañeros de trabajo, está falta podrá ser considerada como grave o muy grave, según los casos.
4.-Pequeños descuidos en la conservación del material.
5.-Falta de aseo y limpieza personal, cuando sea de tal índole, que pueda afectar al proceso productivo de la empresa.
6.-No atender al público con la corrección y diligencia debidas.
7.-No comunicar a la empresa los cambios de residencia o domicilio.
8.-Las discusiones sobre asuntos ajenos al trabajo dentro de las dependencias de la empresa. Si tales discusiones produjeran escándalo notorio, podrán ser consideradas como faltas graves o muy graves.
9.-Faltar al trabajo un día al mes sin causa justificada.
10.-Las faltas que en materia de Prevención de Riesgos Laborales, califica como leves la Ley de Prevención de Riesgos Laborales y su correspondiente Reglamente de Desarrollo, así como las faltas de las normas de Seguridad Alimentaria de la empresa.
Artículo 47. Faltas graves.
Se considerarán faltas graves las siguientes:
1.-Más de cuatro faltas no justificadas de puntualidad, superior a cinco minutos, en la asistencia al trabajo en un período de treinta días.
2.-Ausencia sin causa justificada, por dos días durante un período de treinta días.
3.-No comunicar con la puntualidad debida, los cambios experimentados en la familia, que puedan afectar a la Seguridad Social. La falta maliciosa en estos datos se considerará como falta muy grave.
4.-Entregarse a juegos en las horas de trabajo.
5.-La simulación de enfermedad o accidente.
6.-La desobediencia a sus superiores en cualquier materia de trabajo. Si implicase quebranto manifiesto de la disciplina, o de ella se derivase perjuicio notorio para la empresa, podrá ser considerada como falta muy grave.
7.-Simular la presencia de otra persona trabajadora, fichando, contestando o firmando por ella.
8.-Negligencia o desidia en el trabajo, que cause un perjuicio a la empresa.
9.-La imprudencia en acto de trabajo. Si implicase riesgo de accidente para la persona trabajadora, para sus compañeros o peligro de avería para las instalaciones, podrá ser considerada como muy grave.
10.-Realizar, sin el oportuno permiso trabajos particulares durante la jornada, así como emplear herramientas de la empresa para usos propios.
11.-La embriaguez o bajo los efectos de cualquier otro estupefaciente fuera de acto de servicio vistiendo el uniforme de la empresa, siempre que por el uniforme pueda identificarse a la empresa.
12.-La reincidencia en falta leve (excluida la de puntualidad), aunque sea de distinta naturaleza, dentro de un trimestre y habiendo mediando comunicación escrita.
13.-Las faltas que en materia de Prevención de Riesgos Laborales, califica como grave la Ley de Prevención de Riesgos Laborales y su correspondiente Reglamento de Desarrollo, así como las faltas de las normas Seguridad Alimentaria de la empresa.
Artículo 48. Faltas muy graves.
Se considerarán como faltas muy graves las siguientes:
1.-Más de diez faltas no justificadas de puntualidad, superior a cinco minutos cometidas en un período de seis meses o veinte durante un año.
2.-El fraude, deslealtad o abuso de confianza en las gestiones encomendadas y el hurto o robo, tanto a la empresa como a los compañeros de trabajo o cualquier otra persona dentro de las dependencias de la empresa o durante el trabajo en cualquier otro lugar.
3.-Hacer desaparecer, inutilizar, destrozar o causar desperfectos en primeras materias, útiles, herramientas, maquinaria, aparatos, instalaciones, edificios, enseres y documentos de la empresa.
4.-La condena por delito de robo, hurto o malversación, cometidos fuera de la empresa, o por cualquier otra clase de hechos que puedan implicar para ésta, desconfianza respecto a su autor, y en todo caso, la de duración superior a seis años, dictada por los Tribunales de Justicia.
5.-La continuada y habitual falta de aseo y limpieza, de tal índole, que produzca quejas justificadas de sus compañeros de trabajo.
6.-La embriaguez habitual.
7.-Violar el secreto de la correspondencia o documentos reservados de la empresa o revelar a elementos extraños a la misma datos de reserva obligada.
8.-Los malos tratos de palabra u obra, abuso de autoridad o la falta grave de respeto y consideración a los jefes o familiares, así como a los compañeros y subordinados.
9.-Causar accidentes graves por negligencia o imprudencia.
10.-Abandonar el trabajo en puesto de responsabilidad.
11.-La disminución voluntaria y continuada en el rendimiento normal del trabajo, siempre que no éste motivada por el ejercicio de derecho alguno reconocido por las leyes.
12.-El originar frecuentes riñas y pendencias con los compañeros de trabajo.
13.-La reincidencia en falta grave, aunque sea de distinta naturaleza, siempre que se cometa dentro de los seis meses siguientes de haberse producido la primera.
14.-El abuso de autoridad por parte de los jefes será siempre considerado como falta muy grave.
El que lo sufra lo pondrá inmediatamente en conocimiento de la dirección de la empresa.
15.-Se considerará falta muy grave, cualquier forma de acoso sexual.
16.-Las faltas que en materia de Prevención de Riesgos Laborales, califica como muy graves la Ley de Prevención de Riesgos Laborales y su correspondiente Reglamente de Desarrollo, así como las faltas de las normas de Seguridad Alimentaria de la empresa.
Artículo 49. Régimen de sanciones.
Corresponde a la empresa, la facultad de imponer sanciones en los términos de lo estipulado en el presente convenio.
La sanción de las faltas leves y graves, o muy graves requerirá comunicación escrita motivada a la persona trabajadora.
Se entenderá cumplida la exigencia de apertura de expediente disciplinario en aquellos supuestos de faltas muy graves con la comunicación escrita a la persona trabajadora en la que consten los cargos que se le imputan. Se otorgará a la persona trabajadora, un plazo de al menos tres días hábiles y como máximo una semana a los efectos de que pueda, el afectado, realizar aquellas alegaciones que considere oportunas.
En cualquier caso, la empresa dará cuenta a los representantes de los trabajadores y trabajadoras el mismo día que al propio afectado, de toda sanción o apertura de expediente disciplinario.
Artículo 50. Sanciones máximas.
Las sanciones máximas que podrán imponerse en cada caso, atendiendo a la gravedad de la falta cometida, serán las siguientes:
• Por faltas leves: Amonestación verbal, amonestación por escrito, suspensión de empleo y sueldo hasta un día.
• Por faltas graves: Suspensión de empleo y sueldo de dos a cinco días.
• Por faltas muy graves: Desde la suspensión de empleo y sueldo de seis días en adelante hasta un máximo de sesenta días, hasta la rescisión del contrato de trabajo y despido, en los supuestos en que la falta fuera calificada de un grado máximo.
Artículo 51. Prescripción.
La facultad de la empresa para sancionar, prescribirá para las faltas leves, a los 10 días, para las faltas graves a los 20 días, y para las faltas muy graves, a los sesenta días a partir de la fecha en que aquella tuvo conocimiento de su comisión, y en cualquier caso a los seis meses de haberse cometido.
Artículo 52. Procedimiento sancionador.
Contra las sanciones graves y muy graves que les sean interpuestas a la persona trabajadora, éste tiene derecho a recurrirlas ante los Juzgados de lo Social, previa la conciliación obligatoria ante el organismo correspondiente.
Las sanciones por suspensión de empleo y sueldo se interpondrán con reserva del período de cumplimiento de las mismas, y en el supuesto de ser recurridas por la persona trabajadora ante el Juzgado de lo Social, no se cumplirán hasta que estos dicten sentencia y de acuerdo con los términos de la misma.
Capítulo X Comisión paritaria.
Artículo 53. Comisión paritaria.
Se constituye una Comisión paritaria para las funciones de vigilancia, cumplimiento e interpretación del Convenio colectivo.
La Comisión paritaria estará compuesta por cuatro representantes de la parte social y cuatro de la parte empresarial.
La Comisión paritaria tomará sus acuerdos en reunión conjunta y resolverá mediante resolución escrita los acuerdos adoptados por ésta. Dichos acuerdos deberán ser aprobados por ambas representaciones.
En el caso de que no se llegara a acuerdo, se enviará en idéntico plazo, acta de la reunión a los interesados, pudiendo reclamar ante la jurisdicción laboral competente, si alguna parte de la Comisión así lo estimase.
La convocatoria y resolución de la reunión de la Comisión paritaria podrá realizarse por cualquiera de las partes con una ante lación mínima de cinco días a la celebración de esta. Dando traslado a los interesados en el plazo máximo de 10 días desde la solicitud de la petición, así como a la Autoridad Laboral si fuese preceptivo.
Ambas representaciones podrán asistir a las reuniones acompañadas de asesores.
El domicilio de la comisión paritaria se establece en la Asociación Provincial de Empresarios de Confitería y Pastelería de Sevilla (Apecopas), sita en calle Manufactura, núm. 2 Edificio Euro, Planta Primera, Local P, Polígono PISA, CP 41927 de la localidad de Mairena del Aljarafe (Sevilla).
Funciones de la comisión paritaria.-Las funciones que a dicha comisión se asignan son las siguientes:
a) Interpretación y resolución de los problemas y cuestiones que se deriven de la aplicación del convenio o de los supuestos previstos concretamente en su texto.
b) Vigilancia del cumplimiento de lo pactado.
c) Comunicar a la Autoridad Laboral, sobre cuantas cuestiones se susciten acerca de la interpretación de este Convenio.
d) Facultad de validar la revisión y reestructuración salarial, con la comisión negociadora y por delegación de ésta.
e) Con independencia de las funciones de esta comisión, las partes con carácter general podrán recurrir por mutuo acuerdo al Sistema Extrajudicial de Conflicto Laborales de Andalucía (Sercla).
f) Funciones de promoción y vigilancia del Empleo.
g) Fomento de Igualdad y contra la Discriminación.
h) Fomento de la Formación Profesional.
i) Fomento de la Seguridad y Salud de los Trabajadores y trabajadoras.
Antes de acudir al procedimiento modificación sustancial de las condiciones de trabajo previsto en el artículo 41 y suponga el no cumplimiento de lo regulado en el presente convenio colectivo, la Empresa afectada lo pondrá en conocimiento de la Comisión Paritaria antes de adoptarla y motivando las causas que justifiquen dicha medida.
Capítulo XI Cláusula de inaplicación del Convenio Colectivo.
Artículo 54. Inaplicación de condiciones de trabajo.
En el supuesto de que alguna de las Empresa afectada por el presente Convenio Colectivo desee plantear algunas de las causas de inaplicación reguladas en el artículo 82.3 de Estatuto de los Trabajadores, simultáneamente a la iniciación del preceptivo periodo de consultas con la representación de los trabajadores y trabajadoras, será obligatorio comunicarlo a la Comisión Paritaria, motivando con claridad y concreción la causa económica, técnica, organizativa o de producción que justifique una medida de inaplicación, así como la medida de inaplicación que pretende llevar a cabo.
La inaplicación deberá de cumplir las siguientes condiciones:
– Que el plazo de inaplicación no se extienda más allá de la vigencia del presente Convenio Colectivo.
– En el supuesto que exista acuerdo con los representantes de los trabajadores se comunicará a la comisión paritaria, conforme regula el artículo 82.3 del Estatuto de los Trabajadores.
– En caso de desacuerdo durante el periodo de consultas cualquiera de las partes podrá someter la discrepancia a la comisión del convenio, que dispondrá de un plazo máximo de siete días para pronunciarse, a contar desde que la discrepancia le fuera planteada.
ANEXO.
REVISIÓN SALARIAL (BOP Nº 66 – lunes 07 de abril de 2025)
VISTO el Acuerdo de la Comisión Paritaria del Convenio Colectivo del Sector Confitería, Pastelería, Bollería, Tortas, Mazapanes y otros productos de desayuno (código 41000905011981), aprobando las tablas salariales para el 2025.
VISTO lo dispuesto en el art. 90.2 del Real Decreto Legislativo 2/2015 de 23 de octubre (E.T.), por el que se aprueba el Texto Refundido del Estatuto de los Trabajadores (BOE 255, de 24/10/2015), de acuerdo con el cual, los convenios deberán ser presentados ante la autoridad laboral, a los solos efectos de su registro.
VISTO lo dispuesto en los artículos 2, 6 y 8 del Real Decreto 713/2010, de 28 de mayo (BOE 143, de 12/06/2010), sobre «registro y depósito de convenios colectivos, acuerdos colectivos de trabajo y planes de igualdad», serán objeto de inscripción en los registros de convenios y acuerdos colectivos de trabajo y planes de igualdad de las autoridades laborales los convenios elaborados conforme a lo establecido en el Título III del Texto Refundido de la Ley del Estatuto de los Trabajadores Real Decreto Legislativo 2/2015 de 23 de octubre, sus revisiones, modificaciones y/o prórrogas, acuerdos de comisiones paritarias, acuerdos de adhesión a un convenio en vigor, acuerdos de planes de igualdad y otros.
VISTO lo dispuesto en los artículos 3, 6 y 8 del Real Decreto 713/2010 de 28 de mayo (BOE n.º 143 de 12 de junio), Real Decreto 4043/82 de 29 de diciembre, sobre Traspaso de Funciones y Servicios de la Administración del Estado a la Junta de Andalucía en materia de Trabajo. Es competencia de esta Delegación Territorial dictar la presente Resolución de conformidad con lo dispuesto en el Decreto del Presidente 6/2024, de 29 de julio, sobre reestructuración de Consejerías; Decreto 155 /2022, de 9 de agosto, por el que se regula la estructura orgánica de la Consejería de Empleo, Empresa y Trabajo Autónomo, en concordancia con el Decreto 226/2020, de 29 de diciembre, que regula la organización territorial provincial de la administración de la Junta de Andalucía, modificado por el Decreto 300/2022, de 30 de agosto.
Esta Delegación Territorial, ACUERDA:
PRIMERO.- Registrar y ordenar el depósito del Acuerdo de la Comisión Paritaria del Convenio Colectivo del Sector Confitería, Pastelería, Bollería, Tortas, Mazapanes y otros productos de desayuno (código 41000905011981), aprobando las tablas salariales para el 2025.
SEGUNDO.- Disponer su publicación gratuita en el Boletín Oficial de la Provincia.
ACTA DE LA COMISIÓN PARITARIA DEL CONVENIO COLECTIVO PROVINCIAL DE CONFITERÍA, PASTELERÍA, BOLLERÍA, REPOSTERÍA, CHURRERÍA, FÁBRICA DE CHOCOLATE Y TURRONES DE SEVILLA Y PROVINCIA.
En la ciudad de Sevilla, siendo las 16.00 horas del día 17 de marzo de 2025, se reúnen en la Sala 27 A sede de CCOO Sevilla los integrantes de la Comisión Paritaria del Convenio Colectivo provincial de confitería, pastelería, bollería, repostería, churrería, fábrica de chocolate y turrones de Sevilla y provincia abajo firmantes.
Por APECOPAS:
D. Juan Carlos Espinosa Cano.
Dª. Marta Conesa Sánchez.
D. José Miguel Sánchez Otero.
D. José Antonio Hernández Muñoz.
Dª. Ana María Marín Martínez.
D. Carlos Garrido Córdoba.
Por UGT FICA:
Dª. María Gómez Herrera.
D. Manuel Ponce Gonzales.
D. José Gabriel Borjano Méndez.
Por CCOO:
D. Antonio Miguel Pacheco Pino.
D. Francisco Suárez Sayago.
Los intervinientes declaran constituida la Comisión Paritaria del Convenio Colectivo provincial de confitería, pastelería, Bollería, repostería, churrería, fábrica de chocolate y turrones de Sevilla y provincia, con vigencia de 1 de enero de 2023 al 31 de diciembre de 2026, convienen fijar los siguientes:
ACUERDOS.
Primero: Aprobar las Tablas Salariales correspondientes a 2025 y que resultan de aplicar el (2.30+0.25%) a las tablas definitivas de 2024, tal como establece el artículo 20 del Convenio Colectivo en vigor, con efecto desde el 1 de enero hasta el 31 de diciembre de 2025 (Anexo 11).
Segundo: Registrar electrónicamente la presente Acta y sus Anexos ante la Autoridad Laboral interesando su posterior publicación en el Boletín Oficial de la Provincia de Sevilla, facultando para este trámite a Doña Marta Conesa Sánchez con DNI 47342785-E.
No habiendo más asuntos que tratar, se da por terminada la reunión siendo las 17.00 horas del día mencionado al comienzo, redactándose la presente acta que es firmada por los señores asistentes en sus respectivas representaciones, en prueba de conformidad.
REVISIÓN SALARIAL (BOP Nº 87 – viernes 08 de mayo de 2026)
Código 41000905011981.
VISTO las Tablas Salariales para el año 2025 y 2026 del Convenio Colectivo del Sector Confitería, Pastelería, Bollería, Tortas, Mazapanes y otros productos de desayuno (Código 41000905011981), fechada el 11-03-2026.
VISTO lo dispuesto en el art. 90.2 del Real Decreto Legislativo 2/2015 de 23 de octubre (E.T.), por el que se aprueba el Texto Refundido del Estatuto de los Trabajadores (BOE 255, de 24/10/2015), de acuerdo con el cual, los convenios deberán ser presentados ante la autoridad laboral, a los solos efectos de su registro.
VISTO lo dispuesto en los artículos 2, 6 y 8 del Real Decreto 713/2010, de 28 de mayo (BOE 143, de 12/06/2010), sobre «registro y depósito de convenios colectivos, acuerdos colectivos de trabajo y planes de igualdad», serán objeto de inscripción en los registros de convenios y acuerdos colectivos de trabajo y planes de igualdad de las autoridades laborales los convenios elaborados conforme a lo establecido en el Título III del Texto Refundido de la Ley del Estatuto de los Trabajadores Real Decreto Legislativo 2/2015 de 23 de octubre, sus revisiones, modificaciones y/o prórrogas, acuerdos de comisiones paritarias, acuerdos de adhesión a un convenio en vigor, acuerdos de planes de igualdad y otros.
VISTO lo dispuesto en los artículos 3, 6 y 8 del Real Decreto 713/2010 de 28 de mayo (BOE n.º 143 de 12 de junio), Real Decreto 4043/82 de 29 de diciembre, sobre Traspaso de Funciones y Servicios de la Administración del Estado a la Junta de Andalucía en materia de Trabajo. Es competencia de esta Delegación Territorial dictar la presente Resolución de conformidad con lo dispuesto en el Decreto del Presidente 6/2024, de 29 de julio, sobre reestructuración de Consejerías; Decreto 155 /2022, de 9 de agosto, por el que se regula la estructura orgánica de la Consejería de Empleo, Empresa y Trabajo Autónomo, en concordancia con el Decreto 226/2020, de 29 de diciembre, que regula la organización territorial provincial de la administración de la Junta de Andalucía, modificado por el Decreto 300/2022, de 30 de agosto.
Esta Delegación Territorial, ACUERDA:
PRIMERO.- Registrar y ordenar el Acuerdo de las Tablas Salariales para el año 2025 y 2026 del Convenio Colectivo del Sector Confitería, Pastelería, Bollería, Tortas, Mazapanes y otros productos de desayuno (Código 41000905011981), fechada el 11-03-2026.
SEGUNDO.- Disponer su publicación gratuita en el Boletín Oficial de la Provincia.
ACTA DE LA COMISIÓN PARITARIA DEL CONVENIO COLECTIVO PROVINCIAL DE CONFITERÍA, PASTELERÍA, BOLLERIA, REPOSTERÍA, CHURRERÍA, FÁBRI CA DE CHOCOLATE Y TURRONES DE SEVILLA Y PROVINCIA.
ASISTENTES:
Por APEC OPAS:
D. Carlos Garrido Córdoba.
Dña. Marta Conesa Sánchez.
D. José Miguel Sánchez Otero.
Dña. Ana Maria Marín Martínez.
Por UGT FICA:
D. Manuel Ponce González.
Maria Gómez Herrera.
Rosa Maria Nuevo Toro.
Por CC.OO Industria:
D. Manuel García Luna.
D. Antonio Miguel Pacheco Pino.
D. Francisco Suarez Sayago.
En la ciudad de Sevilla, siendo las 17:15 horas del día 11 de marzo de 2026, se reúnen en la sede de CCOO de Sevilla los integrantes de la Comisión Paritaria del Convenio Colectivo provincial de confitería, pastelería, bollería, repostería, churrería, fábrica de chocolate y turrones de Sevilla y provincia abajo que al margen se especifica.
Los intervinientes de la Comisión Paritaria del presente Convenio Colectivo provincial convienen fijar los siguientes ACUERDOS:
Primero. Aprobar las tablas salariales definitivas correspondientes al año 2025, que resultan de aplicar la cláusula de revisión salarial prevista en el artículo 20 del Convenio Colectivo.
Una vez comprobado que el IPC real del año 2025 (2,90%) ha sido superior al porcentaje de subida establecido para dicha anualidad (2,30%), se procede a incrementar las tablas de 2025 en una cantidad equivalente al 50% de la diferencia entre el porcentaje de subida y el IPC real, es decir, un 0,30%) con efectos retroactivos desde el 1 de enero de 2025. Las citadas tablas definitivas se incorporan como Anexo I a la presente acta.
Segundo. Aprobar las tablas salariales provisionales para el año 2026, resultantes de aplicar el incremento del 2,25% sobre las tablas definitivas de 2025, conforme a lo pactado en el citado artículo 20 del Convenio Colectivo. Asimismo, se ha tenido en cuenta la cláusula de garantía del Salario Mínimo Interprofesional (SMI) correspondiente a 2026 que regula el propio precepto para mantener la diferencia lineal existente en euros entre los distintos niveles.
Todo ello, sin perjuicio de la posterior revisión definitiva cuando se conozca el IPC real de la anualidad.
Tercero. Los asistentes, en sus respectivas representaciones, manifiestan su conformidad con el contenido y las cuantías reflejadas en las tablas salariales de los Anexos I y II que forman parte inseparable de la presente acta.
Cuarto. Registrar electrónicamente la presente Acta y sus A nexos ante la Autoridad Labor al competente, interesando su posterior publicación en el Boletín Oficial de la Provincia de Sevilla. Para la realización de este trámite se faculta expresamente a Doña Marta Con esa Sanchez, con DNI …
No habiendo más asuntos que tratar, se da por terminada la reunión siendo las 18:30 horas del día mencionado. El presente acta que es firmada por las personas asistentes en sus respectivas representaciones, en prueba de conformidad.
